Issue |
A&A
Volume 516, June-July 2010
|
|
---|---|---|
Article Number | A63 | |
Number of page(s) | 26 | |
Section | Cosmology (including clusters of galaxies) | |
DOI | https://doi.org/10.1051/0004-6361/200913577 | |
Published online | 29 June 2010 |
Evidence of the accelerated expansion of the Universe from weak lensing tomography with COSMOS![[*]](/icons/foot_motif.png)
T. Schrabback1,2 - J. Hartlap2 - B. Joachimi2 - M. Kilbinger3,4 - P. Simon5 - K. Benabed3 - M. Bradac6,7 - T. Eifler2,8 - T. Erben2 - C. D. Fassnacht6 - F. William High9 - S. Hilbert10,2 - H. Hildebrandt1 - H. Hoekstra1 - K. Kuijken1 - P. J. Marshall7,11 - Y. Mellier3 - E. Morganson11 - P. Schneider2 - E. Semboloni2,1 - L. Van Waerbeke12 - M. Velander1
1 - Leiden Observatory, Leiden University, Niels Bohrweg 2, 2333 CA Leiden, The Netherlands
2 -
Argelander-Institut für Astronomie, Universität Bonn,
Auf dem Hügel 71, 53121 Bonn, Germany
3 -
Institut d'Astrophysique de Paris, CNRS UMR 7095 & UPMC, 98bis boulevard Arago, 75014 Paris, France
4 -
Shanghai Key Lab for Astrophysics, Shanghai Normal University, Shanghai 200234, PR China
5 -
The Scottish Universities Physics Alliance
(SUPA), Institute for Astronomy, School of Physics,
University of Edinburgh, Royal Observatory, Blackford Hill, Edinburgh EH9 3HJ, UK
6 -
Physics Dept., University of California, Davis, 1
Shields Ave., Davis, CA 95616, USA
7 -
Physics department, University of California, Santa Barbara,
CA 93601, USA
8 -
Center for Cosmology and AstroParticle Physics, The Ohio State University,
Columbus, OH 43210, USA
9 -
Department of Physics, Harvard University, Cambridge, MA 02138, USA
10 -
Max Planck Institute for Astrophysics, Karl-Schwarzschild-Str. 1, 85741 Garching, Germany
11 -
KIPAC, PO Box 20450, MS29, Stanford, CA 94309, USA
12 - University of British Columbia, Department of Physics and
Astronomy, 6224 Agricultural Road, Vancouver, B.C. V6T 1Z1, Canada
Received 31 October 2009 / Accepted 8 March 2010
Abstract
We present a comprehensive analysis of weak gravitational lensing by large-scale structure in the
Hubble Space Telescope Cosmic Evolution Survey (COSMOS), in which
we combine
space-based galaxy shape measurements
with ground-based photometric redshifts to study the redshift dependence of
the lensing signal
and constrain cosmological
parameters.
After applying our weak lensing-optimized data reduction, principal-component interpolation for the spatially, and
temporally varying ACS point-spread function, and improved modelling of charge-transfer inefficiency,
we measured a lensing signal that is consistent with pure gravitational modes and no significant shape systematics.
We carefully estimated
the statistical uncertainty
from simulated COSMOS-like fields
obtained from ray-tracing through the Millennium Simulation,
including the full non-Gaussian sampling variance.
We tested our lensing pipeline on simulated space-based data,
recalibrated non-linear power spectrum corrections using the ray-tracing analysis,
employed photometric redshift information to reduce potential contamination by
intrinsic galaxy alignments, and marginalized over systematic uncertainties.
We find that the weak lensing signal scales with redshift as expected
from general relativity for a concordance
CDM cosmology,
including the full cross-correlations between different redshift bins.
Assuming a flat
CDM cosmology, we measure
from lensing,
in perfect agreement with WMAP-5, yielding joint constraints
,
(all 68.3% conf.).
Dropping the assumption of flatness
and using priors from the HST Key Project and Big-Bang nucleosynthesis only,
we find a negative deceleration parameter q0 at
94.3%
confidence from the
tomographic lensing analysis, providing independent evidence of the accelerated expansion of the Universe.
For a flat wCDM cosmology
and prior
,
we obtain
w<-0.41 (90% conf.).
Our dark energy constraints are still relatively weak solely due to the limited area of COSMOS.
However, they provide an important demonstration of the usefulness of tomographic weak
lensing measurements from space.
Key words: cosmological parameters - dark matter - large-scale structure of Universe - gravitational lensing: weak
1 Introduction
During the past decade
strong evidence of an accelerated expansion of the Universe has been
found with
several independent cosmological probes
including type Ia supernovae (Kowalski et al. 2008; Hicken et al. 2009; Perlmutter et al. 1999; Riess et al. 1998,2007), cosmic microwave background (Spergel et al. 2003; de Bernardis et al. 2000; Komatsu et al. 2009), galaxy clusters (Mantz et al. 2009; Vikhlinin et al. 2009; Mantz et al. 2008; Allen et al. 2008),
baryon acoustic oscillations (Percival et al. 2009,2007; Eisenstein et al. 2005), integrated Sachs-Wolfe
effect (Granett et al. 2008; Giannantonio et al. 2008; Ho et al. 2008),
and strong gravitational lensing (Suyu et al. 2010).
Within the standard cosmological framework, this can be described with the ubiquitous presence of a
new constituent named dark energy, which counteracts the attractive force of gravity on the largest scales and contributes 70%
to the total energy budget today.
There have been various attempts to explain dark energy, ranging from
Einstein's cosmological constant, via a dynamic fluid named
quintessence, to a possible breakdown of general relativity (e.g. Albrecht et al. 2009; Huterer & Linder 2007),
all of which lead to profound implications for fundamental physics.
In order to make substantial progress and to be able to distinguish between the different scenarios,
several large dedicated surveys are currently being designed.
One technique with particularly high promise for constraining dark energy (Albrecht et al. 2009,2006; Peacock et al. 2006) is weak gravitational lensing, which utilizes the subtle image distortions imposed onto the observed shapes of distant galaxies, while their light bundles pass through the gravitational potential of foreground structures (e.g. Bartelmann & Schneider 2001). The strength of the lensing effect depends on the total foreground mass distribution, independent of the relative contributions of luminous and dark matter. It therefore provides a unique tool to study the statistical properties of large-scale structure directly (for reviews see Hoekstra & Jain 2008; Schneider 2006; Munshi et al. 2008).
Since its first detections by Bacon et al. (2000), Kaiser et al. (2000), Van Waerbeke et al. (2000) and Wittman et al. (2000), substantial progress has been made with the measurement of this cosmological weak lensing effect, which is also called cosmic shear. Larger surveys have significantly reduced statistical uncertainties (e.g. Van Waerbeke et al. 2005; Jarvis et al. 2003; Massey et al. 2005; Hetterscheidt et al. 2007; Semboloni et al. 2006; Hoekstra et al. 2002; Fu et al. 2008; Hoekstra et al. 2006; Brown et al. 2003), while tests on simulated data have led to better understanding of PSF systematics (Massey et al. 2007a; Bridle et al. 2010; Heymans et al. 2006a, and references therein). Finally, because it is a geometric effect, gravitational lensing depends on the source redshift distribution, where most earlier measurements have had to rely on external redshift calibrations from the small Hubble Deep Fields. Here, the impact of sampling variance was demonstrated by Benjamin et al. (2007), who recalibrated earlier measurements using photometric redshifts from the much larger CFHTLS-Deep, significantly improving derived cosmological constraints.
Dark energy affects the distance-redshift relation and suppresses the time-dependent growth of structures. Because it is sensitive to both effects, weak lensing is a powerful probe of dark energy properties, also providing important tests for theories of modified gravity (e.g. Benabed & Bernardeau 2001; Schimd et al. 2007; Jain & Zhang 2008; Doré et al. 2007; Schmidt 2008; Benabed & van Waerbeke 2004). Yet, in order to significantly constrain these redshift-dependent effects, the shear signal must be measured as a function of source redshift, an analysis often called weak lensing tomography or 3D weak lensing (e.g. Jain & Taylor 2003; Hu & Jain 2004; Simon et al. 2004; Hu 2002; Takada & Jain 2004; Huterer 2002; Hu 1999; Heavens 2003; Bernstein & Jain 2004; Heavens et al. 2006; Taylor et al. 2007). Redshift information is additionally required to eliminate potential contamination of the lensing signal from intrinsic galaxy alignments (e.g. King & Schneider 2002; Heymans et al. 2006b; Joachimi & Schneider 2008; Hirata & Seljak 2004). In general, weak lensing studies have to rely on photometric redshifts (e.g. Hildebrandt et al. 2008; Ilbert et al. 2006; Benitez 2000), given that most of the studied galaxies are too faint for spectroscopic measurements.
So far, tomographic cosmological weak lensing techniques
have been
applied to
real data by Bacon et al. (2005), Semboloni et al. (2006), Kitching et al. (2007) and Massey et al. (2007c).
Dark energy constraints from previous
weak lensing surveys
were
limited by the lack of the required
individual photometric redshifts (Kilbinger et al. 2009a; Jarvis et al. 2006; Hoekstra et al. 2006; Semboloni et al. 2006)
or small survey area (Kitching et al. 2007).
The currently best data set for 3D weak lensing is given by the COSMOS
Survey (Scoville et al. 2007a), which is
the largest continuous area ever imaged with the Hubble Space Telescope (HST), comprising 1.64 deg2
of deep imaging with the Advanced Camera for Surveys (ACS).
Compared to ground-based measurements, the HST point-spread function
(PSF) yields substantially increased number densities of sufficiently
resolved galaxies and better control of systematics due to smaller PSF
corrections.
Although HST has been used for earlier cosmological weak lensing
analyses (e.g. Schrabback et al. 2007; Refregier et al. 2002; Rhodes et al. 2004; Miralles et al. 2005; Heymans et al. 2005),
these studies lack the area and deep photometric redshifts
that are available for COSMOS (Ilbert et al. 2009).
This combination of superb space-based imaging and ground-based
photometric redshifts makes COSMOS the perfect test case for 3D weak
lensing studies.
Massey et al. (2007c) conducted an earlier 3D weak lensing analysis of COSMOS, in
which they
correlated the shear signal between three redshift bins and constrained the matter density
and power spectrum normalization
.
In this paper we present a new analysis of the data, with several
differences compared to the earlier study: we employ a new,
exposure-based model for the spatially and temporally varying ACS PSF,
which
has been derived from dense stellar fields using a principal component
analysis (PCA). Our new parametric correction for the impact of charge
transfer inefficiency (CTI) on stellar images eliminates earlier PSF
modelling uncertainties caused by confusion of CTI- and PSF-induced
stellar ellipticity. Using the latest photometric redshift catalogue
of the field (Ilbert et al. 2009),
we split our galaxy sample into five individual redshift bins and
also estimate the redshift distribution for very faint galaxies
forming a sixth bin without individual photometric redshifts,
doubling the number of galaxies used in our cosmological analysis. We
study the redshift scaling of the shear signal between these six bins
in
detail, employ an accurate covariance matrix obtained from ray-tracing
through the Millennium Simulation, which we also use to recalibrate
non-linear power spectrum corrections, and marginalize over parameter
uncertainties.
In addition to
and
,
we also constrain the
dark energy equation of state parameter w for a flat wCDM cosmology, and
the vacuum energy density
for a general (non-flat)
CDM cosmology, yielding constraints for the deceleration parameter q0.
This paper is organized as follows. We summarize the most important information on the data and photometric redshift catalogue in Sect. 2, while further details on the ACS data reduction are given in Appendix A. Section 3 summarizes the weak lensing measurements including our new correction schemes for PSF and CTI, for which we provide details in Appendix B. We conduct various tests for shear-related systematics in Sect. 4. We then present the weak lensing tomography analysis in Sect. 5, and cosmological parameter estimation in Sect. 6. We discuss our findings and conclude in Sect. 7.
Throughout this paper all magnitudes are given in the AB system, where i814 denotes the SExtractor (Bertin & Arnouts 1996)
magnitude measured from the ACS data (Sect. 2.1), while i+ is the MAG_AUTO
magnitude determined by Ilbert et al. (2009) from the Subaru data (Sect. 2.2.1).
In several tests we employ a reference WMAP-5-like (Dunkley et al. 2009) flat
CDM cosmology characterized by
,
,
h=0.72,
,
,
where we use the transfer function by Eisenstein & Hu (1998) and non-linear power spectrum corrections according to Smith et al. (2003).
2 Data
2.1 HST/ACS data
The COSMOS Survey (Scoville et al. 2007a) is the largest contiguous field observed with the Hubble Space Telescope, spanning
a total area of
(1.64
).
It comprises 579 ACS
tiles, each observed in F814W for 2028 s using four dithered
exposures.
The survey is centred at
,
(J2000.0), and data were taken between
October 2003 and November 2005.
We
have
reduced the ACS/WFC data starting from the flat-fielded
images.
We
apply updated bad pixel masks,
subtract the sky background,
and compute optimal weights as detailed in
Appendix A.
For the image registration, distortion correction, cosmic ray rejection, and stacking we use
MultiDrizzle (Koekemoer et al. 2002),
applying the latest time-dependent distortion solution from Anderson (2007).
We iteratively align exposures within each tile by cross-correlating the
positions of compact sources and applying
residual shifts and rotations.
In tests with dense stellar fields we found that the default cosmic ray rejection parameters of MultiDrizzle can lead to false flagging of central stellar pixels as cosmic rays, especially if telescope breathing introduces significant PSF variations (see Sect. 3) between combined exposures. Thus, stars will be partially rejected in exposures with deviating PSF properties. On the contrary, galaxies will not be flagged due to their shallower light profiles, leading to different effective stacked PSFs for stars and galaxies. To avoid any influence on the lensing analysis, we create separate stacks for the shape measurement of galaxies and stars, where we use close to default cosmic ray rejection parameters for the former (driz_cr_snr=``4.0 3.0'', driz_cr_scale=``1.2 0.7'', see Koekemoer et al. 2002,2007), but less aggressive masking for the latter (driz_cr_snr=``5.0 3.0'', driz_cr_scale=``3.0 0.7''). As a result, the false masking of stars is substantially reduced. On the downside some actual cosmic rays lead to imperfectly corrected artifacts in the ``stellar'' stacks. This is not problematic given the very low fraction of affected stars, for which the artifacts only introduce additional noise in the shape measurement.
For the final image stacking we employ the LANCZOS3
interpolation kernel and a pixel scale of 0
05, which minimizes
noise correlations and aliasing without unnecessarily broadening the
PSF (for a detailed comparison to other kernels see Jee et al. 2007).
Based on our
input noise models (see Appendix A)
we
compute a correctly scaled rms image for the stack.
We match the stacked image WCS to the ground-based catalogue by Ilbert et al. (2009).
We employ our rms noise model for object detection with SExtractor (Bertin & Arnouts 1996), where we require
a minimum of 8 adjacent pixels being at least above the background, employ deblending parameters
,
,
and measure
magnitudes
i814, which we correct for a mean galactic extinction offset of 0.035 (Schlegel et al. 1998).
Objects near the field boundaries or containing noisy pixels, for which fewer than two good input exposures contribute,
are automatically excluded. We also create magnitude-scaled polygonal masks for saturated stars and their diffraction spikes.
Furthermore, we reject scattered light and large, potentially incorrectly deblended galaxies by running SExtractor with a low
detection threshold for 3960 adjacent pixels,
where we further expand each object mask
by six pixels.
The combined masks for the stacks were visually inspected and adapted if necessary.
Our fully filtered mosaic shear catalogue contains a total of
446 934 galaxies with
i814<26.7, corresponding to 76 galaxies
,
where we exclude double detections
in overlapping tiles and reject the fainter component in the case of close galaxy pairs with separations
.
For details on the weak lensing galaxy selection criteria see Appendix B.6.
In addition to the stacked images, our fully time-dependent PSF analysis (see
Sect. 3, Appendix B.5)
makes use of individual exposures, for which we use the cosmic ray-cleansed
COR images before resampling,
provided by MultiDrizzle during the run with less aggressive cosmic ray masking.
These
are only used for the analysis
of
high signal-to-noise stars, which can be identified automatically in the half-light radius versus signal-to-noise space.
Here we employ simplified field masks
only excluding the outer regions of a tile with poor cosmic ray masking.
2.2 Photometric redshifts
2.2.1 Individual photometric redshifts for i+ < 25 galaxies
We use
the public COSMOS-30 photometric redshift catalogue from Ilbert et al. (2009),
which covers the full ACS mosaic and is magnitude limited to i+<25 (Subaru
SExtractor MAG_AUTO
magnitude).
It is based on the 30 band photometric catalogue, which includes
imaging in 20 optical bands, as well as near-infrared and deep IRAC data (Capak et al. 2009, in preparation).
Ilbert et al. (2009) computed photometric redshifts using the Le Phare code
(S. Arnouts & O. Ilbert; also Ilbert et al. 2006),
reaching an excellent
accuracy of
for i+ < 24
and z < 1.25. The near-infrared (NIR) and infrared coverage extends the capability for reliable photo-z estimation to higher redshifts, where the Balmer break moves out of the optical bands. Extended to
,
Ilbert et al. (2009)
find an accuracy of
at
.
The comparison to spectroscopic redshifts from the zCOSMOS-deep sample (Lilly et al. 2007) with
indicates a 20% catastrophic outlier rate (defined as
)
for galaxies at
.
In particular, for 7% of the high-redshift (
)
galaxies a low-redshift photo-z (
)
was assigned.
This degeneracy is expected for faint (
)
high-redshift galaxies,
for which the Balmer break cannot be identified
if they are undetected in the NIR data
(limiting depth
,
at
).
Due to the employed magnitude prior the contamination is expected to be
mostly uni-directional from high to low redshifts.
We tested this by comparing the COSMOS-30 catalogue
to photometric redshifts estimated by Hildebrandt et al. (2009) in the overlapping CFHTLS-D2 field using only optical u*griz bands and the BPZ photometric redshift code (Benitez 2000). Here we indeed find that 56%
of
the matched i+<25 galaxies with COSMOS-30 photo-zs in the range
are identified at
in the D2 catalogue, if only a weak cut to reject
galaxies with double-peaked D2 photo-z PDFs (
)
is applied
.
If not accounted for, such a contamination of a low-photo-z
sample with high-redshift galaxies would be particularly severe for
weak lensing tomography, given the strong dependence of the lensing
signal on redshift.
In Sect. 5 we will therefore split galaxies with assigned
into sub-samples with expected low (i+<24) and high (i+>24) contamination,
where we only include the former in the cosmological analysis.
Matching our shear catalogue to the fully masked COSMOS-30 photo-z catalogue
yields a total of 194 976 unique matches.
2.2.2 Estimating the redshift distribution for i+>25 galaxies
In order to include galaxies
without individual photo-zs in our analysis, we need to estimate their redshift distribution.
Figure 1 shows the mean photometric COSMOS-30 redshift for galaxies in our shear catalogue
as a function of i814.
In the whole magnitude range
23<i814<25
the data are very well described by the relation
For comparison we also plot points from the Hubble Deep Field-North (HDF-N, Fernández-Soto et al. 1999) and Hubble Ultra Deep Field (HUDF, Coe et al. 2006)
![[*]](/icons/foot_motif.png)
![]() |
Figure 1:
Relation between the mean photometric redshift and i814
magnitude for COSMOS, HUDF, and HDF-N, where the error-bars indicate
the error of the mean assuming Gaussian scatter and neglecting sampling
variance.
The best fit (1) to the COSMOS data from
i814<25 is
shown as the bold line, whereas the thin lines indicate the
conservative |
Open with DEXTER |
Due to the non-linear dependence of the shear signal on redshift it is not only necessary to estimate the correct mean redshift
of the galaxies, but also their actual redshift distribution.
In weak lensing studies the redshift distribution is often parametrized as
(e.g. Brainerd et al. 1996), which Schrabback et al. (2007) extended by fitting
in combination with a linear dependence of the median redshift on magnitude, leading to a magnitude-dependent z0.
Yet, it was noted that this fit was not fully capable to reproduce the
shape of the redshift distribution of the fitted galaxies. Given the
higher accuracy needed for the analysis of the larger COSMOS Survey we
use a modified parametrization
where z0=z0(i814), and
![$u={\rm max}[0,(i_{814}-23)]$](/articles/aa/full_html/2010/08/aa13577-09/img90.png)
![[*]](/icons/foot_motif.png)

