Issue |
A&A
Volume 516, June-July 2010
|
|
---|---|---|
Article Number | A41 | |
Number of page(s) | 13 | |
Section | Extragalactic astronomy | |
DOI | https://doi.org/10.1051/0004-6361/200913563 | |
Published online | 24 June 2010 |
The evolution of an intra-cluster and intra-group stellar population
Their contribution to the stellar mass, their age, and their dynamics
W. Kapferer1 - S. Schindler1 - S. R. Knollmann2 - E. van Kampen3
1 - Institute for Astro- and Particle Physics, University of Innsbruck,
Technikerstr. 25, 6020 Innsbruck, Austria
2 - Departamento de F
sica Te
rica, Modulo C-XI, Facultad de
Ciencias, Universidad Aut
noma de Madrid, 28049
Cantoblanco, Madrid, Spain
3 - ESO, Karl-Schwarzschild-Strasse 2,85748 Garching bei Muenchen,
Germany
Received 28 October 2009 / Accepted 30 March 2010
Abstract
Aims. We investigate the properties of an
intra-cluster stellar population (ICSP) and an intra-group stellar
population (IGSP) as a function of time. We apply different criteria to
separate between the stellar components residing in the galaxies and in
the intergalactic spaces. In addition we investigate the rate of SNIa
events in the ICSP/IGSP and the amount of 56Fe
produced by these events. Finally we compare the dynamics of the
ICSP/IGSP with the stellar component residing in the galaxies.
Methods. By applying a combined N-body/hydrodynamic
description (GADGET-2) with radiative cooling and a recipe for star
formation and stellar feedback two different sized systems were
calculated, i.e. galaxy cluster and galaxy groups. From these
simulations extended halo catalogues were extracted with AHF: Amiga's
Halo Finder. Together with the full information of all particles in the
simulation several separation criteria between the ICSP/IGSP and the
stellar component in the galaxies were investigated in detail.
Results. Applying different criteria to distinguish
the stellar components inside and outside clusters/groups reveals
different amounts of stellar mass present in the ICSP. We find that 7%
to 40% of all stars belong to the ICSP in the galaxy cluster simulation
depending on the applied separation criteria at redshift z=0.
The same separation criteria applied on a group simulation results in a
3% to 30% IGSP component compared to the total stellar mass in the
system at redshift z=0. Our investigation reveals a
major difference between the gradient in the evolution of the ICSP and
IGSP; the stellar mass present in the ICSP is increasing, whereas the
fraction of stellar mass in the IGSP is decreasing in the same redshift
regime. Applying simple SNIa rate estimates yields SNIa rates for the
ICSP/IGSP of the order of 0.05 SNIa events per year in the ICSP and one
order of magnitude lower for the IGSP, reflecting the different stellar
masses in the ICSP/IGSP. The amount of 56Fe-mass
produced by the ICSP/IGSP SNIa is nearly two orders of magnitudes lower
than observed values. The mean age of the stellar component populating
the ICSP/IGSP is younger than the mean age of the stellar component in
the galaxies. The maximum in the velocity distribution of the ICSP is
shifted to lower velocities compared to the maximum in the velocity
distribution of the stellar component in the galaxy cluster simulation.
This reflects the high galaxy interaction rate present in the galaxy
clusters. The difference gives us a measure for the dynamical state of
the galaxy cluster/group.
Key words: methods: numerical - galaxies: interactions - galaxies: clusters: general - galaxies: general
1 Introduction
Observations of a diffuse stellar light between the galaxies in
galaxy clusters have shown that the intra-cluster stellar population
(ICSP) represents a substantial fraction of the total stellar
population present in the galaxy clusters (Arnaboldi et al. 2002,
2003, 2004;
Feldmeier et al. 2003;
Gerhard et al. 2005;
Mihos et al.
2005). The
fraction of the ICSP to the total stellar population in a
galaxy cluster seems to scale with the total mass of the system.
Even in galaxy groups a diffuse component was detected (Sulentic
&
Lorre 1983;
Moles, et al. 1998).
More
recent studies (Nishiura et al. 2000; White
et al. 2003)
have
identified an intra-group stellar population (IGSP) in HCG 79
and
HCG 90. In these systems 13% and 45% of the total light of the
group in the B band corresponds to the
IGSP, respectively. Zibetti
et al. (2005)
investigated the spatial distribution and colour of
intracluster light (ICL) in 683 galaxy clusters in the
redshift
range between z=0.2 and 0.3, selected from
the first data release of
the Sloan Digital Sky Survey. They found that on average the ICL
contributes only a small fraction of the total optical emssion in a
given cluster. Within a fixed distance of 500 kpc around the
brightest cluster galaxies (BCDs) the average fraction is
per cent.
Furthermore the authors claim that the ICL is
aligned with and more flattened than the BCG itself and that the
surface brightness of the ICL correlates both with the BCG
luminosity and the richness of the cluster. Krick & Bernstein
(2007)
investigated the ICL in a sample of 10 galaxy clusters and
found that a cD galaxy in the cluster yields centrally concentrated
ICL profiles. They conclude that their finding is consistent with
ICL either forming from galaxy interactions at the the centre of the
clusters or at high redshifts in groups which will merge in the
centre at lower redshifts. On the scale of galaxy groups
Da Rocha et al. (2008) found by
investigating three compact groups, HCG 15, 35
and 51 that 19, 15 and 26 per cent of the total light
in these
groups are in the diffuse component,
with colours that are comparable with old stellar populations.
The origin and the evolution of the ICSP is currently under debate. The ICSP could be produced by tidal stripping and disruption of galaxies at their passage through the dense central region of the galaxy cluster (Byrd & Valtonen 1990; Gnedin 2003). Maybe the ICSP was formed by tidal stripping of galaxies at the very initial formation of the galaxy cluster (Merritt 1984). Another proposed process are high-velocity galaxy encounters in the dense cluster environment (Moore et al. 1996) or galaxy mergers (Kapferer et al. 2005; Murante et al. 2007), which can redistribute stellar matter up to large radii around the interacting systems. As ram-pressure stripping is able to trigger star formation in the stripped gaseous wake (Kronberger et al. 2008; Kapferer et al. 2008, 2009) this process forms stars directly in the intra-cluster space.
