Issue |
A&A
Volume 516, June-July 2010
|
|
---|---|---|
Article Number | A111 | |
Number of page(s) | 6 | |
Section | Extragalactic astronomy | |
DOI | https://doi.org/10.1051/0004-6361/200912889 | |
Published online | 22 July 2010 |
Weak 13CO in the Cloverleaf quasar: evidence for a young, early generation starburst
C. Henkel1 - D. Downes2 - A. Weiß1 - D. Riechers3,4,5 - F. Walter4
1 - Max-Planck-Institut für Radioastronomie, Auf dem Hügel 69, 53121
Bonn, Germany
2 - Institut de Radio Astronomie Millimétrique, Domaine Universitaire,
38406 St.-Martin-d'Hères, France
3 - California Institute of Technology, Astronomy Department,
MC 249-17, 1200 East California Boulevard, Pasadena, CA 91125,
USA
4 - Max-Planck-Institut für Astronomie, Königstuhl 17, 69117
Heidelberg, Germany
5 - Hubble Fellow
Received 14 July 2009 / Accepted 19 April 2010
Abstract
Observations of 12CO at high redshift indicate
rapid metal enrichment in the nuclear
regions of at least some galaxies in the early universe. However, the
enrichment may be limited to nuclei that are synthesized by short-lived
massive stars, excluding classical ``secondary'' nuclei like 13C.
Testing this idea, we used the IRAM Interferometer to tentatively
detect the 13CO
line at a level of 0.3 Jy km s-1
toward the Cloverleaf quasar at z = 2.5. This is
the first observational evidence for 13C at
high redshift. The 12CO/13CO
luminosity ratio is with 40
+25-8
much higher than ratios observed in molecular clouds of the Milky Way
and in the ultraluminous galaxy Arp 220, but may be similar to
that observed toward NGC 6240. Large Velocity Gradient models
simulating seven 12CO transitions and the 13CO
line yield 12CO/13CO
abundance ratios in excess of 100. It is possible that the measured
ratio is affected by a strong submillimeter radiation field, which
reduces the contrast between the 13CO line and
the background. It is more likely, however, that the ratio is caused by
a real deficiency of 13CO. This is already
apparent in local ultraluminous galaxies and may be even more severe in
the Cloverleaf because of its young age (
2.5 Gyr). A potential conflict with
optical data, indicating high abundances also for secondary nuclei in
quasars of high redshift, may be settled if the bulk of the CO emission
is originating sufficiently far from the active galactic nucleus of the
Cloverleaf.
Key words: galaxies: abundances - galaxies: ISM - galaxies: individual: Cloverleaf quasar - Galaxy: evolution - nuclear reactions, nucleosynthesis, abundances - radio lines: galaxies
1 Introduction
There is evidence for solar or super-solar metallicities in the circumnuclear environments of quasars out to redshifts z>4 (e.g., Hamann & Ferland 1999; Kurk et al. 2007; Jiang et al. 2007; Juarez et al. 2009; Matsuoka et al. 2009). This evidence, mainly from optical lines, is supported by millimeter detections of CO and dust in high-redshift sources, indicating rapid metal enrichment due to starbursts in the circumnuclear regions of at least some galaxies in the early universe (e.g., Solomon & Vanden Bout 2005). This enrichment, however, might apply mainly to atomic nuclei that are synthesized in short-lived massive stars, and not so much to ``secondary'' nuclei like 13C that are thought to be mainly synthesized in longer-lived, less-massive stars (but see, e.g., Hamann et al. 2002, for the mainly secondary element nitrogen).
In the local universe, 12C/13C abundance ratios are sometimes considered to be a diagnostic of deep stellar mixing and a measure of ``primary'' vs. ``secondary'' nuclear processing (e.g., Wilson & Rood 1994). While 12C is produced by He burning on rapid time scales in massive stars, 13C is mainly synthesized by CNO processing of 12C seed nuclei from earlier stellar generations. This processing occurs more slowly, during the red giant phase in low- and intermediate-mass stars or novae. The 12C/13C ratio may therefore depend on the nucleosynthesis history. It could be much higher in high-z galaxies that are too young to have synthesized large amounts of secondary nuclei like 13C.
At optical, near-IR, and UV wavelengths it is difficult to discriminate between an element's isotopes because their atomic lines are blended (e.g., Levshakov et al. 2006). The prospects are better with radio lines from isotopic substitutions in molecules, which are well separated by a few percent of their rest frequency from the main species. This separation allows both the main and rare species to be easily identified, and to be observable with the same radio receivers and spectrometers.
