| Issue |
A&A
Volume 515, June 2010
|
|
|---|---|---|
| Article Number | A103 | |
| Number of page(s) | 6 | |
| Section | Stellar atmospheres | |
| DOI | https://doi.org/10.1051/0004-6361/200912635 | |
| Published online | 15 June 2010 | |
Adiabatic high degree modes of a rotating star![[*]](/icons/foot_motif.png)
I. General features and real pressure modes
F. Schmitz1 - B. Fleck2
1 - Institut für Theoretische Physik und Astrophysik der Universität Würzburg, Am Hubland, 97074 Würzburg, Germany
2 -
ESA Sciencie Operations Department, c/o NASA/GSFC, Mailcode 671.1, Greenbelt, MD 20771, USA
Received 4 June 2009 / Accepted 2 March 2010
Abstract
Aims. The influence of the rotation of the Sun on non-radial p-modes with high wave numbers l
is studied. To investigate and understand the basic properties of these
modes, it is sufficient to consider only the outer layers of the Sun,
which can be approximated by a plane layer with constant gravity.
Methods. We use a model with a smooth transition between a
polytropic convection zone and an isothermal atmosphere. The rotation
is simulated by a constant horizontal wind. For this model, using the
column mass instead of the geometrical height, the adiabatic wave
equation of the pressure perturbation can be reduced to Whittaker's
differential equation. From boundary conditions we obtain the
dispersion relation. The geometrical height is a simple elementary
function of the column mass.
Results. The dispersion relation
is a higher order algebraic equation in both frequency and horizontal
wave number, which must be solved numerically. We analyze the behavior
of the dispersion curves of modes with an adiabatic exponent
for layers with polytropic indices n = 3 and n
= 3/2. The f-mode is considered separately. For the understanding of
the results we also consider modes of a homogeneous gas. We compare the
diagram of our idealized model with the
diagram of a real solar model.
Key words: hydrodynamics - waves - stars: oscillations - Sun: oscillations - stars: atmospheres
1 Introduction
To study basic properties of solar p-modes with
,
it is sufficient to consider only the upper convection zone and the atmospheric layers of the Sun. For
,
the approach of these
regions of the Sun by a plane layer with constant gravity is common. A
simple model of the convection zone is a polytropic layer with a
positive polytropic index n.
In this case, the pressure and the temperature vanish at some height.
The solution of the adiabatic wave equation of this layer has to
satisfy a zero pressure boundary condition. By the assumption of
vanishing
pressure perturbations in the interior, a discrete spectrum of modes is
obtained. This problem was already investigated by Lamb (1932).
The isolated polytropic convection zone
corresponds to simple polytropic stellar models with zero pressure
boundary condition and moderate central densities, as far as Cowling's
classification is valid.
We use the same procedure as in the windless case studied by Schmitz & Steffens (1999).
The model consists of a convection zone and an atmosphere, which are
fitted by a smooth temperature transition. The convection zone becomes
polytropic as
,
the atmosphere becomes isothermal as
.
In Sect. 2 we discuss previous works on oscillations of rotating
stars. Section 3 deals with the structure of the static layer. In
Sect. 4 we present the adiabatic wave equation. The wave equation
of the Lagrangian pressure perturbation is formulated in terms of the
column mass. Section 5 deals with the reduction of the wave
equation to Whittaker's differential equation. The general solution of
this equation is considered in Sect. 6. The dispersion relation of
the modes of the layer, an algebraic equation of a higher order in
and the horizontal wave numbers is derived in Sect. 7. It is
solved numerically. In Sect. 8 we consider the f-mode, and in
Sect. 9 we discuss oscillations of a homogenous gas. In Sect. 10
we present dispersion curves for the Sun in the
non-isentropic case
and
1 + 1/n = 4/3 and for the isentropic case
.
2 Oscillations of rotating stars
There are numerous text-books (e.g. Tassoul 1978), compendia (e.g. Ledoux & Walraven 1958), review-articles (e.g. Saio 1993) and publications on the field of oscillations and the stability of rotating stars (e.g. Lynden-Bell 1967) and the stability of gaseous clouds (e.g. Schmitz 1984).
As regards the Sun, it is now nearly 35 years since Deubner's observations of low wavenumber non-radial acoustic eigenmodes (Deubner 1975) that launched the art and science of helioseismology and led to the first determination of the radial differential roation of the Sun (Deubner 1979, see also review by Deubner & Gough 1984).