Besides the origin of the ICSP several numerical
investigations of
their properties were carried out. First approaches were pure dark
matter simulations in which the dark matter particles acted as
tracer particles for a supposed stellar component (Napolitano
et al.
2003).
cold dark matter (CDM) cosmological hydrodynamic
simulations were carried out by Murante et al. (2004, 2007) to
quantify the amount and distribution of the ICSP in a set of galaxy
clusters. Willman et al. (2004) found the
fraction of the ICSP to
the total stellar population grows with the infall of groups during
the formation of the galaxy cluster. The properties of intra-group
stars in galaxy groups were investigated in detailed TreeSPH
simulations by Sommer-Larsen (2006).
The simulations included a
star-formation recipe, chemical evolution with non-instantaneous
recycling, metallicity-dependent radiative cooling, strong
star-burst driven galactic super-winds and effects of a
meta-galactic ultraviolet field. The author found that intra-group
(IG) stars contribute 12-45 per cent of the total
group B-band
luminosity at z = 0. In addition it was found that
the IG stars in
fossil groups are older compared to the IG stars in the ``normal''
groups. Furthermore the author could show that the mean iron
abundance of the IG stars is slightly sub-solar in the central parts
of the groups and decreases to about 40 per cent
solar at half
virial radius. Furthermore, the expected number of planetary nebulae
in fossil groups was published by Sommer-Larsen (2006), which is
of the order of 500 at projected distances between 100 and
1000 kpc
from the first ranked galaxy.
By applying an extensively tested analytical model for subhalo
infall and evolution together with empirical constraints from galaxy
survey data to set the stellar mass in each accreted subhalo, which
is added to the difusse light, Purcell et al. (2007)
investigated
dependencies of the diffuse stellar light on the mass properties of
the host system. The authors found that intrahalo light is in the
range from 0.5% to 20% from small galaxy halos
(10
)
to poor groups (
10
).
Beyond the group scale the trend in the fraction of
intrahalo light flattens and increases weakly from a fraction of
20% in poor
galaxy clusters (
10
)
to
30% in
massive clusters (
10
).
Purcell
et al. (2007) found that the intracluster light is mainly
liberated from massive galaxies
.
In this work we investigate different definitions for the ICSP
or
intra-group stellar population (IGSP). Also the difference between
the ICSP/IGSP and the stellar component with respect to dynamics and
age is studied. Therefore we applied two high-resolution cold
dark matter (CDM) cosmological hydrodynamic simulations with
constrained initial conditions to investigate the diffuse stellar
component in two very different systems, an intermediate mass galaxy
cluster and a simulation volume in which several massive groups of
galaxies are formed. Furthermore we estimate the amount of
SN Ia
events in the intergalactic space and their importance for the
enrichment of the intra-cluster/inter-galactic medium. In addition
we investigate the dynamics of the ICSP/IGSP with respect to the
dynamics of the galaxies and the dark matter component.
The investigation of the diffuse stellar component in galaxy clusters and groups sheds more light on the formation history of these systems. Furthermore the interaction between the ICSP/IGSP and its environment is poorly understood and due to observational limits not investigated yet.
The paper is structured as follows. After introducing the numerical setup we give basic properties of the simulated systems. The different selection criteria for the ICSP/IGSP are presented Sect. 4. In Sect. 5 we give the dependence of the fraction of the ICSP/IGSP as a function of definitions, similar to the procedure observers would apply. The dynamics of the ICSP/IGSP is compared to the dynamics of the galaxies and the dark matter components of the systems in Sect. 6. Finally the conclusions and discussion on the results are given in Sect. 7.
2 Numerical setup
The simulations were carried out with the N-body/SPH
code GADGET-2
developed by Springel (see Springel 2005 for details). The code
treats the gas of the galaxies and the surrounding gas by smoothed
particle hydrodynamics (SPH Gingold & Monaghan 1977; Lucy 1977).
The collisionless dynamics of the dark matter and the stellar
component is modelled by an N-body technique.
Additional routines
for cooling, star formation (SF), stellar feedback, and galactic
winds are included as described in Springel & Hernquist (2003). The
structure of GADGET-2 is based on the TreeSPH code
Hernquist & Katz (1989),
where gravitational interactions are
calculated by a hierarchical multipole expansion, and the gas
dynamics is treated by means of smoothed particle hydrodynamics
(SPH). The gas particles are distinct tracer particles with an
additional kernel interpolation to describe continuous fluid
quantities. Gadget2 defines the thermodynamic state of each fluid
element in terms of entropy per unit mass and conserves both energy
and entropy. Discontinuities in gaseous matter generate entropy,
which is treated by an artificial viscosity term in the SPH scheme.
The most important component of the scheme is the density estimate
at the position of each gas tracer particle. An adaptive smoothing
length hi
for each particle is defined in a way that the
corresponding kernel volume contains a constant mass for the
estimated density. The smoothing length and the corresponding
estimated density is calculated by
where
is the number of
neighbours taken into account, and
is the
corresponding average particle mass. Details on the equation of
motion and the thermodynamics can be found in Springel et al.
(2005).
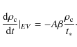
To model star formation we applied the so called ``hybrid''
method for star formation and feedback which was introduced by
Springel & Hernquist (2003).
In this approach, cold gas clouds
coexist in pressure equilibrium with a hot ambient gas. With the
average density of the stars
,
the cold gas
and
the hot medium
,
the total gas density in the disk can be
written as
.
