Issue |
A&A
Volume 516, June-July 2010
|
|
---|---|---|
Article Number | A12 | |
Number of page(s) | 4 | |
Section | Astrophysical processes | |
DOI | https://doi.org/10.1051/0004-6361/200913515 | |
Published online | 17 June 2010 |
Quasi-linear diffusion driving the synchrotron emission in active galactic nuclei
Z. Osmanov - G. Machabeli
Center for Theoretical Astrophysics, ITP, Ilia State University, Kazbegi str. 2a, Tbilisi 0160, Georgia
Received 20 October 2009 / Accepted 3 March 2010
Abstract
Aims. We study the role of the quasi-linear diffusion (QLD)
in producing X-ray emission by means of ultra-relativistic electrons in
AGN magnetospheric flows.
Methods. We examined two regions: (a) an area close to the black
hole and (b) the outer magnetosphere. The synchrotron emission has been
studied for ultra-relativistic electrons and was shown that the QLD
generates the soft and hard X-rays, close to the black hole and on the
light cylinder scales respectively.
Results. By considering the cyclotron instability, we show that
despite the short synchrotron cooling timescales, the cyclotron modes
excite transverse and longitudinal-transversal waves. On the other
hand, it is demonstrated that the synchrotron reaction force and a
force responsible for the conservation of the adiabatic invariant tend
to decrease the pitch angles, whereas the diffusion, that pushes back
on electrons by means of the aforementioned waves, tends to increase
the pitch angles. By examining the quasi-stationary state, we
investigate a regime in which these two processes are balanced and a
non-vanishing value of pitch angles is created.
Key words: galaxies: active - instabilities - magnetohydrodynamics (MHD) - radiation mechanisms: non-thermal
1 Introduction
One of the major problems related to active galactic nuclei is the
origin of the nonthermal high energy radiation. According to standard
approaches, the most commonly encountered radiation
mechanisms at a level sufficient for application to AGN is the
synchrotron mechanism and the inverse Compton scattering (Blandford et al. 1990). Because of strong synchrotron losses, relativistic
electrons in general, quickly lose their perpendicular energy, and on a synchrotron cooling timescale
s,
the particles transit to their ground Landau state. In this case, the
electrons may be described approximately as moving one-dimensionally
along the field lines and the synchrotron radiation to have been
absorbed. This is why the broadband emission spectrum of AGN consists
of two components: the high-energy (from X-rays to
-rays)
component is formed by the inverse Compton scattering and not by the
synchrotron mechanism, which is supposed to be
involved only in the low-energy (from radio to optical/UV) band.
However, under certain conditions, due to the QLD of cyclotron waves,
the pitch angles might increase, leading to the efficient
production of synchrotron radiation.
The QLD was applied to pulsars in a series of papers (Machabeli & Usov 1979; Lominadze et al. 1979 ; Malov & Machabeli 2001). Malov & Machabeli (2001) studied optical synchrotron emission of radio pulsars. In the outer parts of pulsar magnetospheres, these authors demonstrated that because of the cyclotron instability, the transverse momenta of relativistic particles is non-zero, giving rise to the pitch angle distribution, which in turn, via the QLD, leads to the synchrotron emission. Applying the kinetic approach to a particular pulsar, RX J1856.5-3754, Chkheidze & Machabeli (2007) showed that waves excited by the cyclotron mechanism, in terms of the creation of the pitch angles, come into the radio domain. The QLD interesting because the recent detection of very high energy (VHE) pulsed emission form the Crab pulsar (Albert et al. 2008). The MAGIC Cherenkov telescope discovered the pulsed emission above 25 GeV between 2007 October and 2008 February. It has been shown that the corresponding VHE signal peaks at the same phase as the signal in the optical spectrum (Albert et al. 2008). In turn this indicates that the polar cap models must be excluded from the possible scenario of the radiation. On the other hand, analysis of the MAGIC data implies that the location of the aforementioned VHE and optical radiation must be the same. According to the quasi-linear diffusion, on length scales typical of the light cylinder (a hypothetical zone, where the linear velocity of rigid rotation equals exactly the speed of light), the cyclotron instability occurs in the optical band, leading to an increase in the pitch angles via the QLD. This mechanism automatically explains the coincidence of phases in the optical and VHE bands (Machabeli & Osmanov 2009 ).
AGN magnetospheres are supported by strong magnetic fields and therefore, the QLD might also be of great importance to these particular objects. As aforementioned, for ultra-relativistic electrons the synchrotron losses are so efficient that the synchrotron mechanism takes place only for relatively low energy particles and highly relativistic electrons are involved in radiation via the inverse Compton scattering. This is not true for the QLD, because as for the pulsar magnetospheres, AGN magnetospheric particles will undergo the QLD, preventing the rapid damping of pitch angles, giving rise to the emission process.
In the present paper, we study the role of the QLD in producing the X-rays via the synchrotron mechanism in AGN magnetospheres. The paper is organized as follows. In Sect. 2, we consider the kinetic approach to the quasi-linear diffusion, in Sect. 3 we present our results and in Sect. 4 we summarize them.
2 Main consideration
When relativistic particles move in the magnetic field, they emit electromagnetic waves corresponding to the photon energies (Rybicki & Lightman 1979)
where by B we denote the magnetic induction,


