Issue |
A&A
Volume 516, June-July 2010
|
|
---|---|---|
Article Number | A71 | |
Number of page(s) | 15 | |
Section | Extragalactic astronomy | |
DOI | https://doi.org/10.1051/0004-6361/200913734 | |
Published online | 01 July 2010 |
Optical and near-infrared follow-up observations of four Fermi/LAT GRBs: redshifts, afterglows, energetics, and host galaxies![[*]](/icons/foot_motif.png)
S. McBreen1,2 - T. Krühler2,3 - A. Rau2 - J. Greiner2 - D. A. Kann4 - S. Savaglio2 - P. Afonso2 - C. Clemens2 - R. Filgas2 - S. Klose4 - A. Küpcü Yoldas5 - F. Olivares E.2 - A. Rossi4 - G. P. Szokoly6 - A. Updike7 - A. Yoldas2
1 - School of Physics, University College Dublin, Dublin 4, Ireland
2 -
Max-Planck-Institut für extraterrestrische Physik, 85748 Garching, Germany
3 -
Universe Cluster, Technische Universität München, Boltzmannstrasse 2, 85748 Garching, Germany
4 -
Thüringer Landessternwarte Tautenburg, Sternwarte 5, 07778 Tautenburg, Germany
5 -
European Southern Observatory, 85748 Garching, Germany
6 -
Institute of Physics, Eötvös University, Pázmány P. s. 1/A, 1117 Budapest, Hungary
7 -
Department of Physics and Astronomy, Clemson University, Clemson, SC 29634, USA
Received 24 November 2009 / Accepted 16 March 2010
Abstract
Aims. Fermi can measure the spectral properties of
gamma-ray bursts over a very large energy range and is opening a new
window on the prompt emission of these energetic events. Localizations
by the instruments on Fermi in combination with follow-up by Swift
provide accurate positions for observations at longer wavelengths
leading to the determination of redshifts, the true energy budget, host
galaxy properties and facilitate comparison with pre-Fermi bursts.
Methods. Multi-wavelength follow-up observations were performed
on the afterglows of four bursts with high energy emission detected by Fermi/LAT:
GRB 090323, GRB 090328, GRB 090510 and GRB 090902B.
They were obtained in the optical/near-infrared bands with GROND
mounted at the MPG/ESO 2.2 m telescope and additionally of
GRB 090323 in the optical with the 2 m telescope in
Tautenburg, Germany. Three of the events are classified as long bursts
while GRB 090510 is a well localized short GRB with
GeV emission. In addition, host galaxies were detected for three
of the four bursts. Spectroscopic follow-up was initiated with the VLT
for GRB 090328 and GRB 090510.
Results. The afterglow observations in 7 bands are
presented for all bursts and their host galaxies are investigated.
Knowledge of the distance and the local dust extinction enables
comparison of the afterglows of LAT-detected GRBs with the general
sample. The spectroscopic redshifts of GRB 090328 and
GRB 090510 were determined to be z=0.7354
0.0003 and z=0.903
0.001 and dust corrected star-formation rates of
yr-1 and
yr-1 were derived for their host galaxies, respectively.
Conclusions. The afterglows of long bursts exhibit power-law decay indices ()
from less than 1 to
2.3 and spectral indices (
) values from 0.65 to
1.2 which are fairly standard for GRB afterglows. Constraints are placed on the jet half opening angles of
to
,
which allows limits to be placed on the beaming corrected energies. These range from
5
1050 erg to the one of the highest values ever recorded,
1052 erg for GRB 090902B, and are not consistent with a standard candle. The extremely energetic long Fermi
bursts have optical afterglows which lie in the top half of the
brightness distribution of all optical afterglows detected in the Swift
era or even in the top 5% if incompleteness is considered. The
properties of the host galaxies of these LAT detected bursts in terms
of extinction, star formation rates and masses do not appear to differ
from previous samples.
Key words: gamma-ray burst: individual: GRB 090323 - gamma-ray burst: individual: GRB 090328 - gamma-ray burst: individual: GRB 090510 - gamma-ray burst: individual: GRB 090902B
1 Introduction
The follow-up of gamma-ray bursts (GRBs) detected by the Swift satellite (Gehrels et al. 2004) has led to the determination of the distance scale for a large sample of bursts. The Burst Alert Telescope (BAT, Barthelmy et al. 2005)
is sensitive in the energy range 15-150 keV and has good
localization capabilities with typical uncertainties in the arcminute
range. Rapid follow-up by Swift's narrow field instruments in the X-rays (XRT, Burrows et al. 2005) and optical/UV (UVOT, Roming et al. 2005)
have lead to the arcsecond localizations required for ground-based
observers and in turn to spectroscopic redshift measurements of a large
sample of GRBs (e.g., Fynbo et al. 2009) and investigation of their host galaxies (e.g., Perley et al. 2009b; Savaglio et al. 2009). To date distances to 200 GRB sources have been established with redshifts ranging from
z = 0.0085 (GRB 980425: Galama et al. 1998; Tinney et al. 1998) to
(GRB090423: Tanvir et al. 2009; Salvaterra et al. 2009).
The BAT has a narrow spectral range and is not able to determine the
spectral parameters of the prompt emission of GRBs over a broad energy
range. Since the launch of the Fermi Gamma-ray Space Telescope (Atwood et al. 1994; Michelson 1996) there is now the possibility to investigate
the spectrum over seven decades in energy. These events can be localized by instruments from Fermi and followed up by Swift
and ground-based obervatories, enabling investigation of their
afterglows and host properties and facilitating comparison to a general
sample. In some fortuitous cases instruments on the Fermi and Swift
satellites may trigger on the same event with high-energy emission
enabling both rapid follow-up and broadband prompt emission coverage
(e.g. GRB 090510, see Sect. 2.3). The high-energy
spectral properties of GRBs were investigated previously by instruments
on-board the Compton Gamma-ray Observatory, however the
redshifts of these events are unknown. The spectra of these GRBs were
described by an extrapolation of the low energy spectra to energies
>100 MeV (e.g., Hanlon et al. 1994), and in some cases an additional component at high-energies
(Kaneko et al. 2008; González et al. 2003) and long-lived GeV emission (Hurley et al. 1995). Recently a photometric redshift of
z=1.8+0.4-0.3 was reported by Rossi et al. (2008) for GRB 080514B which was detected at energies up to 300 MeV by instruments on the AGILE satellite (Giuliani et al. 2008).
Fermi hosts two instruments that detect GRBs: the Gamma-ray Burst Monitor (GBM: Meegan et al. 2009) sensitive to photons from 8 keV to
40 MeV, and the Large Area Telescope with a spectral coverage from
30 MeV to
100 GeV (LAT: Atwood et al. 2009). Together they provide valuable information on the spectral properties of the prompt emission (e.g. Abdo et al. 2009a,c,d,b), the presence or absence of intrinsic spectral cut-offs or those due to the optical depth of the universe to high-energy
-rays due to pair production on infrared diffuse Extragalactic Background Light (e.g., Franceschini et al. 2008; Kashlinsky et al. 2005; Finke et al. 2010; Kneiske et al. 2004; Stecker et al. 2006; de Jager & Stecker 2002; Metcalfe et al. 2003; Abdo et al. 2009b)
and test for quantum gravity effects (e.g., Mattingly 2005; Abdo et al. 2009a; Scargle et al. 2008; Amelino-Camelia et al. 1998; Abdo et al. 2009c; Amelino-Camelia & Smolin 2009).
Up to the end of January 2010, fourteen GRBs have been detected by
both instruments and localized by the LAT: GRB 080825C (Bouvier et al. 2008; Abdo et al. 2009d), GRB 080916C (Abdo et al. 2009c), GRB 081024B (Omodei 2008), GRB 081214 (Wilson-Hodge et al. 2008), GRB 090217 (Ohno et al. 2008), GRB 090323 (Ohno et al. 2009), GRB 090328 (McEnery et al. 2009b), GRB 090510 (Abdo et al. 2009a; Ohno & Pelassa 2009), GRB 090626 (Piron et al. 2009),
GRB 090902B (Abdo et al. 2009b; de Palma et al. 2009b), GRB 090926A (Bissaldi 2009; Uehara et al. 2009),
GRB 091003 (McEnery et al. 2009a), GRB 091031 (Palma et al. 2009), and
GRB 100116A (McEnery et al. 2010).
Twelve are long duration GRBs and two have reported durations
compatible with the short burst class (GRBs 081024B
and 090510). The redshifts of five of these bursts have been
determined and range from z=0.736 to z=4.35 0.15 (Rau et al. 2009b; Cucchiara et al. 2009; Updike et al. 2009b; Cenko et al. 2009; Chornock et al. 2009; Greiner et al. 2009a; Malesani et al. 2009).
Among the most impressive of these events are GRB 080916C (Abdo et al. 2009c) and GRB 090510 (Abdo et al. 2009a).
GRB 080916C is a long bright GRB for which the prompt emission
spectrum could be fit over six decades in energy by the empirical Band
function (see Abdo et al. 2009c, for detailed results). The burst was found to have a high photometric redshift of z=4.35 0.15 via ground-based follow up observations (Greiner et al. 2009a).
The distance information enabled the determination of the rest frame
properties, energetics, and the placing of lower limits on the bulk
Lorentz factor of the outflow (
)
(Greiner et al. 2009a; Abdo et al. 2009c). GRB 090510 is a short burst with a
of 2.1 s and from which a 31 GeV photon was detected (Abdo et al. 2009a). The distance determination (Rau et al. 2009b) and high energy emission allow a limit to be placed on photon dispersion (Abdo et al. 2009a). Moreover, very recently a 33 GeV photon was detected from GRB 090902B (Abdo et al. 2009b) and this burst is at redshift z = 1.822 (Cucchiara et al. 2009). Clearly, the distance determination via optical spectroscopy is crucial to the interpretation of these events.
We report on the optical and near-infrared (NIR) observations of
the afterglow of four bursts with high energy emission,
GRB 090323, GRB 090328, GRB 090510 and GRB 090902B
and compare them to the sample of GRB afterglows to date. Furthermore
we also report on the spectroscopic redshift determination for
GRB 090328 and GRB 090510. Throughout the paper, we adopt
concordance CDM cosmology (
,
,
H0=71 km s-1 Mpc-1), and the convention that the flux density of the GRB afterglow can be described as
2 Observations
2.1 GRB 090323
At 00:02:42.63 UT on 23 March 2009, Fermi GBM triggered and located the long burst GRB 090323 (Ohno et al. 2009). An excess of 5
was detected by the LAT and the burst was localized to RA(J2000),
dec(J2000) = 190.69, +17.08 degrees with a 68%
containment radius of 0.09
.
Furthermore, it was reported that emission continued up to a few kiloseconds post trigger (Ohno et al. 2009).
A triangulation by the Inter Planetary Network localized the burst
to an arc which intersected the GBM and LAT positions (Hurley et al. 2009). Swift carried out a Target of Opportunity observation
h post burst and
a fading afterglow was found (Kennea et al. 2009a; Perri & Stratta 2009).
