Free Access
Erratum
This article is an erratum for:
[https://doi.org/10.1051/0004-6361:20078103]


Issue
A&A
Volume 515, June 2010
Article Number C1
Number of page(s) 3
Section The Sun
DOI https://doi.org/10.1051/0004-6361:20078103e
Published online 10 June 2010
A&A 515, C1 (2010)

Non-thermal recombination - a neglected source of flare hard X-rays and fast electron diagnostics
(Corrigendum)

J. C. Brown1 - P. C. V. Mallik1 - N. R. Badnell2

1 - Department of Physics and Astronomy, University of Glasgow, Glasgow G12 8QQ, UK
2 - Department of Physics, University of Strathclyde, Glasgow G4 0NG, UK

A&A, 481, 507-518 (2008), DOI: 10.1051/0004-6361:20078103

Abstract
Brown and Mallik (BM) recently claimed that non-thermal recombination (NTR) can be a dominant source of flare hard X-rays (HXRs) from hot coronal and chromospheric sources. However, major discrepancies between the thermal continua predicted by BM and by the Chianti database as well as RHESSI flare data, led us to discover substantial errors in the heuristic expression used by BM to extend the Kramers expressions beyond the hydrogenic case. Here we present the relevant corrected expressions and show the key modified results. We conclude that, in most cases, NTR emission was overestimated by a factor of 1-8 by BM but is typically still large enough (as much as 20-30% of the total emission) to be very important for electron spectral inference and detection of electron spectral features such as low energy cut-offs since the recombination spectra contain sharp edges. For extreme temperature regimes and/or if the Fe abundance were as high as some values claimed, NTR could even be the dominant source of flare HXRs, reducing the electron number and energy budget, problems such as in the extreme coronal HXR source cases reported by e.g. Krucker et al.

Key words: atomic processes - Sun: corona - Sun: flares - Sun: X-rays, gamma rays - errata, addenda

1 Summary

Brown & Mallik (2008,2009) (BM) recently argued that, for hot sources, recombination of non-thermal electrons (NTR) onto highly ionised heavy ions is not negligible compared to non-thermal bremsstrahlung (NTB) as a source of flare hard X-rays (HXRs) and so should be included in modelling non-thermal HXR flare emission. They further claimed that, in some cases, NTR can be much larger than NTB with important consequences for flare physics. In view of major discrepancies between BM results for the thermal continua and those of the Chianti code (e.g. Dere et al. 2009) and of RHESSI (Lin et al. 2002) solar data, we critically re-examined the BM analysis and discovered substantial errors in the heuristic expression used by BM to extend the Kramers expressions beyond the hydrogenic case. Here we summarise the main resulting modifications to their equations and results (now validated against detailed calculations) and their conclusions concerning the importance of NTR. The BM results are correct for NTR onto Fe 26+ and a factor of 2 too high for Fe 25+ so that, at high enough T >40 MK for these to exist, NTR does strongly dominate NTB in the deka-keV range. However, at such T, thermal continuum dominates NTR and NTB in this energy range unless the non-thermal electron density is a very large fraction, $f_{\rm c}$, of the total as in some coronal HXR sources (e.g. Krucker et al. 2008). At $T\approx 10{-}30$ MK, the dominant Fe ions are Fe 22+, 23+, 24+ for which BM overestimated NTR emission by around an order of magnitude. Thus NTR in typical hot flare plasmas does not dominate over NTB. However, in many cases it can be comparable and, especially as NTR includes sharp edge features, very important in inversions of photon spectra to derive electron spectra. In cosmic situations of higher Fe abundance, or in flare sources of higher coronal Fe abundance than BM used (cf. Feldman et al. 2004), NTR could be a dominant source of flare HXRs in some energy/temperature regimes. Full details are available in Mallik (2010). The BM results were mainly for the widely used, though unphysical, electron flux spectrum $F(E) \propto E^{-\delta}$ at $E\geq E_{\rm c}$ and zero below that. For generality of our corrections here we also give the NTR expression for general F(E).