We consider the plasma to consist of two components: (a) the electron-positron plasma component with the Lorentz factor,
and (b) highly relativistic electrons, the so-called beam
component with the Lorentz factor,
.
According to the the QLD model, the consequent transverse modes generate frequencies (Kazbegi et al. 1992)
where
We denote by k the modulus of the wave vector, where c is the speed of light,



Kazbegi et al. (1992) demonstrated that the aforementioned waves are excited if the cyclotron resonance condition
is satisfied, where




In deriving Eq. (5), we have taken into account the condition

When particles move in a nonuniform magnetic field, they undergo a force
that is responsible for the conservation of the adiabatic invariant,
(Landau & Lifshitz 1971). The corresponding components of this force are given by
In the synchrotron regime, we should detect the radiative force (Landau & Lifshitz 1971):
where

These forces
tend to decrease the pitch angle of the particle. On the other hand,
the feedback of low frequency waves excited by particles be means of
the cyclotron resonance,
leads to the quasi-linear diffusion of particles. In turn, the QLD,
attempts to widen the range of the pitch angles opposing both
and
.
The dynamical process saturates when the effects of the above-mentioned
forces are balanced by the diffusion. There are, in general two
different mechanisms of radiation: (I) the resonance cyclotron emission
and (II) the synchrotron process, the first of which, as we have
already mentioned, is a collective phenomenon
,
whereas the second is a single particle process
that does not require superposition.
We consider the case
and
.
By assuming a quasi-stationary scenario
,
the corresponding kinetic equation can be given by (Malov & Machabeli 2001)
where


are the diffusion coefficients,


By expressing the distribution function as


where
The corresponding mean value of the pitch angle can be estimated as to be
Therefore, as we see, the QLD maintains the pitch angles and prevents them from damping, which in turn maintains the properties of the synchrotron process.
3 Discussion
Most AGN exhibit VHE emission, which in turn indicates that the AGN
magnetosphere is contained of ultra-relativistic electrons. In this
context, the origin of acceleration of particles is very important.
Proposed mechanisms such as Fermi-type acceleration (Catanese & Weeks 1999), centrifugal acceleration (Machabeli & Rogava 1994; Osmanov et al. 2007; Rieger & Aharonian 2008), and acceleration due to the black hole dynamo mechanism (Levinson 2000) can effectively provide Lorentz factors of the order of
.
For an isotropic distribution of relativistic electrons (Blandford et al. 1990) in very strong magnetic fields, particles emit in the synchrotron regime with the power,
,
therefore by assuming
,
the synchrotron cooling timescale,
can be estimated to be
where we have taken into account that the energy is uniformly distributed between the beam and the plasma components,


where




All quantities vary because of the cyclotron instability, which causes to the QLD. By using Eqs. (3-5), we can estimate the frequency of the cyclotron mode to be
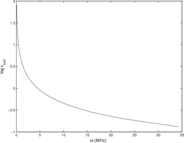
We consider a nearby zone of the AGN with mass











