| Issue |
A&A
Volume 515, June 2010
|
|
|---|---|---|
| Article Number | A23 | |
| Number of page(s) | 22 | |
| Section | Extragalactic astronomy | |
| DOI | https://doi.org/10.1051/0004-6361/200913742 | |
| Published online | 03 June 2010 | |
The dusty heart of nearby active galaxies
I. High-spatial resolution mid-IR spectro-photometry of Seyfert galaxies![[*]](/icons/foot_motif.png)
S. F. Hönig1,2 - M. Kishimoto1 - P. Gandhi3 - A. Smette4 - D. Asmus4,5 - W. Duschl5,6 - M. Polletta7 - G. Weigelt1
1 - Max-Planck-Institut für Radioastronomie, Auf dem Hügel 69, 53121 Bonn, Germany
2 - University of California in Santa Barbara, Department of Physics, Broida Hall, Santa Barbara, CA 93106, USA
3 - RIKEN Cosmic Radiation Lab, 2-1 Hirosawa, Wakoshi Saitama 351-0198, Japan
4 - European Southern Observatory, Casilla 19001, Santiago 19, Chile
5 - Institut für Theoretische Physik und Astrophysik,
Christian-Albrechts-Universität zu Kiel, Leibnizstr. 15, 24098 Kiel,
Germany
6 - Steward Observatory, The University of Arizona, 933 N. Cherry Ave, Tucson, AZ 85721, USA
7 - INAF - IASF Milano, via E. Bassini, 20133 Milano, Italy
Received 26 November 2009 / Accepted 26 February 2010
Abstract
In a series of papers, we aim at stepping towards characterizing
physical properties of the AGN dust torus by combining IR high-spatial
resolution observations with 3D clumpy torus models. In this first
paper, we present mid-IR imaging and
low-resolution spectroscopy of nine type 1 and ten
type 2 AGN. The observations were carried out with the
VLT/VISIR mid-IR imager and spectrograph and can be considered the
largest currently available mid-infrared spectro-photometric data set
of AGN at spatial resolution
100 pc.
These data resolve scales at which the emission from the dust torus
dominates the overall flux, and emission from the host galaxy
(e.g. star-formation) is resolved out in most cases. The silicate
absorption features are moderately deep and emission features,
if seen at all, are shallow. The strongest silicate emission
feature in our sample shows some notable shift of the central
wavelength from the expected
(based on ISM extinction curves) to
10.5
.
We compare the observed mid-IR luminosities of our objects to AGN luminosity tracers (X-ray, optical and [O III] luminosities)
and find that the mid-IR radiation is emitted quite isotropically. In
two cases, IC 5063 and MCG-3-34-64, we find evidence for extended
dust emission in the narrow-line region. We confirm the correlation
between observed silicate feature strength and Hydrogen column density,
which was recently found in Spitzer data at lower spatial
resolution. In a further step, our 3D clumpy torus model has been
used to interpret the data. We show that the strength of the silicate
feature and the mid-IR spectral index
can be used to get reasonable constraints on the radial dust distribution of the torus and the average number of clouds N0 along an equatorial line-of-sight in clumpy torus models. The mid-IR spectral index
is almost exclusively determined by the radial dust distribution power-law index a, while the silicate feature depth mostly depends on N0
and the torus inclination. A comparison of model predictions to
our type 1 and type 2 AGN reveals that average parameters of
and N0=5-8
are typically seen in the presented sample, which means that the radial
dust distribution is rather shallow. As a proof-of-concept of this
method, we compared the model parameters derived from
and the silicate feature strength to more detailed studies of full IR
SEDs and interferometry and found that the constraints on a and N0
are consistent. Finally, we may have found evidence that the radial
structure of the torus changes from low to high AGN luminosities
towards steeper dust distributions, and we discuss implications for the
IR size-luminosity relation.
Key words: galaxies: Seyfert - galaxies: nuclei - galaxies: active - infrared: galaxies - X-rays: galaxies
1 Introduction
The dust torus is one of the key ingredients of the unification scheme of AGN (Urry & Padovani 1995; Antonucci 1993).
It must be pointed out, though, that in recent years the torus
picture has evolved away from a ``donut'' towards a more general
circumnuclear, geometrically- and optically-thick dust distribution.
The dust reprocesses the optical/UV photons of the accretion disk and
re-emits the received energy in the infrared (IR). Thus, the torus can
be directly studied through the IR emission of AGN, unless the AGN
is radio-loud. Within the last years, investigations based on
IR spectral energy distributions (SEDs) characterized the torus
emission and confirmed the basic picture of the unification scheme.
Most notable are the silicate features at 10 and 18
which are generally seen in absorption in type 2 AGN and in emission in type 1 objects.
However, more detailed studies - mainly using data from the IRS and MIPS instruments on-board the Spitzer satellite - revealed subtle differences to model predictions. In particular, silicate emission features in type 1 AGN are much weaker than expected from early torus models, which used smooth dust distributions. As shown in the literature, this might be explained by clumpiness of the dust in the torus, which leads to an overall suppression of the emission feature (Nenkova et al. 2008; Hönig et al. 2006; Dullemond & van Bemmel 2005; Hönig & Kishimoto 2010; Schartmann et al. 2008; Nenkova et al. 2002). However, as will be shown in the second paper of this series (Hönig & Kishimoto 2010, pre-print available on astro-ph), weak emission features are not a generic property of clumpy torus models but might be used to constrain some model parameters of the dust distribution in clumpy tori.
One of the problems of Spitzer is the comparably low spatial resolution of
3
at 10
.
On the other hand, the torus near- and mid-IR emission originates from
the inner few parsecs around the AGN, which corresponds to
even for the nearest Seyfert galaxies. As a result, the Spitzer
data are prone to contamination from the host galaxy or circumnuclear
star-formation, which can be identified by strong PAH emission
lines. One way to overcome this problem is a decomposition of the data
into several components. But this requires good knowledge about the
generic SEDs of each component, which is, of course, difficult
when aiming at characterizing the torus emission, and introduces
additional parameters, which in turn leads to parameter degeneracies.
The most direct way of studying the dust torus is IR interferometry. Recently, the IR emission source in a small number of nearby type 1 and type 2 AGN have been resolved in the mid-IR with the interferometric instrument MIDI at the VLTI (Burtscher et al. 2009; Raban et al. 2009; Beckert et al. 2008; Tristram et al. 2009,2007; Jaffe et al. 2004) and in the near-IR with the Keck interferometer (Swain et al. 2003; Kishimoto et al. 2009a). While interferometry provides the most direct access to the torus structure and brightness distribution (Kishimoto et al. 2009a), observations are limited to the brightest AGN that are in reach of current facilities. A compromise between Spitzer and interferometry can be achieved by using ground-based 8 m-class single telescopes. These observations usually do not have the potential of firmly resolving the torus, but may isolate the nuclear dust emission from any contaminating source in the host galaxy (e.g. Horst et al. 2009; Gandhi et al. 2009; Mason et al. 2009). Following this approach, we observed 19 nearby AGN with the mid-infrared imager and spectrograph VISIR at the ESO Very Large Telescope (VLT) Paranal Observatory. In this first paper of our series, we present results from mid-IR spectro-photometric observations of our nearby AGN sample and interpret the observations with our 3D clumpy torus model (Hönig et al. 2006; Hönig & Kishimoto 2010). Details about the type 1 and type 2 sub-samples will be presented in Sect. 2. The observations and data reduction are described in Sect. 3. Section 4 discusses the results of the observations. In Sect. 5, we analyze the mid-IR characteristics of our sample and compare it to AGN properties. The data are then interpreted using our 3D clumpy torus model in Sect. 6. We summarize our main conclusions in Sect. 7.
2 Properties of the AGN sample
2.1 Sample selection
Our main goal is to obtain the highest spatial resolution spectro-photometric data set of AGN yet obtained in the mid-IR. Still, the sample cannot be considered ``complete'' in any respect, and restrictions and selection criteria are outlined below. We do consider the sample to be ``typical'' (or representative) though for the Seyfert galaxy population in the Galactic vicinity (see below). Moreover, it should give us an idea of the ``clean'' nuclear emission at scales of tens of parsecs.
Table 1: Characteristics of our type 1 AGN mid-IR spectroscopic sample.
Table 2: Characteristics of our type 2 AGN mid-IR spectroscopic sample.
The original idea for selecting objects was based on a demand of
high-spatial resolution. In particular, we aimed for objects that
have a resolution <100 pc around 10
using the 8.2 m UT3-telescope at Paranal. Thus, we are limited to AGN at angular-diameter distances
70 Mpc
.
Because the ESO/Paranal observatory hosting VISIR is located in the
Southern hemisphere, the whole sample is limited to objects mostly at
Southern declinations. In addition, to faciliate observations in
service mode, the AGN were selected to be brighter than 100 mJy in
most of the N-band. Based on these criteria, we mined the AGN catalog of Veron-Cetty & Veron (2006)
and compared the objects to previous low-spatial resolution mid-IR data
from Spitzer and ISO to be able to estimate which objects are bright
enough for VISIR. Since our ultimate goal concerns typical nearby AGN,
i.e. Seyfert galaxies, all peculiar objects (e.g. LINERs)
were skipped. To avoid synchrotron contamination, we also excluded
radio-loud objects. Finally, because we are interested in the
characteristics of the AGN, we avoided any objects where the nucleus is
heavily obscured by host-galactic dust lanes, as e.g. in Circinus.
Thus, any obscuration pattern seen in the data of most of our objects
(i.e. silicate absorption features) is supposedly intrinsic to the
nuclear environment. However, we acknowledge that IC 4329A and
NGC 7582 have dust lanes passing over the nucleus, so that
part of the observed absorption properties may originate in the host
galaxy (in particular for the Seyfert 2 NGC 7582; see
Sect. 6 for possible
consequences on our analysis and modeling). In summary, we
selected nine type 1 and ten type 2 AGN.
2.2 Observed and intrinsic scales
In Tables 1 and 2,
we list the basic characteristics of our type 1 and type 2
AGN sub-sample. If the objects are Compton-thin, the intrinsic
(absorption-corrected) 2-10 keV X-ray luminosity can serve as a
proxy for the total luminosity of the AGN. For the type 1 AGN (see
Table 1), we also provide
optical luminosities, which are more direct tracers for the accretion
disk luminosity. Observed scales for each object are provided at the
reference wavelength of
.
Another way to look at our main requirement of high-spatial resolution is not the observed scale but the intrinsic
scale of each object. Because most of the nuclear mid-IR radiation in
radio-quiet Seyfert is presumably coming from dust emission, the
fundamental scaling relation between the dust sublimation radius and
the AGN luminosity,
,
provides such a distance-independent scaling. If we take UV/IR-reverberation mapping data (e.g. Suganuma et al. 2006, and references therein) and use the calibrated relation from Kishimoto et al. (2007), we obtain
.
For the type 1 AGN, we can directly calculate the expected
from their optical luminosity and compare
to the spatial resolution of our observations (see Table 1). As can be seen, all of the objects that meet our resolution selection
(corresponding to
)
have an intrinsic spatial resolution
.
Because the intrinsic scale is the ultimate factor determining how well
the AGN can be isolated from the host galaxy, it is probably safe
to include additional objects in the sample with a spatial resolution
>100 pc, but still an intrinsic resolution
without compromising our goal of highest spatial resolution. Thus, we
include Markarian 509, which adds to the higher luminosity end of
the type 1 sub-sample.
Because the UV/optical emission from the accretion disk is
thought to be obscured in type 2 AGN, a direct comparison
between observed scales and intrinsic scales is not possible via the
reverberation-based size-luminosity relation. However, based on our
type 1 sub-sample, we are able to convert the size-luminosity
relation from the optical to other wavebands. Because we are dealing
with mid-IR observations, the most convenient way is a conversion of
the size-luminosity relation to 12
.
This wavelength is mostly outside the silicate feature so that it is
not affected by possible anisotropies due to silicate absorption or
emission. Recent high-spatial resolution studies (also using the VISIR
instrument on the 8.2-m VLT/UT3 telescope) have shown that type 1
and type 2 AGN follow basically the same
-relation in the luminosity range as that covered by our sample (Horst et al. 2006; Gandhi et al. 2009; Horst et al. 2008).
