| Issue |
A&A
Volume 515, June 2010
|
|
|---|---|---|
| Article Number | A11 | |
| Number of page(s) | 9 | |
| Section | Extragalactic astronomy | |
| DOI | https://doi.org/10.1051/0004-6361/200913559 | |
| Published online | 28 May 2010 | |
The slowing down of galaxy disks in dissipationless minor mergers
Y. Qu1 - P. Di Matteo1 - M. Lehnert1 - W. van Driel1 - C. J. Jog2
1 - GEPI, Observatoire de Paris, CNRS, Université Paris Diderot, 5
place Jules Janssen, 92190 Meudon, France
2 - Department of Physics, Indian Institute of Science, Bangalore
560012, India
Received 27 October 2009 / Accepted 16 February 2010
Abstract
We have investigated the impact of dissipationless minor galaxy mergers
on the angular momentum of the remnant. Our simulations cover a range
of initial orbital characteristics, and the system consists of a
massive galaxy with a bulge and disk merging with a much less massive
(one-tenth or one-twentieth) gasless companion that has a variety of
morphologies (disk- or elliptical-like) and central baryonic mass
concentrations. During the process of merging, the orbital angular
momentum is redistributed into the internal angular momentum of the
final system; the internal angular momentum of the primary galaxy can
increase or decrease depending on the relative orientation of the
orbital spin vectors (direct or retrograde), while the initially
nonrotating dark matter halo always gains angular momentum. The
specific angular momentum of the stellar component always decreases
independently of the orbital parameters or morphology of the satellite,
the decrease in the rotation velocity of the primary galaxy is
accompanied by a change in the anisotropy of the orbits, and the ratio
of rotation speed to velocity dispersion of the merger remnant is lower
than the initial value, not only because of an increase in the
dispersion but also of the slowing-down of the disk rotation. We
briefly discuss several astrophysical implications of these results,
suggesting that minor mergers do not cause a ``random walk'' process of
the angular momentum of the stellar disk component of galaxies, but
rather a steady decrease. Minor mergers may play a role in producing
the large scatter observed in the Tully-Fisher relation for
S0 galaxies, as well as in the increase of the velocity
dispersion and the decrease in
at large radii as observed in S0 galaxies.
Key words: galaxies: interactions - galaxies: formation - galaxies: evolution - galaxies: kinematics and dynamics - galaxies: structure
1 Introduction
Numerical simulations, as well as observations, show that the final product of a merger between two disk galaxies depends mostly on their mass ratio. Major mergers of spiral galaxies, i.e. of pairs with mass ratios ranging from 1:1 to 3:1, have been known for decades to form pressure-supported elliptical galaxies (Bournaud et al. 2005; Naab et al. 1999; Cretton et al. 2001; Barnes 1992; Bekki & Shioya 1997; Bendo & Barnes 2000; Springel 2000; Barnes & Hernquist 1991; Naab & Burkert 2003), with ``boxy'' or ``disky'' shaped isophotes. Intermediate-mass ratio mergers, with mass ratios from 4.5:1 to 10:1, produce hybrid systems that typically have spiral-like morphologies but elliptical-like kinematics (Bournaud et al. 2005,2004; Jog & Chitre 2002), while minor mergers (mass ratioThe importance of minor mergers in shaping the evolution of
galaxies has been supported by detailed numerical simulations. For
example, they can induce changes that move late-type spiral
galaxies towards earlier Hubble types and contribute to the
thickening and heating of the stellar disk (Benson et al. 2004; Walker
et al. 1996; Quinn et al. 1993; Velazquez &
White 1999; Font
et al. 2001; Kazantzidis et al. 2008).
The disks
of galaxies are generally not fully destroyed by these events, and a
remaining kinematically cold and thin component containing
15
to
of the initial stellar disk mass can indeed survive, embedded in
a hotter and thicker disk (e.g., Villalobos
& Helmi 2008), whereas the
presence of gas in the disk galaxy can largely prevent the destruction
of its thin stellar disk (Moster
et al. 2010).
However, while the role that minor mergers may play in the
mass
assembly, kinematics, and morphologies of present-day galaxies has
been studied extensively both observationally and numerically, much
less is known about the way angular momentum is redistributed during
these events. Cosmological simulations show that there is a
discrepancy between the specific angular momentum of dark matter
halos, which have undergone predominantly minor mergers since
,
and the observed baryonic component of present-day
galaxies. The dark matter halos in cosmological simulations have
spin parameters that are a few times smaller than observed in
disks of late-type bulgeless dwarf galaxies (D'Onghia & Burkert 2004;
van den Bosch
et al. 2001). The evolution of the specific angular
momentum of dark
matter halos as caused by major and minor mergerscan be
described as a random walk process, with major mergers contributing
to the spin-up of dark halos, and with minor interactions
mostly slowing them down (Vitvitska
et al. 2002).
The consequence of an interaction is to transfer orbital
angular
momentum into internal rotation: at the beginning of the interaction,
the most extended components first interact tidally, while the more
tightly bound components feel the effects of the encounter only in the
final phases of the merging process (Barnes 1992; Barnes in
Kennicutt et al. 1998). However, little is known
about the detailed redistribution of the angular momentum between the
baryonic and dark matter components. McMillan
et al. (2007) show that, during major mergers of
disk galaxies, the dark halos acquire only a small amount of rotation,
with the dark component of the final remnant always having a stellar
rotation speed to velocity dispersion, or
,
ratio less than 0.2. Jesseit
et al. (2009) have discussed the amount of specific
angular momentum found in the stellar component of major merger
remnants, showing that 1:1 mergers cause the destruction of the ordered
rotation of the progenitor disks, while a portion of the original
rotation can be preserved during mergers with higher mass ratios. If a
dissipative component (gas) is present in the progenitor disks,
gravitational torques exerted on it by the stellar disk can extract a
significant fraction of its initial angular momentum, causing strong
gas inflows into the circumnuclear regions (Barnes
& Hernquist 1996). Finally, angular momentum
redistribution also occurs during major mergers between spheroidal
dissipationless galaxies, leading to a transformation of the orbital
angular momentum into the internal angular momentum of both baryons and
dark matter, which can be efficient enough to produce fast-rotating (
)
stellar halos, as recently shown by Di
Matteo et al. (2009).
