| Issue |
A&A
Volume 515, June 2010
|
|
|---|---|---|
| Article Number | A32 | |
| Number of page(s) | 14 | |
| Section | Celestial mechanics and astrometry | |
| DOI | https://doi.org/10.1051/0004-6361/200913690 | |
| Published online | 04 June 2010 | |
Precise predictions of stellar
occultations by Pluto, Charon, Nix, and Hydra for 2008-2015
,
,![[*]](/icons/foot_motif.png)
M. Assafin1
- J. I. B. Camargo2,1 - R. Vieira Martins2,1,
- A. H. Andrei2,1,
- B. Sicardy4,5
- L. Young6 - D. N. da Silva Neto3,1
- F. Braga-Ribas2,1
1 - Observatório do Valongo/UFRJ, Ladeira Pedro Antonio 43, CEP
20.080-090 Rio de Janeiro - RJ, Brazil
2 - Observatório Nacional/MCT, R. General José Cristino 77, CEP
20921-400 Rio de Janeiro - RJ, Brazil
3 - Centro Universitário Estadual da Zona Oeste, Av. Manual Caldeira de
Alvarenga 1203,
CEP: 23.070-200 Rio de Janeiro - RJ, Brazil
4 - Observatoire de Paris/LESIA, Meudon, France
5 - Université Pierre et Marie Curie, Institut Universitaire de France,
Paris, France
6 - Southwest Research Institute, 1050 Walnut St, Boulder, CO 80302,
USA
Received 17 November 2009 / Accepted 4 February 2010
Abstract
Context. We investigate transneptunian objects,
including Pluto and its satellites, by stellar occultations.
Aims. Our aim is to derive precise, astrometric
predictions for stellar occultations by Pluto and its satellites
Charon, Hydra and Nix for 2008-2015. We construct an astrometric star
catalog in the UCAC2 system covering Pluto
s sky path.
Methods. We carried out in 2007 an observational
program at the ESO2p2/WFI instrument covering the sky path of Pluto
from 2008 to 2015. We made the astrometry of 110 GB of images
with the Platform for Reduction of Astronomical Images Automatically
(PRAIA). By relatively simple astrometric techniques, we treated the
overlapping observations and derived a field distortion pattern for the
WFI mosaic of CCDs to within 50 mas precision.
Results. Positions were obtained in the UCAC2 frame
with errors of 50 mas for stars up to magnitude R
= 19, and 25 mas up to R = 17. New stellar
proper motions were also determined with 2MASS and the USNO
B1.0 catalog positions as first epoch. We generated 2252
predictions of stellar occultations by Pluto, Charon, Hydra and Nix for
2008-2015. An astrometric catalog with proper motions was produced,
containing 2.24 million stars covering Pluto
s sky path with
width.
Its magnitude completeness is about
R
= 18-19 with a limit about R = 21. Based on the
past 2005-2008 occultations successfully predicted, recorded and
fitted, a linear drift with time in declination with regard to
DE418/plu017 ephemerides was determined for Pluto and used in
the current predictions. For offset (mas) =
,
we find A = +30.5
4.3 mas yr-1 and
mas,
with standard deviation of 14.4 mas for the offsets. For these
past occultations, predictions and follow-up observations were made
with the 0.6 m and 1.6 m telescopes at the
Laboratório Nacional de Astrofísica/Brazil.
Conclusions. Recurrent issues in stellar occultation
predictions were addressed and properly overcome: body ephemeris
offsets, catalog zero-point position errors and field-of-view size,
long-term predictions and stellar proper motions, faint-visual versus
bright-infrared stars and star/body astrometric follow-up. In
particular, we highlight the usefulness of the obtained astrometric
catalog as a reference frame for star/body astrometric follow-up before
and after future events involving the Pluto system. Besides,
it also furnishes useful photometric information for field
stars in the flux calibration of observed light curves. Updates on the
ephemeris offsets and candidate star positions (geometric conditions of
predictions and finding charts) are made available by the group at
www.lesia.obspm.fr/perso/bruno-sicardy/.
Key words: astrometry - occultations - planets and satellites: individual: Pluto - planets and satellites: individual: Charon - planets and satellites: individual: Nix - planets and satellites: individual: Hydra
1 Introduction
Investigating physical properties of Pluto and its satellites is essential for understanding transneptunian objects, keystones in the study of structure, origin and evolution of the solar system.
Lower/upper limits of 1169-1172 km and
1190-1193 km for Pluto
s radius are given by the
combination of gaseous CH4 spectra and
stellar occultation observations (Lellouch et al. 2009). The
Charon radius ranges from
km
to
km,
as estimated by various authors from the
2005 July 11 stellar occultation (Sicardy
et al. 2006;
Gulbis et al. 2006;
Person et al. 2006).
Pluto, Charon, Nix, and Hydra have estimated GM values of
,
,
and 0.021
0.042 km3 s-2
respectively (Tholen et al. 2008). This
results in densities of 1.8-2.1 g cm-3
and 1.55-1.80 g cm-3 for Pluto
and Charon, with rock versus ice fractions of 0.65 and of
0.55-0.60, respectively, in agreement with current structural models
(McKinnon et al. 1997).
Nix and Hydra estimated diameters are 88 km and
72 km, assuming a density of 1.63 gm cm-3
like Charon (Tholen et al. 2008).
Stellar occultations have unveiled surprising features in Pluto
s tenuous
bar-level
atmosphere. Its upper atmosphere is isothermal with T
100 K above about 1215 km from the center. Pressure
roughly doubled between 1988-2002 after Pluto
s 1989 perihelion passage and
then stabilized over 2002-2007 (Sicardy et al. 2003; Elliot
et al. 2003,
2007; Young
et al. 2008).
Pluto
s
atmosphere is thought to be mainly N2,
with a measured CH4 abundance of
0.5%
0.1%
and some undetermined amount of CO (Lellouch et al. 2009). The
molecular nitrogen is in vapor-pressure equilibrium with the N2 frost
at the surface. Even so, the tiny amount of methane is known
to be able to produce a pronounced thermal inversion layer. Indeed,
about 10 km below 1215 km, there is a remarkable
thermal inversion, which is probably caused by methane heating (see
Yelle & Lunine 1989;
Lellouch et al. 2009,
for details). An additional interesting feature in Pluto's
atmosphere are gravity and/or Rossby waves detected via stellar
occultation (Hubbard et al. 2009; Person
et al. 2008;
McCarthy et al. 2008).
The 2005 stellar occultation by Charon brought stringent
constraints on the presence of an atmosphere. Considering a surface
temperature of 56 K rising up to 100 K above
20 km, a pure N2
or CH4 isothermal atmosphere leads to
pressure limits of 15
bar and 110
bar respectively (Sicardy et al. 2006). These low
values are compatible with the expected volatile escape rates for
Charon (Yelle & Elliot 1997).
Despite all this knowledge, Pluto
s radius is still dependent on
atmospheric models (Stansberry et al. 1994;
Lellouch et al. 2009).
Also, the thermal inversion could alternatively be explained by the
presence of a thin haze layer with opacity >0.15 in vertical
viewing. Moreover, because the N2 vapor
pressure is a steep function of temperature, an instantaneous
response of the surface to insolation decay of about 3% should
have led to a pressure decrease by a factor of 1.4 between
1988 and 2002, instead of the observed increase by a factor of about
two. All this points to more complex scenarii at work over the 248-year
Pluto
s
orbital period. Seasonal effects associated with the recent passage
through its equinox (December 1987), also at perihelion epoch
(September 1989), may have led to the redistribution of ices
on Pluto
s
surface. For instance, the recently sunlit southern cap could now
sublimate its nitrogen ice, thus feeding the atmosphere with more N2
despite the decreasing solar energy available. A time lag is
now necessary for this nitrogen to condense near the now permanently
non-illuminated northern polar region. This kind of scenario was
actually predicted in the work by Hansen & Paige (1996).
Their best model predicted a pressure maximum in 2005 and a significant
decrease only after 2025. Pressure would only be restored back to the
1988 levels in the 2100s. These models are not unique, however, and
although they capture the basic physics behind those large pressure
variations, the amplitude and duration of the present surge may show a
significant discrepancy when compared to models.
Note also that any new measurements of Charon
s radius may
furnish even better density figures and thus improve its ice/silicate
ratio estimates. Moreover, any stellar occultation by Nix or Hydra will
become a benchmark for the Pluto-Charon system. Size and shape could be
obtained at kilometer-level precision, finally leading to the
determination of density and ice/rock ratio for these small satellites.
This in turn would allow for a better selection among plausible
scenarios for the collisional history of the Pluto system. The same
could be said of serendipitous detection of orbiting material.
All this strongly supports observation of stellar occultations
by Pluto and its satellites. In the next years there will be
no other observational alternative available to probing at high spatial
resolution (km accuracy) Pluto
s atmospheric structure between
the surface and about 150 km
altitude, at least until 2015 when NASA
s New Horizons spacecraft
arrives at Pluto. In this context, efforts toward new and
precise predictions for future occultations are important. Note that
until the 2000 s, the Pluto-Charon system has only been probed
almost exclusively by the 1988 mutual events between Pluto and Charon.