Due to the finite number of
particles in our simulations
and
represent
averages over regions of the inter-stellar medium (ISM). The central
assumption in the approach is the conversion of cold clouds into
stars on a characteristic timescale t*
and the release of a
certain mass fraction
due to supernovae (SNe). This relation
can be expressed as
![]() |
(1) |
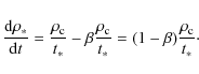
As the released material from SNe is hot gas, the cold gas reservoir decreases at the rate









![]() |
(2) |
The evaporation process is assumed to be a function of the local environment with an efficiency A



3 Properties of the modelled systems
In order to investigate the properties of the ICSP/IGSP and their evolution we simulated two different systems, an intermediate massive galaxy cluster and a group of galaxies. The initial conditions were created using the constrained random field method of Hoffman & Ribak (1991), as implemented by van de Weygaert & Bertschinger (1996). The computational domains were represented by a periodic boundary box with 32 Mpc h-1 side length at a starting redshift of z = 99. The extent of the box was chosen to be well above the size of the cluster in the centre of the box. However, the fundamental mode for this box is approximately 5 h-1 Mpc, close to the size of the cluster, hence this is the smallest box that still allows the cluster to evolve properly towards its final overdensity. Even though the cluster models do lack the effect of the surrounding large-scale structure distribution, e.g. tidal fields, we feel that for case studies, i.e. individual cluster simulations such as presented in this paper, this is not an important drawback, and the advantage of being able to simulate at a higher resolution easily justifies our choice for the smallest possible boxsize. The simulations employed 2563 dark matter and 2563 gas particles. In Table 1 the mass resolution of the different components and the softening length are given. For the galaxy group simulation in a total of 174 177 timesteps and for the galaxy cluster simulation a total of 472 698 timesteps were calculated, respectively. Based on the detailed resolution analysis of Murante et al. (2007) we can conclude that the resolution presented in this work is sufficient to allow a detailed investigation of the ICSP/IGSP.
Table 1: Properties of the particles in the simulations.
In Fig. 1 the distribution of the different components of the two simulated systems at a redshift z = 0 centred on the most massive halo found in the computational domain is shown. In the top panel the temperature of the gas in a 10 Mpc h-1 area around the centre of mass is shown, in the middle panel the dark matter distribution in the same area and in the the lower panel the stellar distribution again in the same region is drawn.![]() |
Figure 1: Distribution of the different components, i.e. gas, stellar matter and dark matter, in the simulated systems at redshift z=0. In the top panel the left side a) shows the gas temperature in the galaxy group, whereas the right side b) shows the same quantity for the galaxy cluster. In the middle panel the dark matter distribution in the same area is shown for the group c) and the galaxy cluster d). In the lower panel the distribution of the stars in the galaxy group e) and in the galaxy cluster f) in the same region is given. |
Open with DEXTER |

4 Selection criteria for the intra-cluster stellar population
As the full dynamical knowledge of the stellar component in the systems investigated in this work is not accessible to observers, we follow a different approach compared to previous works (e.g. Murante et al. 2004, 2007): We separate the ICSP/IGSP from the stellar component in the galaxies by means of the distance of a stellar particle to all identified haloes in the simulations within a 2 Mpc h-1 sphere around the cluster/group centre. We do not make any distinction between main group/cluster halos and sub-halos. This implies that central galaxies and satellite galaxies are treated with the same scaling relations for separating the galactic from ICSP/IGSP stars. This is a different approach compared to the work of e.g. Sommer-Larsen et al. (2005) and Sommer-Larsen (2006), where a tidal radius limit was applied to define the intracluster stars. In a forthcoming work these different scaling relations for group/cluster halos and sub-halos and their influence on the amount of ICSP/IGSP will be studied.
As a first step in extracting the ICSP/IGSP a halo finder algorithm was applied. The (sub)halo properties for 393 different time-steps, equally distributed along the time axis of the simulations, were extracted with AHF (AMIGA Halo Finder, Knollmann & Knebe 2009). For each identified (sub)halo several properties of the different components in the simulation - total matter, gaseous matter and stellar matter - were extracted. Among the different parameters are halo mass, virial radius, dynamical properties like virial velocities, just to mention some.
A detailed description of AHF is given in the code description paper Knollmann & Knebe 2009), but for convenience we will provide a brief summary of the mode of operation below. By virtue of the adaptive mesh hierarchy employed to sample the density field, AHF locates overdensities as prospective halo centers. The local potential minima are computed for each of these density peaks and, treating the prospective halo in isolation, the gravitationally bound particles are determined. Only peaks with at least 20 bound particles are considered as haloes and retained for further analysis.
![]() |
Figure 2:
The evolution in the redshift range |
Open with DEXTER |
For each halo we computed the virial radius ,
that is
the radius r at which the density
drops
below
.
Here
is
the cosmological background density. The threshold
was computed using the spherical top-hat collapse model and is
a function of both cosmological model and time. Subhaloes are
defined as haloes which lie within the virial region of a more
massive halo, the so-called host halo. As subhaloes are embedded
within the density of their respective host halo, their very own
density profile usually shows a characteristic upturn at a radius
,
where
would be their actual
(virial) radius if they were found in isolation. We used this
``truncation radius'' rt
as the outer edge of the subhalo.
Hence (sub-)halo properties (i.e. mass, density profile,
velocity
dispersion, rotation curve) were calculated using the
gravitationally bound particles inside either the virial radius
for a host halo or the truncation radius rt
for a subhalo
.
In Figs. 3
and 4
the virial and stellar mass functions of the two simulations are
plotted at redshift z=0. The structure formation in
the galaxy
cluster simulation does suppress star formation in comparison to the
galaxy group simulation. In Fig. 5 a
scatter plot of the mass of stars found in all halos against the
stellar mass in the halos is given for redshift z=0.
In the plot the
resolution within the simulations can be seen. Within the smallest
bound halos a stellar population in the range of several 107
is
present in both systems. The influence of a hot
intra-cluster medium (ICM) and high merger rates in galaxy clusters
on the gas content in the halos can also be seen in Fig. 5. On
average the halos have less gas
content for a given stellar mass content.
![]() |
Figure 3: Histogram of the virial mass of haloes found in the simulations at redshift z = 0. |
Open with DEXTER |
![]() |
Figure 4: Histogram of stellar mass present in haloes in the simulations at redshift z = 0. |
Open with DEXTER |
![]() |
Figure 5: The gas mass of all haloes found in the simulations at redshift z = 0 against the stellar mass present in the haloes. |
Open with DEXTER |
Given full information of all the particles throughout the computational domain and the properties of the bound structures by means of the halo extraction routine, several separations criteria for the ICSP/IGSP were applied. The criteria are as follows.
