Issue |
A&A
Volume 516, June-July 2010
|
|
---|---|---|
Article Number | A40 | |
Number of page(s) | 9 | |
Section | Extragalactic astronomy | |
DOI | https://doi.org/10.1051/0004-6361/200913207 | |
Published online | 24 June 2010 |
Evolution of the ISM in luminous infrared galaxies
W. A. Baan1 - A. F. Loenen2 - M. Spaans3
1 - ASTRON, Oude Hoogeveensedijk 4, 7991 PD Dwingeloo, The Netherlands
2 -
Leiden Observatory, Leiden University, PO Box 9513, 2300 RA Leiden, The Netherlands
3 -
Kapteyn Astronomical Institute, PO Box 800, 9700 AV Groningen, The Netherlands
Received 29 August 2009 / Accepted 7 April 2010
Abstract
Aims. Molecules that trace the high-density regions of the
interstellar medium may be used to evaluate the changing physical and
chemical environment during the ongoing nuclear activity in
(ultra-)luminous infrared galaxies (ULIRGs).
Methods. The changing ratios of the HCN (1-0), HNC (1-0),
(1-0),
CN (1-0) and CN (2-1), and CS (3-2) transitions were
compared with the HCN (1-0)/CO (1-0) ratio, which is proposed
to represent the progression time scale of the starburst. These
diagnostic diagrams were interpreted using the results of theoretical
modeling with a large physical and chemical network to describe the
state of the nuclear ISM in the evolving galaxies.
Results. Systematic changes are seen in the line ratios as the
sources evolve from early stage for the nuclear starburst (ULIRGs) to
later stages. These changes result from changing environmental
conditions and particularly from the lowering of the average density of
the medium. A temperature rise due to mechanical heating of the medium
by feedback explains the lowering of the ratios at later evolutionary
stages. Infrared pumping may affect the CN and HNC line ratios during
early evolutionary stages.
Conclusions. Molecular transitions display a behavior that
relates to changes of the environment during an evolving nuclear
starburst. Molecular properties may be used to designate the
evolutionary stage of the nuclear starburst. The HCN(1-0)/CO(1-0) and
HCO+(1-0)/HCN(1-0) ratios serve as indicators of the time evolution of the outburst.
Key words: infrared: galaxies - ISM: molecules - radio lines: galaxies - galaxies: active - galaxies: starburst
1 Introduction
The (ultra-)luminous infrared galaxies (ULIRGs) are powered by a
(circum-)nuclear starburst and/or an active galactic nucleus
(AGN). ULIRGs belong to a much larger population of sub-millimeter
galaxies (SMGs) that peaks at redshift 2-3 and extends to
.
The relatively short episodes of intense nuclear activity in
ULIRGs and SMGs have likely been triggered by galaxy mergers or
collisions, which produce the most luminous galaxies in the universe.
Among other spectral observations, the emissions from the high-density
molecular material in the nuclear region of external galaxies allow a
clear view of the ISM and are a preferred tool for diagnosing the
physical and chemical environment of the starforming and AGN-excited
ISM. A strong relation has been found between the far-infrared
luminosity and the luminosity of molecular emissions, that are
indicators of the high-density (
)
104-6
)
component of the interstellar medium (Gao & Solomon 2004; Baan et al. 2008; Curran et al. 2000). Since these integrated emissions predominantly arise
from the nuclear region, they are closely associated with the nuclear
starburst/AGN environment and the production of the FIR and
sub-millimeter luminosities.
Each molecular species responds differently to the changing physical and chemical environment of the nuclear region. The collective behavior of molecular tracers may thus be used to characterize the evolution of the nuclear environment during a nuclear activity. In this paper, we consider evolutionary changes of the ISM as seen by the molecular tracer emissions and resulting from the ongoing star-formation, the AGN activity, and any feedback processes. Diagnostic interpretation of the behavior of molecular line ratios is based on theoretical modeling using a large physical and chemical network to describe the state of the nuclear ISM in the evolving galaxies.
This study considers mostly single molecular transitions for the multi-molecular modeling. The inclusion of multiple higher transitions will augment the diagnostic accuracy of the modeling analysis. Modeling of the observed ground state transitions already predicts the behavior of higher transitions and their ratios and will be used in future work to incorporate newly obtained observational data and data expected from Herschel and ALMA.
2 Modeling the evolving ISM
The emissions of molecular species observed in active nuclei are determined by their chemical abundances, the density and temperature of the medium, their column density, and the excitation conditions in the ISM. While multiple level studies of single molecules may be used to reveal the density and/or kinetic temperature of ISM components, the ensemble of emissions of tracer molecules will diagnose the dominant physical and chemical properties of the environment.