Furthermore, a stellar occultation observed in 1985 revealed Pluto
s atmosphere
(Brosch 1995),
which was observed more extensively during another occultation in 1988
(Millis et al. 1993).
Also, besides the first stellar occultation recorded for Charon (Walker
1980), only
two others were so far observed, one on 11 July 2005
(Sicardy et al. 2006;
Gulbis et al. 2006)
and another on 22 June 2008 (Sicardy et al.
2010, in prep.).
The first consistent efforts for the prediction of stellar
occultations by Pluto are described in Mink & Klemola (1985) and cover
the period 1985-1990. After that, only the work by McDonald &
Elliot (2000a,b)
is worth noting, now covering the period 1999-2009. Two important
common limitations were the astrometric precision of about
only 0
2
and the lack of stellar proper motions leading to uncertainties on the
order of the Earth radius for the predicted shadow paths. Also, these
earlier predictions were degraded by poorer precision of older
ephemerides, an issue which changed with the constant feed of new Pluto
positions.
To overcome these and other problems, we carried out an observational program at the ESO2p2/WFI instrument during 2007 and derived precise positions for determining accurate predictions of stellar occultations by Pluto and its satellites Charon, Nix and Hydra for the period 2008-2015.
In Sect. 2, we further develop the astrometric
context of predictions and the rationale of the
ESO2p2/WFI program. In Sect. 3 we describe the
observations. The astrometric treatment is detailed in
Sect. 4. As an important part of the work, the
derived catalog of star positions along Pluto
s sky path is presented in
Sect. 5. Next, in Sect. 6, we describe the
determination of ephemeris offsets for Pluto -
a necessary refinement for the predictions. The candidate star
search procedure is explained in Sect. 7. Predictions of
stellar occultations by Pluto and its satellites are finally presented
in Sect. 8 and results are discussed
in Sect. 9.
2 Stellar occultation predictions: astrometric rationale
Following the release of the ICRS (Arias et al. 1995; Feissel & Mignard 1998) and of the HIPPARCOS catalog (Perryman et al. 1997), denser and astrometrically more precise catalogs became available in the 2000 s, such as the UCAC2 (Zacharias et al. 2004), the 2MASS (Cutri et al. 2003), the USNO B1.0 (Monet et al. 2003) and the GSC2.3 (Lasker et al. 2008). Not by chance a remarkable improvement in the prediction of stellar occultations has taken place since then. Telescopes equipped with CCDs with a relatively small FOV (field-of-view) could now be used. Not only provisional positions of candidate stars could thus be improved, but also better estimates for the Pluto ephemeris offsets could be derived. Another factor was the entering of Pluto in front of the projected Galactic plane, increasing the frequency of possible events. Successful examples of these new prediction methods are the stellar occultation campaigns of 2002 for Pluto (Sicardy et al. 2003) and of 2005 for Charon (Sicardy et al. 2006).
Since 2004, our group has been engaged on a systematic effort
to derive astrometric predictions for stellar occultations by Pluto and
its satellites. Using meter-class telescopes and refined astrometric
methods, precise positions based in the UCAC2 catalog were
obtained since then, not only for candidate stars, but also for Pluto
itself. A number of stellar occultations between 2005-2008 were
forecast and successfully observed as predicted for stars between
13 < R < 16. One by-product of those
occultation observations has been to provide an accurate Pluto
s offset
relative to its ephemeris, revealing a clear linear drift in time for
declination, as we show in this paper. This drift can yield to
declination offsets larger than 100 milli-arcsec (mas) for
2009 (see Sect. 6). This is comparable to Pluto
s apparent
angular diameter. By knowing the ephemeris offset, we could
forecast events for Pluto up to 2015. Since the orbits of
Charon, Nix and Hydra around Pluto are well known, we could also extend
stellar occultation predictions to these satellites.
As time goes by, mostly for magnitudes fainter than about R = 14, the estimation of star coordinates for current and future events is severely degraded by increasing errors in proper motion and mean catalog position, amounting to budget uncertainties of more than 70 mas for UCAC2. Position errors can be even worse than 100-200 mas for the 2MASS, USNO B1.0 and GSC2.3 catalogs. In this magnitude regime, predictions based solely on these catalog positions start to become unusable. This is important, as fainter - thus, more numerous - objects are becoming more and more accessible to modern detectors.
Moreover, as Pluto passes in front of regions of denser molecular clouds in the Galactic plane, chances are that relatively faint V or R, but bright infrared-emitting stars might be missed. Another issue is the problem of zero-point reference frame errors inherent to small FOV astrometry.
To overcome these problems, an observational program was carried out at the ESO2p2/WFI instrument during 2007. Precise positions were obtained and accurate predictions derived for stellar occultations by Pluto and its satellites Charon, Nix and Hydra. The astrometry of about 110 GB of acquired/processed images was accomplished with the Platform for Reduction of Astronomical Images Automatically - PRAIA (Assafin 2006). The software provides astrometric solutions suitable for the overlapping WFI CCD moscaics. The covered sky path of Pluto extended from 2008 to 2015-year of the New Horizons flyby. Results for 2008 and 2009 were also included because they might be eventually useful for the adjustment of occultations not yet published and for external checks of the accuracy of our predictions. In the astrometry, we derived a field distortion pattern for the WFI mosaic of CCDs within 50 mas precision. Another feature of our astrometric procedure was the determination of star proper motions using the 2MASS and USNO B1.0 catalogs as first epoch. In this way, we minimized the position error propagation for the 2015 predictions.
From the above procedures, an astrometric catalog of 30
width was derived
encompassing the 2008-2015 sky path of Pluto. It is in the
UCAC2 reference frame with magnitude completeness around
R
= 18-19 and limiting magnitude about R = 21. Having
about 2.24 million stars available in electronic form, the
catalog can be very useful in the astrometric calibration of small
CCD fields around Pluto and candidate stars, for refining
occultation predictions and for star/body astrometric follow up before
and after event date. It can be also helpful for deriving the
photometric properties of flux calibration stars in the
occultation FOV.
Predictions of past 2005-2008 stellar occultations by Pluto and Charon were updated by an astrometric follow-up program carried out in that period at the B&C 0.6 m telescope of the Laboratório Nacional de Astrofísica (LNA), Brazil. From this follow-up program comes an independent set of precise star positions, which is discussed in detail in Sect. 6.
For the future events here predicted, the positions of candidate stars are based on the obtained catalog, with typical errors of 20 mas. This precision is more than enough for a successful record of an occultation by Pluto, as its current apparent radius in the sky is about 50 mas. However, Nix and Hydra are more subject to missings, as their apparent radii are about 7 mas only. The same could be said (to a lesser extent) about Charon (25 mas apparent radius). The probabilities of successful occultation recordings for these satellites are addressed in detail in Sect. 9.
3 Observations at ESO
Observations were made at the 2.2 m Max-Planck ESO (ESO2p2)
telescope (IAU code 809) with the Wide Field Imager
(WFI) CCD mosaic detector. Each mosaic is composed by eight
4 k
2 k CCDs
of 7
5
15
(RA, Dec)
size, resulting in a total coverage of 30
30
per mosaic. The
pixel scale is 0
238.
A broad-band R filter (ESO
844) was
used with
= 651.725 nm
and
= 162.184 nm
(full width at half maximum). Exposure time was 30 s.
In very few cases, larger exposure times were used to
compensate for bad weather conditions. In general, S/N ratios
of about 200 were reached for objects with R
= 17 without saturating bright (
R = 13-15)
stars. The limiting magnitude was about R = 21,
with completeness about R
= 18.0-19.0. The seeing varied between 0
6
and 1
5,
and was typically 1
.
Observations spanned Pluto
s sky path from 2008 to 2015.
Runs were carried out in September and October 2007, covering
the 2008-2010 and 2011-2015 paths respectively. Mosaic overlapping was
optimized for astrometric precision and telescope time consuming,
including small shifts so that each star was exposed at least twice in
different CCDs. Table 1
lists the WFI mosaic centers for each covered year.
A total of 150 WFI mosaics or
1200 individual CCD frames were acquired for science.
This resulted in about 40 GB of photometrically calibrated
processed images.
Table 1:
The (
,
)
ESO2p2/WFI mosaic centers for Pluto sky path from 2008 to 2015.
Figure 1 illustrates the sky path covered by Pluto.
|
Figure 1:
Sky path covered by the ESO2p2/WFI CCD mosaic observations.
Years 2008-2015 follow from top to bottom.
The continuous line is the sky path of Pluto. Each dashed form
represents the 30
|
| Open with DEXTER | |
In all - including the 150 science mosaics for Pluto -
398 observed WFI mosaics (170 in September,
228 in October 2007) or 3184 individual
CCD frames were used for determining astrometric field
distortions (see Sect. 4.1), resulting in about 108GB of
photometrically calibrated processed images. The mosaic centers were
distributed along the projected Galactic plane, next to Pluto
s sky paths, where the
star-crowded fields particularly favour resolution of distortion maps.
The 248 extra mosaics served for another similar astrometric
program carried out with the same instrument, covering the 2008-2015
sky path of transneptunian Quaoar, close to Pluto
s own sky path.