The anisotropy between the two samples is within the observational
errors and is smaller than about a factor of 2 to 3. Thus,
can
also serve as a proxy for the AGN luminosity of our objects and
enables us to estimate intrinsic scales. We note that this is only a
good approximation as long as high spatial resolution data are
available.
As a first step, we determine the correlation between LV and
in the type 1 sub-sample, assuming that the covering factor is similar for all objects. We find that
(Spearman rank 0.88, null-hypothesis probability 5
10-3). Within errors, this is consistent with
,
with a ratio
,
which we assume below. With this correlation, we obtain a scaling relation for our AGN sample of
Despite the uncertainty of a factor of 1.5, this should enable us to give at least an estimate of the intrinsic scales of our type 2 objects. The intrinsic scales based on Eq. (1) are given in Table 2. As can be seen, while NGC 5995 and NGC 7674 have observed scales >100 pc, their intrinsic scales are
In summary, our objects can be described as a sample of typical nearby
Seyfert galaxies - obscured and non-obscured - spanning the
luminosity range from about
to
.
The intrinsic spatial resolution achieved by our observations is
.
Please note that we accidentally included one optically broad-line (BL)
LINER in our sample, NGC 7213 (allegedly a ``type 1 LINER''),
which will be treated as a type 1 AGN in the rest of the paper but
discussed separately where applicable.
3 Observations and data reduction
3.1 Spectroscopy
We used the VISIR mid-infrared imager and spectrograph mounted on
the 8.2 m UT3 telescope at the ESO/Paranal observatory in
Chile. The observations were carried out in service mode in ESO
periods 78, 80, 82, and 83. In total, nine
Seyfert 1 and ten Seyfert 2 galaxies were observed in
low-spectral (LR) resolution mode (
). The standard configuration for LR long-slit spectroscopy results in a pixel resolution of 0
127, which samples the PSF in the N-band by
2.5 pixels. To cover the full N-band, four different spectral settings have to be used with central wavelengths at 8.5
,
9.8
,
11.4
,
and 12.4
.
We used a slit width of 0
75 which is approximately 2-3 times larger than the FWHM achieved with VISIR (
across the N-band)
and minimizes the risk of slit losses. All of our targets are
unresolved point-sources, except for NGC 7469 where some
off-nuclear emission is expected from the circumnuclear star-burst
ring.
For the initial steps of data reduction, we followed the
standard ESO pipeline. The individual chopped nodding cycles
(chopping width 8
,
nodding in parallel mode) were combined and wavelength-calibrated with the Common Pipeline Library (CPL) recipes in ESOREX.
After that, we used our own procedures to calibrate and extract the
spectra. First, the remaining sky-offset was removed.
For that, we fitted a low-order polynomial in spatial direction to
each wavelength bin (typically of orders 0 to 2). We note
that this procedure can only be used because we are not interested in
very large-scaled smooth structure - which would not be visible
anyway because of the flux limit. This polynomial sky-subtraction
flattened the image background significantly (see Fig. 1).
However, a periodic background pattern in spatial direction remained in
each wavelength bin, with a frequency length of 16 pixels and not
depending on chopping width, frequency, or position angle.
In usual observing conditions, this pattern dominates the total
variance of the background. The ratio of object peak to background
variation peak can be as low as 4:1 in AGN, which is very
disturbing when dealing with faint mid-IR objects. We developed an
efficient method to remove this background pattern with
a ``periodic background map (PBM)''. The PBM is generated by
creating a cube with several copies of the sky-removed science array,
each copy shifted by 16 pixels in spatial direction with respect to the
previous copy. Finally, all shifted science-array copies are
combined by median-filtering each pixel. The resulting PBM contains
only the 16-pixel-frequency background without flux from the
(point-like or slightly resolved) science target. In Fig. 1, we illustrate the PBM removal for the
setting of NGC 7213. The solid light-gray line represents the raw
data after sky subtraction (mean over all rows). For these data, the
PBM has been determined as shown by the dotted dark-gray line. The
dashed black line shows the final data after PBM removal.
As can be seen, the noise variation is significantly suppressed as
compared to the original data.
|
Figure 1:
Illustration of the periodic background map (PBM) removal for the
|
| Open with DEXTER | |
The described procedure was applied to both science and calibrator
data. After removing all background, wavelength-dependent conversion
factors were determined from the calibrators and the science data were
flux-calibrated accordingly. We refrained from airmass corrections
because the differential airmasses between target and calibrator were
rather small, so that corrections would be within the calibration
errors. For MCG-3-34-64, we found a beam-centering problem.
In fact, visual inspection of acquisition images revealed that
only part of the object was placed within the 0
75 slit.
We used the acquisition images in the N_SW filter (made through
the open slit) of the science target and the calibrator to quantify the
loss due to this problem. The measured flux for MCG-3-34-64 in this
filter is
24.75 mJy (wavelength: 8.85
). Compared to the integrated flux in the spectrum, we found that only about 70
4% of the object flux was located within the slit. Thus, we corrected the flux-calibrated spectra of MCG-3-34-64 accordingly.
Table 3: VISIR mid-IR photometry of our nine type 1 AGN measured by Gaussian fitting to science target and calibrators.
Table 4: VISIR mid-IR photometry of our ten type 2 AGN measured by Gaussian fitting to science target and calibrators.
3.2 Imaging photometry
Along with the spectroscopy data, we acquired VISIR images in several
mid-infrared filters to compare and validate the absolute and relative
flux calibration of our spectra. Together with archival
VISIR data, all of our objects were observed in at least two
different narrow-band filters between 8
and 13
,
except for NGC 7674 (only one filter). For photometry, the
standard CPL pipeline products were used for both science target
and calibrator. The imaging was performed in parallel or perpendicular
chop/nod mode, so that three or four beams appear on the detector
for the science data (parallel: two negative single-beams and one
positive double-beam). On the other hand, the standard stars were
observed almost exclusively in perpendicular chop/nod mode resulting in
four single-beams (two negative, two positive beams).
Each science and calibrator beam was fitted by a two-dimensional
Gaussian to resemble the core of the Airy disk of the PSF. We confirmed
that our science targets are point sources in the mid-IR by comparing
the Gaussian width of the targets with the standard stars. The measured
Gaussian FWHM of science target and associated calibrator
are given in Table 3. Although the science targets usually have slightly larger FWHM
than the calibrators, the differences are not significant except for
MCG-3-34-64 and IC 5063, which we will discuss in Sect. 5.1 in detail. In most cases, the differences between the FWHM
of the science targets and calibrators are probably the result of
PSF instabilities of VISIR, which are known to be a common problem
(Horst et al. 2009). Therefore we consider
that our sources are mostly unresolved. After the Gaussians were
removed, all science targets showed the first Airy ring without any
additional emission source except for NGC 7469. This galaxy has a
well-known nuclear star-burst ring within 2
of the nucleus which we spatially resolved in our observations and which contains more flux than the first Airy ring.
The final fluxes were obtained by calculating conversion factors
from the integrated intensity of the Gaussian fits of the calibrators
and using these factors for the respective integrated Gaussian
intensity of the science targets. Because we are only interested in
point source fluxes, this method of optimized extraction has the
advantage that any flux from off-nuclear emission is excluded. This
provides the best possible estimate for the torus emission, which is
presumably unresolved. The resulting fluxes are presented in
Tables 3 and 4. All data were obtained with a chop throw of 8
,
except for the archival PAH2ref2 filter data of NGC 7469 and
the archival NeIIref2 filter data of MCG-3-34-64, where a chop
throw of 10
was used.
4 Results and discussion
4.1 VISIR spectra and photometry
In Figs. 2 and 3 we show the individual VISIR
spectra
of our type 1 AGN (eight Seyfert galaxies and one BL LINER)
together with results from VISIR photometry. In the lower-right
corner of each panel, we note the slit position angle (PA) for
each object. The corresponding data of the ten Seyfert 2 galaxies
are shown in Fig. 4. In addition to these data, the corresponding Spitzer IRS low-resolution spectra are shown for the same wavelength range. The spatial resolution of the IRS spectra is
,
while the VISIR data resolves scales of
at
.
For NGC 7582, no Spitzer
spectrum was available yet. The positions of prominent emission lines
seen in AGN are shown. The gray-hatched areas in each spectrum mark
regions of extensive skyline emission/absorption, which are difficult
to calibrate due to some degree of variability within the night and/or
compromised S/N ratios.
All VISIR spectra (except MCG-5-23-16; see below) have lower or equal fluxes than the Spitzer spectra, which is expected for the higher spatial resolution. A similar result for VISIR photometry on a sample of type 1 and type 2 AGN has recently been reported by Horst et al. (2009). Together with the fact that the imaging-photometry is well consistent with the spectro-photometry, this confirms the self-consistency of the extracted fluxes and supports the consistency of our calibration approach with respect to other observations.
|
Figure 2: VISIR low-resolution spectroscopy (black solid line and gray error bars) and photometry (red filled circles) of eight type 1 AGN. Overplotted (blue dashed line) are Spitzer data with approximately 10 times less spatial resolution. The hatched areas mark regions with strong sky lines, which are difficult to calibrate. Prominent mid-IR emission line positions are indicated. The slit position angle (PA) is given in the lower right corner of each panel. |
| Open with DEXTER | |
|
Figure 2: continued. |
| Open with DEXTER | |
In MCG-5-23-16 the VISIR spectrum is slightly above both the Spitzer
spectrum and the VISIR photometry data point. Because the
VISIR photometry matches the Spitzer fluxes we account this
discrepancy to some unknown calibration error in spectroscopy
(e.g. a slightly deviating spectral shape of the calibrator).
In the extreme case around 12
,
the difference is 50 mJy or 7% of the flux. In NGC 7469,
the VISIR photometry is slightly but systematically lower the
VISIR spectrum. The reason for this is that the extraction window
used for the spectroscopic data includes some small degree of emission
from the surrounding star-burst ring (see also Sect. 4.2 and Horst et al. 2009) while our optimal flux extraction for imaging isolated the nuclear point source.
As most ground-based mid-IR instruments, VISIR uses chopping and nodding to subtract the strong sky emission. But this procedure does not only affect the background, it also has an influence on the science data: if an emission region is extended on scales larger than the chop-throw, this emission is strongly reduced. The degree of suppression depends on the actual extension and spatial flux gradient. It is strongest for objects that are emitting light more or less uniformly. On the other hand, point-like objects or emission regions confined within the chop-throw are not affected. Thus chopping can be considered a useful tool to reduce or suppress extended host galaxy emission. This contribution from the host galaxy can be stellar light or emission from extended star-formation projected onto the nucleus, in particular if the host galaxy is strongly inclined. In conclusion, our spectra and photometry can be expected to be free of extended host galaxy emission, containing only emission from the point-like AGN and its immediate vicinity.
|
Figure 3: VISIR low-resolution spectroscopy (black solid line and gray error bars) and photometry (red filled circles) of the LINER galaxy NGC 7213. Overplotted (blue dashed line) are Spitzer data with approximately 10 times less spatial resolution. The hatched areas mark regions with strong sky lines, which are difficult to calibrate. Prominent mid-IR emission line positions are indicated. The slit position angle (PA) is given in the lower right corner. |
| Open with DEXTER | |
|
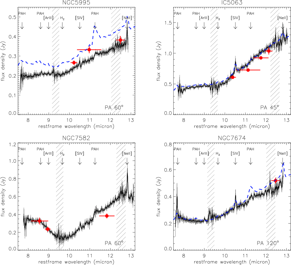
Figure 4: VISIR low-resolution spectroscopy (black solid line and gray error bars) and photometry (red filled circles) of ten type 2 AGN. Overplotted (blue dashed line) are Spitzer data with approximately 10 times less spatial resolution. The hatched areas mark regions with strong sky lines, which are difficult to calibrate. Prominent mid-IR emission line positions are indicated. The slit position angle (PA) is given in the lower right corner of each panel. |
| Open with DEXTER | |
|
Figure 4: continued. |
| Open with DEXTER | |
|
Figure 5: Spitzer IRS minus VISIR differential spectra of NGC 3227 ( left), NGC 5643 ( middle), and NGC 7469 ( right). The differential spectra are compared to the scaled-down IRS spectrum of M 82 (blue-dashed line), which is commonly used as a template for extragalactic star-formation. |
| Open with DEXTER | |
4.2 Polycyclic aromatic hydrocarbon (PAH) emission and star-formation activity around the AGN
Thirteen of the Spitzer IRS spectra of our objects show more or less pronounced PAH emission features at
,
and in some cases the
PAH complex is also well visible. Because PAH emission is
associated with star-formation, these features in the IRS data
indicate that star-formation is occurring in the central
of the AGN or, due to the lack of chopping, is projected onto the
nucleus in the Spitzer data. Common to all of our high-spatial
resolution VISIR spectra as compared to the Spitzer IRS data is the lack, or at least strong suppression, of PAH line emission. Most objects do not display any
PAH emission, while in NGC 3227, NGC 5643,
NGC 5995, NGC 7469, and NGC 7582 some minor
PAH feature can be seen. For Mrk 509 the situation is
inconclusive due to the low quality of the 12.4
setting, and for NGC 4593 we do not have data in the corresponding spectral setting. In the cases with some little
PAH emission, it is difficult to judge if some marginally remaining feature at around 8.6
is also present (e.g. by comparing to the Spitzer data), given
that this feature is generally broader in wavelength and weaker.
