Issue |
A&A
Volume 516, June-July 2010
|
|
---|---|---|
Article Number | A35 | |
Number of page(s) | 11 | |
Section | Galactic structure, stellar clusters, and populations | |
DOI | https://doi.org/10.1051/0004-6361/200913122 | |
Published online | 23 June 2010 |
Obscured clusters.
III. Follow-up observations of Mercer 23![[*]](/icons/foot_motif.png)
M. M. Hanson1 - R. Kurtev2 - J. Borissova2 - L. Georgiev3 - V. D. Ivanov4 - D. J. Hillier5 - D. Minniti6
1 - Department of Physics, University of Cincinnati, Cincinnati, OH 45221-0011, USA
2 -
Departamento de Fisíca y Astronomía, Facultad de
Ciencias, Universidad de Valparaíso, Av. Gran Bretaña 1111,
Playa Ancha, Casilla 5030, Valparaíso, Chile
3 -
Instituto de Astronomia, Universidad Nacional Autónoma de México,
Apartado Postal 70-254, CD Universitaria, CP 04510 Mexico DF, Mexico
4 -
European Southern Observatory, Ave. Alonso de Cordova 3107, Casilla 19, Santiago 19001, Chile
5 -
Department of Physics and Astronomy, University of Pittsburgh, Pittsburgh, PA 15260, USA
6
- Departamento de Astronomía y Astrofísica, Pontificia Universidad
Católica de Chile, Avenida Vicuña Mackenna 4860, 782-0436 Macul,
Santiago, Chile and Vatican Observatory, V00120 Vatican City State,
Italy
Received 15 August 2009 / Accepted 13 April 2010
Abstract
Context. New infrared surveys have revealed over 1000 new
open cluster candidates in the Milky Way, but these candidates need to
be confirmed with follow up observations. Of particular interest are
young, massive star clusters because they serve as nearby analogues to
the distant super star clusters studied as point sources in other
galaxies.
Aims. We determine the physical parameters and investigate the
high-mass stellar content of the infrared star cluster Mercer 23,
situated near the Galactic plane (
,
).
Methods. Our analysis is based on new Baade/PANIC
and ISAAC/VLT imaging of Mercer 23 and ISAAC/VLT moderate resolution (
)
spectroscopy of the brightest cluster members in the H- and K-bands.
The cluster age is determined from isochrone main-sequence (MS) and
pre-MS fitting. We derive stellar parameters for eight of the stellar
members, using a full non-LTE modeling of the obtained spectra.
Results. Mercer 23 is a very young cluster, with age of t=2-4 Myr. The cluster suffers reddening of E(J-) = 1.35, AV=7.2 mag. The derived distance is
kpc.
Our spectral modeling allows us to conclude that the three most
luminous member are evolved highly massive stars: a WR star, and two
mid-O supergiant stars, based on their derived luminosity.
Conclusions. Mercer 23 is not a super-massive cluster such
as those recently recognized to exist in the Milky Way. However, its
mass estimate of 4-
and possibly more, puts it in the class of young Galactic clusters hosting WR stars.
Key words: Galaxy: open clusters and associations: general - stars: Wolf-Rayet - open clusters and associations: individual: [MCM2005b] 23
1 Introduction
The study of massive Milky Way star clusters has been propelled to a new level of urgency with the recent recognition that Westerlund 1, known to Galactic astronomers for almost 50 years, has a mass in the range of extragalactic super star clusters (SSCs). SSCs have been of great interest and considerable study by extragalactic astronomers since their discovery some 15 or more years ago (Holtzman et al. 1992). Critical questions about the cluster mass function (CMF), cluster disruption times, and whether there exists a global or locally dependent upper mass limit for stellar clusters, are central to the current debates of astronomers studying extragalactic stellar clusters (Gieles 2009). By it's new association to SSCs, these same critical questions now extend to studies of our Milky Way stellar clusters.
Despite their distance, the CMF within other galaxies is considerably easier to derive than in our local Milky Way because the entire galaxy (when mostly face on) is clearly in view. To be sure, biases exist in the interpretation of extragalactic observations, but selection effects like those endured by researchers searching our own Milky Way seem negligible by comparison. Yet, how do the numbers look presently in the Milky Way and does it fit into the scenario laid out by extragalactic astronomers studying stellar clusters in distant spirals? New, deep, infrared surveys (2 MASS, DENIS, GLIMPSE, ongoing VISTA-VVV Survey, Minniti et al. 2010) provide great promise in reducing the selection effects which plagued decades of optical surveys in the Milky Way. Following the release of these surveys, a cottage industry has blossomed in the identification of new, candidate Milky Way star clusters (Dutra & Bica 2000; Dutra et al. 2003; Bica et al. 2003; Mercer et al. 2005; Froebrich et al. 2007).
Several years ago we embarked on a long-term project to observe candidate star clusters in the inner Milky Way and to study them in much greater detail (Borissova et al. 2003, 2005, 2006, 2008; Ivanov et al. 2002, 2005; Kurtev et al. 2007, 2008, 2009; Hanson et al. 2008). Initially, this project was based on cluster candidates located with the 2MASS mission (Skrutskie et al. 2006), taking advantage of the reduced extinction in the near-IR. However, recent advances in mid-IR instrumentation have made it possible to carry out all-sky IR surveys in this spectral region, too. The recent Spitzer Space Telescope Galactic Legacy Infrared Mid-Plane Survey Extraordinaire (GLIMPSE, Benjamin et al. 2003) offers an excellent opportunity to carry out an even deeper census of such objects than was possible with 2MASS. GLIMPSE is an excellent tool for finding obscured clusters in the Galactic disk because the extinction in the mid-IR is a factor of 2-5 lower than in the near-IR.
Recently, Mercer et al. (2005)
carried out a comprehensive search for clusters in the mid-IR using the
point source catalog of GLIMPSE. They reported 92 cluster candidates
worthy of follow up study. In this study, we continue the investigation
of one of these candidate Mercer clusters, [MCM2005b] 23
(hereafter Mercer 23). Other identifiers of this cluster are DSH
J1930.2+1832 and Teutsch 42 Kronberger et al. (2006).
They determined the reddening, distance and age of the cluster using
2 MASS photometry and solar metallicity Padova isochrones.
Kronberger et al. (2006) determined the visual diameter of the cluster of 1.2 arcmin, E(B-V) = 2.55,
distance to the cluster 1.6 Kpc and age of 32 Myr. They also
pointed out the presence of the X-ray source 2E 1928.0+1825 = 2RXP
J193013.8+183216 (Harris et al. 1994) located very close to the cluster center at the distance of 12 10 arcsec (ROSAT 2000).
In this paper, we report our first results for Mercer 23 (Fig. 1) - a compact young cluster located near the Galactic plane (
,
)
containing at least two very massive, evolved members, and one WR star.
The cluster membership provides observational constraints upon the age
and initial mass of short-lived evolved, massive stars. In this paper
we present the main results of our near-IR photometric and
mid-resolution spectral analysis of the cluster stars and its newly
discovered WR star.
