Free Access
Issue
A&A
Volume 515, June 2010
Article Number A50
Number of page(s) 14
Section Extragalactic astronomy
DOI https://doi.org/10.1051/0004-6361/200913837
Published online 08 June 2010
A&A 515, A50 (2010)

Low-frequency study of two giant radio galaxies: 3C 35 and 3C 223

E. Orrù1,2 - M. Murgia3,4 - L. Feretti4 - F. Govoni3 - G. Giovannini4,5 - W. Lane6 - N. Kassim6 - R. Paladino1

1 - Institute of Astro- and Particle Physics, University of Innsbruck, Technikerstrasse 25/8, 6020 Innsbruck, Austria
2 - Radboud University Nijmegen, Heijendaalseweg 135, 6525 AJ Nijmegen, The Netherlands
3 - INAF - Osservatorio Astronomico di Cagliari, Loc. Poggio dei Pini, Strada 54, 09012 Capoterra (CA), Italy
4 - INAF - Istituto di Radioastronomia, via Gobetti 101, 40129 Bologna, Italy
5 - Dipartimento di Astronomia Università degli Studi di Bologna, via Ranzani 1, 40127 Bologna, Italy
6 - Naval Research Laboratory, Code 7213, Washington DC 20375-5320, USA

Received 9 December 2009 / Accepted 26 February 2010

Abstract
Aims. Radio galaxies with a projected linear size $\ga$1 Mpc are classified as giant radio sources. According to the current interpretation these are old sources which have evolved in a low-density ambient medium. Because radiative losses are negligible at low frequency, extending spectral aging studies in this frequency range will allow us to determine the zero-age electron spectrum injected and then to improve the estimate of the synchrotron age of the source.
Methods. We present Very Large Array images at 74 MHz and 327 MHz of two giant radio sources: 3C 35 and 3C 223. We performed a spectral study using 74, 327, 608 and 1400 GHz images. The spectral shape is estimated in different positions along the source.
Results. The radio spectrum follows a power-law in the hotspots, while in the inner region of the lobe the shape of the spectrum shows a curvature at high frequencies. This steepening agrees with synchrotron aging of the emitting relativistic electrons. In order to estimate the synchrotron age of the sources, the spectra were fitted with a synchrotron model of emission. They show that 3C 35 is an old source of 143 $\pm$ 20 Myr, while 3C 223 is a younger source of 72 $\pm$ 4 Myr.

Key words: instrumentation: interferometers - techniques: interferometric - astroparticle physics - radio continuum: galaxies - galaxies: active - radiation mechanisms: non-thermal

1 Introduction

At the center of active galaxies resides a super-massive black hole, according to the standard model of active galactic nuclei (AGNs). The AGN is powered by an accretion disk surrounded by a torus of gas and dust (Blandford & Rees 1974). The powerful radio emission observed in classical double radio sources is produced by a bipolar pair of jets; relativistic outflows of matter which originate in the AGN. They first propagate into the interstellar medium (ISM) and then into the intergalactic medium (IGM) for a typical time of 108 yr (Scheuer 1974). The hotspots are the regions where the energy carried by the jets is diffused into the radio lobes. The observed diffuse radio emission is produced in the ``cocoon'' or lobe, which is formed by the built-up jet material and/or energy in the region between the core and the hotspots. The energy evolution of the cocoon can be traced by observations and spectral studies of the radio lobes. Radio lobes expand, and, assuming the source is in the equipartition regime, the pressure of the relativistic plasma in the lobe equals the pressure of the external environment (Begelman et al. 1984).

The radio spectrum of radio galaxies is initially described by a power-law. The final shape of the spectrum moves away from the power-law showing a steepening at higher frequencies. This is due to the competition between processes of energy injection and losses due to adiabatic expansion, synchrotron emission and inverse Compton scattering with the CMB photons, (Kellermann 1964; Pacholczyk 1970; Kardashev 1962). The initial models developed to interpret these spectra assumed a uniform and constant magnetic field and an isotropic injection of electrons (e.g., Kardashev 1962; Pacholczyk 1970; Jaffe & Perola 1973, hereafter KP and JP). If the former assumptions are satisfied it is possible in theory to use the synchrotron spectrum to estimate the age of the radiating particles.

Many authors (e.g., Eilek et al. 1997; Blundell & Rawlings 2000; Tribble 1993) argue that the observed filamentary structures in the radio lobes (e.g. for Cygnus A, Carilli et al. 1991) can be interpreted as the effect of inhomogeneous magnetic fields on the synchrotron emission. However, Kaiser (2000) demonstrated that the spatial distribution of the synchrotron radio emission can be used to estimate the age for FRII sources (Fanaroff & Riley 1974). Furthermore, based on the dynamical and radiative self-similar models in Kaiser & Alexander (1997) and Kaiser et al. (1997), Kaiser (2000) developed a 3-dimensional model of the synchrotron emissivity of the cocoons of powerful FRII radio sources. The projection along the line of sight (LOS) of the 3D model can be easily compared with radio observations.

X-ray emission related to the lobes has been detected in a number of radio sources. This is attributed to the inverse Compton (IC) scattering of microwave background photons. The direct estimates of the magnetic field ( $B_{\rm IC}$) obtained from the combination of the X-ray IC flux and the radio synchrotron spectrum give values near to those found with the equipartition ( $B_{\rm eq}$) assumption (e.g., Croston et al. 2005,2004). Moreover, the above-mentioned comparisons suggest that lobes are not overpressured at the late stages of the evolution of radio galaxies (Croston et al. 2005,2004; Konar et al. 2009). On the other hand, a strong variation of the X-ray/radio flux ratio across the lobes has been found (Isobe et al. 2002; Hardcastle & Croston 2005; Goodger et al. 2008). This cannot be explained with models in which either the electron energy spectrum or the magnetic field vary independently as a function of position in the lobes, but it is consistent with models in which both vary together as a function of position.

Among radio galaxies (RG), those with a projected linear size $\ga$1 Mpc[*] are defined as giant radio galaxies (GRG). In the complete sample of 3CR radio sources (Laing et al. 1983) around 6$\%$ of the sources are giants; there are about 100 known. Giant radio galaxies typically have radio powers below 1026.5 W Hz-1 sr-1, have linear sizes less than 3 Mpc, and are observed at redshifts z < 0.25, even though z < 0.5 could be assumed as an upper limit (Saripalli et al. 2005; Machalski et al. 2007; Schoenmakers et al. 2000; Lara et al. 2004; Ishwara-Chandra & Saikia 1999). The P-D diagram (Ishwara-Chandra & Saikia 1999; Lara et al. 2004) shows a dearth of high luminosity GRG, as predicted by evolutionary models (Kaiser et al. 1997; Blundell et al. 1999) and a maximum GRG linear size cut-off of 3 Mpc. An estimate of the predominant process of radiative losses, obtained by separating the contributions of the inverse Compton and synchrotron losses, shows that the ratio of the estimated  $B_{\rm CMB}$/ $B_{\rm eq}$increases with linear size, and IC losses dominate the radiative losses in GRG (Ishwara-Chandra & Saikia 1999).

As argued by many authors, the observed physical characteristics mentioned above could be the result of selection effects introduced by the selection criteria or by biases due to the low sensitivity of typical radio images. The faintest regions of GRG are well detected, even with a modest angular resolution, only with low frequency interferometric observations. The low-frequency spectral index information is crucial to derive the energy distribution of the radiating electrons and to study the energy transport from the nucleus to the lobes in these exceptionally large radio sources. Multifrequency spectral aging studies of GRG have been recently presented by Jamrozy and collaborators (Jamrozy et al. 2005,2004,2008). The median value for the estimated spectral ages is 23-24 Myr. The injection spectral index ranges from 0.55 to 0.88; it appears to increase with luminosity and redshift but shows an inverse correlation with linear size.

We present a multifrequency spectral analysis of the two classical double giant radio galaxies 3C 35 and 3C 223. In Sect. 2 radio observations and data analysis at 74 and 327 MHz are described. In Sect. 3 we present radio images of 3C 35 and 3C 223 at 74 and 327 MHz. In Sect. 4 we show the spectral index maps and the spectral analysis obtained by combining images at 74, 327, 608 and 1400 MHz. Results are discussed and summarized in Sect. 5.

Table 1:   Summary of radio observations and images.

2 Radio data

The two selected giant radio galaxies are 3C 35 and 3C 223. The source 3C 35 is included in the sample of 47 low redshift (z < 0.4) GRG obtained by Schoenmakers et al. (2001) using the Westerbork Northern Sky Survey (WENSS) of the sky above  $+30\hbox{$^\circ$ }$of declination at 325 MHz (Rengelink et al. 1997). The criteria for the sample specified that a candidate GRG must have i) an angular size larger than 5 arcmin; and ii) a distance to the galactic plane of more than 12.5 degrees.