It has to be pointed out that the suppression of the
PAH emission features is not an effect of different spectral resolution, but is only caused by the different spatial resolution and observing techniques.
In Fig. 5 we show
examples of IRS minus VISIR differential spectra of objects with
prominent PAH emission in the IRS spectra, NGC 3227,
NGC 5643 and NGC 7469. For that, the VISIR data were
downgraded to the same spectral resolution as IRS (
).
The differential spectra were compared to the scaled-down version of
the IRS spectrum of M 82 (blue-dashed line), which is often
used as an extragalactic star-formation template. The match for all
three sources is reasonably good, especially for NGC 7469. Thus we
conclude that the differential spectra from spatial regions between
are predominantly showing star-formation emission in the continuum and lines.
The main differences of spectra taken with Spitzer and
VISIR are spatial resolution and observing technique. Because our
spatial resolution is about a factor of 10 better than the
IRS data, the emission regions producing the PAH features can
simply be located at scales between 0
3 and 3
.
On the other hand, only in few cases individual star-forming regions
are actually seen in the VISIR images, and images of these cases were
recently shown by Horst et al. (2009). The most notable example is NGC 7469 with its well-known star-burst ring at about 2
from the nucleus. When integrating over a 0
75
3
aperture,
we recovered part of the IRS spectrum. The remaining ``missing flux''
probably originates from extended emission outside the VISIR aperture
or from the host galaxy projected onto the nucleus. Because VISIR uses
the chopping/nodding technique, any extended host galaxy emission
at scales beyond the chop throw will be eliminated from the
data or, at least, significantly reduced.
As a result, the nuclear point source flux is free of
contaminating emission from the host galaxy, even if part of the host
emission falls onto the nucleus.
Still, most of the PAH emission in Spitzer is supposed to come from the vicinity of the AGN. Because we selected galaxies with only moderate inclination, projection effects should play a minor role. Consequently we see a significant reduction of the PAH emission from scales of 1 kpc down to <100 pc. What is the reason for the suppression of the PAH emission features? The PAH dust grains are prone to photo-destruction by high-energetic photons as emitted by an AGN or in its vicinity (e.g. from hot thermal plasma). Therefore it is quite plausible that they become less abundant at smaller distances from the AGN. On the other hand, a lack of PAH emission can also point to reduced or no star-formation activity. While it is not possible to distinguish between both effects only from the PAH emission, the reduction of PAH emission features from IRS to VISIR goes along with a reduction in continuum flux in our spectra. If the only reason for suppressed PAH emission were photo-destruction of the associated grains, we expect that the continuum level remains roughly constant. Thus we conclude that the dominating effect of suppressed PAH emission is an actual decrease in star-formation activity at smaller distances from the AGN.
4.3 The N-band silicate feature in AGN at high spatial resolution
Silicate absorption and emission features are the most evident spectral signatures in the N-band. One of the surprising discoveries of Spitzer
was based on observations of silicate emission features in
type 1 AGN. The features were much weaker than expected from
early torus modeling (e.g. Efstathiou & Rowan-Robinson 1995; Pier & Krolik 1993; Granato & Danese 1994).
The same also holds for silicate features in absorption as seen in
type 2 AGN, although very deep features are sometimes seen in
ULIRGs or type 2 AGN, where the host galaxy presumably
contributes by a large fraction to the obscuration (e.g. Levenson et al. 2007; Martinez-Sansigre et al. 2009; Polletta et al. 2008). Because the Spitzer data have a spatial resolution of several arcseconds in the N-band,
it was not clear initially to what degree the weakness of the silicate
features was a resolution effect. Recent ground-based mid-IR
spectroscopy of single objects at high spatial resolution suggested
however that even at a resolution better than 1
silicate absorption and emission features were moderate (e.g. Roche et al. 2007; Mason et al. 2009).
Here we present a much larger sample of type 1 and
type 2 AGN observed at sub-arcsecond resolution so that the
silicate feature characteristics can be studied more systematically
(see Sect. 5.3).
Figure 2
illustrates that most type 1 AGN exhibit a rather weak emission
feature, if we can detect any at all. A small bump in the
continuum can be seen somewhere between 9
and 12
e.g. in NGC 3783 and MCG-6-30-15. The other features are only revealed when plotting
or fitting the continuum (see Sect. 5.3) and some seem to be absorption
rather than emission features (e.g. NGC 3227). The strongest
silicate emission feature is displayed by the weak or LINER AGN
NGC 7213 (Fig. 3).
Based on the spatial resolution of our data of <100 pc in all
objects except MARK 509, we conclude that the weakness of the
silicate emission features in type 1 AGN is not a spatial
resolution effect, but an intrinsic property of the features
and possibly of the emission region.
The type 2 AGN show a variety of feature characteristics (see Fig. 4). While most type 2s have moderate silicate features in absorption, the NGC 4507 N-band
spectrum resembles a featureless type 1 spectrum.
In NGC 2110 we even see the silicate feature in emission.
It is not surprising to see these different characteristics in
type 2s because we expect various torus inclinations realized in
these objects, ranging from moderate to very high obscuration
(``edge-gracing'' to edge-on geometries). This is illustrated by the
variety of Hydrogen column densities
observed in X-rays for these AGN (see Table 2). Indeed NGC 2110 has the lowest
within the type 2 sub-sample, and infrared broad emission lines were reported (Veron-Cetty & Veron 2006) (see Mason et al. 2009, for possible scenarios in NGC 2110).
One of the mysteries of the silicate feature in AGN is an actual or
apparent shift of the emission feature towards longer wavelengths.
Absorption features in type 2 AGN are centered very close to
,
just as expected from opacity curves of the Galactic ISM dust (Chiar & Tielens 2006).
Clumpy torus models based on ISM dust well reproduce the overall IR
dust re-emission and the silicate absorption features in detail (e.g. Hönig et al. 2007,2006; Polletta et al. 2008; Schartmann et al. 2008).
For type 1 AGN, the situation is less clear. Early
reports of the silicate emission feature in a number of quasars
discussed that the central wavelength might be shifted towards longer
wavelengths (Hao et al. 2005; Sturm et al. 2005; Siebenmorgen et al. 2005). Recently Nikutta et al. (2009)
suggested that radiative transfer effects might cause the silicate
emission feature in AGN to shift towards longer wavelengths.
In their analysis, they require a certain number of clouds to
intervene the line-of-sight of other clouds to cause some absorption
tip at the center of the silicate feature. To occur at the right
wavelength, they suggest using Ossenkopf et al. (1992) silicates with a peak wavelength at 10.0
instead of standard ISM. However, they note that any slightly larger
number of clouds or different opacity would cause a noticeable
absorption dip to be present in the center of the silicate emission
feature, as shown in the models of Nenkova et al. (2008) and Hönig & Kishimoto (2010). Based on our own modeling, we would expect that if these radiative transfer effects are the only
reason for a shift or the silicate emission feature, we expect that
analyzing a sample of objects would reveal both shifted features and
those showing noticeable absorption dips within the emission feature.
However, all the type 1 AGN observed here and in addition
NGC 2110 as a type 2 AGN with a silicate emission feature do not
show this absorption dip within the emission feature. This is
consistent with a detailed study of the silicate emission features of
23 PG quasars observed with Spitzer (Schweitzer et al. 2008). The problem was also mentioned by Mason et al. (2009)
when attempting to model the silicate emission feature in
NGC 2110. In addition, we note that our modeling of silicate
features with Ossenkopf et al. silicate opacities shows both
emission and absorption features centered at 10.0
,
in agreement with Nenkova et al. (2008). Because the observed absorption feature central wavelength is at 9.7
though (see also Hönig et al. 2007; Roche et al. 2007; Mason et al. 2006), type 2 AGN would favor different opacity curves.
|
Figure 6:
Continuum-normalized silicate emission features of PG1211+143 (red) and
NGC 7213 (blue). A linear continuum was fitted to both
objects based on their 8.3 |
| Open with DEXTER | |
In Fig. 6 we show a comparison between the continuum-normalized N-band Spitzer spectrum of PG 1211+143 analyzed by Nikutta et al. (2009) and our VISIR spectrum of NGC 7213. To estimate the continuum, we made a linear fit to the 8.3
and 12.7
fluxes in
.
The observed spectra were then divided by the continuum fit. With this
kind of fit (which is to some extent similar to the method suggested by
Sirocky et al. 2008; and used by Nikutta et al. 2009), we see that the peak emission of PG 1211+143 is indeed located at 10.0
,
while it is shifted to
10.5
in NGC 7213. We compared these features to the extinction curve of
standard ISM dust with Ossenkopf silicates and found that the
PG 1211+143 silicate emission profile is well matched, while a
shift is evident in NGC 7213. Note that if we used the Spitzer IRS spectrum of NGC 7213 instead of the VISIR spectrum, the result would be more or less the same.
In summary we conclude that simple radiative transfer effects due to absorption within the torus alone, either clumpy or smooth, are not capable of explaining the details of the silicate features and their characteristics in type 1 and type 2 AGN. There may be other effects contributing to the actual shape of the feature. One possibility is that there is some (radial) change of the grain size and/or dust composition based on the fact that large grains, preferably graphite grains, have a much higher sublimation temperature than smaller grains, in particular silicates. Then hotter regions might be dominated by graphite dust and larger grains, while cooler regions have an ISM-like size and graphite-silicate mix, which may go along with a temperature-dependent central wavelength of the silicate feature (e.g. as illustrated in Krügel 2008, Fig. 9.7). Consequently, exact details on absorption and emission within the silicate feature are more complex than covered by recent torus models, although the essence of the features (i.e. feature strength) is well captured by these models.
5 AGN continuum and dust emission properties in the mid-IR at <100 pc
As shown in the previous section, the high-spatial resolution of VISIR allows us to isolate the nuclear mid-IR emission in AGN without too much disturbance from host-galactic sources. Thus an analysis of these data will reveal characteristics of the circumnuclear region around the AGN. Below we will discuss several properties of the mid-IR continuum emission and the silicate features. Narrow forbidden atomic emission lines that are also present in the spectra like [Ar III], [S IV], and [Ne II] were already studied in part in Hönig et al. (2008a), and the whole sample will be dealt with separately in an upcoming paper.
|
Figure 7:
Absorption-corrected X-ray luminosities |
| Open with DEXTER | |
5.1 Mid-IR continuum emission and its relation to AGN luminosity tracers
The mid-IR emission is believed to originate from dust reprocessing of
the central accretion disk radiation. In particular, optical/UV
photons hit the dust in the torus and heat up the grains. The absorbed
energy is then re-emitted in the IR and forms the general IR bump
seen in multi-wavelength SEDs (e.g. Elvis et al. 1994).
This redistribution of energy should produce a fairly significant
correlation between the X-ray (accretion disk tracer) and mid-IR (dust
emission tracer) luminosity in AGN. A
-correlation has been found by several authors using both space-based and ground-based observations (e.g. Krabbe et al. 2001; Lutz et al. 2004; Gandhi et al. 2009; Horst et al. 2008).