The Cloverleaf quasar (H1413+117), partly because of amplification by gravitational lensing, is a high-z source with exceptional peak flux densities in 12C16O (hereafter 12CO; see Appendix 2 of Solomon & Vanden Bout 2005). This source is therefore one of the best candidates to search for 13C16O (hereafter 13CO) to try to test models of ``chemical'' evolution over a Hubble time. In this paper we report on a search for 13CO(3-2) emission in the Cloverleaf at z=2.5579, when the universe was 2.5 Gyr old.
2 Observations
The measurements were made with the IRAM Interferometer on Plateau de
Bure, France, in July, August, and September 2008, with 5 antennas in
the compact D-configuration (maximum baseline 97 m) and the
new dual-polarization receivers. The receiver and system
single-sideband temperatures were 40 and 100 K, respectively.
The spectrometers covered 1 GHz in each polarization, and the
raw spectral resolution was 2.5 MHz, or
8.1 km s-1. The data were
binned to various spectral resolutions; in this paper we present data
binned in km s-1
channels, covering a range of 3040 km s-1,
with a noise of 0.22 mJy beam-1
(1
)
in each channel. The naturally-weighted synthesized beam
was 5
8
at PA 62
.
Because the four CO
spots of the lensed Cloverleaf image are spread over 1
7,
we included more of the total flux by applying to the u,v
data a Gaussian taper that fell to 1/e at a radius
of 100 m. The slightly broadened beam then became 6
4,
and the noise in the individual channels is
0.23 mJy beam-1.
![]() |
Figure 1:
Contour map of continuum plus 13CO |
Open with DEXTER |
![]() |
Figure 2:
Contour map of the 3.2 mm continuum emission, covering
2080 km s-1in the off-line
channels. The beam is 6
|
Open with DEXTER |
3 Results
Figures 1
through 3 show the data, and Table 1 summarizes the
results. In the integrated line + continuum map (Fig. 1), the peak position
(Table 1)
agrees well with the centroid of previous high-resolution
interferometer maps of the source (e.g., Alloin et al. 1997; Yun
et al. 1997;
Kneib et al. 1998).
At 93 GHz, the expected continuum is 0.30-0.35 mJy
(from Fig. 3
of Weiß et al. 2003;
and the power-law given in Bradford et al. 2009) and a
map in the 13 off-line channels at the positive and negative velocity
ends of our spectra indeed yields a continuum flux of mJy
(Fig. 2).
This continuum adds to the line signal, and for this reason, the line
appears much broader than the
430 kms-1 widths
of the 12CO and [C I]
lines (Weiß et al. 2003).
The observed line has a low signal-to-noise ratio, which prevents a
clear distinction between line and continuum, and does not allow us to
constrain the line shape. Above the 0.3 mJy continuum, a
Gaussian fit yields an integrated line flux of (
) Jy km s-1
(Fig. 3,
see also the much higher upper limit given by Barvainis et al.
1997,
their Table 1).
An alternative Gaussian fit, with the line width fixed to the width of
the 12CO line, yields a peak line flux density
of (
) mJy beam-1,
and the same integrated line flux as the fit shown in Fig. 3. This integrated
flux, corrected for frequency squared, leads to a 12CO/13CO
line luminosity ratio (=brightness temperature ratio) of 40
+25-8
(Table 1).
This value is conservative. With the line width fixed to the width of
the 12CO line and the actual peak flux density
of order 0.35 mJy, the ratio would become
75.
Table 1: 13CO(3-2) Observations and results.
![]() |
Figure 3:
CO |
Open with DEXTER |
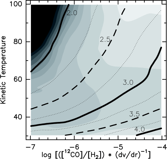
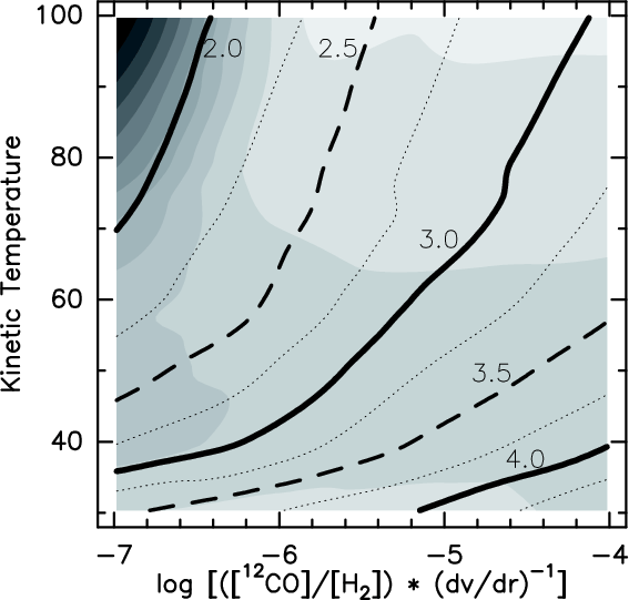
4 Large velocity gradient model calculations
12CO lines have higher optical depths than those of 13CO. Therefore, the measured 12CO/13CO line intensity ratio (Sect. 3) is a lower limit to the 12CO/13CO abundance ratio. To further constrain the 12CO/13CO abundance ratio of the Cloverleaf QSO, Table 2 provides flux densities and brightness temperatures of seven 12CO transitions. To simulate these values, a Large Velocity gradient (LVG) model was used with collision rates from Flower (2001), a cosmic microwave background of 9.7 K, and an ortho-to-para H2 abundance ratio of three (e.g., Weiß et al. 2005, 2007; Riechers et al. 2006b). The latter is, however, not critical for this study.