A complete and detailed picture of the angular momentum redistribution during minor mergers is still lacking, even though minor mergers are expected to be much more common than major mergers (Fakhouri & Ma 2008), thereby obviously playing an important role in galaxy mass assembly. For example, Debattista et al. (2006) and Sellwood & Debattista (2006) have suggested that minor mergers could transfer angular momentum to the dark halo through the action of a stellar bar in the disk.
This paper aims to investigate the evolution of the angular momentum in minor mergers and its redistribution between the stellar and the dark matter components of the primary galaxy and its satellite. We investigate this process through the use of dissipationless N-body simulations of minor (mass ratio 10:1 and 20:1) mergers between a disk-plus-bulge primary galaxy and a satellite having either an elliptical or a disk morphology. Specifically, we show that, independent of the morphology of the satellite galaxy or the orbital parameters, minor mergers always cause a slowing down of the stellar disk, as well as a loss of specific angular momentum within the disk, and that this process contributes to moving galaxies towards earlier Hubble types and more slowly rotating systems (Emsellem et al. 2007). The decrease in the specific angular momentum of the stellar component of the disk galaxy is accompanied by an increase in the specific angular momentum of both dark halos (of the primary and of the satellite), as well as of the pressure-supported stellar component that was initially part of the satellite.
2 Models and initial conditions
We studied the coalescence of a massive S0 galaxy and an
elliptical having a mass ratio 10:1 or 20:1. The massive
S0 galaxy
(hereafter called gS0) is composed of a spherical dark matter halo and
a spherical stellar bulge, both of which are not rotating
initially, and represented by Plummer spheres (Binney
& Tremaine 1987) with total
masses
and
and core radii
and
,
respectively.
The stellar disk is represented by a Miyamoto-Nagai density profile
(Binney & Tremaine 1987)
with mass M*, and vertical
and radial
scale-lengths of h* and a*,
respectively (Table 1).
The adopted bulge-to-total baryonic mass ratio of our
S0 galaxy model, B/T of
1:5, is based on the most recent estimate for the ratios of
S0 galaxies (Laurikainen
et al. 2007), which are up to a factor 3 lower than
earlier estimates (e.g., Simien
& de Vaucouleurs 1986). As the work of Laurikainen et al. (2007)
is based on
band
(2.2
m)
data, it represents more realistic values for the old stellar component
than those by Simien & de
Vaucouleurs (1986) based on B-band data
(the dust extinction being more significant at these wavelengths). The
fraction of dark-to-baryonic matter inside R50,
the radius containing half of the baryonic matter, is
,
which broadly agrees with observational estimates (Williams et al. 2009),
and the resulting rotation curve (see Chilingarian
et al. 2009) shows a rapid rise in the center,
followed by a decline at larger radii, typical of many S0s (Noordermeer et al. 2007).
This paper is part of a larger program (Di Matteo et al. 2009) whose aim is to systematically study the impact of major and minor mergers on angular momentum redistribution in galaxies. We analyze here the simple case of the impact of minor mergers on early-type, gas poor, S0 galaxies, and we plan in future work to extend this study to the whole Hubble sequence, with a variety of gas fractions and bulge-to-disk ratios. Besides, starting with such simple simulations allows us to compare our results with a well-defined class of objects in order to verify the appropriateness of our simulations and to gain insight into possible evolutionary avenues for relatively simple dynamical systems like S0s.
The satellite elliptical galaxy, which is either ten (dE0,
dE0l, dE0h) or
twenty (sE0) times less massive than the gS0 galaxy, consists
of
spherical stellar and dark matter components, both modeled with
Plummer profiles and both not rotating initially. The density
profile of the satellite galaxy is the same in all simulations, but the
central density of the baryonic component is changed to study
how changing the density would affect the angular momentum
redistribution during the encounter. We thus considered ``reference''
dwarf E0 (dE0) models, as well as galaxies having a central
volume density
higher
(dE0h) and lower (dE0l) than the reference dE0 galaxy (see
Table 1).
Table 1: Galaxy parameters for the initial models of the bulge and halo, modeled as Plummer spheres.
To study the dependence of the results on the morphology of the satellite galaxy, we ran twelve additional simulations, modeling mergers of the giant gS0 galaxy with a disk satellite (hereafter called dS0), whose total mass is ten times lower. The dS0 consists of a spherical dark matter halo, a spherical stellar bulge, both of which are not rotating, and a rotating stellar disk. The morphological parameters of the dS0 galaxies are given in Table 1. We refer the reader to Chilingarian et al. (2009) for a more extensive description of these initial models.All the initial models and their individual components were evolved in isolation for 1 Gyr, before starting the interaction. At this time, the disk had reached a stable configuration, as discussed in the Appendix. The galaxies were initially placed at a relative distance of 100 kpc, with a variety of relative velocities, to simulate different orbits. The orbital initial conditions for the giant-dwarf interactions are given in Table 9 of Chilingarian et al. (2009), so we report here only on the orbital parameters of the gS0-sE0 simulations (Table 2).
We chose a reference frame with its origin at the barycenter
of the
system and an x-y plane
corresponding to the orbital plane.
The spin vector of the gS0 galaxy initially defines an angle
or
with
respect to the z-axis (see
Fig. 3 in Chilingarian
et al. 2009). For all simulations involving a
dS0 galaxy, we have chosen an initial angle between the
dS0 spin and
the z-axis of
.
The orbital angular momentum
can be parallel (direct orbit) or anti-parallel (retrograde orbit)
to the z-axis of the reference frame.
Table 2: Orbital parameters for the gS0-sE0 interactions.
When referring to specific encounters between the spiral and a
satellite, the nomenclature adopted is a six(or seven)-character
string: the first three characters are the type of the massive galaxy,
always ``gS0'', followed by a three(or four)-character string for dE0
(average concentration, dwarf elliptical satellite), dE0l (low
concentration dwarf elliptical), dE0h (high concentration dwarf
elliptical), dS0 (dwarf spiral satellite) or sE0 (for the two
times
less massive elliptical satellite). This is followed by a string
representing the type of encounter (see first column in
Table 2
for the specific types), followed by the
suffix ``dir'' or ``ret'', for direct or retrograde orbits. The final
two numbers, which are either ``33'' or ``60'',
indicate the initial inclination of the gS0 galaxy with
respect to
the orbital plane. For example, the nomenclature ``gS0dE0h01dir33''
refers to the encounter between the gS0 galaxy (whose initial
inclination
)
and the high-concentration elliptical
satellite dE0h, moving on a direct orbit, whose initial orbital
parameters are
those corresponding to id = 01dir in Table 9
of
Chilingarian et al. (2009).