Schou et al. (1998) used the splitting of the frequencies of the global resonant acoustic modes induced by large-scale flows and rotation to determine the Sun's interior angular velocity. In all these works a zero-pressure boundary condition is assumed, i.e. the pressure becomes zero at the stellar radius. With increasing l, the region of the oscillation shifts outwards into the outer convection zone and the atmosphere. Thus for high degree-modes, the detailed structure of this layer must be taken into account. For stars without rotation this was done e.g. by Christensen-Daalsgard (1980) and for the Sun by e.g. Ando & Osaki (1977).
The model of Schmitz & Steffens (1999) is a simple approach to the outer layers of the Sun, far from the real models with ionization and dissoziation considered by Antja & Basu (1999) and Steffens & Schmitz (2000).
However, it does not make sense to consider the detailed structure of the outer layers. The VAL-atmosphere, often used as a standard atmosphere, is not realistic. Calculations in particular by Carlson & Stein (1995) have shown that the atmosphere is so dynamic that it is not possible to assign a mean temperature to the chromosphere.
For these reasons Steffens and Schmitz studied the influence of cool-temperature and mean-temperature ``chromospheres'' on solar oscillations.
Here we present an analytical study of the influence of solar rotation on the p-mode ridges. We use the model of Schmitz & Steffens (1999) with a horizontal constant wind. The continuos wave number kx in the direction of the wind corresponds to the discrete wave number m, the continuos wave number ky corresponds to the discrete wave number l.
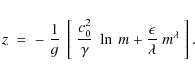
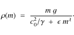
3 The equilibrium layer
Let z be the vertical, outwards directed geometrical coordinate, g the constant gravity,
n the polytropic index, m the column mass, defined by
,
p the pressure,
the density, a the isothermal and c the adiabatic sound speed,
the adiabatic exponent. We use the equation of state of the classical ideal gas
.
The atmospheric structure is not influenced by the horizontal wind. The equilibrium condition is p = m g. We put
|
(1) |
with
|
(2) |
The geometrical height z(m) is obtained by integrating
|
(3) |
We have
|
(4) |
4 The adiabatic wave equation
Let
be the Lagrangian pressure perturbation,
the displacement.
The frequency is denoted by
,
the horizontal wave numbers by kxand ky. We put
|
(5) |
We study adiabatic waves with time dependence
| (6) |
From the linearized hydrodynamical equations we obtain two first order equations:
and
(see, e.g. Schmitz & Fleck 1994).
From these equations we obtain the wave equation of the Lagrangian pressure
perturbation
:

|
(9) |
and the wave equation of the displacement
|
|||
|
|||
|
|||
|
(10) |
The wave equation of
Now we take the mass m instead of the height z.
We have
|
(11) |
and
|
(12) |
Further,
|
(13) |
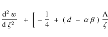
We finally obtain
|
(14) |
with
|
(15) |
|
(16) |
|
(17) |
|
(18) |
|
(19) |
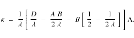
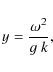
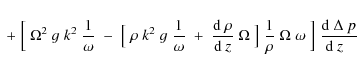
5 The reduction of the adiabatic wave equation
We put
|
(20) |
With these transformations we get
|
(21) |
We put
|
(22) |
which gives
|
(23) |
Equation (22) reduces to
| (24) |
Now we put
|
(25) |
With this transformation we get
|
(26) |
where
|
(27) |
|
(28) |
Putting
| (29) |
with
|
(30) |
we obtain the equation
|
(31) |
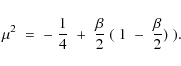
This is Whittaker's equation
|
(32) |
with
| (33) |
and
|
(34) |
Finally,
|
(35) |
and
|
(36) |
Now let us assume that
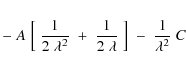
6 The solution of the wave equation
Two independent solutions of Whittaker's equation are
|
(37) |
|
(38) |
where M and U are the confluent hypergeometric functions. The corresponding Lagrangian pressure perturbations are
|
(39) |
and
|
(40) |
where
|
(41) |
The general solution of the wave equation is a superposition of both
solutions.
The factor
is due to the isothermal atmosphere.
In the limit
where
we obtain
|
(42) |
In the following, instead of
,
we use the quantity y defined by
|
(43) |
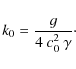
and instead of the wave number k we use the relative wave number k/k0 with
|
(44) |
7 The dispersion relation of the modes
For real
we have to select the solution
with
.
Therefore,
|
(45) |
As M = 1 for z = 0,
this solution approaches the evanescently decaying wave of the
unbounded isothermal atmosphere for
when
.
For
or
we require vanishing
or at least finite
pressure perturbations. This assumption is common and corresponds to the
condition of vanishing non-radial pressure perturbations in the center
of a star.