The galaxy 3C 223 is included in a complete sample of large scale radio sources selected by Leahy & Perley (1991). The sources are drawn from a subset of the complete radio sample with z less than 0.5 defined by Laing et al. (1983).

Both 3C 35 and 3C 223 have linear sizes of 950 kpc and 780 kpc respectively, with the adopted cosmological parameters.

We observed these two GRG with the Very Large Array at 74 and 327 MHz in several configurations, according to their angular dimensions, in order to avoid the loss of flux. Observational parameters are summarized in Table 1. Because observations were made at slightly different frequencies, we will refer in the text simply to observations at 74 and 327 MHz. The exact frequencies are reported in Sect. 3 and are used for estimates of the physical parameters.

2.1 Observing strategy

Radio Frequency Interference (RFI) strongly affects and corrupts the data in low-frequency observations. In order to permit the RFI excision and to minimize the bandwidth smearing effect, the observations were conducted in spectral line mode. A difference has been established in the nature of the RFI sources in the VLA system: at 74 MHz most of the interference is caused by the 100 kHz oscillators in the bases of each telescope, which generate harmonics at 100 kHz intervals and produce the typical ``100 kHz comb''. This kind of RFI is ``easy'' to predict and eliminate. In the 327 MHz band, the internal electronics of the VLA give rise to harmonics that are multiples of 5 and 12.5 MHz; to avoid these narrow bandwidths are used (Kassim et al. 1993). On the whole, the values of rms sensitivity attained at these frequencies are somewhat higher than the expected thermal noise levels, because of the contribution of several factors: confusion, broad-band RFI, and VLA generated RFI.

2.2 Data reduction

Data were calibrated and reduced with the Astronomical Image Processing System (AIPS). Because the calibration procedures are different for 74 MHz and 327 MHz, the following sections describe the methods employed separately.

2.2.1 74 MHz

The 74 MHz data were calibrated and imaged following the same procedure used for the VLA Low-frequency Sky Survey (VLSS) as described carefully in Kassim et al. (2007) and Cohen et al. (2007).

For both 3C 35 and 3C 223 we made the amplitude and bandpass calibration using a model of Cygnus A[*].

Careful data editing was used to excise the RFI (Lane et al. 2005); the percentage of flagged data at the end of this process was about 13$\%$ for both sources. Before the final imaging the data were averaged to 8 frequency channels with a resolution of 170.9 kHz.

To produce the final images we used the so-called ``field-based calibration'' method developed for the VLSS (Cotton et al. 2004). The field-based calibration procedure makes a correction for the low order in the ionospheric terms and performs a ``wide-field imaging'' (kindly provided by Cotton). The offsets of the apparent positions of the NRAO VLA Sky Survey (NVSS) sources (Condon et al. 1998) from their expected positions were computed at time intervals of 2 min and corrected in the visibility data. Some data with a too large correction were removed for 3C 35. We corrected the final images for the primary beam effect.

The final image of 3C 35 obtained with VLA data in B configuration has an rms sensitivity of $\sim$95 mJy/beam (93 $^{\prime \prime }$ $\times $ 64 $^{\prime \prime }$).

For the source 3C 223 we produced a high-resolution image in A configuration, with rms sensitivity $\sim$43 mJy/beam (25 $^{\prime \prime }$ $\times $ 24 $^{\prime \prime }$). A low resolution image was also made with data from the VLA in B configuration; it has an rms sensitivity $\sim$98 mJy/beam (83 $^{\prime \prime }$ $\times $ 73 $^{\prime \prime }$). The image obtained with the combination of the A and B configuration data has a sensitivity of 40 mJy/beam (26 $^{\prime \prime }$ $\times $ 25 $^{\prime \prime }$). The sensitivity is different from the theoretical noise because of side-lobe confusion from other sources in the beam.

2.2.2 327 MHz

We made the amplitude and bandpass calibration with the sources 3C 48 and 3C 286 respectively for 3C 35 and 3C 223.

After careful data editing to remove RFI, 10$\%$ of the data were flagged in 3C 35 and 3$\%$ for 3C 223.

Before imaging, the data of 3C 35 were averaged to five channels with a resolution of 488.3 KHz, and the 3C 223 data were averaged to six channels with a resolution of 781.3 kHz.

The data were mapped with a wide-field imaging technique, which corrects for distortions in the image caused by the non-coplanarity of the VLA over a wide field of view (the ``3D effect'' included in the AIPS task IMAGR). A set of small overlapping maps was used to cover the central area of about  ${\sim}1.5\hbox{$^\circ$ }$in radius (Cornwell & Perley 1992). However, at this frequency confusion lobes of sources far from the center of the field are still present. Thus, we also imaged strong sources in an area of about  ${\sim}60\hbox{$^\circ$ }$in radius, based on positions in the NVSS catalog. All these ``facets'' were included in the CLEAN and used for several loops of self-calibration (Perley 1999). The data for each observation and configuration were calibrated, imaged and then combined. We corrected the final images for the primary beam effect.

In particular, for 3C 35, we obtain a high-resolution image at 327 MHz with data from the VLA in B configuration; the rms sensitivity is $\sim$1.3 mJy/beam (23 $^{\prime \prime }$ $\times $ 17 $^{\prime \prime }$). A low resolution image was made from VLA observations in C configuration, with an rms sensitivity of $\sim$2.3 mJy/beam (55 $^{\prime \prime }$ $\times $ 50 $^{\prime \prime }$). By combining the B configuration data and data from IF 1 of the C configuration, we improved the uv-coverage and sensitivity; the rms in the combined image is $\sim$1.0 mJy/beam (27 $^{\prime \prime }$ $\times $ 21 $^{\prime \prime }$).

We obtained a high-resolution image of 3C 223 with VLA observations in A configuration; the rms sensitivity is $\sim$0.7 mJy/beam (6 $^{\prime \prime }$ $\times $ 5 $^{\prime \prime }$). A low resolution image with a sensitivity of $\sim$1.3 mJy/beam was made from VLA data taken in B configuration (19 $^{\prime \prime }$ $\times $ 16 $^{\prime \prime }$). To improve the uv-coverage and the sensitivity we combined the datasets. The final rms sensitivity is $\sim$0.6 mJy/beam (7 $^{\prime \prime }$ $\times $ 6 $^{\prime \prime }$). The final sensitivity differs from the theoretical noise due to classical confusion.

3 Results

3.1 3C 35

The source 3C 35 is a classical double radio source with a regular FRII structure (Fanaroff & Riley 1974); its principal characteristics are listed in Table 2. It has been previously studied at frequencies of 608 MHz, 1.4 and 5 GHz with the Westerbork Synthesis Radio Telescope (WSRT) (van Breugel & Jägers 1982; Jägers 1987; Schoenmakers et al. 2000).

The VLA radio images at 74 and 327 MHz of the radio galaxy 3C 35 are shown in the left and the right panel of Fig. 1 respectively; sensitivities and resolutions are listed in Table 1. On the left of Fig. 1 is the image at 73.8 MHz obtained with VLA in B configuration. In the contours map the regular double-lobe structure of the source is clear, as are the two hotspots. The emission is stronger at the head of the northern lobe (N lobe).

On the right panel of Fig. 1 the 327 MHz image is shown. The image is obtained by combining the data of B and C configurations at a frequency of 327.4 MHz. The high and low resolution images (not shown in this paper) were obtained with the B and the C configurations of the VLA respectively. The image at 327 MHz confirms that in the N lobe the radio emission is stronger than in the southern lobe (S lobe). The hot spot South (S hot spot) is slightly shifted with respect to the axis of symmetry of the source. Based on the images at 5 GHz, van Breugel & Jägers (1982) claimed that the S hot spot could be a double. Considering the image at 327 MHz, it seems that the second weak ``hot spot'' is more likely to be a knot of the jet. In the image the core and surrounding low brightness emission have both been detected.

Table 2:   Source properties.

\begin{figure}
\par\includegraphics[width=14cm,clip]{13837fg1.eps}
\vspace*{5mm}
\end{figure} Figure 1:

Radio images of 3C 35, all contours start at (3$\sigma $) and are scaled by $\sqrt {2}$. Left: VLA image at 74 MHz; the resolution is 93 $^{\prime \prime }$ $\times $ 64 $^{\prime \prime }$with a PA = -85$^\circ $, and the first two levels are at -285 and 285 mJy/beam. Right: 327 MHz VLA image. The image is obtained by combining the B and C configuration data, and the resolution is 27 $^{\prime \prime }$ $\times $ 21 $^{\prime \prime }$with a PA = -88$^\circ $. The first two levels of contours are -3 and 3 mJy/beam.