![]() |
Figure 1:
The synchrotron emission energy versus the cyclotron frequency. The set of parameters is
|
Open with DEXTER |
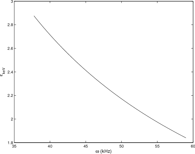
Unlike the previous case, we show in Fig. 2 the same behavior for the outer magnetospheric (light cylinder) lengthscales. The set of parameters is
,
,
L = 1045 erg/s,
,
,
and
.
As shown in Fig. 2,
the radio frequency close to the light cylinder zone, in the kHz domain
excites the hard X-ray emission by means of the QLD. From Eqs. (6, 7), one can straightforwardly check the validity of our assumptions,
and
,
confirming our approach. It is also interesting to investigate the QLD
for different values of the luminosity. We examine the luminosity
interval from 1045 erg/s to the Eddington limit, which for the given black hole mass,
,
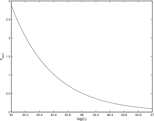
equals 1047 erg/s. In Fig. 3, we show the strong X-ray energy versus the AGN luminosity. The set of parameters is
,
,
L = 1045-47 erg/s,
,
,
and
.
As is evident from the figure, the emission energy is a continuously
decreasing function of the luminosity. Indeed, by combining Eqs. (1, 12, 13, 15), we see that the synchrotron emission energy behaves as L-3/4.
![]() |
Figure 2:
The synchrotron emission energy versus the cyclotron frequency. The set of parameters is
|
Open with DEXTER |
![]() |
Figure 3:
The synchrotron emission energy versus the AGN luminosity. The set of parameters is
|
Open with DEXTER |
Therefore, as our investigation shows, the QLD is a working mechanism in AGN magnetospheric flows and drives the synchrotron process.
4 Summary
The main aspects of the present work can be summarized as follows:
- 1.
- We studied the quasi-linear interaction of proper modes of AGN magnetospheric plasmas with the resonant plasma particles. For this purpose, the synchrotron reaction force has been taken into account. The role of the QLD was studied in the context of producing the soft and hard X-ray emission from AGN.
- 2.
- It has been shown that the synchrotron cooling timescales for ultra-relativistic electrons are very small, and particles rapidly transit to the ground Landau state, that in turn, prevents the subsequent radiation. We found that, under certain conditions the cyclotron instability develops, leading to the creation of pitch angles, and the subsequent synchrotron process.
- 3.
- We have considered two extreme regions of magnetospheres: (a) relatively close to the black hole and (b) the light cylinder zone. As our model shows, the cyclotron instability, under certain conditions, generates the radio frequency in the range (0.06-35) MHz and creates the soft X-ray emission, (0.13-100) keV, via the QLD. For the light cylinder area, radio spectra occurs in the range (38-59) kHz, which produces the hard X-ray emission in the domain (1.8-2.9) keV. We have emphasized that from an observational evidence one can directly verify the validity of the QLD by determining (I) the polarization and (II) phases of signals in radio and X-ray domains respectively.
- 4.
- The quasi-linear diffusion has also been studied versus the AGN luminosity. It was shown that for more luminous AGN, the corresponding photon energy of the hard X-ray emission, generated by the synchrotron mechanism is lower.
The research was supported by the Georgian National Science Foundation grant GNSF/ST07/4-193.
References
- Abert J., Alia, E., Anderhub, H., et al. 2008, ApJ, 674, 1037 [NASA ADS] [CrossRef] [Google Scholar]
- Blandford R. D., Netzer H., & Woltjer L. 1990, Active Galactic Nuclei (Springer-Verlag) [Google Scholar]
- Catanese M., & Weeks T. C. 1999, PASP, 111, 1193 [NASA ADS] [CrossRef] [Google Scholar]
- Chkheidze N. 2009, A&A, 500, 861 [NASA ADS] [CrossRef] [EDP Sciences] [Google Scholar]
- Chkheidze N., & Lomiashvili G. 2008, New. Ar., 13, 12 [Google Scholar]
- Chkheidze N., & Machabeli G. 2007, A&A, 471, 599 [NASA ADS] [CrossRef] [EDP Sciences] [Google Scholar]
- Kazbegi A. Z., Machabeli G. Z., & Melikidze G. I. 1992, MNRAS, 253, 377 [Google Scholar]
- Landau L. D., & Lifshitz E. M. 1971, Classical Theory of Fields (London: Pergamon) [Google Scholar]
- Levinson Amir 2000, Phys. Rev. L, 85, 912 [NASA ADS] [CrossRef] [Google Scholar]
- Lominadze J. G., Machabeli G. Z., & Mikhailovsky A. B. 1979, J. Phys. Colloq., 40, 713 [NASA ADS] [CrossRef] [EDP Sciences] [Google Scholar]
- Machabeli G., & Osmanov Z. 2009, ApJL, 700, 114 [Google Scholar]
- Machabeli G. Z., & Rogava A. D. 1994, Phys. Rev. A, 50, 98 [NASA ADS] [CrossRef] [PubMed] [Google Scholar]
- Machabeli G. Z., & Usov V. V. 1979, AZhh Pis'ma, 5, 238 [Google Scholar]
- Malov I. F., & Machabeli G. Z. 2001, ApJ, 554, 587 [NASA ADS] [CrossRef] [Google Scholar]
- Osmanov Z., Rogava A. S., & Bodo G. 2007, A&A, 470, 395 [NASA ADS] [CrossRef] [EDP Sciences] [Google Scholar]
- Rieger F. M., & Aharonian F. A. 2008, A&A, 479, L5 [NASA ADS] [CrossRef] [EDP Sciences] [Google Scholar]
- Rybicki G. B., & Lightman A. P. 1979, Radiative Processes in Astrophysics (New York: Wiley) [Google Scholar]
- Thorne K. S., Price R. H., & Macdonald D. A. 1988, Black Holes: The Membrane Paradigm (New Haven: Yale University Press) [Google Scholar]
All Figures
![]() |
Figure 1:
The synchrotron emission energy versus the cyclotron frequency. The set of parameters is
|
Open with DEXTER | |
In the text |
![]() |
Figure 2:
The synchrotron emission energy versus the cyclotron frequency. The set of parameters is
|
Open with DEXTER | |
In the text |
![]() |
Figure 3:
The synchrotron emission energy versus the AGN luminosity. The set of parameters is
|
Open with DEXTER | |
In the text |
Copyright ESO 2010
Current usage metrics show cumulative count of Article Views (full-text article views including HTML views, PDF and ePub downloads, according to the available data) and Abstracts Views on Vision4Press platform.
Data correspond to usage on the plateform after 2015. The current usage metrics is available 48-96 hours after online publication and is updated daily on week days.
Initial download of the metrics may take a while.