![]() |
Figure 1:
Lower left, the GLIMPSE Spitzer Space Telescope true color image of the region around Mercer 23 from [3.6], [4.5], [5.8] bands. Upper right, the true color composite image from JHK PANIC frames covers approximately 2 |
Open with DEXTER |
2 Observations and data reduction
2.1 Photometry
Broadband
imaging of Mercer 23 was carried out with the near-IR imager PANIC (Martini et al. 2004)
at the 6.5-m Baade telescope at the Las Campanas Observatory and with
the ALADDIN detector of the ISAAC, VLT, ESO. The PANIC instrument uses
a 1024
1024 HgCdTe Hawaii detector array; the scale is 0.125 arcsec
giving a total field of view of
arcmin. The ALADDIN array has pixel scale of 0.1478 arcsec pixel-1 and the maximum field of view is
arcsec.
All observations are made in jittering mode with 20 arcsec jitter
box size under moderate atmospheric conditions (seeing
0.8-1.2 arcsec). The observing log is given in Table 1, and three-color composite images of Mercer 23 are shown in Fig. 1.
Table 1: The log of observations of Mercer 23.
Table 2: Positional and photometric data for spectroscopically observed stars in Mercer 23.
The images are reduced following the ``standard'' procedures for the
infrared, which include flat-fielding, sky subtraction, alignment and
combination into a final image. The photometry was obtained using the
DAOPHOT package within the Image Reduction and Analysis Facility (IRAF).
All observing runs (obtained with the PANIC and ALADDIN imagers) were
reduced independently. The typical photometric errors vary from
0.01 mag for stars with
mag to 0.10 mag for
mag and 0.15 mag for
mag.
The photometric calibration was performed by comparing our instrumental
magnitudes with the 2 MASS measurements of about 1330 stars,
covering the color range
J-
mag and magnitude range
mag.
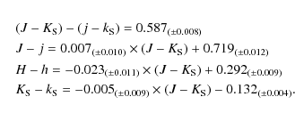
A least squares fit of the instrumental
PANIC jhk magnitudes to the standard 2MASS system gave the following relations:

Similar equations and errors are obtained for the ALADDIN images. The final common list contains equatorial coordinates and


2.2 Spectroscopy
On 14 July 2008, we obtained spectra at the 8.2-m Unit 1 telescope of
the ESO Very Large Telescope (VLT), located on Cerro Paranal in
Atacama, Chile, with the Infrared Spectrometer Array Camera (ISAAC,
Moorwood et al. 1998). ISAAC employs a Rockwell Hawaii
array. The pixel scale of the detector is 0.146 arcsec pixel-1. Our spectra were obtained with the slit width of 0
6, giving a spectral resolution of approximately 4000 (slightly more in the K-band, and slightly less in the H-band). The grating was centered at two positions, 1.705 and 2.150
m in the H- and K-band, respectively. During the observations the seeing was good to very good, typically below 0
7 and at times as low as 0
5, though cirrus clouds came and went through the night.
![]() |
Figure 2:
Identification of the stars with near-IR spectroscopy listed in Table 2. The field of view is
|
Open with DEXTER |
In order to provide background subtraction, our observing strategy
involved obtaining two main offset positions, A and B, on the cluster
with an additional
dither within the offset position for further unique positioning. We
obtained spectra using three unique slit positions on the cluster. Each
of the three slit positions yielded from 3 to 5 stars for which the
signal was high enough to extract a spectrum. Regrettably, we ran out
of time to obtain an H-band spectrum for one slit setting, leaving us without H-band spectra for Objects 5, 6, 7 and 8.
For the spectroscopic reduction, we used a combination of IRAF and the ESO eclipse package (Devillard 2001) while following the ISAAC Data Reduction Guide (Version 1.5, dated January 30, 2002). Salient steps in the reduction include: correction of ghost images on the array, subtracting off source positions from on source positions, dividing by the flat field, removing the spectral warp in the two dimensional images, then extracting and integrating the individual two-dimensional spectra.
Wavelength calibration was achieved using Xenon and Argon arc-lamps obtained during the night and daytime calibration runs. These calibration images (along with flat field images taken during the day) are used in conjunction with the target images in the ESO software package. Telluric standards, observed through the night and with similar air mass and sky location as our cluster, were also extracted using the same methods as outlined above for the target objects. The telluric stars are also observed using an ``ABBA'' set, at similar locations on the array as the cluster to mitigate wavelength mismatches due to the warps in both the spectral and spatial direction on the array. We selected the telluric standard HD 174262, an A1 dwarf, because it was close in the sky to our targets and at a similar airmass. We also observed HD 171149, an A0 dwarf, for which a telluric free spectrum is available (Hanson et al. 2005). The later star was observed with a slightly higher airmass, but still could be used to effectively constrain the intrinsic hydrogen Brackett lines of HD 174262. With the hydrogen lines from HD 174262 modeled and removed, an excellent telluric spectrum was created to remove telluric contamination from our cluster stars using the cross-correlation IRAF routine, telluric, designed for this purpose.
The stars in our spectroscopic study ranged in magnitudes from 7th to
greater than 14th. Because all the stars for the slit position
containing Objects 9, 10 and 11 were relatively dim, we pushed the
on-source integration times perhaps too far (400 s). The K-band spectrum looks very good, but we faced great difficulty fully removing the powerful OH lines in the H-band spectrum (the airmass was also quite high by then, at 2.0). Luckily, with the exception of the He I line at 1.700 m, and much of Object 9 (H=13.0)
this did not greatly affect our ability to still provide a reasonable
fit the broad stellar lines amongst the noisy, but sharp, residual
peaks left after the OH subtraction.
3 JHK
color-magnitude and two-color diagrams
Mercer 23 suffers from heavy fore- and background stellar contamination, but it appears compact and stands out well above the surrounding field. Since we did not observe a comparison field to decontaminate the color-magnitude diagram we retrieved near-infrared photometry from the UKIDSS Galactic Plane Survey (Lawrence et al. 2007). We have used data from the UKIDSS DR3 data release. The calibration of both sets of photometry is based on 2MASS magnitudes and the comparison between stars in common shows only very small differences (within 0.05). To determine the Mercer 23 boundaries we performed direct star counting, assuming spherical symmetry. The projected star number density as a function of radius is shown in Fig. 3. The cluster boundary was determined as the radius at which the density profile exceeds twice the standard deviation of the surface density in the surrounding field. This yields a radius of 1.2 arcmin.
![]() |
Figure 3:
Radial surface density (in number of stars per square arcsec) profile of Mercer 23. The bars show the 3 |
Open with DEXTER |
The UKIDSS color-magnitude diagram of 5 arcmin radius around the cluster center is shown in Fig. 4
(left, top panel), while the area with the extraction radius of
1.2 arcmin is shown in the right panel. We also calculated the
stellar surface-density distributions (number of stars per arcmin2) using Bonato & Bica (2009) approach for a grid size of
arcmin2, centered on the apparent cluster center (shown in the left panel of Fig. 5). The overdensity of the cluster is well visible.
