Issue |
A&A
Volume 516, June-July 2010
|
|
---|---|---|
Article Number | A16 | |
Number of page(s) | 5 | |
Section | Astrophysical processes | |
DOI | https://doi.org/10.1051/0004-6361/200913447 | |
Published online | 17 June 2010 |
Jet precession driven by neutrino-cooled disk for gamma-ray bursts
T. Liu1 - E.-W. Liang2 - W.-M. Gu3 - X.-H. Zhao4,5 - Z.-G. Dai1 - J.-F. Lu3
1 - Department of Astronomy, Nanjing University, Nanjing,
Jiangsu 210093, PR China
2 - Department of Physics, Guangxi
University, Nanning, Guangxi, 530004, PR China
3 - Department of
Physics and Institute of Theoretical Physics and Astrophysics,
Xiamen University, Xiamen, Fujian 361005, PR China
4 - National
Astronomical Observatories/Yunnan Observatory, Chinese Academy of
Sciences, Kunming, Yunnan, 650011, PR China
5 - Key Laboratory for the
Structure and Evolution of Celestial Bodies, Chinese Academy of
Sciences, Kunming, Yunnan, 650011, PR China
Received 10 Octobre 2009 / Accepted 12 March 2010
Abstract
Aims. A model of jet precession driven by a neutrino-cooled
disk around a spinning black hole is presented to explain the temporal
structure and spectral evolution of gamma-ray bursts (GRBs).
Methods. The differential rotation of the outer part of a
neutrino-dominated accretion disk may result in precession of the inner
part of the disk and the central black hole, hence driving a precessed
jet via neutrino annihilation around the inner part of the disk.
Results. Both analytic and numeric results for our model are
presented. Our calculations show that a black-hole, accretion-disk
system with the black hole mass
,
accretion rate
,
spin parameter a=0.9, and viscosity parameter
may drive a precessed jet with period P=1 s and luminosity L=1051 erg s-1, corresponding to the scenario for long GRBs. A precessed jet with P=0.1 s and L=1050 erg s-1 may be powered by a system with
,
,
a=0.1, and
,
and is possibly responsible for the short GRBs. Both the temporal and
spectral evolution in GRB pulse may be explained with our model.
Conclusions. GRB central engines most likely power a precessed
jet driven by a neutrino-cooled disk. The global GRB lightcurves thus
could be modulated by the jet precession during the accretion timescale
of the GRB central engine. Both the temporal and spectral evolution in
GRB pulse may stem from a viewing effect of the jet precession.
Key words: accretion: accretion disks - black hole physics - gamma ray burst: general
1 Introduction
Internal shock models have been extensively discussed for gamma-ray bursts (GRBs) (Rees & Mészáros 1992; Mészáros & Rees 1993; Zhang & Mészáros 2004),
in which an individual shock episode of two collision shells gives rise
to a pulse, and random superposition of pulses results in the observed
complexity of
GRB lightcurves (e.g., Daigne & Mochkovitch 1998; Kobayashi et al. 1999).
The observed flux rapidly increases in the dynamic timescale of a
two-shell collision, then decays due to the delayed photons from high
latitudes with respect to the line of sight upon the abrupt cessation
of emission after the shock crossing timescale, shaping the observed
fast-rise-exponential-decay (FRED) pulses. However, some well-separated
GRB pulses show symmetric structure, and their peak energy of the
spectrum (
)
traces the lightcurve behavior (Liang & Kargatis 1996; Liang & Nishimura 2004; Lu & Liang 2009; Peng et al. 2009).
Both the temporal and spectral properties of these symmetric pulses are
difficult to be explained with internal shocks. In addition, the
observed
relation (Amati et al. 2002) or
relation (Wei & Gao 2003; Liang et al. 2004; Yonetoku et al. 2004) also challenge the internal shock models (e.g., Zhang & Mészáros 2002).
Quasi-periodic feature observed in some GRB lightcurves motivated ideas that the GRB jet may be precessed (Blackman et al. 1996; Fargion 1999; Portegies Zwart et al. 1999; Portegies Zwart & Totani 2001; Reynoso et al. 2006; Lei et al. 2007). It is generally believed that the progenitors of short and long GRBs are the mergers of two compact objects (Eichler et al. 1989; Paczynski 1991; Narayan et al. 1992; see recent review by Nakar 2007) and core collapsars of massive stars (Woosley 1993; Paczynski 1998; see reviews by Woosley & Bloom 2006), respectively. Although the progenitors of the two types of GRBs are different, the models for their central engines are similar, and essentially all can be simply classed as a rotating black hole with a rapidly hyper-accreting process of a debris torus surrounding the central black hole. Such a black hole-disk system drives an ultra-relativistic outflow to produce both the prompt gamma rays and afterglows in lower energy bands.