One remarkable property of this correlation is the apparent isotropy
among the AGN: Within the observational scatter of the latest
version of the correlation of about a factor of 2 to 3 (Gandhi et al. 2009), there seems to be no difference between type 1 and type 2 AGN.
|
Figure 8:
[O III] luminosities of our sample compared to the
|
| Open with DEXTER | |
In Fig. 7 we show the absorption-corrected X-ray luminosities
of our sample of AGN plotted against the
luminosity
derived from the VISIR spectra (see Tables 1 and 2).
Compton-thick objects are not shown in the plot. The errors of the
mid-IR luminosities are <0.1 dex (typical photometric accuracy
is much better than 15%). The X-ray luminosities are taken from
single-epoch data, so that we consider typical uncertainties
in
due to intrinsic variability of
0.5 dex (see error of the Gandhi et al. 2009, sample overplotted as gray symbols in Fig. 7).
Within the scatter of our observations, there is no apparent difference
between type 1 and type 2 AGN. This is consistent
with the larger samples analyzed by Horst et al. (2008) and Gandhi et al. (2009); the latter sample is shown for comparison as gray symbols in Fig. 7.
Note that some objects in the original Gandhi et al. sample are
duplicated in our sample. However, different X-ray luminosities were
used and the mid-IR fluxes were extracted from our VISIR spectra. Using
our much smaller sample leads to a nominal correlation
(Spearman rank
,
null-hypothesis probability 4.9
10-5), which is consistent with the findings in Gandhi et al. (2009).
There seems to be a small offset of our sample towards lower mid-IR
luminosities with respect to the Gandhi et al. study. This can be
explained to a small degree by the fact that Gandhi et al. used
as the reference wavelength, where fluxes are usually slightly higher than at
as used here. Most of the difference comes from the method used to
extract the fluxes though: our photometry was measured using the
optimal extraction, while in Gandhi et al. (2009) aperture photometry was used, which potentially includes some off-nuclear emission.
The non-detection of a difference between type 1 and
type 2 AGN within the error of observations might indicate a
relatively large degree of isotropy of the AGN radiation in both
the mid-IR and the X-ray. However, it has to be noted that the
-correlation
omits all Compton-thick objects. Unless one has a good idea of the
intrinsic X-ray luminosity of these highly obscured objects
(e.g. from line emission at optically thin wavelengths as in Hönig et al. 2008a), the observed isotropy must be considered as a lower limit. One such possibility is the commonly used [O III](
)
luminosity, although some degree of anisotropy has been reported (e.g. Netzer et al. 2006). In Fig. 8 we compare the [O III] luminosities of our sample to the
mid-IR and 2-10 keV X-ray luminosities, respectively. Both properties correlate well with
,
but the
-relation is stronger by eye and by a statistical analysis. For our sample we find
(Spearman rank
,
null-hypothesis probability 1.3
10-6) and
(Spearman rank
,
null-hypothesis probability 1.9
10-4). Note that for the correlation with
,
there are also Compton-thick objects included (NGC 5643 and ESO 428-G14). Thus, if the [O III] radiation is considered as being a good isotropy tracer, then
may be considered as being emitted quite isotropically
as well - at least more isotropically than X-ray radiation.
This might also be interpreted as a sign that the mid-IR optical depth
of any obscuring medium (e.g. as traced by the X-ray hydrogen
column density
)
must be more transparent in the mid-IR, or that the mid-IR emission is emitted within or outside the X-ray-opaque medium.
These findings seem to have a natural interpretation in the unification
scheme: the dusty torus is both the X-ray-obscuring and the
mid-IR-emitting medium. Recent studies showed that the observed mid-IR
isotropy (i.e. small dispersion between type 1 and
type 2 AGN in the
-correlation) can be explained within the framework of a clumpy torus (e.g. Levenson et al. 2009; Nenkova et al. 2008; Hönig et al. 2006; Gandhi et al. 2009; Horst et al. 2008). There is an interesting point to consider though: While IC 5063, ESO 323-G77, and MCG-3-34-64 are outliers in the
-correlation (see Fig. 7 and also Gandhi et al. 2009; Horst et al. 2008), they are very close to the
-fit (see Fig. 8). This could be caused by absorption because all three objects have moderate
(
). On the other hand, all recent
-studies use
-corrected
so that it is difficult to imagine that the intrinsic
are still underestimated by a factor of
3-5.
Another possibility would be that these objects are not
``underluminous'' in the X-rays but ``overluminous'' in the mid-IR,
i.e. there is additional mid-IR emission other than the dust
torus re-emission. This overhead emission is probably triggered by the
AGN, because our spectra do not include any major star-burst component
(see Sect. 4.2). Instead
the additional mid-IR emission may originate from dust in the
narrow-line region (NLR). The prime example for this is NGC 1068. Mason et al. (2006) point out that the flux in the central 1
2 of this AGN (
80 pc,
which is a typical resolution element of our sample) contains only
30% contribution from the nuclear point source (presumably the
torus) while 70% originate in extended emission, mostly from the
NLR
. This corresponds to a mid-IR ``overluminosity'' of 0.3-0.4 dex in the
-correlation, which is about the offset of the three sources. If we exclude these sources from the
-correlation analysis, we obtain a tight relation of
(Spearman rank
,
null-hypothesis probability 2.5
10-8), which is consistent within errors with Gandhi et al. (2009).
|
Figure 9:
VISIR mid-IR contour images of MCG-3-34-64 (left column) and
IC 5063 (right column). The different panels in each column
represent images in different filters (SIV = forbidden [S IV](10.51 |
| Open with DEXTER | |
An interesting aspect about this suggestion is that mid-IR VISIR
imaging of the outliers MCG-3-34-64 and IC 5063 actually shows
extended emission. Horst et al. (2009)
mention some ``slight elongation'' in their SIV, PAH2, and
NeII_1 filter images of MCG-3-34-64, but attribute it to
instrumental effects. We reanalyzed their images of MCG-3-34-64 and
IC 5063, together with additional archival VISIR images
(see Fig. 9), by applying a 2D Gaussian fit to both science target and calibrator. The resulting FWHM and position angles are presented in Table 5.
The source MCG-3-34-64 shows at least 38-54% and IC 5063 shows at
least 14-45% extension compared to the maximum elongation of the
respective calibrators. All calibrators appear more or less round with
axis ratios close to unity. On the other hand, the average axis ratios
are 1.35 for MCG-3-34-64 and 1.26 for IC 5063. This agrees
with very similar position angles in each filter while the orientation
of the axis in the standard star images is more random (average
PA 54
for MCG-3-34-64 and 111
for IC 5063). In IC 5063 this is consistent with the orientation of the extended [O III] emission as observed with HST (PA 115
;
Schmitt et al. 2003). Even though no high-spatial resolution [O III] image is available for MCG-3-34-64,we can compare our results to radio observations. Schmitt et al. (2001) report linear extension of the nuclear radio emission (inner
100 pc) at 8.46 GHz towards PA 39
,
which is only about 13
off from the mean elongation of the mid-IR emission. If we assume that
the linear radio emission traces some jet-like emission and that
the jet-like emission is approximately in the same direction as
the NLR, we can argue that the mid-IR emission in MCG-3-34-64 is
also extended in the NLR direction.
Actually, these two objects are the only ones in our sample
where we see such a significant extension and elongation (see data
in Tables 3 and 4; point-like images for some of our objects are shown in Horst et al. 2009).
Moreover, some members of our group attempted VLTI/MIDI mid-IR
interferometry on both objects in the past. Although total fluxes were
easily recorded, no fringes were found. This is consistent with a
very low 12
visibility (0.2-0.3 at about 60 m baselines) in these objects,
meaning that 70-80% of the nuclear flux comes from extended emission.
Thus based on (1) the absence of PAH emission lines in our VISIR
spectra; (2) the resolved emission regions observed in the mid-IR
images of MCG-3-34-64 and IC 5063; (3) the significant
elongation; (4) consistent position angles of the mid-IR extended
emission region and the [O III] emisison
in IC 5063 and the linear radio emission in MCG-3-34-64; and
(5) the low visibilities in mid-IR interferometry, we suggest a
scenario where theses two objects have very mid-IR-bright NLRs -
similar to NGC 1068 - which causes them to deviate from the
-correlation.
Whether or not this may also be an explanation for the apparent
``overluminosity'' of AGN at the low-luminosity end of the
-correlation (Gandhi et al. 2009; Horst et al. 2008) has to be addressed by detailed mid-IR studies.
Table 5: Gaussian fit geometric properties of MCG-3-34-64 and IC 5063 base on VISIR images.
5.2 The mid-IR spectral index
|
Figure 10:
Mid-IR spectral slope and spectral index for each object in our sample, plotted against the observed mid-IR luminosity
|
| Open with DEXTER | |
One fundamental observational property of the mid-IR emission is its spectral slope. Because a sizable part of the N-band
is affected by the silicate feature, the continuum slope has to be
recovered from wavelengths outside the feature, which is centered
around 10
.
Here we assume that fluxes at 8.5
and 12.5
are mostly unaffected by the silicate feature (which we tested by inspecting ISM dust extinction curves and Spitzer IRS data covering a larger wavelength range).
In Fig. 10 we show the spectral slopes (=flux ratios
)
and spectral indices
(based on the flux ratios) for all our objects. In the left panel we plot the spectral slope
against the observed mid-IR luminosity. The distribution is rather
wide, so that a clear correlation cannot be seen. Yet there may be
a slight trend that the reddest objects in both the type 1 and
type 2 sub-sample are on the lower luminosity end of the plot.
What can clearly be seen is that type 1 and type 2 AGN do not
show a huge difference in the spectral index
,
i.e. type 1s can be as red as type 2 AGN, although
a marginal difference may be detected. The nominal mean spectral
indices are
0.44 for type 1 AGN and
0.54 for type 2 AGN. This almost similarity in spectral indices
becomes even more evident when comparing the hydrogen column
density
with the spectral index. There is at best a marginal trend of the
spectral index with obscuration towards the AGN - the most
obscured objects appear to be redder than the mean in this sample. On
the other hand, NGC 1068 as a Compton-thick object has
in the mid-IR, so that it is placed in the bulk of the other objects (see star in Fig. 10, left). The spectral index for each object has been tabulated in Table 6.
Table 6: Properties of the VISIR mid-IR spectra.
|
Figure 11:
Silicate feature analysis of our AGN sample observed with VISIR.
Type 1 AGN are shown as blue triangles, type 2 AGN are marked
by red squares. Some objects have been identified by name. For
reference we include NGC 1068 with mid-IR properties based on the
Gemini spectrum by Mason et al. (2006). Left: dependence of the silicate feature strength
|
| Open with DEXTER | |
That type 1 and type 2 AGN have very similar spectral indices may seem
quite surprising. The first-order assumption based on the torus picture
would be that type 1 AGN are on average bluer than type 2
AGN, because most of the IR emission we see in type 1s comes
from hot dust in the inner part of the torus. On the other hand, as
shown in Hönig & Kishimoto (2010, e.g. Sects. 3.2, 3.4 and 3.5.1, and Figs. 6, 7, 9, 10, 11 and 12#,
the way the dust is distributed around the AGN can have a much stronger
effect on the mid-IR properties than the inclination effects - in
particular if the torus is clumpy so that transitions in obscuration
properties from type 1 to type 2 are smooth. We demonstrated
that if the radial dust distribution is steep (
with
),
i.e. most of the dust is confined to small radii, the resulting
SEDs are quite blue in both type 1 and type 2 orientations of
the torus (see Hönig & Kishimoto 2010, , Figs. 6 and 9). On the other hand, more shallow dust distributions (
)
show redder colors for all orientations. Thus in the framework of a
clumpy torus, the similarity in mid-IR spectral indices can be
naturally explained. A larger difference in spectral indices may
however emerge at wavelengths shorter than 8
.
5.3 The silicate feature and its relation to AGN properties
In Sect. 4.3 we
qualitatively discussed the general appearance of silicate features at
high spatial resolution. Now we aim for a quantitative analysis of the
silicate feature and its relation to other observed properties. For
that we fitted a linear continuum to the 8.5
and 12.5
flux of each object. From that we interpolate the expected linear continuum flux
at 9.8
around the center of the silicate feature (but see Sect. 4.3 for details on the central wavelength). Then we took the ratio between observed flux and fitted continuum flux,
,
as a measure of the strength of the silicate feature, which is similar to the strategy used by Hao et al. (2007). The silicate feature strength of each object is listed in Table 6.