2.1 Modeling the evolution of a starburst
The observed nearly linear relations between the emission luminosity of high-density tracers and the far-infrared luminosity (FIR) represent the response of the nuclear medium to the activity in the evolving nucleus (Gao & Solomon 2004; Baan et al. 2008; Curran et al. 2000). The star-formation that generates the FIR luminosity also proportionally depletes and destroys the high-density (HD) component of the nuclear ISM, and the HD line emission decreases in time. The low-density (LD) component, however, is not involved in the star-formation process and will remain (largely) the same. For this reason, the changing HD/LD ratio during a nuclear outburst may serve as an indicator of the evolutionary age of the outburst. In Sect. 2.3, it will be proposed to use the HCN (1-0)/CO (1-0) line emission ratio as an indicator of the HD/LD emission ratio and the evolutionary stage of the starburst.
The time evolution of the FIR luminosity of a nuclear starburst
may be characterized by a rapid rise to a peak luminosity followed
by an exponential tail (Loenen et al. 2006; Baan et al. 2008). In order to
obtain further understanding about the FIR evolution and the
HD-depletion during a starburst, we consider a simple simulation
where during each time interval a fixed depletion fraction
of the high-density medium is used and destroyed by
the star-formation process. The HD mass component used for
star-formation diminishes steadily with each timestep as:
The FIR-luminosity follows from a time-delayed (diffusion-like) response from each of the mass fractions used in the star-formation process during earlier time intervals. This function may be defined as:
where

The FIR-luminosity trails the mass-consumption in time, which is consistent with reality where lower mass stars have a delayed impact on the FIR-luminosity. This simulation differs from the one presented earlier in Baan et al. (2008) because here the depletion of the HD material is used to determine the FIR-luminosity, while previously the HD-depletion was deduced from the magnitude of the FIR-luminosity.
![]() |
Figure 1:
Simulations of a starburst. Three initial conditions are
considered (see text) and the curves are color coded. a) The
variation of the FIR-luminosity with representative time units of
|
Open with DEXTER |
The decaying
luminosity curve is determined by the peak
luminosity, the HD depletion rate per time interval, and the
delay-time-scale T for the production of the FIR luminosity. The
starburst simulations depicted in Fig. 1 are for three
star-formation scenarios, respectively red, green, and blue curves,
with initial values for the HD/LD ratio (0.2, 0.15, and 0.1), the
depletion fraction
per timestep (6%, 4% and 2%), and the
peak luminosity (1012.3, 1011.5, and 1010.6
).
As mentioned before, the mass of the low-density component is assumed
to remain unchanged. The luminosity diffusion timescale of the burst T is set equal to 2.5 timesteps. Assuming a 108 yr duration
for the outburst, each time-step in the simulation has an approximate
duration of
yr. While the scaling of the number and the
FIR-luminosity is still arbitrary, the curves may be compared with
observations.
The predicted behavior of the simulated starbursts is presented in the
graphs of Fig. 1. They (expectedly) show that more rapid
HD-consumption (red curve in frame b) also produces a more pronounced
luminosity curve and a faster luminosity decay (frame a). The
continuing reduction of the HD/LD is plotted as function of
FIR-luminosity in frame c). Because of the decreasing HD consumption
over time and the delay in the FIR production, the predicted number of
sources in Frame d) increases towards lower values of
.
The diagrams in frames c) and d) may be compared with observational data
in order to test the validity of the modeling, as presented in Sect. 2.3 below.
2.2 Chemical evolution of the starburst
The changing properties of the evolving nuclear environment trigger many related and simultaneous processes. After some high-density material is used to form the first generation of stars, the remaining high-density component will increasingly be affected by these stars, their UV-radiation fields, and the resulting (ultra-) compact HII regions. After the first massive stars produce supernovae and remnants, the dissipation of mechanical energy of the shocks will further raise the temperature and disperse the surrounding high-density material. Such processes will modify the formation of subsequent generations of stars and give a continually changing ISM. It should be noted that the time scales for shocks and photo-dissociation by UV-radiation are very short ( 104-105 yr; Bergin et al. 1998) as compared with the time scale of a standard starburst ( 107- 108 yr; Coziol 1996).
Table 1: Critial density for molecular transitions.
The high-density component remaining after subsequent generations of stars in the evolving starburst will decrease in mass and luminosity and will be characterized by a systematically decreasing average density of the high density medium and increasing temperature, although regions of relatively higher density will remain. These changing conditions, as well as variation of the cosmic ray flux density and the radiation fields, will strongly influence the molecular chemistry.
Simulations using extensive physical and chemical modeling show that
the observed intensity ratios of high-density tracers HCN, HNC, and
in (most) extra-galactic sources are well represented by an
environment that is dominated by Photon Dominated Regions (PDR) with
densities ranging from
to 104 cm-3(Loenen et al. 2008). Few sources in the current sample show
characteristics suggesting X-ray Dominated Regions (XDR) (see Sect. 3.2). This density range confirms the densities anticipated for
star-formation regions but also suggests global evolutionary changes
in the nuclear environment during the course of an outburst. Because
of different critical densities for the molecules, particularly the
intermediate density tracer lines
(1-0) and CN (1-0) (see
Table 1) may become thermalized during early stages of
evolution.