Open with DEXTER

\begin{figure}
\par\includegraphics[width=14cm,clip]{13837fg2.ps}
\vspace*{4mm}
\end{figure} Figure 2:

Radio images of 3C 223, all contours start at (3$\sigma $) and are scaled by $\sqrt {2}$. Left: VLA image at 74 MHz. The image is obtained by combining the data of A and B configurations; the resolution is 26 $^{\prime \prime }$ $\times $ 25 $^{\prime \prime }$with a PA = -61$^\circ $. The first two levels of contours are -120 and 120 mJy/beam. Right: 327 MHz VLA image, obtained by combining the data of A and B configurations; the resolution is 7 $^{\prime \prime }$ $\times $ 6 $^{\prime \prime }$with a PA = -78$^\circ $. The first two levels of contours are -1.8 and 1.8 mJy/beam.

Open with DEXTER

\begin{figure}
\par\includegraphics[width=14cm,clip]{13837fg3.ps}
\end{figure} Figure 3:

3C 35: spectral index maps are shown in color; pixels whose brightness was below 3$\sigma $ have been blanked. Contour levels are the radio brightness at 327 MHz, start at (3$\sigma $) and are scaled by $\sqrt {2}$. Left: spectral index map between 74 MHz and 327 MHz, with a resolution of 95 $^{\prime \prime }$ $\times $ 95 $^{\prime \prime }$. Right: spectral index map between 327 MHz and 1.4 GHz, with a resolution of 45 $^{\prime \prime }$ $\times $ 45 $^{\prime \prime }$(the image at 1.4 GHz was taken from the NRAO VLA Sky Survey, Condon et al. 1998).

Open with DEXTER

\begin{figure}
\par\includegraphics[width=14cm,clip]{13837fg4.ps}
\end{figure} Figure 4:

3C 223: spectral index maps are shown in color; pixels whose brightness was below 3$\sigma $ have been blanked. Contour levels are the radio image at 327 MHz, start at (3$\sigma $) and are scaled by $\sqrt {2}$. Left: spectral index map between 74 MHz and 327 MHz, with a resolution of 26 $^{\prime \prime }$ $\times $ 26 $^{\prime \prime }$. Right: spectral index map between 327 MHz and 1.48 GHz, with a resolution of 7.5 $^{\prime \prime }$ $\times $ 7.5 $^{\prime \prime }$.

Open with DEXTER

3.2 3C 223

The host galaxy of 3C 223 is in a group of 12 small galaxies (Baum et al. 1988). It is a typical double radio source with a regular FRII structure (Fanaroff & Riley 1974). It was previously studied in with the WRST at 608 MHz, 1.4 and 5 GHz (Hogbom 1979; van Breugel & Jägers 1982; Jägers 1987) and at high resolution with the VLA at 1.4 GHz (Leahy & Perley 1991). The general characteristics of this source are presented in Table 2.

The images at 74 and 327 MHz shown in Fig. 2 were obtained by VLA observations using A and B configurations. The sensitivities and resolutions are listed in Table 1.

The 74 MHz image is shown on the left panel of Fig. 2. A low resolution image was obtained with the VLA in B configuration while the high-resolution image was made with the A configuration (both images are not shown in this paper). To improve the uv-coverage and the sensitivity, we combined the A and B configuration data. The combined image, shown on the left of Fig. 2, is made at an observed frequency of 73.8 MHz.

As can be observed in the higher brightness contours of the image, the morphology of the source preserves the FRII structure. An extended low brightness structure is easily visible to the West of the southern lobe and some faint extended emission seems also to be present to the East of the northern lobe. This diffuse structure shows a different orientation axis with respect to that of the active lobes. The origin of this structure is not clear, it could be the remnant of former radio emission, or a relic lobe. A hint of this low brightness emission is present at the same position in the existing image at 1.4 GHz Leahy & Perley (1991). The estimated spectral index of this low brightnesses radio structure is $\alpha$ $\sim$ 1.3 (obtained from the spectral index map between 1.4 GHz and 74 MHz not shown here); this is conspicuously steeper than the average value measured for the whole radio galaxy (Sect. 3.3 and Table 5).

The image at 327 MHz is shown on the right panel of Fig. 2. A high-resolution image at 327.3 MHz was obtained with the VLA in A configuration, while the low resolution image was obtained at the observing frequency of 328.9 MHz with the B configuration (both images are not shown in this paper). In the right panel of Fig. 2 the contours of the image obtained by combining the A and B configuration data at the frequency of 327.3 MHz are presented.

Unlike the images at 608 MHz (van Breugel & Jägers 1982), the core was clearly detected at 327 MHz because of the high-resolution achieved. The high-resolution obtained in the image at 327 MHz allows us to confirm the peculiar ``V'' shape of the N hot spot, previously seen in high-resolution images at 1.4 GHz (Leahy & Perley 1991). Moreover, at 327 MHz, as well as in the high-resolution images at 1.4 and 5 GHz (van Breugel & Jägers 1982; Leahy & Perley 1991), the S hot spot seems embedded in the lobe, at the end of which a protuberance is detected.

3.3 Spectral index distribution

By combining the new images at 74 MHz and 327 MHz with those at 1.4 GHz available in the literature, we obtained the spectral index[*] distributions of the two radio galaxies 3C 35 and 3C 223. Figures 3 and 4 show the spectral index maps of 3C 35 and 3C 223, respectively. Both figures show on the left the spectral index maps between 74 MHz and 327 MHz, while on the right are those between 327 MHz and 1.4 GHz. In the range between 74 MHz and 327 MHz (95 $^{\prime \prime }$ $\times $ 95 $^{\prime \prime }$), the spectral index values of 3C 35 vary from $\alpha$ $\sim$ 0.65 $\pm$ 0.04, in the main parts of the source, up to $\alpha$ $\sim$ 0.84 $\pm$ 0.06 in the region near the core.

Table 3:   Resolution and rms of the images used for the spectral index maps.

The spectral index between 327 MHz and 1.4 GHz (45 $^{\prime \prime }$ $\times $ 45 $^{\prime \prime }$) for 3C 35 varies more than the lower frequency index. In the region of the head of the lobes, $\alpha$ is about 0.72 $\pm$ 0.01, while it reaches values of $\sim$1.6 $\pm$ 0.04 in the inner region of the lobes around the core. The image at 1.4 GHz used to obtain the spectral index map has been taken from the NVSS (Condon et al. 1998). The morphology of this source at 1.4 GHz recalls that observed at 327 MHz.

For the radio galaxy 3C 223, the spectral index distribution between 74 and 327 MHz (26 $^{\prime \prime }$ $\times $ 26 $^{\prime \prime }$) is slightly more patchy than that of 3C 35. The average value of $\alpha$ is about 0.60 $\pm$ 0.03. In the North hot spot the spectral index reaches values of $\sim$0.40 $\pm$ 0.01, while in the low brightness regions of the lobes the spectral index steepens up to $\alpha$ $\sim$ 1.67 $\pm$ 0.02.

The spectral index map between 327 MHz and 1.48 GHz (7.5 $^{\prime \prime }$ $\times $ 7.5 $^{\prime \prime }$) for 3C 223 shows that the spectral index increases from $\alpha$ $\sim$ 0.72 $\pm$ 0.01 in the region of the head of the lobes, up to values of $\alpha$ $\sim$ 1.32 $\pm$ 0.09 in the inner regions of the lobes near to the core. The image used at 1.48 GHz was taken from VLA archive data (Leahy & Perley 1991).

3.4 Measure and estimate of physical parameters

For both sources the flux density at 74 and 327 MHz was measured in the same regions. The values listed in Tables 4 and 5 indicate the flux of the entire source, of the two lobes separately and of the core when detected. For these regions we also calculated the spectral index between 74 and 327 MHz and the equipartition magnetic field (Tables 4 and 5). The measured total flux densities at 327 MHz were compared with the measurements of the WENSS, these agree within the errors for both sources.

Table 4:   3C 35 Flux densities, spectral indices and equipartition magnetic fields.

Table 5:   3C 223 Flux densities, spectral indices and equipartition magnetic fields.

The zero-order estimate of the magnetic field strength, averaged over the entire source volume, can be derived under the assumption of classical equipartition. Here, the radio source is in a minimum energy condition and the relativistic particle energy density equals the magnetic field energy density. In the framework of the equipartition hypothesis, the magnetic field can be determined from the radio synchrotron luminosity and the source volume. We estimated the equipartition magnetic field assuming a magnetic field entirely filling the radio source in a range of frequencies in which the synchrotron luminosity is calculated from a low frequency cutoff of 10 MHz to a high frequency cutoff of 10 GHz. The volume averaged magnetic fields were evaluated within a cylinder. Then we considered two cases: a) one in which the energy is equally divided between relativistic protons and electrons-positrons, and the ratio between protons and electrons k=p/e will be k=1; and b) a case in which all the energy is provided by a plasma of relativistic electrons-positrons and k=0.