z0 | = | ![]() |
(3) |
z0 | = | ![]() |
(4) |
with (a0,...,a7) = (1.237, 1.691, -12.167, 43.591, -76.076, 72.567, -35.959, 7.289). The total redshift distribution of the survey is then simply given by the mean distribution

![]() |
Figure 2: Redshift histogram for galaxies in our shear catalogue with COSMOS-30 photo-zs (dotted), split into four magnitude bins. The solid curves show the fit according to (1) and (2), which is capable to describe both the peak and high redshift tail. |
Open with DEXTER |

![]() |
Figure 3: Combined redshift histogram for the HDF-N and HUDF photo-zs, split into two magnitude bins. The solid curves show the prediction according to (1), (2) and the galaxy magnitude distribution. The good agreement for 25<i814<27 galaxies confirms the applicability of the model in this magnitude regime. |
Open with DEXTER |
Our fitting scheme assumes that the COSMOS-30 photo-zs provide unbiased
estimates for the true galaxy redshifts. However, in
Sect. 2.2 we suspected that
galaxies with assigned
z< 0.6
might contain a
significant contamination with high-redshift galaxies.
To assess the impact of this uncertainty, we derive the fits for (1) and (2)
using only galaxies with
23<i+ < 24, reducing the estimated mean redshift of
shear galaxies without COSMOS-30 photo-z by
.
As an alternative test, we assume that 20% of the
z< 0.6
galaxies with
24<i+ < 25 are truly at z=2, increasing the
estimated mean redshift by
.
Compared to the fit uncertainty in (1)
(
)
this constitutes the main source of error for our redshift
extrapolation.
In the cosmological parameter estimation (Sect. 6), we constrain this uncertainty and marginalize over it using a nuisance parameter,
which rescales the redshift distribution
within a conservatively chosen
interval.
Note that the
difference between the measured and
predicted mean redshift of the combined HDF-N and HUDF data in
Fig. 3 actually suggests a smaller uncertainty.
3 Weak lensing shape measurements
To measure an accurate lensing signal, we have to carefully correct for instrumental signatures. Even with the high-resolution space-based data at hand, we have to accurately account for both PSF blurring and ellipticity, which introduce spurious shape distortions. To do so, one requires both a good model for the PSF, and a method which accurately employs it to measure unbiased estimates for the (reduced) gravitational shear g from noisy galaxy images.
For the latter,
we use the KSB+
formalism (Luppino & Kaiser 1997; Kaiser et al. 1995; Hoekstra et al. 1998), see Erben et al. (2001), Schrabback et al. (2007) and Appendix B.1 for details on our implementation.
As found with simulations of ground-based weak lensing data, KSB+
can significantly
underestimate gravitational shear
(Massey et al. 2007a; Erben et al. 2001; Bacon et al. 2001; Heymans et al. 2006a), where
the calibration bias m and possible PSF anisotropy residuals c, defined via
depend on the details of the implementation. Massey et al. (2007a, STEP2) detected a shear measurement degradation for faint objects for our pipeline, which is not surprising given the fact that the KSB+ formalism does not account for noise. While Schrabback et al. (2007) simply corrected for the resulting mean calibration bias, the 3D weak lensing analysis performed here requires unbiased shape measurements not only on average, but also as function of redshift, and hence galaxy magnitude and size (see e.g. Kitching et al. 2008; Semboloni et al. 2009; Kitching et al. 2009). We therefore empirically account for this degradation with a power-law fit to the signal-to-noise dependence of the calibration bias
where S/N is computed with the galaxy size-dependent KSB weight function (Erben et al. 2001), and corrected for noise correlations as done in Hartlap et al. (2009). As S/N relates to the significance of the galaxy shape measurement, it provides a more direct correction for noise-related bias than fits as a function of magnitude or size. We have determined this correction using the STEP2 simulations of ground-based weak lensing data (Massey et al. 2007a). In order to test if it performs reliably for the ACS data, we have analysed a set of simulated ACS-like data (see Appendix B.2). In summary, we find that the remaining calibration bias is


Weak lensing analyses usually create PSF models from the observed images of
stars, which have to be interpolated for the position of each galaxy.
Typically, a high galactic latitude ACS field
contains only 10-20 stars with sufficient S/N,
which are too few for the spatial polynomial interpolation commonly
used in ground-based weak lensing studies.
In addition, a stable PSF model cannot be used,
given that substantial temporal PSF variations have been detected,
mostly caused by
focus changes resulting from orbital temperature variations (telescope
breathing), mid-term seasonal effects, and long-term shrinkage of the
optical telescope
assembly (OTA) (e.g. Anderson & King 2006; Schrabback et al. 2007; Rhodes et al. 2007; Lallo et al. 2006; Krist 2003).
To circumvent this problem, we have implemented a PSF correction scheme based on principal component analysis (PCA), as
first suggested by Jarvis & Jain (2004).
We have analysed 700 i814
exposures of dense stellar fields, interpolated the PSF variation in
each exposure with polynomials, and performed a PCA analysis of the
polynomial coefficient variation.
We find that
of the total PSF ellipticity variation in random pointings can be described with a single
parameter related to the change in telescope focus, confirming earlier results (e.g. Rhodes et al. 2007).
However, we find that additional variations
are still significant. In particular, we detect a dependence
on the relative angle
between the pointing and the orbital telescope movement
,
suggesting that heating in the sunlight does not only change the
telescope focus, but also creates slight additional aberrations
dependent on the relative sun angle. These deviations may be coherent
between COSMOS tiles observed under similar orbital conditions.
To account for this effect, we split the COSMOS data into 24 epochs of
observations taken closely in time,
and determine a low-order, focus-dependent residual model from all
stars within one epoch.
We provide further details on our PSF correction scheme in
Appendix B.5.
As an additional observational challenge, the COSMOS data suffer from defects in the ACS CCDs, which are caused by the continuous cosmic ray bombardment in space. These defects act as charge traps reducing the charge-transfer-efficiency (CTE), an effect referred to as charge-transfer-inefficiency (CTI). When the image of an object is transferred across such a defect during parallel read-out, a fraction of its charge is trapped and statistically released, effectively creating charge-trails following objects in the read-out y-direction (e.g. Massey et al. 2010; Chiaberge et al. 2009; Rhodes et al. 2007). For weak lensing measurements the dominant effect of CTI is the introduction of a spurious ellipticity component in the read-out direction. In contrast to PSF effects, CTI affects objects non-linearly due to the limited depth of charge traps. Thus, the two effects must be corrected separately. As done by Rhodes et al. (2007), we employ an empirical correction for galaxy shapes, but also take the dependence on sky background into account. Making use of the CTI flux-dependence, we additionally determine and apply a parametric CTI model for stars, which is important as PSF and CTI-induced ellipticity get mixed otherwise. We present details on our CTI correction schemes for stars in Appendix B.4 and for galaxies in Appendix B.6. Note that Massey et al. (2010) recently presented a method to correct for CTI directly on the image level. We find that the methods employed here are sufficient for our science analysis, as also confirmed by the tests presented in Sect. 4. However, for weak lensing data with much stronger CTE degradation, such as ACS data taken after Servicing Mission 4, their pixel-based correction should be superior.
4 2D shear-shear correlations and tests for systematics
To measure the cosmological signal and conduct tests for systematics we compute the second-order shear-shear correlations
from galaxy pairs separated by










![]() |
Figure 4:
Decomposition of the shear field into E- and B-modes using the shear correlation function
|
Open with DEXTER |
As an important consistency check in weak gravitational lensing, the
signal can be decomposed into a curl-free component (E-mode) and a curl
component (B-mode).
Given that lensing creates only E-modes, the detection of a significant
B-mode indicates the presence of uncorrected residual systematics in
the data.
Crittenden et al. (2002) show that
can be decomposed into E- and B-modes as
with
We plot this decomposition for our COSMOS catalogue in the left panel of Fig. 4. Given that the integration in (9) extends to infinity, we employ






An
E/B-mode decomposition,
for which the correlation between different scales is weaker,
is provided by the dispersion of the aperture mass (Schneider 1996)
with










The cleanest E/B-mode decomposition is given by the
ring statistics (Eifler et al. 2010; Schneider & Kilbinger 2007; see also Fu & Kilbinger 2010), which can be computed from the correlation function using a finite interval with non-zero lower integration limit
with functions




The non-detection of significant B-modes in our shear catalogue is an important confirmation for our correction schemes for instrumental effects and suggests that the measured signal is truly of cosmological origin.
As a final test for shear-related systematics we compute the correlation between corrected galaxy shear estimates
and uncorrected stellar ellipticities e*
which we normalize using the stellar auto-correlation as suggested by Bacon et al. (2003). As detailed in Appendix B.6, we employ a somewhat ad hoc residual correction for a very weak remaining instrumental signal. We find that