The observed intensity ratios for extra-galactic environments may
serve to diagnose any global change in the density and other
properties of the nuclear ISM. The expected variation of the HNC,
,
and CS line ratios with HCN have been calculated using
radiative transfer modeling within a physical/chemical network
(see Meijerink & Spaans 2005; Loenen et al. 2010,2008), while for
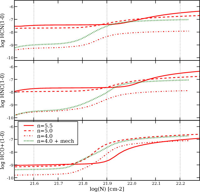
CN the abundance ratio is presented. Figure 2 presents
the predicted line ratios for PDR environments with three
representative densities (
,
105.0, and
104.0 cm-3). Variation of the UV-radiation fields only
leads to modest changes in the line ratios, because the UV flux is
largely attenuated at the high column densities where the molecules
are abundant. In analogy with earlier simulations, the UV flux has
been taken to be 160 erg s-1 cm
-2 = 105 Habing units
(Loenen et al. 2008), which is appropriate for starburst
environments. An additional simulation curve considers the
effect of additional mechanical heating resulting from feedback at a
low rate of
erg s-1 cm-3 in the lowest
density environment (
)
based on a
yr-1 (Loenen et al. 2008). This heats the gas to a
temperature of approximately 200 K.
![]() |
Figure 2:
Predicted line ratios for HNC (1-0)/HCN (1-0),
|
Open with DEXTER |
The predicted ratios in Fig. 2 display significant
variation for a varying global density and for different column
densities representing the surface and interior regions of clouds from
which the observable emission emerges. For the ratios HNC/HCN,
/HCN, and CS/HCN the cloud interiors dominate the observed
line ratios, while for CN the cloud surface would dominate the
observed line ratio. The predicted values cover the range for the
observed ratios.
![]() |
Figure 3:
Predicted line strength for HCN (1-0), HNC (1-0), and
|
Open with DEXTER |
2.3 HCN as a molecular indicator
The HCN molecule has been identified as the best high-density (HD) tracer to estimate the amount of high-density material and to describe the state of the starburst (see Gao & Solomon 2004; Baan et al. 2008). Extensive modeling shows that of the prominent HD-tracers, HCN is least sensitive to chemical and physical changes and may best serve as an indicator of the high-density molecular component (see Papadopoulos 2007; Loenen et al. 2007,2008). The predicted line strength of emission lines of HCN (1-0), HNC (1-0), and HCO+ are presented in Fig. 3 for three densities in the range of 105.5- 104 cm-3 and for the effect of low-density mechanical heating. The physical parameters of UV-flux and mechanical heating used for the simulations are identical to those used for Fig. 2 (see Sect. 2.2).
The emission line strength in Fig. 3 varies between the
cloud interior and the cloud surface and at higher densities. Furthermore,
the changing ambient density may vary from above to below the critical
density, which results in different excitation states for all molecules.
HCN(1-0) appears less sensitive to these changes,
because of its higher critical density (see Table 1), but is
also quite insensitive to additional physical effects. Even though, the
destruction of HNC at higher temperatures would increase the HCN abundance,
this can at most only double the abundance. Mechanical heating boosts
the line strength of all three molecules, but at lower densities (
cm-3) this merely compensates for the effect of a
decrease in density.
might seem more stable in
Fig. 3, but this is simply because the ambient density is above
most of the time. Moreover,
is
inherently more sensitive to radiative/chemical effects, because it is
an ion. Additional ionization can enhance it and higher electron
abundance can destroy it.
The physical and chemical modeling does not incorporate any clumpiness
of the medium, which could affect the (integrated) strength of the emission
lines. However, early PDR models for a clumpy medium (Spaans & van Dishoeck 1997; Spaans 1996)
indicate that opaque clumps (
mag) only
modestly affect the HCN/CO ratio, which also appears applicable for a large-scale
nuclear ISM. In addition, variation of the elemental abundance ratios, particularly C/N and O/N,
among extragalactic sources would strongly affect the chemical
balance. This would affect the strength of molecular emission lines
from regions with lower column densities but not from regions with high column densities.
Although all HD tracers will vary due to changing ISM conditions, it appears that HCN is least perturbed by other physical and chemical processes of the three molecular species considered here and may well serve as a reliable indicator of the HD gas component in the source. The HCN (1-0) (and higher) line strength does not necessarily need to vary linearly with time or with FIR luminosity; it only needs to be a monotone (smooth) function of the changing environment.
The validity of HCN as a representative HD tracer has been questioned
(Graciá-Carpio et al. 2008,2006) particularly because
the HCN abundance can be enhanced in the highest luminosity objects
due to IR pumping (Aalto et al. 2007) and XDR chemical enhancement
(Lepp & Dalgarno 1996). This XDR chemical enhancement is not depth
dependent and boosts HCN over a narrow range of ionization rates and
only for specific
and
(see Meijerink & Spaans 2005).
Also, the XDR component will typically have a much smaller annular scale
than the PDR, and will therefore suffer more from beam dilution (Schleicher et al. 2010).
Therefore, even a single AGN embedded in a starburst environment would
not likely cause a measurable boost of the HCN line strength.