Figure 11 shows
the silicate strength plotted against several observed parameters. The
right axis shows the translation into an observed optical depth,
,
within the silicate feature. It has to be pointed out though that
this does not reflect the actual optical depth along the line-of-sight
towards the central engine, but is a result of the radiative transfer
within the torus (see also Hönig & Kishimoto 2010). In the left panel, we show the silicate strength as a function of mid-IR luminosity
.
As in all plots, the type 1 AGN are marked by blue triangles,
and red squares are used for type 2 AGN. For reference, we put
NGC 1068 in all of the plots based on the Gemini spectrum of the
nucleus reported in Mason et al. (2006). The type 1 AGN are all clustered around
,
reflecting the absence or extremely shallow silicate features. They do not show any dependence of the silicate feature on
in the covered luminosity, with a nominal relation
(dotted line in the left panel of Fig. 11).
The type 2 AGN show a much larger variety of silicate feature
strengths from moderate absorption to slight emission, as seen
also in Fig. 4. The
deepest feature is observed in NGC 7582. This galaxy shows a
well-known star-burst ring close to the nucleus which is at high
inclination (e.g. Wold & Galliano 2006).
It seems quite likely that a large fraction of the obscuration in
this object is not intrinsic to the torus but caused by dust located in
or around the star-burst ring or the inner host galaxy. In general
the silicate absorption features seem to become shallower with
luminosity in the type 2 AGN. The dashed line in the left
panel of Fig. 11 is the nominal fit to the type 2 sub-sample,
.
We would not call this a correlation (Spearman rank
,
null-hypothesis probability 8.2
10-2),
but the data suggest at least that the silicate feature shows stronger
differences between type 1 and type 2 AGN at lower than
at higher luminosities. If this is really true, it indicates
that the dust distribution properties like the radial dust distribution
or the average number of clouds along the equatorial line-of-sight (see
Hönig & Kishimoto 2010, for more details) may
change with luminosity. This would agree with the possible trend of
bluer spectral indices for higher luminosity objects mentioned in
Sect. 5.2. Based on the discussions in Hönig & Kishimoto (2010), it is possible that higher luminosity AGN either have a more compact dust distribution (see also Polletta et al. 2008) or have less obscuring clouds in the torus (e.g. see Hönig & Beckert 2007).
Follow-up studies on a more substantial sample and luminosity range
should be done to further investigate these trends. We will continue
this discussion in Sect. 6.3.
A fundamental prediction of all kinds of torus models is that
line-of-sight obscuration, spectral color and silicate feature are
correlated. As a first-order approximation, we expect that
the SEDs of type 2 AGN are slightly redder than
type 1 AGN. If we have a face-on view onto the torus,
the near-to-mid-IR SED is dominated by hot-dust emission from the inner
part of the torus. In type 2 AGN, the inner hot
dust is obscured by cooler dust at larger distances from the AGN. This
difference in observed dust temperature should lead to differences in
the spectral color (but see Sect. 5.2).
On the other hand, since hot dust is expected to show the silicate
feature in emission and cold (optically-thick) dust to show a silicate
absorption feature, spectral index
and silicate feature strength
are supposed to be correlated. In the middle panel of Fig. 11 we plot
against the mid-IR flux ratio
and spectral index
.
The type 1 AGN do not show a dependence of the silicate feature strength on the spectral index while a range of
is covered. Apparently the different spectral indices are not an effect
of obscuration (assuming that the silicate feature depth is tracing the
line-of-sight obscuration to some degree because the tori are seen
face-on). Instead it may be a signpost of different dust distributions.
We showed in Hönig & Kishimoto (2010) that the spectral slope in the mid-IR is quite sensitive to the power law index a of the radial dust distribution
,
where r is
the distance from the AGN. The steeper the distribution (i.e. dust
more concentrated to the inner part of the torus), the bluer the
mid-IR SED. On the other hand, if the dust distribution is shallower,
the mid-IR is redder. Based on these models, we conclude that the
type 1 AGN in our sample show some variety in their radial dust
distribution, becoming steeper from right to left in this plot. We will
pick-up this suggestion when modeling our data in Sect. 6.
The type 2 AGN show some weak trend of redder colors with deeper
silicate absorption features. The only exception is NGC 7582 were
the silicate feature is much deeper for the given
than in the rest of the objects. Again, this might be connected to
additional absorption outside the torus (see above). The nominal
relation between silicate feature strength and spectral steepness for
type 2s is
(excluding NGC 7582), or expressed as spectral index,
(Spearman rank
,
null-hypothesis probability 1.6
10-3).
This result agrees at least qualitatively with what we expect from a
clumpy dust torus around the AGN. Finally, we can test how well the
observed obscuration properties in X-ray and the mid-IR are related. In
the right panel of Fig. 11 we plot the observed silicate feature strength
in the mid-IR against the Hydrogen column densities
observed in the X-rays. Despite some scatter, we find a correlation
(Spearman rank -0.71, null-hypothesis probability 9.9
10-4), which is shown as a dashed line in Fig. 11. This is consistent with the analysis of Shi et al. (2006) who used Spitzer data at lower spatial resolution. The ratio
can be converted into an observed optical depth
in the silicate feature, and we define
(see right y-axis in Fig. 11 and data in Table 6). In this way the correlation between observed silicate feature depth and Hydrogen column density becomes
| (2) |
where
Based on the discussion in Sect. 4.3,
it is possible that the silicate emission features have a different
peak wavelength than the center of the silicate absorption features.
This could potentially change the outcome of our analysis on the
silicate feature strength relations. In order to investigate this
possibility, we extracted
at 10.3
instead of 9.8
for the type 1 sub-sample. The resulting feature strengths are plotted as gray circles in the right panel of Fig. 11.
Changes to the original analysis are only moderate and the resulting
correlation is shown as a gray-dotted line. The results remain
consistent within error bars (here,
,
Spearman rank
,
null-hypothesis probability 4.5
10-4).
Thus, our general analysis does not suffer significantly from any
possible shift of the central wavelength in silicate emission features.
|
Figure 12: Comparison of observed
mid-IR properties of our type 1 and type 2 AGN to model SEDs
simulated with our 3d clumpy torus model. Left:
|
| Open with DEXTER | |
6 Modeling the data with 3D clumpy torus models
6.1 Constraining torus parameters from VISIR N-band spectro-photometry of nearby AGN
In Hönig & Kishimoto (2010) we investigate the interpretation of mid-IR observations of AGN with our 3D clumpy torus model (Hönig et al. 2006).
General dependencies of SEDs and interferometric visibilities on
different model parameters have been discussed and it has been shown
that the mid-IR SEDs are most sensitive to (1) the radial
distribution of dust clouds which we parametrize as a power-law
(for details please see Sect. 2.5 in Hönig & Kishimoto 2010)
and (2) the obscuration inside the torus. The torus-internal
obscuration is parametrized by the average number of clouds, N0, along an equatorial line-of-sight. We remind the reader that N0 is not equal to the number of clouds along the actual line-of-sight unless the torus is seen edge-on. We argued that SEDs may serve as a tool to constrain a and maybe N0 if the strength of the silicate feature and the spectral slope in the mid-IR are simultaneously taken into account.
The mid-IR data presented in this paper have quite a small wavelength coverage from approximately
.
This limits the possibilities of modeling IR SEDs, e.g. as recently done for NGC 1068 (Hönig et al. 2008b).
As mentioned in the previous section, the two main observational
parameters that we can derive from our VISIR data are the spectral
index
of the mid-IR continuum and the depth of the silicate feature
(or translated into an observed optical depth
). In the middle panel of Fig. 11
we plotted both parameters against each other and discussed the
observed properties of the type 1 and type 2 sub-samples. Now
we want to compare these observed mid-IR properties to our torus models
and see if we can constrain parameters. For that we simulated a model
grid varying a and N0 for inclinations from
(pole-on) to
.
As discussed in Hönig & Kishimoto (2010), other model parameters do not have a significant influence on the SED, except for the half-opening angle
of the torus, which we discuss below. For the moment we use the common assumption of
.
In Fig. 12 we show model predictions for the silicate feature strength
(or observed optical depth
in the silicate feature) and the spectral index
of the mid-IR continuum. In the left panel, we show simulations for an inclination angle of
which reflects a typical type 1 AGN line-of-sight for a half opening angle of
.
Model results for different radial power law indices are color-coded from a=-2.0 (blue) to a=0.0 (orange). For each a, several values for N0 have been calculated and are marked by different symbols in the plot from N0=2.5 (asterisks) to N0=10 (x-shapes). Dashed-colored lines connect symbols with the same a but varying N0, while dotted-black lines represent the same N0 for different a values. The right panel of Fig. 12 shows the same model grid but for a typical type 2 inclination of
.
We also overlaid the grid for
to illustrate how inclination effects change the results. In general, changing a has a strong effect on the spectral index
(as discussed in Hönig & Kishimoto 2010) and some effect on
.
On the other hand, varying N0 and i has almost no effect on
but changes
.
It is remarkable that the spectral index
is very insensitive to the torus inclination, even when changing from
edge-on to face-on line-of-sights. As discussed, this is
characteristic for clumpy models. The gray arrows in Fig. 12
are intended to help the reader, summarizing the rough trends of how
the different parameters change the place of an object in the model
grid.
The model grids in Fig. 12
illustrate that some fundamental parameters of the dust torus can be
constrained even with the limited wavelength range covered by our
observations. We overplot the type 1 and type 2 sub-samples
in the left and right panel of Fig. 12,
respectively, to see which region in parameter space is occupied.
As already discussed, the most robust constraint can be put
on a because it is the almost exclusive parameter to
determine an object's place in the horizontal direction. The
type 1 AGN in the left panel populate the range between a=0.0 to a=-1.5, with some clumping roughly at -1.0
0.5. The source ESO 323-G77 is the only exception being located between a=-1.5 and a=-2.0
but outside the displayed model grid. It is discussed in more
detail below. Interestingly, most type 1s also cover a rather
narrow range in vertical direction, somewhere between N0=5 and 7.5, and they follow approximately a line of equal N0 for varying a. The object NGC 7213 is slightly above the other objects, suggesting a lower value for N0.
Because it is not a classical Seyfert galaxy but a LINER,
the offset from the Seyfert 1s could indicate some intrinsic
difference in the dust structure. On the other hand, it may also result
from an inclination effect: if NGC 7213 is seen more pole-on
than the other objects, we would expect that for the same a and N0 the object is placed slightly above the others (see also inclination effect illustrated in the right panel of Fig. 12).
However, at low inclinations any viewing-angle effect is small and
not able to explain all of the offset of NGC 7213.
The right panel of Fig. 12 shows the type 2 AGN of our sample. Most objects are again located between a=0.0 and a=-1.5 and follow the line of constant N0=5 for inclination
or
for
.
There are however a number of outliers from this plot, most notably
NGC 7582. For this galaxy we already remarked that additional
extinction from a circumnuclear star-burst ring might interfere with
the emission from the nucleus. Consequently, the observed mid-IR
properties are not generic properties of the torus emission.
To study the possibility if such additional (screen) absorber may
be responsible for outlier in the plot, we used the extinction curves
of our dust composition (ISM dust with Ossenkopf silicates; see Hönig & Kishimoto 2010, for details) and derived the change of mid-IR spectral properties for AV=10. The resulting shift is shown as an orange arrow in both panels of Fig. 12.
Actually NGC 7582 and MCG-5-23-16 - the objects in our sample
which are located below the model grid - have a comparably high
inclination of the host-galaxy, which may contribute some extinction
screen to the nuclear emission. On the other hand, MCG-5-23-16 is very
close to the model grid and the offset can be easily explained by
either a torus inclination
or a torus with N0=10 or slightly higher. Please note that ``reddening'' (extinction) actually makes the N-band
mid-IR colors slightly bluer, which is an effect of the extinction
curve at these wavelengths. Another interesting object is
NGC 5643. This low-luminosity AGN has the reddest colors in
our sample. It follows quite well the line of constant N0 occupied by the other AGN, but is placed at a>0.0.
This would imply that the torus is much more extended than in the other
objects compared to the intrinsic scale, something that might be tested
by IR interferometry.