Updike et al. (2009b) observed the position of the X-ray afterglow with the Gamma-ray Burst Optical/Near-infrared Detector (GROND) in 7 bands
27 h after the burst and detected a source for which they reported a preliminary photometric redshift of 4.0
0.3 (see below). Chornock et al. (2009) reported a spectroscopic redshift of z=3.57
based on observations of the optical afterglow using the Gemini
Multi-Object Spectrograph (GMOS) mounted on the Gemini South Telescope.
The GRB was also detected in the radio band (van der Horst 2009; Harrison et al. 2009).
Using the reported spectral parameters (Bissaldi et al. 2010)
and a redshift of z = 3.57 (Chornock et al. 2009)
is 4.1
1054 erg in the 1 keV to 10 MeV range, or 5.1
1054 erg in the 1 keV to 10 GeV range with a restframe peak energy of 2.7
0.2 MeV. The
is one of the highest ever measured even rivals GRB 080916C for the most energetic GRB.
The field of GRB 090323 was observed simultaneously in 7 bands (
)
by GROND, mounted at the 2.2 m MPG/ESO telescope at La Silla Observatory, Chile (Greiner et al. 2008)
and using the Schmidt-camera at the Alfred-Jensch telescope of the
Thüringer Landessternwarte Tautenburg (TLS), Germany. GROND and TLS
observations started on 24th March 2009, 27 h and
45 h after the GBM trigger, respectively (Updike et al. 2009b; Kann et al. 2009c). Observations continued in the upcoming nights (Kann et al. 2009d,b) and the last GROND epoch was obtained
days after T0. The best optical position of the afterglow measured in the
band
against the SDSS catalogue is RA(J2000) = 12:42:50.28,
dec(J2000) = +17:03:11.9 with systematic and statistical
uncertainties of
in each coordinate. A finding chart of the afterglow is shown in Fig. 1.
![]() |
Figure 1: GROND finding chart for
the afterglow of GRB 090323. The main panel shows the field of
GRB 090323 taken 3.5 days post burst. The field shown has 4 |
Open with DEXTER |
2.2 GRB 090328
At 09:36:46 UT on 28 March 2009, Fermi GBM triggered and
located a long burst GRB 090328. The event was significantly
detected up to a few GeV at the 5 level by the Fermi/LAT and was localized to RA(J2000), dec(J2000) = 90.87, -41.95 with a 68% containment radius of 0.11 deg (McEnery et al. 2009b). The emission in the LAT was reported to last until about 900 s post trigger by Cutini et al. (2009). A Swift Target of Opportunity observation was initiated and XRT observations commenced
16 h post burst (Kennea 2009) and X-ray and bright UV/optical afterglow candidates were subsequently reported by Kennea et al. (2009b) and Oates (2009). A spectrum of the optical afterglow was taken with the GMOS instrument mounted on the Gemini South Telescope (Cenko et al. 2009) and the redshift was reported to be z=0.736. Further photometric observations of the afterglow were reported in the optical (Allen et al. 2009) and optical/NIR with GROND (Updike et al. 2009a, see below) and additionally in the radio band (Frail et al. 2009).
The time averaged spectrum (T0+3.1 to T0+29.7 s) of the prompt emission was reported by GBM to be best fit by a Band function with indices
0.02 and
0.1, a peak energy of
45 keV with an event fluence of (
)
10-5 erg/cm2 in the 8 keV to 40 MeV band (Rau et al. 2009a). Bissaldi et al. (2010) report that the spectrum (T0+0 to T0+66.6 s) is best fit by a power-law with exponential cut off. The index of the power-law is -1.07
0.02 and the peak energy is 744
+50-47 keV. At a redshift of 0.736, these spectral parameters correspond to
in the 1 keV to 10 MeV range of 1.0
1053 erg and 1.0
1053 erg in the 1 keV to 10 GeV band with a restframe peak energy of
MeV.
Optical/NIR follow-up observations by GROND started 1.6 days post
trigger. The afterglow was detected in all seven bands consistent with
the reported redshift (Updike et al. 2009a).
In addition, GROND imaged the field of GRB 090328
at 2.5, 3.5, 4.5, 6.5 and 11.5 days after the trigger. The
best optical position of the afterglow measured in the band
against the USNO-B1 catalog is RA(J2000) = 06:02:39.69,
dec(J2000) = -41:42:54.9 with systematic uncertainties of
in
each coordinate. The position of the host galaxy is RA(J2000) =
06:02:39.69, dec(J2000) = -41:52:55.1 and therefore the distance
of the afterglow from the host is
.
A finding chart of the afterglow is shown in Fig. 2.
Spectroscopy of the afterglow was performed on 2009 March 30.01 UT ( days post burst) using the FOcal Reducer and low dispersion Spectrograph 1 (FORS1; Appenzeller et al. 1998) at the 8 m ESO-VLT UT2 telescope (Programme ID: 083.D-0903). Observations were obtained using the 600B and 600R grisms,
providing a spectral resolution of roughly 5 Å full width at half
maximum. Two 1800 s integrations were taken in each of the
two grisms.
![]() |
Figure 2: GROND finding chart for
the afterglow of GRB 090328. The main panel shows the field of
GRB 090328 taken 1.5 days post burst. The field shown has 4 |
Open with DEXTER |
2.3 GRB 090510
At 00:23:00 UT on 10 May 2009 the Swift BAT triggered and located GRB 090510 (Hoversten et al. 2009). The burst also triggered Fermi/GBM (Guiriec et al. 2009) and other instruments (Ohmori et al. 2009; Giuliani et al. 2010; Golenetskii et al. 2009; Longo et al. 2009). The duration (
s) and the negligible spectral lags below
1 MeV
of the event make it consistent with the class of short bursts (Abdo et al. 2009a).
Significant emission was detected by the LAT (Ohno & Pelassa 2009; Omodei et al. 2009).
The time integrated spectrum using Fermi GBM and LAT data is best fit by two spectral components, a Band function with the Epeak = 3.9
0.3 MeV and a power-law at high energies. The total isotropic energy is (
1053 erg (10 keV-30 GeV)
(Abdo et al. 2009a). The event was also detected at 5
significance at energies above 100 MeV by AGILE GRID (Giuliani et al. 2010; Longo et al. 2009).
Swift slewed after 91 s and observations with the XRT and UVOT revealed an uncatalogued source (Marshall & Hoversten 2009). The XRT light curve was reported to be fading (Grupe & Hoversten 2009) and the UVOT afterglow candidate was confirmed by Olofsson et al. (2009) using the Nordic Optical Telescope. Kuin et al. (2009) report that the afterglow of GRB 090510 is detected in almost all UVOT filters which implies that the redshift is less than about 1.5 (Kuin & Hoversten 2009). See also De Pasquale et al. (2010).
GROND imaged the field of GRB 090510 starting 6.18 h after the Swift and Fermi triggers. At that point the position of the GRB was becoming visible above the pointing constraints of the telescope (Olivares et al. 2009b).
Therefore GROND images taken in the first two hours suffer from high
airmass and moderate image quality. Observations continued for 4 h
until local twilight and were resumed in the following night for
1.5 h. In the first epoch, the afterglow is detected in the
optical channels, while the
band
yield only upper limits and the second epoch only yield upper limits on
the afterglow flux. The position of the optical transient associated
with GRB 090510 is measured against USNO-B1 to RA(J2000) =
22:14:12.54, dec(J2000) = -26:34:59.1 with errors of
in
each coordinate. In both epochs a nearby, extended object with
coordinates of RA(J2000) = 22:14:12.56, dec(J2000) =
-26:34:58.7 at a distance of
with
respect to the afterglow is clearly detected. Given the low spatial
separation both objects are blended in the first epoch. A finding
chart of the field of GRB 090510 is shown in Fig. 3.
Spectroscopy of the host galaxy of GRB 090510 was performed ( days post burst) using FORS2 (Appenzeller et al. 1998) at the 8 m ESO-VLT UT1 telescope (Programme ID: 083.D-0903(A)). Observations were obtained using the 300I grism, providing a spectral resolution of
Å FWHM. Three 1800 s integrations were taken. The preliminary analysis and redshift z=0.903 was reported by Rau et al. (2009b). We note that the redshift of this galaxy is consistent with the afterglow colours detected by UVOT (Kuin et al. 2009). Additionally, spectroscopy of the source located 5
south of the GRB host galaxy was performed
days post burst using FORS2 (300V grism),
which yields a redshift consistent with that of the GRB host.
Two 1800 s integrations were taken of this object.
![]() |
Figure 3:
GROND finding chart for the afterglow of GRB 090510. The main
panel shows the field of GRB 090510 taken 1.4 days post burst. The
field shown has 4 |
Open with DEXTER |
2.4 GRB 090902B
At 11:05:08.31 UT on 2 September 2009 Fermi GBM triggered on a long, bright, hard burst GRB 090902B (trigger 273582310/090902462) (Bissaldi & Connaughton 2009). The burst was localized by
/LAT to RA(J2000), dec(J2000) = 265.00, 27.33 with a statistical uncertainty of only 0.06 degrees (de Palma et al. 2009b) and Target of Opportunity observations were initiated with the near-field instruments on Swift
12.5 h post-trigger. A candidate X-ray afterglow within the LAT error circle was reported by Kennea & Stratta (2009) and subsequently confirmed to be fading (Stratta et al. 2009). Optical detections were reported by a number of observers (Perley et al. 2009a; Pandey et al. 2009; Swenson & Stratta 2009; Guidorzi et al. 2009; Swenson & Siegel 2009), in the NIR (Olivares et al. 2009a) and in the radio (Chandra & Frail 2009; van der Horst et al. 2009). The afterglow redshift of z = 1.822 was obtained from an afterglow absorption spectrum by Cucchiara et al. (2009) using the GMOS spectrograph. Based on the spectral parameters (de Palma et al. 2009a), the isotropic energy released is
1054 in the 1 keV to 10 MeV range and 3.54
1054 erg
in the 1 keV to 10 GeV band. An excess of emission in
addition to the Band function at both low energies
50 keV and above
100 MeV was reported by Abdo et al. (2009b).
GROND imaged the field of GRB 090902B starting h after the Fermi
trigger when the position of the GRB was becoming visible above the
pointing constraints of the telescope. At the time of the first
epoch observations, only the LAT localization with 3.5 arcmin
uncertainty was available. The afterglow location was outside the
narrower (5.4
5.4
)
optical field of view (FoV) but within the larger NIR FoV (10
10
)
(Olivares et al. 2009a). Observations continued in the following nights by GROND and an additional VLT/FORS2 R band observation was executed at
23 days
post trigger (ESO DDT Proposal number: 283.D-5059). A finding
chart of the field of GRB 090902B is shown in Fig. 4.
![]() |
Figure 4:
GROND/VLT finding chart for the afterglow of GRB 090902B. The main panel shows the field of GRB 090902B in the |
Open with DEXTER |
3 Analysis
GROND optical/NIR data were reduced and analyzed in standard manner using pyraf/IRAF tasks (Tody 1993). A detailed description of the reduction and relative photometry can be found in Krühler et al. (2008). In the afterglow-dominated regime we used PSF fitting techniques to derive the brightness of the optical transient. These were complemented by standard aperture photometry, which yields consistent results. The magnitudes of the GRB host galaxies were measured using aperture photometry with an appropriate aperture correction. In addition, SExtractor (Bertin & Arnouts 1996) was used to perform host photometry, again with consistent results to the reported aperture photometry.