\begin{figure}
\par\includegraphics[width=7.8cm,clip]{8103efg1}
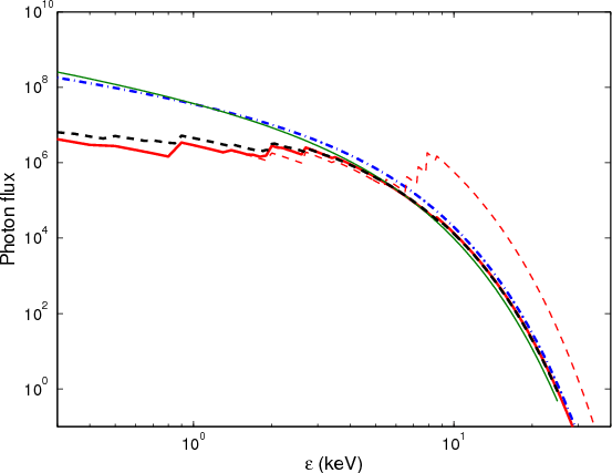
\end{figure} Figure 1:

The revised thermal model spectra (dot-dash blue is TB; thick solid red is TR) compared with Chianti's (thin solid green for TB; dashed black for TR) at T=20 MK. Also included is the erroneous TR spectrum (thin dashed red) from Brown & Mallik (2008). The major discrepancy caused by the Fe edges in BM have been suitably resolved in our revision. The smaller discrepancies are due to differences in the Kramers' and measured cross-sections as well as the possibility of recombination to higher levels than $n=n_{\rm min}$. Courtesy E. Landi for the Chianti spectra.

Open with DEXTER

2 Amended equations and results

\begin{figure}
\par\includegraphics[width=7.8cm,clip]{8103efg2}
\end{figure} Figure 2:

Thin-target NTR:NTB ratio for $E_{\rm c} = 10$ keV, $\delta = 5$ and T=20 MK. This plot can be compared to the bottom left panel of Brown & Mallik (2008). Although shapes are similar, the revised ratio values for the prominent Fe edges are about a factor of 8 lower.

Open with DEXTER

\begin{figure}
\par\includegraphics[width=7cm,clip]{8103efg3a}\par\vspace*{2mm}
\includegraphics[width=7cm,clip]{8103efg3b}
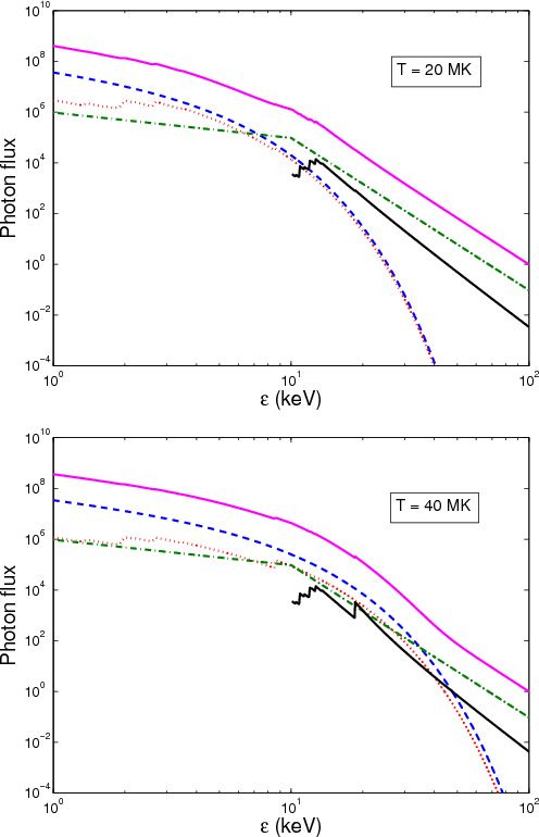
\end{figure} Figure 3:

The revised thin-target spectra for 2 different temperatures with $f_{\rm c} = 0.1$. The dashed blue curve is TB, dotted red is TR, dot-dash green is NTB and solid black is NTR. The solid magenta curve is the total flux multiplied by 10. Note that the non-thermal emission measure, $EM_{\rm c} = f_{\rm c}EM$, where $EM=2ALn_{\rm p}^2$ is the thermal emission measure.

Open with DEXTER

\begin{figure}
\par\includegraphics[width=7.8cm,clip]{8103efg4}
\end{figure} Figure 4:

Regime plot with our revised model showing the relevant areas of importance in the $(\epsilon , T)$ domain for $E_{\rm c} = 10$ keV, $\delta = 5$ and $f_{\rm c} = 0.1$. Note the large domain where NTR contributes 0.1-0.3 of the continuum. For bigger $f_{\rm c}$ the NTR importance domain increases further.