We calculated a grid for 12CO/13CO
with kinetic temperatures
of 30-100 K and 12CO fractional
abundances per velocity interval
of [12CO]/([H2](dv/dr))
= 10
-4...-7 pc (km s-1)-1.
Accounting for possible effects of cloud structure, not only a
spherical but also a plan-parallel cloud morphology was considered,
with escape
probabilities )/
and
)/(3
),
respectively
(
:
optical depth). Resulting 12CO/13CO
abundance ratios reproducing the six measured 12CO
line intensity ratios (Table 2)
are given in Figs. 4
and 5 together
with reduced
(
)
values of the best fit. We adopted a 1
error of 15% for each fitted brightness temperature ratio. The
dependence of the resulting 12CO/13CO
ratios on cloud morphology is caused by the different escape
probabilities, related to
in the case of a spherical and to 3
in the case of a plan-parallel cloud geometry. Therefore, a required
amount of excitation through photon trapping is reached at lower 12CO
optical depths in the case of a plan-parallel morphology, resulting in
smaller 12CO/13CO
abundance ratios.
Table 2: CO line ratios in the Cloverleaf.
The
values displayed in Figs. 4
and 5 indicate
that the CO data can be fitted by a single molecular gas component (cf.
Bradford et al. 2009).
All calculations are also consistent with the (not very stringent)
upper limits for the 13CO
and
flux densities from
Bradford et al. (2009).
At first sight, the figures do not strongly reduce the permitted
parameter space, providing
values of order 1.25-2. In the upper left corners of each figure,
however, the
values rise significantly, becoming too large to provide credible
solutions. As a consequence, the overall 12CO/13CO
abundance ratio appears to be >100 in the Cloverleaf QSO. There
exist further constraints: (1)
< 30 K is prohibitive because of the temperatures
determined from C I (
30 K) and the dust (
50 K,
Weiss et al. 2003).
Furthermore, such low temperatures would require extreme CO column
densities to raise photon trapping to such levels that the emission
from the higher J transitions could be reproduced.
(2)
> 50 K is also not likely because of the temperature
deduced from [C I] and the close
association of CO and C I, which appears to
be independent of the environment (e.g., Ikeda et al. 2002; Zhang
et al. 2007).
For K
and [12CO]/([H2](dv/dr))
= 10-7 pc (km s-1)-1,
we obtain 12CO/13CO
abundance ratios in the range 200-3000 (Figs. 4 and 5). However, such a
low fractional abundance per velocity interval can be firmly excluded.
With [C I]/[H2]
reaching values in agreement with those of the local galactic disk
(Weiß et al. 2005),
the [12CO]/[H2] abundance
ratio should be of order 10-4 (e.g., Frerking
et al. 1982).
The resulting velocity gradient of dv/dr
= 103 km s-1 pc-1
would be far too large in view of the measured line width (e.g., Weiß
et al. 2003)
and the kinetic temperature such extreme conditions would induce (e.g.,
Wiklind & Henkel 2001).
A velocity gradient of a few km -1 pc-1
is more realistic as, e.g., obtained from clouds in virial equilibrium
for densities of order 104 cm-3
(Goldsmith 2001;
his Eq. (2)).
Such densities are commonly derived for high z
sources (e.g., Weiß et al. 2005, 2007). For
diffuse clouds, velocity gradients should be larger
(e.g., Papadopoulos et al. 2010).
Bradford et al. (2009)
suggest that in the Cloverleaf the velocity dispersion may exceed the
virial requirement by at least an order of magnitude. Therefore the
best choice may be [12CO]/([H2](dv/dr)) =
10
-6...-5 pc (km s-1)-1
(for the higher value see, e.g., Riechers et al. 2006b; Weiß
et al. 2007)
to simultaneously fit the observed CO transitions from
up to
.
Depending on the adopted kinetic temperature (30-50 K) and
cloud morphology, and irrespective of the optimal [12CO]/([H2](dv/dr))
value (as long as it is in the wide range displayed by Figs. 4 and 5) we then find a 12CO/13CO
abundance ratio in the range 300-10 000. In the following we
will discuss whether this estimate can be realistic.