The most popular one is neutrino-dominated accretion flows (NDAFs), involving a black hole of
and a hyper-critical rate in the range of
(Popham et al. 1999; Narayan et al. 2001; Kohri & Mineshige 2002; Di Matteo et al. 2002; Kohri et al. 2005, 2007; Lee et al. 2005; Gu et al. 2006; Chen & Beloborodov 2007; Liu et al. 2007, 2008, 2010; Kawanaka & Mineshige 2007; Janiuk et al. 2007).
The different direction of
angular momentum of two compact objects and the anisotropic fall-back
mass in collapsar may conduct precession between black hole and disk.
In this scenario, the inner part of the disk is
driven by the black hole during the accretion process. The differential
rotation between the inner and outer parts may result in precession of
the inner part of the disk and the central black
hole, hence drive a precessed jet produced by neutrino annihilation
around the inner part of the disk, forming an S- or Z-shaped jet as
observed in many extragalactic radio sources (see, e.g. Florido
et al. 1990). A tilted accretion disk surrounding a black hole would
also lead to the precession of the black hole and result in an S-shaped jet as observed in SS 433 (Sarazin et al. 1980; Lu 1990; Lu & Zhou 2005),
although the angle between angular momentum of black hole and disk is
small because of evolution of a two-compact-object
system may decrease the angle between them in mergers or the
anisotropic fall-back mass cannot produce a large angle between black
hole and fall-back mass in collapsars.
In this paper, we propose a model of jet precession driven by a neutrino-cooled disk around a spinning black hole to explain the temporal structure and spectral evolution of GRBs. In our model, the global profile of a GRB lightcurve may be modulated by the jet procession. The temporal structure and spectral evolution may signal an on-axis/off-axis cycle of the light of sight (LOS) to a precessed jet axis, as proposed by some authors to explain the nature of low-luminosity GRBs 980425 and 031203 (Nakamura 1998; Eichler & Levinson 1999; Waxman 2004; Ramirez-Ruiz et al. 2005) or to present a unified model for GRBs and X-ray flashes (Yamazaki et al. 2003) and the observed spectral lag in long GRBs (Norris 2002; Salmonson & Galama 2002).
We present both analytic and numerical analyse of jet precession driven by a neutrino-cooled disk around a spinning black hole in Sects. 2 and 3. Simplifying the jet emission surface as a point source, we demonstrate the profile and evolution of a GRB pulse in Sect. 4. Conclusions and discussion are shown in Sect. 5.
![]() |
Figure 1: Schematic picture of a precessing system. |
Open with DEXTER |
2 Model
An accretion disk is warped by its precession (Sarazin et al. 1980).
We consider a spinning black hole surrounding a tilted accretion
disk that its rotation axis is misaligned with that of the black
hole, as shown in Fig. 1. Its angular momentum is
,
where M is the black hole mass, and a (0<a<1) is the
dimensionless specific angular momentum. Since d
for a ring at radius r in the disk with width
dr, we get
,
where
and
are the disk surface density and rotational
velocity. Due to the Lense-Thirring effect (Lense & Thirring 1918),
the disk material inside a critical radius rp, which is defined
as
,
will be aligned with the equatorial plane of
the black hole. The outer portion of the disk (
)
with
sufficiently large angular momentum keeps its orientation. This
makes the black hole precess along with the inner disk (Bardeen & Petterson 1975). A jet dominated by the ejections of neutrino
annihilation around the inner part of the disk thus would be
precessed (Popham et al. 1999; Liu et al. 2007). The precession rate
of the central black hole and the inner disk is given by
(Sarazin et al. 1980). Regions with
in the disk should contribute to the precession. The
decreases as r increases, so one cannot expect a period behavior
in an observed lightcurve from our model.