The first two are simply fractions of the virial radius.
Criterion 1: If a stellar particle distance to all found
haloes in the
simulation is larger then 0.1
the particle is flagged
as a member of the ICSP/IGSP. Criterion 2: If a stellar
particle
distance to all found haloes in the simulation is separated more
than 0.5
the particle is flagged as a member of the
ICSP/IGSP (Criterion 2).
For each halo we determined if the gas mass is less than 10%
compared to the stellar mass for a given time. If this criterion was
fulfilled the halo was treated as if it would harbour an elliptical
or S0 galaxy and consequently an effective radius iswascalculated as
described in Chiosi & Carraro (2002) for the
corresponding halo. In Chiosi & Carraro (2002) two
mass-radius relations for elliptical
systems with stellar masses
and
were derived respectively. The effective
radius for the massive systems was calculated by
[kpc]
and for
the less massive systems by
[kpc].
If
haloes have a gas to stellar matter fraction higher than 0.1 the
halo was considered to harbour a late-type galaxy. In this case a
disc radius
for the corresponding halo was derived as
proposed in Burkert & D'Onghia (2004). They
propose to calculate by
by
kpc.
Where
is the dimensional spin parameter
of the halo as proposed by Bullock et al. (2001) and
is
the peak velocity of the dark matter rotation curve.
Given these two parameters
and
for each
bound halo three different criteria for counting a stellar particle
to the ICSP/IGSP were applied. Criterion 3: If the distance of
a
stellar particle to all haloes in the simulation is larger than
3
for haloes harbouring elliptical systems and
6
for haloes harbouring late-type systems, the stellar
particle is added to the ICSP. Criterion 4 and 5: If
the separation
is larger than 5
and 8
or if the distance is
larger than 7
and 10R
the particle is counted
to be a member of the ICSP/IGSP. In Figs. 6
and 7
the histograms of the disc scale length, effective
radii and virial radii for early and late type galaxies in the whole
galaxy cluster simulation volume at redshift z = 0
is shown. For a
given galaxy with 10% gas mass the difference between
and
is typically very small.
![]() |
Figure 6: Histogram of the disc length and the virial radii for late type galaxies in the whole galaxy cluster simulation volume. |
Open with DEXTER |
![]() |
Figure 7: Histogram of the effective radii for all early type galaxies in the whole galaxy cluster simulation volume. |
Open with DEXTER |
In Table 2 the criteria are summarised. With these criteria we were able to obtain a more realistic determination if the ICSP/IGSP compared to observations, which are inherently separation-based criteria.
5 Properties of the intra-cluster stellar population
Applying the selection criteria for stellar particles presented in the last section allowed us to derive several properties of the ICSP/IGSP. In Figs. 8 and 9 the stellar surface-density maps for all separation criteria are shown for the galaxy cluster and galaxy group simulations at redshift z =0.
Table 2: Separation criteria for stellar particles belonging to the ICSP.
Obviously the simple separation criterion of 0.1
![]() |
Figure 8: Stellar surface-density for the intra-cluster stellar population (coloured map) and the stellar population in the galaxies (white to opaque colour map) for the different separation criteria for the galaxy cluster system at redshift z=0. a)-criterion 1; b)-criterion 2; c)-criterion 3; d)-criterion 4; and e)-criterion 5. |
Open with DEXTER |
![]() |
Figure 9: Stellar surface-density for the intra-group stellar population (coloured map) and the stellar population in the galaxies (white to opaque colour map) for the different separation criteria for the galaxy cluster system at redshift z =0. a)-criterion 1; b)-criterion 2; c)-criterion 3; d)-criterion 4; and e)-criterion 5. |
Open with DEXTER |
Increasing the separation from criterion 1 to
criterion 2
(0.5
)
leads to a much less massive ICSP/IGSP
component. The other separation criteria, applying the disc-scale
length
and the effective radius
shows
the expected behaviour of an increasing amount of ICSP/IGSP with
smaller separation. The features at the edges of the major axis of
the stellar component in the subclusters seen in the ICSP
are a direct result of the fact that along this axis more galaxies are
present.
The evolution of the stellar mass in the ICSP/IGSP due to the different separation criteria is given in Fig. 10.
The largest stellar mass in the ICSP/IGSP yields the
separation
criterion 1 (0.1
), the minimum amount of
stellar
mass can be found in the ICSP by applying separation criterion 2
(0.5
). The criteria 3-5 result in
a steady decrease
of mass in the ICSP/IGSP, as can be seen in the ICSP surface density
maps presented in Fig. 8.
Another interesting behaviour
regarding the evolution of the stellar mass in the ICSP/IGSP can be
seen in Fig. 10.
After each
merger event, which is established as a local maximum in the mass in
the ICSP/IGSP the stellar mass in the ICSP/IGSP decreased
afterwards. The reason for this is the dynamics of the stellar
particles, which represent the ICSP/IGSP. After the structures
interacted, the generated ICSP/IGSP started to relax dynamically,
leading to a decrease in the mass of the ICSP/IGSP. Especially in
the galaxy cluster simulation the temporary decrease of the stellar
mass in the ICSP after a minor merger event at
is
visible.
![]() |
Figure 10:
Evolution of the stellar mass present in the intra-cluster/intra-group
stellar population and the total stellar mass in the redshift range |
Open with DEXTER |
![]() |
Figure 11:
Evolution of the ratio between the mass in the
intra-cluster/intra-group stellar population to the total stellar
mass in the redshift range |
Open with DEXTER |
In Fig. 12
the evolution of the total star-formation rate in
the cluster and group simulation volume is shown. The group
simulation does form stars at the same rate as the cluster
simulation in the redshift range
to z = 0. This nicely
reflects the star-formation decrease in galaxy clusters and does
explain why the evolution of the fraction of diffuse light in the
group simulation does not show a strong gradient as the cluster
simulation. New stars in the galaxies are formed at a relatively
higher rate. The decrease of the fraction of diffuse light in the
group simulation in the redshift regime between z=1
and z=0 is
partly caused by a lower merger rate: The group simulation exhibits
a less pronounced galaxy merger rate compared to the cluster
simulation. In addition, the fraction of diffuse light is decreasing
because new stars are formed in the group galaxies, leading to a net
decrease in the diffuse light component.