Additionally, HCN enhancement at the highest FIR luminosities due to
IR pumping would still not preclude a smooth variation of the HCN
strength during a starburst.
![]() |
Figure 4: A histogram of observed L(HCN)/L(CO) values versus the predicted values from simulations. The curve corresponds to the (red) prediction curve in Fig. 1c. |
Open with DEXTER |
In the following discussion the ratio of the high-density and low-density components of the ISM will be used to indicate the sequence of evolutionary time based on the simulation of Sect. 2.1. The emission of the low-density component is well represented by CO (1-0), which is less affected by a nuclear starburst because it originates in a region much larger than the starburst region. Consequently, the HCN (1-0)/CO (1-0) ratio may serve as a indicator of the relative HD depletion over time.
![]() |
Figure 5:
Variation of the observed L(HCN)/L(CO) ratio with the
FIR-luminosity predicted from simulations. The predicted starburst
evolution curves for the HD/LD ratio are taken from
Fig. 1c. The location of the data points may be used to
estimate the evolutionary age of the starburst. Evolutionary ages
are indicated with dotted lines starting from the top at timesteps
2, 5,10, 20, 30, ..., 140. Each timesteps is of the order of
|
Open with DEXTER |
Table 2: Transitional line ratios for high-density tracer molecules.
A simple test of the viability of HCN (1-0)/CO (1-0) as an indicator
of the (progressing) evolutionary time may be the comparison in
Fig. 4 of the distribution of the ratios of the sources used
in the discussions below (no upper limits; see Table 2) with the shape
of the predicted curves in Fig. 1d (see
Sect. 2.1). While the sample is incomplete at lower
/
values, this simple model agrees quite well with
observations although the vertical scaling is still unknown.
A second test of the use of HCN (1-0)/CO (1-0) as evolutionary time indicator is a comparison in Fig. 5 of the ratios versus the FIR-luminosity with the predictions made in Fig. 1c (see Sect. 2.1). The locations of the data points are consistent with them following the predicted evolutionary curves. Assuming that the preliminary model in Sect. 2.1 depicts the first-order evolutionary behavior of a starburst, the location of data points relative to the evolutionary curves would be an indication of the evolutionary age of the starburst. Evolutionary ages are indicated by dotted lines covering a period of 108 yr. More detailed models need to be constructed to accurately apply this concept to the evolution of a starburst.
3 Signatures of evolution of the molecular ISM
A molecular line ratio indicates changes in the chemical and physical
environment that may affect both molecules in a different manner. The
line ratios for a number of characteristic molecular transitions have
been presented as a function of the HCN (1-0)/CO (1-0) line
ratio in Figs. 6-9. The line ratios for
high-density tracers in Table 2 are from Baan et al. (2008) with some
corrections of the calibration for some literature data. The
high-luminosity ULIRGs and OH Megamasers (OH MM), which are at early
stages of evolution, are located on the right-hand side of the
diagrams (filled symbols). Evolved sources at lower
(grey
symbols) are located on the left of the diagrams and may have been
affected by feedback during these late stages of evolution (see
Sect. 3.1 below).
The diagrams display a systematic move towards lower
/
values in the diagram as a result of the evolution
of the starburst. Any spread of the observed line ratios (along
y-axis) would result from variation of environmental effects and
excitation conditions.
![]() |
Figure 6:
The ratio of
|
Open with DEXTER |
3.1 The HCO+/HCN - HCN/CO relation
The diagram of the
(1-0)/HCN (1-0) data
(Fig. 6) displays two well-defined distributions of data
points which are both decreasing along the HCN (1-0)/CO (1-0)
axis (see Baan et al. 2008, for a first version). The main
distribution contains ULIRGs and luminous starburst galaxies while the
second group consists of low FIR luminosity sources that have been
affected by feedback (see below). Both distributions suggests a steady
increase of the
(1-0)/HCN (1-0) ratio with time, while the strength
of both transitions decreases during the evolution of the outburst.
![]() |
Figure 7: The ratio of HNC (1-0)/HCN (1-0) versus the HCN (1-0)/CO (1-0) ratio. The ratio of HCN/CO represents the progression of time for the nuclear activity running from right to left. The symbols and colors are as in Fig. 6. |
Open with DEXTER |
The
(1-0)/HCN (1-0) ratio in PDR-dominated environments is
predominantly sensitive to the mean density of the medium. At higher
densities it decreases because of the increased dissociative
recombination rate of
with free electrons. At lower molecular
densities and at later stages of starburst evolution, the enhanced
ionization balance (
)
would enhance
,
while at
cm-3 the increased cosmic ray flux resulting from
the SN of massive stars again destroys
.
Modeling of the predicted effect of changing the average density of
the ISM show a significant increase of the
(1-0)/HCN (1-0)
ratio for a change in density from 105.5 to 104 cm-3(Fig. 2). This trend agrees with the general trend of
the data points as shown by the red arrow in Fig. 6.