With the continuity equation
![]() |
(1) |
the precession period P then can be expressed as
![]() |
(2) |
where







![]() |
(3) |
It is found that P is sensitive to



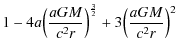
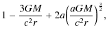
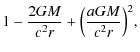
3 Numerical results
Equation (3) shows an explicit dependence of P on a,



A | = | ![]() |
(4) |
B | = | ![]() |
(5) |
C | = | ![]() |
(6) |
D | = | ![]() |
(7) |
where rms is the inner boundary of the disk. The equation of conservation of mass remains valid, while hydrostatic equilibrium in the vertical direction leads to a corrected expression for the half thickness of the disk (Riffert & Herold 1995),
![]() |
(8) |
where



![]() |
(9) |
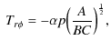
and the angular momentum equation can be simplified as (Riffert & Herold 1995; Lei et al. 2009)
![]() |
(10) |
The equation of state is
![]() |
(11) |
where




![]() |
(12) |
where






![]() |
(13) |
The equation system consisting of Eqs. (1), (2), (4)-(13) is closed for an unknown precession period P. It can be numerically solved for a given parameter set of M,
























![]() |
Figure 2:
Illustration of numerical results for P as a function of
|
Open with DEXTER |
![]() |
Figure 3:
|
Open with DEXTER |
The observed luminosity of prompt gamma rays may also place
constraints on our model parameters. We assume that the observed
gamma-ray luminosity is comparable to the injected neutrino
annihilation luminosity L. Similar to
,
L is a function of M,
,
a, and
,
written as
.
It can be calculated
following the approach of Ruffert et al. (1997), Popham et al. (1999), Rosswog et al. (2003), and Liu et al. (2007). Since the
calculation of L (or P) as a function of these parameters is
very time-consuming, we calculated only for typical L values and
present our results with
as a function of M, a,
for a given L (or P). We take L=1051 erg s-1for long GRBs and L=1050 erg s-1 for short GRBs. Based on
our analysis above, we also calculated
as a function of
M for P=1 s and P=0.1 s for the parameter set (L, a,
) = (1051 erg s-1, 0.9, 0.01) and (L, a,
) = (1050 erg s-1, 0.1, 0.01). We show
as
a function of M for different parameter sets in Fig. 3. It is
found that for a given luminosity,
as a function of Mgreatly depends on the rotation of the black hole (see the dotted
lines in Fig. 3). The accretion rate
does not
significantly increase with M for a=0.1.
![]() |
Figure 4: Predicted flux F (the solid line) and Ep (the dashed line) with our model for a symmetric pulse (panel a) and a FRED pulse (panel b) with comparisons to the observations (insets). |
Open with DEXTER |











4 Temporal profile and spectral evolution of a GRB pulse from a precessing jet
As discussed above, in the framework of our model one cannot expect period information from the observed lightcurves since the precession period is time-dependent. Since the period is a function of some time-dependent parameters, as mentioned above, the temporal profile and spectral evolution of pulses in GRB lightcurves may be direct information about jet precession since the jet precession may conduct an on-axis/off-axis cycle during a precession period for a given observer.
As discussed in Sect. 1, the -tracing-flux spectral evolution feature is observed in some GRB pulses (e.g. Liang et al. 1996; Peng et al. 2009; Lu & Liang 2009). The profiles of these pulses are
generally FRED, and are occasionally symmetrical. These temporal and
spectral features can be explained with our model. We just
illustrate the lightcurve and the spectral evolution for a point
source with arbitrary radiation intensity in the axis with an
arbitrary precession period with ultra-relativistic velocity in the
jet axis. As shown by Granot et al. (2002), by assuming the emitting
region as a point source in the jet axis, the calculation can give
reasonable results without any assumption on the jet structure.
Therefore, we adopt the point source assumption in our calculations.
We just illustrate the lightcurve and the spectral evolution for a
point source with arbitrary radiation intensity in the axis with an
arbitrary precession period for an observer (on-axis and off-axis)
at the rest frame in Sect. 4. If the emitting region is a shell of
the jet with a given opening angle, the peak of the pulse would be
flattened for a uniformed jet. Our calculation is followed by the
one in Granot et al. (2002).
The observed flux F and
would be amplified by the Doppler
effect,
,
.
