Issue |
A&A
Volume 516, June-July 2010
|
|
---|---|---|
Article Number | A103 | |
Number of page(s) | 11 | |
Section | Stellar structure and evolution | |
DOI | https://doi.org/10.1051/0004-6361/200913079 | |
Published online | 22 July 2010 |
Can massive Be/Oe stars be progenitors of long gamma ray bursts?
C. Martayan1,2 - J. Zorec3 - Y. Frémat4 - S. Ekström5
1 - European Organization for Astronomical Research in the Southern
Hemisphere, Alonso de Cordova 3107, Vitacura, Santiago de Chile, Chile
2 - GEPI, Observatoire de Paris, CNRS, Université Paris Diderot, 5 place
Jules Janssen, 92195 Meudon Cedex, France
3 - Institut d'Astrophysique de Paris, UMR7095, CNRS, Université Marie & Pierre Curie,
98bis Boulevard Arago 75014 Paris, France
4 - Royal Observatory of Belgium, 3 avenue circulaire, 1180 Brussels, Belgium
5 - Geneva Observatory, University of Geneva, Maillettes 51, 1290 Sauverny, Switzerland
Received 6 August 2009 / Accepted 17 March 2010
Abstract
Context. The identification of long-gamma-ray-bursts (LGRBs)
is still uncertain, although the collapsar engine of fast-rotating
massive stars is gaining a strong consensus.
Aims. We propose that low-metallicity Be and Oe stars, which are massive fast rotators, as potential LGRBs progenitors.
Methods. We checked this hypothesis by 1) testing the global
specific angular momentum of Oe/Be stars in the ZAMS with the SMC
metallicity; 2) comparing the ZAMS (
)
parameters of these stars with the area predicted theoretically for progenitors with metallicity Z
= 0.002; and 3) calculating the expected rate of LGRBs/year/galaxy and
comparing them with the observed ones. To this end, we determined the
ZAMS linear and angular rotational velocities for SMC Be and Oe stars
using the observed
parameters, corrected from the underestimation induced by the gravitational darkening effect.
Results. The angular velocities of SMC Oe/Be stars are on average
in the ZAMS. These velocities are in the area theoretically predicted
for the LGRBs progenitors. We estimated the yearly rate per galaxy of
LGRBs and the number of LGRBs produced in the local Universe up to z=0.2.
We have considered that the mass range of LGRB progenitors corresponds
to stars hotter than spectral types B0-B1 and used individual beaming
angles from 5 to 15
.
We thus obtain
to
LGRBs/year/galaxy, which represents on average 2 to 14 LGRB
predicted events in the local Universe during the past 11 years.
The predicted rates could widely surpass the observed ones [
LGRBs/year/galaxy;
8 LGRBs observed in the local Universe during the last 11 years]
if the stellar counts were made from the spectral type B1-B2, in
accordance with the expected apparent spectral types of the appropriate
massive fast rotators.
Conclusions. We conclude that the massive Be/Oe stars with SMC
metallicity could be LGRBs progenitors. Nevertheless, other SMC
O/B stars without emission lines, which have high enough specific
angular momentum, can enhance the predicted
rate.
Key words: gamma-ray bursts: general - stars: early-type - stars: emission-line, Be - stars: fundamental parameters - Magellanic Clouds
1 Introduction
Since their discovery, data on gamma ray bursts (GRBs) considerably increased, which today allow us to aim at preliminary statistical conclusions. The properties of GRBs and their possible connection to SN were reviewed by Woosley & Bloom (2006) and Fryer et al. (2007). Thus, there are at least 2 classes of GRBs according to the duration of the phenomenon: 1) short bursts that last less than 1 s and 2) long bursts, which are longer than 1-3 s hereafter LGRBs. Although the short GRBs might correspond to a violent merging of two compact objects, evidence is growing that suggests that the disruption of a massive star can be behind an LGRB (Fryer et al. 2007). A possible, but rare, third class of GRBs can be explained by a binary-star scenario (Tutukov & Fedorova 2007). However, proper identification of both the progenitor and the final nature of the phenomenon are still fairly uncertain. Nevertheless, a kind of consensus is gaining in the community that the collapsar engine during a supernova SNIb,c explosion, as proposed by Woosley (1993), might lead to allow the explanation of LGRBs. According to this hypothesis, the explosion follows a massive star collapse to a black hole. The circumstellar disk accretes onto the black hole and a bi-polar jet is formed (Hirschi et al. 2005). The infalling material must have enough angular momentum to remain in a disc before accretion.
New observational findings and the latest theoretical developments are
steadily giving best founded constraints to understand the LGRBs
phenomenon. The observations carried out by Iwamoto et al. (2000,1998) support the idea that massive fast-rotating stars are at the origin of the LGRBs. Thöne et al. (2008)
find that the LGRB GRB060505 is hosted in a low-metallicity
galaxy, which is characterized by a high star-formation rate. The event
seems to come from a young environment (6 Myr) and from an object
about
.
The latest models have tried to reproduce the evolution of stars until
the end of their lives. In particular, for massive stars, they have
been worked out until the GRBs phase. In the search for SNIb,c
progenitors, WR stars with He-rich envelopes are recognized as
possibly behind the GRBs events. In fact, Hammer et al. (2006) find that the LGRBs occur in areas of galaxies with WR stars.
Rotation has been recognized as a key point for understanding the appearance of GRBs (Yoon et al. 2006; Hirschi et al. 2005; Woosley 1993).
Accordingly, to keep a large amount of angular momentum up to the last
evolutionary phases before the collapse, GRBs progenitors should be
massive objects with low initial metallicities and possibly display
anisotropic winds (Meynet & Maeder 2007). Thus, from Yoon et al. (2006) it seems that WR stars with metallicities
can be progenitors of GRBs. In the same sense, Modjaz et al. (2008) find that the SNIc-GRB association occurs when metallicities
are lower than
.
Because stars with low metallicities can on average rotate faster, Hirschi et al. (2005) and Yoon et al. (2006) foresee that the number of GRBs must grow as the redshift increases, which seems to be confirmed
observationally (Fryer et al. 2007).
It might still be that the first massive stars, which were very
metal-poor stars, were fast rotators. This is an additional reason for
the frequency of GRBs being higher as the redshift increases. In this
sense, Kewley et al. (2007) find a link between the location of cosmological LGRBs and the very low-metallicity galaxies.
Thanks to fast rotation and the concomitant efficient mixing of
chemical elements, massive stars can undergo quasi-chemically
homogeneous evolution to end up as helium WR stars satisfying the
requirements for the collapsar scenario (van Marle et al. 2008; Yoon et al. 2006). Yoon et al. (2006)
have calculated the quasi-chemically homogeneous evolution of
magnetized massive stars. They produced diagrams of LGRBs progenitors
as a function of their ZAMS rotational velocities and masses and of
different initial metallicities. From these diagrams, it emerges that
there must be an upper limit to the initial metallicity of LGRBs
progenitors, which approximatively corresponds to that of the Small
Magellanic Clouds (SMC). According to Maeder et al. (1999, and references therein), the SMC average metallicity is
.
The diagram of (Yoon et al. 2006) also indicates that, for metallicities
,
the WR phenomenon can appear in stars having lower masses than those in the Milky Way (hereafter MW). In this context, Martins et al. (2009) have observed several SMC WR
stars, whose evolutionary status and chemical properties can be understood if they are fast rotators.