![]() |
Figure 5: Cross-correlation between galaxy shear estimates and uncorrected stellar ellipticities as defined in (12). The signal is consistent with zero if the residual ellipticity correction discussed in Appendix B.6 is applied (circles). Even without this correction (triangles) it is at a level negligible compared to the expected cosmological signal (dotted curves), except for the largest scales, where the error-budget is anyway dominated by sampling variance. |
Open with DEXTER |
5 Weak lensing tomography
In this section we present our analysis of the redshift dependence of
the lensing signal
in COSMOS. We start with the
definition
of redshift bins in Sect. 5.1, summarize the
theoretical framework in Sect. 5.2, describe
our angular binning and treatment of intrinsic galaxy alignments in
Sect. 5.3, elaborate on the covariance estimation in Sect. 5.4, present
the measured redshift scaling in Sect. 5.5, and discuss indications for a contamination of faint
galaxies with high redshift galaxies in Sect. 5.6.
5.1 Redshift binning
We split the galaxies with individual COSMOS-30 photo-zs into
five
redshift bins, as summarized in Table 1 and illustrated in Fig. 6.
We chose the intermediate limits
z=(0.6,1.0,1.3)
such that
the Balmer/4000 Å break is
approximately located at the centre of one of the broadband r+i+z+filters.
This minimizes the impact of possible artifical clustering in photo-z space
and hence scatter between redshift bins
for
galaxies too faint to be detected in the Subaru medium bands.
Given our chosen limits,
most catastrophic redshift
errors are faint bin 5 galaxies identified as bin 1 (Sect. 2.2.1).
Thus, we do not include
z<0.6
galaxies with i+>24 in our
analysis due to their potential contamination with high redshift
galaxies, but study their lensing signal separately in Sect. 5.6.
We use all galaxies without individual photo-z estimates with
22<i814<26.7 as a broad bin 6, for which we
estimated the redshift distribution in Sect. 2.2.2.
Table 1: Definition of redshift bins, number of contributing galaxies, and mean redshifts.
![]() |
Figure 6:
Redshift distributions for our tomography analysis.
The solid-line histogram shows the individual COSMOS-30 redshifts used for bins 1 to 5, while
the difference between the dashed and solid histograms indicates the 24<i+<25 galaxies with
|
Open with DEXTER |
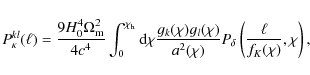
5.2 Theoretical description
Extending the formalism from Sect. 4, we
split the galaxy sample into redshift bins and cross-correlate shear estimates between
bins k and l
where the summation extends over all galaxies i in bin k, and all galaxies j in bin l. These are estimates for the shear cross-correlation functions

where




with the Hubble parameter H0, matter density




are weighted according to the redshift distributions pk of the two considered redshift bins (see e.g. Bartelmann & Schneider 2001; Simon et al. 2004; Kaiser 1992).
5.3 Angular binning and treatment of intrinsic galaxy alignments
Our six redshift bins define a total of 21 combinations of redshift bin
pairs (including auto-correlations).
For each redshift bin
pair (k,l), we compute the shear cross-correlations
and
in six logarithmic angular bins
between 0
2 and
.
We include all of these angular and redshift bin combinations in the analysis of the weak
lensing redshift scaling presented in this section, to keep it as general as possible.
Yet, for the cosmological parameter estimation in
Sect. 6, we
carefully select the included bins
to minimize potential bias by intrinsic galaxy alignments and uncertainties
in theoretical model predictions.
In order to minimize potential contamination by intrinsic alignments of physically associated galaxies, we exclude the auto-correlations of the relatively narrow redshift bins 1 to 5. These contain the highest fraction of galaxy pairs at similar redshift, and hence carry the strongest potential contamination.
An additional contamination may originate from
alignments between intrinsic galaxy shapes and their surrounding density field causing the gravitational shear (e.g. Hirata et al. 2007; Hirata & Seljak 2004).
A complete removal of this effect requires more advanced analysis schemes (e.g. Joachimi & Schneider 2008),
which we postpone to a future study.
Yet, following the suggestion by Mandelbaum et al. (2006), we exclude luminous red
galaxies (LRGs) in the computation of the shear-shear correlations used for the
parameter estimation.
This reduces potential contamination, given that LRGs were found to carry the strongest alignment signal
(Hirata et al. 2007; Mandelbaum et al. 2006,2009).
We select these galaxies from the Ilbert et al. (2009)
photo-z catalogue with cuts in the photometric type
(``ellipticals'')
and absolute magnitude
,
excluding a total of
5751 galaxies
.
We accordingly adapt the redshift distribution for the parameter estimation.
In the cosmological parameter estimation,
we additionally exclude the smallest angular
bin (
), for which
the theoretical model predictions have the largest uncertainty due to
required non-linear corrections
(Sect. 6.2) and the influence of
baryons (e.g. Rudd et al. 2008).
While we do not exclude LRGs and the smallest angular bin for the redshift scaling analysis presented in the current section, we have verified that their exclusion leads to only very small changes, which are well within the statistical errors and do not affect our conclusions.
5.4 Covariance estimation
In order to interpret our measurement and constrain cosmological parameters, we need to reliably estimate the data covariance matrix and its inverse. Massey et al. (2007c) estimate a covariance for their analysis from the variation between the four COSMOS quadrants. This approach yields too few independent realizations and may substantially underestimate the true errors (Hartlap et al. 2007). We also do not employ a covariance for Gaussian statistics (e.g. Joachimi et al. 2008) due to the neglected influence of non-Gaussian sampling variance. This is particularly important for the small-scale signal probed with COSMOS (Semboloni et al. 2007; Kilbinger & Schneider 2005). Instead, we estimate the covariance matrix from 288 realizations of COSMOS-like fields obtained from ray-tracing through the Millennium Simulation (Springel et al. 2005), which combines a large simulated volume yielding many quasi-independent lines-of-sight with a relatively high spatial and mass resolution. The latter is needed to fully utilize the small-scale signal measureable in a deep space-based survey.
The details of the ray-tracing analysis are given in Hilbert et al. (2009).
In brief, we use tilted lines-of-sight through the simulation to avoid
repetition of structures along the backwards lightcone, providing us
with 32quasi-independent
fields, which we further subdivide into nine COSMOS-like subfields, yielding a total of 288 realizations.
We randomly populate the fields with galaxies,
employing the same galaxy number density, field masks, shape noise,
and redshift distribution as in the COSMOS data.
We incorporate photometric redshift errors for bins 1 to 5 by randomly
misplacing galaxy redshifts assuming a (symmetric) Gaussian scatter according to the
errors in the photo-z
catalogue.
In contrast, the redshift calibration uncertainty for bin 6 is not
a stochastic but a systematic error, which we account for in the
cosmological model fitting in Sect. 6.
The value of
used for the Millennium Simulation is slightly high compared
to current estimates.
This will lead to an overestimation of
the errors, hence our analysis can be considered slightly conservative.
We have to neglect the cosmology dependence of the covariance
(Eifler et al. 2009) in the parameter estimation, given that
we have currently only one simulation with high resolution and large volume at hand.
We need to invert the covariance matrix for the cosmological parameter estimation
in Sect. 6.
While the covariance estimate
from the ray-tracing realizations is unbiased, a bias is introduced by correlated noise in the matrix inversion.
To obtain an unbiased estimate for the inverse covariance
,
we apply the correction
discussed in Hartlap et al. (2007), where n=288 is the number of independent realizations and p is the dimension of the data vector. As discussed in Sect. 5.3, we exclude the smallest angular bin and auto-correlations of redshift bins 1 to 5, yielding p=160 and a moderate correction factor


In order to limit the required correction for the covariance inversion, we do not include more angular bins in our analysis. We have therefore optimized the bin limits using Gaussian covariances (Joachimi et al. 2008) and a Fisher-matrix analysis aiming at maximal sensitivity to cosmological parameters.
5.5 Redshift scaling of shear-shear cross-correlations
![]() |
Figure 7:
Shear-shear cross-correlations
|
Open with DEXTER |
We plot the shear-shear cross-correlations
between all redshift bins and the broad
bin 6 in Fig. 7.
These cross-correlations carry the lowest
shot noise and
shape noise due to the large number of galaxies in bin 6.
The good agreement between the data and
CDM model already indicates
that the weak lensing signal roughly scales with redshift as expected.
The errors correspond to the square root of the diagonal elements of the full ray-tracing
covariance.
Points are correlated not only within a redshift
bin pair, but also between different redshift combinations, as their lensing signal is partially
caused by the same foreground structures. In addition, galaxies in bin 6 contribute to different cross-correlations.
Note that our relatively broad angular bins lead to a significant variation of the theoretical models within a bin.
When computing an average model prediction for a bin, we therefore weight according to the
-dependent number of galaxy pairs within this bin.
Likewise, we plot points at their effective
,
which has been weighted accordingly.
![]() |
Figure 8:
Shear-shear redshift scaling for |
Open with DEXTER |
Instead of plotting 21 separation-dependent, noisy cross-correlations,
we condense the information into a single plot showing the redshift dependence of the signal.
Here we assume that the predictions for our reference cosmology describe the relative angular dependence of
the signal sufficiently well,
and fit the data points as
where












5.6 Contamination of the excluded faint z < 0.6 sample with high-z galaxies
As discussed in Sect. 2.2, we expect a significant
fraction of faint
galaxies with assigned
photometric redshift
to be truly located at high redshifts
.
To test this hypothesis, we plot the collapsed
shear cross-correlations
for different samples of galaxies with assigned
in Fig. 9.
For the i+< 24 galaxies used in the cosmological analysis the
signal is well consistent with expectations, suggesting negligible
contamination. For a 24<i+<25 sample with single-peaked photo-z
probability distribution
a mild increase is detected.
This is still consistent with
expectations, suggesting at most low contamination.
We also study a sample of galaxies each of which has a
significant secondary peak in their photometric redshift probability
distribution at
,
amounting to 36% of all 24<i+<25 galaxies with
.
This sample shows a strong boost in the lensing signal,
suggesting strong contamination with high-redshift galaxies.
We can obtain a rough estimate for this contamination if we assume that the
shear signal does actually scale as in our reference CDM cosmology.
For simplicity we assume that the cross-contamination can be described as a
uni-directional scatter from bin 5 to bin 1, and that the true redshifts of
the misplaced galaxies follow the distribution within bin 5.
The expected contaminated signal is then given as a linear superposition of
the cross-correlation predictions with bin 1 and bin 5 respectively, according
to the relative number of contributing galaxy pairs
where r is the contamination fraction, i.e. the fraction of the bin 1 galaxies with 24<i+<25 and a significant secondary peak in their photo-z PDF, which should have been placed into bin 5. We fit the measured shear-shear cross-correlations








Our analysis provides an interesting confirmation for the photometric redshift analysis by Ilbert et al. (2009), which apparently succeeds in identifying sub-samples of (mostly) uncontaminated and potentially contaminated galaxies quite efficiently.
![]() |
Figure 9:
Shear-shear redshift scaling for
|
Open with DEXTER |
6 Constraints on cosmological parameters
6.1 Parameter estimation and considered cosmological models
The statistical analysis of the shear tomography correlation
functions, assembled as data vector ,
is
based on a standard Bayesian approach
(e.g. MacKay 2003). Therein, prior knowledge of model
parameters
is combined with the information on those
parameters inferred from the new observation and expressed as
posterior probability distribution function (PDF) of
:
![]() |
(20) |
Here,



![]() |
(21) |
where


In our analysis we consider different cosmological models,
which are characterized by the parameters
,
with the
dark energy density
,
matter
density
,
power spectrum normalization
,
Hubble parameter h, and (constant) dark energy equation of state parameter w. Here, fz denotes a nuisance parameter
encapsulating the uncertainty in the redshift calibration for bin 6 as
,
which was discussed in Sect. 2.2.2.
We consider
- a flat
CDM cosmology with fixed w=-1,
, and
,
- a general (non-flat)
CDM cosmology with fixed w=-1 and
,
, and
- a flat
CDM cosmology with
,
, and
.
![$\sigma_8\in[0.2,1.5]$](/articles/aa/full_html/2010/08/aa13577-09/img207.png)
![$f_{z}\in[0.9,1.1]$](/articles/aa/full_html/2010/08/aa13577-09/img208.png)
In our default analysis scheme we also apply a
Gaussian prior
for
,
and
assume a fixed baryon density
and spectral
index
as consistent with Dunkley et al. (2009), where the
small
uncertainties on
and
are negligible for our analysis.
Note that
we relax these priors for parts of the analysis in
Sects. 6.3.2 and 6.4.
The practical challenge of the parameter estimation is to evaluate the posterior within a reasonable time, as the computation of one model vector for shear tomography correlations is time-intensive. For an efficient sampling of the parameter space, we employ the Population Monte Carlo (PMC) method as described in Wraith et al. (2009). This algorithm is an adaptive importance-sampling technique (Cappé et al. 2008): instead of creating a sample under the posterior as done in traditional Monte-Carlo Markov chain (MCMC) techniques (e.g. Christensen et al. 2001), points are sampled from a simple distribution, the so-called proposal, in our case a mixture of eight Gaussians. Each point is then weighted by the ratio of the proposal to the posterior at that point. In a number of iterative steps, the proposal function is adapted to give better and better approximations to the posterior. We run the PMC algorithm for up to eight iterations, using 5000 sample points in each iteration. To reduce the Monte-Carlo variance, we use larger samples with 10 000 to 20 000 points for the final iteration. These are used to create density histograms, mean parameter values, and confidence regions. Depending on the experiment, the effective sample size of the final importance sample was between 7500 and 17 700. We also cross-checked parts of the analysis with an independently developed code which is based on the traditional but less efficient MCMC approach, finding fully consistent results.
6.2 Non-linear power spectrum corrections
![]() |
Figure 10:
Comparison of the fit formulae for the non-linear growth of structure in wCDM cosmologies. Shown is the three-dimensional matter power spectrum, normalized by the corresponding |
Open with DEXTER |
To calculate model
predictions for the correlation functions according to (14),
(15), and (16), we need to
evaluate the involved distance ratios and compute the non-linear power spectrum
.
Given a set of parameter values, the computation of the distances and the linearly extrapolated power spectrum
is straightforward.
We employ the transfer function by Eisenstein & Hu (1998) for the latter, taking baryon damping but no oscillations into account (``shape fit'').
For CDM models we estimate the full
non-linear power spectrum according to Smith et al. (2003).
McDonald et al. (2006) also provide non-linear power spectrum corrections for
,
but these were
tested for a narrow range in
only.
We want to keep our analysis as general as possible, not having to assume such a strong prior on
.
Following the icosmo code
(Refregier et al. 2008)
we instead
interpolate the non-linear corrections from Smith et al. (2003) between the cases
of a
CDM cosmology (w=-1) and an OCDM cosmology,
acting as a dark energy with w=-1/3.
This is achieved by replacing the parameter
in the halo model fitting function (Smith et al. 2003).
This parameter is used to interpolate between spatially flat models with
dark energy (f=1) and an open Universe without dark energy (f=0).
We substitute f by a new parameter
.
Thus, we obtain f'=1 for
CDM and f'=0 for wCDM with w=-1/3, mimicking an OCDM cosmology for which the original parameter f vanished as well.
To test this simplistic approximation, we compare the computed
corrections for
w=(-0.5,-1.5) to the fitting formulae from
McDonald et al. (2006) in
Fig. 10.
Note that we use our fiducial cosmological parameters to obtain these curves, except for
,
to match
from McDonald et al. (2006).
For most of the scales probed by our measurement the two descriptions agree
reasonably well. The modification of the halo fit follows the fits to the
simulations more accurately on large scales and at higher redshift, while it
does not reproduce the tendency of the fits by McDonald et al. (2006) to drop off for
large wave vectors. The precision of the modification outlined above is
sufficient for our aim to provide a proof of concept for weak lensing dark
energy measurements. However, future measurements with larger data sets will
require accurate fitting formulae for general w cosmologies.
Table 2:
Constraints on
,
,
,
and w from the COSMOS data for different
cosmological models and analysis schemes.
![]() |
Figure 11:
Comparison of our constraints on
|
Open with DEXTER |
6.3 Cosmological constraints from COSMOS
6.3.1 Flat
CDM cosmology
We plot our constraints on
and
for a flat
CDM cosmology and our default 3D lensing analysis scheme in Fig. 11 (solid contours),
showing the typical ``banana-shaped'' degeneracy, from which we
compute
Here we marginalize over the uncertainties in h and the parameter fz encapsulating the uncertainty in the redshift calibration for bin 6, where we find that fz is nearly uncorrelated with