All simulations (50 in total) were run using the Tree-SPH code
described in Semelin & Combes
(2002). A total of
particles
was used for all simulations,
distributed between the gS0 galaxy and the satellite (see
Table 3).
We also tested the dependence of the results on
the number of particles used in the simulation, running some
additional simulations with a total of
particles.
A Plummer potential was used to soften gravity on small scales,
with constant softening lengths of
pc
(or
pc for the
high-resolution simulations) for all particles. The equations of motion
are integrated using a leapfrog algorithm with a fixed time step
of 0.5 Myr. With these choices, the relative error in
the conservation of
the total energy is close to 10-6 per time
step. Since the work
presented here only investigates simulated galaxies without any gas,
only the part of the code evaluating the gravitational forces acting
on the systems has been used.
Table 3: Particle numbers for disk galaxy and satellites.
3 Results
3.1 Angular momentum evolution
|
Figure 1:
Top panels: evolution of the absolute value
of the total (solid line), orbital (dotted line), and internal (dashed
line) angular momentum for some of the simulated 10:1 mergers,
for both the stellar and dark matter components together.
Bottom panels: evolution of the absolute value of the
internal angular momentum of the
massive gS0 galaxy (red dashed line) and of the dE0 satellite
(blue dashed line) for both the stellar and dark matter components
together. The angular momentum is in units of
|
| Open with DEXTER | |
As a result of the action of tidal torques and dynamical friction, the satellite loses its orbital angular momentum (hereafter AM) and gradually spirals deeper into the gravitational field of the primary galaxy, where it finally dissolves completely (meaning it does not survive as an entity within the core of the primary galaxy). In this section, we discuss how the orbital AM is converted into internal AM and how it is redistributed among the different components (stars and dark matter) of the two galaxies.
3.1.1 Redistribution of orbital into internal angular momentum
Figure 1
shows the evolution of the absolute value of
the total, orbital, and internal angular momenta of the system, for
some of our simulations. In all cases, the total (internal +
orbital) AM is conserved during the interaction, with an accuracy
of
10-6 per time
step. The orbital AM is
constant until the first pericenter passage of the satellite. At
this time, dynamical friction and tidal torques act on the system,
converting part of the orbital AM into internal AM. This continues
to occur during each successive passage, until the two galaxies
finally merge, and the orbital AM has been completely
converted into internal rotation of the merged system. Looking at the
distribution of the internal AM between the two galaxies
(Fig. 1,
bottom panels), we can see that the satellite
galaxy always gains part of the orbital AM, while the gS0
galaxy either gains or loses angular momentum, depending on
the relative orientation of its spin and of the orbital AM (direct
and retrograde orbits, respectively). Since the orbital AM in
retrograde encounters is anti-parallel to the z-axis
of the reference frame, their total AM is systematically lower
than that of the corresponding direct encounter.
Changing the baryonic mass concentration of the satellite (Fig. 2) affects the redistribution of the internal AM between the two galaxies, in the sense that, for a given orbit, the denser the satellite, the smaller the amount of AM it absorbs and the larger the variation in the internal AM of the primary galaxy. This trend occurs because a satellite with higher density decays more rapidly in the central regions of the primary galaxy, since it is less susceptible to tidal effects of the primary galaxy, preserves a higher percentage of bound mass, suffers a stronger gravitational drag. Since tidal torques are less effective on denser satellites (see Sect. 3.2 in Di Matteo et al. 2009), the orbital angular momentum is more efficiently redistributed to the dark halo of the primary galaxy, the component that mainly drives its orbital decay through dynamical friction.
3.1.2 Internal angular momentum of the stellar and dark matter components
Here we investigate how the AM is redistributed in each of the two galaxies, between the stellar and the dark matter components. In Fig. 3 we show how the distribution of the internal AM between the baryons and dark matter evolves during the merging process. Near the time of the first barycentric passage, the two dark matter halos (primary and satellite) acquire part of the orbital AM, leading to rotation of a halo that initially was not rotating. In general, the amount of internal AM absorbed by the dark matter component of the primary galaxy is greater (by a factor 2-3) for pairs on direct orbits than for those on retrograde ones. For retrograde orbits, we note that the dark halo of the merger remnant rotates in the direction opposite to that of the stellar disk, because it absorbed part of the orbital AM.
| Figure 2:
Evolution of the absolute value of the internal angular momentum in
minor mergers with different baryonic mass concentrations of the
merging satellite. The mass of the satellite is the same, only the
central volume density is |
|
| Open with DEXTER | |
|
Figure 3:
Evolution of the absolute value of the internal angular momentum of the
stellar and dark matter components of the gS0 galaxy (solid
and dotted red lines) and of its satellite (solid and dotted blue
lines) for four 10:1 mergers. The angular momentum is in units
of |
| Open with DEXTER | |
|
Figure 4:
Evolution of the absolute value of the specific angular momentum of the
stars in the gS0 galaxy for six of the direct and retrograde
merger simulations with a dE0 or a dS0 satellite. The angular
momentum is estimated in five different radial regions relative to the
half mass radius, R50:
|
| Open with DEXTER | |
Although none of the initially pressure supported components
were
rotating at the beginning of the simulation, they later acquire part
of the orbital AM and begin to rotate. The case of the halo component
is simple: the more massive and extended, the more AM it
absorbs. However, the evolution of the AM of the stellar disk of the
primary galaxy is quite different. In all simulated orbits,
independent of the orbital parameters and the morphology of the
satellite galaxy (whether pressure- or rotationally supported), the
disk of the primary galaxy always loses AM during the interaction.
Although the decrease in the internal AM of the disk varies depending
on orbital parameters and on the internal structure of the satellite
(see Fig. 3),
on average the relative change of the
internal AM is
for mergers with a mass ratio 10:1. We also find that
satellites with higher central stellar
densities lead to remnants with a lower internal AM in the stellar
component that was formerly part of the disk of the primary.
3.2 The slowing-down of rotating disks
|
Figure 5: Absolute value of the specific angular momentum, l, of stars in the gS0 galaxy at the start of the simulation, t=0 (dotted lines), and at 3 Gyr (solid lines) after the start of the simulation, as a function of radii containing a fixed percentage of the stellar mass. l was measured at least 1 Gyr after the merger completed. The specific angular momentum is in units of 100 kpc km s-1. |
| Open with DEXTER | |
The decrease in the internal AM of the primary stellar disk
discussed in the previous section affects the whole of the disk, up
to distances of about 5 to 10 times
R50
.