In our case we consider a power-law injection spectrum with index $\delta$, therefore, since $\alpha = (\delta - 1)/2$, we adopted the measured spectral index $\alpha$ for the estimate of the magnetic field.

\begin{figure}
\par\includegraphics[width=14cm,clip]{13837fg5a.ps}
\end{figure} Figure 5a:

3C 35: color map of the source (resolution 95 $^{\prime \prime }$) and the contours at 327 MHz; overlayed by the green array of boxes where the intensity measures have been taken. For the N lobe: plots represent the spectral shape of the source labeled according the positions. Points are measures taken at four frequencies, dashed lines are the fits with the synchrotron model.

\begin{figure}
\par\includegraphics[width=14cm,clip]{13837fg5b.ps}
\end{figure} Figure 5b:

Similar to 5 for the S lobe of 3C 35.

\begin{figure}
\par\includegraphics[width=14cm,clip]{13837fg6a.ps}
\end{figure} Figure 6a:

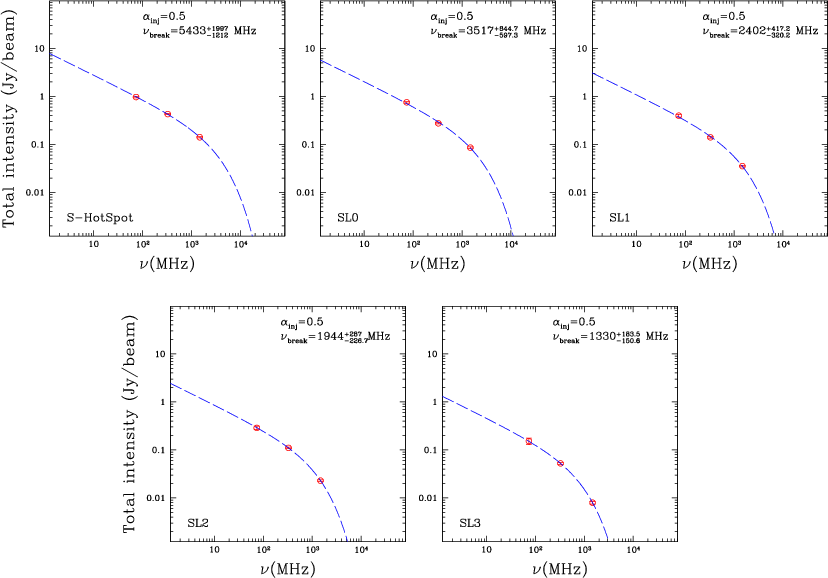
3C 223: color map of the source (resolution 26 $^{\prime \prime }$) and the contours at 327 MHz; overlayed are the green array of boxes where the measures have been taken. For the N lobe: plots represent the spectral shape of the source labeled according the positions. Points are measures taken at three frequencies, dashed lines are the fits with the synchrotron model.

\begin{figure}
\par\includegraphics[width=14cm,clip]{13837fg6b.ps}
\end{figure} Figure 6b:

Similar to 6 for the the S lobe of 3C 223.

Assuming a low-frequency cut-off of 10 MHz in the luminosity calculation is equivalent to assuming a low-energy cut-off of $\gamma_{\rm min}\sim 2000$ in the particle energy spectrum ( $B_{\rm eq-\nu}$in Tables 4 and 5). Therefore we adopted the revised formalism (Brunetti et al. 1997; Beck & Krause 2005) in our estimates of  $B_{\rm eq}$assuming a low-energy cut-off of $\gamma_{\rm min}=100$ in the particle energy distribution rather than a low-frequency cut-off in the emitted synchrotron spectrum ( $B_{\rm eq-\gamma}$in Tables 4 and 5).

For 3C 35 we considered a cylinder of 190 kpc of radius and height $\sim$1 Mpc. The adopted spectral index of the electron energy spectrum, between 74 and 327 MHz (Table 4) is $\alpha$ $\simeq$ 0.7, which yields $\delta$ = 2.4. The volume of the two lobes respectively is one half of the total volume. The measure of the fluxes includes the emission of the hotspots. The estimated equipartition magnetic field strength values are listed in Table 4.

For the radio source 3C 223, we assumed a cylinder with radius of $\sim$200 kpc and height $\sim$900 kpc. The spectral index of the electron energy spectrum of the entire source and of the North lobe is $\delta$ = 2.2 which corresponds to  $\alpha^{327}_{74}$ $\simeq$ 0.6, while for the South lobe we used $\delta$ = 2.4, which corresponds to $\alpha^{327}_{74}$ $\simeq$ 0.7. The contribution of the hotspot emission was included in these measures. The resulting equipartition magnetic fields strength are presented in Table 5.

One of the most important physical properties of GRG, which distinguishes them from compact and powerful sources like e.g. CygA, is that the equipartition magnetic field is far below the inverse Compton equivalent field over most of the lobes (see Tables 4 and 5). This means that the electron energy losses are largely dominated by the inverse Compton scattering of the CMB photons, which can be assumed to be fairly uniform and isotropic. Thus the location of the break energy is mostly unaffected by eventual gradients of the magnetic field in the lobe. However, very strong negative magnetic field gradients from the hotspot to the core, if any, could affect the location of the break frequency and mimic the effect of aging, i.e. the source would appear older than it really is. Although, at least in the case of 3C 223, we know from the X-ray data that the equipartition magnetic field is correct to within a factor of 2. However, in the hotspots the situation is different and the magnetic field could be significantly higher than  $B_{\rm IC}$, where  $B_{\rm IC}$is the magnetic field directly estimated by using X-ray and radio data. On the other hand, in these regions radiative losses are balanced by re-acceleration and injection of new particles to form what we define as ``the zero-age injection spectrum'' (see the discussion in Carilli et al. 1991). Unfortunately, we do not have enough resolution in our images to resolve the hotspots in our GRGs and thus to address this issue further in detail.

4 Synchrotron model

4.1 Fitting the spectral shape

The extended size of the two sources and the resolution reached in our images allowed us to describe the variation of the total intensity at different frequencies, from the hotspot, where the particles are injected, up to the inner regions of lobes, where the older less energetic electrons are supposed to be located. We assumed that the particles are injected by the jets in the intergalactic medium in a certain epoch t0 with a power-law energy spectrum

\begin{displaymath}%
N(\varepsilon)\propto N_0 \varepsilon^{-\delta_{\rm inj}};
\end{displaymath} (1)

then the jets move further injecting particles into another region. This continues up to the hot spots where particles are injected at the current epoch. The relativistic particles emit a synchrotron radiation and the spectrum is still a power-law with a spectral index $\alpha_{\rm inj} = (\delta_{\rm inj} - 1)/2$. Particles are affected by radiative losses via synchrotron and inverse Compton processes, therefore the radio spectrum moves away from the original power-law with a break at high frequencies.

The JP model (Jaffe & Perola 1973) was used in this analysis. In this model the pitch angle scattering is very efficient; indeed the isotropization occurs on a time scale much shorter than the radiative time-scale. Because the pitch angle is continuously randomized, each particle of the electron population can assume all possible orientations with respect to the magnetic field. In the framework of the JP model, the break frequency  $\nu _{\rm break}$is a time-dependent function that can be estimated by fitting the curvature of the radio spectra. If there is no expansion and the magnetic field is constant, the break frequency depends on the elapsed time since the injection of the particles according to this formula (Slee et al. 2001):

\begin{displaymath}%
t_{\rm syn}=1590{\frac{B_{\rm eq}^{1/2}}{(B_{\rm eq}^{2}+B^...
...rm CMB}})}}{\frac{1}{[ \nu _{\rm break}(1+z)]^{1/2}}}~\rm Myr,
\end{displaymath} (2)

where $t_{\rm syn}$ is the radiative age of the source, $\nu _{\rm break}$ is measured in GHz, $B_{\rm eq}$ and $B_{\rm CMB}=3.25~(1+z)^2$are the equipartition and inverse Compton equivalent magnetic fields respectively, both measured in $\mu$G.

For each source we measured the total intensity for the N lobe and S lobe in a grid of boxes placed along the source (top panels of the Figs. 5 and 6). For the source 3C 35 we choose the size of the boxes of half of the beam size for the lobes to have an even number of nearly independent measures, this fine sampling does not affect the age estimate. Because of the poor resolution the boxes of the two hotspots were selected to be of about one beam size to avoid the breaking off of the hotspots in two boxes. For the source 3C 223 boxes are about one beam size.

