| Issue |
A&A
Volume 516, June-July 2010
|
|
|---|---|---|
| Article Number | A73 | |
| Number of page(s) | 10 | |
| Section | Galactic structure, stellar clusters, and populations | |
| DOI | https://doi.org/10.1051/0004-6361/200913703 | |
| Published online | 02 July 2010 | |
Evolution of two stellar populations in globular clusters
II. Effects of primordial gas expulsion
T. Decressin1 -
H. Baumgardt1,
-
C. Charbonnel2,3 -
P. Kroupa1
1 - Argelander Institute for Astronomy (AIfA), Auf dem Hügel
71, 53121 Bonn, Germany
2 -
Geneva Observatory, University of Geneva, 51 ch. des Maillettes, 1290
Versoix, Switzerland
3 -
Laboratoire d'Astrophysique de Toulouse-Tarbes, CNRS UMR 5572, Université de Toulouse, 14 Av. E. Belin, 31400 Toulouse, France
Received 19 November 2009 / Accepted 23 March 2010
Abstract
Aims. We investigate the early evolution of two distinct
populations of low-mass stars in globular clusters under the influence
of primordial gas expulsion driven by supernovae and study whether this
process can increase the fraction of second generation stars at the
level required by observations.
Methods. We analyse N-body models that take the effect of
primordial gas expulsion into account. We divide the stars into two
populations that mimic the chemical and dynamical properties of stars
in globular clusters so that second-generation stars start with a more
centrally concentrated distribution.
Results. The main effect of gas expulsion is to eject mostly
first-generation stars while second-generation stars remain bound to
the cluster. In the most favourable cases, second-generation stars can
account for 60% of the bound stars we see today. We also find that, at
the end of the gas expulsion phase, the radial distribution of the two
populations is still different, so that long-term evolution will
further increase the fraction of second generation stars.
Conclusions. The large fraction of chemically anomalous stars is
readily explainable as a second generation of stars formed out of the
slow winds of rapidly rotating massive stars if globular clusters
suffer explosive residual gas expulsion for a star formation efficiency
of about 0.33.
Key words: globular clusters: general - stellar dynamics - methods: numerical
1 Introduction
Globular clusters (GCs) are self-gravitating aggregates of tens of
thousands to millions of stars that have survived over a Hubble time. Many
observations show that these objects are composed of (at least) two
distinct stellar populations. The first evidence rests on the chemical
analysis that reveals large star-to-star abundance variations in light
elements in all individual clusters studied so far, while the iron
abundance stays constant (for a review
see Gratton et al. 2004). This includes the well-documented
anticorrelations between C-N, O-Na, Mg-Al, Li-Na, and F-Na
(Bonifacio et al. 2007; Carretta et al. 2009; Lind et al. 2009; Pasquini et al. 2007; Carretta et al. 2006; Kraft 1994; Gratton et al. 2007; Carretta et al. 2007).
This global chemical pattern requires H-burning at high temperatures around
K (Arnould et al. 1999; Prantzos et al. 2007). As the
observed chemical pattern is present in low-mass stars, both on the red
giant branch (RGB) and at the turn-off, which cannot have reached such high
temperatures, the abundance anomalies must have been inherited at the time
of formation of these stars.
Further indications of multiple populations in individuals GCs comes from
deep photometric studies that have revealed multiple giant branches or main
sequences. In
Cen a blue main sequence has been discovered
(Bedin et al. 2004) that is presumably related to a high content in He
(Villanova et al. 2007; Piotto et al. 2005). A triple main sequence has
been discovered in NGC 2808 (Piotto et al. 2007). A broadening of the
main sequence of NGC 6752 has also been discovered, which cannot be
explained by binary stars (Milone et al. 2010). The additional blue
sequences are only explicable by a higher He content of the corresponding
stars, which increases the opacity and shifts the effective temperature
towards higher temperatures. He-rich stars are also the progenitors of blue
horizontal branch stars seen in many GCs
(see Caloi & D'Antona 2005,2007). Whereas no direct
observational link between abundance anomalies and He-rich sequences has
been found, theoretically this link is easily understood because abundance
anomalies are the main result of H burning to He.
These observed properties lead to the conclusion that GCs created out of giant gas clouds first form a generation of stars with the same abundance pattern as field stars. Then a polluting source enriches the intracluster-medium with H-burning products out of which a chemically-different second stellar generation forms with a spread of chemical peculiarities. This scheme can explain at the same time the abundance anomalies in light elements and He-enrichment.
Two main candidates that reach the right temperature for H-burning have
been proposed as the origin of the abundance anomalies
(Prantzos & Charbonnel 2006): (a) intermediate-mass stars evolving
through the thermal pulses along the asymptotic giant branch (hereafter
TP-AGB), and (b) main sequence massive stars. After first being proposed by
Cottrell & Da Costa (1981), the AGB scenario has been extensively studied
(Herwig 2004a; Ventura & D'Antona 2008b; Decressin et al. 2009; Ventura et al. 2001; Ventura & D'Antona 2005b; Ventura et al. 2002; Ventura & D'Antona 2008a; Herwig 2004b; Ventura & D'Antona 2005c; Denissenkov & Herwig 2003; Bekki et al. 2007; Fenner et al. 2004; Ventura & D'Antona 2009,2005a; Karakas & Lattanzio 2003). In
massive TP-AGB stars (
), the abundance anomalies are supposed
to have been created at the bottom of the convective envelope through hot
bottom burning.
On the other hand, as suggested by Wallerstein et al. (1987) and
Brown & Wallerstein (1993), massive stars can also pollute the
inter-stellar medium (ISM) of a forming cluster
(see Prantzos & Charbonnel 2006; Smith 2006). In particular,
Decressin et al. (2007b) show that fast-rotating massive stars (with a
mass higher than
25
)
are good candidates for the
self-enrichment of GCs. In the wind of fast-rotating massive stars (WFRMS)
scenario, rotationally-induced mixing transports H-burning products (hence
matter with correct abundance signatures) from the convective core to the
stellar surface, and, provided initial rotation is high enough, the stars
reach break-up velocity while on the main sequence. As a result, a
mechanical wind is launched from the equator that generates a disk around
the star similar to that of Be stars
(e.g. Townsend et al. 2004). Later, when He-burning products are
brought to the surface, the star has already lost a high fraction of its
initial mass and angular momentum, so that it no longer rotates at the
break-up velocity. Matter is then ejected through a classical fast
isotropic radiative wind. From the matter lost through the disk, a second
generation of stars may be created with a chemical pattern that agrees with
observations.