Finally we will discuss ESO 323-G77, which is an outlier in the type 1 plot (left panel of Fig. 12). It is located slightly below the model grid between a=-1.5
and -2.0. Based on our modeling, the offset cannot be
explained by either an inclination effect or a higher N0.
Inclination is excluded since ESO 323-G77 is even below the
type 2 AGN model grid in the left panel of Fig. 12.
Moreover, for such steep dust distributions, most clouds are
located in the innermost part of the torus close to the sublimation
radius. Adding more clouds to the torus will dramatically increase the
torus-internal obscuration and moves the models rather to the right
than downward in the plot. This effect can already be seen in the model
grid for a=-2.0 and N0=10 and becomes even stronger for higher N0. On the other hand, ESO 323-G77 is showing some absorption pattern in the optical and the X-rays (see Table 1), which could result in a down-left drift in the plot (see orange arrow). It is located in the same area of the
-correlation
as MCG-3-34-64 and IC 5063, for which we found extended emission
probably coming from the NLR. Because ESO 323-G77 is a
type 1 AGN with a more or less face-on line-of-sight, dust in the
NLR can cause screen extinction, which may explain the offset position
in Fig. 12. In this case it is reasonable to conclude from Fig. 12 that the intrinsic dust distribution power-law index of ESO 323-G77 is most likely somewhere between a=-1.5 and -2.0 as expected from the relatively blue mid-IR color.
In summary, based on our modeling we find that the Seyfert galaxies in
our sample have a torus with a rather shallow radial dust distribution
with a typical power law index of approximately a=-1
0.5.
This parameter is quite solidly constrained by the mid-IR spectral
indices. For the presented model grid we also found a typical range for
the average number of clouds along an equatorial line-of-sight of
for the whole sample. It is however difficult to pin down this
parameter for each individual object because inclination effects can
slightly alter the results. As yet we have not discussed how the
vertical structure of the torus (represented by the half-opening
angle,
,
of the torus) influences the models. Actually
does not have an effect on the horizontal position of the object (exclusively determined by a) but can change its vertical position, i.e. the strength of the silicate feature. We found that increasing
from
to
has a similar effect as decreasing the inclination angle by about
.
If we consider
as a reasonable sample average, the range of
found as a typical value for the whole sample is still valid, although it might be complicated to constrain N0,
,
and i for each individual object.
6.2 Comparison to IR interferometry
While our modeling approach based on the spectral slope and silicate
feature strength is very limited in wavelength range, we can test its
results and predictions. For that we compared the derived radial dust
distribution to recent results from IR interferometry. In Kishimoto et al. (2009a),
we argued that IR interferometry of type 1 AGN can be used to
determine the surface brightness profile of the dust torus. For that
the N-band visibilities observed by VLTI/MIDI were plotted
against an object-intrinsic spatial scale (the near-IR reverberation
radius, which is presumably indicative for the inner boundary of the
dust distribution). It was found that the brightness profile in
NGC 3783 depends on the radius
.
We can now try to reproduce this finding by our models with the model parameters as constrained by Fig. 12. For NGC 3783 we find that
and
for i=30. Based on these parameters, we simulated images and calculated corresponding mid-IR visibilities. The results at
and
are shown in Fig. 13.
The model visibilities generally agree with the available data, despite
some overestimation of the visibility at longer wavelengths for the
long projected baseline (baseline length 65 m, PA 120
). That the observed visibilities are lower in PA 120
may be due to some elongation of the source. Based on our clumpy torus
models we would not expect that the torus itself produces these kind of
deviation. Interestingly the larger size in PA 120
is pointing in a similar direction as the polarization angle (
Smith et al. 2002), which implies that the mid-IR nucleus is elongated towards the NLR.
This may place NGC 3783 into the same group of objects as
IC 5063 and MCG-3-34-64, which show some contribution from the NLR
to the mid-IR emission (although for NGC 3783 on much smaller
scale and fraction), in particular to longer wavelengths. We leave
a more detailed analysis of the interferometric measurements to a more
extended dataset that was recently obtained (Hönig et al.,
in preparation). Despite these details, NGC 3783 as a case
study illustrates that the brightness profiles of the dust distribution
are strongly connected with the mid-IR slope
,
and both are very sensitive to the radial distribution of the dust.
In the left panel of Fig. 12, we also show NGC 1068 as an orange asterisk. It is located slightly below the
model grid in the range of
and
.
Recently we presented detailed modeling of the full IR SED of
NGC 1068 at high-spatial resolution simultaneously with near- and
mid-IR interferometry (Hönig et al. 2008b,2006,2007).
Since IR interferometry resolves the spatial brightness profile,
it is considered as very constraining for model parameters. For
NGC 1068 we found typical parameters of
,
,
and
which excellently agrees with the analysis presented here based on the mid-IR spectral index and the silicate feature strength.
|
Figure 13:
Comparison of the VLTI/MIDI
|
| Open with DEXTER | |
In summary we find that the results from our analysis of the mid-IR spectral index
and the silicate feature strength agrees well with results from IR
interferometry. Model parameters derived by our spectro-photometry
approach are consistent with a much more detailed analysis of the
IR emission of NGC 1068 and can reproduce interferometric
measurements of NGC 3783. In turn, based on the analysis of
the mid-IR spectra, we can make predictions about the spatial
brightness profiles of AGN for interferometry. For instance, we expect
that ESO 323-G77 and MARK 509 have quite compact profiles
(i.e. high visibility) while objects like NGC 3227,
NGC 7213, or NGC 7469 have rather extended profiles
(i.e. low visibilities) when scaled for their intrinsic radii.
6.3 A luminosity dependence of the torus properties?
One interesting aspect of the torus is whether or not there are any
differences in its structure at low and high AGN luminosity.
Obscuration statistics of type 1 and type 2 AGN suggest that
the relative fraction of type 1 AGN increases with luminosity
(e.g. Hasinger 2008; Maiolino et al. 2007; Simpson 2005).
This phenomenon is commonly explained by a decrease of the torus
covering factor with luminosity - and referred to as the
``receding torus''. On the other hand, if the covering factor
decreases, the ``reprocessing ratio''
ratio is also expected to decrease because less torus surface is heated by the AGN. However, based on the
-correlation by Gandhi et al. (2009), we find that
,
which means that the reprocessing ratio does not significantly change
with luminosity (maybe marginally increases; but we note that when
using the bolometric luminosity instead of
,
the ratio might slightly decrease with luminosity, depending on the bolometric correction used; see also Gandhi et al. 2009, Sect. 4.5). In Hönig & Beckert (2007)
we suggested a possibility to explain these observations: increasing
AGN radiation pressure may cause large dust clouds to be driven
out of the torus at higher luminosities. Consequently, the absorbing
column towards the AGN decreases and it becomes less likely that the
line-of-sight towards the nucleus is obscured. On the other hand, the
covering factor and reprocessing ratio will not change.
The question remains though whether there are direct hints that the torus dust distribution
changes with luminosity. The most direct way of probing this
possibility is, of course, IR interferometry. On the other hand,
due to the sensitivity of current interferometers, one is limited to
few objects and the luminosity coverage is limited. In the
previous sections we showed that the radial structure of the torus and
the torus-internal obscuration properties can be constrained by
simultaneously comparing the mid-IR spectral index
and the silicate feature strength. In particular, constraining the radial power-law index a using
seems to be quite solid (see also Sect. 6.2).
The AGN in our sample have typical luminosities of nearby Seyfert galaxies, i.e. in the range of
to
,
and conclusions drawn about the typical torus properties of a=-1
0.5 and N0=5-8 are only valid for these luminosities. Recently, Polletta et al. (2008) presented rest-frame near-to-mid-IR SEDs of 23 type 2 QSOs with luminosities between
to several
.
Interestingly, most of them showed quite blue IR spectral indices.
Using the clumpy torus models, it was concluded that the typical
radial power-law indices in the type 2 QSOs were tracing a quite
steep dust distribution, with
.
If this is indeed a typical value for luminous AGN,
it is much steeper than what we find in our
intermediate-luminosity sample. Consequently there could be a change of
the torus structure with luminosity.
At the low-luminosity end, we do not have a good coverage of
mid-IR data where spatial resolution is sufficient to isolate the torus
emission. But we can compare the lower-luminosity objects in our sample
to those at the higher luminosity end. Indeed, in Sect. 5.2
we note that the reddest objects in both type 1 and type 2
sub-samples are those with the lowest luminosities (NGC 3227 and
NGC 7213 for type 1s, NGC 5643 and ESO 428-G14 for the
type 2s). This would suggest that the lower-luminosity AGN have
much more shallow dust distributions, i.e. the torus is relatively
more extended compared to higher-luminosity objects. If true, we
might see an imprint of this behavior in the mid-IR size-luminosity
relation, e.g. as it can be constructed from interferometry.
The prediction would be that for a sufficiently large sample the
relation does not scale as
but with a slightly smaller power-law index. Similarly, near-IR
interferometric sizes would be systematically larger than IR
reverberation-mapping radii at lower luminosities, and would better
match each other at higher luminosities (cf. Kishimoto et al. 2009b, for Keck interferometry results of four objects).
7 Summary
We presented high-spatial resolution mid-IR spectro-photometry of a
sample of nearby AGN. Based on the selection criteria, the sample
cannot be considered complete but the objects are typical for local
intermediate-luminous AGN, i.e. Seyfert 1 and Seyfert 2
galaxies ranging from Compton-thin to Compton-thick X-ray obscuration.
The ground-based mid-IR data were taken with the VLT mid-IR imager and
spectrograph VISIR and it represents to our knowledge the largest
sample of mid-IR N-band spectra of AGN with angular resolution
0
4. The main characteristics of these data are:

- Our ground-based observations isolate the nuclear dust emission of the torus from host-galactic sources. PAH emission features, commonly associated with star-formation in the host galaxy, are mostly absent in our data (i.e. at spatial scales <100 pc), although seen in Spitzer data at lower spatial resolution. We showed that subtracting the nuclear VISIR emission from the Spitzer data reveals spectra reminiscent of a star-formation template.

- The mid-IR spectra show only moderate silicate features. While silicate absorption is easily identified in type 2 AGN, the corresponding emission feature in type 1 AGN is very weak, if present at all. Thus, the weakness of the silicate feature is an intrinsic property of the emitting region, which is <25-160 pc, depending on the object. This points to an origin in the circumnuclear dust distribution - the ``dust torus''.

- The strongest silicate emission features are seen in the type 2 AGN NGC 2110 (see also Mason et al. 2009)
and the broad-line LINER NGC 7213. We analyzed the silicate
emission feature of the latter object and found a shift of central
wavelength of the silicate feature to
10.5
.
This shift is probably not exclusively caused by radiative transfer
effects due to absorption as recently suggested, but could indicate
different dust composition than in the standard ISM, or a radial change
of grain size and/or chemistry in the dust distribution.
Three objects in our sample, MCG-3-34-64, ESO 323-G77, and IC 5063, are outliers in the otherwise tight
-correlation (Gandhi et al. 2009; Horst et al. 2008).
We evaluated mid-IR images in four different filters per object and
found that they show significant extension and elongation.
In IC 5063, the elongation direction is consistent with HST
[O III] emission maps. We suggest that a sizable
fraction of the mid-IR emission in these objects is originating in
the narrow-line region, possibly caused by dust located there, similar
to the mid-IR-bright NLR in NGC 1068. This additional emission may
be the reason for the mid-IR ``overluminosity'' in the
-correlation.
Because the wavelength range covered by our data is limited to
,
the main properties we can use for analyzing the dust emission are (1) the mid-IR continuum spectral index
;
and (2) the strength of the silicate feature. We found that there are at best mild trends of increasing
with increasing
and increasing
with increasing Hydrogen column density
.
The weak trend of the
vs.
shows that strong or weak obscuration does not have a significant
impact on the overall color of the mid-IR SED, consistent with the as
yet not detected difference between the
-correlation of type 1 and type 2 AGN (see also Gandhi et al. 2009). As suggested in Hönig & Kishimoto (2010),
the distribution of the dust around the AGN has much more impact on the
mid-IR spectral slope than obscuration or orientation effects. We
also compared the strength of the silicate feature
(or observed
)
to the mid-IR luminosity and the Hydrogen column density. We find a similar correlation of silicate feature strength and
as Shi et al. (2006), corresponding to
.