For comparison we also conduct a classic 2D lensing analysis (dashed contours in Fig. 11),
where we use only the total redshift distribution and do not split galaxies into redshift bins.
We find that the 2D and 3D analyses yield consistent results with substantially overlapping
regions, as expected.
Yet, the constraints from the 2D analysis shift towards lower
.
The difference
is not surprising given
that the strongest contribution to the lensing signal in COSMOS comes from massive structures near
(Scoville et al. 2007b; Massey et al. 2007b),
boosting the signal for high redshift sources, but leading to a lower
signal for galaxies at low and intermediate redshifts (see right panel
of Fig. 8).
The 3D lensing analysis can properly combine these measurements, also accounting
for the stronger impact of sampling variance at low redshifts.
In contrast, the 2D lensing analysis leads to a rather low (but still
consistent) estimate for
,
due to the large number of low and
intermediate redshift galaxies with low shear signal.
![]() |
Figure 12:
Constraints on
|
Open with DEXTER |
The tomographic analysis also reduces the degeneracy between
and
by probing the redshift-dependent growth of structure and distance-redshift relation,
which differ substantially for a concordance
CDM cosmology and
e.g. an Einstein-de Sitter cosmology (
).
We summarize our parameter estimates
in Table 2, also for the other cosmological models considered in
the following subsections.
We also test our selection criteria for the optimized data vector (Sect. 5.3) by analysing several deviations from it for a flat CDM cosmology.
We find negligible influence if the
smallest angular scales
or LRGs
are included, suggesting that the measurement is robust regarding the influence
of small-scale modelling uncertainties and intrinsic alignments between galaxy shapes and their surrounding density field.
Performing the analysis using only the usually excluded
auto-correlations of the relatively narrow redshift bins 1 to 5, we measure
a slightly lower
,
which
is still consistent given the substantially degraded statistical accuracy.
If intrinsic alignments between
physically associated galaxies contaminate the lensing measurement, we expect
these auto-correlations to be most strongly affected.
However, models predict an excess signal (e.g. Heymans et al. 2006b),
whereas we measure a slight decrease within the statistical errors.
Thus, we detect no significant indication for contamination by
intrinsic galaxy alignments.
6.3.2 General (non-flat)
CDM cosmology
We plot our constraints for a general CDM cosmology without the assumption of flatness in Fig. 12.
From the lensing data we find
![]() |
where our prior excludes negative densities


![]() |
(22) |
as shown in Fig. 13, which yields
![]() |
Relaxing our priors to


![$n_{\rm s}\in [0.7,1.2]$](/articles/aa/full_html/2010/08/aa13577-09/img251.png)
![]() |
Employing the recent distance ladder estimate

Our analysis provides evidence of the accelerated expansion
of the Universe (q0<0) from weak gravitational lensing.
While the statistical accuracy is still relatively weak due to the limited
size of the COSMOS field, this evidence is independent of external constraints on
and
.
We note that the lensing data alone cannot formally exclude a non-flat OCDM cosmology.
However, the cosmological parameters inferred for such a model would be inconsistent with various other
cosmological probes.
We therefore perform our analysis in the context of the well-established
CDM model,
where the lensing data provide additional evidence for cosmic acceleration.
6.3.3 Flat wCDM cosmology
For a flat wCDM cosmology we
plot our constraints
on the (constant) dark energy equation of state parameter win Fig. 14,
showing that the measurement is consistent with CDM (w=-1).
From the posterior PDF
we compute
for the chosen prior
![$w\in [-2,0]$](/articles/aa/full_html/2010/08/aa13577-09/img27.png)
![$w\in[-3.5,0.5]$](/articles/aa/full_html/2010/08/aa13577-09/img258.png)


To test the consistency of the data with CDM, we compare the
Bayesian evidence of the flat
CDM and wCDM models, which we compute
in the PMC analysis as detailed in Kilbinger et al. (2009b).
Here we find completely inconclusive probability ratios for wCDM versus
CDM of 52:48 (
)
and 45:55 (
),
confirming that the data are fully consistent with
CDM.
6.4 Model recalibration with the millennium simulation and joint constraints with WMAP-5
![]() |
Figure 13:
Posterior PDF for the deceleration parameter q0 as computed
from our constraints on
|
Open with DEXTER |
![]() |
Figure 14:
Constraints on
|
Open with DEXTER |





![[*]](/icons/foot_motif.png)




To compensate for this underestimation of the model predictions and reduced
shear effects, we scale our derived constraints on
for a flat
CDM cosmology by a factor
, yielding
Note that we did not apply this correction for the values given in the previous section and listed in Table 2, as we can only test it for the case of a flat

Having eliminated this last source of systematic uncertainty, we now
estimate joint constraints with WMAP-5 CMB-only data
(Dunkley et al. 2009), conducted similarly to the analysis by Kilbinger et al. (2009a).
Here we assume a flat CDM cosmology, completely relax our priors
to
,
,
,
and
scale
for the lensing model calculation according to
the Millennium Simulation results.
Here we also marginalize over an additional
2% uncertainty in the lensing
calibration
to account for the dropped remaining mean shear calibration bias
(0.8%, Sect. 3) and limited accuracy of the employed
residual shear correction (Sect. 4), which we
estimate to be
in
.
From the joint analysis with WMAP-5 we find
which reduces the size of WMAP-only




![]() |
Figure 15:
Comparison of the constraints on
|
Open with DEXTER |
7 Summary, discussion, and conclusions
We have measured weak lensing galaxy shear estimates from the HST/COSMOS
data by applying a new model for the spatially and temporally varying ACS
PSF,
which is based on
a principal component analysis of PSF variations in dense stellar fields.
We find that most of the PSF changes can be described with a single
parameter related to the HST focus position.
Yet, we also correct for additional PSF variations,
which
are coherent for neighbouring COSMOS tiles taken closely in time.
We employ updated parametric corrections for charge-transfer inefficiency,
for both galaxies and stars, removing earlier modelling
uncertainties due to confused PSF- and CTI-induced stellar ellipticity.
Finally, we employ a simple correction for signal-to-noise dependent shear
calibration bias,
which we derive from the STEP2 simulations of
ground-based
weak lensing data.
Tests on simulated space-based data
confirm a relative shear calibration uncertainty
over the entire
used magnitude range if this correction is applied. We decompose the measured shear
signal into curl-free E-modes and curl-component B-modes.
As expected from pure lensing, the B-mode signal is consistent with zero for
all second-order shear statistics, providing an important confirmation for
the success of our correction schemes for instrumental systematics.
We combine our shear catalogue with excellent ground-based photometric
redshifts from Ilbert et al. (2009) and carefully estimate the redshift distribution
for faint ACS galaxies without individual photo-zs.
This allows us to study weak
lensing
cross-correlations in detail between six redshift bins, demonstrating
that the signal indeed scales as expected from general relativity for a concordance CDM cosmology.
We employ a robust covariance matrix from 288 simulated COSMOS-like fields
obtained from ray-tracing through the Millennium Simulation (Hilbert et al. 2009).
Using our 3D weak lensing analysis of COSMOS, we derive
constraints
for a flat
CDM cosmology, using non-linear power spectrum corrections from Smith et al. (2003).
A recalibration of these predictions based on the ray-tracing analysis changes our constraints to
(all 68.3% conf.).
Our results are perfectly consistent with WMAP-5, yielding joint constraints
,
(68.3% and 95.4%
confidence).
They also agree with weak lensing results from the CFHTLS-Wide (Fu et al. 2008) and recent galaxy cluster constraints from Mantz et al. (2009) within
.
Our errors include the full statistical uncertainty including the non-Gaussian sampling variance,
Gaussian
photo-z scatter, and marginalization over remaining parameter uncertainties, including the redshift calibration for
the faint i+>25 galaxies.
Our results are consistent with the 3D lensing constraints
from Massey et al. (2007c) assuming non-linear power spectrum corrections according to Smith et al. (2003), at the
level.
The analyses differ systematically in the
treatment of PSF- and CTI-effects, where the success of our methods is
confirmed by the vanishing B-mode.
Furthermore, Massey et al. (2007c) employ
earlier photo-zs based on fewer bands (Mobasher et al. 2007).
Note that the analysis of Massey et al. (2007c) yields
tighter statistical errors, which may be a result of their covariance
estimate from the variation between the four COSMOS quadrants.
This potentially
introduces a bias in the covariance inversion due to too few independent
realizations (Hartlap et al. 2007).
While the absolute calibration accuracy of the shear measurement method
was estimated to be the dominant source of uncertainty in their error budget,
we were able to reduce it well below the statistical error level.
As a further difference, our analysis employs photometric redshift information to reduce potential contamination
by intrinsic galaxy alignments, where we exclude the shear-shear auto-correlations for the relatively
narrow redshift bins 1 to 5 to minimize the impact of physically associated galaxies.
In addition, we exclude luminous red galaxies, which were found to
carry the strongest intrinsic alignment with the density field of their large-scale structure
environment causing the shear (Hirata et al. 2007).
Finally,
we do not include angular scales
due to
increased
modelling uncertainties for the non-linear power spectrum.
Similarly to Massey et al. (2007c), we obtain a lower estimate
for a non-tomographic (2D) analysis, assuming Smith et al. (2003) power spectrum corrections.
The lower signal compared to the 3D lensing
analysis is expected, given that the most massive structures in COSMOS are
located at
(Scoville et al. 2007b), creating a strong shear signal for high redshift sources only, which is detected by the 3D analysis.
In contrast, the bulk of the galaxies in the 2D lensing analysis are located
at too low redshifts to be substantially lensed by these structures,
yielding a relatively low estimate for
.
Nonetheless, as sampling variance is properly accounted for in our error analysis, the constraints are still consistent.
For a general (non-flat) CDM cosmology,
we find a negative
deceleration parameter
q0<0 at 96.0% confidence using our default priors, and
at 94.3% confidence if only priors from the HST Key Project and BBN are
applied.
Thus, our
tomographic weak lensing measurement provides independent evidence of the
accelerated expansion of the Universe.
For a flat wCDM cosmology we constrain the
(constant) dark energy equation of state parameter to
for a prior
,
fully consistent with
CDM.
Our dark energy constraints are still weak compared to recent results from
independent probes (e.g. Mantz et al. 2009; Kowalski et al. 2008; Hicken et al. 2009; Mantz et al. 2008; Vikhlinin et al. 2009; Allen et al. 2008; Komatsu et al. 2009).
This is solely due to the limited area of COSMOS,
leading to a dominant contribution
to the error budget from sampling variance.
While the area covered by COSMOS is still small (1.64
), the high resolution
and depth of the HST data allowed us to obtain cosmological constraints which
are comparable to results from substantially larger ground-based surveys.
However, note that HST was by no means designed for cosmic shear measurements.
In contrast, future space-based lensing mission such as Euclid
or
JDEM
will be highly optimized for weak lensing measurements.
High PSF stability, a much larger field-of-view providing thousands of stars for PSF measurements,
carefully designed CCDs which minimize charge-transfer inefficiency,
and improved algorithms will remove the need for some of the empirical calibrations employed in this paper.
In order to fully exploit the information encoded in the weak lensing shear field, second-order shear statistics, as used here, can be complemented with higher-order shear statistics to probe the non-Gaussianity of the matter distribution (e.g. Vafaei et al. 2010; Bergé et al. 2010). Based on our COSMOS shear catalogue, Semboloni et al. (2010) present such a cosmological analysis using combined second and third-order shear statistics.
Finally, we stress that weak lensing can only provide precision constraints on cosmological
parameters if sufficiently accurate models exist to compare the measurements
to.
Our analysis of the relatively small COSMOS Survey is still limited by the statistical measurement uncertainty,
for which our approximate model recalibration using the Millennium Simulation is sufficient.
Most of the cosmological sensitivity in COSMOS comes from quasi-linear
and non-linear scales.
We cut our analysis only at highly non-linear scales
,
corresponding to a comoving separation of
360 kpc at z=0.7
(roughly the redshift of the most massive structures in COSMOS).
At these scales non-linear power spectrum corrections have substantial uncertainties,
in particular due to the influence of baryons (e.g. Rudd et al. 2008).
Given that our results are basically unchanged if even smaller scales are included
(insignificant increase in
by <
), we expect that the
model uncertainty for the larger scales should still be sub-dominant compared to our statistical errors.
However, analyses of large future surveys
will urgently require improved model predictions
including corrections for baryonic effects,
also for dark
energy cosmologies with
,
and optionally also for theories of modified gravity.
Once these are available, careful analyses
of large
current and future weak lensing surveys
will deliver
precision constraints on cosmological parameters and dark energy properties.
This work is based on observations made with the NASA/ESA Hubble Space Telescope, obtained from the data archives at the Space Telescope European Coordinating Facility and the Space Telescope Science Institute. It is a pleasure to thank the COSMOS team for making the Ilbert et al. (2009) photometric redshift catalogue publicly available. We appreciate help from Richard Massey and Jason Rhodes in the creation of the simulated space-based images. We thank them, Maaike Damen, Catherine Heymans, Karianne Holhjem, Mike Jarvis, James Jee, Alexie Leauthaud, Mike Lerchster, and Mischa Schirmer for useful discussions, and Steve Allen, Thomas Kitching, and Richard Massey for helpful comments on the manuscript. We thank the anonymous referee for his/her comments, which helped to improve this paper significantly. We thank the Planck-HFI and TERAPIX groups at IAP for support and computational facilities. T.S. acknowledges financial support from the Netherlands Organization for Scientific Research (NWO) and the Deutsche Forschungsgemeinschaft through SFB/Transregio 33 ``The Dark Universe''. J.H. acknowledges support by the Deutsche Forschungsgemeinschaft within the Priority Programme 1177 under the project SCHN 342/6 and by the Bonn-Cologne Graduate School of Physics and Astronomy. B.J. acknowledges support by the Deutsche Telekom Stiftung and the Bonn-Cologne Graduate School of Physics and Astronomy. M.K. is supported by the CNRS ANR ``ECOSSTAT'', contract number ANR-05-BLAN-0283-04, and by the Chinese National Science Foundation Nos. 10878003 & 10778725, 973 Programme No. 2007CB 815402, Shanghai Science Foundations and Leading Academic Discipline Project of Shanghai Normal University (DZL805). P.Si., H.Hi., and M.V. acknowledge support by the European DUEL Research-Training Network (MRTN-CT-2006-036133). M.B., C.D.F., and P.J.M. acknowledge support from programmes #HST-AR-10938 and #HST-AR-10676, provided by NASA through grants from the Space Telescope Science Institute (STScI), which is operated by the Association of Universities for Research in Astronomy, Incorporated, under NASA contract NAS5-26555 and NNX08AD79G. H.Ho. and E.S. acknowledge support from a NWO Vidi grant. S.H. acknowledges support by the Deutsche Forschungsgemeinschaft within the Priority Programme 1177 under the project SCHN 342/6. E.S. acknowledges financial support from the Alexander von Humboldt Foundation. L.V.W. thanks CIfAR and NSERC for financial support.
Appendix A: Additional image calibrations
In this appendix we describe additional calibrations which we apply to the flat-fielded _flt images before running MultiDrizzle.
Background subtraction.
We perform a quadrant-based background subtraction due to an anomalous bias level variation between the four ACS read-out amplifiers. Here we detect and mask objects with SExtractor (Bertin & Arnouts 1996), combine this mask with the static bad pixel mask, and estimate the background as the median of all non-masked pixels in the quadrant. We modulate the offset from the mean background level with the normalized inverse flat-field to correct for the fact that the improperly bias-subtracted image has already been flat-fielded![[*]](/icons/foot_motif.png)
Bad pixel masking.
We manually mask satellite trails and scattered stellar light if its apparent sky position changes between different dither positions, allowing us to recover otherwise unusable sky area. In addition, we update the static bad pixel mask rejecting pixels if:- their dark current exceeds
in the associated dark reference file (default
), or
- they are affected by variable bias structures, which we identify in a variance image of five subsequent bias reference frames taken temporally close to the science frame considered, or
- they show significantly positive or negative values in a median image computed from 50 background-subtracted and object-masked COSMOS frames taken closely in time, indicating any other semi-persistent blemish.