In the present paper we mainly focus on the dynamical constraints related
to the WFRMS scenario. However, both scenarios face a similar
problem. Within standard assumptions (canonical IMF and conservation of the
stars in the cluster), the amount of matter lost by the polluter stars is
much less than the mass locked into the first-generation low-mass
stars. Indeed, if we assume that first-generation massive stars follow the
canonical IMF
, stars in the mass range 25-120
account for only 10% of the mass of the whole first stellar generation
(see Decressin et al. 2007a) and their slow winds account for only
2.5% of the mass. If pollution is due to AGB stars, a similar constraint
arises: the wind released by stars between 5 and 6.5
represents less
than 3%, for which nucleosynthesis agrees with the observations according
to Ventura & D'Antona (2008a). After taking the possible dilution of
these slow winds into account with the pristine gas present in the ISM to
explain the observed Li abundance variation (Decressin et al. 2007a),
we find that the mass available to form the second-generation low-mass
stars compared to the first-generation of low-mass stars is only about
10%. This is in sharp contrast with observations, which show that more
than half and up to 85% of the stars in GCs are second-generation stars
(Carretta et al. 2009; Prantzos & Charbonnel 2006), i.e., which show
anticorrelations in light elements. Thus a rather extreme reduction in the
first-generation stars relative to the second generation stars is needed to
reproduce the observations. However, massive binaries have recently been
proposed as polluters of the proto-GC by de Mink et al. (2009). In this
case the mass-budget is more favourable as more slow winds are ejected and
more second generation stars are formed. This could help to reduce the
fraction between first and second-generation stars found in the present
paper, thereby supporting a high-mass star pollution scenario.
One possible way to reconcile the pollution scenario with the observations is to consider a top-heavy initial mass function (IMF) of first-generation stars. In the case of pollution by fast-rotating massive stars, an IMF slope as flat as 1.55 (compared to the canonical value of 2.3) is required to reproduce the high number of stars with abundance anomalies in the cluster NGC 6752 (Decressin et al. 2007a), whereas the AGB scenario requires an even flatter IMF slope (see Prantzos & Charbonnel 2006).
A second way to reconcile the pollution scenario with observations is to consider that first-generation stars are primarily lost from the cluster during its evolution so that an initially relatively small population of second-generation stars can become the dominant population after several Gyr. To allow this preferential loss of first generation stars requires the GCs to initially be mass-segregated (i.e., that more massive stars occupy the central part of the clusters). In this case the matter released in the disks of massive stars is more concentrated in the cluster centre, and second-generation stars are born in the centre, while first-generation stars are present throughout the cluster.
The viability of a self-enrichment scenario by fast-rotating massive stars
has recently been explored by Decressin et al. (2008, Paper
I).DecressinBaumgardt2008Paper I
They have shown that first-generation low-mass stars are mainly lost from
the cluster, which is assumed to initially be in dynamical equilibrium and
mass-segregated, before two-body relaxation induces a spread of second
generation stars and a full mixing of the cluster.
D'Ercole et al. (2008) find similar results with the AGB scenario.
Afterwards, the evolution is smoother and the variation in the fraction of
second-generation stars takes longer. Any radial difference between first
and second generation stars is erased after 10-12 Gyr of evolution because
the cluster relaxation time (a few Gyr) is much shorter than the age of the
clusters
. In
DecressinBaumgardt2008 we show that, even if the
relaxation-driven evaporation increases the fraction of second generation
(which harbour abundance anomalies) to about 25%, this ratio remains too
low to fully explain the observations (between 50-85%,
Carretta et al. 2009). The increase in the fraction of
second-generation stars mainly occurs in the early times and points towards
the high sensitivity of the fraction of second-generation stars on cluster
dynamics.
In this paper, we aim to quantify the increase in the fraction of second-generation stars to the total number of low-mass stars by another dynamical mechanism not taken into account in the above studies, namely the effect of primordial gas expulsion (i.e., the fast ejection of the remaining gas left by star formation after the onset of supernovae, see e.g., Tutukov 1978). Gas expulsion can strongly modify the total binding energy of the cluster and can lead to an efficient loss of first-generation stars from the cluster. We emphasise that we discuss generic properties of gas expulsion models based on the simplified assumption that a cluster contains only two stellar generations with the same [Fe/H]. Multiple populations with different [Fe/H] would require other physical mechanisms, whereby notably gas accretion form the surrounding interstellar medium (Pflamm-Altenburg & Kroupa 2009) may play a role, as well as recycling of SN ejecta (Tenorio-Tagle et al. 2007). In Sect. 2 we present the N-body models used in this study. Then our results are discussed in Sect. 3. In Sect. 4 we present a complete scenario for the evolution of GCs and our conclusions are founded in Sect. 5.
2 Description of analysis
The results presented in this paper are based on the grid of N-body models computed by Baumgardt & Kroupa (2007), where the effects of primordial gas expulsion on the dynamics of star clusters were studied. The N-body models are computed with the NBODY4 code (Aarseth 1999) and follow the evolution of 20 000 single-mass stars. The gas is treated as a spherical additional potential that is removed gradually in order to change the total binding energy of the cluster. The initial cluster follows a Plummer distribution. The cluster evolution is computed for 100 to 150 initial crossing times so that the cluster can settle into a new equilibrium configuration and two-body relaxation (which acts on a much longer timescale) is not an important parameter in these models.
Baumgardt & Kroupa (2007) studied in particular the influence of three
physical parameters on the early cluster dynamics. The first is the star
formation efficiency,
,
given by the ratio between the stellar mass
and the initial mass of the parent gas cloud. This parameter defines the
fraction of gas converted into stars by star formation. The second
parameter is the ratio between the half-mass radius and the tidal radius,
,
which quantifies the initial concentration of the cluster and the
strength of the tidal field of the host Galaxy. Finally, the third
parameter is the ratio of the timescale for gas expulsion relative to the
crossing time,
.
This quantity determines the ability of stars to
adjust their orbital parameters when the potential changes during gas
expulsion. The full grid of models includes variation in the star formation
efficiency between 0.05 and 0.75, of the ratio of the half-mass radius to
the tidal radius between 0.01 and 0.2, and of the ratio of the timescale
for gas expulsion relative to the crossing time between 0 and 10.
As the models of Baumgardt & Kroupa (2007) take only one stellar population into account, we use the same method as in DecressinBaumgardt2008 to split the stars into two populations according to their specific energy. The stars with the highest binding energy mimic second-generation stars that are more centrally concentrated, while the other stars are assumed to be members of the first generation. We choose an initial fraction of second generation stars of 10% to be consistent with the pollution by fast-rotating massive stars in the case of a canonical IMF slope. As Baumgardt & Kroupa (2007) used only single-mass stars, we cannot study in detail the mass dependence of our results. However, the gas expulsion process we investigate here (duration shorter than 10 crossing times) acts on a much shorter timescale than two-body relaxation (a few Gyr), which could lead to the preferential loss of low-mass stars, and also acts on a shorter timescale than the lifetime of low-mass stars, so we do not expect our results to depend much on the mass of the stars. Similarly, the short duration of the gas expulsion phase compared to the two-body relaxation timescale allows us to infer results suitable for the study of the early dynamics of GCs even with the limited number of stars (20 000) in the N-body model library.