In galaxy clusters galaxy interactions at high-velocities, at a high rate, are much more common than in galaxy groups. Therefore the mean age of the ICPS is older than the mean age of the IGSP, because stellar particles that fall back on the merged haloes are again accelerated by a upcoming interactions. Furthermore the mean age of the diffuse stellar component should vary more strongly in galaxy groups than in galaxy clusters due to individually resolved galaxy interactions. In addition the stronger variation in the mean age in the IGSP depends on the star-formation history of the system. As there are more stars produced in the galaxy group simulation relative to the cluster simulation per stellar mass present in the system, the ratio of the mean ages in the galaxies and the diffuse component shows more scatter. In the galaxy cluster simulation the ages in the diffuse component are more comparable to the ages of the stars in the galaxies, because the star formation is truncated at earlier epochs. So the stars which will be distributed into the diffuse component have comparable ages, and therefore the scatter is much lower. In Fig. 13 this behaviour is clearly visible. On average the ICSP is 10% younger compared to the stellar component present in the bound structures in the galaxy cluster system, and in the IGSP the stellar component is 20% younger compared to the stellar component in the galaxies. Note that this result shows no strong dependency on the applied separation criteria. The evolution of the ICSP/IGSP surface density is shown in Fig. 14. Due to the complex dynamics in many interactions present at the same time in the dense environment in a galaxy cluster, the ICSP distribution is very inhomogeneous.
In the galaxy-group system inhomogeneities are not as pronounced as in the galaxy-cluster system, due to the lower energies involved in the interactions compared to the galaxy-cluster system.
5.1 The SN Ia rate in the ICSP/IGSP
As supernova type Ia (SN Ia) are supposed to occur a long time after the progenitor stars were formed compared to core collapse supernovae type II (SN II), SN Ia are the dominant group in the ICSP/IGSP as the progenitor stars had enough time to travel from the places of formation into the intergalactic spaces. Observational evidence for intergalactic SN Ia are given in e.g. Gal-Yam et al. (2003).
By including a simple estimate for the number of
SN Ia in our
ICSP/IGSP extraction routines, the number of SN Ia events per
year
in the ICSP/IGSP can be given. The SN Ia event calculation is
based
on the estimate given by Blanc & Greggio (2008). For a
given
Salpeter IMF they calculate the fraction of SN Ia progenitors
as a
function of ,
which is 0.022
in our case.
Furthermore they argue that 2-3% of these stars will give rise to a
SN Ia event (we adopted 2.5%). After a stellar particle is
formed
in the simulations the SN Ia rate for this stellar particle is
calculated with a fixed-time delay between the formation of the
stellar particle and the SN Ia event of 1 Gyr. In
Fig. 15
the SN Ia rate in units of SN Ia events per years in the ICSP
for
two different separation criteria (i.e. criterion 1 and
criterion 2)
is given. The amount of events correlates with the separation
criteria. The number of events varies from
0.005 SN Ia to more than
0.1 SN Ia per year going off in the ICSP of
the galaxy cluster. In
the galaxy group system this number is nearly one magnitude lower
for all separation criteria. As a SN Ia can heat their
surrounding
gas there might be an influence of SN Ia in the thermal
component of
the ICM or the inter-galactic medium (IGM). In Domainko et al.
(2004)
this idea was discussed on estimates based on very few
observations. In an upcoming work this
idea will be investigated in more detail with simulations.
Assuming that one SN Ia releases in the surrounding
medium on
average 0.5
of 56Ni (that becomes 56Fr
after
radioactive decay) (Blanc & Greggio 2008), one can
estimate the
amount of iron introduced by SN Ia into ICM in the redshift
interval
.
In Table 3
the iron mass originating
from SN Ia events in the ICSP for the different separation criteria
are given. The maximum iron mass in the galaxy cluster originating
from intergalactic SN Ia is of the order of
.
This value is almost two orders of magnitudes lower than
observed in the ICM of galaxy clusters, which is of the order of
iron mass (Arnaud et al. 1992). Taking
all
model assumptions into account we can conclude that SN Ia events in
the ICSP are a less important enrichment mechanism compared to
outflows by galactic winds and ram-pressure stripping (Domainko
et al. 2007; Kapferer et al. 2007, 2009;
Schindler et al. 2005;
Tornatore et al. 2007).
6 The dynamics of the intra-cluster stellar population
As the ICSP/IGSP is located in the outer regions of the corresponding haloes, their velocity dispersion is smaller compared to the stellar population located in the centre of the structures. This can be seen in Figs. 16 and 17, where the evolution of the velocity dispersion of three different components in the two systems is shown, i.e. dark matter, stellar population and ICSP/IGSP (separation criterion 4). The main difference between the two systems is the difference of the velocity dispersion between the ICSP and the two other components in the galaxy cluster system compared to the group system. This reflects the higher interaction activity in the dense cluster environment, which shifts particles to larger radii from the centre for the dark matter haloes resulting in the different dynamics.
The imprint of halo-centric distances of particles belonging to the ICSP/IGSP and the stellar population located in the centre of the bound haloes can be seen in Fig. 18. The particles in the outskirts of the halo centres show a smoother distribution. In addition the maxima of the distributions of the different components are offset in the galaxy cluster simulation, again the ICSP components is not relaxed and more redistributed by many interactions than the IGSP component.
In principle it would be possible by comparing the velocity dispersion of the stellar component in the halo centres (i.e. galaxies) and the ICSP/IGSP to introduce a measure of how strong a system is affected by recent mergers of substructures. See Sommer-Larsen et al. (2005) for a spatial investigation of the dynamics of the diffuse stellar component in galaxy cluster and group simulations.