Table A.1:
Lower and upper
thresholds for pixel masking with
ccdmask in the bias variance and the sky-subtracted and
object-masked median images.
Noise model.
We compute a rms noise
model for each pixel as
with the normalized flat-field F, the sky background s
![$[{\rm e}^-]$](/articles/aa/full_html/2010/08/aa13577-09/img294.png)
![$[{\rm e}^-/{\rm s}]$](/articles/aa/full_html/2010/08/aa13577-09/img295.png)
![$t_{\rm exp} ~[{\rm s}]$](/articles/aa/full_html/2010/08/aa13577-09/img296.png)

![$[{\rm counts}^2]$](/articles/aa/full_html/2010/08/aa13577-09/img298.png)


Appendix B: Correction for PSF and CTI effects
B.1 Summary of our KSB+ implementation
We measure galaxy shapes
using the Erben et al. (2001) implementation of the KSB+
formalism (Luppino & Kaiser 1997; Kaiser et al. 1995; Hoekstra et al. 1998),
as done in the earlier ACS weak lensing analysis of Schrabback et al. (2007).
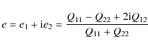
Object ellipticities
are measured from weighted second-order brightness moments
where


with the (seeing convolved) intrinsic source ellipticity

where the shear and smear polarizability tensors





![$ T^*={\rm Tr}\left[P^{{\rm sh}*}\right]/{\rm Tr}\left[P^{{\rm sm}*}\right]$](/articles/aa/full_html/2010/08/aa13577-09/img311.png)
In the application of the KSB+ formalism several choices
lead to subtle differences between different KSB implementations, see
Heymans et al. (2006a)
for a detailed comparison.
In short, we
use sub-pixel interpolation for integral evaluations, measure galaxy
shapes with
,
the SExtractor flux-radius,
and apply PSF measurements computed with
the same filter scale as used for the corresponding galaxy (interpolated between 24 values with
pixels).
We invert the Pg tensor as measured from individual galaxies using the
approximation
commonly applied to reduce noise
(Erben et al. 2001).
In contrast to Schrabback et al. (2007) we do not apply a constant calibration correction, but employ the signal-to-noise dependent correction (6).
B.2 Tests with simulated space-based data
We test our KSB+ shape measurement pipeline on simulated space-based weak lensing
data with ACS-like properties, which were provided for testing in the
framework of the Shear Testing
Programme.
The images were created with the Massey et al. (2004) image simulation pipeline,
which uses shapelets (Massey & Refregier 2005; Refregier & Bacon 2003) to model galaxy and PSF
shapes, as already employed for the STEP2 simulations (Massey et al. 2007a).
All images have
pixels of size 0
04,
HST-like resolution, and a depth equivalent to 2ks of ACS imaging.
The data are subdivided into eight sets with different PSFs (
), seven of which
utilize TinyTim
ACS PSF models, and one was created by stacking stars
of similar ellipticity in an ACS stellar field (M).
One of the sets uses simplified exponential profiles for galaxy
modelling (F), while the others include complex galaxy
morphologies modelled with shapelets.
Four sets comprise 100 images, while the others
include 200 frames. Within
each set, the images are split into ``rotated pairs'', where the
intrinsic galaxy ellipticities in one frame
resemble 90 degree-rotated versions from the other frame, an
approach used in
Massey et al. (2007a) to reduce the
analysis uncertainty due to shape-noise.
Galaxies are sheared with |g|<0.06 and convolved with the
PSF, both effects being constant within one frame, but with varying gwithin one set.
Realistic image noise was added similarly to the STEP2
analysis, except that no noise correlations were introduced.
We analyse the images with the same pipeline and cuts as the real COSMOS
data, with the only difference that the PSF is assumed to be constant across
the field, but still measured from the simulated stars.
Figure B.1 shows the mean calibration bias m and PSF anisotropy residuals c defined in (5), separately for each image simulation set, estimated from matched galaxy pairs (for details on this fit see Massey et al. 2007a).
While some data sets deviate from the optimal m=c=0, the residuals are at a level which is
negligible compared to the statistical uncertainty of COSMOS. Combining all sets and both shear components,
we estimate the mean calibration bias
,
and the scatter of the PSF anisotropy residuals
.
As discussed in Sect. 3, a possible
magnitude-dependence of the shear calibration bias m is particularly
problematic for 3D weak lensing studies.
We therefore study m as a function of magnitude in Fig. B.2,
both for the simulated ground-based STEP2 and the simulated space-based ACS-like data.
Although the applied correction (6)
was determined from the simulated ground-based data, it also performs
very well for the ACS-like simulations, showing its robustness.
Over the entire magnitude range the remaining calibration bias is
,
which is negligible compared to our statistical errors.
![]() |
Figure B.1:
Shear calibration bias m and PSF anisotropy residuals c as measured in
the simulated ACS-like lensing data. The left and right panels show the results for the |
Open with DEXTER |
![]() |
Figure B.2:
Magnitude-dependence of the shear calibration bias
for our KSB implementation
after correction for S/N-dependent bias according to (6).
The top panel shows results for the STEP2 simulations of ground-based lensing data (Massey et al. 2007a), which have been used to derive (6), where we have excluded the untypically elliptical PSFs D and E. The bottom
panel shows the remaining calibration bias for the ACS-like simulations
of space-based lensing data. In both panels we plot the average
computed from all PSF models and the two shear components, with
error-bars indicating the uncertainty of the mean.
Despite the very different characteristics of the two sets of
simulations, (6) performs also very well for the ACS-like data, with a bias
|
Open with DEXTER |
B.3 Stellar fields
We have
analysed 700 i814 exposures of dense
stellar fields,
which were taken between 2002 Apr. 18 and
2006 Jun. 3 and contain at least 300 non-saturated stars
with S/N>50 (for
pixels).
This large set
enables us to study in detail the impact of CTI on stars, as well as the temporal and
positional ACS PSF variation, which cannot be achieved from the
COSMOS exposures due to their low stellar density.
We determine both CTI and PSF models for the cosmic ray-cleansed COR images before resampling,
and their resampled (but not stacked) counterparts (DRZ).
The reason is that resampling unavoidably adds extra noise.
Therefore it is best to fit the available stars in a galaxy field exposure before resampling.
Yet, the combined PSF model for a stack has to be determined from resampled
image models according to the relative dithering. For the COR-image analysis we employ a fixed Gaussian filter scale
pixels, in order to maximize the fitting
signal-to-noise (see Schrabback et al. 2007), and characterize the PSF by the ellipticity
and stellar half-light radius
as suggested by Jee et al. (2007).
For the DRZ images we
require CTI-corrected PSF models
for all 24 values of
used for the galaxy correction.
B.4 Stellar CTI correction
CTI charge trails stretch objects in the readout y-direction, leading to an additional negative e1 ellipticity component. Internal calibrations (Mutchler & Sirianni 2005), photometric studies (e.g. Chiaberge et al. 2009), as well as the analysis of warm pixels (Massey et al. 2010) and cosmic rays (Jee et al. 2009) demonstrate that the influence of CTI increases linearly with time and the number of y-transfers, where the latter has also been shown for the influence on galaxy ellipticities by Rhodes et al. (2007). In addition, the limited depth of charge traps leads to a stronger influence of CTI for faint sources, which lose a larger fraction of their charge than bright sources. Likewise, the effect is reduced for higher sky background values leading to a fraction of continuously filled traps. Here we only study the effect of CTI on stars, whereas galaxies will be considered in Appendix B.6.
Following Chiaberge et al. (2009), we assume a power-law dependence on sky background and integrated flux
as measured in apertures
of
pixels,
leading to the parametric CTI model
with the time








![]() |
Figure B.3:
CTI-induced stellar ellipticity for four example stellar field exposures:
The bold points show the mean stellar e1 ellipticity-component as a function of stellar
flux after subtraction of a spatial third-order polynomial model derived
from bright stars
(S/N>50)
to separate PSF and CTI effects. Each stellar ellipticity has
been scaled to a reference number of
|
Open with DEXTER |
In order to separate CTI and PSF effects we make use of the fact that
CTI-induced ellipticity is expected to depend on flux, while PSF
ellipticity is flux-independent.
In our analysis of stellar field exposures we
first fit the spatial ellipticity variation
of bright non-saturated stars with
S/N>50
using a third-order
polynomial in each chip, and apply this model to all stars with
S/N>5.
For the high S/N
stars used in the fit, the strongest ellipticity
contribution comes from the spatially varying PSF.
Yet, for these stars the polynomial fit also corrects for the position-dependent but
flux-averaged CTI effect, leading to a net negative e1ellipticity for fainter than average stars (CTI under-corrected), and net
positive e1 for brighter stars (CTI over-corrected).
For even fainter stars with
S/N<50 we expect an increasingly more
negative e1 ellipticity component.
Thus, the CTI influence can be measured from the flux-dependence
of the polynomial-corrected residual ellipticity,
as illustrated in Fig. B.3 for four example
exposures.
We note a turnaround in the CTI flux-dependence for some exposures at low
(right panels in Fig. B.3),
which was also reported for CTI measurements from cosmic rays and further investigated by Jee et al. (2009).
This does not affect our stellar models, given that we only use S/N>20 stars both for PSF measurement and to constrain (B.5).
Yet, it suggests that CTI models may not be valid over very wide ranges
in signal-to-noise, motivating the use of a separate model
for the typically much fainter galaxies in Appendix B.6.
We determine the three fit parameters in (B.5)
jointly from the polynomial-corrected residual ellipticities in all
stellar exposures.
For each exposure it is necessary to add an
offset,
which
has been
linearly scaled with
for each star, in order to compensate for the
flux-averaged correction included in the polynomial fit.
We compute this offset within the non-linear fitting routine
for a given set of fit parameters from the
positions and fluxes of the bright stars used in the polynomial fit, and
apply it to all stars.
![]() |
Figure B.4:
Dependence of the best fitting parameters of the stellar CTI model (B.5)
on the Gaussian filter scale |
Open with DEXTER |
We conduct this fit both for the
COR-image ellipticities (
)
yielding best fitting values
,
and for the resampled DRZ-images for all values of
.
For the latter we adjust the S/N cuts in order to keep enough stars for large
.
The best fit values are shown in Fig. B.4 as function of
,
indeed confirming the expected trends.
We provide the fitting functions
where the coefficients are listed in Table B.1, being valid for

Table B.1:
Fitted coefficients for the -dependent CTI-ellipticity model (B.6) in the resampled DRZ frames.
B.5 Principal-component correction for the time-dependent ACS PSF
As discussed in Sect. 3, ACS PSF variations are expected to be mostly caused by changes in telescope focus (e.g. Anderson & King 2006; Lallo et al. 2006; Krist 2003).
If the temporal variations indeed depend on one physical parameter only,
it should be possible to construct a one-parametric PSF model, which can be well constrained with the 10-20 stars available in an ACS field at high galactic latitudes.
Such an approach was implemented by Rhodes et al. (2007), who
measure the mean focus offset for a COSMOS stack
from
simulated
focus-dependent
TinyTim PSF models.
They then interpolate the ACS PSF between all stars in COSMOS using
polynomial functions dependent on both position and focus offset (Massey et al. 2007c; Leauthaud et al. 2007).
However, as suggested by the residual
aperture mass B-mode signal
found by Massey et al. (2007c),
this approach appears to be insufficient
for a complete removal of systematics.
In an alternative approach, Schrabback et al. (2007)
fit the stars present in each galaxy field exposure using
a large library of stellar field
PSF models.
While this approach led to no significant residual systematics within the
statistical accuracy of GEMS, it is also not sufficient for the analysis
of the much larger COSMOS data set.
We therefore implement a new PSF interpolation scheme based on principal component analysis.
It effectively combines the idea of
exposure-based
empirical models, which optimally account for time variations and relative dithering
(Schrabback et al. 2007), with the aim to describe the PSF variation with a single parameter (Rhodes et al. 2007).
Jarvis & Jain (2004) introduced the application of principal component analysis (PCA) for ground-based PSF interpolation, which we adapt here to obtain well-constrained PSF models for our ACS weak lensing fields. Note that Jee et al. (2007) and Nakajima et al. (2009) employed PCA to efficiently describe the two-dimensional ACS PSF shape, which they then spatially interpolated with normal polynomial functions. This is conceptually very different to the approach suggested by Jarvis & Jain (2004) and used here, which employs PCA for the spatial and temporal interpolation of certain quantities needed for PSF correction, such as the stellar ellipticity e*.
We represent all quantities which we want to interpolate as .
This includes
measured in the COR images for
pixels, but also
e1*,e2*,q1*,q2*,T* as measured in the DRZ images for varying
.
The only exception is when we specifically allude to COR quantities, which only includes the first group.
The first step of the PCA analysis is to fit the positional variation of the three
COR PSF quantities
in all
stellar exposures jointly for both
chips with
3rd-order
polynomials
yielding m=10 coefficients each, where we generally denote polynomials using a capital P with the order indicated by the superscript. Here we account for the gap between the chips and rescale the pixel range to the interval
![$\hat{x},\hat{y}\in [0,1]$](/articles/aa/full_html/2010/08/aa13577-09/img349.png)





We then arrange all modified data vectors into a










Note that the relative values and absolute scale of the eigenvalues
depend on the normalizations ni.
Uniform ni=1 would not be adequate given that we combine PSF
quantities with different units (dimensionless
versus
in pixels).
A correlation analysis with
could be used,
but here
relatively stable polynomial
coefficients with small
would unnecessarily add noise,
effectively increasing the relative eigenvalues of higher principal
components.
Aiming at a compact description of most of the actual PSF variation in the
field with a small number of important principal components, we employ the
normalization
where we use the mean variance of all coefficients belonging to the corresponding PSF quantity