Absolute photometry in
-bands was obtained against the
magnitudes of the Sloan Digital Sky Survey (SDSS DR7, Abazajian et al. 2009) for all bursts. SDSS field stars in the vicinity of GRB 090323 (Updike et al. 2009b)
were used for GRBs 090323 and 090328. Both bursts were
observed with GROND consecutively in 5 different nights, out of
which 4 where photometric. The obtained calibration is consistent
between all epochs. The field of GRB 090510 was calibrated against
the primary Sloan Standards SA 114-750 and 114-650 and their SDSS field
stars. Absolute photometry of the afterglow of GRB 090902B was
obtained against a nearby SDSS field observed under photometric
conditions.
absolute
photometry was measured against the magnitudes of selected stars in the
field of GRBs 090323, 090328, 090510 and 090902B from the 2MASS
catalogue (Skrutskie et al. 2006). This procedure results in a typical absolute accuracy of 0.04 mag in
, 0.06 mag in JH and 0.08 in
,
which was added quadratically to the statistical error in the analysis
of the broadband spectral energy distribution. TLS data of
GRB 090323 was reduced in a standard manner with MIDAS and IRAF
and calibrated against six SDSS stars in the field-of-view, where we
derived
magnitudes using the transformations of Lupton from 2005
.
The standard stars were measured with SExtractor, and afterglow
magnitudes were derived using aperture photometry. All magnitudes are
corrected for the expected Galactic reddening in the direction of the
bursts (Schlegel et al. 1998), which is
EB-V=0.03 mag for GRB 090323,
EB-V=0.06 mag for GRB 090328,
EB-V=0.02 mag for GRB 090510, and
EB-V=0.04 mag for GRB 090902B, respectively. All magnitudes are quoted in the AB system throughout this paper.
The FORS1+2 spectroscopy data were reduced with standard IRAF routines,
and spectra were extracted using an optimal (variance-weighted) method.
The observations were obtained with a long slit of 1
0 width
and corrected for slit losses due to finite slit width.
Spectro-photometric calibrations were carried out using observations of
the standard stars EG 274 and LTT 7379 (Hamuy et al. 1992) for the observations of GRB 090328 and GRB 090510, respectively.
4 Results
4.1 The afterglow of GRB 090323
4.1.1 Light curve
The GROND and TLS multicolor light curve of the optical/NIR afterglow starting at T0+95 ks is presented in Fig. 5
and is well described with a single power-law plus a superimposed bump
component and a constant host contribution dominating at later times (
d.o.f.).
All available optical/NIR data were fitted simultaneously, allowing for
a color change in the bump and host dominated regime. The initial
power-law decay slope is
0.01, with no sign of an additional break at later times. The host magnitudes in the
bands are not constrained by the data and have been fixed. Similarly, the flare is unconstrained in the H and
bands. The host galaxy of GRB 090323 was detected in the
and
bands but the stellar mass is not constrained by the optical identification (magnitudes
0.15 and
0.18)
obtained by GROND because observations probe the rest-frame UV, where
the mass-to-light ratio can vary by a factor of more than 100.
![]() |
Figure 5: GROND optical/NIR and TLS optical light curve of the afterglow of GRB 090323. The data are fitted with a power-law, superimposed bump and constant host component. Late upper limits are not shown to enhance clarity. |
Open with DEXTER |
4.1.2 Spectral energy distribution
The multi-band spectral energy distribution (SED) of the afterglow of GRB 090323 is shown in Fig. 6. It is well fit with a power-law of index
0.13 and a small amount of Small Magellanic Cloud (SMC)-like dust extinction (Bouchet et al. 1985) with
(
d.o.f.). A pure power-law does not provide an acceptable fit (
d.o.f.), and Large Magellanic Cloud (LMC) (Fitzpatrick 1986) and Milky Way (MW) (Seaton 1979) dust models are strongly ruled out because of the absence of the 2200 Å feature, which would be in the
band at this redshift. The flux difference between the extrapolation of the SED defined from
to the
and the
and
bands is nicely consistent with the spectroscopic redshift of z=3.57.
The final photo-z obtained with the calibrated GROND data is
3.44+0.18-0.16.
![]() |
Figure 6:
GROND broadband spectral energy distribution of the afterglows of
GRB 090323, GRB 090328 and GRB 090902B. Note that the |
Open with DEXTER |
In the standard fireball model (see e.g. Mészáros 2006; Piran 2004, for reviews) the spectral index,
of the afterglow is connected to the temporal index,
,
via the closure relations. These depend on the type of circumburst
medium, location of the characteristic frequencies in the synchrotron
spectrum, and the evolutionary stage of the afterglow (e.g. Rees & Meszaros 1998; Panaitescu et al. 2006; Zhang et al. 2006; Racusin et al. 2009; Sari et al. 1998; Panaitescu 2005; Chevalier & Li 2000; Zhang & Mészáros 2004).
However, afterglow light curves often display complex temporal
behaviour with shallow decays, plateaus, rebrightenings, flares or
smooth breaks such that limited sampling strongly affects the inferred
light-curve slope (e.g. Lipkin et al. 2004; Nousek et al. 2006; Evans et al. 2009; Greiner et al. 2009b).
Hence, here and later, we derive the spectral index from the optical to
NIR SED, and use the temporal index from the light curve fitting and
the closure relations to obtain constraints on the jet properties.
In particular, for a constant spectral index and value
of p, the expected light curve slopes significantly differ (
is
between 0.5 and 1.3 depending on the model) between the pre
and post jet break evolution, which facilitates a reliable
discrimination between these two regimes.
For GRB 090323, the obtained spectral index
0.13 is compatible with the observational frequency
being between the typical synchrotron frequency
and the cooling frequency
for an ISM (density n = const.) or wind (
) environment.
The power-law decay index of the light curve, ,
is expected to be
1 in the pre-jet break, ISM case and is not compatible with the observations. A value of
2.3 is obtained in a post-jet break evolution with significant lateral spreading of the ejecta,
(both ISM and wind Chevalier & Li 2000), and
1.7 (ISM) or
(wind) if lateral spreading of the ejecta is not considered (Panaitescu 2005).
The latter case (post-jet break without spreading) is compatible within
with the observed
while the case with spreading is compatible at the 2
level. In the above cases the electron spectral index p can be derived from
and a value of p=2.3
0.3 is obtained.
The value of for
GRB 090323 indicates that the jet break occurred before the start of
the observations. However it is not possible to distinguish between the
ISM and wind environments. The post-jet evolution implies that the half
opening angle of the jet is smaller than
in an ISM-type circumburst environment (Sari et al. 1999; Frail et al. 2001). The beaming corrected energy emitted in
-rays
(1 keV to 10 GeV) of GRB 090323 is thus
1051 erg. In a wind environment (Chevalier & Li 2000) the opening angle of the jet would be
and the beaming corrected energy would be
1051 erg. (1 keV to 10 GeV). The following values are assumed throughout the paper
.
4.2 The afterglow and host galaxy of GRB 090328
4.2.1 Light curve
The GROND multicolor light curve of the afterglow of GRB 090328 starting at T0+137 ks is presented in Fig. 7 and is remarkably similar to that of GRB 090323 (Fig. 5). It is well described with a single power-law of index
0.04, which is typical of a post-jet break slope (Zeh et al. 2006), plus a superimposed bump component and a constant host contribution dominating at later times (
= 35/39 degrees of freedom). There is minor evidence for a slightly redder spectra in the bump component peaking at
350 ks
post burst, but given the uncertainties in the measurement however,
the spectral index is consistent with the afterglow slope at the
level.
![]() |
Figure 7:
GROND optical/NIR light curve of the afterglow of GRB 090328. The
data are fitted with a power-law, superimposed bump and constant host
component. All parameters are left free in the fit except the |
Open with DEXTER |
4.2.2 Spectral energy distribution
The broadband SED of the afterglow was constructed from data taken in
the first epoch where the last epoch was used as a reference frame.
Subtracting the host fluxes was performed using two methods: firstly
the fluxes from the light curve fitting were used and directly
subtracted from the first epoch magnitudes, where measurement errors
were propagated accordingly. For the band, where the host is undetected, we used the mean flux between the H band detection and
band
upper limits with errors over the complete range. The effect of the
host magnitude error on the afterglow SED, however, is negligible as
its uncertainty is dominated by the absolute photometric accuracy.
Secondly, the reference frame was subtracted from the 1st epoch
image in each band, and magnitudes were derived using the difference
image directly. Both methods resulted in consistent results.
As the second method tends to underestimate the true photon noise
in the image, results from the direct flux difference with propagated
errors are used in the following.
The afterglow SED was fitted using a power-law modified by dust reddening as shown in Fig. 6. A pure power-law provides a reasonably good fit to the data with a
of 4.5/5 d.o.f. The resulting power-law index of
,
however would be surprisingly red, both theoretically (Sari et al. 1998) and observationally (Kann et al. 2009a,2006) if it were intrinsic to the afterglow. In fact, a small amount of extinction of
mag with a SMC type dust attenuation law provides a better fit (
= 2.6/4 d.o.f.) and a more typical spectral power-law index of
.
Though statistically not necessarily required, it seems thus very
likely that there is mild reddening by dust in the circumburst
environment. Due to the redshift of z=0.7354,
the optical data obtained hardly probe the rest frame
UV regime and do not probe the region of the
2200 Å bump. Therefore, LMC and MW dust models cannot be
distinguished and return comparable results, with spectral indices of
,
and
between 0 and 0.4 mag.
A spectral index of
is only consistent with temporal index
0.04 in a post jet break evolution and the ISM or wind, slow cooling case in the spectral regime above the cooling frequency
(Zhang & Mészáros 2004; Sari et al. 1998; Chevalier & Li 2000). In this case the electron energy index p is
as obtained from the spectral index. Hence, the observations
indicate, that the jet break must have occurred before the first GROND
observations. This yields an upper limit of
or
(Sari et al. 1999; Frail et al. 2001), which constrains
(1 keV to 10 GeV) to
1050 erg for an ISM or
1050 erg for a wind type environment.
4.2.3 The host galaxy of GRB 090328
The optical spectrum of the afterglow of GRB 090328 is presented in Fig. 9 and
shows a strong [OII]
emission line, with a flux
10-17 erg cm-2 s-1. We possibly detect a weak, if there, [NeIII]
emission with a flux nearly consistent with zero within the large uncertainties
10-17 erg cm-2 s-1.
The [OII] luminosity
1041 erg s-1 would give a star formation rate SFR =
yr-1, not corrected for dust extinction (the SFR conversion derived for GRB hosts is from Savaglio et al. 2009). A mild dust extinction correction with
gives SFR =
yr-1. This is about a factor of two higher than the mean
=
yr-1 derived for a sample 43 GRB hosts in the redshift interval 0<z<3.4 (Savaglio et al. 2009),
and about one order of magnitude higher than in the LMC. The spectrum
as been corrected for slit losses, however we note that the star
formation rate quoted above is a fraction of the total and that the
true SFR may be slightly higher.