![]() |
Figure 4: Left panel: the UKIDSS (J-K, K) color-magnitude diagram of the stars within a circle with radius R=5 arcmin around Mercer 23. Right panel shows the stars within radius R=1.2 arcmin. The solid line represents the 4 Myr isochrone taken from Padova's library. |
Open with DEXTER |
![]() |
Figure 5: The stellar surface-density distributions (number of stars per arcmin2) of Mercer 23. Left panel: all stars in 5 arcmin radius taken from UKIDSS. Right panel: most probable cluster members overplotted on the whole sample. The X and Y axes are in degrees. The stellar surface-density is normalized to 1. |
Open with DEXTER |
With the newly-adopted cluster radius, we statistically decontaminated
our ``cluster''+``field'' color-magnitude diagram by removing as many
stars as are present on the ``field'' color-magnitude diagram. The
details of the procedure are described in Borissova et al. (2005) and Bonatto & Bica (2006).
Basically, the decontamination algorithm divides the full range of
magnitude and colors of a given CMD into 3D grids whose cubic cells
have axes along the ,
(J-H), (J-
)
directions and computes the expected number-density of field stars in
each cell based on the number of comparison field stars. The magnitude
and colors of the field stars should be compatible with those of the
cell. After that the expected number of field stars is randomly
subtracted from each cell. We repeat the procedure 10 times, using
different comparison fields taken from UKIDSS, located within R=20-30
arcmin. We have selected 362 potential cluster members. The most
probable cluster members, plotted over the whole of the sample, is
shown in the right panel of Fig. 5.
The decontaminated CMD (Fig. 6, right bottom panel) shows the typical sequence for a young open cluster: a well-developed MS detected down to 15 mag, and a rich population of PMS stars at
mag and 2<J-
mag.
To constrain the age and masses of these stars we applied isochrone
fits with PMS tracks of different ages: 0.1, 1, 4, 7, and 10 Myr
from Siess et al. (2000)
shifted by the derived distance modulus and reddening to the cluster
(see Sect. 5). Mindful of the photometric errors and crowding
effects, we reach the tentative conclusion that the majority of the PMS
candidates have ages between 1 and 10 Myr. A non-negligible number
of objects fall to the right of the reddening vector for the reddest
stars on the color-color diagram. Most likely they have an excess due
to circumstellar material.
![]() |
Figure 6:
Top Left panel. (
|
Open with DEXTER |
4 Spectral analysis of the targets
Spectroscopically observed candidate cluster members are identified in Fig. 2. Their coordinates and magnitudes are given in Table 2. The magnitudes of the brightest stars, saturated on PANIC images, are taken from 2MASS. The errors for both 2MASS and PANIC photometry are the combined (total) photometric uncertainties including PSF errors and zero points. The Obj1, noted with asterisk in this table, has very small angular separation from Obj2 on the 2MASS images and its photometry in the 2MASS All-Sky Point Source Catalog is not reliable. In order to improve the data for this star we provided PSF photometry with a small PSF radius on the 2MASS images and used the neighboring stars to transfer the magnitudes in to the 2MASS photometric system. Figure 7 identifies the location of all spectroscopically observed stars on the decontaminated CMD.
![]() |
Figure 7:
The |
Open with DEXTER |
Our eleven spectra fall into two classes: three of them exhibit one or more emission lines, and the rest have only absorption features. We first determined their spectral classes from a direct comparison with template stellar spectra from the atlas of Hanson et al. (2005). The spectra from this atlas are taken with higher spectral resolution (R=9000-12 000) and were rebinned to R=4000. A further analysis was done based on cross-correlating the stellar spectra with a grid of OB star models. Finally, a full NLTE analysis was undertaken on the three most luminous stars to derive their full stellar properties (luminosity, wind, etc.).
![]() |
Figure 8:
The ISAAC spectra of the absorption line stars of Mercer 23. The different spectra have been arbitrarily shifted along the
flux
|
Open with DEXTER |
4.1 Spectral classification of the absorption line stars
The spectra of stars showing only absorption lines are shown in Fig. 8. These were taken with ISAAC (
)
and have signal to noise ratio at or well above 80. The only exception is Obj5, our dimmest object (
)
with S/N=60 in it's K-band
spectrum. Obj3 was observed with two different slits in both bands,
which allowed us to confirm the reliability of the reduction procedure,
as well as the wavelength calibration, which is determined to be better
than
3 km s-1.
Objects 3, 4, 9, 10 and 11 show reasonably strong He I 2.112/3 m and Br
.
Based on typical line ratios seen in other studies of late-O and early-B stars (Hanson et al. 1996; Bik et al. 2005) we would classify all of them as O9-B2 stars.
In the spectra of the next brightest stars Object 5, and 7, the only visible feature is Br
in absorption. The strength of Br
alone is a notoriously weak indicator of spectral type (Bik et al. 2005). Rather spectral typing needs to be done as a comparison of two or more features. Because Obj5 and 7 have nothing but Br
,
these stars can only be classified simply as B stars. As their Br
is not particularly strong, and based on their relative photometry, we
expect them to be mid-B, B3/4 - certainly nothing later than B6, after
which the Br
line will be seen to increase in strength significantly (Hanson et al. 1996).
If all of these B stars are in the cluster, they are almost certainly
dwarfs, but this is not based on the infrared spectra. This claim is
based on their apparent luminosity, colors and the well fit isochrone
of a young cluster. The existence of the three very luminous evolved
stars (Sect. 4.2, below) also points to a young enough age that we
would not expect these stars to have moved significantly from the
zero-age main sequence. The final star from our sample for which we
obtained spectra is Object 8. According to its K-band spectrum, Object 8 looks to be a non-member, showing numerous, narrow, metal lines typical of a cool field star.
We derived the radial velocities of the absorption line stars with the IRAF task fxcor.
The four radial velocity standards are used HD 37468 (O9.5V);
HD 36166 (B2V); HD 167785 (B2V) and HD 191639 (B1V). The
first two radial velocity standards are taken from Hanson et al. (2005)
spectral atlas, while the last two stars were observed by us. The
radial velocities and their standard deviation errors are given in
cols. 12 and 13 of Table 2.
The weighted mean (some of the radial velocities are measured using only one line) is calculated as
km s-1. The uncertainty is determined from Poisson statistics of the measurements and the error of the wavelength solution.
![]() |
Figure 9:
The ISAAC spectra of the emission line stars of Mercer 23. The
different spectra have been arbitrarily shifted along the flux
|
Open with DEXTER |
Table 3: Physical parameters of spectroscopically analyzed stars in Mercer 23.