To better demonstrate the loss of
angular momentum, in Fig. 4
we show the evolution of the
specific internal AM,
,
of the stars
that were initially part of the primary galaxy. We have evaluated
for five different radial
regions of the galaxy:
,
,
,
,
and
.
In all
cases considered here, we find that the stellar component
slows down out to at least 5R50,
i.e. the radius
containing ![]()
of the total stellar mass (Fig. 5),
regardless of the initial orbital parameters, inclination angles, or
satellite morphologies. The same behavior is also found in the
merger with the disky satellite, before it is ultimately destroyed
by the tidal field of the primary galaxy.
The question arises as to where this decrease in rotation
speed
comes from? During the merging process, the variation of
the half mass radius, R50,
is not more than
,
and what
variation there is in the mass distribution is not sufficient to
explain the observed decrease. To gain deeper insight, we evaluated
the anisotropy parameter,
,
where
and
are
the velocity dispersions of the radial
and tangential components, respectively (Binney
& Tremaine 1987). If the velocity
distribution is isotropic then
,
and if the velocity
distribution is dominated by tangential motions, then
,
and
if dominated
by radial motions. As shown in
Fig. 6,
the merging process is accompanied by an
evolution of the
parameter in the stellar component. The
change in
is particularly large outside of R50.
In
these outer regions, the stellar orbits, which before the
interaction were dominated by tangential orbits, tend to become
increasingly radially dominated as the merger advances. While the
outermost region,
,
of the merger remnant is
still dominated by tangential motions, the motion of stars in the
region
can become nearly isotropic from the interaction with the satellite
(see for example the
gS0dE001dir33 simulation shown in Fig. 6). A similar
change in the anisotropy was previously noted in simulations of single
mergers (Bournaud et al.
2005) and of multiple mergers
(Athanassoula
2005; Bournaud
et al. 2007). In general, the strongest
evolution of the
parameter is found in direct encounters.
If the velocity dispersion of a disk increases in a merger,
then the
effective rotational velocity decreases, because of the asymmetric
drift, see, e.g., Sect. 4 of Binney & Tremaine (1987).
The
anisotropy parameter is a way to represent the conversion of
rotational motion into random motions. To confirm that asymmetric
drift is the underlying cause, we evaluated the evolution of the
radial and tangential components of the velocity dispersions in our
simulations. In Fig. 7,
their fractional evolution (i.e.,
and
)
is
shown for one of our simulations.
The
minor merger is accompanied by an increase in the radial velocity
dispersion at all radii, but particularly in the outermost
regions. At the same time, the transverse velocity dispersion
decreases throughout the whole disk, except in the inner region
(inside 0.5R50), where the
contribution of bulge stars, which
acquire AM during the interaction, leads to an increase of
.
|
Figure 6:
Evolution of the anisotropy parameter, |
| Open with DEXTER | |
3.2.1 The effect of increasing the merger mass ratio to 20:1
In the previous sections we discussed the impact of 10:1 mass ratio
mergers on the redistribution of AM, focusing particularly on the
cause of the decrease in the rotation speed of the primary stellar
disk. In this section, we want to focus on the effect that
increasing the mass ratio in mergers, specifically from 10:1
to 20:1, has on the evolution of the anisotropy parameter and
the decrease in the specific AM of the disk
(Fig. 8).
Also for 20:1 mass ratio mergers
a decrease in the
parameter is observed (again
especially in the outer regions), indicating that the velocity
dispersion is increasing in the radial direction. The overall impact
on the disk rotation is, of course, less pronounced than for the
10:1 merger simulations. In this case, we find that the
average decrease in the internal AM of the stellar component is
,
which is about
lower than the
value found for 10:1 mergers. However, this is an average
value, whereas the actual decrease in any particular merger depends on
both the morphology and the central density of the satellite galaxy.
3.3
Rotation
speeds and v
The decrease in the specific angular momentum of the stellar component
during a minor merger is obviously reflected in other dynamical
properties of the merger remnant. As shown in Fig. 9 the
minor merger reduces the rotation speed of the stellar component of
the disk galaxy and increases its velocity dispersion. To evaluate
these quantities, we considered all stellar
particles 1 kpc above and below the meridional plane
of the primary galaxy, including those that were initially part of the
satellite galaxy.
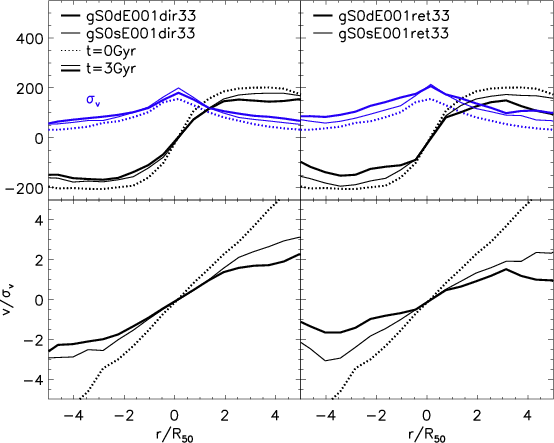
In the case of a 10:1 direct merger, the rotation speed at r=2R50decreases
by about
,
from the initial value of v=200 km s-1
to
about v=150 km s-1.
At the same time the velocity dispersion increases
over the whole disk, e.g. by about
at r=2R50.
This leads
to an overall decrease in the
ratio over the entire extent
of the disk, e.g. from 2.3 to 1.4 at r=2R50(Fig. 9). The decrease
in the rotation speed and
depends on
the merger mass ratio: at the end of the 20:1 merger the
remnant shows higher values of both v and
than
the 10:1 merger. Finally, the decrease in the rotation speed
in the
remnants of the two retrograde simulations shown in
Fig. 9,
gS0dE001ret33 and gS0sE001ret33, is due to both a
slowing down of stars in the gS0 disk (as discussed
previously) and to
a negative contribution coming from stars formerly in the satellite
galaxy. These stars have acquired part of the orbital AM, which is in
the opposite direction to the spin of the gS0, and they form a
counter-rotating extended stellar component that contributes to the
overall decrease in the line-of-sight velocity of the remnant galaxy
and to the increase in its velocity dispersion.