The spectrum has a number of absorption lines at the same redshift of
the [OII] line, associated with FeII, MnII, MgII, MgI and CaII. We
derived column densities using the curve-of-growth analysis (Spitzer 1978), and cross-checked the results with the apparent optical-depth method (Savage & Sembach 1991). Identification, rest-frame equivalent width EWr and measured column densities are in Table 1. The effective Doppler parameter given by the best fit is, independently for FeII and MnII,
km s-1.
We used this value to derive the column density for MgI and CaII.
We estimate a very uncertain iron-to-manganese relative abundance
[Fe/Mn] =
0.08+0.53-0.37. No intervening absorption systems have been identified. The redshift obtained from the optical spectrum is
z = 0.7354
0.0003.
Table 1: Absorption lines in the afterglow spectrum of GRB 090328.
![]() |
Figure 8: Broadband spectral energy distributions of the host galaxies of GRB 090328 and GRB 090510 and host galaxy templates from hyperZ (Bolzonella et al. 2000). |
Open with DEXTER |
![]() |
Figure 9:
VLT/FORS1 spectrum of the afterglow of GRB 090328 obtained |
Open with DEXTER |
The SED of the host galaxy of GRB 090328 is presented in Fig. 8 and was fit using hyperZ (Bolzonella et al. 2000) and models from Bruzual & Charlot (2003).
The fitted galaxy spectral templates include elliptical, different
types of early and late spirals, irregular and starburst galaxies at
various ages and different star formation rates and solar metallicity.
In addition, the spectral templates were modified by an
extinction term, resembling the dust attenuation law of the SMC. The
redshift of the galaxy was fixed at z=0.7354, which is consistent with the apparent 4000 Å Balmer break being within the band.
The host galaxy of GRB 090328 is best fit with a starburst galaxy
template, but all other templates provide acceptable fits. Similar to
the afterglow SED, there is evidence for dust reddening from the host
observations of the order of
in the starburst galaxy
(although
is not well constrained), with a best-fit age of the dominant stellar population of
50 Myr. By folding the restframe best-fit template spectrum with a typical B and K filter response, we derive absolute AB magnitudes of the host galaxy of GRB 090328 of
MB =-20.67 and
MK = -20.17, well within the samples of previous long GRB host galaxies (e.g., Christensen et al. 2004; Savaglio et al. 2009).
The stellar mass of the host can be approximated from the best fitting template to
.
When using the empirical relation derived by Savaglio et al. (2009) between K-band absolute magnitude and stellar mass:
we derive


Using the galaxy distribution function in the corresponding redshift interval from
z=0.6-0.8 from Willmer et al. (2006)
to compare the host's absolute magnitudes to the population of field
galaxies, the luminosity of the GRB host is estimated to
.
We obtain a dust-corrected star formation rate per unit luminosity of SFR/LB
10
yr
-1 L*-1 for this host
galaxy. Hence, the specific star formation rate in the host galaxy of
GRB 090328 is consistent with the values for the long bursts
presented by Berger (2009).
![]() |
Figure 10:
VLT/FORS2 300I spectrum of the host galaxy of GRB 090510 obtained |
Open with DEXTER |
4.3 The afterglow and host galaxy of GRB 090510
4.3.1 Afterglow and host association
The properties of the afterglow of GRB 090510 are not well
constrained due its faintness at the time of the GROND observation and
the blending with the nearby galaxy. Fitting the afterglow SED with a
reddened power-law results in an unconstrained power-law index, and
a 3 upper limit for the intrinsic extinction of
mag,
assuming an SMC-type extinction law. MW- or LMC-type extinction cannot
be distinguished and result in comparable values for
and AV.
The putative host galaxy at a distance of 1
2,
corresponding to a projected distance of 9.4 kpc from the
afterglow to the brightest emission in the nearby galaxy, has
- and
-band magnitude of 23.4 and 22.3 mag, respectively and extends to the afterglow position in the GROND images of 0
9 seeing (Fig. 3). According to object counts from the Hubble Ultra Deep Field (Beckwith et al. 2006) and the GOODS (Giavalisco et al. 2004)
one would statistically expect less than 0.008 unrelated objects
of similar brightness at this distance to the afterglow, corresponding
to a chance probability of
%. For comparison, the chance coincidence probability for the galaxies
5
south and
8
west of the afterglow are
7%, and
30% respectively.
In the merger of two compact objects, the progenitors may be kicked
outside their host galaxy at scales of 1-100 kpc, with a
distribution peaking at several kpc for different galaxies and merger
conditions (Fryer et al. 1999).
Most of the convincing host galaxy associations however are found for
host positions which coincide or overlap with the afterglow (e.g., Levan et al. 2006a; Troja et al. 2008; Kann et al. 2008; Fox et al. 2005). Short burst host samples show a typical offset of 0
-3
with clustering at small values (Berger et al. 2007; D'Avanzo et al. 2009) indicating that a large kick might not be a dominant process. Recently, based on HST observations of ten short burst hosts, Fong et al. (2010)
report that the median offset of short GRBs from their host galaxies is
5 kpc and based on a larger sample of short bursts they report
that 25% of bursts have projected offsets of less than
10 kpc. The host galaxy of GRB 090510 certainly falls within
this distribution. Berger et al. (2007) argue that even fainter, undetected galaxies at low redshifts
are very unlikely to host the dominant fraction of short GRBs. Also in
the case of GRB 090510, direct observations of the optical
afterglow place a strong constraint of z<1.5 of the redshift (Kuin et al. 2009).
Given that the observed properties of the closeby galaxy fit very well
into previous samples of short burst host galaxies in terms of
brightness and redshift (e.g., Berger et al. 2007; Savaglio et al. 2009),
and the probability of chance association is very low, this galaxy can
be confidently associated with the burst and is hence very likely the
host of GRB 090510.
We further report that the redshift of the galaxy 5
south obtained using VLT/FORS
is the same as that of the host galaxy based on the detection of [OII] and H
emission lines. Using a distance scale of 7.8 kpc/
this translates to a projected distance of
kpc
and suggests that the host and this galaxy are part of a group or
cluster association. Consequently in the unlikely event that this
second galaxy were indeed the host galaxy, the distance to the source
would therefore remain unchanged. The source to the east
8
away appears stellar and all the remaining nearby bright galaxies have chance coincidence probabilities of order
100%.
4.3.2 The host galaxy of GRB 090510
The spectrum is presented in Fig. 10 and has a relatively weak [OII]
emission line, with a flux
10-17 erg cm-2 s-1 (Table 2). The weaker H
flux is
10-17 erg cm-2 s-1. The redshift obtained from the optical spectrum is 0.903
0.001.
The [OII] and H
luminosities are
1040 erg s-1 and
1040 erg s-1, respectively. The star formation rate, not corrected for dust extinction, derived from the [OII] luminosity is SFR =
yr-1, consistent with the SFR =
yr-1 derived from the H
luminosity. The SFR conversions are those proposed by Savaglio et al. (2009) for GRB hosts. The derived value is one order of magnitude lower than the mean SFR measured in long GRB hosts (Savaglio et al. 2009) and consistent with relatively faint UV emission derived from the SED of the host (Fig. 8) and at the lower end of the distribution of SFRs of short GRBs (Berger 2009). Correcting for dust extinction yields a star formation rate of
yr-1.
We note as in the case of GRB 090328, the spectrum as been
corrected for slit losses, however we note that the star formation rate
quoted above is a fraction of the total and that the true SFR may be
slightly higher.
The SED fitting for the host of GRB 090510 has been performed in a similar manner to that of
GRB 090328 (Sect. 4.2.3). The redshift of the galaxy was fixed to the spectroscopic value of z=0.903.
Again all galaxy templates provide an acceptable fit, where the best
fit is obtained with an elliptical galaxy. We note that the SFR is in
the range of local star-forming elliptical galaxies (Huang & Gu 2009). From the best fit we derive AB absolute magnitudes
MB =-19.91 and
MK = -20.51, and slight evidence for a dust extinction reddening similar to the SMC with a visual extinction of
.
The stellar mass of the host can be estimated directly from the galaxy templates to
.
The dust-corrected star formation rate per unit mass is 0.04 to 0.15 Gyr-1, significantly below
that of the host galaxy of GRB 090328.
Using the galaxy distribution function in the corresponding redshift interval from z=0.8-1 from Willmer et al. (2006), the luminosity of the GRB host is estimated to
,
and we obtain a dust-corrected star formation rate per unit luminosity of SFR/LB
2
yr
-1 L*-1 for this host galaxy, consistent with the albeit wide range of SFR/L* values for the short bursts presented by Berger (2009).
Table 2: Emission lines detected in the spectrum of GRB 090510 corrected for Galactic extinction.
4.4 The afterglow of GRB 090902B
4.4.1 Light curve
The early (
t<T0+1.10 Ms) GROND multi-color light
curve of the optical/NIR afterglow of GRB 090902B is well fit by a
single power-law of index
0.02. A late epoch of imaging obtained with the VLT 23 days
after the burst indicates a break in the light curve at the
level.
No further follow-up observations could be performed due to the
proximity of the GRB field to the Sun. Consequently the light
curve coverage at late times is sparse and the evolution not fully
conclusive. Fixing the late slope to a conventional post jet break
slope of
with a relatively sharp break as shown in Fig. 11 results in a break time of
Ms (
d.o.f.).
![]() |
Figure 11: GROND and VLT optical/NIR light curve of GRB 090902B. The data are fitted with a broken power-law. Due to the proximity of the source to the sun, the light curve coverage is sparse at later times, and the evolution is ambigous. There is however indication of a break at around 1.5 Ms post burst. Shown is the fit with a fixed late slope and relatively sharp break. |
Open with DEXTER |
4.4.2 Spectral energy distribution
The optical/NIR SED of the afterglow of GRB 090902B is well described with a simple power-law template (Fig. 6). The spectral index is
,
with 3
upper limits of the intrinsic visual extinction of
with an SMC/LMC type reddening and
assuming a MW-like dust attenuation law.
This is in agreement with the light curve slope of
in the fireball model, which is typical for a pre-jet break evolution
with an ISM surrounding and with an observational frequency
between
and
.
Following Sari et al. (1999) and Frail et al. (2001), the half opening angle for a break time of
Ms would be
,
or setting
Ms as a conservative lower limit
.
Together with the energetics of the prompt emission, this implies a beaming corrected energy of
1052 erg. We note that a wind environment would significantly relax the lower bounds on the opening angle and thus
,
however it is not consistent with the expectations for
and
in the standard models. The power-law index p of the electron population is then
p = 2.58+0.10-0.38 as obtained from the
spectral index which is in reasonable agreement with the values
estimated from the early LAT emission under the assumption that it
is generated by an external forward shock (Kumar & Barniol Duran 2009a).