4.2 Spectral classification of emission line stars
Three of our spectroscopic targets, Obj1, 2 and 6 and shown in Fig. 9, have emission lines in their spectra. Objects 1 and 6 both show the 2.112/3-2.155 m He I/N III complex. Br
is in narrow absorption in Obj1 and weak emission in Obj6. Both Obj1 and 6 show He II 2.18
m in absorption. Finally, the H I Brackett lines of 1.67
m, and 1.74
m, He I 1.70
m and He II 1.69
m are all in absorption. While the K-band
alone does not provide classifications as accurate as the optical, the
early- and mid-O stars, by virtue of the very sensitive pairing of the
He I 2.112/3 line with the N III
complex at 2.155 provide the most accurate near-infrared spectral
typing amongst OB stars (see Fig. 2 through 5 in Hanson et al. 2005). These set of features rather clearly indicate Obj1 to be O5-O6 based on the weak but significant He I 2.112. The fairly strong He I
1.700 is consistent with the star being later than O5 and looks quite a
bit like the O5.5 I(f) star Cyg OB2 #8A in Hanson et al. (2005). The very luminous nature of Obj1 likewise indicates it is a supergiant, though not extreme enough to show Br
emission yet. The luminosity type is based solely on the apparent
luminosity and assuming it a member of the cluster. The stronger He I 2.112/3 line in Obj6 suggests it is definitely later than O5, but with N III still stronger than He I, it is not so late as O7. We classify Obj6 as being an O6 and a definite supergiant based on the emission of Br
.
Object 2 has all of its lines in the H- and K-band spectra in broad emission, consistent with a WR star. Br
is stronger than the 2.112/3-2.155
m He/N III complex and He II 2.189
m is weaker than Br
.
These ratios lead to an approximate WN 7-8h spectral classification based on Crowther & Smith (1996).
4.3 Using an OB model grid to derive stellar properties
The spectral classifications described above give a rough estimate of the temperature of our stars, but luminosity class is often unconstrained through pure morphological classification of the spectra. The precision of spectral classification is related to the intrinsic variation within the classes and the paucity of reliable luminosity indicators in the near-infrared. Moreover, the exact parameters of WR and O supergiant stars, even among similar optical spectral types, are not very homogeneous in luminosity. In order to better analyze the evolutionary status of our stars and how the most massive stars populate the cluster's HR diagram we need more precise estimates of temperature and luminosity for each star.
The analysis of the 8 absorption line stars and the three emission line
stars were performed in different ways. In order to obtain an estimate
of the temperature and gravity of the absorption line stars we applied
the method used for follow up studies on transiting planets (Latham 2003). We cross correlated our observed near-infrared spectra with a template library and assign to the star the
and
of the model with the highest value of the cross correlation function.
As a template library we used our grid of O star models
(kookaburra.phyast.pitt.edu/hillier/web/CMFGEN.htm), which were based
on the original O-star grid of Martins et al. (2005) and are located at www.graal.univ-montp2.fr/hosted/martins/SED.html.
The results of these analyses,
and
for the five late-O/early-B stars where a reasonable conversion of the model was possible, are given in Table 3. The selected best models are overplotted on the observed spectra in Fig. 8.
Note, the two cooler B stars, Obj5 and Obj7 have virtually no trace of He I and no H-band spectrum. A model for
and
could not be constrained with the single Br
line for these stars. For the five absorption stars where an analysis
was possible, their spectra are consistent with late-O or early-B
dwarfs. Obj8 is also missing from the table, as it is not an early type
star and thus a non-member of Mercer 23.
![]() |
Figure 10: Comparison between photometric fluxes (filled squares) and synthetic spectra (gray line) for the three brightest stars. From left to right they are: Obj1 (O5 I), Obj2 (WR star) and Obj6 (O6 I). The error bars corresponds to the photometric errors. |
Open with DEXTER |
4.4 Spectral quantitative analysis of the emission line stars
For the emission line stars we used models adjusted for each star.
These models were also calculated by the CMFGEN code (Hillier &
Miller 1998). The wind of the star was described by a pseudo hydrostatic structure connected to a standard
velocity law as described by Hillier et al. (2003). The absence of P Cyg features in the spectra limited the precision of
.
We adopted 1500 km s-1 for Obj2, 1000 km s-1 for Obj6 and 2100 km s-1 for Obj1. This values of
reproduced well the width of Br
in the two stars with this line in emission. The
parameter was set to 1.0 for Obj2 and to 0.8 for Obj1 and Obj6. These
are the usual values obtained for WR and O stars, respectively. The
winds of luminous, hot stars are believed to be clumpy (Moffat 2008).
Again, the limited number of diagnostic lines did not allow for an
independent determination of the clumping factor so we set it to the
``standard'' value f=0.1 (Moffat 2008; Hamann & Koesterke 1998; Crowther et al. 2002, 2006a,b).
Similar to Martins et al. (2008),
we run these models with complex atoms including CNO, Si, P, S and Fe.
All of these elements play an important role in the energy balance
through the wind. The limited number of lines in the H and K
atmospheric window prevent the detailed analysis of the chemical
composition, but one does not expect a significant change in the
abundances of the elements heavier than oxygen. Hence, we simplified
the analysis by fixing the abundances of these elements to solar
values. On the other hand, the abundances of CNO can be altered by the
stellar evolution and their actual values need to be taken into
account. Unfortunately, our VLT K-band spectra only cover the range from 2.09 to 2.25 m and miss the strategic C IV 2.070/2.084
m and N III 2.247, 2.251
m lines. This prevents us from determining the C and N composition directly. The other prominent feature in the K spectra is the He I/N III/O III/C III blend at 2.112/3-2.155
m.
But the modeled emission of this blend depends not only on the
temperature, gravity, mass loss rate and chemical composition but also
on the atomic data and how they are treated in the code (Martins
et al. 2008). This
limits its use as a feature to diagnose abundances. We decided not to
model this blend and we used solar CNO abundance For Obj1 and Obj6.
However, the CNO abundance can not be set to solar for Obj2, the WR
star, for which a significant change in abundances are to be expected.
To address this problem, we compared our synthetic spectra with a
previously published low resolution SofI spectra of Obj2 (Kurtev
et al. 2009). This spectrum covers C IV 2.070/2.084
m and N III 2.247, 2.251
m.
The low resolution and S/N of these SofI only allow us to estimate an
upper limit of the abundances of C and N. For Obj2 we obtain a
reduction of C abundance by 1/3 to 1/6 and an increase of N abundance
by factor a 5 to 10 compared to solar.
Once the wind structure and atomic abundances were set, we used the ratio of the He I and He II
lines as the temperature diagnostic and to constrain the He/H
abundances. For Obj1, similar to the absorption line stars, we cross
correlated the observed spectrum with the grid of models mentioned
above to give us an initial guess for the temperature. The Bracket
gamma and He II 2.18 lines of this star are very narrow. To fit their profiles we reduced the gravity to
,
which confirms the supergiant nature of this star. However, the temperature of this object posed a problem. Based on the H-band ratio He I 1.70/He II 1.69, gives a value of
000 K, or about O7. On the other hand, the very weak K-band He I 2.12
m line, Br
and strong He II 2.189
is consistent with something much hotter, 37 000 K or about
O5.5. The discrepancy lies entirely with the surprisingly strong He I
line at 1.70 which is not consistent with any of the remaining
diagnostics. This line is often contaminated by atmospheric OH band
(see Fig. 8). Unfortunately, the small number of diagnostic lines does
not allow a solution to this problem. We will assume the anomaly exists
in the He I 1.700 line and assign a temperature of
35 000 K. We stress our purpose is to situate the emission
line stars on the HR diagram, we can not always make a perfect model of
their wind.