The plots in Figs. 5 and 6 refer to the N lobes, while Figs. 5 and 6 show the S lobes of the sources 3C 35 and 3C 223 respectively. The contribution of the emission from the core was masked for both sources. Each plot corresponds to a box as shown in the labels on the bottom-left corner. The red dots represent the data, while the blue dashed lines are the fit with the model.

The model used to fit the data is the JP model available in the software package Synage++ (Murgia 2000). For these two radio sources, the choice of the JP model is justified because as the magnetic field is low, the inverse Compton losses are as important as synchrotron losses, therefore the CMB isotropises the electron population.

The spectra of 3C 35 were obtained using cube images with frequencies of 74, 327, 608 and 1400 MHz at the resolution of 95 $^{\prime \prime }$. To perform this analysis we used the 608 MHz WSRT image with a resolution of 40 $^{\prime \prime }$ $\times $ 20 $^{\prime \prime }$, PA = 0$^\circ $ and rms 1.3 mJy/beam; the 1.4 GHz image has been taken from the NVSS. The free parameters in the fit are the break frequency  $\nu _{\rm break}$, the injection spectral index  $\alpha _{\rm inj}$and the flux normalization, which is proportional to the integral along the line of sight of the product N0 $\times $  $B^{1+\alpha}$. The resulting fitted parameters obtained for each box and the reduced $\chi ^2$ ($\chi ^2$/ndf, where ndf is the number of degrees of freedom) are listed in Table 6. The shape of the hot spots is well described by power-laws; the estimated break frequencies are >4.71 GHz for the North hot spot and >3.07 GHz for the South. The injection spectral index is 0.66 -0.12+0.09 and 0.59 -0.12+0.14 for the North and for the South hot spots respectively. In the inner part of the lobes  $\nu _{\rm break}$is $\simeq$700-800 MHz. The fitted spectra are plotted in Figs. 5 and b and summarized in Fig. 7 as a function of the distance from the core. The central panel of Fig. 7 shows a variation of the injection spectral index along the source, the values range from 0.29 to 0.66; on average $\langle \alpha_{\rm inj} \rangle$ $\simeq$ 0.5. A variable spectral index could be explained in terms of deceleration of the relativistic plasma along the jets, following the subsequently happening of multiple shocks (Meli et al. 2008). This could be observed with a steepening of the electron spectra and in parallel of  $\alpha _{\rm inj}$with the aging of the source. Observations of the electron spectra from the terminal hotspots to the lobes of the powerful FR-II radio galaxies showed that these have not a single and universal power-law form (Rudnick et al. 1994; Machalski et al. 2007).

\begin{figure}
\par\includegraphics[width=8.5cm,clip]{13837fg7.ps}
\end{figure} Figure 7:

3C 35: plotted with respect to the distance from the core: the fitted values of  $\nu _{\rm break}$(bottom); the fitted values for  $\alpha _{\rm inj}$(center); the estimated synchrotron ages (top).

Open with DEXTER

\begin{figure}
\par\includegraphics[width=8.5cm,clip]{13837fg8.ps}
\end{figure} Figure 8:

3C 223: plotted with respect to the distance from the core: the fitted values of  $\nu _{\rm break}$(bottom) and the estimated synchrotron ages (top).

Open with DEXTER

Nevertheless, is should be considered that our error bars on  $\alpha _{\rm inj}$are large, and hence the injection spectral index could still be considered fairly constant around a value of $\simeq$0.5. Future observations at possibly higher sensitivity are needed to definitely confirm the  $\alpha _{\rm inj}$trend along the lobes.

The top panel of Fig. 7 shows the synchrotron age of 3C 35 calculated with Eq. (2). The values used for  $\nu _{\rm break}$and  $B_{\rm eq\nu}$(k=1) are listed in Tables 6 and 4 respectively. The synchrotron age calculated for the source 3C 35 138-22+20 Myr for the North lobe and 147-36+35 Myr for the South lobe. Therefore, in agreement with Parma et al. (1999), 3C 35 can be considered an old source. Moreover we can conclude that the source reached this size expanding with a constant velocity in the extragalactic medium $v_{\rm exp}$ $\sim$ 0.011c because from the plot we can see that the  $t_{\rm syn}$increases linearly with the distance from the hotspots.

In the analysis of 3C 223 we used images at 74, 327 and 1400 MHz with a resolution of 26 $^{\prime \prime }$. The 1.4 GHz image is from Leahy & Perley (1991). We used a fixed $\alpha_{\rm inj}=0.5$, assumed according to the literature, because the observational data were only for three frequencies, which restricted us to two free parameters. These are the break frequency  $\nu _{\rm break}$and the flux normalization. The resulting fitted parameters obtained for each box and the reduced $\chi ^2$ are listed in Table 7. In this case the spectral shape of the hot spots drifts away from a power-law, a  $\nu _{\rm break}$of about 6.0-7.0 GHz was estimated. In the inner regions of the lobes the spectrum steepens and the  $\nu _{\rm break}$is $\simeq$1.5 GHz. The fitted spectra are plotted in Figs. 6 and b and summarized as a function of the distance from the core in Fig. 8.

In the top panel of Fig. 8 we plot the synchrotron age of 3C 223 estimated from the Eq. (2), and using the values of  $\nu _{\rm break}$and  $B_{\rm eq}$in Tables 7 and 5. For the source 3C 223 the  $t_{\rm syn}$is  68-4+4 for the North lobe and 76-5+5 Myr for the South lobe. As for 3C 35, the age decreases linearly with the distance from the core, so we can assume that the lobes advanced with a constant velocity $v_{\rm exp}$ $\sim$ 0.017c.

Table 6:   3C 35: break frequency, alpha injection and reduced $\chi ^2$.

The 5 GHz archival data were not included in the spectral aging analysis because the low-surface brightness emission near the core is not properly imaged by the interferometric observations at 5 GHz due to the lack of short-space baselines. However, it should be noted that the fit of the JP model is able to also recover a break frequency significantly above the maximum frequency in our data set, because the spectral shape departs from a pure power law well before  $\nu _{\rm break}$. Indeed, although in the JP model all particles have the same break energy, the break frequency of the particles at small pitch angle, $\theta$, is also smaller: $\nu_{\rm break}(\theta)\propto \sin\theta$.

4.2 Fit of the spectral index profile

In this section we evaluate the frequency break and the injection spectral index independently for the two lobes of each source by fitting with the synchrotron model the two frequency spectral index,  $\alpha _{1.4}^{0.3}$, as a function of the distance from the core. This method allows an investigation of the spectral index behavior at higher spatial resolution compared to the previous, multi-frequency analysis (Sect. 4.1), which was limited by the resolution of the 74 MHz images. Following the assumption that the sources are expanding with a constant velocity, we have $\nu_{\rm break} \propto 1/t^2 \propto 1/d^2$ since t=d/v. Here t is the age and d is the distance from the hotspot. We fitted $\nu_{\rm break} \propto 1/d^{\beta}$, where $\beta$ is a free parameter. If $\beta$ is 2, this means that the source is expanding with a constant velocity and adiabatic losses are negligible. If $\beta$ is steeper than 2 either the expansion losses play an important role in the energetic of the source and/or the radio source is not expanding with a constant speed.

The fit for the source 3C 35 (Fig. 9) gives $\nu _{\rm break}$ $\simeq$ 0.7-0.8 GHz, which agrees well with that found in Sect. 4.1. The slope $\alpha _{\rm inj}$ = 0.7 is slightly steeper with respect to the  $\alpha _{\rm inj}$found in Sect. 4.1, but still consistent within the errors. For this source the value of the parameter $\beta$ is close to a value of about 2.5 $\pm$ 0.7, which means that adiabatic losses are negligible for 3C 35. This can be further confirmed by the tubular structure of the source.

For the source 3C 223 (Fig. 10) we found $\nu _{\rm break}$ $\simeq$ 1.4-1.9 GHz, which is consistent with that found fitting the spectral shape in Sect. 4.1. In this case the injection index of 0.71 is steeper than the assumed $\alpha _{\rm inj}$ = 0.5 used previously (Sect. 4.1) and probably reflects both the higher frequency range of this method and the non-power-law shape of the hotspots in this source. The parameter $\beta$ for this source is about 3.6 $\pm$ 1.1. As noted above, $\beta$ > 2 indicates either expansion energy losses or a source expanding at a non-constant speed. A physical motivation for such a value could be explained as follows. If the inverse Compton dominates the radiative losses, $\epsilon_{\rm break}$ $\propto$ 1/t while $\nu _{\rm break}$ $\propto$  $B\cdot\epsilon_{\rm break}^2$, where  $\epsilon_{\rm break}$is the energy break and B is the magnetic field. The magnetic field decreases with the lateral expansion of the lobes as B $\propto$ 1/R2, where R is the radius of the section of the lobe. Because the source evolves in a self-similar way (Kaiser & Alexander 1997), R is proportional to d, which gives B $\propto$ 1/d2, and therefore $\nu _{\rm break}$ $\propto$ 1/d4. That is the value that we found for the free parameter $\beta$. In this case the action of expansion losses can be seen in the arrow structure of the source.

\begin{figure}
\par\includegraphics[width=14cm,clip]{13837fg9.ps}
\end{figure} Figure 9:

3C 35: left in color the spectral index map between 327 Mhz and 1.4 GHz; overlayed is the white array of boxes where the measures were taken. Right fit of the spectral index  $\alpha _{1.4}^{0.3}$with the synchrotron model.