According to the listed observational and theoretically inferred requirements, stars might be potential LGRBs progenitors if they
- are massive enough at the end of their evolution to form a black hole;
- have lost their hydrogen envelope and have a fast-rotating core;
- are formed in low-metallicity environments, where there must also be high star-formation rates to ensure having enough massive stars.
Our research on whether the SMC Oe/Be stars can be progenitors of LGRBs is based on three tests: 1) determination of the global specific stellar angular momentum (Sect. 2); 2) inference of the ZAMS angular velocity ratios of the studied SMC Oe/Be stars and comparison with the model predicted requirements to be LGRB-progenitor (Sect. 3); and 3) estimation of the LGRBs rate based on the SMC Oe/Be- and fast-rotator population, and its comparison with the observed ones (Sect. 4). A general discussion is given in Sect. 5.
2 Inference of the ZAMS rotational velocities
2.1 Main sequence linear equatorial rotational velocities
The results presented in this section are based on the FLAMES-GIRAFFE (Pasquini et al. 2002) observations discussed in Martayan et al. (2007). To the previous sample of 131 Oe/Be stars analyzed by Martayan et al. (2007), we added here the most massive Be stars and Oe stars found in the SMC. The projected rotational velocity
of each star was determined with the GIRFIT code (Frémat et al. 2006). The average values of
by mass category thus obtained are given in Table 1.
We know, however, that Oe/Be stars are fast rotators, and the
gravitational darkening effect (hereafter GD) induces systematic
underestimations of the
parameters (Frémat et al. 2005; Townsend et al. 2004). In this work we have corrected the measured
quantities using similar curves to those given in Frémat et al. (2005)
but recalculated for the SMC metallicity. The corrected average
rotational parameters per mass category are presented in Table 1 as
.
Table 1: Values of the rotational velocities for Be and Oe stars for several average mass categories.
Figure 1 shows the
per mass category of the studied SMC Oe/Be stars, compared with three
new theoretical tracks of true equatorial rotational velocities
calculated by Ekström et al. (2008b) for metallicity Z=0.002, which suits the SMC cluster NGC 330 and its environment. In what follows, all models for SMC stars are for Z=0.002. To compare the theory with observations, all model velocities were multiplied by
to simulate the random distribution of the inclination i of the rotational axis (Chandrasekhar & Münch 1950).
Once the fundamental parameters of all studied stars had been
determined, the models of rotating stars were chosen so as to match the
average true rotational velocity (i.e.
)
per mass category at their respective average age. The average true rotational velocities, V, per mass category have uncertainties ranging from 20 to some 40 km s-1 (cf. Table 1).
The inferred average ZAMS velocities for these mass categories are then
affected by uncertainties that are of the same order of magnitude, i.e.
km s-1, on average (Martayan et al. 2007, their Fig. 9). For the near critical linear velocities,
,
and stellar masses
,
the corresponding
translates into
as the average uncertainty of the derived angle velocity ratios (
and
are the linear and angular critical velocities, respectively).
![]() |
Figure 1:
Comparison of the average observed rotational velocities SMC of Oe/Be
stars with the locus of theoretical velocities for the SMC metallicity.
The curves are for model stars that attain the surface angular velocity
ratios
|
Open with DEXTER |
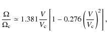
The obtained today
ratios for all mass groups are in the interval
.
Figure 1 shows the loci of today
against the mass corresponding to
and 1.0. For comparison, this figure also includes the
curve for
.
A similar comparison in Martayan et al. (2007),
made with observed rotational velocities that were not corrected for
the underestimations induced by the GD effect, suggestes that the SMC
Be stars rotate on average at
= 0.95. Within the observational uncertainties, the corrected velocities for the GD effect shown in Fig. 1 likely correspond to
= 0.99. We note that
= 0.99 is for a linear velocity ratio
or for a ratio of surface centrifugal to gravitational accelerations
.
2.2 ZAMS rotational velocities
Using the same approach as in Martayan et al. (2007), which was based on models calculated by Maeder & Meynet (2001) and Meynet & Maeder (2002),
we re-determined the ZAMS rotational velocities of the SMC Oe/Be stars
with a new and more complete grid of curves representing the evolution
of rotational velocities at low metallicity
(Ekström et al. 2008b). The obtained results are given in Table 1.
For the sake of comparison, this table also gives the previous average
values of the ZAMS rotational velocities. The new results are shown in
Fig. 2, where the theoretical ZAMS rotational velocities calculated by Ekström et al. (2008b) are also drawn for the SMC metallicity and for the angular velocity ratios
= 0.90,
= 0.99 and
= 1.00. We notice then that SMC Oe/Be stars in the ZAMS rotate on average with
0.95.
The models do not include magnetic fields, thus the mean rotational
velocity on the MS is lower than it would be for magnetic models. We
might thus overestimate the initial ratio
,
which should be considered here as an upper limit. To take the
difference in the models into account with magnetic fields, we compared
the values of ZAMS velocities for given
values between the models from Ekström et al. (2008b) and from Yoon et al. (2006). The values of
in the last row of
Table 1 are then corrected by the corresponding scale factor.
![]() |
Figure 2: Inferred ZAMS rotational velocities of SMC Oe/Be stars (triangles) compared with model SMC ZAMS rotational velocities from Ekström et al. (2008b) (dashed curves). |
Open with DEXTER |
The trend of points inferred with the observation in Fig. 2 can be represented with
km s-1.
For the inference of the specific angular momentum that must have the
circumstellar disks hanging over the collapsed stellar cores, it is
instructive to estimate the average specific angular momentum,
,
that the SMC Oe/Be stars have in the ZAMS. To this end, let us write
,
where
is the gyration radius and
the stellar radius of stars in the ZAMS. The
and
radii suited to
= 0.95, chosen according to what is suggested by the observed points in Fig. 2, varies with the mass as
,
while the radius varies as
(Zorec et al. 1988; Ekström et al. 2008b; Zorec 1986). By taking the decrease in the stellar moment of inertia induced by a rigid rotation at
into account, we obtain the following expression for
,
valid for the whole mass interval
;
which means that the average specific angular momentum of Oe/Be stars of the SMC in the ZAMS, considered as rigid rotators, increases linearly with the mass. Using moments of inertia calculated with stellar models at rest, Kawaler (1987) obtained for a mixed sample of B+Be stars in the MW that


the SMC Oe/Be stars would then have a specific angular momentum only a few times greater than the one that is supposedly appropriate for producing a stable disk over the black hole after the stellar collapse. Since part of this angular momentum will be lost during the evolutionary following the MS phase, the SMC Oe/Be stars do not seem to have angular momenta that is to prevent the formation of circumstellar disks and/or the expected jets (MacFadyen & Woosley 1999).
Because it may affect the properties of Oe/Be stars, after we take the average of the
rates over the masses in the ZAMS and in the MS, the equatorial
velocity of these objects decreases from the ZAMS to the MS by a factor
0.76, while
varies from
= 0.95 to
= 0.99. This change in
implies that the ratio
varies from 0.87 to 0.97 and the ratio
of the surface equatorial centrifugal to gravitational acceleration passes from 0.76 to 0.90.
3 LGRBs progenitors and the Oe/Be stars
3.1 ZAMS rotational velocities of LGRBs progenitors compared to those of Oe/Be stars
Thanks to the combined effects mainly of rotation and metallicity, a
series of models suggest that massive fast-rotating stars can fulfill
the requirements imposed by the collapsar engine and be so progenitors
of LGRBs (Yoon et al. 2006; Hirschi et al. 2005). To comply with the SN-LGRB relation, the involved stellar masses need to be higher than
.