![]() |
Figure 4:
Results from large velocity gradient (LVG) radiative transfer
calculations using a spherical cloud model to simulate the line
intensity ratios
given in Table 2.
The common logarithm of the 12CO/13CO
abundance ratio is shown as a function of kinetic temperature in units
of Kelvin and of fractional abundance in units of
pc (km s-1)-1
for a 12CO/13CO |
Open with DEXTER |
![]() |
Figure 5:
Same as Fig. 4,
but for a plan-parallel cloud geometry. Resulting |
Open with DEXTER |
5 Discussion
In order to further evaluate our observational result, we have to discuss the correlation between molecular 12CO/13CO and atomic 12C/13C abundance ratios and to summarize relevant observational data from low-redshift galaxies which are, like the Cloverleaf, ultraluminous in the infrared. Finally, we will address some fundamental problems, which are related to the still poorly known morphology of the gas surrounding the Cloverleaf QSO.
5.1 Chemical fractionation and isotope selective photodissociation
Observed isotope ratios may be affected by fractionation. The
12CO/13CO abundance ratio
is likely influenced by the
reaction

(Watson et al. 1976). The process enhances 13CO relative to 12CO in the more diffuse C+ rich parts of molecular clouds. This may be compensated by isotope selective photodissociation. 12CO and 13CO need similar amounts of self-shielding to survive in a hostile interstellar environment. This favors the more abundant isotopologue (e.g., Sheffer et al. 2007).
For the Galaxy, such effects can be quantified. Milam et al. (2005) summarized 12C/13C ratios from the galactic disk, obtained with the three molecules CO, CN, and H2CO. These molecular species are synthesized by quite different chemical reactions. The good agreement between their 12C/13C ratios and a lack of correlation with kinetic temperature suggest that chemical fractionation as well as isotope selective photodissociation do not greatly affect the determined isotope ratios.
Whether this result is also valid in the case of the
Cloverleaf QSO
may not be obvious at first sight. The ultraviolet radiation field in
the vicinity of the quasar might be exceptionally strong, favoring
12CO over 13CO and thus
leading to an enhanced molecular
abundance ratio with respect to 12C/13C.
However, such a
scenario is not likely. Firstly, most of the galactic data were
obtained toward prominent sites of massive star formation, where the
UV radiation field is also exceptionally intense. Secondly, judging
from C I, in the Cloverleaf the excitation
of the molecular gas is intermediate between conditions found for the
starburst galaxy M 82 (
K)
and the central region of the Milky Way (
K)
(Stutzki et al. 1997;
Weiß et al. 2003).
Thirdly, polycyclic aromatic hydrocarbon (PAH) features are as strong
as expected with respect to the far infrared luminosity when compared
with more nearby ultraluminous
star-forming galaxies, favoring ``normal'' conditions and a
predominantly starburst nature of the Cloverleaf's huge FIR emission
(Lutz et al. 2007).
Finally, the CO emission from the Cloverleaf appears to be more
extended than the effective radius out to which the quasar could
dominate the UV field.
Modeling both the source and the lens of the Cloverleaf QSO,
Venturini & Solomon (2003)
find a characteristic radius of r
800 pc for the CO J=7-6 line, which is
higher excited and thus possibly less widespread than the
transition
considered here. If the Cloverleaf's intrinsic far infrared luminosity
(
,
Lutz et al. 2007)
would entirely originate from 6.2-13.6 eV photons emitted by
the active nucleus, we would obtain, at a radius of 800 pc, a
UV photon illumination of
with respect to the local galactic radiation field,
erg cm-2 s-1 sr-1
(see Draine
1978). The
Cloverleaf QSO is a Broad Absorption Line (BAL) quasar which permits at
least a partial view onto its nuclear engine. Therefore, taking the
Cloverleaf's UV luminosity from Fig. 1 of Barvainis
et al. (1995)
and accounting for a gravitational
amplification by a factor of 11 (Solomon & Vanden Bout 2005), we
obtain accordingly
.
Both
values are
consistent with those encountered in prominent
galactic sites of massive star formation and may be upper limits if the
Cloverleaf posseses a self-shielding rotating disk. To summarize,
physical conditions in the Cloverleaf host galaxy appear to be
sufficiently
normal so that the 12C/13C
isotope ratio should not strongly deviate from the 12CO/13CO
molecular abundance ratio.
5.2 12CO/13CO
ratios in
galaxies
In our Galaxy, the 12CO/13CO
line intensity ratios from
molecular clouds are typically about 5, probably corresponding to true
12C/13C abundance ratios
of 



In nearby galaxies, the 12CO/13CO
line intensity
ratios are usually measured in the J=1-0 line and
have typical
values of 10.