Open with DEXTER

The core error in BM was their use, in the Kramers cross section and edge energies, of quantum number m=1 for the first unfilled level instead of its principal quantum number n. For Fe 26+ and 25+, n=m=1, but for Fe 24+ to Fe 17+, for example, $m\neq 1$ but =2. In ionic species which already have 2-9 electrons present, the smallest n value $n_{\rm min}$ is 2, and for 10 or more electrons, it is $n_{\rm min}=3$ and so on. (Recombination rates to levels with $n>n_{\rm min}$ still fall off as 1/n3, so are rather small in comparison). The consequences of this BM error are:

  • since, for typical hot flare temperatures of 20-30 MK, Fe 24+ and Fe 23+ are the most abundant Fe ions, $n_{\rm min}=2$, not 1, and the magnitude of the recombination emission is down compared to BM by a factor of around $1/n_{\rm min}^3=1/8$;

  • the recombination edges for these species are no longer at $Z_{\rm eff}^2\chi$, or $Z_{\rm eff}^2\chi + E_{\rm c}$ in the presence of a low energy cut-off $E_{\rm c}$, but at $Z_{\rm eff}^2\chi/4$ or $Z_{\rm eff}^2\chi/4 + E_{\rm c}$respectively;

  • additionally, the Kramers formula applies to recombination into an empty shell. For partially filled n-shells, a ``vacancy factor'', pn, has to be applied. If all recombinations to that level had equal rate, pn would be Nv/Nn, where Nn = 2n2is the total electron occupation number of the shell and Nvthe number of states unoccupied - e.g. for a He-like ion, p1=1/2while for a partially filled n=2 shell, N2=8. However, recombination into n=2 in the Kramers formula is actually dominated by the 6 p-states, at the electron energies of interest here so we can take N2 = 6and Nv the number of unoccupied 2p states, i.e. p2 = 1 for Li and Be-like initial ions and p2 = 5/6,  4/6, ...  1/6 for B- through F-like initial ions. Comparisons of such modified Kramers cross sections have been made with the results of detailed calculations using the AUTOSTRUCTURE code (cf. Badnell 2006) for initial H-like through to F-like Fe ions and agreement to within 20% was obtained for our new results using this estimate.
Revisions of the recombination cross-section expressions given in Eqs. (11) and (12) of Brown & Mallik (2008) have to be carried through to all other recombination expressions, e.g. Eqs. ((16), (19), (B.2), (B.5), (B.12)) in Brown & Mallik (2008) and Eq. (2) in Brown & Mallik (2009), to show the sum over $n \geq n_{\rm min}$, with $n_{\rm min} \neq 1$ in general.

Table 1:   Significance of Fe 25+ and 26+ at 4 different temperatures for $\epsilon =20$ keV and $\delta = 5$.

So, the revised thin-target non-thermal recombination expression (replacing Eq. (B.2) of Brown & Mallik 2008) is (all notation as in BM):
                           $\displaystyle J_{\rm R_{\rm thin}}(\epsilon)$ = $\displaystyle (\delta -1) \frac {32
\pi}{\sqrt{3}\alpha} \frac {r_{\rm e}^2 \ch...
...{\rm eff}} \sum_{n \geq n_{\rm min}} p_n
\zeta_{\rm RZ_{\rm eff}} \frac{1}{n^3}$  
    $\displaystyle \times
\left[\frac{\epsilon - V_{\rm Z_{\rm eff}}/n^2}{E_{\rm c}} \right]^{-\delta -
1} ~~ ; ~~ \epsilon \geq E_{\rm c} + V_{\rm Z_{\rm eff}}/n^2$  
    $\displaystyle \times ~~ 0 ~~;~~ \epsilon < E_{\rm c} + V_{\rm Z_{\rm eff}}/n^2$ (1)

for the cut-off power law F(E) and with $V_{Z_{\rm eff}} = Z_{\rm eff}^2\chi$. We also give the corrected thin target expression for general F(E) in Eq. (4) to enable readers to extend our results.