Thus, while Hirschi et al. (2005) conclude, on the basis of non magnetic models, that for the SMC metallicity stars with masses between 32 and
are able to produce LGRBs, the latest models by Yoon et al. (2006),
which include
magnetic fields decrease the lower limit of masses to those of early
B-type stars. According to these models, fast rotation favors a strong
mixing of chemicals, which means that the stars can evolve as
quasi-chemically homogeneous and finally end up as massive helium
stars. Since the lower the metallicity, the faster the stellar rotation
can be, these phenomenon can in principle be favored in media with low
metallicity, which accordingly impede strong stellar winds. In turn,
this makes the stars conserve high amounts of angular momentum. The
models by Yoon et al. (2006)
predict a lower limit to the ratio of equatorial linear velocities
(
is the critical or breakup velocity) as a function of mass for the LGRB
progenitors that do not seem to change strongly according to the
metallicity, but the limiting
ratio increases if the stellar mass is lower. Moreover, the zone above the threshold
ratio of potential LGRB progenitors widens towards lower and higher masses as the metallicity decreases.
Campana et al. (2008, and references therein) indicate that the LGRB GRB060505 had a progenitor with an initial mass of
,
i.e., a B0-B1 star, where the metallicity is Z
= 0.004, similar to the SMC. The chemical composition of the nebulae
surrounding the star, if it is assumed that it reflects the chemical
abundance of the progenitor, indicates that the progenitor was a near
critical rotator, as in the ``Be phenomenon''. Such a fast rotation is
required to produce an efficient mixing process in the star, which
favors the stellar chemically homogeneous evolution and makes it
possible for the environing nebulae reflect the stellar abundances.
To compare the models with the inferred ZAMS ratios
,
we transformed the
``observed''
ratios of the Oe/Be star subsamples in the SMC into
ratios by considering the
dispersion of masses and equatorial velocities intervening in each average. The
and
ratios for massive stars are related as (Chauville et al. 2001)
![]() |
(3) |
which is also valid for the SMC metallicity. These results are given in Table 2. The indicated mass category, i.e.








Table 2:
Ratios of the ZAMS
per mass category of SMC Oe/Be stars.
Table 3:
Ratios of the ZAMS
per mass category of SMC Oe/Be stars corrected for the effect of magnetic field from the comparison between Ekström et al. (2008b) and Yoon et al. (2006) models.
The inferred ZAMS zones of
ratios per mass category of SMC Oe/Be stars given in Table 3 are compared in Fig. 3 with the theoretically predicted region containing the LGRB progenitors for Z = 0.002 by Yoon et al. (2006).
One can see that only the more massive Oe/Be members, found in the
``E-category'', may reach the zone of potential LGRBs progenitors.
According to Yoon et al. (2006), the
ratio of the core to envelope mass is low in the less-massive
O/B stars, which favors an efficient braking of their core and
thus a significant reduction of its specific angular momentum. These
stars were then not included in our counting as potential LGRBs
progenitors. Nevertheless, among the less massive OB objects, there may
be many that are possibly storing high amounts of angular momentum,
thanks to strong internal differential rotation. In these objects, the
core specific angular momentum can then be higher than the one
predicted with stellar evolutionary models constructed with an initial
upper limit of kinetic energy imposed by the rigid rotation in the
ZAMS. Thus, in spite of the limiting masses imposed by the above
mentioned theoretical predictions, many more stars could be potential
LGRBs progenitors. The same arguments can also be extended to stars, of
the same and other masses, which are here excluded from the counting
because of their apparent low surface rotation. We discuss this issue
in Sect. 5.
In Fig. 3 the shaded
``E'' zone seems to show somewhat an unusual behavior compared to other
mass categories. Although we are not able to specify which of them is
dominant, four reasons may be used together to explain it: 1) the
smallness of the stellar sample which by chance perhaps favors the
highest
values; 2) fast evolution of massive stars in low-metallicity regions
that enables the initial high angular momentum to be retained; 3) the
overestimated
of massive Oe/Be stars because of some systematic non rotational line broadening effect, i.e. electron scattering, etc. (Zorec et al. 1992; Ballereau et al. 1995); 4) the stronger mass-loss in the more massive stars, so that their surface
ratio is less likely to increase during the MS lifespan, see for examples Meynet & Maeder (2000, Fig. 11) and Maeder & Meynet (2001, Fig. 4).
Hunter et al. (2008) indicated that, according to the distributions
of B stars they observed in GRB060505, the areas of LGRBs
progenitors could be more extended than expected from Yoon et al. (2006) model predictions. The age of this cluster is roughly 3-5 Myr (Bouret et al. 2003; Nota et al. 2006), there have been recent episodes of star formation and it hosted at least 1 supernova (Gouliermis et al. 2008). In this region there are also several classical Be stars and other emission-line objects (Hunter et al. 2008; Martayan et al. 2010; Wisniewski et al. 2007; Wisniewski & Bjorkman 2006).
![]() |
Figure 3:
Comparison of the (
|
Open with DEXTER |
3.2 Evolution of Oe/Be and WR stars
Some stars could start in the ZAMS as born Oe/Be objects, but lose this property during their MS life-span due to the spin-down produced by efficient mass-/angular momentum-loss phenomena. This can be the case of the massive Be stars in the MW, which are only found in the first half of the MS (Zorec et al. 2005). Contrary to the MW, the massive Oe/Be stars and Oe stars in the SMC are also present in the second half of the MS. These stars can then continue their post-MS steps by keeping fast rotational rates and evolve as chemically quasi-homogeneous objects towards the fast-rotating WR phase (Yoon et al. 2006). This prediction seems to be supported by Martins et al. (2009), who find that several SMC WR stars are certainly fast rotating objects.
The finding in Sect. 3.1 that the more massive members of the SMC Oe/Be population overlaps the LGRBs predicted progenitor area (Yoon et al. 2006), thanks to their masses and
rotation rates, which are today in the second half of their MS
evolutionary phase, makes them designed candidates for such chemically
quasi-homogeneous objects that can evolve towards the WR phase and
become LGRB progenitors later on.
Martayan et al. (2010) find that the ``Be phenomenon'' can be shared by more numerous stellar populations, favored possibly by the lower SMC metallicity, than in the MW. Since the theoretical predictions show that the lower the metallicity the lower is the stellar mass that can enter the LGRB progenitor area, it is expected that among the massive stars of the first generations, which are very metal poor, there might be a significantly large number of objects that could have undergone the ``Be phenomenon''. These stars could then have had the required physical conditions for being potential LGRB progenitors.
4 Predicted LGRBs rates from the Oe/Be star population and comparison with the observed ones
Another test of the ability of the Oe/Be stars in the SMC to be LGRBs progenitors is based on the estimation of the expected rate of LGRB events that these stars can afford. In the less favorable case, the predicted frequency must be of the same order of magnitude as the observed ones for this stellar population be considered a plausible candidate.
4.1 The SMC Oe/Be stellar population and selection of candidates
To estimate the LGRB rate from the SMC Oe/Be stellar population, we
need to identify the right spectral types to fill the mass requirements
of stars entering the theoretically predicted LGRB progenitor zone
shown in Fig. 3.
To this end, and knowing that we are dealing with fast rotators, we
used the models of stellar evolution with rotation for stars with SMC
metallicity calculated by Maeder & Meynet (2001). We interpolated the evolution paths from the ZAMS to the TAMS for the masses
and
.
The
corners thus obtained in the theoretical HR diagram were transformed into absolute magnitude-color pairs
using standard bolometric corrections and the OGLE-III color-magnitude
calibrations in current use. It follows from this that the main
sequence visual absolute magnitudes of SMC stars with
range from
mag to
,
while those of
do it from
mag to
.