They are higher than the values for individual
molecular clouds in the Galaxy because they are mostly observed with
larger beams. These include not only the dense clouds, where both
species are (almost) optically thick, but also the molecular intercloud
medium, where 13CO is optically thin. Like the
better-resolved CO line ratios in our Galaxy, the ratios in nearby
galaxies probably correspond to true 12C/13C
abundance ratios between 40 and 90 (e.g., Henkel et al. 1993).
In a presumably ``normal'' spiral galaxy at redshift
0.89, in the lens of the background source
PKS 1830-211, Wiklind & Combes (1998), Menten
et al. (1999),
and Muller et al. (2006)
derive, from the optically thin wings of the absorption lines of HCO+,
HCN, and HNC, a 12C/13C
abundance ratio of .
Apparently, even at an age of the universe of
6.5 Gyr, it appears that 13C
is as abundant with respect to 12C as in the
center of our Galaxy at the present epoch.
Some low-redshift (ultra)luminous infrared galaxies
((U)LIRGs), however, show peculiarities, which may be more relevant to
the Cloverleaf.
Local (U)LIRGs are known to reveal 12CO/13CO
line intensity ratios which
tend to be higher than the canonical value of 10 for ``normal''
galaxies (see, e.g., Aalto et al. 1991; Casoli
et al. 1992;
Henkel & Mauersberger 1993).
According to Taniguchi & Ohyama (1998), there
is a tight correlation between L(12CO
)
and
.
However, when comparing
``normal'' galaxies with those with a high 12CO/13CO
ratio, the 13CO
luminosities show a deficiency by an average factor of
3, This 13CO
deficiency is readily explained by metallicity gradients in the
progenitor galaxies and strong interaction- or merger-induced inflow of
gas into the luminous cores (e.g., Rupke et al. 2008).
Apparently, for ultraluminous galaxies the common
luminosity - metallicity correlation is not valid. Ultraluminous
galaxies are characterized by a lower metallicity, likely
yielding higher 12C/13C
isotope ratios. In the early universe, gas from outside the cores of
the merging progenitors may have been particularly metal poor, leading
to extreme carbon isotope ratios.
For
20 K,
the 12CO
line is more opaque, typically by a factor of 3, than the corresponding
line.
Thus our conservatively estimated J=3-2 12CO/13CO
line intensity ratio of
40
+25-8 corresponds to a
ratio well in excess of 40. So far, only few 12CO/13CO
line ratios have been measured in luminous mergers of low redshift.
Greve et al. (2009)
find
for the ULIRG Arp 220 and
30 for the LIRG NGC 6240. The latter
value might be consistent with that of the
Cloverleaf.
5.3 Are there alternatives to a 13C deficiency in the Cloverleaf?
Sects. 5.1 and 5.2 suggest, that our measured 12CO/13CO line intensity ratio (or its lower limit) require a significant 13C deficiency in the Cloverleaf. Are there caveats we may have overlooked when reaching this conclusion?
If the bulk of the CO emission would not arise, as suggested
by Venturini & Solomon (2003), from a
molecular disk but from a large
scale outflow, such gas would not be in virial equilibrium and could
arise predominantly from a diffuse gas phase. While this would yield
(within the LVG approach) a higher velocity gradient and a lower [12CO]/([H2](dv/dr))
value than what is needed for virialized clouds, required densities
would then be well in excess
of 104 cm-3, in
contradiction with our assumption of predominantly diffuse gas.
Furthermore, as long as
remains moderate (
50 K;
see Figs. 4
and 5), 12C/13C
ratios remain larger than those encountered in the galactic disk
(Sect. 5.1).
Following White (1977), radiative transfer models with simple geometry, either based on microturbulence or on systematic motions, lead to peak and integrated intensities which agree within the differences (up to a factor of three) caused by an uncertain cloud geometry. A full 3-D model of a rotating circumnuclear disk, computing the radiative transfer through many lines of sight, calculating the LVG level populations within each pixel of the simulated source, and also including continuum radiation from dust (e.g., Downes & Solomon 1998) may be worth doing. In the Cloverleaf, however, the distribution of the molecular gas is still poorly known.