4 Astrometry
All CCD images underwent overscan, zeromean, flatfield and bad pixel corrections with IRAF (Tody 1993) via the esowfi (Jones & Valdes 2000) and mscred (Valdes 1998) packages. Using the PRAIA package, the astrometric treatment consisted of three steps. First, a field distortion pattern was determined for each CCD in the WFI mosaics for each run. Then astrometry was performed over the individual CCDs, with the (x, y) measurements corrected by the pre-determined field distortions. Next all positions of common objects observed over the different CCDs and mosaics were combined in a global solution for each year, when final (RA, Dec) star positions were obtained. Besides positions, proper motions were also computed for each object using the 2MASS and USNO B1.0 catalogs as first epoch. These procedures are described in detail in the following subsections.
4.1 Field distortion pattern
Field Distortion Pattern (FDP) is characterized by the existence of at
least two different regions on the CCD field where fixed
distances on the sky present different angular distance measurements,
even after modeling known astronomical effects (differential
refraction, etc.). The ESO2p2/WFI mosaic is affected by FDP
due to optical distortions of the third order, which may reach more
than twice the size of a pixel (0
238).
The procedure for mapping the distortions for each CCD of the
WFI mosaic started by superposing the observed minus catalog
(O-C) position differences of UCAC2 stars computed
from the respective individual CCD astrometric solutions of
the 398 WFI mosaics observed nearby the projected
Galactic plane and along Pluto
s sky path (see
Sect. 3). For each CCD, these (O-C) position
residuals were averaged over bins of 1
5
1
5
in (x, y). The bin size
was given by the request of a minimum number of stars per bin. With few
exceptions, averages counted on more than 15 stars. Most
frequently, hundreds of stars were available, furnishing about
500 position residuals per bin. Afterwards, in an iterative
process, part of the averages were successively applied as a correction
to the distortion. The procedure continued until no significant change
occurred in the (O-C) residuals. Independent FDPs were
computed for each observation run in September and
October 2007. Note that only polynomials of the first order
were used to relate the (x, y) measurements
with the UCAC2 star coordinates projected in the sky plane. In
this way, the third order distortions were consistently mapped onto the
FDP. This allowed for the use of first degree polynomials in the
individual CCD frame reductions, instead of third order ones,
after first applying FDP corrections. The use of simpler
polynomials improves the position accuracy, as it increases the ratio
between the number of reference stars over the number of coefficients
used in the model.
The (
,
)
FDP offsets for each (x, y) bin
and CCD from the WFI mosaics of the September and
October 2007 runs were computed and stored. The FDP offsets
are available by request to the author. Figure 2 illustrates the FDP
derived from the September 2007 run for each CCD in the
WFI mosaic. North is up, East is left. The largest offset
(upper-right corner of plot) is 528 mas. A similar
plot is obtained for the October 2007 run. The astrometric
procedures used to derive the (RA, Dec)s that feed the
FDP computation were the same as those described next in
Sect. 4.2.
|
Figure 2:
Field distortion pattern (FDP) for the 8 CCDs of the
WFI mosaic for the September 2007 run. North is up,
East is left. Arrows point to the FDP-corrected position. The largest
one (upper-right corner of plot) is 528 mas. Bins have 1
|
| Open with DEXTER | |
4.2 Astrometry of individual CCD frames
After obtaining the FDPs, we computed (RA, Dec)s for all stars measured in the CCDs of all the observed mosaics covering the sky paths from 2008 to 2015. The (x, y) measurements were pre-corrected with the FDP of the respective run, according to the respective bin and CCD in the WFI mosaic. Correction values were extrapolated by the inverse square distance to neighbor bin centers.
Positions were obtained with PRAIA (Assafin 2006). This fast astrometric/photometric package automatically identifies objects on the fields. The (x, y) measurements were performed with 2-dimensional circular symmetric Gaussian fits within 1 Full Width Half Maximum (FWHM = seeing). Within 1 FWHM, the image profile is well described by a Gaussian profile, free from the wing distortions, which jeopardize the center determination. Theoretical and empirical results support this procedure (Moffat et al. 1969; Stone 1989). PRAIA automatically recognizes catalog stars and determines (RA, Dec) with a number of models relating the (x, y) measured and (X, Y) standard coordinates projected in the sky tangent plane. Positions, (x, y) centers, magnitudes, seeing - among other quantities and respective estimated errors - are computed and archived for all objects.
Magnitudes were obtained from PSF photometry and were calibrated with respect to the UCAC2. Note that the UCAC2 star magnitudes are based on a 579-642 nm filter (between Johnson V and R), and are thus distinct from the filter used in the WFI observations. Thus, the image-to-image magnitude zero point will depend on the mean color of the field stars. However, since the photometric errors of the UCAC2 are somewhat large (about 0.3), we will consider here for all purposes that the derived WFI magnitudes are formally in the UCAC2 system. This issue will be further addressed after future releases of the UCAC catalog, when more refined photometric magnitudes are expected to be available. Furthermore, for simplicity, here we will simply refer to WFI magnitudes as R magnitudes.
A complete and detailed description of the PRAIA package will be published in the future. See further details about performance in Assafin et al. (2007).
We used the UCAC2 as reference frame and the six constants
polynomial to model (x, y) measurements
to (X, Y) plane
coordinates. About 120 UCAC2 stars per frame were
used in these Galactic plane star-crowded fields. Reference stars were
eliminated in a one-by-one basis until none displayed
(O-C) position residuals greater than 120 mas (2-3
the typical catalog error). The position mean errors from
(RA, Dec) solutions were about 60 mas for both
coordinates. Estimated (x, y) measurement
errors from Gaussian fits were about 20-30 mas between
12 < R < 17, rising as expected at
magnitudes brighter and fainter than this range. Figure 3 shows the
distribution of (x, y) errors
as a function of R magnitude. Values were
averaged over 0.5 mag bins from all measured CCDs.
A summary of the results from the individual CCD astrometric treatment is given in Table 2. For each year, we list the number of CCD frames, mean error of positions from (RA, Dec) solutions and average number of UCAC2 reference stars per frame.
|
Figure 3: (x, y) measurement errors as a function of R magnitude from all treated CCDs. Values are averages over 0.5 mag bins. |
| Open with DEXTER | |
Table 2: Astrometry of individual CCD frames of WFI mosaics.
The same procedures described here were applied to individual CCD fields to obtain the FDPs (Sect. 4.1).
4.3 Mosaic global astrometric solution
For each year, global astrometric solution for overlapping mosaics of CCDs was accomplished by an iterative procedure available by PRAIA. Starting from the individual CCD measurements (see Sect. 4.2), all common star positions, magnitudes and other values and errors were averaged. Common stars were recognized among CCD frames by individual CCD positions, which lie within 200 mas from each other. Then a method that we call tangent plane technique, adapted from Assafin et al. (1997), was applied. In this method, all the CCD frame (RA, Dec)s and catalog-extracted UCAC2 reference positions (corrected by proper motions to the mean epoch of observations) are projected in the tangent plane. A complete polynomial model of the third degree is then used to relate these projected coordinates in the same way as in classical photographic field astrometry. After the elimination of UCAC2 stars outliers with (O-C) residuals larger than 120 mas, the tangent plane solution was obtained. Inverse gnomonic projection furnished the (RA, Dec) of all objects in the mosaic. These positions formed an intermediary star catalog in the UCAC2 reference frame. Then, new individual CCD astrometric adjustments were performed, but now using this intermediary catalog as reference frame for all CCD fields. Now, every star in the individual CCD frames participates as reference star. Here, a complete third degree polynomial model was used (instead of the six constant model used in the first step in Sect. 4.2) and new individual CCD positions were obtained. The entire process was then repeated in an iterative fashion, with new averaging of common positions and new application of the tangent plane technique. The procedure stopped after intermediary catalog star positions converged to within 1 mas, which always happened in less than 50 iterations.
Table 3
brings a summary of the results from the global solutions of WFI
CCD mosaics for the sky path observed, focusing on the tangent
plane technique results. For each year it gives the standard
deviations (
)
of observed minus UCAC2 catalog positions before and after the
global solution. The listed zero-point position offsets were computed
from averaged (RA, Dec) offsets over UCAC2 stars
before applying the global mosaic solution. By definition, due
to the tangent plane technique, they are zero after global solution.
Table 3
also gives the number of UCAC2 reference stars used in
the process.
Table 3: Global astrometric solution for WFI CCD mosaics.
4.4 Mosaic position multiplicity
About 8
of the stars displayed multiple position entries within 1
5
of each other after global mosaic solutions. This happened whenever
individual CCD positions from the same object did not pass the
200 mas criterion for identification of common stars in the
global solution procedure. As a result, multiple
positions survived the process as if they belonged to distinct objects.
In the vast majority of cases, these entries displayed magnitudes
fainter than R = 19. The cause might be poor faint
star deblending in the individual CCD frame (x,y) measurements,
as heavily star-crowded sky fields were sampled. Stars with multiple
entries were assigned one unique position and flagged. No flag
means a star with no multiple entries (good astrometry). Flag
cases f1 and f2 apply only for UCAC2 or
2MASS stars. In these cases, multiple entries assigned to one
of these catalogs were used, but others wrongly assigned as field stars
were rejected. Flag f1 means that more than one entry was
used, flag f2 indicates that only one entry was used.