A mass-spectral type correspondence for stars in the ZAMS has also been recently obtained by Huang & Gies (2006).
In accordance with the MK spectral-types for dwarf stars in the SMC calibration against the visual absolute
magnitude
used in (Martayan et al. 2010), the stars entering the LGRB progenitor zone in
Fig. 3 correspond then to those labeled with B1-O8 spectral types for rest and emission-less stars.
However, according to Hunter et al. (2008) the mass of the LGRBs progenitors could be as low as
.
In
this case, one should count stars a little cooler than spectral
type B1, i.e. from B1.5, up to O8 as potential LGRBs
progenitors with SMC metallicity. Stars from 14 to 33
evolve in the MS phase, so that their respective absolute magnitudes
remain rather constant and that the (V-I)0 color
changes by no more than
mag for 14
to
mag for
33
.
Moreover, in our [
]
diagram, all counted OB stars are located in quite
a narrow strip of
as a function of (V-I)0 (see Fig. 5 in Martayan et al. 2010), so that there cannot
be much confusion regarding the identification of stars by their masses with the employed photometric criterion.
The absolute magnitude intervals for 18 and
stars were established from evolutionary models where
the
parameters are averaged over the rotationally deformed stellar surfaces.
Actual stars show, however apparent hemisphere-dependent spectroscopic and photometric characteristics. There are
then at least two reasons, rotation- and Be phenomenon-related, for which still cooler spectral types than B1
should enter the counting: 1) fast-rotating stars appear with cooler apparent spectral types than stars with the
same mass at rest (Martayan et al. 2007; Frémat et al. 2005); 2) the largest number of candidate stars are selected using
photometric colors in the visible and near-IR, where both rotation and the presence of circumstellar disks make
the stars appear strongly reddened. We recall that reddening due to the circumstellar disks
mag are currently observed in Oe/Be stars (Moujtahid et al. 1998; Martayan et al. 2010; Moujtahid et al. 1999).
These two effects
make that the stars with photometrically determined spectral types can
appear from two to three subspectral types cooler than expected for
their intrinsic rest spectrum, so that in principle the counting could
start at spectral type B3.
As a consequence of the many effects determining the apparent spectral type of Oe/Be stars, the mass-spectral type mismatch can be high. Since the number of stars increases rapidly as the spectral type becomes cooler, we prefer to deal with a lower limit of counted candidates. We thus considered stars only from the apparent spectral type B2 and hotter. Once the number of all O/B stars, i.e. with and without emission lines, that enter the chosen range of spectral types in the SMC, we determine the number of Oe/Be stars using the frequencies of Be and Oe stars given by Martayan et al. (2010), which are based on a slitless survey of emission-line stars in the SMC.
![]() |
Figure 4: Spectral-types distribution of OB stars in the SMC counted with OGLE-III. |
Open with DEXTER |
Table 4: Counts of OB main sequence stars with and without emission in the SMC per spectral type with OGLE-III.
The counts of all O/B stars entering the desired spectral type ranges were performed using the new OGLE-III catalog (Udalski et al. 2008), which covers 14 square degrees, so that both the bar and the external fields of the SMC are covered. We note that OGLE-II data cover only 2.4 square degrees. Its use would require extrapolating the number of OB stars for regions off the bar to infer the total number of O/B stars in the SMC with the required spectral types.Table 5: LGRBs rates estimated with the first approach.
The stars were selected using the dereddened color diagram [
].
To do the correction for the ISM extinction, we calculated the mean
E[B-V] color excess based on the individual values from the SMC
clusters (see Pietrzynski & Udalski 1999), which amounts to 0.084 mag and is similar to the
E[B-V]=0.08 mag given by Keller et al. (1999). Then the absolute
and the dereddened (V-I)0 were obtained following the same process as described in Martayan et al. (2010).
Using the calibrations by Lang (1992) and Sagar & Cannon (1997), the E[V-I] is obtained by the formula:
![]() |
(4) |
where the second term is negligible with E[B-V]=0.084. And finally the (V-I)0
![]() |
(5) |
The number of OB stars in the SMC with and without emission lines so determined per subspectral type from B3 to O8 is shown in Fig. 4, and detailed in Table 4 for types between B3 and O8. The distribution in Fig. 4 shows that O and B-type stars basically follow the IMF except that the OGLE-III survey is not complete towards the late B stars, which explains the sudden decrease in counts at B9. We are finally left with the following reference number of objects to predict the rate of LGBRs events:
Since the FWHM of the OGLE-III PSF function is better than 1.34

In the next section we estimate the rates of LGRBs events and the number of LGRBs in the local universe. Their purpose is to get the range of uncertainties that can affect the estimate of rates depending on those inherent to stellar counts and the angles of beams.
4.2 Prediction of the LGRB rates
To predict the number of LGRBs seen from Earth, we consider only specific beaming angles. In a first step, we
determine the number of Oe/Be stars per spectral-type. We use for that the Be/(B+Be) and Oe/(O+Oe) ratios in the
SMC determined by Martayan et al. (2010). The numbers of stars being sought are given in Col. 2 of
Table 5, where the ranges stand for the uncertainties on the Be/B fractions. The yearly
frequency of LGRB events is then obtained by dividing the counts per mass category by the respective total
lifetime. The stellar ages used were interpolated among those obtained for this purpose by Yoon et al. (2006) for
stars between 13 and
with SMC metallicity. Assuming that the LGRBs only refer to single
fast-rotating stars, we remove the binaries from the counts. As from Porter & Rivinius (2003)
the binary rate is about 30% among Oe/Be stars, the obtained
above rates must be multiplied by 0.7; however, the exact ratio of
binaries in B-type stars is far from being well known. Among the
hottest ones and in particular for O stars, the frequency of binary
systems can reach 75% (Sana et al. 2009,2008). It is worth noting that only those
binaries should be removed where the interaction between the components is significant, which is not always the
case in Be-binary systems. Finally, we stress that the Martayan et al. (2010) survey is a single-epoch survey.
Because of the variable character of the Be phenomenon, according to Fabregat (2003) and McSwain et al. (2008)
one third of the Be stars can be missing. As a consequence, the final
range of rates of LGRBs is calculated by multiplying the above rates by
0.7/(1-1/3).
The LGRBs rates obtained for the SMC are called here the ``LGRB
base-rates''. They
represent the intrinsic rates that we generalize to all irregular
galaxies of Magellanic type, which are metal poor and can host LGRBs
progenitors. The LGRB base-rates are thus given by
In this relation,





Since the LGRB phenomenon is strongly collimated, to obtain the potential
rates that can be observed, in a second step we have to multiply the base-rates by the the probability that
beaming angle sweep the Earth. The beam angles
can range from 0.5
to 15
(Lamb et al. 2005; Fryer et al. 2007; Hirschi et al. 2005; Zeh et al. 2006; Watson et al. 2006). The probability that a beam of angle
be seen at Earth is:
Finally, to calculate the predicted yearly rate of LGRB events per average galaxy in a given volume of the Universe, we have to take the fraction of galaxies into account that have the required properties in this space to host LGRB progenitors. Let us then assume that the SMC properties regarding the frequency of fast rotators with low metallicity is partaken by the irregular Magellanic-type galaxies (Im-type), which are metal poor. We note this fraction as





Table 6:
Number of LGRBs predicted in the local universe ()
in 11 years.