Feedback by mechanical heating at a lower density of 104 cm-3 lowers the
(1-0)/HCN (1-0) ratio at the cloud
centers (by a factor of three), but it is complicated by the mixed
effects of an increasing temperature and a decreasing density.
Feedback modeling results in Fig. 2 suggest a
displacement of the
(1-0)/HCN (1-0) data points towards
lower values that depends on feedback intensity (in between two green
arrows). This would move sources from the main distribution towards
the distribution of evolved sources (filled grey symbols at the left
side of Fig. 6).
Modeling shows that higher
/HCN values may also result from the
presence of an AGN and the creation of dominant XDRs
(Loenen et al. 2008). However, this change would be accompanied by an
increase in the HNC/HCN ratios, which is not observed in the data. It
should be noted that the separation of the evolved sources from the
main body would indicates that the nuclear feedback conditions vary on
very short timescales.
The main distribution of data points in the
/HCN diagram is
consistent with the predictions for a systematic change of the line
ratio towards lower HCN/CO values resulting from environmental changes
during the evolution of a starburst. A second group of data points
for evolved sources, which display the effects of feedback, displays a
different dependence for the
/HCN ratio on evolutionary time.
3.2 The HNC/HCN - HCN/CO relation
The HNC (1-0)/HCN (1-0) ratio displays data points covering a large range of values (factor of 8; Fig. 7). However, it should be noticed that data points for ULIRGs and also for evolved galaxies are separated from the central distribution (forming three bands of points). The distribution of data points displays a weak overall decrease with decreasing HCN/CO by a factor of 1.6.
The HNC (1-0)/HCN (1-0) ratio is sensitive to the heating of the environment (Loenen et al. 2008). For values larger than unity, the dominant heating source would be X-rays in XDRs. NGC 7469, with the largest ratio in our sample, is known to have a circum-nuclear starburst and a black hole X-ray source. Alternatively to X-ray heating, the enhancement in these sources may be caused by pumping with a very warm FIR radiation field that dominates over the collisional processes for densities up to 106 cm-3(Aalto et al. 2007). This process would operate at early stages of the evolution with high densities and intense IR radiation fields, which could explain the apparent HNC/HCN over-luminosity of the distinct group of OH MM/ULIRG sources in Fig. 7 (l.t.r.: NGC 4418, Arp 220, IRAS 15107+0724, and Mrk 231).
For HNC (1-0)/HCN (1-0) ratios in the range of 0.5 to unity, the
dominant heating source is the UV radiation in young PDRs. Ratios
smaller than 0.5 can not be explained by the steady state models of
PDRs (and XDRs). In a study of additional heating sources,
Meijerink et al. (2006) found that cosmic ray heating is not sufficient
to influence the HCN and HNC abundances. On the other hand, an
increase in the temperature by means of SNe and SNR shocks will
decrease the HNC/HCN ratio, by opening an additional chemical
conversion path from HNC to HCN (Schilke et al. 1992). This
conversion of HNC at later stages of evolution of the starburst is
facilitated by turbulent heating of gas in the central and densest
regions of the ISM and is a temperature ( K) dependent
chemical process (Loenen et al. 2008).
![]() |
Figure 8: The CN (1-0)/HCN (1-0) and CN (2-1)/HCN (1-0) ratios versus the HCN (1-0)/CO (1-0) ratio. Frame c) presents the CN (2-1)/CN (1-0) line ratio. The symbols and colors are as in Fig. 6. |
Open with DEXTER |
The HNC/HCN diagram displays three apparent groups of data points making a large (vertical) spread of the line ratio and possibly suggests enhanced ratios for the high-luminosity ULIRGs (see discussion above). The group of evolved sources at low HCN/CO forms a separate group of sources that shows little variation with time. While the red and green arrows depict the average time behavior of the distribution, the vertical spread and the grouping suggest that additional physics affects the HNC/HCN line ratios. Nevertheless, the HNC/HCN would also show a (weak) systematic variation with evolutionary time until feedback changes the environment.
3.3 The CN/HCN - HCN/CO relation
The variation of the two CN/HCN ratios versus the HCN/CO ratio are presented in Fig. 8. The CN (1-0)/HCN (1-0) ratio (Fig. 8a) displays a distribution that increases with decreasing HCN/CO ratios. On the other hand, the CN (2-1)/HCN (1-0) distribution (frame b) shows twice the spread of the CN (1-0)/HCN (1-0) ratio with a consistently zero slope.
The CN emission is generally enhanced in PDR-dominated Galactic (Rodriguez-Franco et al. 1998; Greaves & Church 1996) and extra-galactic environments (Fuente et al. 2005). To a large extent, CN is a photo-dissociation product of HCN and HNC in the irradiated outer layers of molecular clouds and serves as a diagnostic of the FUV and cosmic-ray driven gas-phase chemistry (see Rodriguez-Franco et al. 1998; Boger & Sternberg 2005).