Flags f3, f4 and f5 apply only for field stars. Only
a single entry was selected according to one of three criteria, in
order of priority: a) highest number of used common individual
CCD positions (flag f3); b) least (x,
y) measurement error (flag f4);
c) brightest R magnitude
(flag f5).
Table 4 displays multiplicity flag statistics for the derived ESO2p2/WFI global mosaic star positions according to catalog and year. The input number of unflagged entries is furnished, but percentages refer to the final number of WFI stars. Percentages for flag f5 entries were always less than 0.1% and thus are not displayed.
Table 4: Multiplicity flags for WFI global mosaic star positions.
After checking for multiplicity and flagging, the final set of global mosaic star positions is obtained. For the flagged stars, magnitude, mean epoch and other parameters were assigned in the same way as for positions, but no position error could be estimated for them.
4.5 Computation of proper motions
One important step in our astrometric procedure was the derivation of proper motions for stars not belonging to the UCAC2, using the 2MASS and USNO B1.0 catalogs as first epoch. The mean epochs of the 2MASS and USNO B1.0 catalogs are respectively around 2000 and 1980. The 2MASS catalog is based on infrared bandpass observations with modern solid state detectors. The catalog USNO B1.0 was created from astrometric digitalization of photographic Schmidt plates. 2MASS position precision ranges between 100-200 mas, better than the 250-300 mas errors of USNO B1.0 positions. But time span favours USNO B1.0, so that the overall attained error budget of computed proper motions is similar, regardless of the first epoch used.
In the procedure, the first epoch position for brighter stars
was chosen from the 2MASS. If the star was fainter - that is,
did not belong to that catalog - then the USNO
B1.0 position was used, instead. For both catalogs, only
matches within 1
in
position were considered. No brightness constraints were
applied for matching the USNO B1.0. For the 2MASS case, stars
with discrepancies higher than 1 mag were rejected in
comparing measured R magnitudes with H band.
For multiple matches, the closest magnitude was selected.
In Table 5, we give a summary of the proper motion computations using the WFI global mosaic star positions, 2MASS and USNO B1.0 catalogs. For each year, we list the total number of final global mosaic star positions, the number of UCAC2 stars with proper motions (directly extracted from UCAC2), the number of stars with proper motions based on the 2MASS and USNO B1.0 and the number of non-matched stars, for which no proper motion could be computed. Again, cases where no proper motion could be derived relate almost exclusively to stars fainter than R = 19.
Table 5: Proper motion computations from 2MASS, USNO B1.0 and ESO2p2/WFI global mosaic star positions.
5 The
catalog of star positions along Pluto
s 2008-2015 sky path
The star catalog for the 2008-2015 sky path of Pluto consists of mean (RA, Dec) positions in the ICRS (J2000), proper motions, R magnitudes (also J, H and K for 2MASS stars), mean epoch of observations, position error at mean epoch of observation and magnitude error estimates. It has 2 242 286 stars in the UCAC2 frame. Its mean epoch is approx. 2007.75. The magnitude completeness is about R = 18-19. The magnitude limit is about R = 21. The position error is about 50 mas for stars up to magnitude R = 19, and 25 mas up to R = 17. The catalog is freely available in electronic form at the CDS.
The catalog is divided by year. There are small gaps between
the years (see Fig. 1).
Stars that had multiple entries within 1
5
in the global mosaic solutions (about 8
of total) are flagged (see Sect. 4.4). The R magnitudes
from PSF photometry were calibrated in the
UCAC2 system, so magnitude zero-point errors up
to 0.3 might be expected for R > 17.
The position error is estimated from repeatability by the standard
deviation (mean error) of contributing individual
CCD positions about the final catalog star positions (last
iteration in global mosaic solution - see Sect. 4.3).
By default, multiple entry flagged stars have no position
error estimates. Infrared magnitudes (and errors) were extracted from
the 2MASS catalog. Error estimates for R magnitudes
come from the standard deviation about the mean from individual
CCD frames. Sky coverage of the catalog is detailed
in Sect. 3.
Table 6 lists the total number of catalog stars per year, average position errors, R bandpass magnitude limit (including highest values) and completeness. Figure 4 shows the star distribution per R magnitude. Figure 5 plots the position error as a function of R magnitude. Values were averaged over 0.5 mag bins.
Table 6: Star catalog for the 2008-2015 Pluto sky path.
6 Pluto
s ephemeris offsets
In the recent past, a number of stellar occultations by Pluto and
Charon have then been foreseen for 2005-2008. The successful outcome of
these complex international observational campaigns were only actually
achieved thanks to precise position updates for the candidate stars,
which started long enough in advance and continued until the epoch of
those events. Beside the efforts by the MIT group and by IOTA
(International Occultation Timing Association), among others,
an important contribution for these prediction updates came
from the astrometric observational program of Pluto carried out at the
0.6 m B&C telescope at the Laboratório Nacional de
Astrofísica (LNA), Brazil (IAU code 874). Those observations
were made with 1 k2 and 2 k2 CCD
detectors of 10
sizes and pixel
scales of 0
3
to 0
6
(for a detailed description of telescope/instruments,
see Assafin et al. 2005).
The PRAIA package was employed in the astrometry of these CCD
observations. Frames were free from high order optical distortions and
were modeled with six constant polynomials. Typical (x,y) measurement
errors were about 15 mas for R <
15. Position mean errors from astrometric (RA, Dec) solutions
ranged between 50-60 mas. Position precision inferred from the
repeatability of solutions was about 20 mas. Positions were
referred to the UCAC2 catalog. The UCAC2-based candidate star
positions were zero-point-corrected toward ICRS, using averaged UCAC2
minus ICRF position offsets of
cos
=
-12
8 mas
and
= -5
7 mas.
These local offsets were computed from the comparison between optical
and VLBI positions for the five nearest ICRF quasars to Pluto
s 2006.5 coordinates,
distributed within 10 degrees radius (see Assafin
et al. 2005).
Table 7
summarizes the astrometry of candidate stars with the 0.6 m
LNA telescope for 2005-2008 Pluto stellar occultations. Only
results regarding the final positions used for deriving ephemeris
offsets are displayed. They refer to observations made at least within
a month of the event epoch. One exception was the
2006 June 12 event, for which good CCD observations
were only available from an April 2007 run. As it was a UCAC2
star, the derived CCD position could be referred to the epoch of the
event by applying UCAC2 proper motions. The
2008 August 25 event star was observed with the
1.6 m P&E LNA telescope (FOV of 5
5
and pixel scale of 0
17).
|
Figure 4: Star distribution per R magnitude. It illustrates the R magnitude limit and completeness of catalog. Counts were computed over 0.5 mag bins. |
| Open with DEXTER | |
|
Figure 5: Catalog position mean errors as a function of R magnitude. Position errors are estimated from the standard deviation of contributing individual CCD positions about the final catalog star positions (last iteration in global mosaic solution - see Sect. 4.3). Values were computed over 0.5 mag bins. |
| Open with DEXTER | |
Table 7: Astrometry of candidate stars observed at the 0.6 m B&C LNA telescope for 2005-2008 Pluto stellar occultations.
Table 8: Pluto DE418 and plu017 ephemerides offsets with time.
Observations of Pluto itself were made on a regular basis and also prior to the events with the 0.6 m B&C LNA telescope, for estimating possible ephemeris offsets. More than 1500 Pluto positions where obtained in the time span between 2005-2008, following the same observational and astrometric procedures. These Pluto positions were accurate enough to display the perturbation by Charon, although it was unresolved in the CCD images. We usually solved this problem by looking at the (O-C) ephemeris residuals from observations symmetrically distributed along the 6.4-day orbital period of Charon. Later on, a new procedure for determining position offsets was implemented, which allowed the use of all observations. This new method is based on the modeling of the resulting PSF of unresolved images, in terms of relative apparent distance between components, relative brightness and seeing conditions. Details of these results will be published elsewhere (Vieira Martins et al., in prep).
In practice, we followed a sort of bootstrap method for the 2005-2008 campaigns. In the beginning, occultations were not accurately predicted (sometimes even missed), as no ephemeris drift was applied. Then, based on these LNA observations, significant ephemeris offsets started to be found and applied, which improved the next prediction, until a linear trend in declination eventually appeared. In fact, based on the post-fit of these occultations, we not only found large ephemeris offsets of some tens of mas, but also confirmed this linear ephemeris drift with time in declination for Pluto, as shown in this section. The ephemeris-checking procedure with LNA observations proved to be very important for the successful recording of those past occultations. The predicted Earth locations would be severely misplaced if ephemeris offsets mostly in declination were not properly taken into account in advance during the campaign planning phase.
In a stellar occultation with two or more observed cords, Pluto
s position
relative to the occulted star can be derived with mas-level accuracy.
If the star position is known, Pluto
s right ascension and
declination ephemeris offsets can be determined for that instant.
A collection of ephemeris offsets obtained over time thus
helps us determining systematic trends, if present.