Obj2 and Obj6 posed no such difficulties in regards to their modeled temperature. Figure 9 shows the models which match the expected temperature of these stars based on their K-band spectral type. The modeled parameters are presented in Table 3. These two stars have spectra that look morphologically similar to F4 and F15 of Arches cluster (Martins et al. 2008). In both cases, our temperatures agree very well with the temperatures derived by Martins et al. (2008) for their F4 and F15 stars.
Once the temperature of the stars were determined, we compared the model fluxes to the ones obtained from our JH
photometry and obtain the luminosity. First we converted the observed J, H and
magnitudes to fluxes using the SPITZER Magnitude to Flux Density converter (http://ssc.spitzer.caltech.edu/tools/magtojy). Then the model fluxes were reddened with the Cardelli et al. (1989, CCM) RV=3.1 reddening law. The E(B-V) and the luminosity were adjusted until the observed fluxes were reproduced by the models. The obtained luminosities and E(B-V) values are given in Table 3.
The reddening obtained by this procedure is compatible with the one
obtained from the photometry. The good agreement between the
photometric fluxes, the derived reddening and the model fluxes
(Fig. 10) provide confidence to the derived temperature and mass loss rates of the emission line stars.
Let us discuss the expected error in our quantitative analysis. The models we used have a roughly estimated terminal velocity
and an assumed velocity law,
.
One must keep in mind the influence on the results if these parameters
are changed. The intensity of the emission lines is determined by the
transformed radius
![]() |
(1) |
Models with the same












The effect of different values of
is more difficult to estimate, but roughly, a bigger value of
increases the density in the inner wind and might increase the intensity of the helium lines. Therefore, a different
may lead to a different value of He/H abundance and from there to a slightly different combination of
,
and luminosity. The quantitative analysis of the errors is difficult. To account for all these effects, we assume errors of
3000 K in temperature, 0.2 dex in mass loss rate and luminosity (for a given distance) and 0.25 in
for all stars analyzed in this paper. Similar errors were used by Martins et al. (2008).
5 Physical parameters of the Mercer 23 stellar cluster
5.1 Reddening and distance towards the cluster
The location of the cluster stars in the color-color diagram, J-H vs. H-,
allows us to estimate their individual extinction values. In the case
of Mercer 23 the cluster members occupy a relatively well-defined
locus on the color-color diagram at H-
-0.8 mag and J-
-1.3 mag (see the triangles in Fig. 6,
top right panel). First, we simply measured the color excesses of this
locus on the color-color diagram with respect to the sequences of
unreddened MS stars (Schmidt-Kaler 1982), obtaining E(J-
) = 1.39
0.06 mag. Throughout this analysis we used the reddening law of Rieke & Lebofsky (1985,
RH85). In the infrared bands and with this level of moderate
extinction, this is the same as using CCM with a ratio of total to
selective extinction, RV = 3.1.
The reddening can also be determined from the apparent MS colors, given
that the MS of young clusters is nearly vertical. Applying this method
and fitting only unevolved cluster MS stars with the 4 Myr Geneva
isochrone (Girardi et al. 2002) we obtained E(J-) = 1.25
0.10 mag.
And finally, we used the intrinsic J-
colors of OB stars (Schmidt-Kaler 1982; Koornneef 1983; Martins & Plez 2006) to calculate the individual color excesses of the spectroscopically-classified stars. They are given in the Table 3. The calculated mean value is E(J-
) = 1.36
0.02 mag.
As a final reddening of the cluster we adopted a weighted mean value of the previous measures, giving E(J-) = 1.35
0.05 mag. Using RH85 and Hanson (2003) for the
/AV, this equates to AV=7.2 mag. This value is very close to that determined by Kronberger et al. (2006).
To determine the distance to the cluster, we used the K-band
spectral classification of our O and B type objects and the intrinsic
color and absolute magnitudes of the O type supergiants and the B type
main sequence stars taken from Martins & Plez (2006) and Schmidt-Kaler (1982).
We estimated the uncertainty of the classification to be 1 or 2 (in the
worst cases) spectral subtypes. Similar errors are reported by Martins
et al. (2008).
The individual distances of the stars are given in the last column of the Table 3. The unweighted mean distance is (-
mag. This corresponds to a distance of
kpc.
The errors are calculated taking into account Poisson statistics of the
measurements, photometric errors and the uncertainty of the spectral
type determination. Following Davies et al. (2008) we calculated the tangential velocity in the direction of Mercer 23 of
km s-1
and kinematic distance of 5.2 Kpc. Within the large uncertainties
of this method we consider such obtained value as un acceptable
agreement with our spectrophotometric distance.
![]() |
Figure 11:
The HR diagram for Mercer 23 based on the eight member stars with good quality H- and K-band spectra using Geneva (Meynet & Maeder 2003) evolutionary tracks with rotation (300 km s-1 initial). The solid horizontal lines represent the mass tracks for stellar masses 120, 85, 60, 40, 25, 15 and 12
|
Open with DEXTER |
5.2 Age of the cluster
Figure 11 shows the HR diagram of the 8 stars with modeled spectra in the cluster. We overplot the evolutionary tracks from Meynet & Maeder (2003). The isocrones at 2, 3, 4, and 6 Myr from the same tracks are overplotted also. The 5 absorption line stars, Obj3, 4, 9, 10 and 11, lie close to the main sequence. The isocrones in this region are barely separated and the errors in stellar temperatures and luminosities do not allow a reliable determination of the cluster age, though the stars are probably younger than 8 Myr. Obj6, on the other hand, lies between the 3 and 4 Myr isocrone and even though we assumed rather ample error bars, it cannot be older than about 4 Myr. The two brighter stars (Obj1 and Obj2) are younger than 3 Myr. As a result, the HR diagram of Mercer 23 shows a spread of ages between 2 and 4 Myr.
Table 4: Mass of MS and PMS stellar content of Mercer 23.
The age of the PMS stars was determined by fitting theoretical 0.1, 1.0, 4.0, 7.0, and 10 Myr PMS isochrones from Siess et al. (2000) to the CMD (Fig. 7). Note that the PMS stars spread over a wide age range but the main locus is between the 1 and 4 Myr isochrones. There are some stars with ages less than 1 Myr.
Additionally, the fraction of stars with NIR-excess correlates
inversely with the stellar age over small age ranges (Hillenbrand 2005). The vast majority (90%)
of stars older than 3-8 Myr cease to show evidence for a
circumstellar disc, manifested in an excess of radiation in the K- and possibly H-band.
The fraction of such low mass IR-excess stars in a very young stellar
cluster like Mercer 23 can be used as a crude age indicator. We
determined that for Mercer 23 the fraction of low mass stars with
photometry showing an IR-excess is 10%. The empirical calibration of
Hillenbrand (2005)
suggests a lower limit age of several million years for the low mass
stars, in agreement with our previous estimations based on the high
mass star properties.