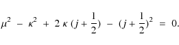
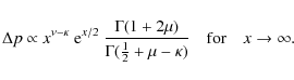
The asymptotic expansion of M is (Abramowitz & Stegun 1965)
|
(46) |
We obtain
|
(47) |
Therefore, the criterion for convergence at
is
|
(48) |
In this case, the function M is reduced to a polynomial of degree j, a generalized Laguerre-polynomial. The pressure perturbation decays exponentially for
.
Otherwise, the pressure perturbation diverges. Taking the square of
|
(49) |
we obtain
|
(50) |
|
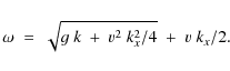
Figure 1:
The ridges of the fundamental-mode for
|
| Open with DEXTER | |
Inserting
and
,
we finally obtain the dispersion relation:
|
(51) |
This equation is solved numerically. For v = 0 it reduces to the dispersion relation given by Schmitz & Steffens 1999. For the sun, we take a velocity corresponding to solar rotation at mid latitudes:
8 The f-mode
From Eqs. (7) and (8), for
,
we obtain the fundamental mode
| (52) |
The solution reads:
|
(53) |
Figure 1 shows ridges of the f-mode for v = 0 and for the solar rotational velocity for various kx.
9 The homogeneous gas
As this case is certainly not new we shall be brief. We need it only
for a comparison and the explanation of the behavior of the stellar
modes. The wave equation of the displacement
reduces to
|
(54) |
The solution is:
| (55) |
with
|
(56) |
We put boundary conditions
| (57) |
to obtain
|
(58) |
The solution is:
|
(59) |
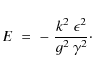
Figure 2 shows the frequency
|
Figure 2:
Ridges of the modes of the homogeneous gas for
|
| Open with DEXTER | |
The range of the amplitudes of the f-mode extends from
to
.
Accordingly all ridges are different.
On the other hand, the range of the oscillations of the homogeneous gas depends on the height H.
With increasing height, up to
the differences of the ridges increase. Above
,
there are no differences.
10 The Sun
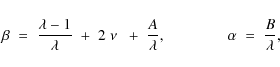
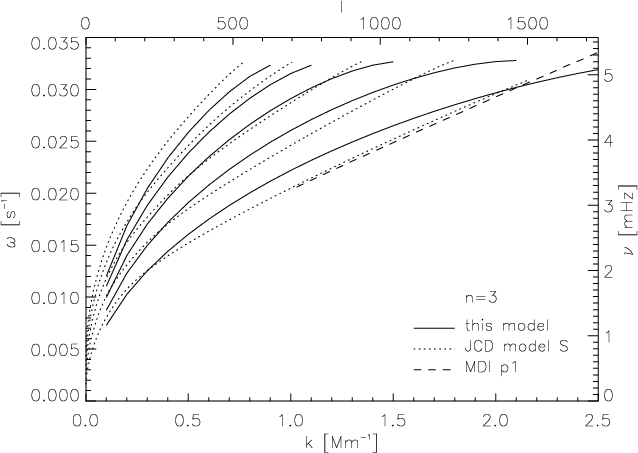
For the Sun we studied the cases n=3/2 and n=3 for various values of kx. However, before looking at the results for the effects of rotation, let us first compare the eigenmodes of our idealized model with a real solar model and actual observations. Figures 3 and 4 show comparisons of the p1 to p5 modes of our analytical model with those of model S of Christensen-Dalsgaard et al. (1996) and the high-degree extension of the p1 mode as observed by SOHO/MDI (Duvall et al. 1998).
|
Figure 3: Comparison of the eigenmodes p1 to p5 of our analytical model (solid lines) for n=3 with those of model S of Christensen-Daalsgard et al. (1996) (dotted lines) and high-degree observations of p1 by SOHO/MDI (dashed line; from Duvall et al. 1998). |
| Open with DEXTER | |
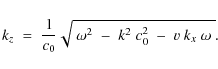
|
Figure 4: Same as Fig. 3 but for n=3/2. |
| Open with DEXTER | |
While one might claim that the mode structure is qualitatively similar
in the two models, quantitatively there are considerable differences,
which is not surprising. The differences between our analytical model
and model S are actually bigger than the effects of rotation which are
discussed below. Figures 3 and 4
demonstrate the limitations of our idealized model for direct
comparisons with current observations. It clearly lacks essential
aspects of the complex physics of the sun. It is interesting to note
that the differences between the two models are smaller for n=3 (Fig. 3) than for n=3/2 (Fig. 4). The case n=3 apparently is a better approximation to the real sun. This is probably because n = 3/2 or
is the index of a neutral gas, whereas n = 3 or
is nearer to
due to ionization.