After fitting synthetic light curves to observations of the
events listed in Table 7
(Sicardy et al., in prep.) and taking into account
the respective star positions, Pluto
s offsets relative to its
ephemeris were computed. Here, the DE418 and plu017 ephemerides were
used, as they were specially devised for the New Horizons mission to
Pluto (Folkner et al. 2007).
They are available through NASAs Navigation and Ancillary Information
Facility (NAIF) ftp site (ftp://naif.jpl.nasa.gov/pub/naif/) as SPICE
kernels DE418 and plu017 (see details about NAIF in Acton 1996). The
ephemeris offsets obtained for each event are listed in Table 8. For the 2006
April 10 event, no occultation occurred (this was actually
predicted), but the offset could be derived
(at 20 mas level) due to high resolution
adaptative optics observations of Pluto and the star made at the
ESO-VLT 8 m Telescope UT4 (Yepun) at Paranal Observatory,
Chile, with the NACO instrument. The event of
2005 July 11 involved Charon, while the event of
2008 June 22 involved both Pluto and Charon occulting
the same star. In all other cases, the events concern stellar
occultations by Pluto alone.
Occultations involving Charon were included in this
determination of the ephemeris offsets of Pluto because measuring Charon
s offset with
respect to DE418/PLU017 is in practice identical to measuring Pluto
s offset with
respect to DE418, with uncertainties dominated by the star position
errors. Charon
s
plutocentric ephemeris is much better known than Pluto
s barycentric
motion in the sky. Hubble Space Telescope observations in 2002-2003
provide an orbital solution with rms residual just around 2 mas, and an
orbital solution better than that once
is accounted for (see Tholen
et al. 2008).
Also,
from our fittings to the 2008 June 22 Pluto/Charon
occultations of the same star, the agreement between our measurement of
Charon and PLU017 is better than 1 mas (Sicardy
et al., in prep.).
For the double 2008 June 22 event, only one ephemeris offset was considered for right ascension and declination, as both Pluto/Charon occultations furnish identical values within 1 mas. For the 2008 June 24 event, two ephemeris offsets were used. Although this was a single occultation by Pluto, there was only one cord observed in Hawaii. Fortunately, this was a near-central event. The two possible solutions were only 10 mas apart from each other in the perpendicular direction of motion (mostly in declination). Thus, for practical purposes, we used both values as independent offset measurements in the linear drift solution.
Table 8 also lists four extra offsets measured for four common events, based on an independent set of star positions and occultation observations (Young et al. 2008, 2007; Olkin et al., in prep.; Buie et al. 2009). Averaged offsets from this independent set with our derived values are also furnished for these four common events. The light curve fitting procedure for these cases follow the method described in Young et al. (2008) and references therein. Since only unrealistic differences in the atmospheric modeling/fitting procedures would cause center shifts to be larger than about 1 mas, the common parameter that should be constant across independent analyses of these common occultations is the observed position of the star relative to Pluto at a given time for a given site. These relative distances were obtained from the best light curve fits available and, using the star positions, converted in Pluto positions and then in ephemeris offsets, much in the same way as for all the other offsets.
From Table 8,
a clear linear drift with time is seen for the declination offsets.
This drift must be taken into account in the predictions,
as the occultation shadow path over the Earth is most
sensitive to an ephemeris offset in declination. Thus, adopting the
empirical relation offset =
A
* (t-2005.0) + B with offsets in
mas and time in years, and fitting the 12 declination offsets
listed in Table 8
(only averaged values were used for the four common events), we find (A, B) =
(+30.5
4.3 mas yr-1,
-31.5
11.3 mas),
with an (O-C) standard deviation of 14.4 mas for the
offsets. Figure 6
plots the (
cos
,
)
ephemerides offsets (DE418 and plu017) of Pluto
against time for the 2005-2008 studied occultations. The fitted linear
drift with time in declination is illustrated.
From Fig. 6
it can be seen that the ephemeris offsets in right ascension are more
dispersed than in declination. One might try to explain it by the
appealing scenario of an oscillation pattern related to an error in
Pluto
s
heliocentric distance (geocentric parallax error). However, contrary to
declination, none of the attempted models for this scenario could fit
the offsets well below the 50 mas standard deviation,
particularly for the events in opposition - even after
introducing an empirical linear drift with time in right ascension.
This issue will be further addressed in detail in a forthcoming paper
(Vieira Martins et al., in prep). In the present
work, we have not applied offset corrections of any kind to right
ascension. This is here justified by the pragmatic fact that the
eventual presence of right ascension ephemeris offsets does not affect
the geographic latitude of Pluto
s shadow path over the Earth,
except - and only marginally so - far from
opposition. Usually it will only cause a slight error in the predicted
central instant of the occultation by a few minutes at most, which from
the observational point of view is usually easily accommodated by
extending the duration of the occultation run.
|
Figure 6: DE418 and plu017 ephemerides offsets of Pluto in right ascension and in declination against time in the sense observed minus ephemeris. Offsets were determined from fittings of past occultations in 2005-2008, taking as reference LNA-based positions derived for these stars (only averaged values were used for the four common events listed in Table 8). The dotted line is the fitted linear drift in declination. No ephemeris offset correction was attempted for right ascension. (See discussion in the text of Sect. 6.) |
| Open with DEXTER | |
7 Search procedure for candidate stars
The search procedure for candidate stars to be occulted by Pluto and
its satellites was based on the obtained star catalog described in
Sect. 5 and by using the ephemeris drift derived for declination in
Sect. 6. All catalog star positions, corrected by proper
motions, were crossed against the DE418 and plu017 ephemerides of
Pluto, Charon, Nix and Hydra, extracted in a per-minute basis for the
whole period between 2008 to 2015. The body
s declination ephemeris was
offset according to the computed linear drifts for each instant.
If the distance between the star position and the
(offset-corrected) body ephemeris was less than a given value, a
potential occultation was found and all astrometric and geometric data
relevant to the possible event were computed and stored.
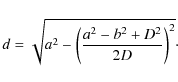
|
Figure 7: Geometric configuration of potential close approach. a and b are the apparent geocentric distances in the plane of the sky between the body and the star at arbitrary instants t1 and t2 before and after the closest approach. D is the apparent geocentric distance between the body geocentric ephemeris positions at t1 and t2 and d is the minimum apparent geocentric distance at closest approach between the body and the star. |
| Open with DEXTER | |
For each candidate star, besides astrometric and photometric data, the
minimum apparent geocentric distance d, the
central instant of closest approach t0,
the shadow velocity v across the Earth, the
position angle PA of the shadow path and local solar
time LST at sub-planet point were computed
and stored. These geometric quantities were calculated as follows.
Consider the close approach scheme displayed in Fig. 7, where a
and b are the apparent geocentric distances
in the plane of the sky between the star S
and the body at arbitrary instants t1
and t2 before and
after the closest approach. D is the
apparent geocentric distance between the body ephemeris positions
at t1 and t2
and d is the minimum apparent geocentric
distance at closest approach between the body and the star. The minimum
apparent geocentric distance d is thus
given by

If t2 > t1, the central instant t0 (UTC) of the occultations is

The velocity v in km s-1 of the shadow across the Earth at a distance A(km) from the body is given by

with t2 and t1 expressed in seconds. Positive/negative v means prograde/retrograde velocities respectively, that is, Pluto
From the (offset-corrected) body
s (RA, Dec) ephemeris and from
the star position at t0,
one can easily calculate the position angle PA of the shadow
path across the Earth surface at central instant t0.
It is defined as the position angle of the body with respect
to the star at closest approach. PA is zero when the body is
north of the star and is counted clockwise.
The rough local solar time LST at
sub-planet point was computed by
were long is the east longitude of the sub-planet point, MSTG is the Mean Sideral Time in Greenwich at t0 and RA is the right ascension of the body at closest approach. Note that LST provides a rough indication as to whether the event is mostly observable during night time versus day time at the sub-planet point.
For the search we extracted ephemeris positions using 1 min time intervals. After finding a potential occultation, however, we took ephemeris positions at t1 and t2 about 1h apart from each other, around t0. This precaution allowed for a significant change in the coordinates, thus improving computation precision, particularly far from opposition and close to stationary configurations, when the shadow velocity v is small.
8 Predictions of stellar occultations by Pluto and its satellites
Following the procedure described in Sect. 7, candidate stars
for occultations by Pluto, Charon, Nix and Hydra were found. The
adopted search radius was 0
335
- about the apparent radius of Pluto (50 mas) plus the
apparent Earth radius (285 mas) as projected in the sky plane
at 31 AU (Pluto-Earth distance for 2008-2015). No predictions
were discarded due to day light at sub-planet point, as occultations
could even so be visible right above the horizon from places still in
the dark near Earth terminator. For each body, all relevant
astrometric, photometric and geometric information for each potential
event found is available in electronic form via anonymous ftp to cdsarc.u-strasbg.fr.