![]() |
Figure 12: The afterglows of the Fermi/LAT-detected GRBs in comparison with a sample of over 120 well observed afterglows detected until May 2009 (Kann et al. 2009a,2006,2008). GROND and TLS data only are presented for the the long Fermi bursts while the early data points from GRB 090510 are from UVOT (Kuin & Hoversten 2009) and include a point from Olofsson et al. (2009). All afterglows have been corrected for Galactic extinction and for host-galaxy contribution, where applicable. All afterglows have been additionally corrected for host-galaxy extinction, and have been shifted to a redshift of z=1. Long GRBs are shown as light grey lines, whereas short GRBs are thicker grey lines with symbols. Squares are detections, and downward pointing triangles upper limits. |
Open with DEXTER |
5 Discussion
We have presented the optical and NIR follow-up observations of four bursts with high energy emission detected by Fermi/LAT and spectroscopic investigations of two of those events. Since the end of the commissioning phase Fermi/GBM has detected several hundred GRBs, many of which were in the field of view of the LAT instrument, however only fourteen of those have been also detected in by LAT (up to the end of January 2010). Follow-up of these bursts is of special interest due to the broadband coverage of the prompt emission (keV to GeV) which allows the spectral properties and energetics of these events to be constrained. It is noteworthy that the redshifts of bursts detected in the GeV regime by the LAT range from the relatively low-redshift GRB 090328 to the high-reshift of GRB 080916C and that the long bursts have high fluences and very high isotropic gamma-ray energies (although GRB 090328 has a smaller isotropic energy release due to its lower redshift). The properties of these events presented in this paper and another Fermi/LAT event, GRB 080916C, including their afterglows and energetics are summarized in Table 3.
Three of the bursts presented in this paper belong to the class of long gamma-ray bursts while GRB 090510 is a short burst. The existence of two classes of gamma-ray bursts has been established for some time (e.g., Norris et al. 1984; Mazets et al. 1981; Hurley 1992; Kouveliotou et al. 1993). It is generally accepted that long GRBs have their origins in massive star progenitors because of their association with core-collapse supernovae (SNe) (e.g. Malesani et al. 2004; Hjorth et al. 2003; Galama et al. 1998; Zeh et al. 2004) and occurrence in star-forming galaxies (Bloom et al. 2002) and in highly star-forming regions therein (Fruchter et al. 2006). For a recent review of gamma-ray bursts see Vedrenne & Atteia (2009).
The origin of short GRBs is still open, with mergers of compact objects being the leading concept (e.g., Levan et al. 2006b; Eichler et al. 1989; Gehrels et al. 2005; Hjorth et al. 2005; Fox et al. 2005). For a recent review of short bursts and their progenitors see Nakar (2007) and Lee & Ramirez-Ruiz (2007). In contrast to long GRBs, the afterglows of the short bursts are generally fainter (Nysewander et al. 2009; Kann et al. 2008),
making it difficult to obtain an absorption line spectrum of the
afterglow itself. Almost exclusively, the distances to short bursts are
obtained by associations with and observations of the (putative) host
galaxies (e.g., Graham et al. 2009; Berger 2009). See however Levan et al. (2007). One possible exception is the case of GRB 090426 at z=2.609 (Antonelli et al. 2009; Zhang et al. 2009; Levesque et al. 2010)
for which absorption line spectroscopy of the afterglow was
successfully obtained, but may be considered on balance by the authors
to be associated with the population of long gamma-ray bursts. The host
galaxies of the short bursts were found initially to be mostly
elliptical galaxies, e.g., GRB 050509B (Gehrels et al. 2005; Bloom et al. 2006) and GRB 050724 (Gorosabel et al. 2006; Berger et al. 2005)
and that an old progenitor population was required.
However, as the sample has since increased, all types of galaxies,
from elliptical to star-forming, have been found to be associated with
short bursts and the majority of short bursts are now found to reside
in star forming galaxies (e.g., Berger et al. 2007; Prochaska et al. 2006; Berger 2009). A comparison of the short and long burst hosts by Berger (2009) revealed that the former have
higher luminosities, and that it is unlikely that both samples are drawn from the same underlying
galaxy distribution (p=10-3) and that the short burst hosts properties match well to field galaxies in the range
.
Table 3: Summary of the burst properties of five Fermi/LAT bursts.
5.1 Afterglow properties and energetics
The bursts were followed up in the optical and NIR starting at times
ranging from 6 h to 1.6 days post trigger. In all cases
a bright afterglow was detected and followed for many days, with the
exception of GRB 090510 which was only detected on the first night
post-trigger. The afterglow light curves of the three long bursts are
well sampled in the seven GROND bands. The two March events are
well fit by power-laws with indices consistent with post-jet break
models constraining the opening angle to be before the start of GROND
observations. In the case of GRB 090323 the opening
angle (
)
is less than
while for GRB 090328 the observations began later and the opening angle (
)
is less than
.
The slope of the afterglow decay of GRB 090902B is flatter and
consistent with a pre-jet break value, constraining the opening
angle (
)
of the jet to be
.
Knowledge of the opening angle allows us to correct the isotropic energy and calculate limits on
,
the beaming corrected energy release in
-rays (Sari et al. 1999; Frail et al. 2001). The
of
GRBs 090323 and 090328 is in a range compatible with the majority
of GRBs observed to date. In the case of GRB 090902B,
the late break places at least a lower limit on the opening angle
and therefore a very large beaming corrected energy output of
1052 erg is obtained. To date this is one of the largest values of
measured and indicates that the large
values of Fermi/LAT GRBs are not always due to a narrow opening angle where we happen to be located in the cone. The value of
obtained for the three long bursts ranges from less than 5
1050 erg to greater than 2
1052 erg, spanning over a factor of at least 30. Values in excess of 1052 erg have been reported for another Fermi/LAT detected burst (Greiner et al. 2009a) and a number of Swift bursts (Cenko et al. 2010a) and indicate that the distribution of
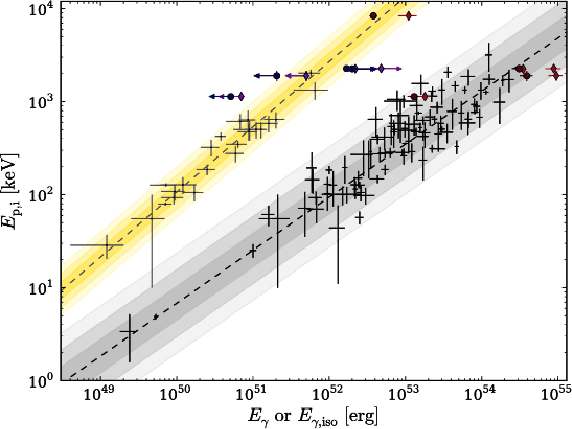
is broad and not compatible with a standard candle (Bloom et al. 2003; Frail et al. 2001). Furthermore these very luminous GRBs with high values of the redshift corrected
are not compatible with the
relationship as shown in Fig. 13 which was obtained for GRBs with in general lower values of the peak energy (Ghirlanda et al. 2004; Campana et al. 2007). While being consistent with the Amati (
) relation at the
level (see also Amati et al. 2009), albeit with a large scatter (see also e.g. Butler et al. 2007), all four LAT bursts are inconsistent with the Ghirlanda relation (Ghirlanda et al. 2004) at
using a standard approach. Two GRBs (080916C and 090902B) have too large beaming corrected
for their
,
while
for GRBs 090323 and 090328 is too high to fit the Ghirlanda
relation. In the earlier case, subtracting the energy in the additional
power-law component of the prompt emission (Abdo et al. 2009b), a wind environment, or a two-component model could possibly relax the constraints on
directly (extra-component) or indirectly by reducing the lower limit on
the opening angle (Wind-case), or by disconnecting the beaming of
the prompt emission from the late afterglow (two-component model).
Although somewhat contrived, multi-component jets (e.g. Racusin et al. 2008; Berger et al. 2003; Krühler et al. 2009a) would allow the
-ray
emission to be tighter collimated than the late afterglow, and hence
reduce the measure on the opening angle obtained from the afterglow
light-curve to an upper limit. Similar arguments can not be invoked for
GRBs 090323 and 090328, where the latter one in particular is
a significant outlier from the
relationship (Fig. 13).
![]() |
Figure 13:
Amati and Ghirlanda relation challenged by Fermi/LAT bursts. The black crosses, the black dashed line, and the grey shaded areas represent the data and best-fit
|
Open with DEXTER |
5.2 Host properties
Host galaxies were detected for two of the long bursts,
GRBs 090323 and 090328, and the short burst GRB 090510.
The host galaxy of GRB 090323 was detected in the
and
bands
but further constraints could not be obtained due to the faintness of
the source and the high redshift. The host galaxy of GRB 090328 is
best fit with a burst galaxy template (although all other templates
provide acceptable fits) and the absolute magnitudes are comparable
with previous long GRB host galaxies (e.g., Christensen et al. 2004; Savaglio et al. 2009). A dust-corrected star-formation rate of
yr-1, as well as the star formation rate per unit mass (2.8 Gyr-1) and per unit luminosity (
10
yr
-1 L*-1) derived from the afterglow spectrum are consistent with the long burst sample (Berger 2009; Savaglio et al. 2009).
The host galaxy of GRB 090510 was detected by GROND and a spectrum
was obtained by the VLT. A star formation rate of
Gyr-1
(not corrected for dust) was derived and the host galaxy is best
fit by an elliptical template, however all templates provide acceptable
fits. The dust-corrected star formation rate per unit luminosity of
2
yr
-1 L*-1 for this host galaxy is consistent with the values for the short bursts presented by Berger (2009). The properties of the host galaxies of two bursts with high-energy emission detected by Fermi/LAT, the long burst GRB 090328 and the short burst GRB 090510, are not exceptional with respect to pre-Fermi samples.
5.3 Optical afterglows of LAT-detected GRBs in comparison with the previous sample
![]() |
Figure 14: The afterglow brightness at day 2 of four long Fermi/LAT-detected GRBs in comparison with a sample of over 70 well observed afterglows of long GRBs detected until May 2009 (Kann et al. 2009a,2006). The comparison sample comprises 50 Swift-era and 21 pre-Swift afterglows. |
Open with DEXTER |
With knowledge of the distance from the redshift determination and the local dust extinction from the SED fitting, we are able to compare the afterglows of our sample of LAT-detected GRBs (where we also include GRB 080916C, Greiner et al. 2009a) with a large sample of well observed GRB afterglows presented in Kann et al. (2006) (pre-Swift long GRBs), Kann et al. (2009a) (Swift-era long GRBs) and Kann et al. (2008) (Swift-era short GRBs). Using the method detailed in Kann et al. (2006), the afterglows are corrected for host-galaxy extinction and all shifted to a common redshift of z=1, so they can be compared directly both in terms of temporal evolution as well as luminosity. The LAT-detected-GRB afterglows are shown in comparison to the total sample in Fig. 12.
In comparison to the sample of long GRB afterglows, the three afterglows presented in this work as well as GRB 080916C are seen to be diverse. The optical afterglow of GRB 090323, especially at early times, is one of the most luminous afterglows ever detected. The steep decay from discovery on gives it a more typical luminosity at later times. The afterglow of GRB 080916C lies close to the mean of the sample distribution. At discovery, the afterglow of GRB 090328 has a similar luminosity, but again, a steep decay from the onset implies that it becomes much less luminous at later times. The afterglow of GRB 090902B has a flatter slope and the very late break causes it to be one of the most luminous afterglows known at late times.