A large 12C/13C
ratio, implying an underabundance of 13C,
appears to be in direct conflict with optical data. As already
mentioned in Sect. 1, solar or super-solar metallicities are
common in quasars up to high redshifts. This does not only refer to
so-called ``-elements''
being rapidly synthesized in short-lived massive stars but also to iron
(e.g., Iwamuro et al. 2004;
Kurk et al. 2007;
Sameshima et al. 2009),
carbon (e.g., Jiang et al. 2007; Juarez
et al. 2009),
and, even more importantly, nitrogen (Hamann & Ferland 1999; De Breuck
et al. 2000;
Vernet et al. 2001;
Hamann et al. 2002;
Nagao et al. 2006;
Matsuoka et al. 2009),
with 14N being mainly a secondary nucleus
produced by CNO burning just like 13C. A
possible explanation for the contradictory results obtained at or near
optical wavelengths and the microwave data presented here may be
different locations. It is well possible that mainly secondary nuclei
like 13C and 14N are
enriched close to the quasar, in the Broad and Narrow Line Regions and
in outflows originating from the active galactic nucleus (AGN).
However, CO
may arise hundreds of pc away from the AGN (Venturini & Solomon
2003)
and some of the
photons may be emitted from locations even farther away.
There exists, however, also the possibility that our measured
high 12CO/13CO
luminosity ratio is misleading and does not
imply a large 12C/13C
ratio. As a consequence of different optical depths, 12CO
lines are almost thermalized and are characterized by excitation
temperatures well above the level of the cosmic microwave background
even at z=2.5. 13CO is less
thermalized. In our best fitting models, its
excitation temperature lies in the range 20-30 K. This is
significantly above the 9.7 K of the CMB. However, an extreme
(and therefore unlikely) enhancement of the background level by dust
radiation could reduce the contrast between line and background for 13CO
far more efficiently than for 12CO (see
Papadopoulos et al. 2010 for
the case of Arp 220), thus
establishing an apparent 13CO deficiency.
6 Outlook
Molecular lines from galaxies in the distant universe have the potential to reveal the contribution of early stellar generations to the enrichment of the interstellar medium. Our data from the z = 2.5 Cloverleaf QSO are a first step toward studying the isotopic composition of such gas in the distant past. Our data indicate, not unexpectedly, a strong deficiency of 13C with respect to 12C in the host galaxy. However, the weakness of the tentatively detected line, the limited number of observed transitions, the poorly constrained source morphology, and the potential influence of an enhanced submillimeter radiation background do not yet allow us to derive a definite 12C/13C isotope ratio. Significant progress in this field either requires the detection of stronger sources or the higher instrumental sensitivity of the Atacama Large Millimeter Array (ALMA), which will allow us to study the isotopes of C, N, and O in a number of highly redshifted targets. Toward the Cloverleaf, the main isotopologes of HCN, HCO+, and CN (Solomon et al. 2003; Riechers et al. 2006a, 2007) have already been detected. AcknowledgementsWe wish to thank P. P. Papadopoulos, D. Riquelme, S. Veilleux, and an anonymous referee for helpful discussions on ULIRGs and chemical evolution and/or a critical reading of the manuscript. This paper is based on observations taken with the IRAM Plateau de Bure Interferometer. IRAM is supported by INSU/CNRS (France), the MPG (Germany), and the IGN (Spain). D.R. acknowledges support from NASA through Hubble Fellowship grant HST-HF-01212.01-A, awarded by the Space Telescope Science Institute, which is operated by AURA for NASA under contract NAS5-26555. This research has made use of NASA's Astrophysical Data System (ADS).