Open with DEXTER

5 Summary and conclusions

We present new VLA images of the sources 3C 35 and 3C 223 at the observing frequencies of 327 and 74 MHz.

By combining our images with those at 1.4 GHz available in the literature, we produced spectral index distribution maps between 74-327 MHz and 327 MHz-1.4 GHz for both sources. The spectral indices across the sources are more constant in the low frequency range, while in the high frequency range the spectral indices increase from the hotspots to the inner region of the lobes near to the core. In particular, for the source 3C 35, $\alpha$ ranges between 0.6 and 0.8 in the interval of frequencies 74-327 MHz, while between the frequencies 327 MHz-1.4 GHz the values of $\alpha$ change from 0.6 in the hotspot's region to 1.7 in the inner region of the lobes. On the other hand, for the source 3C 223 the value of $\alpha$ is on average 0.6 in the range 74-327 MHz, but it could reach extreme values, which range between 0.4 and 1.6. In the range between 327 MHz-1.4 GHz $\alpha$ varies from 0.7 in the hotspots to 1.5 in the inner region of the lobes.

\begin{figure}
\par\includegraphics[width=14cm,clip]{13837fg10.ps}
\vspace*{2mm}
\end{figure} Figure 10:

3C 223: left in color the spectral index map between 327 Mhz and 1.48 GHz; overlayed is the white array of boxes where the measures were taken. Right fit of the spectral index  $\alpha _{1.4}^{0.3}$with the synchrotron model.

Open with DEXTER

Table 7:   3C 223: break frequency and reduced $\chi ^2$.

By considering the two radio sources in a minimum energy condition, i.e. in the equipartition regime, we estimated the magnetic field of the two sources. The estimate was made using two different approaches often adopted in the literature, a fixed frequency range and a fixed energy range. Moreover, two different plasma populations were considered (see Tables 4 and 5): one in which the energy is equally divided between relativistic protons and electrons and another one in which all the energy is provided by a plasma of relativistic electrons-positrons. For both sources the resulting equipartition magnetic field ranges between values of 0.5-1.6 $\mu$G, in concordance with typical values of the measured IC magnetic fields. In particular, for 3C 223 the value of the equipartition magnetic field is within a factor of two in agreement with the measured IC magnetic field (Croston et al. 2004).

By using our images with those at higher frequencies available in the literature, we obtained the spectral shape of the radio spectrum in many different positions along the lobes. The hot spots of the source 3C 35 are well described by power-laws, while the hot spots of 3C 223 show quite curved spectra. The inner regions of the lobes for the two sources present a break in the range of frequency around 1.0 GHz.

Because for both the sources the magnetic field is low, the inverse Compton losses are as important as the synchrotron losses, and we can assume an isotropic electron population. Therefore we fitted the spectra with a JP (Jaffe & Perola 1973) model to estimate the frequency break  $\nu _{\rm break}$; for 3C 35 we also estimated  $\alpha _{\rm inj}$while for 3C 223 we used a fixed value. For 3C 35 we found that $\nu _{\rm break}$ $\simeq$ 800 MHz and  $\alpha _{\rm inj}$is on average 0.5. For 3C 223 the  $\nu _{\rm break}$is about 1.4 GHz with a fixed $\alpha _{\rm inj}$ = 0.5.

The break frequency $\nu _{\rm break}$ is a time-dependent function. By assuming that there is no expansion and the magnetic field is constant, we calculated the radiative age of the source  $t_{\rm syn}$from the frequency break. Blundell & Rawlings (2000) claimed an anomalous diffusion of relativistic particles which implies that no information about the age of the source can be inferred from the shape of the emission radio spectrum. They discussed the discrepancy between the estimates of the spectral and dynamical ages for sources older then 107 yr. But Kaiser (2000) demonstrated that diffusion will not alter the distribution of relativistic particles, therefore the spatial distribution of the synchrotron radio emission can be used to estimate the age for FRII sources (Fanaroff & Riley 1974). Moreover, as we discussed above, the magnetic field of these particular sources is low with respect to the inverse Compton equivalent magnetic field, therefore a spatially variable magnetic field has a minor impact on the energy losses of the relativistic electrons. For 3C 35 the estimated age is about 143 $\pm$ 20 Myr while for 3C 223 is about 72 $\pm$ 4 Myr. The radiative age confirms that the two sources are rather old. However, these estimates must be considered upper limits if adiabatic losses cannot be neglected.

A high-resolution analysis of the spectral index behavior was made by fitting the two frequency spectral indices  $\alpha _{1.4}^{0.3}$with the synchrotron model as a function of the distance from the core. We fitted with a law $\nu_{\rm break} \propto 1/d^{\beta}$. For the source 3C 35 the frequency break is about 800 MHz and parameter $\beta$ is about 2.5 $\pm$ 0.7, in agreement with an expansion with a constant speed and/or unimportant adiabatic losses. For the source 3C 223, $\nu _{\rm break}$ $\simeq$ 1.4 GHz, while the parameter $\beta$ is about 3.6 $\pm$ 1.1; as discussed before this could be explained if adiabatic losses play an important role in the energy balance of the source and/or if the expansion velocity of the source is not constant.



Acknowledgements
We thank the anonymous referee for intuitive comments, which improved this manuscript. E.O. acknowledges financial support of Austrian Science Foundation (FWF) through grant number P18523-N16. The National Radio Astronomy Observatory is operated by Associated Universities, Inc., under contract to the National Science Fundation. This research has made use of the NASA/IPAC Extragalactic Database (NED) which operated by the Jet Propulsion Laboratory, California Institute of Technology, under contract with the National Aeronautics and Space Administration and of CATS database Astrophysical CATalogs support System (Verkhodanovet al. 2005).



Appendix A: Faint radio galaxy

\begin{figure}
\par\includegraphics[width=7cm,clip]{13837fgA1.ps}
\vspace*{-2mm}
\end{figure} Figure A.1:

327 MHz VLA image. The resolution is 7 $^{\prime \prime }$ $\times $ 6 $^{\prime \prime }$with a PA = -78$^\circ $, contours start at (3$\sigma $) and are scaled by $\sqrt {2}$, the first level of contours is 1.8 mJy/beam.

Open with DEXTER

In the field of 3C 223 at 327 MHz, at the position RA 09$^{\rm h}$40$^{\rm m}$13.9$^{\rm s}$ Dec +35$^\circ $57$^\prime$34 $^{\prime \prime }$, we detected a small double-lobed radio source. This radio source has already been detected (see Fig. 6 in Croston et al. 2004) in the 1.4 GHz VLA data by Leahy & Perley (1991). In the same position, a bright X-ray source was found in XMM-Newton by Croston et al. (2004). This X-ray source, previously detected with ROSAT, was at first erroneously identified with a star which is offset by 20 arcsec from the X-ray source (Mason et al. 2000). A faint optical object coincident with the X-ray source has been detected in the Sloan Digital Sky Survey (the u-band magnitude is $\simeq$22). Figure A.1 shows the 327 MHz image of the faint radio source with a resolution of 7 $^{\prime \prime }$ $\times $ 6 $^{\prime \prime }$. This image points out an extended low brightness emission between the two lobes in the region around the west side of the core. This implies low energy electrons in this region, which may possibly contribute to the IC emission. This emission was weakly detected in the image at 1.4 GHz. The total flux of the radio source at 327 MHz is $\simeq$93 $\pm$ 2.5 mJy. The angular extension is about one arcmin. Since there is no redshift measured for the optical counterpart, we could not provide an estimate of the linear dimensions or the equipartition magnetic field. The detection and the study of the low brightness emission of these kinds of sources, which show most of their emission in the low frequency range, is one of the main goals of the new generation of radio telescopes like LOFAR, SKA, LWA etc.