Observationally, however, the four optical afterglows of the long Fermi/LAT bursts are exceptionally bright. The histogram of observed magnitudes from the sample in Fig. 12 is shown in Fig. 14
at a common time of 2 days after the trigger in the observers
frame. At this time, all four bursts are brighter than the mean
brightness (
)
of the Swift-era
comparison sample. Furthermore, the sample is not complete, comprising
50 out of a total of 370 bursts with X-ray afterglows as a
rough indicator for observability between the launch of Swift
and May 2009. Accounting for the observational bias, and assuming
in the extreme case that the comparison sample is complete at the
bright end of the distribution, then all four LAT afterglows would
lie in the brightest 5%, with GRB 090328 being the brightest
(top 2%, i.e. 8th brightest of Swift-era or 16th of all afterglows).
In comparison to the afterglows of other short GRBs (grey lines), it can be seen that the afterglow of GRB 090510 is among the most luminous (in agreement with its extreme prompt energy release, Abdo et al. 2009a, and the correlation between prompt energy release and afterglow luminosity, Gehrels et al. 2008; Nysewander et al. 2009; Kann et al. 2008), at least at early times. After just a few hours, it goes over into a steep, probably post-jet break decay, and at one day, its luminosity is comparable to the few other short GRB afterglows detected at this time. The upper limit derived from the second GROND epoch is not restrictive.
The host galaxy extinction found in all three long GRB afterglows lies within the range of
which is typical for bright optical/NIR afterglows (Kann et al. 2009a), with no extinction detected in the case of GRB 080916C (Greiner et al. 2009a).
The intrinsic spectral slopes
are also diverse, with that of GRB 090328 being a typical value for an afterglow with a cooling break
redwards of the optical/NIR regime, while the obtained
optical/NIR data for GRBs 090323 and 090902B very
probably probe the spectral region of
.
5.4 Bumps in the afterglow light curves
Variability superimposed on to a power-law decay as seen in GRBs 090323 and 090328 (Figs. 5 and 7) is frequently observed in well sampled optical afterglow light curves (e.g., Greiner et al. 2003; Lazzati et al. 2002; Lipkin et al. 2004; Krühler et al. 2009b; Perley et al. 2008; Updike et al. 2008).
Given the low amplitude, smooth structure, time, and roughly equal
color to the power-law component, the observed variability in the light
curve of GRB 090323 is most likely related to a process intrinsic
to the generic forward shock or the circumburst medium, and not to late
inner engine activity. The most commonly inferred mechanism for
producing variability as observed in the optical afterglow of
GRB 090323 is additional energy injected into the afterglow via
refreshed shocks (Rees & Meszaros 1998),
although an internal origin, i.e. an optical flare related to late
central engine activity can not be ruled out. In GRB 090328 there
is minor evidence for a slightly redder spectra in the bump component
peaking at 350 ks
post burst, which would support a different origin of the observed
variability than forward shock emission. Given the uncertainties in the
measurement however, the spectral index is consistent with the
afterglow slope at the
level.
Various models are emerging which explain delayed GeV with respect to the keV-MeV emission in Fermi bursts, among others an external shock model (e.g. Kumar & Barniol Duran 2009b; Ghisellini et al. 2010) or a hadronic model (Razzaque et al. 2009). Razzaque et al. (2009)
demonstrate that synchrotron radiation from cosmic-ray protons
accelerated in a GRB, delayed by the proton synchrotron cooling
timescale in a jet of magnetically-dominated shocked plasma moving at
highly relativistic speeds, explains the delayed GeV emission as
observed in many Fermi/LAT bursts. A second generation
prompt electron synchrotron component from attenuated proton
synchrotron radiation makes enhanced soft X-ray to MeV gamma-ray
emission, which is, however, too weak to be detected. In this
scenario the implicit assumption is made that the outflow impacts
either a previously ejected shell or a pre-existing uniform density
medium with an extent of
cm.
For a 3 s delay in GRB 090323/28 this corresponds
to a light travel time of 8-10 days, surprisingly similar to the
timing of the bump in the optical/NIR light curve as observed with
GROND. It is conceivable that the delayed GeV emission and
the late, likely achromatic bumps in the afterglow light curve of GRBs
could be related. One possible scenario would be Compton scattering of
this proton synchrotron emission at the shell material, thus creating
an achromatic bump with a power-law of photon index -2
(or even steeper) depending on the efficiency of the scattering.
We note however, that density enhancements in the circumburst medium
alone can not account for significant rebrightnings or strong bumps
observed in optical afterglow light curves (Nakar & Granot 2007).
To reproduce the observed variability in optical afterglow light
curves, a second process is required, possibly the variation of
the microphysical shock parameters along the shock condition as
suggested by Kong et al. (2010).
6 Conclusion
We have presented the multi-colour afterglow observations of four
bursts with high energy emission including three long and one short
burst. In addition, we present spectroscopic observations and
redshift determinations of two of these bursts. It is now possible
for the first time to combine the high energy information from the
prompt emission with the afterglow, host galaxy and redshifts of these
sources. Follow-up of GRBs detected by Fermi with the seven band imager, GROND, allows simultaneous determination of the temporal, ,
and spectral,
,
indices of the burst afterglows. The long bursts exhibit power-law decay indices (
)
from less than 1 to
2.3 and spectral indices (
)
from 0.65 to
1.2
which are fairly standard for GRB afterglows. Moreover,
an estimation of the jet break time is vital to determine the
broadband properties and energetics of these events. The redshifts of
the long bursts span the range from 0.7354 to 3.57 and the
beaming corrected energies differ by a factor of at least
30 with a value of
2.2
1052 erg
for GRB 090902B and are not compatible with a standard candle.
Interestingly, the higher redshift bursts detected by the LAT are
very luminous in the keV-MeV region of the prompt spectrum, have
high
and
and
also exceptionally bright afterglows. The lower redshift
GRB 090328 is the exception in this respect, with a more
standard
as compared to Swift
GRBs. The host galaxies of GRB 090328 and GRB 090510 fit well
within the distributions of the long and short burst host galaxies
respectively. Future photometric and spectroscopic follow-up of these
rare Fermi bursts with high-energy emission is crucial to further investigate the energetics and host galaxies of a larger sample.
Based on observations made with ESO Telescopes at the Paranal Observatories under programme ID 083.D-0903 and 283.D-5059. We thank the staff at the European Southern Observatory for the generous allocation of observing time and execution of observations. In particular we thank Tim de Zeeuw, Andreas Kaufer, Michael Sterzik, Cedric Ledoux, Thomas Rivinius, Chris Lidman, F. J. Selman and I. Condor. Part of the funding for GROND (both hardware as well as personnel) was generously granted from the Leibniz-Prize to Prof. G. Hasinger (DFG grant HA 1850/28-1). S.M.B. acknowledges support of a European Union Marie Curie European Reintegration Grant within the 7th Program under contract number PERG04-GA-2008-239176. T.K. acknowledges support by the DFG cluster of excellence Origin and Structure of the Universe. D.A.K. acknowledges support by the Thüringer Landessternwarte Tautenburg, and thanks S. Stecklum for observing time, as well as U. Laux and F. Ludwig for performing the observations. We thank the anonymous referee for comments which helped to improved the paper.
Note added in proof. We note the publication of three relevant papers since the submission of this paper: Pandey et al. (2010), Rau et al. (2010) and Cenko et al. (2010b).
References
- Abazajian, K. N., Adelman-McCarthy, J. K., Agüeros, M. A., et al. 2009, ApJS, 182, 543 [NASA ADS] [CrossRef] [Google Scholar]
- Abdo, A. A., Ackermann, M., Ajello, M., et al. 2009a, Nature, 462, 331 [NASA ADS] [CrossRef] [PubMed] [Google Scholar]
- Abdo, A. A., Ackermann, M., Ajello, M., et al. 2009b, ApJ, 706, L138 [NASA ADS] [CrossRef] [Google Scholar]
- Abdo, A. A., Ackermann, M., Arimoto, M., et al. 2009c, Science, 323, 1688 [Google Scholar]