Table 9
lists a sample of predictions for Pluto. It contains the date and
instant of stellar occultation (UTC), the ICRS (J2000) star coordinates
at the event date, the closest apparent geocentric distance between
star and body, the position angle of the shadow across the Earth
(clockwise, zero at North), the velocity in km s-1,
the distance to the Earth (AU), longitude of the sub-solar
point, local solar time, DE418 and plu017 ephemerides offsets in (RA,
Dec) for the central instant, the catalog proper motion and
multiplicity flags, the estimated star catalog position errors, the
proper motions and the magnitudes R*, J*,
H* and K*. Magnitudes are
normalized to a reference shadow velocity of 20 km s-1 by

The value 20 km s-1 is typical of events around the Pluto opposition. Therefore M* may bring forward faint stars involved in slow events, thus allowing for longer integration time, and consequently reasonably good signal-to-noise ratios (SNRs) without loss of spatial resolution in diameter measurements and in probing atmosphere altitudes in the light curves, in spite of the faintness of the targets. Note however that Pluto
Table 9: Sample from prediction tables for stellar occultations by Pluto.
Figure 8 illustrates the geometry of the 2008 June 22 event on Earth, based on reconstructed, post-event paths (see prediction information in Table 9). As predicted, it was actually a double occultation of the same star by Pluto and Charon. The occultations were visible in South Australia, Namibia and La Reunion Island and were eventually recorded from five sites in Australia and one site in La Reunion Island in the Indian Ocean.
|
Figure 8: Geometry of the 2008 June 22 event on Earth, based on reconstructed, post-event paths. See details in the text. |
| Open with DEXTER | |
Table 10 displays the total number of predicted events for each body for the period 2008-2015.
9 Discussion
We presented predictions for stellar occultations by Pluto, Charon, Nix
and Hydra for 2008-2015 based on observations made with the ESO2p2/WFI
CCD mosaic. For this purpose, an astrometric catalog of 2.24 M
stars with proper motions was derived encompassing the 2008-2015 sky
path of Pluto within 30
width. It is in the UCAC2
reference frame and has a magnitude
completeness about R = 18-19 with a limit around R
= 21. Its mean epoch is around 2007.75. The position error is about
25 mas for R = 12-17, ranging from
25 mas to 50 mas for R = 17-19
(Fig. 5).
The entire astrometric catalog and the complete set of tables with
stellar occultation predictions are available in electronic form via
anonymous ftp to cdsarc.u-strasbg.fr.
The astrometry of about 110GB of processed WFI images, first for the FDP determination, then for the catalog, was made in automatic fashion with speed and precision by PRAIA (Assafin 2006).
One aspect of the work was deriving FDPs for all CCDs in the
WFI mosaic. This allowed for the use of a simple linear model to relate
measurements and sky-plane projected catalog reference positions, thus
granting higher star/parameter ratios and robust astrometric results.
Let
be the external standard deviations of (
,
)
offsets from the same bin, computed over distinct FDPs from different
runs, and
the internal standard deviations computed over bins within the same
FDP. Figure 9
plots the count distribution of
ratios
computed for FDPs derived from September and October 2007, as
well as from other telescope runs during 2007 and 2008, with detector
maintenance in between. Because
is
of the order of UCAC2 position mean errors and because the
distribution peaks at ratio = 0.75, we conclude that
the derived FDPs are representative of the WFI distortions within at
least about 50 mas for any run made at the ESO2p2/WFI - even
after WFI maintenance. This means that the derived FDPs may be promptly
used for WFI astrometry at the 50 mas level. The WFI FDP
offsets obtained from the September and October 2007 runs are available
by request to the author. But for better astrometric results like in
this work dedicated FDP observations for each run are recommended,
followed by the relatively simple astrometric procedures described in
Sect. 4. In all, our method follows a different approach than
that described in Anderson et al. (2006) and
references therein for the astrometry of WFI mosaics.
Table 10: Predictions for Pluto and its satellites for 2008-2015.
|
Figure 9:
Count distribution of
|
| Open with DEXTER | |
Computation of new stellar proper motions using the 2MASS and USNO B1.0 as first epoch also enhanced the obtained catalog positions. For faint stars in particular, computing of proper motions instead of the direct use of USNO B1.0 own proper motions avoids the zero point issue warned by the authors (Monet et al. 2003). The computed proper motions not only improved the predictions of upcoming events, but also the astrometric prediction and follow-up feasibility of events more distant in the future.
In all, the obtained astrometric catalog represented an
improvement over predictions based on GSC2.3, USNO B1.0 or UCAC2
positions. In comparison, stars fainter than about R
= 12 were better imaged with the ESO2p2/WFI (see Figs. 3 and 5). Also, as the sky
path was covered by overlapping 30
size CCD mosaics, we have
overcome the problem of position zero-point
errors inherent to predictions based on single catalog positions or
originated from CCD observations with small FOV.
Note that we have not applied any UCAC2 to ICRS corrections to
the derived catalog of star positions. Contrary to the UCAC2-based star
positions derived from the astrometric LNA follow-up program between
2005-2008, which were used to compute ephemeris offsets (see
Sect. 6), here we have preserved the original star positions
obtained in the catalog. We give freedom to the user to decide what
corrections should be applied, if any. Once a correction is
established, it can be applied to the positions in the star catalog or
can alternatively directly enter as a shift in the occultation shadow
paths predicted here. UCAC2 to ICRS corrections can be computed from
the comparison of optical versus VLBI positions of selected ICRF
quasars nearby the sky path of Pluto along the years. The corrections
described in Sect. 6 are only valid for UCAC2-based star
positions around about 10 degrees from 2006.5 Pluto
s
coordinates, in which case they were
mas
and
mas.
Until 2015, Pluto will have moved by more than 15 degrees in
the sky, so that new ICRF quasars need to be selected and new
corrections evaluated. This problem will be addressed in future
releases of the produced star catalog, including the possible use of
future improved versions of the UCAC catalog itself (UCAC3, etc.) as a
reference frame in the astrometry of the WFI mosaics.
A number of stellar occultations between 2005-2008 were
correctly predicted and successfully observed as predicted for stars
between 13 < R
< 16 (see Table 7),
based on CCD observations made at LNA telescopes in Brazil. From these
past occultations successfully recorded and fitted, a linear drift with
time in declination for Pluto
s ephemerides (DE418 and
plu017) could be determined (see Table 8 and Fig. 6). This drift was
taken into account to correctly describe the sky path of Pluto and its
satellites and was an important step in our star candidate search.
On the other hand, no ephemeris correction was applied for
right ascension. Although an oscillation pattern related to an error in
Pluto
s
heliocentric distance (geocentric parallax error) cannot be ruled out,
none of the attempted models for this scenario could fit the more
dispersed right ascension ephemeris offsets derived from the studied
occultations, at least not well below 50 mas (in the case of
declination, a standard deviation of only 14.4 mas was
achieved after the linear fitting). The phenomenon deserves further
investigation, but from a pragmatic point of view it is of secondary
importance to predictions, because right ascension ephemeris offsets do
not affect the geographic latitude of the occultation shadow path over
the Earth and will only cause a marginal error in the predicted central
instant of the event by just a few minutes at most, and even so only
when far from opposition.
Note that if a geocentric parallax error is present, a cyclic
declination drift should also be expected, but with amplitudes about
five times smaller than those of right ascension in the present orbit
configuration. If we take right ascension offset amplitudes of about
70 mas (extreme positive/negative values far from opposition
in Table 8),
declination amplitudes would be about 15 mas, which is on the order of
star position errors. So, although we cannot rule out a small cyclic
drift in declination, it could not be (and was not) seen in our data.
No threshold in R magnitude was established in the search for candidates. Pluto is crossing interestellar clouds, so relatively faint R objects may turn out to be bright infrared stars, perfect targets for the SOFIA observatory (Gehrz et al. 2009) and for ground-based instruments well equipped with H, J or K band detectors (H, J and K magnitudes are promptly available in the catalog if the star belongs to the 2MASS). Besides, events may be also favored by slow shadow speeds of less than 20 km s-1. Also, no constraints on a geographic place were applied, as in principle SOFIA observations can be done from any sub-solar point on Earth. Even so, finding charts are also made available for events visible at regions well covered by instruments such as in North and South America, Europe, South Africa, Australia, Japan and Hawaii (see comment on web page reports below). Events in daylight at sub-planet point were not excluded either, as they could yet be observable in the dark, right above the horizon, from places near the Earth terminator.
All through the paper, we did not distinguish between past and future predictions, publishing all found occultations for the sky path covered (or to be covered) by Pluto between 2008-2015. The importance of predictions for occultations still to come is obvious. But the predictions of past occultations are also useful for at least three reasons. First, they can be used by anyone as reference for ongoing fittings of light curves of recent past observed events. Second, they serve to derive ephemeris drifts by comparing expected and observed central instants and C/A values. Finally, they can be used as an external check for the accuracy and precision of our WFI predictions.
In this way we compared star positions WFI-based (Table 9) and LNA-based (Table 7) for three past, common predictions for Pluto stellar occultations occurred in 2008. The star position differences - and thus, the predictions - agree very well within the expected WFI-based star catalog position error estimates. Table 11 displays this comparison.
Table 11:
Comparison between WFI-based and LNA-based old predictions: star
positions.