References

  1. Abazajian, K. N., Adelman-McCarthy, J. K., Agüeros, M. A., et al. 2009, ApJS, 182, 543 [NASA ADS] [CrossRef] [Google Scholar]
  2. Baum, S. A., Heckman, T. M., Bridle, A., van Breugel, W. J. M., & Miley, G. K. 1988, ApJS, 68, 643 [NASA ADS] [CrossRef] [Google Scholar]
  3. Beck, R., & Krause, M. 2005, Astron. Nachr., 326, 414 [NASA ADS] [CrossRef] [Google Scholar]
  4. Begelman, M. C., Blandford, R. D., & Rees, M. J. 1984, Rev. Mod. Phys., 56, 255 [NASA ADS] [CrossRef] [Google Scholar]
  5. Blandford, R. D., & Rees, M. J. 1974, MNRAS, 169, 395 [NASA ADS] [CrossRef] [Google Scholar]
  6. Blundell, K. M., & Rawlings, S. 2000, AJ, 119, 1111 [NASA ADS] [CrossRef] [Google Scholar]
  7. Blundell, K. M., Rawlings, S., & Willott, C. J. 1999, AJ, 117, 677 [Google Scholar]
  8. Brunetti, G., Setti, G., & Comastri, A. 1997, A&A, 325, 898 [NASA ADS] [Google Scholar]
  9. Burbidge, E. M., & Strittmatter, P. A. 1972, ApJ, 172, L37 [NASA ADS] [CrossRef] [Google Scholar]
  10. Carilli, C. L., Perley, R. A., Dreher, J. W., & Leahy, J. P. 1991, ApJ, 383, 554 [NASA ADS] [CrossRef] [Google Scholar]
  11. Cohen, A. S., Lane, W. M., Cotton, W. D., et al. 2007, AJ, 134, 1245 [NASA ADS] [CrossRef] [Google Scholar]
  12. Condon, J. J., Cotton, W. D., Greisen, E. W., et al. 1998, AJ, 115, 1693 [NASA ADS] [CrossRef] [Google Scholar]
  13. Cornwell, T. J., & Perley, R. A. 1992, A&A, 261, 353 [NASA ADS] [Google Scholar]
  14. Cotton, W. D., Condon, J. J., Perley, R. A., et al. 2004, in Ground-based Telescopes, ed. J. M. Oschmann, Jr., Proc. SPIE, 5489, 180 [Google Scholar]
  15. Croston, J. H., Birkinshaw, M., Hardcastle, M. J., & Worrall, D. M. 2004, MNRAS, 353, 879 [NASA ADS] [CrossRef] [Google Scholar]
  16. Croston, J. H., Hardcastle, M. J., Harris, D. E., et al. 2005, ApJ, 626, 733 [NASA ADS] [CrossRef] [Google Scholar]
  17. Eilek, J. A., Melrose, D. B., & Walker, M. A. 1997, ApJ, 483, 282 [NASA ADS] [CrossRef] [Google Scholar]
  18. Fanaroff, B. L., & Riley, J. M. 1974, MNRAS, 167, 31P [Google Scholar]
  19. Goodger, J. L., Hardcastle, M. J., Croston, J. H., Kassim, N. E., & Perley, R. A. 2008, MNRAS, 386, 337 [NASA ADS] [CrossRef] [Google Scholar]
  20. Hardcastle, M. J., & Croston, J. H. 2005, MNRAS, 363, 649 [NASA ADS] [Google Scholar]
  21. Hogbom, J. A. 1979, A&AS, 36, 173 [NASA ADS] [Google Scholar]
  22. Ishwara-Chandra, C. H., & Saikia, D. J. 1999, MNRAS, 309, 100 [NASA ADS] [CrossRef] [Google Scholar]
  23. Isobe, N., Tashiro, M., Makishima, K., et al. 2002, ApJ, 580, L111 [NASA ADS] [CrossRef] [Google Scholar]
  24. Jaffe, W. J., & Perola, G. C. 1973, A&A, 26, 423 [NASA ADS] [Google Scholar]
  25. Jägers, W. J. 1987, A&AS, 67, 395 [Google Scholar]
  26. Jamrozy, M., Klein, U., Mack, K.-H., Gregorini, L., & Parma, P. 2004, A&A, 427, 79 [NASA ADS] [CrossRef] [EDP Sciences] [Google Scholar]
  27. Jamrozy, M., Machalski, J., Mack, K.-H., & Klein, U. 2005, A&A, 433, 467 [NASA ADS] [CrossRef] [EDP Sciences] [Google Scholar]
  28. Jamrozy, M., Konar, C., Machalski, J., & Saikia, D. J. 2008, MNRAS, 385, 1286 [NASA ADS] [CrossRef] [Google Scholar]
  29. Kaiser, C. R. 2000, A&A, 362, 447 [NASA ADS] [Google Scholar]
  30. Kaiser, C. R., & Alexander, P. 1997, MNRAS, 286, 215 [NASA ADS] [CrossRef] [Google Scholar]
  31. Kaiser, C. R., Dennett-Thorpe, J., & Alexander, P. 1997, MNRAS, 292, 723 [NASA ADS] [CrossRef] [Google Scholar]
  32. Kardashev, N. S. 1962, Sov. Astron., 6, 317 [NASA ADS] [Google Scholar]
  33. Kassim, N. E., Perley, R. A., Erickson, W. C., & Dwarakanath, K. S. 1993, AJ, 106, 2218 [NASA ADS] [CrossRef] [Google Scholar]
  34. Kassim, N. E., Lazio, T. J. W., Erickson, W. C., et al. 2007, ApJS, 172, 686 [NASA ADS] [CrossRef] [Google Scholar]
  35. Kellermann, K. I. 1964, ApJ, 140, 969 [NASA ADS] [CrossRef] [Google Scholar]
  36. Konar, C., Hardcastle, M. J., Croston, J. H., & Saikia, D. J. 2009, MNRAS, 400, 480 [NASA ADS] [CrossRef] [Google Scholar]
  37. Laing, R. A., & Peacock, J. A. 1980, MNRAS, 190, 903 [NASA ADS] [CrossRef] [Google Scholar]
  38. Laing, R. A., Riley, J. M., & Longair, M. S. 1983, MNRAS, 204, 151 [Google Scholar]
  39. Lane, W. M., Cohen, A. S., Kassim, N. E., et al. 2005, Radio Science, 40, 5 [CrossRef] [Google Scholar]
  40. Lara, L., Giovannini, G., Cotton, W. D., et al. 2004, A&A, 421, 899 [NASA ADS] [CrossRef] [EDP Sciences] [Google Scholar]
  41. Leahy, J. P., & Perley, R. A. 1991, AJ, 102, 537 [NASA ADS] [CrossRef] [Google Scholar]
  42. Machalski, J., Chyzy, K. T., Stawarz, ▯., & Kozie▯, D. 2007, A&A, 462, 43 [NASA ADS] [CrossRef] [EDP Sciences] [Google Scholar]
  43. Mason, K. O., Carrera, F. J., Hasinger, G., et al. 2000, MNRAS, 311, 456 [NASA ADS] [CrossRef] [Google Scholar]
  44. Meli, A., Becker, J. K., & Quenby, J. J. 2008, A&A, 492, 323 [NASA ADS] [CrossRef] [EDP Sciences] [Google Scholar]
  45. Murgia, M., 2000, Ph.D. Thesis, University of Bologna [Google Scholar]
  46. Pacholczyk, A. G. 1970, Radio astrophysics. Nonthermal processes in galactic and extragalactic sources, Series of Books in Astronomy and Astrophysics (San Francisco: Freeman) [Google Scholar]
  47. Parma, P., Murgia, M., Morganti, R., et al. 1999, A&A, 344, 7 [NASA ADS] [Google Scholar]
  48. Perley, R. A. 1999, in Synthesis Imaging in Radio Astronomy II, ed. G. B. Taylor, C. L. Carilli, & R. A. Perley, ASP Conf. Ser., 180, 383 [Google Scholar]
  49. Rengelink, R. B., Tang, Y., de Bruyn, A. G., et al. 1997, A&AS, 124, 259 [Google Scholar]
  50. Rudnick, L., Katz-Stone, D. M., & Anderson, M. C. 1994, ApJS, 90, 955 [NASA ADS] [CrossRef] [Google Scholar]
  51. Saripalli, L., Hunstead, R. W., Subrahmanyan, R., & Boyce, E. 2005, AJ, 130, 896 [NASA ADS] [CrossRef] [Google Scholar]
  52. Scheuer, P. A. G. 1974, MNRAS, 166, 513 [NASA ADS] [CrossRef] [Google Scholar]
  53. Schoenmakers, A. P., Mack, K.-H., de Bruyn, A. G., et al. 2000, A&AS, 146, 293 [Google Scholar]
  54. Schoenmakers, A. P., de Bruyn, A. G., Röttgering, H. J. A., & van der Laan, H. 2001, A&A, 374, 861 [NASA ADS] [CrossRef] [EDP Sciences] [Google Scholar]
  55. Slee, O. B., Roy, A. L., Murgia, M., Andernach, H., & Ehle, M. 2001, AJ, 122, 1172 [NASA ADS] [CrossRef] [Google Scholar]
  56. Spergel, D. N., Verde, L., Peiris, H. V., et al. 2003, ApJS, 148, 175 [NASA ADS] [CrossRef] [Google Scholar]
  57. Tribble, P. C. 1993, MNRAS, 261, 57 [NASA ADS] [CrossRef] [Google Scholar]
  58. Verkhodanov, O. V., Trushkin, S. A., Andernach, H., & Chernenkov, V. N. 2005, Bull. Spec. Astrophys. Obs., Rusia, 58, 118 [arXiv:0705.2959] [Google Scholar]
  59. van Breugel, W., & Jägers, W. 1982, A&AS, 49, 529 [NASA ADS] [Google Scholar]