|
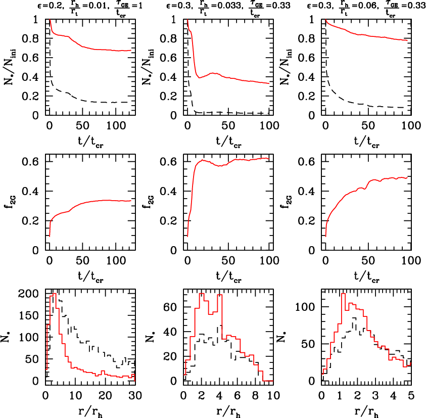
Figure 1: Top panels: number fraction of first (dashed lines) and second generation (full lines) stars relative to their initial number as a function of time. Each line is normalised to its initial number. Middle panel: fraction of second generation stars bound to the cluster as a function of time. Bottom panel: final (at 100 initial crossing times) radial distribution from the cluster centre for the stars of the first (dashed lines) and the second (full lines) generation. Right, central, and left panels refer to three cases with different initial parameters indicated at the top. |
| Open with DEXTER | |
3 Results
3.1 Analysis of individual models
Baumgardt & Kroupa (2007) find that gas expulsion can lead to all
situations between a cluster totally disrupted and an unaffected cluster,
depending on the parameter values for the gas-expulsion timescale
,
the star formation efficiency
,
and cluster
concentration c. In this paper we concentrate on intermediate cases that
predict a large stellar mass loss but with a remnant dense core. In
Fig. 1 we present three such interesting cases.
Case 1. The left panels show predictions for the gas expulsion
parameters
,
,
and
,
which represent
an initially concentrated cluster with a low star formation efficiency and
a long timescale for gas expulsion. In the upper left panel we show the
evolution of the number of stars of the first and second population still
bound to the cluster. We use the following criteria to define whether, at a
given time, a star is bound to the cluster: the star needs to be within the
tidal radius of the cluster and to have a negative total energy (sum of the
kinetic and potential energy). Initially, some stars have a positive total
energy and move away from the cluster. However, during about the first 10
crossing times the radius of the stars bound to the cluster expands so that
these stars stay within the cluster tidal radius. During the first 30
crossing times, about 10% of the stars are in this situation (positive
total energy and still within the tidal radius of the cluster), and it
depends on the criteria used if they are to be considered as bound
(Baumgardt & Kroupa 2007, with only a radius criterium) or unbound
(this study with both a radius and an energy criterium). However, after
around 30 crossing times, both criteria give the same results so that at
the end of the computation no difference exists between both criteria. The
two-phase decrease in the number of stars comes from the change of an
energy-dominating criterion in the early times to a radial criterion that
dominates after 30 crossing times. Using only the radial criterion would
have led to a smoother decrease in the number of bound stars
(see Baumgardt & Kroupa 2007).
As expected from the initial radial distribution, case 1 depicts a cluster that loses more of its first-generation stars (about 80%) than second-generation ones (about 12%) so that the fraction of second-generation stars is around 30% at the end of the computation (middle left panel in Fig. 1). The loss of stars is very pronounced during the first few crossing times when the lowering of the cluster binding energy is driven by the gas expulsion.
An interesting point is that the radial distributions (see left bottom
panel in Fig. 1) differ at the end of the simulation (about
100 initial crossing times), since second-generation stars are still more
concentrated than the first-generation ones. Thus we can expect that the
fraction of second-generation stars will increase further owing to the
relaxation-driven long-term evaporation of the clusters, as seen in
DecressinBaumgardt2008. Moreover, the final radius of the
cluster is much larger than initially. Indeed the half-mass radius of first
and second generation stars is 1.0 and 0.6 pc, respectively at t=0, and
becomes 8.5 and 3.8 pc at the end of the computation. This strong radial
expansion by a factor 8.4 (first generation) and 6.3 (second generation) is
mainly caused by the long timescale for gas expulsion,
,
that
is similar to the crossing time, allowing stars to adopt new orbital
parameters with wider orbits without being lost from the cluster. It
should be noted that the tidal field is also weak in this case as shown by
the radial extension of the cluster up to about 30 times its initial
half-mass radius.
|
Figure 2:
Left: fraction of second-generation stars as a function
of the final fraction of bound stars at the end of the computations of
Baumgardt & Kroupa (2007), i.e., after about 100 initial crossing
times. Dashed lines indicate limiting cases where no second-generation
stars are lost (upper) and no preferential loss of first-generation stars
occurs (lower). Estimates of the statistical errors are also included
based on the number of first, N1, and second, N2, generation stars
bound to the cluster. Right: final half-mass radius of the
cluster as a function of the fraction of bound stars at the end of the
computation. Clusters with different values of the star formation
efficiency, |
| Open with DEXTER | |
Case 2. The central panels of Fig. 1 present the
case of a cluster near total disruption, which loses
95% of its
first-generation stars owing to the gas expulsion process. The initial
parameters are
,
,
and
.
Compared
to the previous case, this model has a smaller gas fraction after star
formation, and gas expulsion occurs on a much shorter timescale. As
this
cluster shows a smaller increase in its radius during its evolution,
the
two-phase decrease in the number of stars is limited to only the first
5 crossing times. The number of bound stars goes through a minimum
around
10 crossing times before increasing during the following
20 crossing-times. This behaviour is related to the strong
ellipsoidal shape
that the cluster displays during its expansion phase, leading to a
significant number of stars lying in the outer part of the major axis
of
the cluster distribution where they are outside the tidal radius (so
are
counted as unbound stars). When the cluster contracts and becomes
more spherical, part of these stars decrease their orbital radius below
and become bound to the cluster again. At the end of the
evolution, the cluster radius has only increased by a factor 3-4. The
central part of the cluster is dominated by second-generation stars (bottom
panel) and the fraction of second generation stars at the end is above
60%. However, because of the low number of bound stars in the simulation,
statistics becomes too poor to precisely infer cluster properties.
Case 3. Finally the right panels of Fig. 1
correspond to a model with initial parameters of
,
,
and
that also undergoes a strong loss of stars
leading to a cluster with second-generation stars counting for half of all
cluster members. This case is particularly interesting as it has a small
final half-mass radius that is only about twice the initial half-mass
radius. Second-generation stars dominate at the centre, so we can expect
that the further evolution of this cluster will increase the fraction of
second-generation stars to match the observed fraction (50-85%) of stars
with anticorrelations in light elements when taking its whole evolution
into account.
3.2 The whole set of models
Figure 2 (left panel) shows the fraction of second-generation
stars remaining bound after gas expulsion,
,
as a function of the fraction of remaining bound stars,
.
All cases are located between two
extreme scenarios: no loss of second-generation stars (upper dashed line)
and no preferential loss of first-generation stars (horizontal dashed
line). All the cases computed by Baumgardt & Kroupa (2007) that have more
than 100 bound stars at the end of the integration are presented. To
assess the statistical significance of the results, we estimate the
statistical error from
,
where
and
are the statistical
uncertainties for the number of first and second generation stars. In
clusters that do not lose many stars (points on the right), the error is
dominated by
,
while
and
contribute
significantly for clusters suffering a large loss of stars. For clusters
with fewer than 500 stars, the remaining error is about 20%.