The gradual increase in the CN (1-0)/HCN (1-0) ratio results
from the relatively low critical density of the CN (1-0) transition
(similar to
(1-0)). As the average density drops, the
CN (1-0) line strength at lower column densities will become
enhanced and less thermalized. In addition, the CN (2-1) emitting
volume (towards cloud centers) reduces relative to the CN (1-0)
emitting surface regions (low-column density) during the outburst.
The abundance simulations of PDR-dominated emission regions show that the CN/HCN abundance ratio in regions with high column densities remains close to unity when lowering the density from 105.5 to 104 (Fig. 2). Radiation transfer calculations have not yet been done for CN. This absence of variation of the CN abundance is consistent with the CN (2-1)/HCN (1-0) data points in Fig. 8b (red arrow). The introduction of mechanical heating due to feedback at later evolutionary times (green arrow) would lower the relative abundance by as much as a factor of 20, which is not yet seen in the data.
Inspection of the data points in Fig. 8a, b shows that two
luminous ULIRG sources, Arp 220 and Mrk 231, have an enhanced
CN (1-0) transition and a reduced CN (2-1) transition. This also
shows in the line ratios in Fig. 8c. This apparent lowering
of the
may be result from peculiar pumping conditions in
very luminous ULIRGs, possibly related to the anomalous
FIR pumping of HNC in these same sources (Aalto et al. 2007).
![]() |
Figure 9: The ratios of CS (3-2)/HCN (1-0) versus the HCN (1-0)/CO (1-0) ratio. The symbols and colors are as in Fig. 6. |
Open with DEXTER |
Assuming that the two ULIRG sources are indeed subject to anomalous
conditions, the CN (1-0)/HCN trend would be more upwards and the
CN (2-1)/HCN trend would be slightly downward with decreasing
HCN/CO. In addition, without these data points the observed CN (2-1)/CN (1-0) ratio
(Fig. 8c) displays a (nearly) linear dependence for the regular
starbursts and LIRGs with HCN/CO and evolutionary age. Since the
abundance of CN remains relatively constant, this factor 10 variation
in the line ratio could be attributed to excitation effects or variation of the
density. Attributing this change to (excitation) temperature only suggests a
change in effective
from 20 to 9 K, which is rather implausible.
Although this relation is still tentative because of the small number of
data points, this line ratio could be an indicator of the changing
density and the difference in critical densities of the two lines.
The CN/HCN diagrams suggest a systematic increase of the CN (1-0)/HCN (1-0) ratio with evolutionary time accompanied by no-change for the CN (2-1)/HCN (1-0) ratio. This would result in a (density-related) systematic lowering of the CN (2-1)/CN (1-0) ratio with evolutionary time. Detailed modeling of CN line ratios (in progress) is required to explain the environmental influence on the ratios in ULIRGs and the effect of feedback in evolved starbursts.
3.4 The CS/HCN - HCN/CO relation
The CS (3-2)/HCN (1-0) diagram (Fig. 9) also displays a large spread in data points (factor 30) and shows band-like sub-structure similar to the HNC (1-0)/HCN (1-0) diagram of Fig. 7. Again the OH MM/ULIRG sources form the upper envelope with enhanced CS (3-2) emission. The diagnostic diagram of the CS (3-2)/HCN (1-0) ratio displays a downward trend going to lower HCN/CO values during the course of an outburst.
The observed CS (3-2)/HCN (1-0) ratios mostly lie below unity, which is slightly lower than predicted from modeling (Fig. 2). These lower ratios may indicate that the average Sulfur-depletion in the sources is somewhat higher than the value of 400 used for Fig. 2c (see Loenen et al. 2010).
As a density tracer to first order with a high critical density, the CS emissions depend strongly on the clumped high-density regions with the highest column density in the ISM. The lower density (outer) regions of molecular structures contribute little to the overall emission (see also Fig. 2c). CS may be enhanced in photon-dominated regions due to reactions involving S+(Sternberg & Dalgarno 1995), while an enhanced cosmic ray flux would deplete its abundance.
The modeling results show that the average CS (3-2)/ HCN (1-0) line ratio at high column density would first increase when the average density drops to 105 cm-3and then decrease again (or flatten) when it reaches 104 cm-3 (Fig. 2). The introduction of mechanical heating and feedback at 104 cm-3 would lower the ratio by a factor up to 10. These theoretical tendencies have been indicated in Fig. 9 with two red arrows (for density) and a green arrow (for feedback).
The CS/HCN diagram also displays three apparent groups of data points making a large (vertical) spread of the line ratio, similar to the HNC/HCN diagram. Again there is the suggestion of enhanced ratios for the high-luminosity ULIRGs. The group of evolved sources at low HCN/CO also shows little variation with time. While the red and green arrows depict the average time behavior of the distribution, the vertical spread and the grouping suggest that additional physics affects the CS/HCN line ratios and results in a (weak) systematic variation with evolutionary time until feedback changes the environment.