We present the results for the angles
= : 5
,
10
,
and 15
,
which are used
by Podsiadlowski et al. (2004).
However, the angle
= : 5
according to Watson et al. (2006) is quite frequent.
The angle 10
is roughly in the middle of the observed interval of opening angles and the angle 15
was chosen because is nearly the most opened one, although the least
probable, but quite frequently evoked and used in the literature. It
then happens that
p = 0.0038 for an angle of 5
,
p = 0.015 for 10
,
and
p = 0.0341 for 15
.
As there are 2 cones in each LGRB event, the probability (8)
has to be multiplied by a factor 2. Thus, the predicted yearly
rates of LGRB events per average galaxy produced in the local Universe,
,
given in Cols. 4 to 6 of Table 5 were obtained from
The observed yearly rate of LGRB events per average galaxy that we use as a reference in this work to which we compare the predicted ones from OeBe stars is obtained from the total rate of GRBs, of which 2/3 are considered of long-duration. From the BATSE monitoring it is found that




Another way of comparing the predicted rates with the observed ones
is to determine the number of LGRBs observed in the local Universe up
to a given redshift z. The number of LGRB events that have taken place in the local Universe and have been
seen from Earth during the last Y years, is given by:
where

![[*]](/icons/foot_motif.png)

Using the GRBox from the University of California at Berkeley
for years between 1998 and 2008, there are 8 LGRBs (080108,
060614, 060505, 060218, 051109B, 031203, 030329A, 980425) and 3 SGRBs
(061201, 050709, 000607) with a redshift lower than 0.2. This
proportion of 73% of LGRB and 27% of SGRB agrees with the proportion of
75-25% as reported by Zhang & Mészáros (2004) for the LGRBs-SGRBs.
![]() |
Figure 5: Frequency of beam angles presented by Watson et al. (2006) and Zeh et al. (2006). |
Open with DEXTER |
Zeh et al. (2006) and Watson et al. (2006) have studied the distribution of opening angles, which is reproduced in
Fig. 5. If the LGRB event rate was estimated considering this distribution of beam angles, the
probability factor in relation (9) had to be replaced by the integrated probability P given by
where





Very recently, Georgy et al. (2009) has tried to reproduce the observed rates of LGRBs with models of WR stars. Although they obtained higher values of LGRBs rates than what observations seem to indicate, these authors conclude that only a fraction of WC/WO stars among those that initially were rapid rotators could produce gamma ray events. This fast-rotation argument may then focus some interest on stars with the characteristics discussed in the present work.
The counts of Oe/Be candidates for LGRB progenitors, as they
were done here, however, represents a mere lower limit. Stars with
masses corresponding to rest B0-B1 spectral types that rotate at
following the requirements shown in Fig. 3
then display apparent spectral types cooler by at least one subspectral
type. A prudent lower limit set at spectral type B2, would nevertheless
enhance our predictions by a rough factor 2, as seen from counts
displayed in (6), or Tables 5 and 6.
However, massive fast rotators without emission lines should also be
considered potential LGRBs progenitors as we see in Sect. 5.2, so that the final predicted rates may widely surpass the observed ones.
5 Other phenomena and possible biases in the LGRBs rate determination
5.1 Binaries
If the LGRBs could also occur in a binary system (Cantiello et al. 2007; van den Heuvel & Yoon 2007) under the same conditions as fast rotation and chemical composition, the rates we estimated above should be multiplied by 1/0.7. However, the results from Langer & Norman (2006) suggest that the binary evolutionary path is unlikely to produce LGRBs when they are associated with metal-poor galaxies (Kewley et al. 2007).
5.2 Fast rotators without emission lines
The ZAMS rotational velocities of Oe/Be stars in the MW form the tail of a true rotational velocity distribution
that starts at a velocity limit given by
(Zorec et al. 2007).
The tail of the velocity distribution formed by the Oe/Be stars can be
represented with a Gaussian function, whose dispersion is also
mass-dependent and is roughly given by
(Zorec et al. 2007).
This implies that there are rotators that
can only acquire the Be phenomenon at the very end of their MS
evolutionary phase, which cannot be seen as Oe/Be stars today. On the
other hand, there are also fast rotating stars in the ZAMS that have
slightly lower rotational velocities than
required to become Oe/Be, which will never display emission lines.
However, it can easily be shown that they have a global specific
angular momentum that is equal to or
larger than given by Eq. (2), so that they certainly have enough angular momentum to be considered as candidates for LGRBs progenitors.
Let us also take into account those objects which in principle have the
required angular momentum but were not included in our counting to
derive the LGRBs rate. To this end we assume that they are rigid
rotators. The equatorial velocity of all those having the specific
angular momentum given by Eq. (2) is readily calculated to give
.
The fraction of objects yet not included in the estimated LGRB rates is then represented by the correcting factor q calculated as
for which, as noted above, we have taken the high velocity tail






Finally, from the equatorial velocity
required to attain the stellar specific angular momentum of the order given by Eq. (2), we derive the angular velocity ratios that range from
to 0.52 for stars in the E-category in the ZAMS. This means that the LGRBs progenitor area: E mass-category of Fig. 3,
can be entirely covered by the O/B-type fast rotators. Assuming that
the distribution of the rotational velocities of the stars entering the
LGRBs progenitor region in Fig. 3 foreseen by Yoon et al. (2006) is the same as used to calculated the fraction q in relation (12), it follows that our E mass group represents 44% of the stellar population in the LGRBs region.
5.3 Differential rotators
Models of stars that start in the ZAMS as rigid rotators, transform their original internal uniform angular
velocity into a profile of differential rotation, where the stellar core rotates faster than the envelope
Meynet & Maeder (2000), in no more than 2-3% of their MS lifespan. The latest theoretical works of stellar evolution
with rotation claim, however, that magnetic fields through the Tayler-Spruit instability
(Spruit 1999; Maeder & Meynet 2005; Yoon et al. 2006; Spruit 2002) are able to maintain the rigid rotation. Nevertheless, a recent
critical discussion of the efficiency of the Tayler-Spruit instability by Zahn et al. (2007)
shows that the action of magnetic fields can be much less efficient
than previously thought. In all works of stellar structure, it is also
assumed that convection imposes
.
A number of discussions show that convection likely redistributes the specific angular momentum
rather than
,
which implies that in the convection zones the angular velocity should be
,
where p is a positive quantity (Deupree 1998; Tayler 1973). In the Sun, the differential
rotation exists precisely in the convective zones! Since the stars do not start their life in the ZAMS, but have
passed though a long story before this phase, their internal rotation could already be differential in the ZAMS
and with a larger content of angular momentum than just the allowed by a profile of rigid rotation. For an average star of
,
it is then a simple matter to calculate what must be in order of magnitude its ZAMS ratio of energies
,
higher than some maximum
allowed by the
rigid rotation (K is the rotational kinetic energy; W is the gravitational potential energy) in order for the
star to keep up the same appearance as a rigid rotator throughout its MS evolutionary span. For that, we
simply ask that the star fulfill at least two requirements: a) at any Lagrangian mass-coordinate the star never
reaches the fateful limit
,
which can make it secularly unstable and would tend to transform
the delimited stellar volume into a three-axial Jacobian ellipsoid; b) during the whole MS phase it has on the
surface
.
Calculations show that these conditions can be fulfilled by
,
which is roughly two times
in the ZAMS.