The observed timescale
would be
,
where the
subscript 0 means the ``on-axis'' quantities,
is the view
angle between the jet axis and the LOS and
,
and
is the Lorentz factor. From
Fig. 1, we have
![]() |
(14) |
where













5 Conclusions
We have suggested that the differential rotation of the outer part
of a neutrino-dominated accretion disk may result in precession of
the central black hole and the inner part of the disk, so may power
a precessed jet via neutrino annihilation around the inner part of
the disk. Both analytic and numeric results are present. Our
calculations show that for a black hole-accretion disk system with
,
,
a=0.9 and
may drives a precessed jet with P=1 s
and L=1051 erg s-1, corresponding to the scenario for
long GRBs. A precessed jet with P=0.1s and L=1050 erg s-1 may be powered by a system with
,
,
a=0.1, and
,
possibly being responsible for the short GRBs. These
results are generally consistent with simulations for long and short
GRB productions from collapsars and from mergers of compact stars.
Both temporal and spectral features observed in GRB pulses may be
explained with our model.
The correlation between
(or
)
and Epin the burst frame (Amati et al. 2002; Liang et al. 2004) are
difficult to explain in the framework of internal shock scenarios.
Our model suggests an Ep-tracing-flux behavior within a GRB pulse
caused by the on-axis/off-axis effect for a given observer, similar
to that proposed by Yamazaki et al. (2004). The
-tracing-flux
behavior would give rise to the observed correlations between
(
)
and
in the burst frame.
We thank the anonymous referee for very useful comments. We also thank Bing Zhang, Shuang-Nan Zhang, Li-Xin Li, and Wei-Hua Lei for beneficial discussions. This work was supported by the China Postdoctoral Science Foundation funded project 20080441038 (T.L.), the National Natural Science Foundation of China under grants 10778711 (W.M.G.), 10833002 (J.F.L. and W.M.G.), 10873002 (E.W.L.), 10873009 (Z.G.D.), the National Basic Research Program (973 Program) of China under Grant 2009CB824800 (E.W.L., W.M.G., and J.F.L.). E.W.L. also acknowledges the support from Guangxi SHI-BAI-QIAN project (Grant 2007201), the Guangxi Science Foundation (2010GXNSFC013011), the program for 100 Young and Middle-aged Disciplinary Leaders in Guangxi Higher Education Institutions, and the research foundation of Guangxi University (M30520).
References
- Amati, L., Frontera, F., Tavani, M., et al. 2002, A&A, 390, 81 [NASA ADS] [CrossRef] [EDP Sciences] [Google Scholar]
- Bardeen, J. M., & Petterson, J. A. 1975, ApJ, 195, L65 [NASA ADS] [CrossRef] [Google Scholar]
- Belczynski, K., Taam, R. E., Rantsiou, E., & van der Sluys, M. 2008, ApJ, 682, 474 [NASA ADS] [CrossRef] [Google Scholar]
- Blackman, E. G., Yi, I., & Field, G. B. 1996, ApJ, 473, L79 [NASA ADS] [CrossRef] [Google Scholar]
- Chen, W.-X., & Beloborodov, A. M. 2007, ApJ, 657, 383 [NASA ADS] [CrossRef] [Google Scholar]
- Daigne, F., & Mochkovitch, R. 1998, MNRAS, 296, 275 [Google Scholar]
- Di Matteo, T., Perna, R., & Narayan, R. 2002, ApJ, 579, 706 [NASA ADS] [CrossRef] [Google Scholar]
- Eichler, D., & Levinson, A. 1999, ApJ, 521, L117 [NASA ADS] [CrossRef] [Google Scholar]
- Eichler, D., Livio, M., Piran, T., & Schramm, D. N. 1989, Nature, 340, 126 [NASA ADS] [CrossRef] [Google Scholar]