5.3 Mass of Mercer 23
The decontaminated CMD shows a rather poorly populated main sequence
(MS) and a significant presence of pre-main sequence (PMS) stars. To
calculate the total mass of all our observed stars, we counted the
number of MS stars for a given magnitude interval. The corresponding
stellar mass in each magnitude bin is taken from the mass-luminosity
relation derived from the isochrone fits described above. Summing the
values in each magnitude bin produces the total number (
,
)
and mass of MS stars and PMS, respectively. The are given in Table 4.
In summary, the total number of observed cluster members is 362,
from which 112 are main sequence stars and 250 are pre-main sequence
stars. They give respectively a total mass of MS stars 981
and PMS stars contain 376
.
The total mass of all observed cluster members is thus
1360
.
Integrating over 2 Myr isochrone gives for the same mass interval
1455
.
Since no completeness correction has been applied this value should be
treated as a lower mass limit of the cluster. The total cluster mass,
depending on the exact shape of the mass function at the low mass end,
is likely a few times this value, or 3-
.
Is this consistent with Mercer 23's three, very massive stars? Each has a mass at least as high as
Ori C, the dominate O6 dwarf star located in the Orion Trapezium cluster with an estimated cluster mass of
(Hillenbrand 1997).
The Mercer 23 cluster might be compared to a younger and slightly
more massive version of one of the Perseus twin clusters, h or
,
each with masses of from
4-
(Bragg & Kenyon 2005). Another possibility is that we've underestimated the mass contribution of the unseen stars in the cluster.
6 Conclusions
We report new results of our long term project to study obscured Milky Way star clusters. We obtained deep
imaging and H- and K-band
spectroscopy of Mercer 23, a dense stellar cluster with one
spectroscopically confirmed WR star and a sizable population of young
stellar objects. The cluster is located at a distance of 6.5 kpc from
the Sun. We have used numerous indicators to establish that the cluster
is very young, 2-4 Myr based on both it's high and low mass
stellar population.
The formation and early evolution of the most massive stars are poorly unknown. This period of the star's life is very short and there are only a handful of objects observed in that particular stage. For this reason, the three most massive members of Mercer 23 deserved special attention. To this end, we've completed a spectral analysis and modeling of the H- and K-band spectra for these three, very massive post-main sequence objects.
Object 2 is a hydrogen rich WN7-8 star with progenitor mass well above 80
.
Its temperature and very high luminosity is similar to the WR/LBV system HD 5980 in SMC (Foellmi et al. 2008).
HD 5980 is the only known WR star with LBV like variability. Obj2
might be another example of a WR/LBV star. It could be connected with
the nearby
X-ray source 2E 1928.0+1825 = 2RXP J193013.8+183216 reported in Harris
et al. (1994).
It will be important that Obj2 is monitored with future observations.
The two remaining O supergiants, have lower, but similarly high masses
(>60
). The distance (6.5 kpc) and galactic location (l
= 54) of Mercer 23 puts it inside the inner first quadrant of the
galaxy where only a few massive clusters have thus far been found.
Mercer 23 is yet another new member of the family of relatively
massive young Galactic clusters being uncovered with recent infrared
surveys.
The data used in this paper have been obtained with SofI/NTT and with ISAAC/VLT at the ESO La Silla and Paranal Observatories. We have used data from the UKIDSS Galactic Plane Survey (Lawrence et al. 2007) DR3 data release. UKIDSS uses the UKIRT Wide Field Camera (WFCAM; Casali et al. 2007). The photometric system is described in Hewett et al. (2006), and the calibration is described in Hodgkin et al. (2009). The pipeline processing and science archive are described in Irwin et al. (in prep) and Hambly et al. (2008). This publication makes use of data products from the Two Micron All Sky Survey, which is a joint project of the University of Massachusetts and the Infrared Processing and Analysis Center/California Institute of Technology, funded by the National Aeronautics and Space Administration and the National Science Foundation. This research has made use of the SIMBAD database, operated at CDS, Strasbourg, France. M.M.H. is grateful for the support provided her by the ESO Visiting Scientist Programme during an extended stay in late 2008 when the VLT spectra were reduced. M.M.H. acknowledges support for this work by the National Science Foundation under contract No. 0607497 to the University of Cincinnati. J.B. acknowledges support from FONDECYT Regular #1080086 and MIDEPLAN ICM Nucleus P07-021-F. LNG is thankfull for the support from Mexican CONACyT project 83016 and UNAM/PAPIIT IN123309. R.K. acknowledges support from Proyecto FONDECYT Regular #1080154 and Centro de Astrofisica de Valparaiso. D.M. is supported by grants from FONDAP CFA 15010003, BASAL CATA PFB-06, and MIDEPLAN MWM P07-021-F. We thanks the anonymous referee for the useful comments and suggestions.
References
- Benjamin, R. A., Churchwell, E., et al. 2003, PASP, 115, 953 [NASA ADS] [CrossRef] [Google Scholar]
- Bica, E., Dutra, C. M., Soares, J., & Barbuy, B. 2003, A&A, 404, 223 [NASA ADS] [CrossRef] [EDP Sciences] [Google Scholar]
- Bik, A., Kaper, L., Hanson, M. M., & Smits, M. 2005, A&A, 440, 121 [NASA ADS] [CrossRef] [EDP Sciences] [Google Scholar]
- Bragg, A. E., & Kenyon, S. J. 2005, ApJ, 130, 134 [Google Scholar]
- Boutloukos, S. G., & Lamers, H. J. G. L. M. 2003, MNRAS, 338, 717 [NASA ADS] [CrossRef] [Google Scholar]