Interestingly, there might be a difference between silicate feature
strength at lower and higher luminosity in our sample: type 1 and
type 2 objects at lower
seem to show a stronger difference in silicate features than objects at higher
,
where type 1 and type 2 features appear rather similar.
A larger sample of objects with high angular resolution is
required to see if the trend can be confirmed.
Next, we plotted the silicate feature strength against mid-IR spectral index
.
This analysis was motivated by our 3D clumpy torus model where we
found that simultaneously accounting for silicate feature and spectral
slope may be very constraining for torus parameters. We overplotted the
observed properties of type 1 and type 2 AGN with predictions
from our model, varying (1) the radial dust distribution
power law index a (radial distribution
); (2) the average number of clouds N0 along the line-of-sight in the equatorial plane; and (3) the torus inclination i. Our main conclusions are:

versus silicate-feature-strength plots are quite constraining for torus parameters because
is almost exclusively sensitive to a and the silicate strength is mostly sensitive to N0 and i. We discussed how the position of an object is depending on these and possible other model parameters and concluded that a can be constrained for each individual object, while N0 may be better derived as a sample mean.

- For our Seyfert sample, we find typical values of a=-1.0
0.5 and N0=5-8.
The sample average values are similar for type 1 and
type 2 AGN, which is a support for the unification scheme. We
note, however, that this conclusion is only valid for typical
Seyfert AGN as presented in our study.

- Some
objects may be suffering from extinction in the host galaxy.
In such cases, however, additional screen absorption changes
mostly the object's vertical position in the
-silicate strength plot.

- The approach of constraining a and N0 based on the mid-IR spectral index
and the silicate features strength was tested for examples where we
also have much broader IR SEDs and/or infrared interferometry
(NGC 1068 and NGC 3783). Interferometry directly traces the
brightness distribution of the emission region and is most sensitive to
the radial distribution of the dust (see Kishimoto et al. 2009a).
We find that the model parameters derived from simultaneous SED and
interferometry modeling of NGC 1068 are consistent with parameters
derived from the
-silicate feature plot. In addition,
and
silicate-feature-strength parameters derived for NGC 3783 are able
to reproduce the available mid-IR interferometric data. Based on our
mid-IR single-telescope data, it is possible to make predictions
for interferometry.
We thank the anonymous referee for valuable suggestions which led to significant improvements. The paper was in part supported by Deutsche Forschungsgemeinschaft (DFG) in the framework of a research fellowship (``Auslandsstipendium'') for SH. P.G. is supported by JSPS and RIKEN Foreign postdoctoral fellowships. This research made use of the NASA/IPAC Extragalactic Database (NED) operated by the JPL (Caltech), under contract with NASA.
References
- Antonucci, R. 1993, ARA&A, 31, 473 [Google Scholar]
- Beckert, T., Driebe, T., Hönig, S. F., & Weigelt, G. 2008, A&A, 486, L17 [NASA ADS] [CrossRef] [EDP Sciences] [Google Scholar]
- Beckmann, V., Gehrels, N., Shrader, C. R., & Soldi, S. 2006, ApJ, 638, 642 [NASA ADS] [CrossRef] [Google Scholar]
- Bennert, N., Jungwiert, B., Komossa, S., Haas, M., & Chini, R. 2006, A&A, 459, 55 [NASA ADS] [CrossRef] [EDP Sciences] [Google Scholar]
- Bentz, M. C., Peterson, B. M., Netzer, H., Pogge, R. W., & Vestergaard, M. 2009, ApJ, 697, 160 [Google Scholar]
- Bianchi, S., Guainazzi, M., Mattm, G., et al. 2005, A&A, 442, 185 [NASA ADS] [CrossRef] [EDP Sciences] [Google Scholar]
- Burtscher, L., Jaffe, W., Raban, D., et al. 2009, A&A, 705, L53 [Google Scholar]
- Chiar, J. R., & Tielens, A. G. G. M. 2006, ApJ, 637, 774 [NASA ADS] [CrossRef] [Google Scholar]
- Dadina, M. 2007, A&A, 461, 1209 [NASA ADS] [CrossRef] [EDP Sciences] [Google Scholar]
- Della Ceca, R., Severgnini, P., Caccianiga, A., et al. 2008, MmSAI, 79, 65 [Google Scholar]
- de Grijp, M. H. K., Keel, W. C., Miley, G., Goudfrooij, P., & Lub, J. 1992, A&AS, 96, 389 [NASA ADS] [Google Scholar]
- Denney, K. D., Bentz, M. C., Peterson, B. M., et al. 2006, ApJ, 653, 152 [NASA ADS] [CrossRef] [Google Scholar]
- Draine, B. T., & Lee, H. M. 1984, ApJ, 285, 89 [Google Scholar]
- Dullemond, C. P., & van Bemmel, I. M. 2005, A&A, 436, 47 [NASA ADS] [CrossRef] [EDP Sciences] [Google Scholar]
- Efstathiou, A., & Rowan-Robinson, M. 1995, MNRAS, 273, 649 [NASA ADS] [CrossRef] [Google Scholar]
- Elvis, M., Wilkes, B. J., McDowell, J. C., et al. 1994, ApJS, 95, 1 [NASA ADS] [CrossRef] [Google Scholar]
- Gandhi, P., Horst, H., Smette, A., et al. 2009, A&A, 502, 457 [NASA ADS] [CrossRef] [EDP Sciences] [Google Scholar]
- Glass, I. S. 1992, MNRAS, 256, 23 [Google Scholar]
- Glass, I. S. 2004, MNRAS, 350, 1049 [NASA ADS] [CrossRef] [Google Scholar]
- Granato, G. L., & Danese, L. 1994, MNRAS, 268, 235 [NASA ADS] [CrossRef] [Google Scholar]
- Gu, Q., Melnick, J., Fernandes, R., et al. 2006, MNRAS, 366, 480 [NASA ADS] [CrossRef] [Google Scholar]
- Haas, M., Siebenmorgen, R., Pantin, E., et al. 2007, A&A, 473, 369 [NASA ADS] [CrossRef] [EDP Sciences] [Google Scholar]
- Hao, L., Spoon, H. W. W., Sloan, G. C., et al. 2005, ApJ, 625, L75 [NASA ADS] [CrossRef] [Google Scholar]
- Hao, L., Weedman, D. W., Spoon, H. W. W., et al. 2007, ApJ, 655, L77 [NASA ADS] [CrossRef] [Google Scholar]
- Hasinger, G. 2008, A&A, 490, 905 [NASA ADS] [CrossRef] [EDP Sciences] [Google Scholar]
- Hönig, S. F., & Beckert, T. 2007, MNRAS, 380, 1172 [NASA ADS] [CrossRef] [Google Scholar]
- Hönig, S. F., & Kishimoto, M. 2010, A&A, submitted [arXiv:0909.4539] [Google Scholar]
- Hönig, S. F., Beckert, T., Ohnaka, K., & Weigelt, G. 2006, A&A, 452, 459 [NASA ADS] [CrossRef] [EDP Sciences] [Google Scholar]
- Hönig, S. F., Beckert, T., Ohnaka, K., & Weigelt, G. 2007, ASPC, 373, 487 [Google Scholar]
- Hönig, S. F., Smette, A., Beckert, T., et al. 2008a, A&A, 485, L21 [NASA ADS] [CrossRef] [EDP Sciences] [Google Scholar]
- Hönig, S. F., Prieto, M. A., & Beckert, T. 2008b, A&A, 485, 33 [NASA ADS] [CrossRef] [EDP Sciences] [Google Scholar]
- Horst, H., Smette., A., Gandhi, P., & Duschl, W. J. 2006, A&A, 459, L17 [NASA ADS] [CrossRef] [EDP Sciences] [Google Scholar]
- Horst, H., Gandhi, P., Smette., A., & Duschl, W. J. 2008, A&A, 479, 389 [NASA ADS] [CrossRef] [EDP Sciences] [Google Scholar]
- Horst, H., Duschl, W. J., Gandhi, P., & Smette, A. 2009, A&A, 495, 137 [NASA ADS] [CrossRef] [EDP Sciences] [Google Scholar]
- Jaffe, W., Meisenheimer, K., Röttgering, H. J. A., et al. 2004, Nature, 429, 47 [NASA ADS] [CrossRef] [PubMed] [Google Scholar]
- Kishimoto, M., Hönig, S. F., Beckert, T., & Weigelt, G. 2007, A&A, 476, 713 [NASA ADS] [CrossRef] [EDP Sciences] [Google Scholar]
- Kishimoto, M., Hönig, S. F., Tristram, K., & Weigelt, G. 2009a, A&A, 493, L57 [NASA ADS] [CrossRef] [EDP Sciences] [Google Scholar]
- Kishimoto, M., Hönig, S. F., Antonucci, R., et al. 2009b, A&A, 507, L57 [NASA ADS] [CrossRef] [EDP Sciences] [Google Scholar]
- Krabbe, A., Böker, T., & Maiolino, R. 2001, ApJ, 557, 626 [NASA ADS] [CrossRef] [Google Scholar]
- Krügel, E. 2008, An introduction to the physics of interstellar dust, Boca Raton [Google Scholar]
- Levenson, N., Sirocky, M. M., Hao, L., et al. 2007, ApJ, 654, L45 [NASA ADS] [CrossRef] [Google Scholar]
- Levenson, N., Radomski, J. T., Packham, C., et al. 2009, ApJ, 703, 390 [NASA ADS] [CrossRef] [Google Scholar]
- Lutz, D., Maiolino, R., Spoon, H. W. W., & Moorwood, A. 2004, A&A, 418, 465 [NASA ADS] [CrossRef] [EDP Sciences] [Google Scholar]
- Maiolino, R., Salvati, M., Bassani, L., et al. 1998, A&A, 338, 781 [NASA ADS] [Google Scholar]
- Maiolino, R., Shemmer, O., Imanishi, M., et al. 2007, A&A, 468, 979 [NASA ADS] [CrossRef] [EDP Sciences] [Google Scholar]
- Malizia, A., Landi, R., Bassani, L., et al. 2007, ApJ, 668, 81 [NASA ADS] [CrossRef] [Google Scholar]
- Martinez-Sansigre, A., Karim, A., Schinnerer, E., et al. 2009, ApJ, 706, 184 [NASA ADS] [CrossRef] [Google Scholar]
- Mason, R. E., Geballe, T. R., Packham, C., et al. 2006, ApJ, 640, 612 [NASA ADS] [CrossRef] [Google Scholar]
- Mason, R. E., Levenson, N. A., Shi, Y., et al. 2009, ApJ, 693, L136 [NASA ADS] [CrossRef] [Google Scholar]
- Meléndez, M., Kraemer, S. B., Armentrout, B. K., et al. 2008, ApJ, 682, 94 [NASA ADS] [CrossRef] [Google Scholar]
- Nelson, C. H., Green, R. F., Bower, G., & Gebhardt, K. 2004, ApJ, 615, 652 [NASA ADS] [CrossRef] [Google Scholar]
- Nenkova, M., Ivezic, Z., & Elitzur, M. 2002, ApJ, 570, L9 [NASA ADS] [CrossRef] [Google Scholar]
- Nenkova, M., Sirocky, M. M., Nikutta, R., Ivezic, Z., & Elitzur, M. 2008, ApJ, 685, 160 [NASA ADS] [CrossRef] [Google Scholar]
- Netzer, H., Mainieri, V., Rosati, P., & Trakhtenbrot, B. 2006, A&A, 453, 525 [NASA ADS] [CrossRef] [EDP Sciences] [Google Scholar]
- Nikutta, R., Elitzur, M., & Lacy, M. 2009, ApJ, 707, 1550 [NASA ADS] [CrossRef] [Google Scholar]
- Ossenkopf, V., Henning, T., & Mathis, J. S. 1992, A&A, 261, 567 [NASA ADS] [Google Scholar]
- Pier, E. A., & Krolik, J. H. 1993, ApJ, 418, 673 [NASA ADS] [CrossRef] [Google Scholar]
- Polletta, M., Weedman, D. W., Hönig S. F., et al. 2008, ApJ, 675, 960 [NASA ADS] [CrossRef] [Google Scholar]
- Raban, D., Jaffe, W., Röttgering, H., Meisenheimer, K., & Tristram, K. R. W. 2009, MNRAS, 394, 1325 [NASA ADS] [CrossRef] [Google Scholar]
- Roche, P. F., Packham, C., Aitken, D., & Mason, R. E. 2007, MNRAS, 375, 99 [NASA ADS] [CrossRef] [Google Scholar]