- Fargion, D. 1999, A&AS, 138, 507 [Google Scholar]
- Florido, E., Battaner, E., & Sanchez-Saavedra, M. L. 1990, Ap&SS, 164, 131 [NASA ADS] [CrossRef] [Google Scholar]
- Granot, J., Panaitescu, A., Kumar, P., & Woosley, S. E. 2002, ApJ, 570, 61 [Google Scholar]
- Gu, W.-M., Liu, T., & Lu, J.-F. 2006, ApJ, 643, L87 [NASA ADS] [CrossRef] [Google Scholar]
- Janiuk, A., Yuan, Y.-F., Perna, R., & Di Matteo, T. 2007, ApJ, 664, 1011 [NASA ADS] [CrossRef] [Google Scholar]
- Janiuk, A., Moderski, R., & Proga, D. 2008, ApJ, 687, 433 [NASA ADS] [CrossRef] [Google Scholar]
- Kato, S., Fukue, J., & Mineshige, S. 2008, Black-Hole Accretion Disks (Kyoto: Kyoto Univ. Press) [Google Scholar]
- Kawanaka, N., & Mineshige, S. 2007, ApJ, 662, 1156 [NASA ADS] [CrossRef] [Google Scholar]
- Kluzniak, W., & Lee, W. H. 1998, ApJ, 494, L53 [NASA ADS] [CrossRef] [Google Scholar]
- Kobayashi, S., Piran, T., & Sari, R. 1999, ApJ, 513, 669 [NASA ADS] [CrossRef] [Google Scholar]
- Kohri, K., & Mineshige, S. 2002, ApJ, 577, 311 [NASA ADS] [CrossRef] [Google Scholar]
- Kohri, K., Narayan, R., & Piran, T. 2005, ApJ, 629, 341 [NASA ADS] [CrossRef] [Google Scholar]
- Kohri, K., Ohsuga, K., & Narayan, R. 2007, MNRAS, 381, 1267 [NASA ADS] [CrossRef] [Google Scholar]
- Lee, W. H., Ramirez-Ruiz, E., & Page, D. 2005, ApJ, 632, 421 [NASA ADS] [CrossRef] [Google Scholar]
- Lei, W. H., Wang, D. X., Gong, B. P., & Huang, C. Y. 2007, A&A, 468, 563 [NASA ADS] [CrossRef] [EDP Sciences] [Google Scholar]
- Lei, W. H., Wang, D. X., Zhang, L., et al. 2009, ApJ, 700, 1970 [NASA ADS] [CrossRef] [Google Scholar]
- Lense, J., & Thirring, H. 1918, Phys. Z., 19, 156 [Google Scholar]
- Liang, E., & Kargatis, V. 1996, Nature, 381, 49 [NASA ADS] [CrossRef] [Google Scholar]
- Liang, E., & Nishimura, K. 2004, Phys. Rev. Lett., 92, 175005 [NASA ADS] [CrossRef] [PubMed] [Google Scholar]
- Liang, E.-W., Xie, G.-Z., & Su, C.-Y. 2002, PASJ, 54, 1 [NASA ADS] [Google Scholar]
- Liang, E.-W., Dai, Z.-G., & Wu, X.-F. 2004, ApJ, 606, L29 [NASA ADS] [CrossRef] [Google Scholar]
- Liu, T., Gu, W.-M., Xue, L., & Lu J.-F. 2007, ApJ, 661, 1025 [NASA ADS] [CrossRef] [Google Scholar]
- Liu, T., Gu, W.-M., Xue, L., Weng, S.-S., & Lu J.-F. 2008, ApJ, 676, 545 [NASA ADS] [CrossRef] [Google Scholar]
- Liu, T., Gu, W.-M., Dai, Z.-G., & Lu, J.-F. 2010, ApJ, 709, 851 [NASA ADS] [CrossRef] [Google Scholar]
- Lu J.-F. 1990, A&A, 229, L424 [NASA ADS] [Google Scholar]
- Lu J.-F., & Zhou, B.-Y. 2005, ApJ, 635, L17 [NASA ADS] [CrossRef] [Google Scholar]
- Lu, R.-J., & Liang, E.-W. 2009, Science in China, submitted [Google Scholar]
- MacFadyen, A. I., & Woosley,S. E. 1999, ApJ, 524, 262 [NASA ADS] [CrossRef] [Google Scholar]
- Mészáros, P., & Rees, M. J. 1993, ApJ, 405, 278 [Google Scholar]
- Nakamura, T. 1998, Prog. Theor. Phys., 100, 921 [NASA ADS] [CrossRef] [Google Scholar]
- Nakar, E. 2007, Phys. Rep., 442, 166 [NASA ADS] [CrossRef] [Google Scholar]
- Nakar, E., & Piran, T. 2002, MNRAS, 331, 40 [NASA ADS] [CrossRef] [Google Scholar]
- Narayan, R., Paczynski, B., & Piran, T. 1992, ApJ, 395, L83 [NASA ADS] [CrossRef] [Google Scholar]
- Narayan, R., Piran, T., & Kumar, P. 2001, ApJ, 557, 949 [NASA ADS] [CrossRef] [Google Scholar]
- Norris, J. P. 2002, ApJ, 579, 386 [NASA ADS] [CrossRef] [Google Scholar]