A general trend is clearly visible in that the more dissolved clusters also have a higher fraction of second-generation stars at the end. This behaviour is expected since second-generation stars are initially more bound to the cluster and the gas expulsion occurs on a shorter timescale than the two-body relaxation timescale. For clusters near disruption, the fraction of second-generation stars can be as high as 70-75%, although with poor statistics. N-body simulations with more initial stars will be very helpful for quantifying these numbers more precisely.
Even if the fraction of second-generation stars is a monotonic function of
the fraction of stars remaining bound to the cluster, other cluster
properties present a more pronounced dependence with the initial
parameters. Figure 2 (right panel) shows the final half-mass
radius of the cluster as a function of the fraction of stars remaining
bound to the cluster. For clusters with high
,
the
half-mass radius increases with decreasing value of the star formation
efficiency. Indeed clusters with a high star formation efficiency are less
perturbed when the primordial gas expulsion happens because of a lower mass
of the gas remaining after star formation. This trend roughly remains at
low
value but with more scatter.
|
Figure 3:
Fraction of second-generation stars,
|
| Open with DEXTER | |
3.3 Initial conditions for globular cluster formation
Figure 3 shows the fraction of second-generation stars that
remain bound to the cluster after the end of the gas expulsion phase for
all the input parameters used by Baumgardt & Kroupa (2007). White areas
indicate fully disrupted clusters, while yellow to red colours indicate the
fraction of second-generation stars at the end of the computation. By
varying the SFE, we retrieve the three main behaviours for clusters. For
clusters with low SFE (
between 0.05 and 0.1), almost no cluster
can survive. In contrast, gas expulsion has almost no effect on high SFE
cases (see bottom right panel with SFE of
). In this last case,
always remains lower than 20%.
Intermediate values of the SFE around 0.3-0.33 are more interesting, since
many cases lead to a high fraction of second-generation stars still bound
to the cluster. For an SFE of 0.33, a high fraction of second-generation
stars relative to cluster stars is obtained for concentrated clusters with
a short timescale for gas expulsion (
). These candidates could
be good progenitors of real GCs (see second and third cases in
Fig. 1 in Sect. 3.2). It should be noted that a value of 0.33
for the SFE is close to the one found by Parmentier & Fritze (2009) from
their study of the mass evolution of clusters and is also consistent with
direct observational surveys (Lada & Lada 2003). As we have seen,
clusters with a low
ratio are more prone to present an high
fraction of second generation stars. Thus this fraction should be higher
with large distance to the Galactic centre (larger
). Alternatively, the tidal field may have been weaker because
the Galaxy had not yet been assembled. The observational trend observed by
Carretta (2006), who shows that clusters with large orbital period and
with high orbital inclinations relative to the Galactic plane produce more
extended O-Na and Mg-Al anticorrelations (see
also Fraix-Burnet et al. 2009), could be the imprint of the primordial gas
expulsion process.
In addition to an SFE around 0.33, other regions of parameter space favour
a large increase in the fraction of second-generation stars, namely an SFE
around 0.25 combined with a fast timescale for gas expulsion and a very
concentrated cluster (
). A last possibility is for a higher
SFE (
)
and an initially extended cluster (
). However, this case produces clusters that are too extended
compared to the observed ones, so that only SFEs around or below 0.33 are
allowed to increase the fraction of second-generation stars.
4 Towards a complete scenario for the evolution of globular clusters
As we have seen in the previous section, primordial gas expulsion can be a
very efficient mechanism to increase the ratio between second and first
generation stars. The most favourable physical conditions for GC formation
and early evolution are: (1) a star formation efficiency around
,
(2) a concentrated cluster relative to the tidal radius and
(3) a fast timescale for gas expulsion. In the following we would like to
consider how these constraints can be used to refine the scenario of the
evolution of GCs with pollution by fast-rotating massive stars.
4.1 The wind of fast-rotating massive stars scenario
As already outlined in the introduction, our scenario requires some basic
assumptions that are detailed in Decressin et al. (2007a). Let us
recall the main points here. We suppose that the first stellar generation
contains stars with initial masses between 0.1 and 120
following a standard IMF with a Salpeter-like slope for stars more massive than
0.8
and a log-normal distribution for lower mass stars
(Paresce & De Marchi 2000), but that second-generation stars only consist
of low-mass, long-lived stars with initial masses between 0.1 and
0.8 ![]()
. We consider that the first-generation polluters are
fast-rotating massive stars (i.e., with initial masses above
25
)
that enrich the ISM through their slow mechanical
winds loaded with H-burning products. We assume mass segregation,
primordial gas expulsion, and long-term evaporation of first-generation
low-mass stars in order to reproduce the large fraction of
second-generation long-lived stars we see today (see Sect. 3).
The evolution of GCs passes through different key phases:
- 1.
- Formation of a first-generation of stars. First-generation
stars (over the complete mass range 0.1 to 120
)
form from a
giant molecular cloud with a ``normal'' chemical composition similar to
that of contemporary halo field stars of similar metallicity. As shown in
Sect. 3, specific conditions are required at that phase: (1) an initial star
formation efficiency for first-generation stars defined as the total mass
enclosed within first-generation stars relative to the initial mass of
the proto-cluster cloud in the same volume,
,
around 0.3-0.33 and (2) an initially highly concentrated cluster with a small
half-mass radius (up to a few pc, see Sect. 4.2.4).
- 2.
- Evolution of fast-rotating massive stars (m>25
)
and
cluster pollution. Part of the pristine gas that has not been
consumed to form first-generation stars must sit within the cluster
during the lifetime of the less massive polluters, i.e.,
7-10 Myr
for a 25
star (see Sect. 4.2.4 below). Indeed the Li-free matter
ejected by massive stars in their slow winds has to be mixed with
pristine Li-rich, intra-cluster gas in order to explain the Li-Na
anticorrelation observed in NGC 6752 (Pasquini et al. 2005) and
47 Tuc (Bonifacio et al. 2007) and NGC 6397
(Lind et al. 2009). This anticorrelation can actually be used to
constrain the amount of pristine gas involved in this dilution process
(see Sect. 4.2.1).
- 3.
- Formation of second generation stars. Second-generation
low-mass stars (0.1-0.8
)
form from the ISM material
polluted to various degrees by the slow winds of massive stars loaded
with H-burning products. They have to be more centrally concentrated than
their first-generation counterparts, as required by the number ratios
between first and second generation objects we observe today.
Decressin et al. (2007a) propose that massive polluters of the
first generation could be born in the centre of the cluster or could have
migrated there rapidly through mass segregation. In both cases, the
second-generation stars are created in their immediate vicinity and share
a similar radial distribution. Here we define the formation efficiency of
the second stellar generation,
,
as the ratio of the total mass
enclosed by second-generation stars to the total mass of the slow winds
ejected by massive stars and the ISM matter used for the dilution
process.
- 4.