4 Summary and discussion
In this paper, we have studied the redistribution of the angular momentum during dissipationless minor mergers between a massive disk galaxy and an elliptical- or S0-like satellite with masses that are either ten or twenty times smaller than that of the primary galaxy. From an analysis of these simulations, we find that:
| Figure 7:
The evolution of radial and tangential fractional velocity dispersion
in different radial regions:
|
|
| Open with DEXTER | |
- During the merging process the orbital angular momentum is redistributed into internal angular momentum of both the primary galaxy and the satellite.
- The total internal angular momentum of the primary galaxy can either increase or decrease, depending on the orientation of the orbital spin (direct or retrograde orbit).
- While the initially nonrotating dark matter halo of the primary galaxy always acquires angular momentum, the specific angular momentum of the stellar component always decreases, independent of the initial orbital parameters or the morphology of the satellite galaxy.
- The decrease in the rotation speed of the disk of the main
galaxy is accompanied by a change in the distribution of the types of
stellar orbits, especially outside of the half mass radius, R50.
Generally, the radial component of the velocity dispersion becomes more
and more important, as the merger progresses, thus increasing the
anisotropy parameter,
,
from its initially negative value.
- The ratio of the rotation speed to the velocity dispersion
of the disk,
,
decreases at all radii because of both an increase in the velocity
dispersion of the disk, which is heated during the merging process, and
a decrease in the rotation speed of the disk.
|
Figure 8:
Upper panels: evolution of the absolute value
of the specific angular momentum of stars in the gS0 galaxy undergoing
a 20:1 direct ( left panel) and retrograde (
right panel) merger. The specific angular momentum has been
measured in five different radial regions, as in Fig. 4. Lower
panels: evolution of the anisotropy parameter, |
| Open with DEXTER | |
|
Figure 9:
Upper panels: line-of-sight velocities and
velocity dispersions of stars in the initial gS0 model galaxy
(dotted lines) and in the final remnant of a 10:1 (thick solid lines)
and a 20:1 (thin solid lines) merger. Direct encounters are shown in
the left panel, retrograde encounters on the
right. Lower panels: |
| Open with DEXTER | |
We have shown that minor mergers always lead to a decrease in the
rotation speed of the primary galaxy. Decreasing its rotation speed
while increasing its luminosity will move an S0 galaxy back
towards
the spiral T-F relation. While it is premature to attempt to
quantify this effect in the offset, it is clear that
minor mergers would increase the scatter by counteracting, to some
extent, passive evolution. In addition to slowing the rotation speed
of the disk, we also found that the velocity dispersion of the disk
increases, which decreases the
of the disk,
especially in the outer parts. As we have shown in
Fig. 9,
this may include an actual decrease with radius
in the very outer parts of the disk. This is qualitatively similar
to what is observed in the dynamics of planetary nebulae in
the outer disks/halos of S0 galaxies (Noordermeer et al. 2008)
and
it may suggest that, through simulating multiple minor mergers,
we may be able to reproduce the velocity structure
(e.g., Bournaud et al.
2007).
The models of Vitvitska et al. (2002) have shown that, in mergers of dark matter halos, the specific angular momenta can either increase or decrease. Over time, this would lead to an increase in the dispersion of the specific angular momentum of the halos. Our results for the dark matter halo are consistent with this, but we find systematically a decrease in the specific angular momentum of the stellar component. Instead of a ``random walk'' over time with only an increase in the scatter of the angular momentum, our results appear to suggest a systematic decrease with time in the angular momentum of the stellar component if minor mergers play a large role in the growth of galaxies and the redistribution of angular momentum.
Finally, our results indicate that (single) minor mergers are
capable of moving disk galaxies towards earlier types, since
they reduce the specific angular momentum and rotation speed,
and increase the velocity dispersion of the disk.
Bournaud et al. (2007)
have shown that a sequence of multiple minor
mergers can lead to remnants having global morphological
(flattening, Sersic index, etc.) and kinematical
(
ratio) similar to those observed in real
elliptical galaxies. Within this context, it will be interesting to
study whether the angular momentum content of the stellar and dark
matter components becomes more dispersion-dominated, whether size of
this effect depends on the total merged mass rather
than on the mass ratio of each merger, and whether successive multiple
mergers always slow down the stellar component of the primary
galaxy. Many follow-up questions remain - for example, is the
specific angular momentum of the stellar component independent of
the way mass has been assembled in major and multiple-minor
mergers. What role does the dissipative component - gas - play in
the way angular momentum is redistributed during the merger and in
the remnant? How does the gas content affect the magnitude of the
decrease in the rotation speed of the stellar disk? Does each minor
merger contribute similarly to the net slowing down, or
does each successive merger become less effective in changing the
angular momentum and rotation speed? Does the net effect saturate, so
that we are ultimately left with nothing but very slow rotators?
Our simulations show that a single dissipationless minor
merger is
sufficient to considerably reduce the
ratio, typically by a
factor 1.5-2 at 2R50. Our
merger remnants can still be classified
as early-type disk galaxies, with a central bulge component and a disk
that is thicker and kinematically hotter than that of the
progenitor. If the cumulative effect of dissipationless multiple minor
mergers leads to systematically slowing down stellar disks, then the
final remnants, which should have an elliptical morphology at that
point, should not exhibit fast rotation at large radii. The existence
of ellipticals with fast rotating halos (Coccato et al. 2009; Rix et al.
1999) may
thus require other formation mechanisms, such as major mergers of two
elliptical progenitors, as recently suggested by Di Matteo et al. (2009),
or dissipationless mergers of disk galaxies with higher mass ratios,
typically 3:1 according to Bendo
& Barnes (2000); but see also
Cretton et al. (2001).
However, the presence of a dissipative component,
whether in the progenitor disks or accreted after the merger, may
change this picture.
We will investigate all these points and their astrophysical implications as discussed above in subsequent papers.
AcknowledgementsY.Q. and P.D.M. are supported by a grant from the French Agence Nationale de la Recherche (ANR). P.D.M. thanks the Indo-French Astronomy Network for a travel grant, which made a visit to IISc possible, in Bangalore in August 2009. We are grateful to Benoît Semelin and Françoise Combes for developing the code used in this paper and for their permission to use it. These simulations will be made available as part of the GalMer simulation data base (http://galmer.obspm.fr). We wish to thank the referee for the constructive and helpful report that substantially improved this manuscript.