- Paczynski, B. 1991, , 41, 257 [Google Scholar]
- Paczynski, B. 1998, ApJ, 494, L45 [NASA ADS] [CrossRef] [Google Scholar]
- Peng, Z.-Y., Ma, L., Zhao, X.-H., et al. 2009, ApJ, 698, 417 [NASA ADS] [CrossRef] [Google Scholar]
- Popham, R., Woosley, S. E., & Fryer, C. 1999, ApJ, 518, 356 [NASA ADS] [CrossRef] [Google Scholar]
- Portegies Zwart, S. F., Lee, C. H., & Lee, H. K. 1999, ApJ, 529, 666 [NASA ADS] [CrossRef] [Google Scholar]
- Portegies Zwart, S. F., & Totani, T. 2001, ApJ, 328, 951 [NASA ADS] [Google Scholar]
- Ramirez-Ruiz, E., Granot, J., Kouveliotou, C., et al. 2005, ApJ, 625, L91 [NASA ADS] [CrossRef] [Google Scholar]
- Rees, M. J., & Mészáros, P. 1992, MNRAS, 258, 41 [NASA ADS] [CrossRef] [Google Scholar]
- Reynoso, M. M., Romero, G. E., & Sampayo, O. A. 2006, A&A, 454, 11 [NASA ADS] [CrossRef] [EDP Sciences] [Google Scholar]
- Riffert, H., & Herold, H. 1995, ApJ, 450, 508 [NASA ADS] [CrossRef] [Google Scholar]
- Rosswog, S., Ramirez-Ruiz, E., & Davies, M. B. 2003, MNRAS, 345, 1077 [NASA ADS] [CrossRef] [Google Scholar]
- Ruffert, M., Janka, H.-Th., Takahashi, K., & Schäfer, G. 1997, A&A, 319, 122 [NASA ADS] [Google Scholar]
- Salmonson, J. D., & Galama, T. J. 2002, ApJ, 569, 682 [NASA ADS] [CrossRef] [Google Scholar]
- Sarazin, C. L., Begelman, M. C., & Hatchett, S. P. 1980, ApJ, 238, L129 [NASA ADS] [CrossRef] [Google Scholar]
- van Putten, M. H. P. M., & Ostriker, E. C. 2001, ApJ, 552, L31 [NASA ADS] [CrossRef] [Google Scholar]
- Waxman, E. 2004, ApJ, 602, 886 [NASA ADS] [CrossRef] [Google Scholar]
- Wei, D. M., & Gao, W. H. 2003, MNRAS, 345, 743 [NASA ADS] [CrossRef] [Google Scholar]
- Woosley, S.E. 1993, ApJ, 405, 273 [NASA ADS] [CrossRef] [Google Scholar]
- Woosley, S. E., & Bloom, J. S. 2006, ARA&A, 44, 507 [NASA ADS] [CrossRef] [Google Scholar]
- Yamazaki, R., Yonetoku, D., & Nakamura, T. 2003, ApJ, 594, L79 [NASA ADS] [CrossRef] [Google Scholar]
- Yamazaki, R., Ioka, K., & Nakamura, T. 2004, ApJ, 606, L33 [NASA ADS] [CrossRef] [Google Scholar]
- Yonetoku, D., Murakami, T., Nakamura, T., et al. 2004, ApJ, 609, 935 [NASA ADS] [CrossRef] [Google Scholar]
- Zhang, B., & Mészáros, P. 2002, ApJ, 581, 1236 [NASA ADS] [CrossRef] [Google Scholar]
- Zhang, B.,& Mészáros, P. 2004, Int. J. Mod. Phys. A, 19, 2385 [NASA ADS] [CrossRef] [Google Scholar]
All Figures
![]() |
Figure 1: Schematic picture of a precessing system. |
Open with DEXTER | |
In the text |
![]() |
Figure 2:
Illustration of numerical results for P as a function of
|
Open with DEXTER | |
In the text |
![]() |
Figure 3:
|
Open with DEXTER | |
In the text |
![]() |
Figure 4: Predicted flux F (the solid line) and Ep (the dashed line) with our model for a symmetric pulse (panel a) and a FRED pulse (panel b) with comparisons to the observations (insets). |
Open with DEXTER | |
In the text |
Copyright ESO 2010
Current usage metrics show cumulative count of Article Views (full-text article views including HTML views, PDF and ePub downloads, according to the available data) and Abstracts Views on Vision4Press platform.
Data correspond to usage on the plateform after 2015. The current usage metrics is available 48-96 hours after online publication and is updated daily on week days.
Initial download of the metrics may take a while.