Footnotes

...$\ga$1 Mpc[*]
Throughout we adopt H0 = 71 km s-1 Mpc-1, $\Omega_{\rm m}$ = 0.27, $\Omega_{\Lambda}$ = 0.73 (Spergel et al. 2003). Many radio galaxies have been classified as giant in the past using a different set of cosmological parameters. For this reason some GRG could have a linear size slightly less than 1 Mpc.
... Cygnus A[*]
Available from
http://lwa.nrl.navy.mil/tutorial/VLAmodels
... index[*]
S(${\nu}$$\propto$ $\nu^{-\alpha}$.

All Tables

Table 1:   Summary of radio observations and images.

Table 2:   Source properties.

Table 3:   Resolution and rms of the images used for the spectral index maps.

Table 4:   3C 35 Flux densities, spectral indices and equipartition magnetic fields.

Table 5:   3C 223 Flux densities, spectral indices and equipartition magnetic fields.

Table 6:   3C 35: break frequency, alpha injection and reduced $\chi ^2$.

Table 7:   3C 223: break frequency and reduced $\chi ^2$.

All Figures

  \begin{figure}
\par\includegraphics[width=14cm,clip]{13837fg1.eps}
\vspace*{5mm}
\end{figure} Figure 1:

Radio images of 3C 35, all contours start at (3$\sigma $) and are scaled by $\sqrt {2}$. Left: VLA image at 74 MHz; the resolution is 93 $^{\prime \prime }$ $\times $ 64 $^{\prime \prime }$with a PA = -85$^\circ $, and the first two levels are at -285 and 285 mJy/beam. Right: 327 MHz VLA image. The image is obtained by combining the B and C configuration data, and the resolution is 27 $^{\prime \prime }$ $\times $ 21 $^{\prime \prime }$with a PA = -88$^\circ $. The first two levels of contours are -3 and 3 mJy/beam.

Open with DEXTER
In the text

  \begin{figure}
\par\includegraphics[width=14cm,clip]{13837fg2.ps}
\vspace*{4mm}
\end{figure} Figure 2:

Radio images of 3C 223, all contours start at (3$\sigma $) and are scaled by $\sqrt {2}$. Left: VLA image at 74 MHz. The image is obtained by combining the data of A and B configurations; the resolution is 26 $^{\prime \prime }$ $\times $ 25 $^{\prime \prime }$with a PA = -61$^\circ $. The first two levels of contours are -120 and 120 mJy/beam. Right: 327 MHz VLA image, obtained by combining the data of A and B configurations; the resolution is 7 $^{\prime \prime }$ $\times $ 6 $^{\prime \prime }$with a PA = -78$^\circ $. The first two levels of contours are -1.8 and 1.8 mJy/beam.

Open with DEXTER
In the text

  \begin{figure}
\par\includegraphics[width=14cm,clip]{13837fg3.ps}
\end{figure} Figure 3:

3C 35: spectral index maps are shown in color; pixels whose brightness was below 3$\sigma $ have been blanked. Contour levels are the radio brightness at 327 MHz, start at (3$\sigma $) and are scaled by $\sqrt {2}$. Left: spectral index map between 74 MHz and 327 MHz, with a resolution of 95 $^{\prime \prime }$ $\times $ 95 $^{\prime \prime }$. Right: spectral index map between 327 MHz and 1.4 GHz, with a resolution of 45 $^{\prime \prime }$ $\times $ 45 $^{\prime \prime }$(the image at 1.4 GHz was taken from the NRAO VLA Sky Survey, Condon et al. 1998).

Open with DEXTER
In the text

  \begin{figure}
\par\includegraphics[width=14cm,clip]{13837fg4.ps}
\end{figure} Figure 4:

3C 223: spectral index maps are shown in color; pixels whose brightness was below 3$\sigma $ have been blanked. Contour levels are the radio image at 327 MHz, start at (3$\sigma $) and are scaled by $\sqrt {2}$. Left: spectral index map between 74 MHz and 327 MHz, with a resolution of 26 $^{\prime \prime }$ $\times $ 26 $^{\prime \prime }$. Right: spectral index map between 327 MHz and 1.48 GHz, with a resolution of 7.5 $^{\prime \prime }$ $\times $ 7.5 $^{\prime \prime }$.

Open with DEXTER
In the text

  \begin{figure}
\par\includegraphics[width=14cm,clip]{13837fg5a.ps}
\end{figure} Figure 5a:

3C 35: color map of the source (resolution 95 $^{\prime \prime }$) and the contours at 327 MHz; overlayed by the green array of boxes where the intensity measures have been taken. For the N lobe: plots represent the spectral shape of the source labeled according the positions. Points are measures taken at four frequencies, dashed lines are the fits with the synchrotron model.

In the text

  \begin{figure}
\par\includegraphics[width=14cm,clip]{13837fg5b.ps}
\end{figure} Figure 5b:

Similar to 5 for the S lobe of 3C 35.

In the text

  \begin{figure}
\par\includegraphics[width=14cm,clip]{13837fg6a.ps}
\end{figure} Figure 6a:

3C 223: color map of the source (resolution 26 $^{\prime \prime }$) and the contours at 327 MHz; overlayed are the green array of boxes where the measures have been taken. For the N lobe: plots represent the spectral shape of the source labeled according the positions. Points are measures taken at three frequencies, dashed lines are the fits with the synchrotron model.

In the text

  \begin{figure}
\par\includegraphics[width=14cm,clip]{13837fg6b.ps}
\end{figure} Figure 6b:

Similar to 6 for the the S lobe of 3C 223.

In the text

  \begin{figure}
\par\includegraphics[width=8.5cm,clip]{13837fg7.ps}
\end{figure} Figure 7:

3C 35: plotted with respect to the distance from the core: the fitted values of  $\nu _{\rm break}$(bottom); the fitted values for  $\alpha _{\rm inj}$(center); the estimated synchrotron ages (top).

Open with DEXTER
In the text

  \begin{figure}
\par\includegraphics[width=8.5cm,clip]{13837fg8.ps}
\end{figure} Figure 8:

3C 223: plotted with respect to the distance from the core: the fitted values of  $\nu _{\rm break}$(bottom) and the estimated synchrotron ages (top).

Open with DEXTER
In the text

  \begin{figure}
\par\includegraphics[width=14cm,clip]{13837fg9.ps}
\end{figure} Figure 9:

3C 35: left in color the spectral index map between 327 Mhz and 1.4 GHz; overlayed is the white array of boxes where the measures were taken. Right fit of the spectral index  $\alpha _{1.4}^{0.3}$with the synchrotron model.

Open with DEXTER
In the text

  \begin{figure}
\par\includegraphics[width=14cm,clip]{13837fg10.ps}
\vspace*{2mm}
\end{figure} Figure 10:

3C 223: left in color the spectral index map between 327 Mhz and 1.48 GHz; overlayed is the white array of boxes where the measures were taken. Right fit of the spectral index  $\alpha _{1.4}^{0.3}$with the synchrotron model.

Open with DEXTER
In the text

  \begin{figure}
\par\includegraphics[width=7cm,clip]{13837fgA1.ps}
\vspace*{-2mm}
\end{figure} Figure A.1:

327 MHz VLA image. The resolution is 7 $^{\prime \prime }$ $\times $ 6 $^{\prime \prime }$with a PA = -78$^\circ $, contours start at (3$\sigma $) and are scaled by $\sqrt {2}$, the first level of contours is 1.8 mJy/beam.

Open with DEXTER
In the text


Copyright ESO 2010

Current usage metrics show cumulative count of Article Views (full-text article views including HTML views, PDF and ePub downloads, according to the available data) and Abstracts Views on Vision4Press platform.

Data correspond to usage on the plateform after 2015. The current usage metrics is available 48-96 hours after online publication and is updated daily on week days.

Initial download of the metrics may take a while.