If by chance O/B stars started their MS life span as neat differential rotators with
,
the internal mixing processes can be strong in a large number of stars
where this phenomenon is
unexpected a priori because of their apparently slow rotation. Then
make their chemical composition attain the required properties to
become potential LGRBs progenitors. Consequently, the estimate of the
SMC
rate we made in this paper might still be increased with stars of a
wider variety of masses and apparent low surface velocities.
5.4 Underluminous GRBs
Recently, it has been discovered that underluminous GRBs (Foley et al. 2008; Fryer et al. 2007)
could not be observed by the gamma ray satellites or not be classified
as a GRB. According to these authors, this finding indicates that there
may be a population of events that are less luminous but are possibly
from 10 to 102 times more frequent. If these events are also considered, the local rate of GRBs could then amount to
LGRBs/year/galaxy.
If correct, this last rate will indicate that other masses or kinds of
stars can also be concerned such as less-massive B stars, in particular
Bn stars. these stars are objects with spectral types that are most
frequently later than B7. Moreover, they are fast rotators that do
not have emission lines.
5.5 Other possible progenitors
According to Hammer et al. (2006), runaway WR stars could be another potential progenitor, but it is very difficult to estimate their impact on the LGRBs rates.
5.6 The ``first stars'' and the LGRBs
Using the GRBox from 1998 to 2009, we computed the statistics of GRBs by type with intermediate ()
and high redshifts (
). In the intermediate-z category, most of the GRBs are found to be long-GRBs (29 LGRBs, 2 SGRBs, 8 unknown). In the high-z
category, the result is similar, 6 are LGRBs or type II, 2 are
unknown, and 0 are SGRBs. The very high redshift GRB080913 was
reclassified as a type II GRB by Zhang et al. (2009). And the most distant object known, GRB 090423, which has a redshift of 8.2, is also an LGRB or type II GRB (Salvaterra et al. 2009; Tanvir et al. 2009; Zhang et al. 2009). According to Salvaterra et al. (2009), the properties of the very-high redshift LGRBs are similar to those of low/intermediate redshift. According to Yoon et al. (2006) models, the number of LGRBs should increase with the redshift and the decrease in Z
until the first stars. However, the number of LGRBs, which can
originate in Pop III stars, is limited by this type of population. At
high redshift it is expected that the stars have very low metallicity
and are similar to the first stars. In this case, they can reach
rotational velocities as high as 800 km s-1, or even higher, as shown by Chiappini et al. (2006) and Ekström et al. (2008a). Ekström et al. (2008a) and Meynet & Maeder (2007)
show that these stars can also retain enough angular momentum in their
core to collapse into black holes and produce an LGRB. Moreover, Hirschi (2007)
show that the stars with extremely low metallicity can rotate very fast
and produce LGRBs. All these theoretical results agree with the
statistics reported above and indicate that the stellar rotation close
to the breakup velocity, as in the Be-phenomenon at low metallicity, is
a key ingredient for the production of LGRBs. As a consequence, the
LGRBs at high redshift should find their origin in the fast-rotating
first stars.
6 Conclusion
While the first models focused primarily on fast-rotating
WR stars as probable progenitors LGRBs, the latest developments
indicate that fast-rotating, low-metallicity massive B- and O-type
stars could also be behind the LGRBs. Such massive B- and O-type stars
can actually be the Be and Oe stars of low metallicity found in the
SMC. To test this assumption, we used fundamental parameters derived
for Oe/Be stars in the SMC observed with VLT-FLAMES instruments. We
first compared the average determined
for several mass subsamples of SMC Oe/Be stars with the theoretically
predicted rotational velocities. We found that today these objects on
average have a surface angular velocity ratio
0.99.
Then, we determined the ZAMS rotational velocities again for Be stars
in the SMC that we had studied in previous works and determined the
ZAMS rotational velocities for a new subsample composed by SMC Oe
stars. The average angular velocity rate of all these objects in the
ZAMS is
.
The ZAMS
rates
thus determined were compared with those of fast-rotating massive stars
foreseen by model calculations of LGRBs progenitors having an initial
metallicity similar to the average one in the SMC. This comparison
indicates that massive Oe/Be stars in the SMC could certainly have the
properties required to be taken as LGRBs progenitors. A lower limit of
17% of galaxies in the near Universe are of irregular Magellanic-type
that, by definition, all have metallicities
.
All can then host LGRBs progenitors. From the discussion it appears
that not only can massive Oe/Be stars be LGRBs progenitors, but a
larger population of O/B stars without emission, which are less
massive and with apparent lower surface rotation velocities, can also
partake of this quality. The total number of LGRBs estimated from the
Oe/Be star populations based on spotted beaming angles and counts from
B0-B1 to O8 stars is on average
to
LGRBs/yr/galaxy, which represent
to 14 in 11 years.
These predictions increase beyond the observed ones, if the stellar
counting starts at spectral types B1-B2, in accordance with the
apparent spectral types of massive fast rotators. Massive fast rotators
without emission lines can still enhance these predictions by more than
30%. On account of all possible uncertainties that may affect the
calculated and the observed rates of LGRBs in the local Universe, we
can consider that both overlap correctly. Young star formation regions
in the SMC like NGC 346 could then have hosted or will host one
LGRB in the next Myrs.
The authors acknowledge the referee R. Hirschi for his very useful comments, that helped to clarify and improve this article. The GRBOX is created and maintained by Daniel Perley (UC, Berkeley). C.M. thanks C. Ledoux for useful information about the under luminous GRBs. This research has made use of the Simbad and Vizier databases maintained at the CDS, Strasbourg, France, of NASA's Astrophysics Data System Bibliographic Services, and of the NASA/IPAC Infrared Science Archive, which is operated by the Jet Propulsion Laboratory, California Institute of Technology, under contract with the US National Aeronautics and Space Administration. This publication makes use of data products from the Two Micron All Sky Survey, which is a joint project of the University of Massachusetts and the Infrared Processing and Analysis Center/California Institute of Technology, funded by the National Aeronautics and Space Administration and the National Science Foundation.