References
- Aalto, S., Johansson, L. E. B., Booth, R. S., & Black, J. H. 1991, A&A, 249, 323 [Google Scholar]
- Alloin, D., Guilloteau, S., Barvainis, R., Antonucci, R., & Tacconi, L. 1997, A&A, 321, 24 [NASA ADS] [Google Scholar]
- Barvainis, R., Antonucci, R., Hurt, T., Coleman, P., & Reuter, H.-P. 1995, ApJ, 451, L9 [NASA ADS] [CrossRef] [Google Scholar]
- Barvainis, R., Maloney, P., Antonucci, R., & Alloin, D. 1997, ApJ, 484, 695 [NASA ADS] [CrossRef] [Google Scholar]
- Bradford, C. M., Aguirre, J. E., Aikin, R., et al. 2009, ApJ, 705, 112 [NASA ADS] [CrossRef] [Google Scholar]
- Casoli, F., Dupraz, C., & Combes, F. 1992, A&A, 264, 55 [NASA ADS] [Google Scholar]
- Chiappini, C., Matteucci, F., & Romano, D. 2001, ApJ, 554, 1044 [NASA ADS] [CrossRef] [Google Scholar]
- De Breuck, C., Röttgering, H., Miley, G., van Breugel, W., & Best, P. 2000, A&A, 362, 519 [NASA ADS] [Google Scholar]
- Downes, D., & Solomon, P. M. 1998, ApJ, 507, 615 [NASA ADS] [CrossRef] [Google Scholar]
- Draine, B. T. 1978, ApJS, 36, 595 [NASA ADS] [CrossRef] [Google Scholar]
- Flower, D. R. 2001, J. Phys. B. At. Mol. Opt. Phys., 34, 2731 [Google Scholar]
- Frerking, M. A., Langer, W. D., & Wilson, R. W. 1982, ApJ, 262, 590 [NASA ADS] [CrossRef] [Google Scholar]
- Goldsmith, P. F. 2001, ApJ, 557, 736 [NASA ADS] [CrossRef] [MathSciNet] [Google Scholar]
- Greve, T. R., Papadopoulos, P. P., Gao, Y., & Radford, S. J. E. 2009, ApJ, 692, 1432 [NASA ADS] [CrossRef] [Google Scholar]
- Hamann, F., & Ferland, G. 1999, ARA&A, 37, 487 [NASA ADS] [CrossRef] [Google Scholar]
- Hamann, F., Korista, K. T., Ferland, G. J., Warner, C., & Baldwin, J. 2002, ApJ, 564, 592 [NASA ADS] [CrossRef] [Google Scholar]
- Henkel, C., & Mauersberger, R. 1993, A&A, 274, 730 [NASA ADS] [Google Scholar]
- Henkel, C., Mauersberger, R., Wiklind, T., et al. 1993, A&A, 268, L17 [NASA ADS] [Google Scholar]
- Ikeda, M., Oka, T., Tatematsu, K., Sekimoto, Y., & Yamamoto, S. 2002, ApJS, 139, 467 [NASA ADS] [CrossRef] [Google Scholar]
- Iwamuro, F., Kimura, M., Eto, S., et al. 2004, ApJ, 614, 69 [NASA ADS] [CrossRef] [Google Scholar]
- Jiang, L., Fan, X., Vestergaard, M., et al. 2007, AJ, 134,1150 [NASA ADS] [CrossRef] [Google Scholar]
- Juarez, Y., Maiolino, R., Mujica, R., et al. 2009, A&A, 494, L25 [NASA ADS] [CrossRef] [EDP Sciences] [Google Scholar]
- Kneib, J.-P., Alloin, D., Mellier, Y., et al. 1998, A&A, 329, 827 [NASA ADS] [Google Scholar]
- Kurk, J. D., Walter, F., Fan, X., et al. 2007, ApJ, 669, 32 [NASA ADS] [CrossRef] [Google Scholar]
- Levshakov, S. A., Centurión, M., Molaro, P., & Kostina, M. V. 2006, A&A, 447, L21 [NASA ADS] [CrossRef] [EDP Sciences] [Google Scholar]
- Lutz, D., Sturm, E., Tacconi, L. J., et al. 2007, ApJ, 661, L25 [NASA ADS] [CrossRef] [Google Scholar]
- Matsuoka, K., Nagao, T., Maiolino, R., Marconi, A., & Taniguchi, Y. 2009, A&A, 503, 721 [NASA ADS] [CrossRef] [EDP Sciences] [Google Scholar]
- Menten, K. M., Carilli, C., & Reid, M. J. 1999, in Highly Redshifted Radio Lines, ed. C. Carilli et al., ASP Conf. Ser., 156, 218 [Google Scholar]
- Milam, S. N., Savage, C., Brewster, M. A., Ziurys, L. M., & Wyckoff, S. 2005, ApJ, 634, 1126 [NASA ADS] [CrossRef] [Google Scholar]
- Muller, S., Guélin, M., Dumke, M., Lucas, R., & Combes, F. 2006, A&A, 458, 417 [NASA ADS] [CrossRef] [EDP Sciences] [Google Scholar]
- Nagao, T., Maiolino, R., & Marconi, A. 2006, A&A, 447, 863 [NASA ADS] [CrossRef] [EDP Sciences] [Google Scholar]
- Papadopoulos, P. P., Isaak, K., & van der Werf, P. 2010, ApJ, 711, 757 [NASA ADS] [CrossRef] [Google Scholar]
- Riechers, D., Walter, F., Carilli, C. L., et al. 2006a, ApJ, 645, L13 [NASA ADS] [CrossRef] [Google Scholar]
- Riechers, D., Walter, F., Carilli, C., et al. 2006b, ApJ, 650, 604 [NASA ADS] [CrossRef] [Google Scholar]