While analytical studies are more limited than numerical studies because of the necessary simplifications and approximations, they provide complimentary information that is useful for developing a fundamental understanding of the basic physical problems at hand.
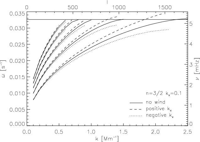
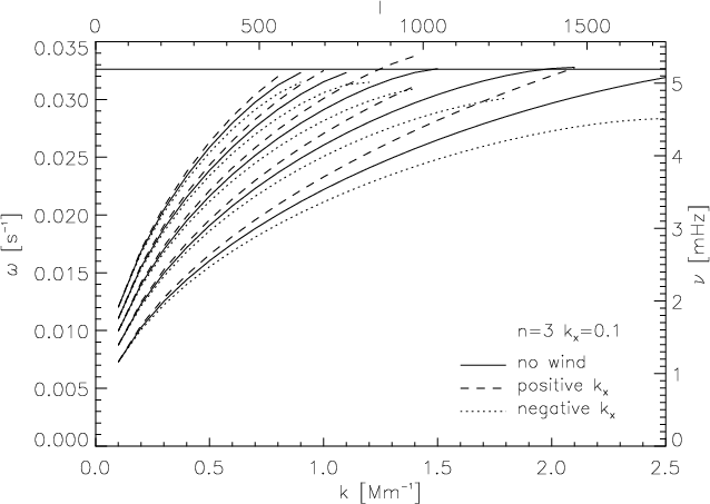
Figures 5 and 6 show the p1 to p5 modes without rotation and with solar rotation at mid latitudes for
,
for
n=3/2 and n=3, respectively. These are cuts through the
cube at fixed kx.
As expected, the ridges for positive kx are above,
the ridges for negative kx below the ridges of the windless case.
With increasing kx, the differences of the ridges increase. However,
there are no more differences for
.
The reason is that the range of oscillations with l > 1000is restricted to the outer convection zone and the atmosphere.
Therefore, as for the homogeneous gas, there are no
differences for higher values of kx.
|
Figure 5:
Ridges of the modes for n=3/2 and
|
| Open with DEXTER | |
|
Figure 6:
Ridges of the modes for n=3 and
|
| Open with DEXTER | |
The findings can be compared to observed high-resolution
diagrams as presented e.g. by Mitra-Kraev et al. (2008). The observed broadening of the ridges of Fig. 1 in their papercorresponds to the broadening of the ridges of Figs. 1, 3, and 4 in this paper. In both cases, the f-mode shows the strongest effects.
11 Conclusions
We presented a simple analytic model of a convection zone with an
overlying isothermal atmosphere. As regards the representation of the
dispersion relation
,
this model does not have the shortcomings of two-layer models. For the
new model the three-dimensional adiabatic wave equation can be solved
analytically by reduction to Whittaker's differential equation. The
dispersion relation is an algebraic equation, which is solved
numerically. We presented dispersion curves of acoustic modes with
and of modes with
.
Two special cases were studied separately: the f-mode and the
homogeneous gas. The model can be used for further investigations; for
example, to study the problem of the generation of the observed ridges
above the acoustic cut-off frequency, the existence of modes with
complex frequencies, and also gravity modes. As for the simple
polytropic layer, the amplitudes of the modes are given in terms of
Whittaker functions. The mathematical procedure is similar to the
procedure used for the simple polytropic layer.
We thank an anonymous referee for useful comments, and Jørgen Christensen-Daalsgard for providing a table of the eigenfrequencies of his standard solar model.