References
- Ballereau, D., Chauville, J., & Zorec, J. 1995, A&AS, 111, 423 [NASA ADS] [Google Scholar]
- Bouret, J.-C., Lanz, T., Hillier, D. J., et al. 2003, ApJ, 595, 1182 [NASA ADS] [CrossRef] [Google Scholar]
- Campana, S., Panagia, N., Lazzati, D., et al. 2008, ApJ, 683, L9 [NASA ADS] [CrossRef] [Google Scholar]
- Cantiello, M., Yoon, S.-C., Langer, N., & Livio, M. 2007, A&A, 465, L29 [NASA ADS] [CrossRef] [EDP Sciences] [Google Scholar]
- Chandrasekhar, S., & Münch, G. 1950, ApJ, 111, 142 [NASA ADS] [CrossRef] [MathSciNet] [Google Scholar]
- Chauville, J., Zorec, J., Ballereau, D., et al. 2001, A&A, 378, 861 [NASA ADS] [CrossRef] [EDP Sciences] [Google Scholar]
- Chiappini, C., Hirschi, R., Meynet, G., et al. 2006, A&A, 449, L27 [NASA ADS] [CrossRef] [EDP Sciences] [Google Scholar]
- Deupree, R. G. 1998, ApJ, 499, 340 [NASA ADS] [CrossRef] [Google Scholar]
- Domiciano de Souza, A., Kervella, P., Jankov, S., et al. 2003, A&A, 407, L47 [NASA ADS] [CrossRef] [EDP Sciences] [Google Scholar]
- Ekström, S., Meynet, G., Chiappini, C., Hirschi, R., & Maeder, A. 2008a, A&A, 489, 685 [NASA ADS] [CrossRef] [EDP Sciences] [Google Scholar]
- Ekström, S., Meynet, G., Maeder, A., & Barblan, F. 2008b, A&A, 478, 467 [NASA ADS] [CrossRef] [EDP Sciences] [Google Scholar]
- Fabregat, J. 2003, in Interplay of Periodic, Cyclic and Stochastic Variability in Selected Areas of the H-R Diagram, ed. C. Sterken, ASP Conf. Ser., 292, 65 [Google Scholar]
- Foley, S., McGlynn, S., Hanlon, L., McBreen, S., & McBreen, B. 2008, A&A, 484, 143 [NASA ADS] [CrossRef] [EDP Sciences] [Google Scholar]
- Frémat, Y., Zorec, J., Hubert, A.-M., & Floquet, M. 2005, A&A, 440, 305 [NASA ADS] [CrossRef] [EDP Sciences] [Google Scholar]
- Frémat, Y., Neiner, C., Hubert, A.-M., et al. 2006, A&A, 451, 1053 [NASA ADS] [CrossRef] [EDP Sciences] [Google Scholar]
- Fryer, C. L., Mazzali, P. A., Prochaska, J., et al. 2007, PASP, 119, 1211 [NASA ADS] [CrossRef] [Google Scholar]
- Georgy, C., Meynet, G., Walder, R., Folini, D., & Maeder, A. 2009, A&A, 502, 611 [NASA ADS] [CrossRef] [EDP Sciences] [Google Scholar]
- Gouliermis, D. A., Chu, Y.-H., Henning, T., et al. 2008, ApJ, 688, 1050 [NASA ADS] [CrossRef] [Google Scholar]
- Hammer, F., Flores, H., Schaerer, D., et al. 2006, A&A, 454, 103 [NASA ADS] [CrossRef] [EDP Sciences] [Google Scholar]
- Hirschi, R. 2007, A&A, 461, 571 [NASA ADS] [CrossRef] [EDP Sciences] [Google Scholar]
- Hirschi, R., Meynet, G., & Maeder, A. 2005, A&A, 443, 581 [NASA ADS] [CrossRef] [EDP Sciences] [Google Scholar]
- Huang, W., & Gies, D. R. 2006, ApJ, 648, 580 [NASA ADS] [CrossRef] [Google Scholar]
- Hunter, I., Lennon, D. J., Dufton, P. L., et al. 2008, A&A, 479, 541 [NASA ADS] [CrossRef] [EDP Sciences] [Google Scholar]
- Iwamoto, K., Mazzali, P. A., Nomoto, K., et al. 1998, Nature, 395, 672 [NASA ADS] [CrossRef] [Google Scholar]
- Iwamoto, K., Nakamura, T., Nomoto, K., et al. 2000, ApJ, 534, 660 [NASA ADS] [CrossRef] [Google Scholar]
- Kawaler, S. D. 1987, PASP, 99, 1322 [NASA ADS] [CrossRef] [Google Scholar]
- Keller, S. C., Wood, P. R., & Bessell, M. S. 1999, A&AS, 134, 489 [NASA ADS] [CrossRef] [EDP Sciences] [Google Scholar]
- Kewley, L. J., Brown, W. R., Geller, M. J., Kenyon, S. J., & Kurtz, M. J. 2007, AJ, 133, 882 [NASA ADS] [CrossRef] [Google Scholar]
- Lamb, D. Q., Donaghy, T. Q., & Graziani, C. 2005, ApJ, 620, 355 [NASA ADS] [CrossRef] [Google Scholar]
- Lang, K. R. 1992, Astrophysical data, Planets and Stars (New York: Springer Verlag Eds) [Google Scholar]
- Langer, N., & Norman, C. A. 2006, ApJ, 638, L63 [NASA ADS] [CrossRef] [Google Scholar]
- MacFadyen, A. I., & Woosley, S. E. 1999, ApJ, 524, 262 [NASA ADS] [CrossRef] [Google Scholar]
- Maeder, A., Grebel, E. K., & Mermilliod, J.-C. 1999, A&A, 346, 459 [NASA ADS] [Google Scholar]
- Maeder, A., & Meynet, G. 2001, A&A, 373, 555 [NASA ADS] [CrossRef] [EDP Sciences] [Google Scholar]
- Maeder, A., & Meynet, G. 2005, A&A, 440, 1041 [NASA ADS] [CrossRef] [EDP Sciences] [Google Scholar]
- Martayan, C., Baade, D., & Fabregat, J. 2010, A&A, 509, A11 [NASA ADS] [CrossRef] [EDP Sciences] [Google Scholar]
- Martayan, C., Frémat, Y., Hubert, A.-M., et al. 2007, A&A, 462, 683 [NASA ADS] [CrossRef] [EDP Sciences] [Google Scholar]
- Martins, F., Hillier, D. J., Bouret, J. C., et al. 2009, A&A, 495, 257 [NASA ADS] [CrossRef] [EDP Sciences] [Google Scholar]
- McSwain, M. V., Huang, W., Gies, D. R., Grundstrom, E. D., & Townsend, R. H. D. 2008, ApJ, 672, 590 [NASA ADS] [CrossRef] [Google Scholar]
- Meilland, A., Stee, P., Vannier, M., et al. 2007, A&A, 464, 59 [Google Scholar]
- Meynet, G., & Maeder, A. 2000, A&A, 361, 101 [NASA ADS] [Google Scholar]
- Meynet, G., & Maeder, A. 2002, A&A, 390, 561 [NASA ADS] [CrossRef] [EDP Sciences] [Google Scholar]
- Meynet, G., & Maeder, A. 2007, A&A, 464, L11 [NASA ADS] [CrossRef] [EDP Sciences] [Google Scholar]
- Modjaz, M., Kewley, L., Kirshner, R. P., et al. 2008, AJ, 135, 1136 [NASA ADS] [CrossRef] [Google Scholar]
- Moujtahid, A., Zorec, J., Hubert, A. M., Garcia, A., & Burki, G. 1998, A&AS, 129, 289 [Google Scholar]
- Moujtahid, A., Zorec, J., & Hubert, A. M. 1999, A&A, 349, 151 [NASA ADS] [Google Scholar]
- Nota, A., Sirianni, M., Sabbi, E., et al. 2006, ApJ, 640, L29 [NASA ADS] [CrossRef] [Google Scholar]
- Pasquini, L., Avila, G., Blecha, A., et al. 2002, The Messenger, 110, 1 [NASA ADS] [Google Scholar]
- Pietrzynski, G., & Udalski, A. 1999, Acta Astron., 49, 157 [Google Scholar]
- Podsiadlowski, P., Mazzali, P. A., Nomoto, K., Lazzati, D., & Cappellaro, E. 2004, ApJ, 607, L17 [NASA ADS] [CrossRef] [Google Scholar]
- Porter, J. M., & Rivinius, T. 2003, PASP, 115, 1153 [NASA ADS] [CrossRef] [Google Scholar]
- Rocca-Volmerange, B., de Lapparent, V., Seymour, N., & Fioc, M. 2007, A&A, 475, 801 [NASA ADS] [CrossRef] [EDP Sciences] [Google Scholar]
- Sabbi, E., Gallagher, J. S., Tosi, M., et al. 2009, ApJ, 703, 721 [NASA ADS] [CrossRef] [Google Scholar]