- Schartmann, M., Meisenheimer, K., Camenzind, M., et al. 2008, A&A, 482, 67 [NASA ADS] [CrossRef] [EDP Sciences] [Google Scholar]
- Schmid, H., Appenzeller, I., & Burch, U. 2003, A&A, 404, 505 [NASA ADS] [CrossRef] [EDP Sciences] [Google Scholar]
- Schmitt, H. R., Ulvestad, J. S., Antonucci, R. R. J., & Kinney, A. L. 2001, ApJS, 132, 199 [NASA ADS] [CrossRef] [Google Scholar]
- Schmitt, H. R., Donley, J. L., Antonucci, R. R. J., Hutchings, J. B., & Kinney, A. L. 2003, ApJ, 148, 327 [Google Scholar]
- Schweitzer, M., Groves, B., Netzer, H., et al. 2008, ApJ, 679, 101 [NASA ADS] [CrossRef] [Google Scholar]
- Shi, Y., Rieke, G. H., Hines, D. C., et al. 2006, ApJ, 653, 127 [NASA ADS] [CrossRef] [Google Scholar]
- Siebenmorgen, R., Haas, M., Krügel, E., & Schulz, B. 2005, A&A, 436, L5 [NASA ADS] [CrossRef] [EDP Sciences] [Google Scholar]
- Simpson, C. 2005, MNRAS, 360, 565 [NASA ADS] [CrossRef] [Google Scholar]
- Sirocky, M. M., Levenson, N. A., Elitzur, M., Spoon, H. W. W., & Armus, L. 2008, ApJ, 678, 729 [NASA ADS] [CrossRef] [Google Scholar]
- Smith, J. E., Young, S., Robinson, A., et al. 2002, MNRAS, 335, 773 [NASA ADS] [CrossRef] [Google Scholar]
- Sturm, E., Schweitzer, M., Lutz, D., et al. 2005, ApJ, 629, L21 [NASA ADS] [CrossRef] [Google Scholar]
- Suganuma, M., Yoshii, Y., Kobayashi, Y., et al. 2006, ApJ, 639, 46 [NASA ADS] [CrossRef] [Google Scholar]
- Swain, M., Vasisht, G., Akeson, R., et al. 2003, ApJ, 596, L163 [NASA ADS] [CrossRef] [Google Scholar]
- Tueller, J., Mushotzky, R. F., Barthelmy, S., et al. 2008, ApJ, 681, 113 [NASA ADS] [CrossRef] [Google Scholar]
- Tran, H. D. 2003, ApJ, 583, 632 [NASA ADS] [CrossRef] [Google Scholar]
- Tristram, K. R. W., Meisenheimer, K., Jaffe, W., et al. 2007, A&A, 474, 837 [NASA ADS] [CrossRef] [EDP Sciences] [Google Scholar]
- Tristram, K. R. W., Raban, D., Meisenheimer, K., et al. 2009, A&A, 502, 67 [NASA ADS] [CrossRef] [EDP Sciences] [Google Scholar]
- Urry, C. M., & Padovani, P. 1995, PASP, 107, 803 [NASA ADS] [CrossRef] [Google Scholar]
- Veron-Cetty, M. P., & Veron, P. 2006, A&A, 455, 773 [NASA ADS] [CrossRef] [EDP Sciences] [Google Scholar]
- Weigelt, G., Wittkowski, M., Balega, Y. Y., et al. 2004, A&A, 425, 77 [NASA ADS] [CrossRef] [EDP Sciences] [Google Scholar]
- Winkler, H. 1992, MNRAS, 257, 677 [NASA ADS] [Google Scholar]
- Winkler, H., Glass, I. S., van Wyk, F., et al. 1992, MNRAS, 257, 659 [NASA ADS] [Google Scholar]
- Wold, M., & Galliano, E. 2006, MNRAS, 369, L47 [NASA ADS] [Google Scholar]
Footnotes
- ... galaxies
- Based on ESO observing programs 078.B-0303, 080.B-0240, 280.B-5068, 082.B-0299, and 083.B-0239.
- ...
70 Mpc
- Please note that the distances given in Tables 1 and 2 are luminosity distances DL. The corresponding DL to our 70 Mpc limit would be
Mpc.
- ... calibrator
- Where several calibrators were available, the given calibrator FWHM is the average of all calibrators.
- ... NLR
- We note that the NGC 1068 data used in Figs. 10 to 12 are point source values from a 0
4 extraction window.
All Tables
Table 1: Characteristics of our type 1 AGN mid-IR spectroscopic sample.
Table 2: Characteristics of our type 2 AGN mid-IR spectroscopic sample.
Table 3: VISIR mid-IR photometry of our nine type 1 AGN measured by Gaussian fitting to science target and calibrators.
Table 4: VISIR mid-IR photometry of our ten type 2 AGN measured by Gaussian fitting to science target and calibrators.
Table 5: Gaussian fit geometric properties of MCG-3-34-64 and IC 5063 base on VISIR images.
Table 6: Properties of the VISIR mid-IR spectra.
All Figures
|
Figure 1:
Illustration of the periodic background map (PBM) removal for the
|
| Open with DEXTER | |
| In the text | |
|
Figure 2: VISIR low-resolution spectroscopy (black solid line and gray error bars) and photometry (red filled circles) of eight type 1 AGN. Overplotted (blue dashed line) are Spitzer data with approximately 10 times less spatial resolution. The hatched areas mark regions with strong sky lines, which are difficult to calibrate. Prominent mid-IR emission line positions are indicated. The slit position angle (PA) is given in the lower right corner of each panel. |
| Open with DEXTER | |
| In the text | |
|
Figure 2: continued. |
| Open with DEXTER | |
| In the text | |
|
Figure 3: VISIR low-resolution spectroscopy (black solid line and gray error bars) and photometry (red filled circles) of the LINER galaxy NGC 7213. Overplotted (blue dashed line) are Spitzer data with approximately 10 times less spatial resolution. The hatched areas mark regions with strong sky lines, which are difficult to calibrate. Prominent mid-IR emission line positions are indicated. The slit position angle (PA) is given in the lower right corner. |
| Open with DEXTER | |
| In the text | |
|
Figure 4: VISIR low-resolution spectroscopy (black solid line and gray error bars) and photometry (red filled circles) of ten type 2 AGN. Overplotted (blue dashed line) are Spitzer data with approximately 10 times less spatial resolution. The hatched areas mark regions with strong sky lines, which are difficult to calibrate. Prominent mid-IR emission line positions are indicated. The slit position angle (PA) is given in the lower right corner of each panel. |
| Open with DEXTER | |
| In the text | |
|
Figure 4: continued. |
| Open with DEXTER | |
| In the text | |
|
Figure 5: Spitzer IRS minus VISIR differential spectra of NGC 3227 ( left), NGC 5643 ( middle), and NGC 7469 ( right). The differential spectra are compared to the scaled-down IRS spectrum of M 82 (blue-dashed line), which is commonly used as a template for extragalactic star-formation. |
| Open with DEXTER | |
| In the text | |
|
Figure 6:
Continuum-normalized silicate emission features of PG1211+143 (red) and
NGC 7213 (blue). A linear continuum was fitted to both
objects based on their 8.3 |
| Open with DEXTER | |
| In the text | |
|
Figure 7:
Absorption-corrected X-ray luminosities |
| Open with DEXTER | |
| In the text | |
|
Figure 8:
[O III] luminosities of our sample compared to the
|
| Open with DEXTER | |
| In the text | |
|
Figure 9:
VISIR mid-IR contour images of MCG-3-34-64 (left column) and
IC 5063 (right column). The different panels in each column
represent images in different filters (SIV = forbidden [S IV](10.51 |
| Open with DEXTER | |
| In the text | |
|
Figure 10:
Mid-IR spectral slope and spectral index for each object in our sample, plotted against the observed mid-IR luminosity
|
| Open with DEXTER | |
| In the text | |
|
Figure 11:
Silicate feature analysis of our AGN sample observed with VISIR.
Type 1 AGN are shown as blue triangles, type 2 AGN are marked
by red squares. Some objects have been identified by name. For
reference we include NGC 1068 with mid-IR properties based on the
Gemini spectrum by Mason et al. (2006). Left: dependence of the silicate feature strength
|
| Open with DEXTER | |
| In the text | |
|
Figure 12: Comparison of observed
mid-IR properties of our type 1 and type 2 AGN to model SEDs
simulated with our 3d clumpy torus model. Left:
|
| Open with DEXTER | |
| In the text | |
|
Figure 13:
Comparison of the VLTI/MIDI
|
| Open with DEXTER | |
| In the text | |
Copyright ESO 2010
Current usage metrics show cumulative count of Article Views (full-text article views including HTML views, PDF and ePub downloads, according to the available data) and Abstracts Views on Vision4Press platform.
Data correspond to usage on the plateform after 2015. The current usage metrics is available 48-96 hours after online publication and is updated daily on week days.
Initial download of the metrics may take a while.
![\begin{figure}
\par\includegraphics[width=8.5cm,clip]{13742fg01.eps}
\end{figure}](/articles/aa/full_html/2010/07/aa13742-09/Timg62.png)
![\begin{figure}
\par\includegraphics[width=16.8cm,clip]{13742fg02a.eps}
\end{figure}](/articles/aa/full_html/2010/07/aa13742-09/Timg177.png)
![\begin{figure}
\addtocounter{figure}{-1}
\par\includegraphics[width=16.8cm,clip]{13742fg02b.eps}
\end{figure}](/articles/aa/full_html/2010/07/aa13742-09/Timg178.png)
![\begin{figure}
\par\includegraphics[width=8.5cm,clip]{13742fg03.eps}
\end{figure}](/articles/aa/full_html/2010/07/aa13742-09/Timg179.png)
![\begin{figure}
\par\includegraphics[width=16.8cm,clip]{13742fg04a.eps}
\end{figure}](/articles/aa/full_html/2010/07/aa13742-09/Timg180.png)
![\begin{figure}
\addtocounter{figure}{-1}
\par\includegraphics[width=16.8cm,clip]{13742fg04b.eps}
\end{figure}](/articles/aa/full_html/2010/07/aa13742-09/Timg181.png)
![\begin{figure}
\par\includegraphics[width=17cm,clip]{13742fg05.eps}
\end{figure}](/articles/aa/full_html/2010/07/aa13742-09/Timg182.png)
![\begin{figure}
\par\includegraphics[width=8.5cm,clip]{13742fg06.eps}
\end{figure}](/articles/aa/full_html/2010/07/aa13742-09/Timg188.png)
![\begin{figure}
\par\includegraphics[width=8.5cm,clip]{13742fg07.eps}
\end{figure}](/articles/aa/full_html/2010/07/aa13742-09/Timg191.png)
![\begin{figure}
\par\includegraphics[width=16cm,clip]{13742fg08.eps}
\end{figure}](/articles/aa/full_html/2010/07/aa13742-09/Timg193.png)
![\begin{figure}
\par\includegraphics[width=8.5cm,clip]{13742fg09.eps}
\end{figure}](/articles/aa/full_html/2010/07/aa13742-09/Timg208.png)
![\begin{figure}
\par\includegraphics[width=16cm,clip]{13742fg10.eps}
\end{figure}](/articles/aa/full_html/2010/07/aa13742-09/Timg226.png)
![\begin{figure}
\par\includegraphics[width=17.5cm,clip]{13742fg11.eps}
\end{figure}](/articles/aa/full_html/2010/07/aa13742-09/Timg235.png)
![\begin{figure}
\par\includegraphics[width=17cm,clip]{13742fg12.eps}
\end{figure}](/articles/aa/full_html/2010/07/aa13742-09/Timg254.png)
![\begin{figure}
\par\includegraphics[width=8.5cm,clip]{13742fg13.eps}
\end{figure}](/articles/aa/full_html/2010/07/aa13742-09/Timg276.png)