![]() |
(B.10) |
In this way the


We plot the fractional eigenvalues in Fig. B.5,
once using the analysis as described above (solid curve) and once
considering only the two ellipticity components without
(dashed curve).
In both cases the first principal component is clearly dominant, contributing
with
(
)
of the total variance.
We identify this variation as the influence of focus changes, which are
expected to dominate the actual PSF variation.
The reason why the second
principal component has a
larger eigenvalue if
is
included in the analysis (fractional
versus
)
can be seen if we project the data variation onto the
space spanned by the singular vectors
,
with components ylj.
Looking at the
y1j-y2j variation in the left panel of
Fig. B.6, where
has been included,
we see that the data points roughly follow a quadratic curve in the plane
defined by the first two singular vectors. The reason for this is the linear response of PSF ellipticity on defocus caused by
astigmatism, while PSF width responds to
leading order quadratically (see e.g. Jarvis et al. 2008).
Given that PCA is a purely linear coordinate transformation, it is not
capable to directly capture this one-parametric variation (separation between
primary and secondary mirror) with a single principal component.
This is only possible if PSF quantities with the same dependence on
physical parameters are included, hence the smaller
if
only the two ellipticity components are considered.
Thus, for other applications it might be more favourable to perform a PCA analysis
for each considered PSF quantity separately, as also done by Jarvis & Jain (2004).
Yet, here we want to include the extra information encoded in the
variation to constrain the galaxy field PSF models, and will
therefore account for the non-linear dependence below. The mean stellar
half-light radius in each exposure,
is plotted as a function
of the first principal component coefficient in
Fig. B.7, showing that a fourth-order polynomial fit is
capable to describe the full non-linear variation.
![]() |
Figure B.5:
Fractional PCA eigenvalues for the PSF variation in 700 i814 ACS
stellar field exposures. The dashed (solid) curve has been computed considering
the variation of e1* and e2* (e1*, e2*, and
|
Open with DEXTER |
![]() |
Figure B.6:
Variation of 700 i814 stellar field exposures in the space
spanned by the first three principal components, which have been computed using the polynomial coefficients of e1*, e2*, and
|
Open with DEXTER |
In order to obtain a well constrained model for all
with high spatial resolution,
we jointly fit all stars from all
exposures
with a model
separately for both chips, where








For illustration we plot the field-of-view dependence of the high-resolution DRZ ellipticity model measured for
pixels in Fig. B.8, where the left panel shows the mean PSF ellipticity (l=0), while the right panel depicts the first singular vector (l=1).
Note the slight discontinuity of the mean PSF ellipticity between the
chips, which is likely caused by small height differences between the
CCDs as reported by Krist (2003).
See also Rhodes et al. (2007) who measure a stronger discontinuity in the TinyTim PSF model but not for stars in COSMOS, and Jee et al. (2007) who notice it in the PSF size but not ellipticity variation.
To obtain PSF models for our COSMOS stacks,
we fit
of all stars in the single COSMOS COR exposures
with the PCA model (B.11) to determine the first principal component coefficient y1j for this exposure.
We then average the corresponding DRZ-image PSF models of all
exposures contributing to a tile, taking their relative dither offsets and
rotations into account, as detailed in Schrabback et al. (2007).
![]() |
Figure B.7:
Mean stellar half-light radius
|
Open with DEXTER |
We plot the time dependence of the estimated coefficient y1j for both the COSMOS and stellar field exposures in Fig. B.9.
Note that HST has been refocused at several
occasions to compensate long-term shrinkage of the OTA, with one correction by
+4.2 microns being applied during the time-span of the COSMOS observations on
2004 Dec. 22.
To ease the comparison, all plots shown in Figs. B.5 to B.9
have been created using a single PCA model determined from all star
fields. Yet, to exclude any possible influence of the refocusing, we
actually use separate (but very similar) PCA models for the two epochs
in our weak lensing analysis.
While the fit (B.11) captures
of the total PSF
variation in the stellar fields and metric defined
above, it is important to realize that further PSF variations
beyond focus changes do actually occur.
These are indicated by the higher principal components and the additional
scatter beyond the curved distortion in the second principal component.
The subdivision of
fields according to the velocity aberration plate scale factor
VAFACTOR in Fig. B.6, which depends on the
angle between the pointing and the telescope orbital velocity vector (see
e.g. Cox & Gilliland 2002), indicates that these distortions are not random
but may be coherent for neighbouring fields observed under similar
conditions.
This is not surprising given that HST undergoes substantial temperature
changes and the relative angle towards the sun may lead to
pointing-dependent
effects
.
For a survey like COSMOS, where neighbouring fields have often been observed under
similar conditions, we
thus
expect
coherent residual PSF
distortions beyond the one-parameter model introduced here.
These residuals cannot be constrained reliably from the few stars present in
a single ACS galaxy field, as one would have to fit 10
principal components given the slow decline of the
eigenvalues
(Fig. B.5).
However, under the assumption that they are semi-stable for fields
observed under similar conditions, we can
constrain these PSF residuals
by combining the stars of multiple COSMOS tiles taken closely in time.
![]() |
Figure B.8:
PCA PSF model (B.11) for the DRZ
field-of-view ellipticity variation measured with
|
Open with DEXTER |
![]() |
Figure B.9: Temporal variation of the first principal component coefficient y1j, which is related to the HST focus position, measured in the stellar field and COSMOS exposures. The long-term shrinkage of the OTA is well visible as a decrease in the mean y1j, which was compensated with the marked focus adjustments. The wide spread at a given date is not caused by measurement errors but orbital breathing leading to substantial short-term focus variations. |
Open with DEXTER |
where










![]() |
Figure B.10:
Examples for the residual ellipticity model (B.12) determined after subtraction of the 1-parametric PCA model (B.11) from the stellar ellipticities measured in COSMOS stacks with
|
Open with DEXTER |
B.6 Galaxy correction and selection
We measure galaxy shapes and correct for PSF effects as detailed in the previous subsections. We then select galaxies with cuts
,
where
is the maximum half-light radius of the 0.25 pixel wide, automatically determined stellar locus in the image,
S/N>2.0, and
,
identical to the cuts applied to the simulated data in Appendix B.2.
We also reject saturated stars and galaxies containing masked pixels (Sect. 2).
In order to correct galaxy shapes for spurious CTI ellipticity, we fit the PSF anisotropy-corrected
galaxy ellipticity component
with
the power law model
with the mean sky level of the contributing exposures SKY, the time







![$e_\alpha^{\rm iso}=(2/{\rm Tr}[P^g])(e_\alpha^{\rm ani}-e_\alpha^{\rm cti,gal})$](/articles/aa/full_html/2010/08/aa13577-09/img409.png)