7 Discussion and conclusions
![]() |
Figure 12: Evolution of the star-formation rates in the whole cluster and group simulation volumes. |
Open with DEXTER |
We investigated properties of the intra-cluster stellar population (ICSP) in a galaxy cluster and the intra-group stellar population (IGSP) in a galaxy group system by means of combined N-body/smoothed particles hydrodynamic simulations including a recipe for star formation, feedback and cooling (Springel & Hernquist 2003). By applying different separation criteria between the stellar component residing in the centre of bound structures and the ICSP/IGSP (comparable to criteria applied by observers) we analysed the evolution of different properties of the resulting stellar populations and their dynamics. In addition we calculated SN Ia event rates in the ICSP/IGSP and their role in enriching the ICM/IGM. The underlying halo properties were extracted from our simulations by applying AHF (Knollmann & Knebe 2009). The results can be summarised as follows:
![]() |
Figure 13:
Evolution of the ratio between the mean age of the
intra-cluster stellar population to the mean age of the stellar
population within the galaxies in the redshift range 0 |
Open with DEXTER |
![]() |
Figure 14:
Stellar
surface-density for the intra-cluster stellar population (coloured
map) and the stellar population in the galaxies (white to opaque
colourmap) for different redshifts for the galaxy cluster system.
The applied separation criterion is 5
|
Open with DEXTER |
- Applying different separation criteria on the stellar component reveals different amounts of stellar mass present in the ICSP/IGSP. We find that 7% to 40% of all stars are belong to the ICSP in the galaxy cluster simulation at redshift z = 0 depending on the applied separation criteria. The same separation criteria applied on a group simulation results in a 3% to 30% IGSP component at redshift z = 0 compared to the total stellar mass in the system.
- There is a comparable amount of relative mass in the ICSP in our galaxy cluster simulation and IGSP in our galaxy group simulation.
- We found a major difference between the gradient in the evolution of the fraction of the ICSP and IGSP to the total stellar component. The fraction of ICSP in the galaxy cluster simulation increases little with decreasing redshift, whereas the fraction of stellar mass in the IGSP decreases with decreasing redshifts, although the virial mass in both systems increases in the same redshift interval. The dense, dynamical environment in galaxy cluster produces many high-velocity galaxy encounters which refill the ICSP perpetually. In the galaxy group system encounters are not as frequent and do not have as high relative velocities as in the galaxy cluster system, leading to a decrease in the fraction of IGSP to the total stellar population in the galaxy group system by violent relaxation.
- After each enhanced merger activity due to mass accretion of the systems an increase in the stellar mass present in the ICSP/IGSP can be found, which then decreases due to violent relaxation.
- The mean age of the stellar component present in the ICSP/IGSP is younger than the mean age of the stellar component present in the galaxies. For galaxy clusters the ICSP is on average 10% younger and the IGSP is on average 20% younger. Due to the high interaction rate with high relative velocities present in galaxy clusters stellar particles in the intergalactic regions do not violently relax at the same rate as in the galaxy group system.
- Applying simple SN Ia rate estimates on the simulated ICSP/IGSP gives SN Ia rates for the ICSP/IGSP of the order of 0.05 SN Ia events per year in the ICSP and one order of magnitude lower in the IGSP.
- The amount of 56Fe-mass introduced by the ICSP SN Ia is nearly two orders of magnitudes lower then the observed values for the separation criterion, leading to the most pronounced ICSP.
- The velocity dispersion of the ICSP/IGSP and the stellar
component in the galaxies shows similar evolution in the redshift
regime
for the galaxy cluster and the galaxy group system.
Figure 15: Number of SN Ia events as a function of redshift in the intra-cluster stellar population for separation criterion 1 and criterion 2.
Table 3: 56Fe mass originating from a SN Ia events in the ICSP/IGSP in the redshift interval
.
- The dispersion of the ICSP/IGSP is lower than that of the the stellar component in the galaxies. This reflects the location of the ICSP/IGSP at the outskirts of the haloes. In the galaxy cluster simulation the difference is more pronounced than in the galaxy group simulation, reflecting the higher kinematical energies involved in interactions in galaxy clusters compared to galaxy groups.
- The maximum in the velocity-dispersion distribution of the ICSP is shifted to lower velocities compared to the maximum in the velocity dispersion of the galaxies in the galaxy cluster. This reflects the high interaction rate and higher energetics of the interaction in galaxy clusters. As many stars of the ICSP populate the outskirts of haloes shortly after high interaction rates due to sub-cluster merger events, the magnitude of the difference gives us a measure for the dynamical state of the system. In the IGSP the difference is not as high due to the lower frequency of interactions and their lower relative interaction velocities compared to the galaxy cluster.
Although the detection of the ICSP/IGSP is at the limit of state-of-the-art observatories and many ideas and findings presented in this paper are beyond of what can be achieved with current observatories, in the future very deep observations of the ICSP/IGSP with next generation telescopes will help us to reveal the evolution of systems like galaxy clusters and galaxy groups and their environmental influence on the evolution of galaxies.
AcknowledgementsThe authors thank the anonymous referee who helped to improve the quality of the paper by many good suggestions. In addition the authors thank Volker Springel for GADGET-2 and Rien van de Weygaert and Ed Bertschinger for allowing us the use of their constrained random field code. S.R. Knollmann acknowledges support by the Ministerio de Ciencia en Innovacion (MICINN) under the Consolider-Ingenio, SyeC project CSD-2007-00050. The authors further acknowledge the UniInfrastrukturprogramm des BMWF Forschungsprojekt Konsortium Hochleistungsrechnen, the ESO Mobilitätsstipendien des BMWF (Austria), the Austrian Science Foundation (FWF) through grant P19300-N16, P18416, P18493, and the Tiroler Wissenschaftsfonds (Gefördert aus Mitteln des vom Land Tirol eingerichteten Wissenschaftsfonds).