Table 12
displays a direct comparison between prediction (WFI-based) and
actually observed (fit to data) occultation central instants and C/A
values for the same three occultations. Here, we note that this
comparison results from a somewhat circular reasoning, as the
predictions are based on a linear extrapolation of Pluto
s declination
offset with time, which in turn included the occultation data of 22,
24 June and 25 August 2008. The differences in C/A
shown in Table 12
are consistent with the standard deviation of the linear fit to Pluto
s declination
offset, 14.4 mas. This is expected if our model for Pluto
s ephemeris
drift is correct, i.e. a smooth linear trend with time. This
14.4 mas standard deviation should then reflect the typical
accuracy of the star positions. Indeed, the announced errors on the 22,
24 June and 25 August 2008 stars (Table 7) are consistent
with that value. The same comments apply for Table 8.
Table 12: Comparison between WFI-based and actual observed occultations: central instants and C/As.
In a general sense, assuming a bulk error of 30 mas for C/A from the estimated errors of the WFI catalog star positions and from the errors of the derived ephemeris offsets, we can state that the shadow path uncertainties over Earth are on the order of less than 800 km for the WFI occultation predictions.
Concerning Nix and Hydra stellar occultation predictions, our paper shows that accuracies of 15-20 mas (approx. 300-450 km) can eventually be reached for the star position. But their diameters are approx. 70-100 km only. So, typical probabilities of success of about 15-30% at best can be expected, which is quite good for these small far away bodies. The best reference concerning Pluto's satellites ephemeris accuracy is probably Tholen et al. (2008) (hereafter T08). Table 4 of T08 gives the uncertainties associated with each orbital element, and their Fig. 5 gives the sky-plane positional uncertainties vs. time for Nix and Hydra, from 1980 to 2020. For 2010-2015, they amount to about 10-15 mas or 220-330 km. This is comparable to or a bit smaller than the star position errors we can reach. Thus, this reduces the probability of success quoted before of 15-30%, to about 10-25%. This is not as high as hoped, but not despairingly small, especially if the event occurs above a dense, populated region in terms of astronomers, including amateurs.
For Charon, T08 gives an uncertainty of eP = 0.000007 days for the orbital period P = 6.4 days around Pluto. If we propagate this error over the 2008-2015 time span, or approx. t = 2500 days, this yields an error in longitude of eL = eP * t / P = 0.15 degrees, or 50 km along orbital motion, which is then negligible. Thus, for Charon, the important factor in predictions is still the systematic errors (ephemeris offsets) in the orbital motion of Pluto around the Sun.
Continuous observation of Pluto and candidate stars are
recommended, and this effort is now facilitated by the produced
catalog. Astrometric follow-up is important in predictions due to the
need for position refinements, and we hope that this task has been made
easier now with the availability of the generated star catalog. Even
astrometry with the use of modest FOV observations becomes feasible, as
the zero-point error of our catalog is rather small and its magnitude
completeness is about R = 18-19. Once new
occultations are successfully recorded and analyzed, one can further
improve the accuracy of Pluto
s ephemeris offsets, allowing
for a continuous fine tunning in the predictions. Besides, the
photometric information contained in the catalog may be also useful in
the observational preparation for the occultation itself.
We remark that updates on the ephemeris offsets or on candidate star positions can be easily taken into account for upgrading the geometric conditions of the predicted events. Updated reports and finding charts are made available in a continuous basis by the group at http://www.lesia.obspm.fr/perso/bruno-sicardy/.
We also emphasize the importance of predictions for stellar occultation by TNOs in general. Astrometry of candidate stars and determination of ephemeris offsets are urgently needed for these objects. Efforts are made right now in this direction by a similar observational program carried out by our group at the ESO2p2/WFI. Among other similar projects conducted by other active groups in the U.S.A., this effort merges with a long term international campaign coordinated by the Observatoire de Paris for this purpose.
AcknowledgementsM.A., J.I.B.C., R.V.M. and A.H.A. acknowledge CNPq grants 306028/2005-0, 478318/2007-3, 151392/2005-6, 304124/2007-9 and 307126/2006-4. M.A., D.N.S.N. and J.I.B.C. thank FAPERJ for grants E-26/170.686/2004, E-26/100.229/2008 and E-26/110.177/2009. F.B.R. thanks the financial support of CAPES. The authors acknowledge J. Giorgini (JPL) for his help in the use of NAIF tools.
References
- Acton, C. H. 1996, P&SS, 44, 65 [Google Scholar]
- Anderson, J., Bedin, L. R., Piotto, G., Yadav, R. S., & Bellini, A. 2006, A&A, 454, 1029 [NASA ADS] [CrossRef] [EDP Sciences] [Google Scholar]
- Arias, E. F., Charlot, P., Feissel, M., et al. 1995, A&A, 303, 604 [NASA ADS] [Google Scholar]
- Assafin, M. 2006, Bol. Soc. Astron. Bras., 26(1), 189 [Google Scholar]
- Assafin, A., Vieira Martins, R., & Andrei, A. H. 1997, AJ, 133, 1451 [NASA ADS] [CrossRef] [Google Scholar]
- Assafin, M., Monken Gomes, P. T., da Silva Neto, D. N., et al. 2005, AJ, 129, 2907 [NASA ADS] [CrossRef] [Google Scholar]
- Assafin, A., Nedelcu, D. A., Badescu, O., et al. 2007, A&A, 476, 989 [NASA ADS] [CrossRef] [EDP Sciences] [Google Scholar]
- Brosch, N. 1995, MNRAS, 276, 571 [NASA ADS] [Google Scholar]
- Buie, M., et al. 2009, BA&AS, 40, abstract 48.05 [Google Scholar]
- Cutri, R. M., et al. 2003, The 2MASS Point Source Catalog, University of Massachusetts, the Infrared Processing and Analysis Center(IPAC/Caltech), NOAO and the Smithsonian Institute [Google Scholar]
- Elliot, J. L., Olkin, C. B., Dunham, E. W., et al. 1995, Nature, 373, 46 [NASA ADS] [CrossRef] [Google Scholar]
- Elliot, J. L., Ates, A., Babcock, B. A., et al. 2003, Nature, 424, 165 [NASA ADS] [CrossRef] [PubMed] [Google Scholar]
- Elliot, J. L., Person, M. J., Gulbis, A. A. S., et al. 2007, AJ, 134, 1 [Google Scholar]
- Feissel, M., & Mignard, F. 1998, A&A, 331, 33 [NASA ADS] [Google Scholar]
- Folkner, W. M., Standish, E. M., Williams, J. G., et al. 2007, Jet Propulsion Laboratory, California Institute of Technology, Memorandum IOM 343R-07-005 [Google Scholar]
- Gehrz, R. D., Becklin, E. E., de Pater, I., et al. 2009, AdSpR, 44, 413 [Google Scholar]
- Gulbis, A. A. S., Elliot, J. L., Person, M. J., et al. 2006, Nature, 439, 48 [NASA ADS] [CrossRef] [PubMed] [Google Scholar]
- Hansen, C. J., & Paige, D. A. 1996, Icarus, 120, 247 [NASA ADS] [CrossRef] [Google Scholar]
- Hubbard, W. B., McCarthy, D. W., Kulesa, C. A., et al. 2009, Icarus, 204, 284 [NASA ADS] [CrossRef] [Google Scholar]
- Jones, H., & Valdes, F. 2000, Handling ESO WFI Data With IRAF, ESO document number 2p2-MAN-ESO-22200-00002 [Google Scholar]
- Lasker, B. M., Lattanzi, M. G., McLean, B. J., et al. 2008, AJ, 136, 735 [NASA ADS] [CrossRef] [PubMed] [Google Scholar]
- Lellouch, E., Sicardy, B., de Bergh, C., et al. 2009, A&A, 495, L17 [NASA ADS] [CrossRef] [EDP Sciences] [Google Scholar]
- McCarthy, D. W., Hubbard, W. B., Kulesa, C. A., et al. 2008, AJ, 136, 1519 [NASA ADS] [CrossRef] [Google Scholar]
- McDonald, S. W., & Elliot, J. L. 2000a, AJ, 119, 1999 [NASA ADS] [CrossRef] [Google Scholar]
- McDonald, S. W., & Elliot, J. L. 2000b, AJ, 120, 1599 [NASA ADS] [CrossRef] [Google Scholar]
- McKinnon, W. B., Simonelli, S. P., & Schubert, G. 1997, in Pluto and Charon, ed. S. A. Stern, & D. J. Tholen (Tucson: Univ. Arizona Press), 295 [Google Scholar]
- Millis, R. L., Wasserman, L. H., Franz, O. G., et al. 1993, Icarus, 105, 282 [NASA ADS] [CrossRef] [Google Scholar]
- Mink, D. J., & Klemola, A. 1985, AJ, 90, 1894 [NASA ADS] [CrossRef] [Google Scholar]