Appendix A: Kinematics of the gS0 galaxy when evolved in isolation
The goal of this paper is to investigate the role minor mergers play in the angular momentum redistribution and kinematics of the massive galaxy. Therefore we must distinguish the impact of minor mergers on the properties of early type disk galaxies from the effects of secular evolution. To make this distinction, it is also important to study the evolution of isolated galaxies. To this end, we ran a control simulation in which the massive S0 galaxy is evolving as an isolated system over 3 Gyr, i.e., the same duration as the merger runs.
As can be seen in Fig. A.1, the kinematics
of the isolated S0 galaxy
does not change significantly over this period: no increase is found
in the velocity dispersion of the central regions or the outer disk,
and also the final line-of-sight velocities are remarkably similar to
the initial values, apart from some insignificant decrease outside
2R50. Of particular interest
is that the final
ratio
of the isolated massive galaxy differs significantly from that of the
massive galaxy even after a minor merger, even in the
20:1 case. Comparing Fig. A.1 with
Fig. 9
shows that the minor
interaction induces a decrease at all radii, even inside 2R50,
which is not found for the galaxy that evolved in isolation. Secular
evolution causes only a slight decrease in
- the final
ratio is
lower than the initial one at r=R50,
and 23
at r=4R50,
whereas even a 20:1 merger induces a much more
pronounced slowing down of the disk at all radii, with a final
decrease in
of
at r=R50
and
at
r=4R50
(see Table A.1).
However, it will be interesting to find out at what merger mass ratio
the decrease in
is
comparable to that of secular evolution.
|
Figure A.1:
Upper panel: line-of-sight velocities and
velocity
dispersions of stars in the gS0 galaxy that evolved in
isolation, at
t=0 (dotted lines) and at t=3 Gyr
(solid lines). Lower
panel: corresponding |
| Open with DEXTER | |
Table A.1:
ratios at
different radii, for the gS0 galaxy which
evolved in isolation and after a minor 20:1 and 10:1 merger.
References
- Abadi, M. G., Navarro, J., Steinmetz, M., & Eke, V. R. 2003, ApJ, 597, 21 [NASA ADS] [CrossRef] [MathSciNet] [Google Scholar]
- Athanassoula, E. 2005, in Planetary Nebulae as Astronomical Tools, ed. R. Szczerba, G. Stasinska, & S. K. Gorny, AIP Conf. Ser., 804, 333 [Google Scholar]
- Balcells, M., & Quinn, P. J. 1990, ApJ, 361, 381 [NASA ADS] [CrossRef] [Google Scholar]
- Barnes, J. E. 1992, ApJ, 393, 484 [NASA ADS] [CrossRef] [Google Scholar]
- Barnes, J. E., & Hernquist, L. E. 1991, ApJ, 370, L65 [NASA ADS] [CrossRef] [Google Scholar]
- Barnes, J. E., & Hernquist, L. 1996, ApJ, 471, 115 [NASA ADS] [CrossRef] [Google Scholar]
- Bedregal, A. G., Aragón-Salamanca, A., & Merrifield, M. R. 2006, MNRAS, 373, 1125 [NASA ADS] [CrossRef] [Google Scholar]
- Bekki, K., & Shioya, Y. 1997, ApJ, 478, 17 [NASA ADS] [CrossRef] [Google Scholar]
- Bendo, G. J., & Barnes, J. E. 2000, MNRAS, 316, 315 [NASA ADS] [CrossRef] [Google Scholar]
- Benson, A. J., Lacey, C. G., Frenk, C. S., Baugh, C. M., & Cole, S. 2004, MNRAS, 351, 1215 [NASA ADS] [CrossRef] [Google Scholar]
- Binney, J., & Tremaine, S. 1987, Galactic Dynamics (Princeton: Princeton Univ. Press) [Google Scholar]
- Bournaud, F., Combes, F., & Jog, C. J. 2004, A&A, 418, L27 [NASA ADS] [CrossRef] [EDP Sciences] [Google Scholar]
- Bournaud, F., Jog, C. J., & Combes, F. 2005, A&A, 437, 69 [NASA ADS] [CrossRef] [EDP Sciences] [Google Scholar]
- Bournaud, F., Jog, C. J., & Combes, F. 2007, A&A, 476, 1179 [NASA ADS] [CrossRef] [EDP Sciences] [Google Scholar]
- Carlberg, R. G., & Couchman, H. M. P. 1989, ApJ, 340, 47 [NASA ADS] [CrossRef] [Google Scholar]
- Chilingarian, I., Di Matteo, P., Combes, F., Melchior, A.-L., & Semelin, B. 2010, A&A, accepted [Google Scholar]
- Coccato, L., Gerhard, O., Arnaboldi, M., et al. 2009, MNRAS, 394, 1249 [NASA ADS] [CrossRef] [Google Scholar]
- Cretton, N., Naab, T., Rix, H.-W., & Burkert, A. 2001, ApJ, 554, 291 [NASA ADS] [CrossRef] [Google Scholar]
- Debattista, V. P., Mayer, L., Carollo, M. C., et al. 2006, ApJ, 645, 209 [NASA ADS] [CrossRef] [Google Scholar]
- Di Matteo, P., Jog, C. J., Lehnert, M. D., Combes, F., & Semelin, B. 2009, A&A, 501, L9 [NASA ADS] [CrossRef] [EDP Sciences] [Google Scholar]
- D'Onghia, E., & Burkert, A. 2004, ApJ, 612, L13 [NASA ADS] [CrossRef] [Google Scholar]
- Emsellem, E., Cappellari, M., Krajnovic, D., et al. 2007, MNRAS, 379, 401 [NASA ADS] [CrossRef] [Google Scholar]
- Erwin, P., Beckman, J. E., & Pohlen, M. 2005, ApJ, 626, L81 [Google Scholar]
- Fakhouri, O., & Ma, C.-P. 2008, MNRAS, 386, 577 [NASA ADS] [CrossRef] [Google Scholar]
- Feldmann, R., Mayer, L., & Carollo, C. M. 2008, ApJ, 684, 1062 [NASA ADS] [CrossRef] [Google Scholar]
- Font, A. S., Navarro, J. F., Stadel, J., & Quinn, T. 2001, ApJ, 563, L1 [NASA ADS] [CrossRef] [Google Scholar]
- Frenk, C. S., White, S. D. M., Davis, M., & Efstathiou, G. 1988, ApJ, 327, 507 [NASA ADS] [CrossRef] [Google Scholar]