The revised thermal recombination expression (from Eq. (B.5) of Brown & Mallik 2008) as a function of photon energy $\epsilon$ is:

                          $\displaystyle J_{\rm R_{\rm therm}}(\epsilon)$ = $\displaystyle \sqrt{\frac {2\pi}{27m_{\rm e}}}\frac
{64r_{\rm e}^2\chi^2}{\alph...
...{\rm eff}} \sum_{n \geq n_{\rm min}} p_n \zeta_{\rm RZ_{\rm eff}} \frac{1}{n^3}$  
    $\displaystyle \times ~ \exp \left(\frac{V_{\rm Z_{\rm eff}}/n^2 - \epsilon}{kT} \right) ~~;~~ \epsilon \geq V_{\rm Z_{\rm eff}}/n^2$  
    $\displaystyle \times ~~ 0 ~~;~~ \epsilon < V_{\rm Z_{\rm eff}}/n^2.$ (2)

The thick-target NTR expression (revised from Eq. (B.12) of Brown & Mallik 2008) is (power-law case):
                                $\displaystyle J_{\rm R_{\rm thick}}(\epsilon)$ = $\displaystyle \frac{32 \pi
r_{\rm e}^2}{3\sqrt{3} \alpha} \frac{\chi^2 {\cal F}...
...{\rm eff}} \sum_{n \geq n_{\rm min}} p_n \zeta_{\rm RZ_{\rm eff}} \frac{1}{n^3}$  
    $\displaystyle \times ~ \left[\frac {\epsilon - V_{\rm Z_{\rm eff}}/n^2}{E_{\rm ...
...delta_o + 1} ~~;~~ \epsilon \geq E_{\rm oc} +
V_{\rm Z_{\rm eff}}/n^2 \nonumber$  
    $\displaystyle \times ~ \left[\frac {E_{\rm oc} - V_{\rm Z_{\rm eff}}/n^2}{E_{\r...
...rm Z_{\rm eff}}/n^2 < \!\epsilon \!< \!E_{\rm oc} \!+\! V_{\rm Z_{\rm eff}}/n^2$  
    $\displaystyle \times ~~
0~~;~~ \epsilon \leq V_{\rm Z_{\rm eff}}/n^2.$ (3)

(Thick target results are for the total emission rates over continuously injected electron collisional lifetimes). Note that Eqs. (1) and (3) also correct the following typos in Eqs. (B.2) and (B.12) of Brown & Mallik (2008):

  • the term $\zeta_{\rm RZ_{\rm eff}}$ was accidentally put outside the $\sum$ in Eq. (B.2) of BM.

  • it should be $\chi^2$ in the numerator for Eq. (B.2) of BM and not just $\chi$.

  • the terms $m_{\rm e} c^2$ in the numerator and $E_{\rm oc}$ in the denominator of Eq. (B.12) of BM do not actually exist and were erroneously carried over from some other formulae.

For an arbitrary electron spectrum F(E) in source volume V, replacing Eq. (11) in BM 2008 and scaled up by the source volume,

\begin{displaymath}J_{\rm thin}^{F(E)} (\epsilon)= \frac{32\pi
r_{\rm e}^2\chi^2...
...{n^3}\frac{F(\epsilon-Z^2\chi/n^2)}{\epsilon-Z^2\chi/n^2}\cdot
\end{displaymath} (4)

The ionisation equilbrium used was a fit to the standard steady state coronal collisional ionisation, optical depths being negligible. In Table 1, we have listed the abundances and $\zeta_{\rm RZ}$ for Fe 25+ and Fe 26+ (Arnaud & Raymond 1992) for a set of four temperatures, and these can be seen in addition to the relevant values in Tables 1 and 2 of Brown & Mallik (2008), where these values are listed for fully ionised Fe (Fe 26+) at $T\gg 100$ MK and for the most abundant Fe species at 20 MK. Here we have also included the ratio of non-thermal free-bound (due to only Fe 25+ and 26+ respectively) to total free-free flux, $R = J_{NTR_{\rm Fe26+,25+}}/J_{NTB}$ (from Eq. (2) of Brown & Mallik 2009), at $\epsilon =20$ keV and $\delta = 5$ to illustrate at what temperatures Fe 25+ and Fe 26+ start becoming significant contributors to the NTR flux.

Acknowledgements
We gratefully acknowledge the financial support of a UK STFC Rolling Grant (JCB), of a Dorothy Hodgkin's Scholarship (PCVM), an ISSI Grant (JCB), and an STFC Grant (NRB). Discussions with E.P. Kontar, R.A. Schwartz, and E. Landi were invaluable in drawing attention to problems with the BM results. We are grateful to the referee in helping us condense and improve our report of the amendments.