- Bonatto, C., & Bica, E. 2006, A&A, 460, 83 [NASA ADS] [CrossRef] [EDP Sciences] [Google Scholar]
- Bonatto, C., & Bica, E. 2009, MNRAS, 397, 1915 [NASA ADS] [CrossRef] [Google Scholar]
- Borissova, J., Pessev, P., Ivanov, V. D. et al. 2003, A&A, 411, 83 [NASA ADS] [CrossRef] [EDP Sciences] [Google Scholar]
- Borissova, J., Ivanov, V. D., Minniti, D. et al. 2005, A&A, 435, 95 [NASA ADS] [CrossRef] [EDP Sciences] [Google Scholar]
- Borissova, J., Ivanov, V. D., Minniti, D., & Geisler, D. 2006, A&A, 455, 923 [NASA ADS] [CrossRef] [EDP Sciences] [Google Scholar]
- Borissova, J., Ivanov, V. D., Hanson, M. M., et al. 2008, A&A, 488, 151 [NASA ADS] [CrossRef] [EDP Sciences] [Google Scholar]
- Cardelli, J., Clayton, G., & Mathis, J. 1989, ApJ, 345, 245 [NASA ADS] [CrossRef] [Google Scholar]
- Casali, M., Adamson, A., Alves de Oliveira, C., Almaini, O., & Burch, K. 2007, A&A, 467, 777 [NASA ADS] [CrossRef] [EDP Sciences] [Google Scholar]
- Clark, J. S., Negueruela, I, Crowther, P. A., & Goodwin, S. P. 2005, A&A, 434, 949 [NASA ADS] [CrossRef] [EDP Sciences] [Google Scholar]
- Crowther, P. A., Dessart, L., Hillier, D. J., Abbott, J. B., & Fullerton, A. W. 2002, A&A, 392, 653 [NASA ADS] [CrossRef] [EDP Sciences] [Google Scholar]
- Crowther, P., & Smith, L. 1996, A&A, 305, 541 [NASA ADS] [Google Scholar]
- Crowther, P. A., Morris, P. W., & Smith, J. D. 2006a, ApJ, 636, 1033 [NASA ADS] [CrossRef] [Google Scholar]
- Crowther, P., Hadfield, L., Clark, J., Negueruela, I., & Vacca, W. 2006b, MNRAS, 372, 1407 [NASA ADS] [CrossRef] [Google Scholar]
- Crowther, P. A., Smith, L. J., Hillier, D. J., & Schmutz, W. 1995, A&A, 293, 427 [NASA ADS] [Google Scholar]
- Devillard, N. 2001, in Astronomical Data Analysis Software and Systems X, ed. F. R. Harnden, Jr., F. A. Brimini, & H. E. Payne, ASP Conf. Ser., 238, 525 [Google Scholar]
- Davies, B., Figer, D., Law, C., Kudritzki, et al. 2008, ApJ, 676, 1016 [NASA ADS] [CrossRef] [Google Scholar]
- Dutra, C. M., & Bica, E. 2000, A&A, 359, 9 [Google Scholar]
- Dutra, C. M., Bica, E., Soares, J., & Barbuy, B. 2003, A&A, 400, 533 [NASA ADS] [CrossRef] [EDP Sciences] [Google Scholar]
- Figer, D. F., MacKenty, J. W., Robberto, M., et al. 2006, ApJ, 643, 1166 [NASA ADS] [CrossRef] [Google Scholar]
- Foellmi, C., et al. 2008, Rev. Mex. Astron. Astrofis., 44, 3 [Google Scholar]
- Froebrich, D., Scholz, A., & Raftery, C. L. 2007, MNRAS, 374, 399 [Google Scholar]
- Gieles, M. 2009, MNRAS, 394, 2113 [NASA ADS] [CrossRef] [Google Scholar]
- Gieles, M., Larsen, S. S., Bastian, N., & Stein, I. T. 2006, A&A, 450, 129 [NASA ADS] [CrossRef] [EDP Sciences] [Google Scholar]
- Girardi, L., Bertelli, G., Bressan, A., et al. 2002, A&A, 391, 195 [NASA ADS] [CrossRef] [EDP Sciences] [Google Scholar]
- Hamann, W.-R., & Koesterke, L. 1998, A&A, 335, 1003 [NASA ADS] [Google Scholar]
- Hamann, W.-R., Gräfener, G., & Liermann, A. 2006, A&A, 457, 1015 [NASA ADS] [CrossRef] [EDP Sciences] [Google Scholar]
- Hambly, N. C., Collins, R. S., Cross, N. J. G., Mann, R. G., & Read, M. A. 2008, MNRAS, 384, 637 [NASA ADS] [CrossRef] [Google Scholar]
- Hanson, M. M. 2003, ApJ, 597, 957 [NASA ADS] [CrossRef] [Google Scholar]
- Hanson, M. M., & Bubnick, B. F. 2008, PASP, 120, 150 [NASA ADS] [CrossRef] [Google Scholar]
- Hanson, M. M., Conti, P. S., & Rieke, M. J. 1996, ApJS, 107, 281 [Google Scholar]
- Hanson, M. M., Kudritzki, R.-P., Kenworthy, M. A., Puls, J., & Tokunaga, A. T. 2005, ApJS, 161, 154 [NASA ADS] [CrossRef] [EDP Sciences] [MathSciNet] [Google Scholar]
- Harris, D. E., Forman, W., Gioa, I. M., et al. 1994, EINSTEIN Observatory catalog of IPC X-ray sources [Google Scholar]
- Hewett, P. C., Warren, S. J., Leggett, S. K., & Hodgkin, S. T. 2006, MNRAS, 367, 454 [NASA ADS] [CrossRef] [Google Scholar]
- Hillenbrand, L. 1997, AJ, 113, 1733 [NASA ADS] [CrossRef] [Google Scholar]
- Hillenbrand, L. 2005, Review article to appear in A Decade of Discovery: Planets Around Other Stars, STScI Symposium Series 19, ed. M. Livio [arXiv:astro-ph/0511083] [Google Scholar]
- Hillier, D. J., & Miller, D. L. 1998, ApJ, 496, 407 [NASA ADS] [CrossRef] [Google Scholar]
- Hillier, D. J., Lanz, T., Heap, S. R., et al. 2003, ApJ, 588, 1039 [NASA ADS] [CrossRef] [Google Scholar]
- Hodgkin, S. T., Irwin, M. J., Hewett, P. C., & Warren, S. J. 2009, MNRAS, 394, 675 [NASA ADS] [CrossRef] [Google Scholar]
- Holtzman, J. A., Faber, S. M., Shaya, E. J., et al. 1992, AJ, 103, 691 [NASA ADS] [CrossRef] [Google Scholar]
- Ivanov, V. D., Borissova, J., Pessev, P., et al. 2002, A&A, 349, 1 [Google Scholar]
- Ivanov, V. D., Kurtev, R., & Borissova, J. 2005, A&A, 442, 195 [NASA ADS] [CrossRef] [EDP Sciences] [Google Scholar]
- Koornneef, J. 1983, A&A, 128, 84 [NASA ADS] [Google Scholar]
- Kronberger, M., Teutsch, P., Alessi, B., et al. 2006, A&A, 447, 921-928 [NASA ADS] [CrossRef] [EDP Sciences] [Google Scholar]
- Kurtev, R., Borissova, J., Georgiev, L., Ortolani, S., & Ivanov, V. D. 2007, A&A, 475, 209 [NASA ADS] [CrossRef] [EDP Sciences] [Google Scholar]
- Kurtev, R., Ivanov, V. D., Borissova, J., & Ortolani, S. 2008, A&A, 2008, 489, 586 [Google Scholar]
- Kurtev, R., Borissova, J., Ivanov, V. D., & Georgiev, L. 2009, Rev. Mex. Astron. Astrofis. Conf. Ser., 35, 160 [Google Scholar]
- Lada, C. J., Lada, E. A. 2003, ARA&A, 41, 57 [NASA ADS] [CrossRef] [Google Scholar]
- Lamers, H. J. G. L. M. 2009, Ap&SS, 324, 183 [NASA ADS] [CrossRef] [Google Scholar]
- Lamers, H. J. G. L. M., Gieles, M., Bastian, N., et al. 2005, A&A, 117, 129 [Google Scholar]
- Larsen, S. S. 2006, in Proc. Globular Cluster - Guides to Galaxies, ed. T. Richter, & S. S. Larsen [arXiv:astro-ph/0606625] [Google Scholar]