- Gas expulsion by SN. Then gas expulsion occurs and removes
the interstellar gas left after the two episodes of star
formation
. For this process to be efficient enough, the
gas expulsion timescale must be very short, i.e., in the explosive
regime,
(see Sect. 3). We propose that this
process is induced by the supernova explosions of the first-generation
stars that did not contribute to the chemical pollution, i.e., with
initial masses below 20-25
(the more massive progenitors implode
see Sect. 4.2.3 below). During this phase most of the first-generation stars
that occupy the outer regions of the cluster are lost into the Galactic
halo, while second-generation stars are more centrally concentrated and
remain bound to the GC.
- 5.
- Long-term dynamical evolution. Later, the long-term
relaxation-driven evaporation leads to the preferential loss of
first-generation stars over 2-3 relaxation timescales (see
DecressinBaumgardt2008). Finally, both populations are
mostly mixed and no further evolution of the number ratio between first
and second generation long-lived stars is possible
(DecressinBaumgardt2008). Nowadays only the GC
Cen
keeps a memory of the different initial distributions between first and
second generations stars, because the two-body relaxation time in the
core is comparable to the cluster age.
4.2 Possible issues
The scenario outlined above faces several issues that require further discussion.
4.2.1 Total star formation efficiency
The first issue is related to the dilution process between ISM and the ejecta of the polluters, and more specifically to the amount of pristine gas consumed to form second-generation stars. Indeed this process may change the total SFE, which is the main parameter affecting the efficiency of gas expulsion as discussed in Sect. 3.3.
Decressin et al. (2007a) determined that, in order to reproduce the
Li-Na anticorrelation in NGC 6752, the mass ratio between pristine gas and
slow stellar winds is around 1.15 after integration over time and IMF of
the massive star polluters. On the other hand, the mass lost by massive
stars and recycled into the second generation represents only 3.5-4% of
the total mass of the first generation stars. Thus for a star formation
efficiency for the first generation of
,
and assuming that
all the matter ejected in the slow winds of the polluters is converted into
stars with a dilution factor of 1.2 with pristine gas
, we find that at most 1.32% of the protocluster gas
is used to form the second sellar generation. Thus the SFE is only slightly
modified (by a few percent) by the second episode of star formation. In
other words, the SFE is mainly determined by the formation of the first
stellar generation.
4.2.2 Initial mass of proto-GC clouds
We can now try to estimate the initial mass of the proto-gas clouds from
which GCs are born. From the global value of the SFE (around 0.33) within
the cluster-forming volume, the proto-gas cloud is about three times more
massive than the total mass of created stars of first and second
generation. To explain the high number of anomalous stars observed in
present-day globular clusters (around 85% in NGC 6752,
Decressin et al. 2007a; 70% in NGC 2808,
Prantzos & Charbonnel 2006) a large fraction of the stars born in the
cluster should have been lost from the cluster during its
evolution. Decressin et al. (2007a) estimate that around 95% of
first generation stars need to be lost in NGC 6752. Thus the initial mass
of NGC 6752 should be at least 10 times more massive than its present-day
mass. Given the luminosity of NGC 6752 (Harris 1996) and a
mass-to-light ratio of
,
we evaluate its actual mass to
be
.
Thus the mass of the proto-gas cloud should
have been of the order of
.
However, NGC 6752 is one of the most extreme cases of the anomalous
stars. Carretta et al. (2009) statistically studied 19 GCs and find
that stars with abundance anomalies (their intermediate and extreme
populations) represent 50 to 80% of the cluster stars. Therefore NGC 6752 can
be one of the most massive GCs initially, and the
initial mass of most GCs is only several 106
.
These high stellar
masses would explain why the pre-supernova feedback energy is not able to
expel the gas from the cluster (Baumgardt et al. 2008).
4.2.3 Detailed chronology: early cluster evolution
One key issue concerns the necessity of retaining pristine gas within the cluster during the lifetime of the polluters in order to account for the presence of lithium in the atmosphere of second-generation stars. This constraint is relevant for the question of whether very massive stars that produce the first SN are unable to clear out the cluster from its gas.
This condition can also be fulfilled if at the end of their lives the
polluter stars do not undergo supernova explosions but rather directly
collapse into black holes, avoiding injection of SN kinetic energy into
the ISM. Observational clues from black hole X-ray binaries
(Ergma & van den Heuvel 1998; Portegies Zwart et al. 1997), as well as
nucleosynthesis constraints (Maeder 1992; Kobulnicky & Skillman 1997),
suggest that black holes form from stars with masses above
25
(see also Heger et al. 2003). This rough limit is
confirmed by 2D core-collapse SN simulations (Fryer 1999),
which also predict that progenitor stars more massive than
40
are unable to launch shocks and thus do not produce an SN explosion.
In view of the sensitivity of core collapse simulations to the (uncertain)
input physics, these numbers must be considered with caution. For example,
lowering the mean neutrino energy by 20
lowers the fallback black hole
limit to
15
(Fryer 1999). In addition, rotation
is expected to decrease the lower mass limit for black hole formation
(e.g., Hirschi et al. 2004). Besides,
Georgy et al. (2009) find that the lowest masses to allow black hole
formation decrease from 40 to 30
when the metallicity decreases from
solar to Z=0.004.
Despite the theoretical uncertainties regarding the formation of black holes and the physics of SN explosions, what matters at this level of the discussion is that the lower mass limit for a star to collapse directly into a black hole is very close to that of the fast-rotating massive polluter stars. This provides a natural way of avoiding the deposition of SN kinetic energy into the ISM for the first 7-10 Myr of GC evolution, and thus to retain pristine gas within the cluster during the lifetime of the polluters.
|
Figure 4:
Top: binding energy of a gas cloud as a function of its
mass with an initial half-mass radius of 0.5 pc (full line) and 3 pc
(long-dashed lines). The total energy released by SN for stellar
progenitor masses between 8 and 25
|
| Open with DEXTER | |
|
Figure 5:
Top: supernova rate as a function of time, using the
Hurley et al. (2000) stellar-evolution routines, for a single stellar
population of 106
|
| Open with DEXTER | |
4.2.4 Detailed chronology: onset of gas expulsion
On the other hand, if all massive stars with initial mass below 25
end
up as SN, we still have to check that they are numerous enough to expel
the remaining pristine gas from the cluster potential
well. Figure 4 (top panel) compares the binding energy for
clusters with initial half-mass radii of 0.5 and 3 pc assuming an SFE of
0.33 with the energy released by all SNe for stars between 25 and 8
as
a function of the cluster initial mass (gas and stars). These quantities
are computed following Baumgardt et al. (2008). In the middle panel, we
show the number of SNe needed to unbind both the cluster and the total
number of SNe produced from stars in the mass range 25-8
.
Both the binding and SN energies increase
with the cluster mass but with different rates: the binding energy scales as
,
while the SN energy scales linearly. For clusters with mass
below 107.5
(i.e., the mass of proto-GC gas clouds), SN from
stars in the mass
range 8-25
produce
enough energy for gas expulsion to operate.
4.2.5 Fast gas expulsion
Another issue concerns the timescale for gas expulsion, which has to be
faster than the crossing time according to our scenario. To determine
the timescale of gas expulsion by massive stars in the range 8-25
we
present in Fig. 5 the SN rates we expect from a stellar
population following a canonical IMF (Kroupa 2001) normalised to a
106
star cluster. We also indicate the total number of SNe the
cluster has over time (bottom panel). After 30 Myr around 5000 SNe have
exploded and even within 1 Myr after the 25
stars explode about 1000
SNe are produced.