- Riechers, D., Walter, F., Cox, P., et al. 2007, ApJ, 666, 778 [NASA ADS] [CrossRef] [Google Scholar]
- Rupke, D. S. N., Veilleux, S., & Baker, A. J. 2008, ApJ, 674, 172 [NASA ADS] [CrossRef] [Google Scholar]
- Sameshima, H., Maza, J., Matsuoka, Y., et al. 2009, MNRAS, 395, 1087 [NASA ADS] [CrossRef] [Google Scholar]
- Sheffer, Y., Rogers, M., Federman, S. R., Lambert, D. L., & Gredel, R. 2007, ApJ, 667, 1002 [NASA ADS] [CrossRef] [Google Scholar]
- Solomon, P. M., & Vanden Bout, P. 2005, ARA&A, 43, 677 [NASA ADS] [CrossRef] [Google Scholar]
- Solomon, P. M., Vanden Bout, P., Carilli, C. L., & Guélin, M. 2003, Nature, 426, 636 [NASA ADS] [CrossRef] [PubMed] [Google Scholar]
- Stutzki, J., Graf, U. U., Haas, S., et al. 1997, ApJ, 477, L33 [NASA ADS] [CrossRef] [Google Scholar]
- Taniguchi, Y., & Ohyama, Y. 1998, ApJ, 507, L21 [Google Scholar]
- Venturini, S., & Solomon, P. M. 2003, ApJ, 590, 740 [NASA ADS] [CrossRef] [Google Scholar]
- Vernet, J., Fosbury, R. A. E., Villar-Martín, M., et al. 2001, A&A, 366, 7 [NASA ADS] [CrossRef] [EDP Sciences] [Google Scholar]
- Wang, M., Chin, Y.-N., Henkel, C., Whiteoak, J. B., & Cunningham, M. 2009, ApJ, 690, 580 [NASA ADS] [CrossRef] [Google Scholar]
- Watson, W. D., Anichich, V. G., & Huntress, W. T. 1976, ApJ, 205, L165 [NASA ADS] [CrossRef] [Google Scholar]
- Weiß, A., Henkel, C., Downes, D., & Walter, F. 2003, A&A, 409, L41 [NASA ADS] [CrossRef] [EDP Sciences] [Google Scholar]
- Weiß, A., Downes, D., Walter, F., & Henkel, C. 2005, A&A, 440, L45 [NASA ADS] [CrossRef] [EDP Sciences] [Google Scholar]
- Weiß, A., Downes, D., Neri, R., et al. 2007, A&A, 467, 955 [NASA ADS] [CrossRef] [EDP Sciences] [Google Scholar]
- White, R. E. 1977, ApJ, 211, 744 [NASA ADS] [CrossRef] [Google Scholar]
- Wiklind, T., & Combes, F. 1998, ApJ 500, 129 [NASA ADS] [CrossRef] [Google Scholar]
- Wiklind, T., & Henkel, C. 2001, A&A 375, 797 [NASA ADS] [CrossRef] [EDP Sciences] [Google Scholar]
- Wilson, T. L., & Rood, R. 1994, ARA&A, 32, 191 [NASA ADS] [CrossRef] [Google Scholar]
- Wright, E. L. 2006, PASP, 118, 1711 [NASA ADS] [CrossRef] [Google Scholar]
- Wouterloot, J. G. A., & Brand, J. 1996, A&AS, 119, 439 [Google Scholar]
- Yun, M. S., Scoville, N. Z., Carrasco, J. J., & Blandford, R. D. 1997, ApJ, 479, l9 [Google Scholar]
- Zhang, J. S., Henkel, C., Mauersberger, R., et al. 2007, A&A, 465, 887 [NASA ADS] [CrossRef] [EDP Sciences] [Google Scholar]
All Tables
Table 1: 13CO(3-2) Observations and results.
Table 2: CO line ratios in the Cloverleaf.
All Figures
![]() |
Figure 1:
Contour map of continuum plus 13CO |
Open with DEXTER | |
In the text |
![]() |
Figure 2:
Contour map of the 3.2 mm continuum emission, covering
2080 km s-1in the off-line
channels. The beam is 6
|
Open with DEXTER | |
In the text |
![]() |
Figure 3:
CO |
Open with DEXTER | |
In the text |
![]() |
Figure 4:
Results from large velocity gradient (LVG) radiative transfer
calculations using a spherical cloud model to simulate the line
intensity ratios
given in Table 2.
The common logarithm of the 12CO/13CO
abundance ratio is shown as a function of kinetic temperature in units
of Kelvin and of fractional abundance in units of
pc (km s-1)-1
for a 12CO/13CO |
Open with DEXTER | |
In the text |
![]() |
Figure 5:
Same as Fig. 4,
but for a plan-parallel cloud geometry. Resulting |
Open with DEXTER | |
In the text |
Copyright ESO 2010
Current usage metrics show cumulative count of Article Views (full-text article views including HTML views, PDF and ePub downloads, according to the available data) and Abstracts Views on Vision4Press platform.
Data correspond to usage on the plateform after 2015. The current usage metrics is available 48-96 hours after online publication and is updated daily on week days.
Initial download of the metrics may take a while.