4 Summary
The evolutionary stages of a nuclear starburst represent a well-determined sequence of events that would affect the ISM in a complex but predictable manner. As a result, the characteristics of the ISM and the subsequent star-formation process will change systematically during the course of the outburst and ultimately leads to the termination of the process. The dominant effects describing the nuclear ISM are the steady depletion of the high-density molecular component, the decreasing average density of the high density medium, and the increasing temperature resulting from the heating due to feedback.A simple model has been discussed that describes the decreasing
high-density component of the ISM during an outburst. It has also been
argued that HCN is the molecular species that is least affected by the
chemical and physical changes in the ISM and best serves as an
indicator of the high-density component in the ISM. For this reason,
all molecular variations in this study are measured relative to the
strength of the HCN (1-0). Molecular species will react
differently to the changing environment of the nuclear ISM and these
molecules will reveal different aspects of the changing physical and
chemical environment. In this example, the decreasing
HCN (1-0)/CO (1-0) ratio serves as an initial measure of
evolutionary time for the starburst. Systematic changes may be seen
for all characteristic line ratios with
evolutionary time. The observed ratios with HCN (1-0) for the two
transitions with lower critical densities, CN (1-0) and
(1-0), display a systematic increase with evolutionary time
of the starburst. Furthermore, the CN (2-1)/CN (1-0) ratio for starbursts and LIRGs
(tentatively) decreases
systematically with evolutionary time. All these ratios may be used as
indicators of evolutionary time of the starburst.
The two other transitions with higher critical densities, HNC (1-0) and CS (3-2) display a more complicated picture because it appears that additional physical processes affect the ratios, particularly for the highest-luminosity ULRGs. Both transitions display weak evolutionary variation with evolutionary age. While FIR pumping may account for the anomalous HNC/HCN ratio in these ULIRGs, a pumping mechanism for CS has yet to be identified. Besides HNC and CS, CN also displays anomalous excitation during the early ULIRG stage. Here the CN (1-0) line is enhanced and the CN (2-1) line is reduced relative to HCN (1-0), which may reduce the CN (2-1)/CN (1-0) ratio during early stages of evolution.
In addition to the main group of sources that display a systematic increase in the observed ratios with a lowering of the HCN/CO ratio, a group of evolved sources has been identified that would display a different dependence on evolutionary time. Besides the systematic lowering of density in the PDR-dominated environment (from 105.5 to 104 cm-3), the feedback from SNe and SNRs during later stages of evolution provides mechanical heating leads to lower ratios for all line ratio with respect to HCN (1-0) (Loenen et al. 2008).
The observed variation of characteristic line ratios may be used to diagnose the evolutionary state of the nuclear activity in galaxies. This would allow to establish an evolutionary sequence for ULIRGs and (future) SMGs and a way to understand and diagnose their physical processes. The systematic changes of the characteristic molecular line ratios already provide a first view of evolutionary sequence for the nuclear activity. While the relation between the HCN (1-0)/CO (1-0) line ratio and evolutionary time only provides relative time during the evolution of the starburst, further modeling of the observed changes would provide a more accurate translation to evolutionary time. In addition, sequential modeling to reconstruct the changing nuclear environment will provide a better understanding and identification of the different physical and chemical processes that determine the evolution of the molecular environment during a nuclear outburst. Additional observational data of multiple molecular transitions will further improve the understanding of the complex myriad of competing processes.
References
- Aalto, S., Spaans, M., Wiedner, M. C., & Hüttemeister, S. 2007, A&A, 464, 193 [NASA ADS] [CrossRef] [EDP Sciences] [Google Scholar]
- Baan, W. A., Henkel, C., Loenen, A. F., Baudry, A., & Wiklind, T. 2008, A&A, 477, 747 [NASA ADS] [CrossRef] [EDP Sciences] [Google Scholar]
- Bergin, E. A., Neufeld, D. A., & Melnick, G. J. 1998, ApJ, 499, 777 [NASA ADS] [CrossRef] [MathSciNet] [Google Scholar]
- Boger, G. I., & Sternberg, A. 2005, ApJ, 632, 302 [NASA ADS] [CrossRef] [Google Scholar]