- Sagar, R., & Cannon, R. D. 1997, A&AS, 122, 9 [Google Scholar]
- Salvaterra, R., Valle, M. D., Campana, S., et al. 2009, Nature, 461, 1258 [NASA ADS] [CrossRef] [PubMed] [Google Scholar]
- Sana, H., Gosset, E., & Evans, C. J. 2009, MNRAS, 1653 [Google Scholar]
- Sana, H., Gosset, E., Nazé, Y., Rauw, G., & Linder, N. 2008, MNRAS, 386, 447 [NASA ADS] [CrossRef] [Google Scholar]
- Skrutskie, M. F., Cutri, R. M., Stiening, R., et al. 2006, AJ, 131, 1163 [NASA ADS] [CrossRef] [Google Scholar]
- Spruit, H. C. 1999, A&A, 349, 189 [NASA ADS] [Google Scholar]
- Spruit, H. C. 2002, A&A, 381, 923 [NASA ADS] [CrossRef] [EDP Sciences] [Google Scholar]
- Tanvir, N. R., Fox, D. B., Levan, A. J., et al. 2009, Nature, 461, 1254 [NASA ADS] [CrossRef] [PubMed] [Google Scholar]
- Tayler, R. J. 1973, MNRAS, 165, 39 [NASA ADS] [Google Scholar]
- Thöne, C. C., Fynbo, J. P. U., Östlin, G., et al. 2008, ApJ, 676, 1151 [NASA ADS] [CrossRef] [Google Scholar]
- Townsend, R. H. D., Owocki, S. P., & Howarth, I. D. 2004, MNRAS, 350, 189 [Google Scholar]
- Tutukov, A. V., & Fedorova, A. V. 2007, Astron. Rep., 51, 847 [NASA ADS] [CrossRef] [Google Scholar]
- Udalski, A., Soszynski, I., Szymanski, M. K., et al. 2008, Acta Astron., 58, 329 [NASA ADS] [Google Scholar]
- van den Heuvel, E. P. J., & Yoon, S.-C. 2007, Ap&SS, 311, 177 [NASA ADS] [CrossRef] [Google Scholar]
- van Marle, A. J., Langer, N., Yoon, S.-C., & García-Segura, G. 2008, A&A, 478, 769 [NASA ADS] [CrossRef] [EDP Sciences] [Google Scholar]
- Vinicius, M. M. F., Zorec, J., Leister, N. V., & Levenhagen, R. S. 2006, A&A, 446, 643 [NASA ADS] [CrossRef] [EDP Sciences] [Google Scholar]
- Watson, D., Hjorth, J., Jakobsson, P., et al. 2006, A&A, 454, L123 [NASA ADS] [CrossRef] [EDP Sciences] [Google Scholar]
- Wisniewski, J. P., & Bjorkman, K. S. 2006, ApJ, 652, 458 [NASA ADS] [CrossRef] [Google Scholar]
- Wisniewski, J. P., Bjorkman, K. S., Magalhães, A. M., et al. 2007, ApJ, 671, 2040 [NASA ADS] [CrossRef] [Google Scholar]
- Woosley, S. E. 1993, ApJ, 405, 273 [NASA ADS] [CrossRef] [Google Scholar]
- Woosley, S. E., & Bloom, J. S. 2006, ARA&A, 44, 507 [NASA ADS] [CrossRef] [Google Scholar]
- Woosley, S. E., & Heger, A. 2006, ApJ, 637, 914 [NASA ADS] [CrossRef] [Google Scholar]
- Yoon, S.-C., Langer, N., & Norman, C. 2006, A&A, 460, 199 [NASA ADS] [CrossRef] [EDP Sciences] [Google Scholar]
- Zahn, J.-P., Brun, A. S., & Mathis, S. 2007, A&A, 474, 145 [NASA ADS] [CrossRef] [EDP Sciences] [Google Scholar]
- Zeh, A., Klose, S., & Kann, D. A. 2006, ApJ, 637, 889 [NASA ADS] [CrossRef] [Google Scholar]
- Zhang, B., & Mészáros, P. 2004, Int. J. Mod. Phys. A, 19, 2385 [NASA ADS] [CrossRef] [Google Scholar]
- Zhang, B., Zhang, B., Virgili, F. J., et al. 2009, ApJ, 703, 1696 [NASA ADS] [CrossRef] [Google Scholar]
- Zorec, J. 1986, Structure et rotation différentielle dans les étoiles B avec et sans emission (Paris: Université VII) [Google Scholar]
- Zorec, J., Mochkovitch, R., & Divan, L. 1988, Academie des Sciences Paris Comptes Rendus Serie B Sciences Physiques, 306, 1265 [Google Scholar]
- Zorec, J., Ballereau, D., Chauville, J., & Garcia, A. 1992, Academie des Science Paris Comptes Rendus Serie B Sciences Physiques, 314, 1429 [NASA ADS] [Google Scholar]
- Zorec, J., Frémat, Y., & Cidale, L. 2005, A&A, 441, 235 [NASA ADS] [CrossRef] [EDP Sciences] [Google Scholar]
- Zorec, J., Frémat, Y., Martayan, C., Cidale, L. S., & Torres, A. F. 2007, in Active OB-Stars: Laboratories for Stellare and Circumstellar Physics, ed. A. T. Okazaki, S. P. Owocki, & S. Stefl, ASP Conf. Ser., 361, 539 [Google Scholar]
Footnotes
- ...Martayan et al. (2007)
- Based on observations at the European Southern Observatory, Chile under project number 072.D-0245(A) and (C).
- ...
``observed''
- Actually,
must be understood as values inferred from observed
ratios through model predicted tracks of the stellar rotational velocity.
- ...(Skrutskie et al. 2006)
- See also http://www.haydenplanetarium.org/universe/ duguide/exgg_twomass.php
- ... Berkeley
- See http://lyra.berkeley.edu/grbox/grbox.php?starttime=670702&endtime=091231
All Tables
Table 1: Values of the rotational velocities for Be and Oe stars for several average mass categories.
Table 2:
Ratios of the ZAMS
per mass category of SMC Oe/Be stars.
Table 3:
Ratios of the ZAMS
per mass category of SMC Oe/Be stars corrected for the effect of magnetic field from the comparison between Ekström et al. (2008b) and Yoon et al. (2006) models.
Table 4: Counts of OB main sequence stars with and without emission in the SMC per spectral type with OGLE-III.
Table 5: LGRBs rates estimated with the first approach.
Table 6:
Number of LGRBs predicted in the local universe ()
in 11 years.
All Figures
![]() |
Figure 1:
Comparison of the average observed rotational velocities SMC of Oe/Be
stars with the locus of theoretical velocities for the SMC metallicity.
The curves are for model stars that attain the surface angular velocity
ratios
|
Open with DEXTER | |
In the text |
![]() |
Figure 2: Inferred ZAMS rotational velocities of SMC Oe/Be stars (triangles) compared with model SMC ZAMS rotational velocities from Ekström et al. (2008b) (dashed curves). |
Open with DEXTER | |
In the text |
![]() |
Figure 3:
Comparison of the (
|
Open with DEXTER | |
In the text |
![]() |
Figure 4: Spectral-types distribution of OB stars in the SMC counted with OGLE-III. |
Open with DEXTER | |
In the text |
![]() |
Figure 5: Frequency of beam angles presented by Watson et al. (2006) and Zeh et al. (2006). |
Open with DEXTER | |
In the text |
Copyright ESO 2010
Current usage metrics show cumulative count of Article Views (full-text article views including HTML views, PDF and ePub downloads, according to the available data) and Abstracts Views on Vision4Press platform.
Data correspond to usage on the plateform after 2015. The current usage metrics is available 48-96 hours after online publication and is updated daily on week days.
Initial download of the metrics may take a while.