- Latham, D. W. 2003, Scientific Frontiers in Research on Extrasolar Planets, 294, 409 [NASA ADS] [Google Scholar]
- Lawrence, A., Warren, S. J., Almaini, O., Edge, A. C., & Hambly, N. C. 2007, MNRAS, 379, 1955 [Google Scholar]
- Maiolino, R., Rieke, G., & Rieke, M. 1996, AJ, 111, 537 [NASA ADS] [CrossRef] [Google Scholar]
- Martins, F., & Plez, B. 2006, A&A, 457, 637 [NASA ADS] [CrossRef] [EDP Sciences] [Google Scholar]
- Martini, P., Persson, S. E., Murphy, D. C., et al. 2004, Proc. SPIE, 5492, 1653 [Google Scholar]
- Martins, F., Schaerer, D., & Hillier, D. J. 2005, A&A, 436, 1049 [NASA ADS] [CrossRef] [EDP Sciences] [Google Scholar]
- Martins, F., Hillier, D., Paumard, et al. 2008, A&A, 478, 219 [NASA ADS] [CrossRef] [EDP Sciences] [Google Scholar]
- Mercer, E., Clemens, D., Meade, M., et al. 2005, ApJ, 635, 560 [NASA ADS] [CrossRef] [Google Scholar]
- Meynet, G., & Maeder, A. 2003, A&A, 404, 975 [NASA ADS] [CrossRef] [EDP Sciences] [Google Scholar]
- Meynet, G., & Maeder, A. 2005, A&A, 429, 581 [Google Scholar]
- Minniti, D., Lucas, P. W., Emerson, J. P., et al. 2010, New Astron., 15, 433 [NASA ADS] [CrossRef] [Google Scholar]
- Moffat, A. F. J. 2008 in Clumping in hot-star winds, Proceedings of an international workshop held in Potsdam, Germany, 18-22 June 2007, ed. W.-R. Hamann, A. Feldmeier, L. M. Oskinova, 17 [Google Scholar]
- Moorwood, A., Cuby, J. G., & Lidman, C. 1998, The Messenger 91, 9 [Google Scholar]
- Rieke, G., & Lebofsky, M. 1985, ApJ, 288, 618 [NASA ADS] [CrossRef] [Google Scholar]
- Schmidt-Kaler, T. 1982, in Landolt-Borstein, New Series, Group VI, ed. K. Schaifers & H. H. Voigt (Berlin: Springer-Verlag), 2, 1 [Google Scholar]
- Schmutz, W., Hamann, W.-R., & Wessolowski, U. 1989, A&A, 210, 236 [NASA ADS] [Google Scholar]
- Siess, L., Dufour, E., & Forestini, M. 2000, A&A, 358, 593 [NASA ADS] [Google Scholar]
- Skrutskie, M., Cutri, R. M., Stiening, R., et al. 2006, AJ, 131, 1163 [NASA ADS] [CrossRef] [Google Scholar]
- Vanbeveren, D. 2009, New Astron. Rev., 53, 27 [NASA ADS] [CrossRef] [Google Scholar]
- Weidner, C., Kroupa, P., & Bonnell, I. A. D. 2009, MNRAS, 1552 [Google Scholar]
Footnotes
- ... Mercer 23
- Based on observations gathered with the New Technology Telescope and ISAAC, VLT of the ESO within observing programs 77.D-0089 and 81.D-0471 and the 6.5 m Magellan Telescopes located at Las Campanas Observatory, Chile.
- ... (IRAF)
- IRAF is distributed by the National Optical Astronomy Observatories, which are operated by the Association of Universities for Research in Astronomy, Inc., under cooperative agreement with the National Science Foundation.
All Tables
Table 1: The log of observations of Mercer 23.
Table 2: Positional and photometric data for spectroscopically observed stars in Mercer 23.
Table 3: Physical parameters of spectroscopically analyzed stars in Mercer 23.
Table 4: Mass of MS and PMS stellar content of Mercer 23.
All Figures
![]() |
Figure 1:
Lower left, the GLIMPSE Spitzer Space Telescope true color image of the region around Mercer 23 from [3.6], [4.5], [5.8] bands. Upper right, the true color composite image from JHK PANIC frames covers approximately 2 |
Open with DEXTER | |
In the text |
![]() |
Figure 2:
Identification of the stars with near-IR spectroscopy listed in Table 2. The field of view is
|
Open with DEXTER | |
In the text |
![]() |
Figure 3:
Radial surface density (in number of stars per square arcsec) profile of Mercer 23. The bars show the 3 |
Open with DEXTER | |
In the text |
![]() |
Figure 4: Left panel: the UKIDSS (J-K, K) color-magnitude diagram of the stars within a circle with radius R=5 arcmin around Mercer 23. Right panel shows the stars within radius R=1.2 arcmin. The solid line represents the 4 Myr isochrone taken from Padova's library. |
Open with DEXTER | |
In the text |
![]() |
Figure 5: The stellar surface-density distributions (number of stars per arcmin2) of Mercer 23. Left panel: all stars in 5 arcmin radius taken from UKIDSS. Right panel: most probable cluster members overplotted on the whole sample. The X and Y axes are in degrees. The stellar surface-density is normalized to 1. |
Open with DEXTER | |
In the text |
![]() |
Figure 6:
Top Left panel. (
|
Open with DEXTER | |
In the text |
![]() |
Figure 7:
The |
Open with DEXTER | |
In the text |
![]() |
Figure 8:
The ISAAC spectra of the absorption line stars of Mercer 23. The different spectra have been arbitrarily shifted along the
flux
|
Open with DEXTER | |
In the text |
![]() |
Figure 9:
The ISAAC spectra of the emission line stars of Mercer 23. The
different spectra have been arbitrarily shifted along the flux
|
Open with DEXTER | |
In the text |
![]() |
Figure 10: Comparison between photometric fluxes (filled squares) and synthetic spectra (gray line) for the three brightest stars. From left to right they are: Obj1 (O5 I), Obj2 (WR star) and Obj6 (O6 I). The error bars corresponds to the photometric errors. |
Open with DEXTER | |
In the text |
![]() |
Figure 11:
The HR diagram for Mercer 23 based on the eight member stars with good quality H- and K-band spectra using Geneva (Meynet & Maeder 2003) evolutionary tracks with rotation (300 km s-1 initial). The solid horizontal lines represent the mass tracks for stellar masses 120, 85, 60, 40, 25, 15 and 12
|
Open with DEXTER | |
In the text |
Copyright ESO 2010
Current usage metrics show cumulative count of Article Views (full-text article views including HTML views, PDF and ePub downloads, according to the available data) and Abstracts Views on Vision4Press platform.
Data correspond to usage on the plateform after 2015. The current usage metrics is available 48-96 hours after online publication and is updated daily on week days.
Initial download of the metrics may take a while.