References
- Ando, H., & Osaki, Y. 1977, PASJ, 29, 221 [NASA ADS] [Google Scholar]
- Antja, H. M., & Basu, S. 1999, ApJ, 519, 400 [NASA ADS] [CrossRef] [Google Scholar]
- Abramowitz, M., & Stegun, I. A. 1965, Handbook of Mathematical Functions (New York: Dover Publ. Inc.) [Google Scholar]
- Beer, T. 1975, Atmospheric Waves (London: Adam Hilger) [Google Scholar]
- Carlson, M., & Stein R. F. 1995, ApJ, 440, L29 [NASA ADS] [CrossRef] [Google Scholar]
- Christensen-Daalsgard, J. 1980 MNRAS, 190. 765 [Google Scholar]
- Christensen-Daalsgard, J., Däppen, W., Ajukov, S. V., et al. 1996, Science 272, 1286 [NASA ADS] [CrossRef] [Google Scholar]
- Deubner, F.-L. 1975, A&A, 44, 371 [NASA ADS] [Google Scholar]
- Deubner, F.-L., & Gough, D. 1984, ARA&A, 22, 593 [NASA ADS] [CrossRef] [Google Scholar]
- Deubner, F.-L., Ulrich, R. K., & Rhodes, E. J. 1979, A&A, 72, 177 [NASA ADS] [Google Scholar]
- Duvall, T. L., Kosovichev, A. G., & Murawski, K. 1998, ApJ, 505, L55 [NASA ADS] [CrossRef] [Google Scholar]
- Lamb, H. 1932, Hydrodynamics (Cambridge: University Press) [Google Scholar]
- Ledoux, P., & Walraven, Th. 1958, Handbuch der Physik 51, 528 ed.: S. Flügge (Berlin: Springer-Verlag) [Google Scholar]
- Lynden-Bell, D., & Ostriker, J.-P. 1967, MNRAS, 136, 293 [NASA ADS] [CrossRef] [Google Scholar]
- Mitra-Kraev, U., Kosovichev, A. G., & Sekii, T. 2008, A&A, 481, L1 [NASA ADS] [CrossRef] [EDP Sciences] [Google Scholar]
- Saio, H. 1993, ASS, 210, 61 [Google Scholar]
- Schmitz, F. 1984, A&A, 131, 309 [NASA ADS] [Google Scholar]
- Schmitz, F., & Fleck, B. 1994, A&AS, 106, 129 [NASA ADS] [Google Scholar]
- Schmitz, F., & Steffens, S. 1999, A&A, 344, 973 [NASA ADS] [Google Scholar]
- Schou, J., Antia H. M., Basu, S. et al. 1998, ApJ, 505, 390 [NASA ADS] [CrossRef] [Google Scholar]
- Steffens, S., & Schmitz, F. 2000, A&A, 354, 280 [NASA ADS] [Google Scholar]
- Tassoul, J.-L. 1978, Theory of Rotating Stars (Princeton: Princeton University Press) [Google Scholar]
Footnotes
All Figures
|
Figure 1:
The ridges of the fundamental-mode for
|
| Open with DEXTER | |
| In the text | |
|
Figure 2:
Ridges of the modes of the homogeneous gas for
|
| Open with DEXTER | |
| In the text | |
|
Figure 3: Comparison of the eigenmodes p1 to p5 of our analytical model (solid lines) for n=3 with those of model S of Christensen-Daalsgard et al. (1996) (dotted lines) and high-degree observations of p1 by SOHO/MDI (dashed line; from Duvall et al. 1998). |
| Open with DEXTER | |
| In the text | |
|
Figure 4: Same as Fig. 3 but for n=3/2. |
| Open with DEXTER | |
| In the text | |
|
Figure 5:
Ridges of the modes for n=3/2 and
|
| Open with DEXTER | |
| In the text | |
|
Figure 6:
Ridges of the modes for n=3 and
|
| Open with DEXTER | |
| In the text | |
Copyright ESO 2010
Current usage metrics show cumulative count of Article Views (full-text article views including HTML views, PDF and ePub downloads, according to the available data) and Abstracts Views on Vision4Press platform.
Data correspond to usage on the plateform after 2015. The current usage metrics is available 48-96 hours after online publication and is updated daily on week days.
Initial download of the metrics may take a while.
![\begin{figure}
\par\includegraphics[width=9cm,clip]{12635fg1.eps}
\end{figure}](/articles/aa/full_html/2010/07/aa12635-09/Timg106.png)
![\begin{figure}
\par\includegraphics[width=9cm,clip]{12635fg2.eps}
\end{figure}](/articles/aa/full_html/2010/07/aa12635-09/Timg127.png)
![\begin{figure}
\par\includegraphics[width=9cm,clip]{12635fg3.eps}
\end{figure}](/articles/aa/full_html/2010/07/aa12635-09/Timg131.png)
![\begin{figure}
\par\includegraphics[width=9cm,clip]{12635fg4.eps}
\end{figure}](/articles/aa/full_html/2010/07/aa12635-09/Timg132.png)
![\begin{figure}
\par\includegraphics[width=9cm,clip]{12635fg5.eps}
\end{figure}](/articles/aa/full_html/2010/07/aa12635-09/Timg140.png)
![\begin{figure}
\par\includegraphics[width=9cm,clip]{12635fg6.eps}
\end{figure}](/articles/aa/full_html/2010/07/aa12635-09/Timg141.png)