- Coziol, R. 1996, A&A, 309, 345 [NASA ADS] [Google Scholar]
- Curran, S. J., Aalto, S., & Booth, R. S. 2000, A&AS, 141, 193 [NASA ADS] [CrossRef] [EDP Sciences] [PubMed] [Google Scholar]
- Fuente, A., García-Burillo, S., Gerin, M., et al. 2005, ApJ, 619, L155 [NASA ADS] [CrossRef] [Google Scholar]
- Gao, Y., & Solomon, P. M. 2004, ApJS, 152, 63 [NASA ADS] [CrossRef] [Google Scholar]
- Graciá-Carpio, J., García-Burillo, S., Planesas, P., & Colina, L. 2006, ApJ, 640, L135 [NASA ADS] [CrossRef] [Google Scholar]
- Graciá-Carpio, J., García-Burillo, S., Planesas, P., Fuente, A., & Usero, A. 2008, A&A, 479, 703 [NASA ADS] [CrossRef] [EDP Sciences] [Google Scholar]
- Greaves, J. S., & Church, S. E. 1996, MNRAS, 283, 1179 [NASA ADS] [Google Scholar]
- Lepp, S., & Dalgarno, A. 1996, A&A, 306, L21 [NASA ADS] [Google Scholar]
- Loenen, A. F., Baan, W. A., & Spaans, M. 2006, A&A, 458, 89 [NASA ADS] [CrossRef] [EDP Sciences] [Google Scholar]
- Loenen, A. F., Baan, W. A., & Spaans, M. 2007, in IAU Symp., 242, 462 [Google Scholar]
- Loenen, A. F., Spaans, M., Baan, W. A., & Meijerink, R. 2008, A&A, 488, L5 [NASA ADS] [CrossRef] [EDP Sciences] [Google Scholar]
- Loenen, A. F., Baan, W. A., & Spaans, M. 2010, A&A, submitted [Google Scholar]
- Meijerink, R., & Spaans, M. 2005, A&A, 436, 397 [NASA ADS] [CrossRef] [EDP Sciences] [Google Scholar]
- Meijerink, R., Spaans, M., & Israel, F. P. 2006, ApJ, 650, L103 [NASA ADS] [CrossRef] [Google Scholar]
- Papadopoulos, P. P. 2007, ApJ, 656, 792 [NASA ADS] [CrossRef] [Google Scholar]
- Rodriguez-Franco, A., Martin-Pintado, J., & Fuente, A. 1998, A&A, 329, 1097 [NASA ADS] [Google Scholar]
- Schilke, P., Walmsley, C. M., Pineau Des Forets, G., et al. 1992, A&A, 256, 595 [NASA ADS] [Google Scholar]
- Schleicher, D. R. G., Spaans, M., & Klessen, R. S. 2010, A&A, 513, A7 [NASA ADS] [CrossRef] [EDP Sciences] [Google Scholar]
- Schöier, F. L., van der Tak, F. F. S., van Dishoeck, E. F., & Black, J. H. 2005, A&A, 432, 369 [NASA ADS] [CrossRef] [EDP Sciences] [Google Scholar]
- Spaans, M. 1996, A&A, 307, 271 [NASA ADS] [Google Scholar]
- Spaans, M., & van Dishoeck, E. F. 1997, A&A, 323, 953 [NASA ADS] [Google Scholar]
- Sternberg, A., & Dalgarno, A. 1995, ApJS, 99, 565 [NASA ADS] [CrossRef] [Google Scholar]
All Tables
Table 1: Critial density for molecular transitions.
Table 2: Transitional line ratios for high-density tracer molecules.
All Figures
![]() |
Figure 1:
Simulations of a starburst. Three initial conditions are
considered (see text) and the curves are color coded. a) The
variation of the FIR-luminosity with representative time units of
|
Open with DEXTER | |
In the text |
![]() |
Figure 2:
Predicted line ratios for HNC (1-0)/HCN (1-0),
|
Open with DEXTER | |
In the text |
![]() |
Figure 3:
Predicted line strength for HCN (1-0), HNC (1-0), and
|
Open with DEXTER | |
In the text |
![]() |
Figure 4: A histogram of observed L(HCN)/L(CO) values versus the predicted values from simulations. The curve corresponds to the (red) prediction curve in Fig. 1c. |
Open with DEXTER | |
In the text |
![]() |
Figure 5:
Variation of the observed L(HCN)/L(CO) ratio with the
FIR-luminosity predicted from simulations. The predicted starburst
evolution curves for the HD/LD ratio are taken from
Fig. 1c. The location of the data points may be used to
estimate the evolutionary age of the starburst. Evolutionary ages
are indicated with dotted lines starting from the top at timesteps
2, 5,10, 20, 30, ..., 140. Each timesteps is of the order of
|
Open with DEXTER | |
In the text |
![]() |
Figure 6:
The ratio of
|
Open with DEXTER | |
In the text |
![]() |
Figure 7: The ratio of HNC (1-0)/HCN (1-0) versus the HCN (1-0)/CO (1-0) ratio. The ratio of HCN/CO represents the progression of time for the nuclear activity running from right to left. The symbols and colors are as in Fig. 6. |
Open with DEXTER | |
In the text |
![]() |
Figure 8: The CN (1-0)/HCN (1-0) and CN (2-1)/HCN (1-0) ratios versus the HCN (1-0)/CO (1-0) ratio. Frame c) presents the CN (2-1)/CN (1-0) line ratio. The symbols and colors are as in Fig. 6. |
Open with DEXTER | |
In the text |
![]() |
Figure 9: The ratios of CS (3-2)/HCN (1-0) versus the HCN (1-0)/CO (1-0) ratio. The symbols and colors are as in Fig. 6. |
Open with DEXTER | |
In the text |
Copyright ESO 2010
Current usage metrics show cumulative count of Article Views (full-text article views including HTML views, PDF and ePub downloads, according to the available data) and Abstracts Views on Vision4Press platform.
Data correspond to usage on the plateform after 2015. The current usage metrics is available 48-96 hours after online publication and is updated daily on week days.
Initial download of the metrics may take a while.