References
- Arnaboldi, M., Aguerri, J., Alfonso, L., et al. 2002, AJ, 123, 760 [NASA ADS] [CrossRef] [Google Scholar]
- Arnaboldi, M., Freeman, K. C., Okamura, S., et al. 2003, AJ, 125, 514 [NASA ADS] [CrossRef] [Google Scholar]
- Arnaboldi, M., Gerhard, O., Aguerri, J. A. L., et al. 2004, ApJ, 614, L33 [NASA ADS] [CrossRef] [Google Scholar]
- Arnaud, M., Rothenflug, R., Boulade, O., Vigroux, L., & Vangioni-Flam, E. 1992, A&A, 254, 49 [NASA ADS] [Google Scholar]
- Burkert, A. M., & D'Onghia, E. 2004, Penetrating Bars Through Masks of Cosmic Dust, ed. D. L. Block, I. Puerari, K. C., Freeman, R. Groess, & E. K. Block, Astrophysics and space science library (ASSL), 319 (Dordrecht: Kluwer Academic Publishers), 341 [Google Scholar]
- Blanc, G., & Greggio, L. 2008, New Astron., 13, 606 [NASA ADS] [CrossRef] [Google Scholar]
- Byrd, G., & Valtonen, M. 1990, ApJ, 350, 89 [NASA ADS] [CrossRef] [Google Scholar]
- Chiosi, C., & Carraro, G. 2002, MNRAS, 335, 335 [NASA ADS] [CrossRef] [Google Scholar]
- Da Rocha, C., Ziegler, B. L., & Mendes de Oliveira, C. 2008, MNRAS, 388, 1433 [Google Scholar]
- Domainko, W., Gitti, M., Schindler, S., et al. 2004, A&A, 425, L21 [NASA ADS] [CrossRef] [EDP Sciences] [Google Scholar]
- Domainko, W., Mair, M., Kapferer, W., et al. 2006, A&A, 452, 795 [NASA ADS] [CrossRef] [EDP Sciences] [Google Scholar]
- Feldmeier, J. J., Ciardullo, R., Jacoby, G. H., et al. 2003, ApJS, 145, 65 [NASA ADS] [CrossRef] [Google Scholar]
- Gal-Yam, A., Maoz, D., Guhathakurta, P., et al. 2003, AJ, 125, 1087 [NASA ADS] [CrossRef] [Google Scholar]
- Gerhard, O., Arnaboldi, M., Freeman, K. C., et al. 2005, ApJ, 621, L93 [NASA ADS] [CrossRef] [Google Scholar]
- Gnedin, O. Y. 2003, ApJ, 589, 752 [NASA ADS] [CrossRef] [Google Scholar]
- Hernquist, L., & Katz, N. 1989, ApJS, 70, 419 [NASA ADS] [CrossRef] [Google Scholar]
- Hoffman, Y., & Ribak, E. 1991, ApJ, 380, L5 [NASA ADS] [CrossRef] [Google Scholar]
- Kapferer, W., Knapp, A., Schindler, S., Kimeswenger, S., & van Kampen, E. 2005, A&A, 438, 87 [NASA ADS] [CrossRef] [EDP Sciences] [Google Scholar]
- Kapferer, W., Kronberger, T., Weratschnig, J., et al. 2007, A&A, 466, 813 [NASA ADS] [CrossRef] [EDP Sciences] [Google Scholar]
- Kapferer, W., Kronberger, T., Ferrari, C., Riser, T., & Schindler, S. 2008, MNRAS, 389, 1405 [NASA ADS] [CrossRef] [Google Scholar]
- Kapferer, W., Sluka, C., Schindler, S., Ferrari, C., & Ziegler, B. 2009, A&A, 499, 87 [NASA ADS] [CrossRef] [EDP Sciences] [Google Scholar]
- Kapferer, W., Kronberger, T., Breitschwerdt, D., et al. 2009, A&A, 504, 719 [NASA ADS] [CrossRef] [EDP Sciences] [Google Scholar]
- Knollmann, S. R., & Knebe, A. 2009, ApJS, 182, 608 [NASA ADS] [CrossRef] [Google Scholar]
- Krick, J. E., & Bernstein, R. A. 2007, AJ, 134, 466 [Google Scholar]
- Kronberger, T., Kapferer, W., Ferrari, C., Unterguggenberger, S., & Schindler, S. 2008, A&A, 481, 337 [NASA ADS] [CrossRef] [EDP Sciences] [Google Scholar]
- Lucy, L. B. 1977, AJ, 82, 1013 [NASA ADS] [CrossRef] [Google Scholar]
- Merritt, D. 1984, ApJ, 276, 26 [NASA ADS] [CrossRef] [Google Scholar]
- Mihos, J. C., Harding, P., Feldmeier, J., et al. 2005, ApJ, 631, L41 [NASA ADS] [CrossRef] [Google Scholar]
- Gingold, R. A., & Monaghan, J. J. 1977, MNRAS, 181, 375 [Google Scholar]
- Moles, M., Marquez, I., & Sulentic, J. W. 1998, A&A, 334, 473 [NASA ADS] [Google Scholar]
- Moore, B., Katz, N., Lake, G., Dressler, A., & Oemler, A. 1996, Nature, 379, 613 [NASA ADS] [CrossRef] [Google Scholar]
- Murante, G., Arnaboldi, M., Gerhard, O., et al. 2004, ApJ, 607, L83 [NASA ADS] [CrossRef] [Google Scholar]
- Murante, G., Giovalli, M., Gerhard, O., et al. 2007, MNRAS, 377, 2 [Google Scholar]
- Napolitano, N. R., Pannella, M., Arnaboldi, M., et al. 2003, ApJ, 594, 172 [NASA ADS] [CrossRef] [Google Scholar]
- Nishiura, S., Murayama, T., Shimada, M., et al. 2000, AJ, 120, 2355 [NASA ADS] [CrossRef] [Google Scholar]
- Rudick, C. S., Mihos, J. C., & McBride, C. 2006, ApJ, 648, 936 [NASA ADS] [CrossRef] [Google Scholar]
- Schindler, S., Kapferer, W., Domainko, W., et al. 2005, A&A, 435, L25 [NASA ADS] [CrossRef] [EDP Sciences] [Google Scholar]
- Sommer-Larsen, J., Romeo, A. D., & Portinari, L. 2005, MNRAS, 357, 478 [NASA ADS] [CrossRef] [Google Scholar]
- Sommer-Larsen, J. 2006, MNRAS, 369, 958 [NASA ADS] [CrossRef] [Google Scholar]
- Springel, V., & Hernquist, L. 2003, MNRAS, 339, 312 [NASA ADS] [CrossRef] [Google Scholar]
- Springel, V. 2005, MNRAS, 364, 1105 [NASA ADS] [CrossRef] [Google Scholar]
- Sulentic, J. W., & Lorre, J. J. 1983, A&A, 120, 36 [NASA ADS] [Google Scholar]
- Tornatore, L., Borgani, S., Dolag, K., et al. 2007, MNRAS, 382, 1050 [NASA ADS] [CrossRef] [Google Scholar]
- van de Weygaert, R., & Bertschinger, E. 1996, MNRAS, 281, 84 [NASA ADS] [CrossRef] [Google Scholar]
- Willman, B., Governato, F., Wadsley, J., et al. 2004, MNRAS, 355, 159 [NASA ADS] [CrossRef] [Google Scholar]
- White, P. M., Bothun, G., Guerrero, M. A., et al. 2003, ApJ, 585, 739 [NASA ADS] [CrossRef] [Google Scholar]
- Zibetti, S., White, S. D. M., Schneider, D. P., et al. 2005, MNRAS, 358, 949 [Google Scholar]
Footnotes
- ...