- Gao, L., White, S. D. M., Jenkins, A., Stoehr, F., & Springel, V. 2004, MNRAS, 355, 819 [NASA ADS] [CrossRef] [Google Scholar]
- Hinz, J. L., Rieke, G. H., & Caldwell, N. 2003, AJ, 126, 2622 [NASA ADS] [CrossRef] [Google Scholar]
- Ibata, R., A., Gilmore, G., & Irwin, M. J. 1994, Nature, 370, 194 [NASA ADS] [CrossRef] [Google Scholar]
- Ibata, R., Irwin, M., Lewis, G., Ferguson, A. M. N., & Tanvir, N. 2001, Nature, 412, 49 [NASA ADS] [CrossRef] [PubMed] [Google Scholar]
- Ibata, R., Chapman, S., Ferguson, A. M. N., et al. 2005, ApJ, 634, 287 [NASA ADS] [CrossRef] [Google Scholar]
- Jesseit, R., Cappellari, M., Naab, T., Emsellem, E., & Burkert, A. 2009, MNRAS, 397, 1202 [NASA ADS] [CrossRef] [Google Scholar]
- Jog, C. J., & Chitre, A. 2002, A&A, 393, L89 [NASA ADS] [CrossRef] [EDP Sciences] [Google Scholar]
- Jogee, S., Miller, S. H., Penner, K., et al. 2009, ApJ, 697, 1971 [NASA ADS] [CrossRef] [Google Scholar]
- Johnston, K. V., Hernquist, L., & Bolte, M. 1996, ApJ, 465, 278 [NASA ADS] [CrossRef] [Google Scholar]
- Kaviraj, S., Peirani, S., Khochfar, S., Silk, J., & Kay, S. 2009, MNRAS, 394, 1713 [NASA ADS] [CrossRef] [Google Scholar]
- Kazantzidis, S., Bullock, J. S., Zentner, A. R., Kravtsov, A. V., & Moustakas, L. A. 2008, ApJ, 688, 254 [NASA ADS] [CrossRef] [Google Scholar]
- Kazantzidis, S., Zentner, A. R., Kravtsov, A. V., Bullock, J. S., & Debattista, V. P. 2009, ApJ, 700, 1896 [NASA ADS] [CrossRef] [Google Scholar]
- Kennicutt, R. C., Schweizer, F., Barnes, J. E., et al. 1998, Galaxies: Interactions and Induced Star Formation (Berlin: Springer) [Google Scholar]
- Kormendy, J. 1984, ApJ, 287, 577 [NASA ADS] [CrossRef] [Google Scholar]
- Lacey, C., & Cole, S. 1993, MNRAS, 262, 627 [NASA ADS] [CrossRef] [Google Scholar]
- Laurikainen, E., Salo, H., & Knapen, J. H. 2007, MNRAS, 381, 401 [NASA ADS] [CrossRef] [Google Scholar]
- Martínez-Delgado, D., Aparicio, A., Gómez-Flechoso, M., & Carrera, R. 2001, ApJ, 549, L199 [NASA ADS] [CrossRef] [Google Scholar]
- Martínez-Delgado, D., Peñarrubia, J., Gabany, R. J., et al. 2008, ASPC, 399, 461 [NASA ADS] [Google Scholar]
- Mathieu, A., Merrifield, M. R., & Kuijken, K. 2002, MNRAS, 330, 251 [NASA ADS] [CrossRef] [Google Scholar]
- McMillan, P. J., Athanassoula, E., & Dehnen, W. 2007, MNRAS, 376,1261 [NASA ADS] [CrossRef] [MathSciNet] [Google Scholar]
- Mihos, J. C., Walker, I. R., Hernquist, L., Mendes de Oliveira, C., & Bolte, M. 1995, ApJ, 447, 87 [Google Scholar]
- Mo, H. J., Mao, S., & White, S. D. M. 1998, MNRAS, 295, 31 [Google Scholar]
- Moster, B. P., Macció, A. V., Somerville, R. S., Johansson, P. H., & Naab, T. 2010, MNRAS, 403, 1009 [NASA ADS] [CrossRef] [Google Scholar]
- Naab, T., & Burkert, A. 2003, ApJ, 597, 893 [NASA ADS] [CrossRef] [Google Scholar]
- Naab, T., Burkert, A., & Hernquist, L. 1999, ApJ, 523, 133 [NASA ADS] [CrossRef] [Google Scholar]
- Newberg, H. J., Yanny, B., Rockosi, C., et al. 2002, ApJ, 569, 245 [NASA ADS] [CrossRef] [Google Scholar]
- Noordermeer, E., van der Hulst, J. M., Sancisi, R., et al. 2007, MNRAS, 376, 1513 [NASA ADS] [CrossRef] [Google Scholar]
- Noordermeer, E., Merrifield, M. R., Coccato, L., et al. 2008, MNRAS, 384, 943 [NASA ADS] [CrossRef] [Google Scholar]
- Pohlen, M., & Trujillo, I. 2006, A&A, 454, 759 [NASA ADS] [CrossRef] [EDP Sciences] [Google Scholar]
- Puerari, I., García-Gómez, C., & Garijo, A. 1998, in Galactic Halos: a UC Santa Cruz Workshop, ed. D. Zaritsky, ASP Conf. Ser., 136, 271 [Google Scholar]
- Quinn, P. J., Hernquist, L., & Fullagar, D. P. 1993, ApJ, 403, 74 [NASA ADS] [CrossRef] [Google Scholar]
- Rix, H.-W., Carollo, C. M., & Freeman, K. 1999, ApJ, 513, L25 [NASA ADS] [CrossRef] [Google Scholar]
- Sellwood, J. A., & Debattista, V. P. 2006, ApJ, 639, 868 [NASA ADS] [CrossRef] [Google Scholar]
- Semelin, B., & Combes, F. 2002, A&A, 388, 826 [NASA ADS] [CrossRef] [EDP Sciences] [Google Scholar]
- Silk, J. 1997, ApJ, 481, 703 [NASA ADS] [CrossRef] [Google Scholar]
- Simien, F., & de Vaucouleurs, G. 1986, ApJ, 302, 564 [NASA ADS] [CrossRef] [Google Scholar]
- Springel, V. 2000, MNRAS, 312, 859 [NASA ADS] [CrossRef] [Google Scholar]
- van den Bosch, F. C., Burkert, A., & Swaters, R. A. 2001, MNRAS, 326, 1205 [Google Scholar]
- Velazquez, H., & White, S. D. M. 1999, MNRAS, 304, 254 [NASA ADS] [CrossRef] [Google Scholar]
- Villalobos, A., & Helmi, A. 2008, MNRAS, 391, 1806 [NASA ADS] [CrossRef] [Google Scholar]
- Vitvitska, M., Klypin, A. A., Kravtsov, A. V., et al. 2002, ApJ, 581, 799 [Google Scholar]
- Walker, I. R., Mihos, J. C., & Hernquist, L. 1996, ApJ, 460, 121 [NASA ADS] [CrossRef] [Google Scholar]
- Williams, M. J., Bureau, M., & Cappellari, M. 2009, MNRAS, 400, 1665 [NASA ADS] [CrossRef] [Google Scholar]
- Yanny, B., Newberg, H. J., Grebel, E. K., et al. 2003, ApJ, 588, 824 [NASA ADS] [CrossRef] [Google Scholar]
- Younger, J. D., Cox, T. J., Seth, A. C., & Hernquist L. 2007, ApJ, 670, 269 [Google Scholar]
- Younger, J. D., Besla, G., Cox, T. J., et al. 2008, ApJ, 676, L21 [NASA ADS] [CrossRef] [Google Scholar]
Footnotes
All Tables
Table 1: Galaxy parameters for the initial models of the bulge and halo, modeled as Plummer spheres.