We can now compare the time at which enough SNe are produced to unbind a
cluster to the crossing time of the cluster. This result is shown in
Fig. 4 (bottom panel) where both timescales are indicated. For
clusters with small half-mass radii (around 0.5 pc), only clusters with
initial mass below a few
experience fast gas expulsion
as needed. However such a mass is too low to be the initial mass of GCs. On
the other hand, clusters with large half-mass radii (around 3 pc) can
produce fast gas expulsion up to a mass of
,
which is
consistent with the value we infer for most proto-GCs. In the extreme case
of NGC 6752 (with mass up to
,
see Sect. 4.2.2), the
initial half-mass radius should be about of 3-5 pc to allow a fast enough
gas expulsion.
This confirms the results of Parmentier & Fritze (2009), who show that,
for clusters with mass around
106-107
,
gas expulsion is more
likely to happen in 2 or 3 crossing times, implying an adiabatic regime
(i.e., small radius). Besides, our findings are mainly compatible with the
ones of Marks et al. (2008,2010), which explains the
relation between the slope of the actual mass function and the
concentration of GCs as the dynamical response for the gas expulsion
process. However, the initial mass and radius of the cluster found by
Marks et al. (2010) are smaller than the ones obtain in this paper as
they deduced a top-heavy IMF to obtain gas expulsion.
4.2.6 Place of birth of second-generation stars
Let us now address the issue of how the slow winds of fast-rotating massive
stars are recycled into second-generation
stars. Decressin et al. (2007b) assume that the matter inside the
equatorial disc can already start to condense and produce a proto-stellar
object. However this local formation of second-generation stars cannot
allow the formation of a distinct main sequence as observed in
Cen
(Bedin et al. 2004) and NGC 2808 (Piotto et al. 2007), as pointed out
by Decressin et al. (2007a) and Renzini (2008).
However, it is possible that the strong radiation pressure accelerates the disc so that it dissipates on larger scales. Here we assumed that the disc is dense enough so that stellar radiation is not able to accelerate the matter above the escape velocity of the cluster. The matter originating in the disc will be stored outside the cluster centre and will fall back when it is cold enough. The main difficulty of this scenario is to prevent the mixing between SN ejecta with these slow winds. This can be the case if the ISM (and the diluted slow winds) present inhomogeneities such that SN ejecta escape the cluster mainly through low-density regions creating tunnels (see Prantzos & Charbonnel 2006). A similar view is presented by Palous et al. (2009): thermal instabilities developed when the energy deposition to the ISM is dominated by stellar winds (with H-burning products). A large part of the matter sinks into the cluster centre in the form of compact high density and cold gas, which can be used to form second-generation stars. Later when SNe dominate the input energy, the cluster is cleared out by a stationary outflow (see also Wünsch et al. 2008; Tenorio-Tagle et al. 2007).
In this case it will be possible that the slow component (i.e. the slow winds enriched with H-burning matter) remains decoupled from the SN ejecta and cools down so that it migrates towards the cluster centre. There the pressure of the ISM increases and second-generation stars form. In this case second-generation stars will have a much more homogeneous chemical composition compared to the stochastic formation process near their massive progenitors. Therefore this scenario may reproduce the discrete He-sequences inferred from observations. However, the continuous O-Na distribution found in many clusters still offer a challenge (see e.g., Carretta et al. 2009).
5 Conclusions
In this paper we have studied the influence of primordial gas expulsion by supernovae during the early dynamical evolution of GCs in the context of clusters with two chemically and dynamically distinct stellar populations. In particular, we investigated whether this dynamical process can explain the high number of observed second generation stars that harbour abundance anomalies in light elements. We deduced the following.
- If the two populations have a different radial extent with second-generation stars more concentrated, primordial gas expulsion is able to expel most of the first-generation stars, while most second-generation stars can be retained.
- For a given fractional mass loss by the cluster, the fraction of second-generation stars is nearly independent of the gas expulsion parameters (see Sect. 3.2).
- The final observed fraction of second-generation stars can constrain the initial properties of GCs, as this fraction is highest for clusters with SFE around 0.3-0.33, with concentrated clusters relative to the tidal field, and with a fast timescale for gas expulsion relative to the crossing time.
- We infer proto-GC cloud masses of several 106
and up to
for clusters that show a large fraction of
chemically different second generation stars like NGC 6752. Their initial
half-mass radii are in the range of
1-3 pc (4-5 pc for the most
massive cases).
- It is possible to reproduce the fraction of second-generation stars in present-day GCs through cluster dynamical processes by combining gas expulsion and tidal stripping during long-term evolution of initially mass-segregated clusters.
- The primordial gas expulsion process can also be at the origin of the observational trend observed by Carretta (2006), who shows that clusters with a long orbital period and with high orbital inclinations relative to the Galactic plane produce more extended O-Na and Mg-Al anticorrelations.
T.D. and C.C. acknowledge financial support from the French Programme National de Physique Stellaire (PNPS) of the CNRS/INSU, and from the Swiss National Science Foundation (FNS).