As a test for residual instrumental signatures
we create a stacked shear catalogue from all COSMOS tiles.
Doing this, we marginally detect a very weak residual shear pattern,
which
changes with cuts on
.
To quantify and model this residual pattern, we fit it from the
PSF anisotropy and CTI-corrected galaxy ellipticities
with a focus-dependent, second-order model (B.12) jointly for all fields,
yielding a very low
rms
ellipticity correction of
0.003.
One possible explanation for these residuals could be the limited capability of KSB+ to fully correct for a complex
space-based
PSF,
despite the very good performance on the simulated data in Appendix B.2.
Alternatively the limited number of stars per field may ultimately limit
the possible PSF modelling accuracy.
In order to assess if these residuals have any significant impact on our results, we have performed
our science analysis twice, once with and once without subtraction of this residual model.
The resulting changes in our constraints on
are at the
level, which is
negligible compared to the statistical uncertainties. Also the E/B-mode decomposition is nearly unchanged (Fig. 4).
We only detect a significant influence for the star-galaxy
cross-correlation, which is strictly consistent with zero only if this
correction is applied, but even without correction it is negligible
compared to the expected cosmological signal (Fig. 5).
As last step in the catalogue preparation, we create a joint mosaic shear
catalogue from all fields, carefully rejecting double detections in
neighbouring tiles, where we keep the detection with higher S/N and refine
relative shifts between tiles.
In the case of close galaxy pairs with separations <
we exclude the fainter component.
Our filtered shear catalogue contains 472 991 galaxies, corresponding to 80 galaxies
,
with a mean
ellipticity dispersion per component
.
To limit the redshift extrapolation in
Sect. 2.2.2,
we apply an additional cut
i814<26.7, leaving 446 934 galaxies,
or 76 galaxies
.
We rotate all shear estimates to common coordinates, and accordingly create a joint mosaic star catalogue for the analysis in Sect. 4.
References
- Albrecht, A., Amendola, L., Bernstein, G., et al. 2009 [arXiv:0901.0721] [Google Scholar]
- Albrecht, A., Bernstein, G., Cahn, R., et al. 2006[arXiv:astro-ph/0609591] [Google Scholar]
- Allen, S. W., Rapetti, D. A., Schmidt, R. W., et al. 2008, MNRAS, 383, 879 [NASA ADS] [CrossRef] [Google Scholar]
- Anderson, J. 2007, Instrument Science Rep. ACS 2007-08 (Baltimore: STScI), http://www.stsci.edu/hst/acs/documents/isrs/isr0708.pdf [Google Scholar]
- Anderson, J., & King, I. R. 2006, Instrument Science Rep. ACS 2006-01 (Baltimore: STScI), http://www.stsci.edu/hst/acs/documents/isrs/isr0601.pdf [Google Scholar]
- Bacon, D., Refregier, A., & Ellis, R. 2000, MNRAS, 318, 625 [NASA ADS] [CrossRef] [Google Scholar]
- Bacon, D. J., Refregier, A., Clowe, D., & Ellis, R. S. 2001, MNRAS, 325, 1065 [NASA ADS] [CrossRef] [Google Scholar]
- Bacon, D. J., Massey, R. J., Refregier, A. R., & Ellis, R. S. 2003, MNRAS, 344, 673 [NASA ADS] [CrossRef] [Google Scholar]
- Bacon, D. J., Taylor, A. N., Brown, M. L., et al. 2005, MNRAS, 363, 723 [NASA ADS] [CrossRef] [Google Scholar]
- Bartelmann, M., & Schneider, P. 2001, Phys. Rep., 340, 291 [NASA ADS] [CrossRef] [Google Scholar]
- Benabed, K., & Bernardeau, F. 2001, Phys. Rev. D, 64, 083501 [NASA ADS] [CrossRef] [Google Scholar]
- Benabed, K., & van Waerbeke, L. 2004, Phys. Rev. D, 70, 123515 [NASA ADS] [CrossRef] [Google Scholar]
- Benitez, N. 2000, ApJ, 536, 571 [NASA ADS] [CrossRef] [Google Scholar]
- Benjamin, J., Heymans, C., Semboloni, E., et al. 2007, MNRAS, 381, 702 [NASA ADS] [CrossRef] [Google Scholar]
- Bergé, J., Amara, A., & Réfrégier, A. 2010, ApJ, 712, 992 [NASA ADS] [CrossRef] [Google Scholar]
- Bernstein, G., & Jain, B. 2004, ApJ, 600, 17 [NASA ADS] [CrossRef] [Google Scholar]
- Bertin, E., & Arnouts, S. 1996, A&AS, 117, 393 [NASA ADS] [CrossRef] [EDP Sciences] [Google Scholar]
- Brainerd, T., Blandford, R. D., & Smail, I. 1996, ApJ, 466, 623 [NASA ADS] [CrossRef] [Google Scholar]
- Bridle, S., Balan, S. T., Bethge, M., et al. 2010, MNRAS, accepted [arXiv:0908.0945] [Google Scholar]
- Brown, M. L., Taylor, A. N., Bacon, D. J., et al. 2003, MNRAS, 341, 100 [NASA ADS] [CrossRef] [Google Scholar]
- Cappé, O., Douc, R., Guillin, A., Marin, J.-M., & Robert, C. 2008, Statistics and Computing, 18, 447 [Google Scholar]
- Chiaberge, M., Lian Lim, P., Kozhurina-Platais, V., Sirianni, M., & Mack, J. 2009, Instrument Science Rep. ACS 2009-01 (Baltimore: STScI), http://www.stsci.edu/hst/acs/documents/isrs/isr0901.pdf [Google Scholar]
- Christensen, N., Meyer, R., Knox, L., & Luey, B. 2001, Classical and Quantum Gravity, 18, 2677 [NASA ADS] [CrossRef] [Google Scholar]
- Coe, D., Benítez, N., Sánchez, S. F., et al. 2006, AJ, 132, 926 [NASA ADS] [CrossRef] [Google Scholar]
- Cox, C., & Gilliland, R. L. 2002, in The 2002 HST Calibration Workshop (Baltimore: STScI), 58 [Google Scholar]
- Crittenden, R. G., Natarajan, P., Pen, U.-L., & Theuns, T. 2002, ApJ, 568, 20 [NASA ADS] [CrossRef] [Google Scholar]
- de Bernardis, P., Ade, P. A. R., Bock, J. J., et al. 2000, Nature, 404, 955 [NASA ADS] [CrossRef] [PubMed] [Google Scholar]
- Dodelson, S., Shapiro, C., & White, M. 2006, Phys. Rev. D, 73, 023009 [NASA ADS] [CrossRef] [Google Scholar]
- Doré, O., Martig, M., Mellier, Y., et al. 2007, Phys. Rev. D, submitted [arXiv:0712.1599] [Google Scholar]
- Dunkley, J., Komatsu, E., Nolta, M. R., et al. 2009, ApJS, 180, 306 [NASA ADS] [CrossRef] [Google Scholar]
- Eifler, T., Schneider, P., & Hartlap, J. 2009, A&A, 502, 721 [NASA ADS] [CrossRef] [EDP Sciences] [Google Scholar]
- Eifler, T., Schneider, P., & Krause, E. 2010, A&A, 510, A7 [NASA ADS] [CrossRef] [EDP Sciences] [Google Scholar]
- Eisenstein, D. J., & Hu, W. 1998, ApJ, 496, 605 [NASA ADS] [CrossRef] [Google Scholar]
- Eisenstein, D. J., Zehavi, I., Hogg, D. W., et al. 2005, ApJ, 633, 560 [NASA ADS] [CrossRef] [Google Scholar]
- Erben, T., van Waerbeke, L., Bertin, E., Mellier, Y., & Schneider, P. 2001, A&A, 366, 717 [NASA ADS] [CrossRef] [EDP Sciences] [Google Scholar]
- Fernández-Soto, A., Lanzetta, K. M., & Yahil, A. 1999, ApJ, 513, 34 [NASA ADS] [CrossRef] [Google Scholar]
- Freedman, W. L., Madore, B. F., Gibson, B. K., et al. 2001, ApJ, 553, 47 [NASA ADS] [CrossRef] [Google Scholar]
- Fu, L., & Kilbinger, M. 2010, MNRAS, 401, 1264 [NASA ADS] [CrossRef] [Google Scholar]
- Fu, L., Semboloni, E., Hoekstra, H., et al. 2008, A&A, 479, 9 [Google Scholar]
- Giannantonio, T., Scranton, R., Crittenden, R. G., et al. 2008, Phys. Rev. D, 77, 123520 [NASA ADS] [CrossRef] [Google Scholar]
- Granett, B. R., Neyrinck, M. C., & Szapudi, I. 2008, ApJ, 683, L99 [NASA ADS] [CrossRef] [Google Scholar]
- Hartlap, J., Simon, P., & Schneider, P. 2007, A&A, 464, 399 [NASA ADS] [CrossRef] [EDP Sciences] [Google Scholar]
- Hartlap, J., Schrabback, T., Simon, P., & Schneider, P. 2009, A&A, 504, 689 [NASA ADS] [CrossRef] [EDP Sciences] [Google Scholar]
- Heavens, A. 2003, MNRAS, 343, 1327 [NASA ADS] [CrossRef] [Google Scholar]
- Heavens, A. F., Kitching, T. D., & Taylor, A. N. 2006, MNRAS, 373, 105 [NASA ADS] [CrossRef] [Google Scholar]
- Heitmann, K., White, M., Wagner, C., Habib, S., & Higdon, D. 2010, ApJ, 715, 104 [NASA ADS] [CrossRef] [Google Scholar]
- Hetterscheidt, M., Simon, P., Schirmer, M., et al. 2007, A&A, 468, 859 [NASA ADS] [CrossRef] [EDP Sciences] [Google Scholar]
- Heymans, C., Brown, M. L., Barden, M., et al. 2005, MNRAS, 361, 160 [NASA ADS] [CrossRef] [Google Scholar]
- Heymans, C., Van Waerbeke, L., Bacon, D., et al. 2006a, MNRAS, 368, 1323 [NASA ADS] [CrossRef] [Google Scholar]
- Heymans, C., White, M., Heavens, A., Vale, C., & van Waerbeke, L. 2006b, MNRAS, 371, 750 [NASA ADS] [CrossRef] [Google Scholar]
- Hicken, M., Wood-Vasey, W. M., Blondin, S., et al. 2009, ApJ, 700, 1097 [NASA ADS] [CrossRef] [Google Scholar]
- Hilbert, S., Hartlap, J., White, S. D. M., & Schneider, P. 2009, A&A, 499, 31 [NASA ADS] [CrossRef] [EDP Sciences] [Google Scholar]
- Hildebrandt, H., Wolf, C., & Benítez, N. 2008, A&A, 480, 703 [NASA ADS] [CrossRef] [EDP Sciences] [Google Scholar]
- Hildebrandt, H., Pielorz, J., Erben, T., et al. 2009, A&A, 498, 725 [NASA ADS] [CrossRef] [EDP Sciences] [Google Scholar]
- Hirata, C. M., Mandelbaum, R., Ishak, M., et al. 2007, MNRAS, 381, 1197 [NASA ADS] [CrossRef] [Google Scholar]
- Hirata, C. M., & Seljak, U. 2004, Phys. Rev. D, 70, 063526 [NASA ADS] [CrossRef] [Google Scholar]
- Ho, S., Hirata, C., Padmanabhan, N., Seljak, U., & Bahcall, N. 2008, Phys. Rev. D, 78, 043519 [NASA ADS] [CrossRef] [Google Scholar]
- Hoekstra, H., Franx, M., Kuijken, K., & Squires, G. 1998, ApJ, 504, 636 [NASA ADS] [CrossRef] [Google Scholar]
- Hoekstra, H., & Jain, B. 2008, Annual Review of Nuclear and Particle Science, 58, 99 [Google Scholar]
- Hoekstra, H., Mellier, Y., van Waerbeke, L., et al. 2006, ApJ, 647, 116 [NASA ADS] [CrossRef] [Google Scholar]
- Hoekstra, H., Yee, H. K. C., & Gladders, M. D. 2002, ApJ, 577, 595 [NASA ADS] [CrossRef] [Google Scholar]
- Hu, W. 1999, ApJ, 522, L21 [NASA ADS] [CrossRef] [Google Scholar]
- Hu, W. 2002, Phys. Rev. D, 66, 083515 [NASA ADS] [CrossRef] [Google Scholar]
- Hu, W., & Jain, B. 2004, Phys. Rev. D, 70, 043009 [NASA ADS] [CrossRef] [Google Scholar]
- Huterer, D. 2002, Phys. Rev. D, 65, 063001 [NASA ADS] [CrossRef] [Google Scholar]
- Huterer, D., & Linder, E. V. 2007, Phys. Rev. D, 75, 023519 [NASA ADS] [CrossRef] [Google Scholar]
- Ilbert, O., Arnouts, S., McCracken, H. J., et al. 2006, A&A, 457, 841 [NASA ADS] [CrossRef] [EDP Sciences] [Google Scholar]
- Ilbert, O., Capak, P., Salvato, M., et al. 2009, ApJ, 690, 1236 [NASA ADS] [CrossRef] [Google Scholar]
- Iocco, F., Mangano, G., Miele, G., Pisanti, O., & Serpico, P. D. 2009, Phys. Rep., 472, 1 [NASA ADS] [CrossRef] [Google Scholar]
- Jain, B., & Taylor, A. 2003, Phys. Rev. Lett., 91, 141302 [NASA ADS] [CrossRef] [PubMed] [Google Scholar]
- Jain, B., & Zhang, P. 2008, Phys. Rev. D, 78, 063503 [NASA ADS] [CrossRef] [Google Scholar]
- Jarvis, M., & Jain, B. 2004, ApJ, submitted [astro-ph/0412234] [Google Scholar]
- Jarvis, M., Bernstein, G. M., Fischer, P., et al. 2003, AJ, 125, 1014 [NASA ADS] [CrossRef] [Google Scholar]
- Jarvis, M., Jain, B., Bernstein, G., & Dolney, D. 2006, ApJ, 644, 71 [NASA ADS] [CrossRef] [MathSciNet] [Google Scholar]
- Jarvis, M., Schechter, P., & Jain, B. 2008, PASP, submitted [arXiv:0810.0027] [Google Scholar]
- Jee, M. J., Blakeslee, J. P., Sirianni, M., et al. 2007, PASP, 119, 1403 [NASA ADS] [CrossRef] [Google Scholar]
- Jee, M. J., Rosati, P., Ford, H. C., et al. 2009, ApJ, 704, 672 [NASA ADS] [CrossRef] [Google Scholar]
- Joachimi, B., & Schneider, P. 2008, A&A, 488, 829 [NASA ADS] [CrossRef] [EDP Sciences] [Google Scholar]
- Joachimi, B., Schneider, P., & Eifler, T. 2008, A&A, 477, 43 [NASA ADS] [CrossRef] [EDP Sciences] [Google Scholar]
- Kaiser, N. 1992, ApJ, 388, 272 [NASA ADS] [CrossRef] [Google Scholar]
- Kaiser, N., Squires, G., & Broadhurst, T. 1995, ApJ, 449, 460 [NASA ADS] [CrossRef] [Google Scholar]
- Kaiser, N., Wilson, G., & Luppino, G. 2000 [arXiv:astro-ph/0003338] [Google Scholar]
- Kilbinger, M., & Schneider, P. 2005, A&A, 442, 69 [NASA ADS] [CrossRef] [EDP Sciences] [Google Scholar]
- Kilbinger, M., Schneider, P., & Eifler, T. 2006, A&A, 457, 15 [Google Scholar]
- Kilbinger, M., Benabed, K., Guy, J., et al. 2009a, A&A, 497, 677 [NASA ADS] [CrossRef] [EDP Sciences] [Google Scholar]
- Kilbinger, M., Wraith, D., Robert, C. P., et al. 2009b, MNRAS, accepted [arXiv:0912.1614] [Google Scholar]
- King, L., & Schneider, P. 2002, A&A, 396, 411 [NASA ADS] [CrossRef] [EDP Sciences] [Google Scholar]
- Kitching, T. D., Heavens, A. F., Taylor, A. N., et al. 2007, MNRAS, 138 [Google Scholar]
- Kitching, T. D., Taylor, A. N., & Heavens, A. F. 2008, MNRAS, 389, 173 [NASA ADS] [CrossRef] [Google Scholar]
- Kitching, T. D., Amara, A., Abdalla, F. B., Joachimi, B., & Refregier, A. 2009, MNRAS, 1430 [Google Scholar]
- Koekemoer, A. M., Fruchter, A. S., Hook, R. N., & Hack, W. 2002, in The 2002 HST Calibration Workshop, ed. S. Arribas, A. Koekemoer, & B. Whitmore (Baltimore: STScI), 337 [Google Scholar]
- Koekemoer, A. M., Aussel, H., Calzetti, D., et al. 2007, ApJS, 172, 196 [NASA ADS] [CrossRef] [Google Scholar]
- Komatsu, E., Dunkley, J., Nolta, M. R., et al. 2009, ApJS, 180, 330 [NASA ADS] [CrossRef] [Google Scholar]
- Kowalski, M., Rubin, D., Aldering, G., et al. 2008, ApJ, 686, 749 [NASA ADS] [CrossRef] [Google Scholar]
- Krause, E., & Hirata, C. M. 2009, A&A, submitted [arXiv:0910.3786] [Google Scholar]
- Krist, J. 2003, Instrument Science Rep. ACS 2003-06 (Baltimore: STScI), http://www.stsci.edu/hst/acs/documents/isrs/isr0306.pdf [Google Scholar]
- Lallo, M. D., Makidon, R. B., Casertano, S., & Krist, J. E. 2006, in SPIE Conf. Ser., 6270, [Google Scholar]
- Leauthaud, A., Massey, R., Kneib, J.-P., et al. 2007, ApJS, 172, 219 [NASA ADS] [CrossRef] [Google Scholar]
- Lilly, S. J., Le Fèvre, O., Renzini, A., et al. 2007, ApJS, 172, 70 [NASA ADS] [CrossRef] [Google Scholar]
- Luppino, G. A., & Kaiser, N. 1997, ApJ, 475, 20 [NASA ADS] [CrossRef] [Google Scholar]
- MacKay, J. D. 2003, Information Theory, Inference, and Learning Algorithms (Cambridge, UK: Cambridge University Press) [Google Scholar]
- Mandelbaum, R., Hirata, C. M., Ishak, M., Seljak, U., & Brinkmann, J. 2006, MNRAS, 367, 611 [NASA ADS] [CrossRef] [Google Scholar]
- Mandelbaum, R., Blake, C., Bridle, S., et al. 2009, MNRAS, submitted [arXiv:0911.5347] [Google Scholar]
- Mantz, A., Allen, S. W., Ebeling, H., & Rapetti, D. 2008, MNRAS, 387, 1179 [NASA ADS] [CrossRef] [Google Scholar]
- Mantz, A., Allen, S. W., Rapetti, D., & Ebeling, H. 2009, MNRAS, submitted [arXiv:0909.3098] [Google Scholar]
- Massey, R., & Refregier, A. 2005, MNRAS, 363, 197 [NASA ADS] [CrossRef] [Google Scholar]
- Massey, R., Refregier, A., Conselice, C. J., David, J., & Bacon, J. 2004, MNRAS, 348, 214 [NASA ADS] [CrossRef] [Google Scholar]
- Massey, R., Refregier, A., Bacon, D. J., Ellis, R., & Brown, M. L. 2005, MNRAS, 359, 1277 [NASA ADS] [CrossRef] [Google Scholar]
- Massey, R., Heymans, C., Bergé, J., et al. 2007a, MNRAS, 376, 13 [NASA ADS] [CrossRef] [Google Scholar]
- Massey, R., Rhodes, J., Ellis, R., et al. 2007b, Nature, 445, 286 [NASA ADS] [CrossRef] [PubMed] [Google Scholar]
- Massey, R., Rhodes, J., Leauthaud, A., et al. 2007c, ApJS, 172, 239 [NASA ADS] [CrossRef] [MathSciNet] [Google Scholar]
- Massey, R., Stoughton, C., Leauthaud, A., et al. 2010, MNRAS, 401, 371 [NASA ADS] [CrossRef] [Google Scholar]
- McDonald, P., Trac, H., & Contaldi, C. 2006, MNRAS, 366, 547 [NASA ADS] [CrossRef] [Google Scholar]
- Miralles, J.-M., Erben, T., Hämmerle, H., et al. 2005, A&A, 432, 797 [NASA ADS] [CrossRef] [EDP Sciences] [Google Scholar]
- Mobasher, B., Capak, P., Scoville, N. Z., et al. 2007, ApJS, 172, 117 [NASA ADS] [CrossRef] [Google Scholar]
- Munshi, D., Valageas, P., van Waerbeke, L., & Heavens, A. 2008, Phys. Rep., 462, 67 [NASA ADS] [CrossRef] [Google Scholar]
- Mutchler, M., & Sirianni, M. 2005, Instrument Science Rep. ACS 2005-03 (Baltimore: STScI), http://www.stsci.edu/hst/acs/documents/isrs/isr0503.pdf [Google Scholar]
- Nakajima, R., Bernstein, G. M., Fadely, R., Keeton, C. R., & Schrabback, T. 2009, ApJ, 697, 1793 [NASA ADS] [CrossRef] [Google Scholar]
- Peacock, J., Schneider, P., Efstathiou, G., et al. 2006, Fundamental Cosmology, ESA-ESO Working Groups Report No. 3 http://www.stecf.org/coordination/esa_eso/cosmology.php [Google Scholar]
- Percival, W. J., Cole, S., Eisenstein, D. J., et al. 2007, MNRAS, 381, 1053 [NASA ADS] [CrossRef] [MathSciNet] [Google Scholar]