- Abdo, A. A., Ackermann, M., Asano, K., et al. 2009d, ApJ, 707, 580 [NASA ADS] [CrossRef] [Google Scholar]
- Allen, B., Yock, P., de Ugarte Postigo, A., et al. 2009, GRB Coordinates Network, 9058 [Google Scholar]
- Amati, L., Frontera, F., & Guidorzi, C. 2009, A&A, 508, 173 [NASA ADS] [CrossRef] [EDP Sciences] [Google Scholar]
- Amati, L., Guidorzi, C., Frontera, F., et al. 2008, MNRAS, 391, 577 [NASA ADS] [CrossRef] [MathSciNet] [Google Scholar]
- Amelino-Camelia, G., & Smolin, L. 2009, Phys. Rev. D, 80, 084017 [NASA ADS] [CrossRef] [Google Scholar]
- Amelino-Camelia, G., Ellis, J., Mavromatos, N. E., Nanopoulos, D. V., & Sarkar, S. 1998, Nature, 393, 763 [NASA ADS] [CrossRef] [Google Scholar]
- Antonelli, L. A., D'Avanzo, P., Perna, R., et al. 2009, A&A, 507, L45 [NASA ADS] [CrossRef] [EDP Sciences] [Google Scholar]
- Appenzeller, I., Fricke, K., Fürtig, W., et al. 1998, The Messenger, 94, 1 [NASA ADS] [Google Scholar]
- Atwood, W. B., et al. 1994, Nuclear Instruments and Methods in Physics Research A, 342, 302 [NASA ADS] [CrossRef] [Google Scholar]
- Atwood, W. B., Abdo, A. A., Ackermann, M., et al. 2009, ApJ, 697, 1071 [NASA ADS] [CrossRef] [Google Scholar]
- Barthelmy, S. D., Barbier, L. M., Cummings, J. R., et al. 2005, Space Sci. Rev., 120, 143 [NASA ADS] [CrossRef] [Google Scholar]
- Beckwith, S. V. W., Stiavelli, M., Koekemoer, A. M., et al. 2006, AJ, 132, 1729 [NASA ADS] [CrossRef] [Google Scholar]
- Berger, E. 2009, ApJ, 690, 231 [NASA ADS] [CrossRef] [Google Scholar]
- Berger, E., Kulkarni, S. R., Pooley, G., et al. 2003, Nature, 426, 154 [NASA ADS] [CrossRef] [PubMed] [Google Scholar]
- Berger, E., Price, P. A., Cenko, S. B., et al. 2005, Nature, 438, 988 [NASA ADS] [CrossRef] [PubMed] [Google Scholar]
- Berger, E., Fox, D. B., Price, P. A., et al. 2007, ApJ, 664, 1000 [NASA ADS] [CrossRef] [Google Scholar]
- Bertin, E., & Arnouts, S. 1996, A&AS, 117, 393 [NASA ADS] [CrossRef] [EDP Sciences] [Google Scholar]
- Bissaldi, E. 2009, GRB Coordinates Network, 9933 [Google Scholar]
- Bissaldi, E., & Connaughton, V. 2009, GRB Coordinates Network, 9866 [Google Scholar]
- Bissaldi, E., et al. 2010 [arXiv:1002.4194] [Google Scholar]
- Bloom, J. S., Kulkarni, S. R., & Djorgovski, S. G. 2002, AJ, 123, 1111 [NASA ADS] [CrossRef] [Google Scholar]
- Bloom, J. S., Frail, D. A., & Kulkarni, S. R. 2003, ApJ, 594, 674 [NASA ADS] [CrossRef] [Google Scholar]
- Bloom, J. S., Prochaska, J. X., Pooley, D., et al. 2006, ApJ, 638, 354 [NASA ADS] [CrossRef] [Google Scholar]
- Bolzonella, M., Miralles, J.-M., & Pelló, R. 2000, A&A, 363, 476 [NASA ADS] [Google Scholar]
- Bouchet, P., Lequeux, J., Maurice, E., Prevot, L., & Prevot-Burnichon, M. L. 1985, A&A, 149, 330 [NASA ADS] [Google Scholar]
- Bouvier, A., Band, D., Bregeon, J., et al. 2008, GRB Coordinates Network, 8183 [Google Scholar]
- Bruzual, G., & Charlot, S. 2003, MNRAS, 344, 1000 [NASA ADS] [CrossRef] [Google Scholar]
- Burrows, D. N., Hill, J. E., Nousek, J. A., et al. 2005, Space Sci. Rev., 120, 165 [NASA ADS] [CrossRef] [Google Scholar]
- Butler, N. R., Kocevski, D., Bloom, J. S., & Curtis, J. L. 2007, ApJ, 671, 656 [NASA ADS] [CrossRef] [Google Scholar]
- Campana, S., Guidorzi, C., Tagliaferri, G., et al. 2007, A&A, 472, 395 [NASA ADS] [CrossRef] [EDP Sciences] [Google Scholar]
- Cenko, S. B., Bloom, J. S., Morgan, A. N., & Perley, D. A. 2009, GRB Coordinates Network, 9053 [Google Scholar]
- Cenko, S. B., Frail, D. A., Harrison, F. A., et al. 2010a, ApJ, 711, 641 [NASA ADS] [CrossRef] [Google Scholar]
- Cenko, S. B., Frail, D. A., Harrison, F. A., et al. 2010b, ApJ, submitted [arXiv:1004.2900] [Google Scholar]
- Chandra, P., & Frail, D. A. 2009, GRB Coordinates Network, 9889 [Google Scholar]
- Chevalier, R. A., & Li, Z. 2000, ApJ, 536, 195 [NASA ADS] [CrossRef] [Google Scholar]
- Chornock, R., Perley, D. A., Cenko, S. B., & Bloom, J. S. 2009, GRB Coordinates Network, 9028 [Google Scholar]
- Christensen, L., Hjorth, J., & Gorosabel, J. 2004, A&A, 425, 913 [NASA ADS] [CrossRef] [EDP Sciences] [Google Scholar]
- Cucchiara, A., Fox, D. B., Tanvir, N., & Berger, E. 2009, GRB Coordinates Network, 9873 [Google Scholar]
- Cutini, S., Vasileiou, V., & Chiang, J. 2009, GRB Coordinates Network, 9077 [Google Scholar]
- D'Avanzo, P., Malesani, D., Covino, S., et al. 2009, A&A, 498, 711 [NASA ADS] [CrossRef] [EDP Sciences] [Google Scholar]
- de Jager, O. C., & Stecker, F. W. 2002, ApJ, 566, 738 [NASA ADS] [CrossRef] [Google Scholar]
- de Palma, F., Bissaldi, E., Tajima, H., et al. 2009a, GRB Coordinates Network, 9872 [Google Scholar]
- de Palma, F., Bregeon, J., & Tajima, H. 2009b, GRB Coordinates Network, 9867 [Google Scholar]
- De Pasquale, M., Schady, P., Kuin, N. P. M., et al. 2010, ApJ, 709, L146 [NASA ADS] [CrossRef] [Google Scholar]
- Eichler, D., Livio, M., Piran, T., & Schramm, D. N. 1989, Nature, 340, 126 [NASA ADS] [CrossRef] [Google Scholar]
- Evans, P. A., Beardmore, A. P., Page, K. L., et al. 2009, MNRAS, 397, 1177 [NASA ADS] [CrossRef] [Google Scholar]
- Finke, J. D., Razzaque, S., & Dermer, C. D. 2010, ApJ, 712, 238 [NASA ADS] [CrossRef] [Google Scholar]
- Fitzpatrick, E. L. 1986, AJ, 92, 1068 [NASA ADS] [CrossRef] [Google Scholar]
- Fong, W., Berger, E., & Fox, D. B. 2010, ApJ, 708, 9 [NASA ADS] [CrossRef] [Google Scholar]
- Fox, D. B., Frail, D. A., Price, P. A., et al. 2005, Nature, 437, 845 [NASA ADS] [CrossRef] [PubMed] [Google Scholar]
- Frail, D. A., Chandra, P., & Cenko, B. 2009, GRB Coordinates Network, 9060 [Google Scholar]
- Frail, D. A., Kulkarni, S. R., Sari, R., et al. 2001, ApJ, 562, L55 [NASA ADS] [CrossRef] [Google Scholar]
- Fruchter, A. S., Levan, A. J., Strolger, L., et al. 2006, Nature, 441, 463 [NASA ADS] [CrossRef] [PubMed] [Google Scholar]
- Franceschini, A., Rodighiero, G., & Vaccari, M. 2008, A&A, 487, 837 [NASA ADS] [CrossRef] [EDP Sciences] [Google Scholar]
- Fryer, C. L., Woosley, S. E., & Hartmann, D. H. 1999, ApJ, 526, 152 [NASA ADS] [CrossRef] [Google Scholar]
- Fynbo, J. P. U., Jakobsson, P., Prochaska, J. X., et al. 2009, ApJS, 185, 526 [NASA ADS] [CrossRef] [Google Scholar]
- Galama, T. J., Vreeswijk, P. M., van Paradijs, J., et al. 1998, Nature, 395, 670 [NASA ADS] [CrossRef] [Google Scholar]
- Gehrels, N., Barthelmy, S. D., Burrows, D. N., et al. 2008, ApJ, 689, 1161 [NASA ADS] [CrossRef] [Google Scholar]
- Gehrels, N., Chincarini, G., Giommi, P., et al. 2004, ApJ, 611, 1005 [NASA ADS] [CrossRef] [Google Scholar]
- Gehrels, N., Sarazin, C. L., O'Brien, P. T., et al. 2005, Nature, 437, 851 [NASA ADS] [CrossRef] [PubMed] [Google Scholar]
- Ghirlanda, G., Ghisellini, G., & Lazzati, D. 2004, ApJ, 616, 331 [NASA ADS] [CrossRef] [Google Scholar]
- Ghirlanda, G., Nava, L., Ghisellini, G., & Firmani, C. 2007, A&A, 466, 127 [NASA ADS] [CrossRef] [EDP Sciences] [Google Scholar]
- Ghisellini, G., Ghirlanda, G., Nava, L., & Celotti, A. 2010, MNRAS, 403, 926 [NASA ADS] [CrossRef] [Google Scholar]
- Giavalisco, M., Ferguson, H. C., Koekemoer, A. M., et al. 2004, ApJ, 600, L93 [NASA ADS] [CrossRef] [Google Scholar]
- Giuliani, A., Fuschino, F., Vianello, G., et al. 2010, ApJ, 708, L84 [NASA ADS] [CrossRef] [Google Scholar]
- Giuliani, A., Mereghetti, S., Fornari, F., et al. 2008, A&A, 491, L25 [NASA ADS] [CrossRef] [EDP Sciences] [Google Scholar]
- Golenetskii, S., Aptekar, R., Mazets, S., et al. 2009, GRB Coordinates Network, 9344 [Google Scholar]
- González, M. M., Dingus, B. L., Kaneko, Y., et al. 2003, Nature, 424, 749 [NASA ADS] [CrossRef] [PubMed] [Google Scholar]
- Gorosabel, J., Castro-Tirado, A. J., Guziy, S., et al. 2006, A&A, 450, 87 [NASA ADS] [CrossRef] [EDP Sciences] [Google Scholar]
- Graham, J. F., Fruchter, A. S., Levan, A. J., et al. 2009, ApJ, 698, 1620 [NASA ADS] [CrossRef] [Google Scholar]
- Greiner, J., Klose, S., Reinsch, K., et al. 2003, Nature, 426, 157 [NASA ADS] [CrossRef] [PubMed] [Google Scholar]
- Greiner, J., Bornemann, W., Clemens, C., et al. 2008, PASP, 120, 405 [NASA ADS] [CrossRef] [Google Scholar]
- Greiner, J., Clemens, C., Krühler, T., et al. 2009a, A&A, 498, 89 [NASA ADS] [CrossRef] [EDP Sciences] [Google Scholar]
- Greiner, J., Krühler, T., McBreen, S., et al. 2009b, ApJ, 693, 1912 [NASA ADS] [CrossRef] [Google Scholar]
- Grupe, D., & Hoversten, E. 2009, GRB Coordinates Network, 9341 [Google Scholar]
- Guidorzi, C., Tanvir, N. R., Cano, Z., et al. 2009, GRB Coordinates Network, 9875 [Google Scholar]
- Guiriec, S., Connaughton, V., & Briggs, M. 2009, GRB Coordinates Network, 9336 [Google Scholar]
- Hamuy, M., Walker, A. R., Suntzeff, N. B., et al. 1992, PASP, 104, 533 [NASA ADS] [CrossRef] [Google Scholar]
- Hanlon, L. O., Bennett, K., Collmar, W., et al. 1994, A&A, 285, 161 [NASA ADS] [Google Scholar]