References
- Aarseth, S. J. 1999, PASP, 111, 1333 [NASA ADS] [CrossRef] [Google Scholar]
- Arnould, M., Goriely, S., & Jorissen, A. 1999, A&A, 347, 572 [NASA ADS] [Google Scholar]
- Baumgardt, H., & Kroupa, P. 2007, MNRAS, 380, 1589 [NASA ADS] [CrossRef] [Google Scholar]
- Baumgardt, H., Kroupa, P., & Parmentier, G. 2008, MNRAS, 384, 1231 [NASA ADS] [CrossRef] [Google Scholar]
- Bedin, L. R., Piotto, G., Anderson, J., et al. 2004, ApJ, 605, L125 [NASA ADS] [CrossRef] [Google Scholar]
- Bekki, K., Campbell, S. W., Lattanzio, J. C., & Norris, J. E. 2007, MNRAS, 267 [Google Scholar]
- Bellini, A., Piotto, G., Bedin, L. R., et al. 2009, A&A, 507, 1393 [NASA ADS] [CrossRef] [EDP Sciences] [Google Scholar]
- Bonifacio, P., Pasquini, L., Molaro, P., et al. 2007, A&A, 470, 153 [NASA ADS] [CrossRef] [EDP Sciences] [Google Scholar]
- Brown, J. A., & Wallerstein, G. 1993, AJ, 106, 133 [NASA ADS] [CrossRef] [Google Scholar]
- Caloi, V., & D'Antona, F. 2005, A&A, 435, 987 [NASA ADS] [CrossRef] [EDP Sciences] [Google Scholar]
- Caloi, V., & D'Antona, F. 2007, A&A, 463, 949 [NASA ADS] [CrossRef] [EDP Sciences] [Google Scholar]
- Carretta, E. 2006, AJ, 131, 1766 [NASA ADS] [CrossRef] [Google Scholar]
- Carretta, E., Bragaglia, A., Gratton, R. G., et al. 2006, A&A, 450, 523 [NASA ADS] [CrossRef] [EDP Sciences] [Google Scholar]
- Carretta, E., Bragaglia, A., Gratton, R. G., Lucatello, S., & Momany, Y. 2007, A&A, 464, 927 [NASA ADS] [CrossRef] [EDP Sciences] [Google Scholar]
- Carretta, E., Bragaglia, A., Gratton, R., & Lucatello, S. 2009, A&A, 505, 139 [NASA ADS] [CrossRef] [EDP Sciences] [Google Scholar]
- Cottrell, P. L., & Da Costa, G. S. 1981, ApJ, 245, L79 [NASA ADS] [CrossRef] [Google Scholar]
- de Mink, S. E., Pols, O. R., Langer, N., & Izzard, R. G. 2009, A&A, 507, L1 [NASA ADS] [CrossRef] [EDP Sciences] [Google Scholar]
- Decressin, T., Charbonnel, C., & Meynet, G. 2007a, A&A, 475, 859 [NASA ADS] [CrossRef] [EDP Sciences] [Google Scholar]
- Decressin, T., Meynet, G., Charbonnel, C., Prantzos, N., & Ekström, S. 2007b, A&A, 464, 1029 [NASA ADS] [CrossRef] [EDP Sciences] [Google Scholar]
- Decressin, T., Baumgardt, H., & Kroupa, P. 2008, A&A, 492, 101 [NASA ADS] [CrossRef] [EDP Sciences] [Google Scholar]
- Decressin, T., Charbonnel, C., Siess, L., et al. 2009, A&A, 505, 727 [NASA ADS] [CrossRef] [EDP Sciences] [Google Scholar]
- Denissenkov, P. A., & Herwig, F. 2003, ApJ, 590, L99 [NASA ADS] [CrossRef] [Google Scholar]
- D'Ercole, A., Vesperini, E., D'Antona, F., McMillan, S. L. W., & Recchi, S. 2008, MNRAS, 1228 [Google Scholar]
- Ergma, E., & van den Heuvel, E. P. J. 1998, A&A, 331, L29 [NASA ADS] [Google Scholar]
- Fenner, Y., Campbell, S., Karakas, A. I., Lattanzio, J. C., & Gibson, B. K. 2004, MNRAS, 353, 789 [NASA ADS] [CrossRef] [MathSciNet] [Google Scholar]
- Fraix-Burnet, D., Davoust, E., & Charbonnel, C. 2009, MNRAS, 398, 1706 [NASA ADS] [CrossRef] [Google Scholar]
- Fryer, C. L. 1999, ApJ, 522, 413 [NASA ADS] [CrossRef] [Google Scholar]
- Georgy, C., Meynet, G., Walder, R., Folini, D., & Maeder, A. 2009, A&A, 502, 611 [NASA ADS] [CrossRef] [EDP Sciences] [Google Scholar]
- Gratton, R., Sneden, C., & Carretta, E. 2004, ARA&A, 42, 385 [NASA ADS] [CrossRef] [Google Scholar]
- Gratton, R. G., Lucatello, S., Bragaglia, A., et al. 2007, A&A, 464, 953 [NASA ADS] [CrossRef] [EDP Sciences] [Google Scholar]
- Harris, W. E. 1996, AJ, 112, 1487 [NASA ADS] [CrossRef] [Google Scholar]
- Heger, A., Fryer, C. L., Woosley, S. E., Langer, N., & Hartmann, D. H. 2003, ApJ, 591, 288 [NASA ADS] [CrossRef] [Google Scholar]
- Herwig, F. 2004a, ApJ, 605, 425 [NASA ADS] [CrossRef] [Google Scholar]
- Herwig, F. 2004b, ApJS, 155, 651 [NASA ADS] [CrossRef] [Google Scholar]
- Hirschi, R., Meynet, G., & Maeder, A. 2004, A&A, 425, 649 [NASA ADS] [CrossRef] [EDP Sciences] [Google Scholar]
- Hurley, J. R., Pols, O. R., & Tout, C. A. 2000, MNRAS, 315, 543 [NASA ADS] [CrossRef] [Google Scholar]
- Karakas, A. I., & Lattanzio, J. C. 2003, Publications of the Astronomical Society of Australia, 20, 279 [NASA ADS] [CrossRef] [Google Scholar]
- Kobulnicky, H. A., & Skillman, E. D. 1997, ApJ, 489, 636 [NASA ADS] [CrossRef] [Google Scholar]
- Kraft, R. P. 1994, PASP, 106, 553 [NASA ADS] [CrossRef] [Google Scholar]
- Kroupa, P. 2001, MNRAS, 322, 231 [NASA ADS] [CrossRef] [Google Scholar]
- Lada, C. J., & Lada, E. A. 2003, ARA&A, 41, 57 [NASA ADS] [CrossRef] [Google Scholar]
- Lind, K., Primas, F., Charbonnel, C., Grundahl, F., & Asplund, M. 2009, A&A, 503, 545 [NASA ADS] [CrossRef] [EDP Sciences] [MathSciNet] [Google Scholar]
- Maeder, A. 1992, A&A, 264, 105 [NASA ADS] [Google Scholar]
- Marks, M., Kroupa, P., & Baumgardt, H. 2008, MNRAS, 386, 2047 [NASA ADS] [CrossRef] [Google Scholar]
- Marks, M., Kroupa, P., & Baumgardt, H. 2010, MNRAS, in press [Google Scholar]
- Milone, A. P., Piotto, G., King, I. R., et al. 2010, ApJ, 709, 1183 [NASA ADS] [CrossRef] [Google Scholar]
- Palous, J., Wünsch, R., Tenorio-Tagle, G., & Silich, S. 2009, in IAU Symp. 254, ed. J. Andersen, J. Bland-Hawthorn, & B. Nordström, 233 [Google Scholar]
- Paresce, F., & De Marchi, G. 2000, ApJ, 534, 870 [NASA ADS] [CrossRef] [Google Scholar]
- Parmentier, G., & Fritze, U. 2009, ApJ, 690, 1112 [NASA ADS] [CrossRef] [Google Scholar]
- Pasquini, L., Bonifacio, P., Molaro, P., et al. 2005, A&A, 441, 549 [NASA ADS] [CrossRef] [EDP Sciences] [Google Scholar]
- Pasquini, L., Bonifacio, P., Randich, S., et al. 2007, A&A, 464, 601 [NASA ADS] [CrossRef] [EDP Sciences] [Google Scholar]
- Pflamm-Altenburg, J., & Kroupa, P. 2009, MNRAS, 397, 488 [NASA ADS] [CrossRef] [Google Scholar]
- Piotto, G., Villanova, S., Bedin, L. R., et al. 2005, ApJ, 621, 777 [NASA ADS] [CrossRef] [Google Scholar]
- Piotto, G., Bedin, L. R., Anderson, J., et al. 2007, ApJ, 661, L53 [NASA ADS] [CrossRef] [Google Scholar]
- Portegies Zwart, S. F., Verbunt, F., & Ergma, E. 1997, A&A, 321, 207 [NASA ADS] [Google Scholar]