- Percival, W. J., Reid, B. A., Eisenstein, D. J., et al. 2009, MNRAS, 1741 [Google Scholar]
- Perlmutter, S., Aldering, G., Goldhaber, G., et al. 1999, ApJ, 517, 565 [NASA ADS] [CrossRef] [Google Scholar]
- Refregier, A., & Bacon, D. 2003, MNRAS, 338, 48 [NASA ADS] [CrossRef] [Google Scholar]
- Refregier, A., Rhodes, J., & Groth, E. J. 2002, ApJ, 572, L131 [NASA ADS] [CrossRef] [Google Scholar]
- Refregier, A., Amara, A., Kitching, T., & Rassat, A. 2008, A&A, submitted [arXiv:0810.1285] [Google Scholar]
- Rhodes, J., Refregier, A., Collins, N. R., et al. 2004, ApJ, 605, 29 [NASA ADS] [CrossRef] [Google Scholar]
- Rhodes, J. D., Massey, R. J., Albert, J., et al. 2007, ApJS, 172, 203 [NASA ADS] [CrossRef] [Google Scholar]
- Riess, A. G., Filippenko, A. V., Challis, P., et al. 1998, AJ, 116, 1009 [NASA ADS] [CrossRef] [Google Scholar]
- Riess, A. G., Strolger, L.-G., Casertano, S., et al. 2007, ApJ, 659, 98 [NASA ADS] [CrossRef] [Google Scholar]
- Riess, A. G., Macri, L., Casertano, S., et al. 2009, ApJ, 699, 539 [NASA ADS] [CrossRef] [Google Scholar]
- Rudd, D. H., Zentner, A. R., & Kravtsov, A. V. 2008, ApJ, 672, 19 [NASA ADS] [CrossRef] [Google Scholar]
- Schimd, C., Tereno, I., Uzan, J., et al. 2007, A&A, 463, 405 [NASA ADS] [CrossRef] [EDP Sciences] [Google Scholar]
- Schlegel, D. J., Finkbeiner, D. P., & Davis, M. 1998, ApJ, 500, 525 [NASA ADS] [CrossRef] [Google Scholar]
- Schmidt, F. 2008, Phys. Rev. D, 78, 043002 [NASA ADS] [CrossRef] [Google Scholar]
- Schneider, P. 1996, MNRAS, 283, 837 [NASA ADS] [CrossRef] [Google Scholar]
- Schneider, P. 2006, in: Gravitational Lensing: Strong, Weak & Micro, Saas-Fee Advanced Course 33, Swiss Society for Astrophysics and Astronomy, ed. G. Meylan, P. Jetzer, & P. North (Berlin: Springer-Verlag), 269 [Google Scholar]
- Schneider, P., & Kilbinger, M. 2007, A&A, 462, 841 [NASA ADS] [CrossRef] [EDP Sciences] [Google Scholar]
- Schneider, P., van Waerbeke, L., Jain, B., & Kruse, G. 1998, MNRAS, 296, 873 [NASA ADS] [CrossRef] [Google Scholar]
- Schneider, P., van Waerbeke, L., & Mellier, Y. 2002, A&A, 389, 729 [NASA ADS] [CrossRef] [EDP Sciences] [Google Scholar]
- Schrabback, T., Erben, T., Simon, P., et al. 2007, A&A, 468, 823 [NASA ADS] [CrossRef] [EDP Sciences] [Google Scholar]
- Scoville, N., Abraham, R. G., Aussel, H., et al. 2007a, ApJS, 172, 38 [NASA ADS] [CrossRef] [Google Scholar]
- Scoville, N., Aussel, H., Benson, A., et al. 2007b, ApJS, 172, 150 [Google Scholar]
- Semboloni, E., Mellier, Y., van Waerbeke, L., et al. 2006, A&A, 452, 51 [NASA ADS] [CrossRef] [EDP Sciences] [Google Scholar]
- Semboloni, E., van Waerbeke, L., Heymans, C., et al. 2007, MNRAS, 375, L6 [NASA ADS] [CrossRef] [Google Scholar]
- Semboloni, E., Tereno, I., van Waerbeke, L., & Heymans, C. 2009, MNRAS, 397, 608 [NASA ADS] [CrossRef] [Google Scholar]
- Semboloni, E., Schrabback, T., Van Waerbeke, L., et al. 2010, MNRAS, submitted [Google Scholar]
- Shapiro, C. 2009, ApJ, 696, 775 [NASA ADS] [CrossRef] [EDP Sciences] [Google Scholar]
- Simon, P., King, L. J., & Schneider, P. 2004, A&A, 417, 873 [NASA ADS] [CrossRef] [EDP Sciences] [Google Scholar]
- Smith, R. E., Peacock, J. A., Jenkins, A., et al. 2003, MNRAS, 341, 1311 [NASA ADS] [CrossRef] [Google Scholar]
- Spergel, D. N., Verde, L., Peiris, H. V., et al. 2003, ApJS, 148, 175 [NASA ADS] [CrossRef] [Google Scholar]
- Springel, V., White, S. D. M., Jenkins, A., et al. 2005, Nature, 435, 629 [NASA ADS] [CrossRef] [PubMed] [Google Scholar]
- Suyu, S. H., Marshall, P. J., Auger, M. W., et al. 2010, ApJ, 711, 201 [NASA ADS] [CrossRef] [Google Scholar]
- Takada, M., & Jain, B. 2004, MNRAS, 348, 897 [NASA ADS] [CrossRef] [Google Scholar]
- Taylor, A. N., Kitching, T. D., Bacon, D. J., & Heavens, A. F. 2007, MNRAS, 374, 1377 [NASA ADS] [CrossRef] [Google Scholar]
- Vafaei, S., Lu, T., van Waerbeke, L., et al. 2010, Astrop. Phys., 32, 340 [NASA ADS] [CrossRef] [Google Scholar]
- Van Waerbeke, L., Mellier, Y., Erben, T., et al. 2000, A&A, 358, 30 [NASA ADS] [Google Scholar]
- Van Waerbeke, L., Mellier, Y., & Hoekstra, H. 2005, A&A, 429, 75 [NASA ADS] [CrossRef] [EDP Sciences] [Google Scholar]
- Vikhlinin, A., Kravtsov, A. V., Burenin, R. A., et al. 2009, ApJ, 692, 1060 [NASA ADS] [CrossRef] [Google Scholar]
- Wittman, D. M., Tyson, J. A., Kirkman, D., Dell'Antonio, I., & Bernstein, G. 2000, Nature, 405, 143 [NASA ADS] [CrossRef] [PubMed] [Google Scholar]
- Wraith, D., Kilbinger, M., Benabed, K., et al. 2009, Phys. Rev. D, 80, 023507 [NASA ADS] [CrossRef] [Google Scholar]
Footnotes
- ... COSMOS
- Based on observations made with the NASA/ESA Hubble Space Telescope, obtained from the data archives at the Space Telescope European Coordinating Facility and the Space Telescope Science Institute, which is operated by the Association of Universities for Research in Astronomy, Inc., under NASA contract NAS 5-26555.
- ... space
-
pixel wide kernel; S/N>20, defined as in Erben et al. (2001); peak flux <
.
- ...MultiDrizzle
- MultiDrizzle version 3.1.0.
- ... applied
- A more stringent cut
reduces this fraction to 14%. Yet, it also reduces the absolute number of galaxies by a factor 4.7. Note that, in contrast, 26% (22%) of the matched galaxies with a D2 photo-z
are placed at
for
(
). These could be explained by Lyman-break galaxies, which are better constrained by the deeper u* observations in the CFHTLS-D2. In any case we expect negligible influence on our results given our treatment for faint
galaxies.
- ... fit
- We employ the CERN Program Library MINUIT (http://wwwasdoc.web.cern.ch/wwwasdoc/minuit/).
- ...
) - For the HUDF we interpolate i814 from the i775 and z850 magnitudes provided in the Coe et al. (2006) catalogue.
- ... movement
- Technically speaking, we show a dependence on the velocity aberration plate scale factor in Fig. B.6.
- ...
22<i814<26.7
- Including galaxies with i+<25 which are located in masked regions for the ground-based photo-z catalogue, but not for the space-based lensing catalogue.
- ...
5751 galaxies
- In the cross-correlation between two redshift bins, it would be sufficient to exclude LRGs in the lower redshift bin only. However, for convenience we generally exclude them.
- ...
compute
- Here,
we fit a power-law
with slope
minimizing the separation to all posterior-weighted points in the
plane, and compute the 1D marginalized mean of
within
.
- ... probes
- For a lensing-only OCDM analysis the posterior peaks at
,
(close to the prior boundaries). In the comparison with a
CDM analysis, the additional parameter
causes a penalty in the Bayesian model comparison (computed as in Kilbinger et al. 2009b). This leads to an only slightly larger evidence for the non-flat
CDM model compared to the OCDM model, with an inconclusive evidence ratio of 65:35. The evidence ratio becomes a ``weak preference'' (77:23) if we employ a (still conservative) prior
. Thus, with this prior the
CDM model makes the data more than 3 times more probable than the OCDM model.
- ...
- Here we have scaled the uncertainty for the mean ray-tracing data vector from the uncertainty for a single COSMOS-like field assuming that all realizations are completely independent. This is slightly optimistic given the large but finite volume of the simulation, and fact that the realizations were cut from larger fields.
- ...
- We expect that this correction factor depends on
cosmological parameters.
Yet, considering the weak lensing degeneracy for
and
, the input values of the Millennium Simulation are quasi equivalent to
for
, which is sufficiently close to our constraints to justify the application.
- ... Euclid
- http://sci.esa.int/euclid
- ... JDEM
- http://jdem.gsfc.nasa.gov/
- ...flat-fielded
- This procedure performs well for relatively empty fields
such as the large majority of the COSMOS tiles. For fields dominated by
a very bright star or galaxy, it can, however, lead to erroneous jumps
in the background level. Thus, we generally adopt a maximal accepted
difference in the
background estimates of
, which, if exceeded, leads to a subtraction of the minimum background estimate for all quadrants.
- ...ellipticities
- We adopt the widely used term ``ellipticity'' here, but note that, strictly speaking, (B.1) corresponds to the definition of the polarization.
- ...
Programme
- http://www.physics.ubc.ca/ heymans/step.html
- ...TinyTim
- http://www.stsci.edu/software/tinytim/
- ... routine
- For the non-linear CTI fits we utilize the CERN Program Library MINUIT: http://wwwasdoc.web.cern.ch/wwwasdoc/minuit/.
- ...
2004 Dec. 22
- http://www.stsci.edu/hst/observatory/focus/mirrormoves.html
- ...
effects
- Note that the actual impact of velocity aberration on object shapes is negligible for our analysis, as long as it is properly accounted for in the image stacking, as done by MultiDrizzle.
All Tables
Table 1: Definition of redshift bins, number of contributing galaxies, and mean redshifts.
Table 2:
Constraints on
,
,
,
and w from the COSMOS data for different
cosmological models and analysis schemes.
Table A.1:
Lower and upper
thresholds for pixel masking with
ccdmask in the bias variance and the sky-subtracted and
object-masked median images.
Table B.1:
Fitted coefficients for the -dependent CTI-ellipticity model (B.6) in the resampled DRZ frames.
All Figures
![]() |
Figure 1:
Relation between the mean photometric redshift and i814
magnitude for COSMOS, HUDF, and HDF-N, where the error-bars indicate
the error of the mean assuming Gaussian scatter and neglecting sampling
variance.
The best fit (1) to the COSMOS data from
i814<25 is
shown as the bold line, whereas the thin lines indicate the
conservative |
Open with DEXTER | |
In the text |
![]() |
Figure 2: Redshift histogram for galaxies in our shear catalogue with COSMOS-30 photo-zs (dotted), split into four magnitude bins. The solid curves show the fit according to (1) and (2), which is capable to describe both the peak and high redshift tail. |
Open with DEXTER | |
In the text |
![]() |
Figure 3: Combined redshift histogram for the HDF-N and HUDF photo-zs, split into two magnitude bins. The solid curves show the prediction according to (1), (2) and the galaxy magnitude distribution. The good agreement for 25<i814<27 galaxies confirms the applicability of the model in this magnitude regime. |
Open with DEXTER | |
In the text |
![]() |
Figure 4:
Decomposition of the shear field into E- and B-modes using the shear correlation function
|
Open with DEXTER | |
In the text |
![]() |
Figure 5: Cross-correlation between galaxy shear estimates and uncorrected stellar ellipticities as defined in (12). The signal is consistent with zero if the residual ellipticity correction discussed in Appendix B.6 is applied (circles). Even without this correction (triangles) it is at a level negligible compared to the expected cosmological signal (dotted curves), except for the largest scales, where the error-budget is anyway dominated by sampling variance. |
Open with DEXTER | |
In the text |
![]() |
Figure 6:
Redshift distributions for our tomography analysis.
The solid-line histogram shows the individual COSMOS-30 redshifts used for bins 1 to 5, while
the difference between the dashed and solid histograms indicates the 24<i+<25 galaxies with
|
Open with DEXTER | |
In the text |
![]() |
Figure 7:
Shear-shear cross-correlations
|
Open with DEXTER | |
In the text |
![]() |
Figure 8:
Shear-shear redshift scaling for |
Open with DEXTER | |
In the text |
![]() |
Figure 9:
Shear-shear redshift scaling for
|
Open with DEXTER | |
In the text |
![]() |
Figure 10:
Comparison of the fit formulae for the non-linear growth of structure in wCDM cosmologies. Shown is the three-dimensional matter power spectrum, normalized by the corresponding |
Open with DEXTER | |
In the text |
![]() |
Figure 11:
Comparison of our constraints on
|
Open with DEXTER | |
In the text |
![]() |
Figure 12:
Constraints on
|
Open with DEXTER | |
In the text |
![]() |
Figure 13:
Posterior PDF for the deceleration parameter q0 as computed
from our constraints on
|
Open with DEXTER | |
In the text |
![]() |
Figure 14:
Constraints on
|
Open with DEXTER | |
In the text |
![]() |
Figure 15:
Comparison of the constraints on
|
Open with DEXTER | |
In the text |
![]() |
Figure B.1:
Shear calibration bias m and PSF anisotropy residuals c as measured in
the simulated ACS-like lensing data. The left and right panels show the results for the |
Open with DEXTER | |
In the text |
![]() |
Figure B.2:
Magnitude-dependence of the shear calibration bias
for our KSB implementation
after correction for S/N-dependent bias according to (6).
The top panel shows results for the STEP2 simulations of ground-based lensing data (Massey et al. 2007a), which have been used to derive (6), where we have excluded the untypically elliptical PSFs D and E. The bottom
panel shows the remaining calibration bias for the ACS-like simulations
of space-based lensing data. In both panels we plot the average
computed from all PSF models and the two shear components, with
error-bars indicating the uncertainty of the mean.
Despite the very different characteristics of the two sets of
simulations, (6) performs also very well for the ACS-like data, with a bias
|
Open with DEXTER | |
In the text |
![]() |
Figure B.3:
CTI-induced stellar ellipticity for four example stellar field exposures:
The bold points show the mean stellar e1 ellipticity-component as a function of stellar
flux after subtraction of a spatial third-order polynomial model derived
from bright stars
(S/N>50)
to separate PSF and CTI effects. Each stellar ellipticity has
been scaled to a reference number of
|
Open with DEXTER | |
In the text |
![]() |
Figure B.4:
Dependence of the best fitting parameters of the stellar CTI model (B.5)
on the Gaussian filter scale |
Open with DEXTER | |
In the text |
![]() |
Figure B.5:
Fractional PCA eigenvalues for the PSF variation in 700 i814 ACS
stellar field exposures. The dashed (solid) curve has been computed considering
the variation of e1* and e2* (e1*, e2*, and
|
Open with DEXTER | |
In the text |
![]() |
Figure B.6:
Variation of 700 i814 stellar field exposures in the space
spanned by the first three principal components, which have been computed using the polynomial coefficients of e1*, e2*, and
|
Open with DEXTER | |
In the text |
![]() |
Figure B.7:
Mean stellar half-light radius
|
Open with DEXTER | |
In the text |
![]() |
Figure B.8:
PCA PSF model (B.11) for the DRZ
field-of-view ellipticity variation measured with
|
Open with DEXTER | |
In the text |
![]() |
Figure B.9: Temporal variation of the first principal component coefficient y1j, which is related to the HST focus position, measured in the stellar field and COSMOS exposures. The long-term shrinkage of the OTA is well visible as a decrease in the mean y1j, which was compensated with the marked focus adjustments. The wide spread at a given date is not caused by measurement errors but orbital breathing leading to substantial short-term focus variations. |
Open with DEXTER | |
In the text |
![]() |
Figure B.10:
Examples for the residual ellipticity model (B.12) determined after subtraction of the 1-parametric PCA model (B.11) from the stellar ellipticities measured in COSMOS stacks with
|
Open with DEXTER | |
In the text |
Copyright ESO 2010
Current usage metrics show cumulative count of Article Views (full-text article views including HTML views, PDF and ePub downloads, according to the available data) and Abstracts Views on Vision4Press platform.
Data correspond to usage on the plateform after 2015. The current usage metrics is available 48-96 hours after online publication and is updated daily on week days.
Initial download of the metrics may take a while.