subhalo
- Note that we did not remove subhalo particles from their respective host halo unless they were gravitationally unbound.
All Tables
Table 1: Properties of the particles in the simulations.
Table 2: Separation criteria for stellar particles belonging to the ICSP.
Table 3:
56Fe mass originating from a SN Ia events
in the
ICSP/IGSP in the redshift interval .
All Figures
![]() |
Figure 1: Distribution of the different components, i.e. gas, stellar matter and dark matter, in the simulated systems at redshift z=0. In the top panel the left side a) shows the gas temperature in the galaxy group, whereas the right side b) shows the same quantity for the galaxy cluster. In the middle panel the dark matter distribution in the same area is shown for the group c) and the galaxy cluster d). In the lower panel the distribution of the stars in the galaxy group e) and in the galaxy cluster f) in the same region is given. |
Open with DEXTER | |
In the text |
![]() |
Figure 2:
The evolution in the redshift range |
Open with DEXTER | |
In the text |
![]() |
Figure 3: Histogram of the virial mass of haloes found in the simulations at redshift z = 0. |
Open with DEXTER | |
In the text |
![]() |
Figure 4: Histogram of stellar mass present in haloes in the simulations at redshift z = 0. |
Open with DEXTER | |
In the text |
![]() |
Figure 5: The gas mass of all haloes found in the simulations at redshift z = 0 against the stellar mass present in the haloes. |
Open with DEXTER | |
In the text |
![]() |
Figure 6: Histogram of the disc length and the virial radii for late type galaxies in the whole galaxy cluster simulation volume. |
Open with DEXTER | |
In the text |
![]() |
Figure 7: Histogram of the effective radii for all early type galaxies in the whole galaxy cluster simulation volume. |
Open with DEXTER | |
In the text |
![]() |
Figure 8: Stellar surface-density for the intra-cluster stellar population (coloured map) and the stellar population in the galaxies (white to opaque colour map) for the different separation criteria for the galaxy cluster system at redshift z=0. a)-criterion 1; b)-criterion 2; c)-criterion 3; d)-criterion 4; and e)-criterion 5. |
Open with DEXTER | |
In the text |
![]() |
Figure 9: Stellar surface-density for the intra-group stellar population (coloured map) and the stellar population in the galaxies (white to opaque colour map) for the different separation criteria for the galaxy cluster system at redshift z =0. a)-criterion 1; b)-criterion 2; c)-criterion 3; d)-criterion 4; and e)-criterion 5. |
Open with DEXTER | |
In the text |
![]() |
Figure 10:
Evolution of the stellar mass present in the intra-cluster/intra-group
stellar population and the total stellar mass in the redshift range |
Open with DEXTER | |
In the text |
![]() |
Figure 11:
Evolution of the ratio between the mass in the
intra-cluster/intra-group stellar population to the total stellar
mass in the redshift range |
Open with DEXTER | |
In the text |
![]() |
Figure 12: Evolution of the star-formation rates in the whole cluster and group simulation volumes. |
Open with DEXTER | |
In the text |
![]() |
Figure 13:
Evolution of the ratio between the mean age of the
intra-cluster stellar population to the mean age of the stellar
population within the galaxies in the redshift range 0 |
Open with DEXTER | |
In the text |
![]() |
Figure 14:
Stellar
surface-density for the intra-cluster stellar population (coloured
map) and the stellar population in the galaxies (white to opaque
colourmap) for different redshifts for the galaxy cluster system.
The applied separation criterion is 5
|
Open with DEXTER | |
In the text |
![]() |
Figure
15: Number of SN Ia events as a function of redshift in the intra-cluster stellar population for separation criterion 1 and criterion 2. |
In the text |
![]() |
Figure
16:
Evolution of the velocity dispersion of the intra-cluster stellar
population, the stellar population in the galaxies and the dark matter
component in the redshift interval |
In the text |
![]() |
Figure
17:
Evolution of the velocity dispersion of the intra-group stellar
population, the stellar population in the galaxies and the
dark matter component in the redshift interval |
In the text |
![]() |
Figure
18: Velocity distribution of the magnitude of the dark matter, stellar and ICSP/IGSP particles (separation criterion 4) in the galaxy cluster and group simulations in a 3 Mpc sphere around the cluster centre. The black vertical lines highlight the maximum in the dark matter and ICSP/IGSP components. |
In the text |
Copyright ESO 2010
Current usage metrics show cumulative count of Article Views (full-text article views including HTML views, PDF and ePub downloads, according to the available data) and Abstracts Views on Vision4Press platform.
Data correspond to usage on the plateform after 2015. The current usage metrics is available 48-96 hours after online publication and is updated daily on week days.
Initial download of the metrics may take a while.