- Prantzos, N., & Charbonnel, C. 2006, A&A, 458, 135 [NASA ADS] [CrossRef] [EDP Sciences] [Google Scholar]
- Prantzos, N., Charbonnel, C., & Iliadis, C. 2007, A&A, 470, 179 [NASA ADS] [CrossRef] [EDP Sciences] [Google Scholar]
- Renzini, A. 2008, MNRAS, 391, 354 [NASA ADS] [CrossRef] [Google Scholar]
- Smith, G. H. 2006, PASP, 118, 1225 [NASA ADS] [CrossRef] [Google Scholar]
- Tenorio-Tagle, G., Wünsch, R., Silich, S., & Palous, J. 2007, ApJ, 658, 1196 [NASA ADS] [CrossRef] [Google Scholar]
- Townsend, R. H. D., Owocki, S. P., & Howarth, I. D. 2004, MNRAS, 350, 189 [Google Scholar]
- Tutukov, A. V. 1978, A&A, 70, 57 [NASA ADS] [Google Scholar]
- Ventura, P., & D'Antona, F. 2005a, A&A, 431, 279 [NASA ADS] [CrossRef] [EDP Sciences] [Google Scholar]
- Ventura, P., & D'Antona, F. 2005b, A&A, 431, 279 [NASA ADS] [CrossRef] [EDP Sciences] [Google Scholar]
- Ventura, P., & D'Antona, F. 2005c, A&A, 439, 1075 [NASA ADS] [CrossRef] [EDP Sciences] [Google Scholar]
- Ventura, P., & D'Antona, F. 2008a, A&A, 479, 805 [NASA ADS] [CrossRef] [EDP Sciences] [Google Scholar]
- Ventura, P., & D'Antona, F. 2008b, MNRAS, 385, 2034 [NASA ADS] [CrossRef] [Google Scholar]
- Ventura, P., & D'Antona, F. 2009, A&A, 499, 835 [NASA ADS] [CrossRef] [EDP Sciences] [Google Scholar]
- Ventura, P., D'Antona, F., Mazzitelli, I., & Gratton, R. 2001, ApJ, 550, L65 [NASA ADS] [CrossRef] [Google Scholar]
- Ventura, P., D'Antona, F., & Mazzitelli, I. 2002, A&A, 393, 215 [NASA ADS] [CrossRef] [EDP Sciences] [Google Scholar]
- Villanova, S., Piotto, G., King, I. R., et al. 2007, ApJ, 663, 296 [NASA ADS] [CrossRef] [Google Scholar]
- Wallerstein, G., Leep, E. M., & Oke, J. B. 1987, AJ, 93, 1137 [NASA ADS] [CrossRef] [Google Scholar]
- Wünsch, R., Tenorio-Tagle, G., Palous, J., & Silich, S. 2008, ApJ, 683, 683 [NASA ADS] [CrossRef] [Google Scholar]
Footnotes
- ...
- Present address: Department of Physics, University of Queensland, Brisbane, QLD 4072, Australia.
- ... IMF
- The canonical IMF is a two-part power-law function,
,
with
for stellar masses
and
(Salpeter value) for m>0.5
(Kroupa 2001).
- ...
clusters
- The only exception is the GC
Cen, for which the
relaxation time at the center is comparable to its age. Indeed in this
cluster stars on the blue main sequence (i.e., He-rich) are found more
centrally concentrated than red main sequence stars (Bellini
et al. 2009; Villanova et al. 2007).
- ...

- The assumption about the mass range of second-generation stars is made only in order to minimise the constraints on the mass budget.
- ... formation
- Note that in principle second generation massive stars could lead to the formation of a third generation of stars, but the higher order generations would only comprise an insignificant fraction of the whole population.
- ... gas
- These assumptions are needed to maximise the initial number of second generation stars.
All Figures
|
Figure 1: Top panels: number fraction of first (dashed lines) and second generation (full lines) stars relative to their initial number as a function of time. Each line is normalised to its initial number. Middle panel: fraction of second generation stars bound to the cluster as a function of time. Bottom panel: final (at 100 initial crossing times) radial distribution from the cluster centre for the stars of the first (dashed lines) and the second (full lines) generation. Right, central, and left panels refer to three cases with different initial parameters indicated at the top. |
| Open with DEXTER | |
| In the text | |
|
Figure 2:
Left: fraction of second-generation stars as a function
of the final fraction of bound stars at the end of the computations of
Baumgardt & Kroupa (2007), i.e., after about 100 initial crossing
times. Dashed lines indicate limiting cases where no second-generation
stars are lost (upper) and no preferential loss of first-generation stars
occurs (lower). Estimates of the statistical errors are also included
based on the number of first, N1, and second, N2, generation stars
bound to the cluster. Right: final half-mass radius of the
cluster as a function of the fraction of bound stars at the end of the
computation. Clusters with different values of the star formation
efficiency, |
| Open with DEXTER | |
| In the text | |
|
Figure 3:
Fraction of second-generation stars,
|
| Open with DEXTER | |
| In the text | |
|
Figure 4:
Top: binding energy of a gas cloud as a function of its
mass with an initial half-mass radius of 0.5 pc (full line) and 3 pc
(long-dashed lines). The total energy released by SN for stellar
progenitor masses between 8 and 25
|
| Open with DEXTER | |
| In the text | |
|
Figure 5:
Top: supernova rate as a function of time, using the
Hurley et al. (2000) stellar-evolution routines, for a single stellar
population of 106
|
| Open with DEXTER | |
| In the text | |
Copyright ESO 2010
Current usage metrics show cumulative count of Article Views (full-text article views including HTML views, PDF and ePub downloads, according to the available data) and Abstracts Views on Vision4Press platform.
Data correspond to usage on the plateform after 2015. The current usage metrics is available 48-96 hours after online publication and is updated daily on week days.
Initial download of the metrics may take a while.
![\begin{figure}
\par\includegraphics[width=14.2cm,clip]{13703fg1}
\end{figure}](/articles/aa/full_html/2010/08/aa13703-09/Timg15.png)
![\begin{figure}
\par\includegraphics[width=8.2cm,clip]{13703fg2}\hspace*{2mm}
\includegraphics[width=8.2cm,clip]{13703fg3}
\end{figure}](/articles/aa/full_html/2010/08/aa13703-09/Timg20.png)
![\begin{figure}
\par\includegraphics[width=15cm,clip]{13703fg4}
\end{figure}](/articles/aa/full_html/2010/08/aa13703-09/Timg35.png)
![\begin{figure}
\par\includegraphics[width=9cm,clip]{13703fg5}
\end{figure}](/articles/aa/full_html/2010/08/aa13703-09/Timg51.png)
![\begin{figure}
\par\includegraphics[width=9cm,clip]{13703fg6}
\end{figure}](/articles/aa/full_html/2010/08/aa13703-09/Timg52.png)