- Moffat, A. F. J. 1969, A&A, 3, 455 [NASA ADS] [Google Scholar]
- Monet, D., Levine, S. E., Canzian, B., et al. 2003, AJ, 125, 984 [NASA ADS] [CrossRef] [Google Scholar]
- Perryman, M. A. C., Lindegren, L., Kovalevsky, J., et al. 1997, A&A, 323, 49 [Google Scholar]
- Person, M. J., Elliot, J. L., Gulbis, A. A. S., et al. 2006, AJ, 132, 1575 [NASA ADS] [CrossRef] [Google Scholar]
- Person, M. J., Elliot, J. L., Gulbis, A. A. S., et al. 2008, AJ, 136, 1510 [NASA ADS] [CrossRef] [EDP Sciences] [Google Scholar]
- Sicardy, B., Widemann, T., Lellouch, E., et al. 2003, Nature, 424, 168 [NASA ADS] [CrossRef] [Google Scholar]
- Sicardy, B., Bellucci, A., Gendron, E., et al. 2006, Nature, 439, 52 [NASA ADS] [CrossRef] [PubMed] [Google Scholar]
- Stansberry, J. A., Lunine, J. I., Hubbard, W. B., Yelle, R. V., & Hunten, D. M. 1994, Icarus, 111, 503 [NASA ADS] [CrossRef] [Google Scholar]
- Stone, R. C. 1989, AJ, 97, 1227 [NASA ADS] [CrossRef] [Google Scholar]
- Tholen, D. J., Buie, M. W., Grundy, W. M., et al. 2008, AJ, 135, 777 [NASA ADS] [CrossRef] [Google Scholar]
- Tody, D. 1993, IRAF in the Nineties, in Astronomical Data Analysis Software and Systems II, ed. R. J. Hanisch, R. J. V. Brissenden, & J. Barnes, ASP Conf. Ser., 52, 173 [Google Scholar]
- Valdes, F. G. 1998, The IRAF Mosaic Data Reduction Package, in Astronomical Data Analysis Software and Systems VII, ed. R. Albrecht, R. N. Hook, & H. A. Bushouse, ASP Conf. Ser., 145, 53 [Google Scholar]
- Walker, A. R. 1980, MNRAS, 192, 47 [Google Scholar]
- Yelle, R. V., & Elliot, J. L. 1997, in Pluto and Charon, ed. S. A. Stern, & D. J. Tholen (Tucson: Univ. Arizona Press), 347 [Google Scholar]
- Yelle, R. V., & Lunine, J. I. 1989, Nature, 239, 288 [NASA ADS] [CrossRef] [Google Scholar]
- Young, E. F., French, R. G., Young, L. A., et al. 2008, AJ, 136, 1757 [NASA ADS] [CrossRef] [Google Scholar]
- Young, L., et al. 2007, BAAS, 39, abstract 62.04 [Google Scholar]
- Zacharias, N., Urban, S. E., Zacharias, M. I., et al. 2004, AJ, 127, 3043 [NASA ADS] [CrossRef] [Google Scholar]
Footnotes
- ... 2008-2015
- Tables of predictions for stellar occultations by Pluto, Charon, Nix and Hydra for 2008-2015 and Catalog of star positions for 2008-2015 sky path of Pluto are only available in electronic form at the CDS via anonymous ftp to cdsarc.u-strasbg.fr (130.79.128.5) or via http://cdsweb.u-strasbg.fr/cgi-bin/qcat?J/A+A/515/A32
- ...
- Observations made through the ESO run 079.A-9202(A), 075.C-0154, 077.C-0283 and 079.C-0345.
- ...
- Also based on observations made at the Laboratório Nacional de Astrofísica (LNA), Itajubá-MG, Brazil.
- ...
- Associate researcher at the Observatoire de Paris/IMCCE, 77 Avenue Denfert Rochereau 75014 Paris, France.
- ...
- Associate researcher at the Observatoire de Paris/SYRTE, 77 Avenue Denfert Rochereau 75014 Paris, France.
All Tables
Table 1:
The (
,
)
ESO2p2/WFI mosaic centers for Pluto sky path from 2008 to 2015.
Table 2: Astrometry of individual CCD frames of WFI mosaics.
Table 3: Global astrometric solution for WFI CCD mosaics.
Table 4: Multiplicity flags for WFI global mosaic star positions.
Table 5: Proper motion computations from 2MASS, USNO B1.0 and ESO2p2/WFI global mosaic star positions.
Table 6: Star catalog for the 2008-2015 Pluto sky path.
Table 7: Astrometry of candidate stars observed at the 0.6 m B&C LNA telescope for 2005-2008 Pluto stellar occultations.
Table 8: Pluto DE418 and plu017 ephemerides offsets with time.
Table 9: Sample from prediction tables for stellar occultations by Pluto.
Table 10: Predictions for Pluto and its satellites for 2008-2015.
Table 11:
Comparison between WFI-based and LNA-based old predictions: star
positions.
Table 12: Comparison between WFI-based and actual observed occultations: central instants and C/As.
All Figures
|
Figure 1:
Sky path covered by the ESO2p2/WFI CCD mosaic observations.
Years 2008-2015 follow from top to bottom.
The continuous line is the sky path of Pluto. Each dashed form
represents the 30
|
| Open with DEXTER | |
| In the text | |
|
Figure 2:
Field distortion pattern (FDP) for the 8 CCDs of the
WFI mosaic for the September 2007 run. North is up,
East is left. Arrows point to the FDP-corrected position. The largest
one (upper-right corner of plot) is 528 mas. Bins have 1
|
| Open with DEXTER | |
| In the text | |
|
Figure 3: (x, y) measurement errors as a function of R magnitude from all treated CCDs. Values are averages over 0.5 mag bins. |
| Open with DEXTER | |
| In the text | |
|
Figure 4: Star distribution per R magnitude. It illustrates the R magnitude limit and completeness of catalog. Counts were computed over 0.5 mag bins. |
| Open with DEXTER | |
| In the text | |
|
Figure 5: Catalog position mean errors as a function of R magnitude. Position errors are estimated from the standard deviation of contributing individual CCD positions about the final catalog star positions (last iteration in global mosaic solution - see Sect. 4.3). Values were computed over 0.5 mag bins. |
| Open with DEXTER | |
| In the text | |
|
Figure 6: DE418 and plu017 ephemerides offsets of Pluto in right ascension and in declination against time in the sense observed minus ephemeris. Offsets were determined from fittings of past occultations in 2005-2008, taking as reference LNA-based positions derived for these stars (only averaged values were used for the four common events listed in Table 8). The dotted line is the fitted linear drift in declination. No ephemeris offset correction was attempted for right ascension. (See discussion in the text of Sect. 6.) |
| Open with DEXTER | |
| In the text | |
|
Figure 7: Geometric configuration of potential close approach. a and b are the apparent geocentric distances in the plane of the sky between the body and the star at arbitrary instants t1 and t2 before and after the closest approach. D is the apparent geocentric distance between the body geocentric ephemeris positions at t1 and t2 and d is the minimum apparent geocentric distance at closest approach between the body and the star. |
| Open with DEXTER | |
| In the text | |
|
Figure 8: Geometry of the 2008 June 22 event on Earth, based on reconstructed, post-event paths. See details in the text. |
| Open with DEXTER | |
| In the text | |
|
Figure 9:
Count distribution of
|
| Open with DEXTER | |
| In the text | |
Copyright ESO 2010
Current usage metrics show cumulative count of Article Views (full-text article views including HTML views, PDF and ePub downloads, according to the available data) and Abstracts Views on Vision4Press platform.
Data correspond to usage on the plateform after 2015. The current usage metrics is available 48-96 hours after online publication and is updated daily on week days.
Initial download of the metrics may take a while.
![\begin{figure}
\par\includegraphics[angle=-90,width=8.5cm,clip]{13690fg1.eps}
\end{figure}](/articles/aa/full_html/2010/07/aa13690-09/Timg29.png)
![\begin{figure}
\par\includegraphics[angle=-90,width=8.8cm,clip]{13690fg2.eps}
\end{figure}](/articles/aa/full_html/2010/07/aa13690-09/Timg30.png)
![\begin{figure}
\par\includegraphics[angle=-90,width=7.5cm,clip]{13690fg3.eps}
\end{figure}](/articles/aa/full_html/2010/07/aa13690-09/Timg32.png)
![\begin{figure}
\par\includegraphics[angle=-90,width=7.5cm,clip]{13690fg4.eps}
\end{figure}](/articles/aa/full_html/2010/07/aa13690-09/Timg40.png)
![\begin{figure}
\par\includegraphics[angle=-90,width=8cm,clip]{13690fg5.eps}
\end{figure}](/articles/aa/full_html/2010/07/aa13690-09/Timg41.png)
![\begin{figure}
\par\includegraphics[angle=-90,width=7.5cm,clip]{13690fg6.eps}
\end{figure}](/articles/aa/full_html/2010/07/aa13690-09/Timg48.png)
![\begin{figure}
\par\includegraphics[width=8cm,clip]{13690fg7.eps}
\end{figure}](/articles/aa/full_html/2010/07/aa13690-09/Timg49.png)
![\begin{figure}
\par\includegraphics[width=8cm,clip]{13690fg8.eps}
\end{figure}](/articles/aa/full_html/2010/07/aa13690-09/Timg58.png)
![\begin{figure}
\par\includegraphics[angle=-90,width=8cm,clip]{13690fg9.eps}
\end{figure}](/articles/aa/full_html/2010/07/aa13690-09/Timg62.png)