Table 2: Orbital parameters for the gS0-sE0 interactions.
Table 3: Particle numbers for disk galaxy and satellites.
Table A.1:
ratios at
different radii, for the gS0 galaxy which
evolved in isolation and after a minor 20:1 and 10:1 merger.
All Figures
|
Figure 1:
Top panels: evolution of the absolute value
of the total (solid line), orbital (dotted line), and internal (dashed
line) angular momentum for some of the simulated 10:1 mergers,
for both the stellar and dark matter components together.
Bottom panels: evolution of the absolute value of the
internal angular momentum of the
massive gS0 galaxy (red dashed line) and of the dE0 satellite
(blue dashed line) for both the stellar and dark matter components
together. The angular momentum is in units of
|
| Open with DEXTER | |
| In the text | |
| |
Figure 2:
Evolution of the absolute value of the internal angular momentum in
minor mergers with different baryonic mass concentrations of the
merging satellite. The mass of the satellite is the same, only the
central volume density is |
| Open with DEXTER | |
| In the text | |
|
Figure 3:
Evolution of the absolute value of the internal angular momentum of the
stellar and dark matter components of the gS0 galaxy (solid
and dotted red lines) and of its satellite (solid and dotted blue
lines) for four 10:1 mergers. The angular momentum is in units
of |
| Open with DEXTER | |
| In the text | |
|
Figure 4:
Evolution of the absolute value of the specific angular momentum of the
stars in the gS0 galaxy for six of the direct and retrograde
merger simulations with a dE0 or a dS0 satellite. The angular
momentum is estimated in five different radial regions relative to the
half mass radius, R50:
|
| Open with DEXTER | |
| In the text | |
|
Figure 5: Absolute value of the specific angular momentum, l, of stars in the gS0 galaxy at the start of the simulation, t=0 (dotted lines), and at 3 Gyr (solid lines) after the start of the simulation, as a function of radii containing a fixed percentage of the stellar mass. l was measured at least 1 Gyr after the merger completed. The specific angular momentum is in units of 100 kpc km s-1. |
| Open with DEXTER | |
| In the text | |
|
Figure 6:
Evolution of the anisotropy parameter, |
| Open with DEXTER | |
| In the text | |
| |
Figure 7:
The evolution of radial and tangential fractional velocity dispersion
in different radial regions:
|
| Open with DEXTER | |
| In the text | |
|
Figure 8:
Upper panels: evolution of the absolute value
of the specific angular momentum of stars in the gS0 galaxy undergoing
a 20:1 direct ( left panel) and retrograde (
right panel) merger. The specific angular momentum has been
measured in five different radial regions, as in Fig. 4. Lower
panels: evolution of the anisotropy parameter, |
| Open with DEXTER | |
| In the text | |
|
Figure 9:
Upper panels: line-of-sight velocities and
velocity dispersions of stars in the initial gS0 model galaxy
(dotted lines) and in the final remnant of a 10:1 (thick solid lines)
and a 20:1 (thin solid lines) merger. Direct encounters are shown in
the left panel, retrograde encounters on the
right. Lower panels: |
| Open with DEXTER | |
| In the text | |
|
Figure A.1:
Upper panel: line-of-sight velocities and
velocity
dispersions of stars in the gS0 galaxy that evolved in
isolation, at
t=0 (dotted lines) and at t=3 Gyr
(solid lines). Lower
panel: corresponding |
| Open with DEXTER | |
| In the text | |
Copyright ESO 2010
Current usage metrics show cumulative count of Article Views (full-text article views including HTML views, PDF and ePub downloads, according to the available data) and Abstracts Views on Vision4Press platform.
Data correspond to usage on the plateform after 2015. The current usage metrics is available 48-96 hours after online publication and is updated daily on week days.
Initial download of the metrics may take a while.
![\begin{figure}
\par\includegraphics[width=14cm,clip]{13559fg1.ps}
\end{figure}](/articles/aa/full_html/2010/07/aa13559-09/Timg46.png)
![\begin{figure}
\par\includegraphics[width=8cm,clip]{13559fg3.ps}
\end{figure}](/articles/aa/full_html/2010/07/aa13559-09/Timg49.png)
![\begin{figure}
\par\includegraphics[width=12cm,clip]{13559fg4.ps}
\end{figure}](/articles/aa/full_html/2010/07/aa13559-09/Timg50.png)
![\begin{figure}
\par\includegraphics[width=12cm,clip]{13559fg5.ps}
\end{figure}](/articles/aa/full_html/2010/07/aa13559-09/Timg53.png)
![\begin{figure}
\par\includegraphics[width=12cm,clip]{13559fg6.ps}
\end{figure}](/articles/aa/full_html/2010/07/aa13559-09/Timg66.png)
![\begin{figure}
\par\includegraphics[width=7.8cm,clip]{13559fg8.ps}
\end{figure}](/articles/aa/full_html/2010/07/aa13559-09/Timg72.png)
![\begin{figure}
\par\includegraphics[width=7.8cm,clip]{13559fg9.ps}
\end{figure}](/articles/aa/full_html/2010/07/aa13559-09/Timg73.png)
![\begin{figure}
\par\includegraphics[width=6cm,clip]{13559fg10.ps}
\end{figure}](/articles/aa/full_html/2010/07/aa13559-09/Timg76.png)