References

  1. Arnaud, M., & Raymond, J. 1992, ApJ, 398, 394 [NASA ADS] [CrossRef] [Google Scholar]
  2. Badnell, N. R. 2006, ApJS, 167, 334 [Google Scholar]
  3. Brown, J. C., & Mallik, P. C. V. 2008, A&A, 481, 507 [NASA ADS] [CrossRef] [EDP Sciences] [Google Scholar]
  4. Brown, J. C., & Mallik, P. C. V. 2009, ApJ, 697, L6 [NASA ADS] [CrossRef] [Google Scholar]
  5. Dere, K. P., Landi, E., Young, P. R., et al. 2009, A&A, 498, 915 [NASA ADS] [CrossRef] [EDP Sciences] [Google Scholar]
  6. Feldman, U., Dammasch, I., Landi, E., & Doschek, G. A. 2004, ApJ, 609, 439 [NASA ADS] [CrossRef] [Google Scholar]
  7. Krucker, S., Wuelser, J.-P., Vourlidas, A., et al. 2008, 12th European Solar Physics Meeting, Freiburg, Germany, held September, 8-12, http://espm.kis.uni-freiburg.de/, 2.84, 12, 2 [Google Scholar]
  8. Lin, R. P., Dennis, B. R., Hurford, G. J., et al. 2002, Sol. Phys., 210, 3 [Google Scholar]
  9. Mallik, P. C. V. 2010, Ph.D. Thesis, University of Glasgow [Google Scholar]

All Tables

Table 1:   Significance of Fe 25+ and 26+ at 4 different temperatures for $\epsilon =20$ keV and $\delta = 5$.

All Figures

  \begin{figure}
\par\includegraphics[width=7.8cm,clip]{8103efg1}
\end{figure} Figure 1:

The revised thermal model spectra (dot-dash blue is TB; thick solid red is TR) compared with Chianti's (thin solid green for TB; dashed black for TR) at T=20 MK. Also included is the erroneous TR spectrum (thin dashed red) from Brown & Mallik (2008). The major discrepancy caused by the Fe edges in BM have been suitably resolved in our revision. The smaller discrepancies are due to differences in the Kramers' and measured cross-sections as well as the possibility of recombination to higher levels than $n=n_{\rm min}$. Courtesy E. Landi for the Chianti spectra.

Open with DEXTER
In the text

  \begin{figure}
\par\includegraphics[width=7.8cm,clip]{8103efg2}
\end{figure} Figure 2:

Thin-target NTR:NTB ratio for $E_{\rm c} = 10$ keV, $\delta = 5$ and T=20 MK. This plot can be compared to the bottom left panel of Brown & Mallik (2008). Although shapes are similar, the revised ratio values for the prominent Fe edges are about a factor of 8 lower.

Open with DEXTER
In the text

  \begin{figure}
\par\includegraphics[width=7cm,clip]{8103efg3a}\par\vspace*{2mm}
\includegraphics[width=7cm,clip]{8103efg3b}
\end{figure} Figure 3:

The revised thin-target spectra for 2 different temperatures with $f_{\rm c} = 0.1$. The dashed blue curve is TB, dotted red is TR, dot-dash green is NTB and solid black is NTR. The solid magenta curve is the total flux multiplied by 10. Note that the non-thermal emission measure, $EM_{\rm c} = f_{\rm c}EM$, where $EM=2ALn_{\rm p}^2$ is the thermal emission measure.

Open with DEXTER
In the text

  \begin{figure}
\par\includegraphics[width=7.8cm,clip]{8103efg4}
\end{figure} Figure 4:

Regime plot with our revised model showing the relevant areas of importance in the $(\epsilon , T)$ domain for $E_{\rm c} = 10$ keV, $\delta = 5$ and $f_{\rm c} = 0.1$. Note the large domain where NTR contributes 0.1-0.3 of the continuum. For bigger $f_{\rm c}$ the NTR importance domain increases further.

Open with DEXTER
In the text


Copyright ESO 2010

Current usage metrics show cumulative count of Article Views (full-text article views including HTML views, PDF and ePub downloads, according to the available data) and Abstracts Views on Vision4Press platform.

Data correspond to usage on the plateform after 2015. The current usage metrics is available 48-96 hours after online publication and is updated daily on week days.

Initial download of the metrics may take a while.