- Harrison, F., Cenko, B., Frail, D. A., Chandra, P., & Kulkarni, S. 2009, GRB Coordinates Network, 9043 [Google Scholar]
- Hjorth, J., Sollerman, J., Møller, P., et al. 2003, Nature, 423, 847 [NASA ADS] [CrossRef] [PubMed] [Google Scholar]
- Hjorth, J., Watson, D., Fynbo, J. P. U., et al. 2005, Nature, 437, 859 [NASA ADS] [CrossRef] [PubMed] [Google Scholar]
- Hoversten, E. A., Barthelmy, S. D., Burrows, D. N., et al. 2009, GRB Coordinates Network, 9331 [Google Scholar]
- Huang, S., & Gu, Q. 2009, MNRAS, 398, 1651 [NASA ADS] [CrossRef] [Google Scholar]
- Hurley, K. 1992, in AIP, ed. W. S. Paciesas, & G. J. Fishman, 265, 3 [Google Scholar]
- Hurley, K., Dingus, B. L., Mukherjee, R., et al. 1995, Nature, 374, 94 [NASA ADS] [Google Scholar]
- Hurley, K., Goldsten, J., von Kienlin, A., et al. 2009, GRB Coordinates Network, 9023, 1 [NASA ADS] [Google Scholar]
- Kaneko, Y., González, M. M., Preece, R. D., Dingus, B. L., & Briggs, M. S. 2008, ApJ, 677, 1168 [NASA ADS] [CrossRef] [Google Scholar]
- Kann, D. A., Klose, S., & Zeh, A. 2006, ApJ, 641, 993 [NASA ADS] [CrossRef] [Google Scholar]
- Kann, D. A., Klose, S., Zhang, B., et al. 2008 [arXiv:0804.1959] [Google Scholar]
- Kann, D. A., Klose, S., Zhang, B., et al. 2009a [arXiv:0712.2186v2] [Google Scholar]
- Kann, D. A., Laux, U., Ludwig, F., & Stecklum, S. 2009b, GRB Coordinates Network, 9063 [Google Scholar]
- Kann, D. A., Laux, U., & Stecklum, S. 2009c, GRB Coordinates Network, 9033 [Google Scholar]
- Kann, D. A., Laux, U., & Stecklum, S. 2009d, GRB Coordinates Network, 9041 [Google Scholar]
- Kashlinsky, A., Arendt, R. G., Mather, J., & Moseley, S. H. 2005, Nature, 438, 45 [NASA ADS] [CrossRef] [PubMed] [Google Scholar]
- Kennea, J. 2009, GRB Coordinates Network, 9045 [Google Scholar]
- Kennea, J., & Stratta, G. 2009, GRB Coordinates Network, 9868 [Google Scholar]
- Kennea, J., Evans, P., & Goad, M. 2009a, GRB Coordinates Network, 9024 [Google Scholar]
- Kennea, J., Evans, P., & Goad, M. 2009b, GRB Coordinates Network, 9046 [Google Scholar]
- Kneiske, T. M., Bretz, T., Mannheim, K., & Hartmann, D. H. 2004, A&A, 413, 807 [NASA ADS] [CrossRef] [EDP Sciences] [Google Scholar]
- Kong, S. W., Wong, A. Y. L., Huang, Y. F., & Cheng, K. S. 2010, MNRAS, 402, 409 [NASA ADS] [CrossRef] [Google Scholar]
- Kouveliotou, C., Meegan, C. A., Fishman, G. J., et al. 1993, ApJ, 413, L101 [NASA ADS] [CrossRef] [Google Scholar]
- Krühler, T., Küpcü Yoldas, A., Greiner, J., et al. 2008, ApJ, 685, 376 [NASA ADS] [CrossRef] [Google Scholar]
- Krühler, T., Greiner, J., Afonso, P., et al. 2009a, A&A, 508, 593 [NASA ADS] [CrossRef] [EDP Sciences] [Google Scholar]
- Krühler, T., Greiner, J., McBreen, S., et al. 2009b, ApJ, 697, 758 [NASA ADS] [CrossRef] [Google Scholar]
- Kuin, N. P. M., & Hoversten, E. A. 2009, GRB Coordinates Network, 9342 [Google Scholar]
- Kuin, N. P. M., Oates, S., de Pasquale, M., Hoversten, E. A., & Marshall, F. 2009, GRB Coordinates Network, 9351 [Google Scholar]
- Kumar, P., & Barniol Duran, R. 2009a [arXiv:0910.5726] [Google Scholar]
- Kumar, P., & Barniol Duran, R. 2009b, MNRAS, 400, L75 [NASA ADS] [CrossRef] [Google Scholar]
- Lazzati, D., Rossi, E., Covino, S., Ghisellini, G., & Malesani, D. 2002, A&A, 396, L5 [NASA ADS] [CrossRef] [EDP Sciences] [Google Scholar]
- Lee, W. H., & Ramirez-Ruiz, E. 2007, New J. Phys., 9, 17 [NASA ADS] [CrossRef] [Google Scholar]
- Levan, A. J., Tanvir, N. R., Fruchter, A. S., et al. 2006a, ApJ, 648, L9 [NASA ADS] [CrossRef] [Google Scholar]
- Levan, A. J., Wynn, G. A., Chapman, R., et al. 2006b, MNRAS, 368, L1 [NASA ADS] [CrossRef] [Google Scholar]
- Levan, A. J., Jakobsson, P., Hurkett, C., et al. 2007, MNRAS, 378, 1439 [NASA ADS] [CrossRef] [Google Scholar]
- Levesque, E. M., Bloom, J. S., Butler, N. R., et al. 2010, MNRAS, 401, 963 [NASA ADS] [CrossRef] [Google Scholar]
- Lipkin, Y. M., Ofek, E. O., Gal-Yam, A., et al. 2004, ApJ, 606, 381 [NASA ADS] [CrossRef] [Google Scholar]
- Longo, F., Moretti, E., Barbiellini, G., et al. 2009, GRB Coordinates Network, 9343 [Google Scholar]
- Malesani, D., Tagliaferri, G., Chincarini, G., et al. 2004, ApJ, 609, L5 [NASA ADS] [CrossRef] [Google Scholar]
- Malesani, D., Goldoni, P., Fynbo, J., et al. 2009, GRB Coordinates Network, 9942 [Google Scholar]
- Marshall, F. E., & Hoversten, E. A. 2009, GRB Coordinates Network, 9332 [Google Scholar]
- Mattingly, D. 2005, Living Reviews in Relativity, 8, 5 [NASA ADS] [Google Scholar]
- Mazets, E. P., Golenetskii, S. V., Ilyinskii, V. N., et al. 1981, Ap&SS, 80, 119 [NASA ADS] [CrossRef] [Google Scholar]
- McEnery, J., Chiang, J., & Hanabata, Y. 2009a, GCN Circular, 9985 [Google Scholar]
- McEnery, J., Cutini, S., Ohno, M., Koerding, E., & Connaughton, V. 2009b, GRB Coordinates Network, 9044 [Google Scholar]
- McEnery, J., Chiang, J., Omodei, N., & Nakamori, T. 2010, GCN Circular, 10333 [Google Scholar]
- Meegan, C., Lichti, G., Bhat, P. N., et al. 2009, ApJ, 702, 791 [NASA ADS] [CrossRef] [Google Scholar]
- Mészáros, P. 2006, Rep. Prog. Phys., 69, 2259 [NASA ADS] [CrossRef] [Google Scholar]
- Metcalfe, L., Kneib, J., McBreen, B., et al. 2003, A&A, 407, 791 [NASA ADS] [CrossRef] [EDP Sciences] [MathSciNet] [Google Scholar]
- Michelson, P. F. 1996, in SPIE Conf. 2806, ed. B. D. Ramsey, & T. A. Parnell, 31 [Google Scholar]
- Nakar, E. 2007, Phys. Rep., 442, 166 [NASA ADS] [CrossRef] [Google Scholar]
- Nakar, E., & Granot, J. 2007, MNRAS, 380, 1744 [NASA ADS] [CrossRef] [Google Scholar]
- Norris, J. P., Cline, T. L., Desai, U. D., et al. 1984, Nature, 308, 434 [NASA ADS] [CrossRef] [Google Scholar]
- Nousek, J. A., Kouveliotou, C., Grupe, D., et al. 2006, ApJ, 642, 389 [NASA ADS] [CrossRef] [Google Scholar]
- Nysewander, M., Fruchter, A. S., & Pe'er, A. 2009, ApJ, 701, 824 [NASA ADS] [CrossRef] [Google Scholar]
- Oates, S. R. 2009, GRB Coordinates Network, 9048 [Google Scholar]
- Ohmori, N., Noda, K., Sonoda, E., et al. 2009, GRB Coordinates Network, 9355 [Google Scholar]
- Ohno, M., & Pelassa, V. 2009, GRB Coordinates Network, 9334 [Google Scholar]
- Ohno, M., McEnery, J., & Pelassa, V. 2008, GRB Coordinates Network, 8903 [Google Scholar]
- Ohno, M., Cutini, S., McEnery, J., Chiang, J., & Koerding, E. 2009, GRB Coordinates Network, 9021 [Google Scholar]
- Olivares, F., Afonso, F., Greiner, J., et al. 2009a, GRB Coordinates Network, 9874 [Google Scholar]
- Olivares, F., Klose, S., Krühler, T., & Greiner, J. 2009b, GRB Coordinates Network, 9352 [Google Scholar]
- Olofsson, G., Ergon, M., Malesani, D., et al. 2009, GRB Coordinates Network, 9338, 1 [NASA ADS] [Google Scholar]
- Omodei, N. 2008, GRB Coordinates Network, 8407 [Google Scholar]
- Omodei, N., Granot, J., Meszaros, P., et al. 2009, GRB Coordinates Network, 9350 [Google Scholar]
- Palma, F. d., Bari, I., Omodei, N., McEnery, J., & Vasileiou, V. 2009, GCN Circular, 10163 [Google Scholar]
- Panaitescu, A. 2005, MNRAS, 362, 921 [NASA ADS] [CrossRef] [Google Scholar]
- Panaitescu, A., Mészáros, P., Gehrels, N., Burrows, D., & Nousek, J. 2006, MNRAS, 366, 1357 [NASA ADS] [CrossRef] [Google Scholar]
- Pandey, S. B., Zheng, W., Yuan, F., & Akerlof, C. 2009, GRB Coordinates Network, 9878 [Google Scholar]
- Pandey, S. B., Swenson, C. A., Perley, D. A., et al. 2010, ApJ, 714, 799 [NASA ADS] [CrossRef] [Google Scholar]
- Perley, D. A., Bloom, J. S., Butler, N. R., et al. 2008, ApJ, 672, 449 [NASA ADS] [CrossRef] [Google Scholar]
- Perley, D., Kleiser, I. K. W., & Rex, J. M. 2009a, GRB Coordinates Network, 9870 [Google Scholar]
- Perley, D. A., Cenko, S. B., Bloom, J. S., et al. 2009b, AJ, 138, 1690 [NASA ADS] [CrossRef] [Google Scholar]
- Perri, M., & Stratta, G. 2009, GRB Coordinates Network, 9031 [Google Scholar]
- Piran, T. 2004, Rev. Mod. Phys., 76, 1143 [Google Scholar]
- Piron, F., Longo, F., Iafrate, G., et al. 2009, GRB Coordinates Network, 9584 [Google Scholar]
- Polletta, M., Tajer, M., Maraschi, L., et al. 2007, ApJ, 663, 81 [NASA ADS] [CrossRef] [Google Scholar]
- Prochaska, J. X., Bloom, J. S., Chen, H.-W., et al. 2006, ApJ, 642, 989 [NASA ADS] [CrossRef] [Google Scholar]
- Racusin, J. L., Karpov, S. V., Sokolowski, M., et al. 2008, Nature, 455, 183 [Google Scholar]
- Racusin, J. L., Liang, E. W., Burrows, D. N., et al. 2009, ApJ, 698, 43 [NASA ADS] [CrossRef] [Google Scholar]
- Rau, A., Connaughton, V., & Briggs, M. 2009a, GRB Coordinates Network, 9057 [Google Scholar]
- Rau, A., McBreen, S., Krühler, T., & Greiner, J. 2009b, GRB Coordinates Network, 9353 [Google Scholar]
- Rau, A., Savaglio, S., Krühler, T., et al. 2010, ApJ, [arXiv:1004.3261] [Google Scholar]
- Razzaque, S., Dermer, C. D., & Finke, J. D. 2009 [arXiv:0908.0513] [Google Scholar]
- Rees, M. J., & Meszaros, P. 1998, ApJ, 496, L1 [NASA ADS] [CrossRef] [Google Scholar]
- Roming, P. W. A., Kennedy, T. E., Mason, K. O., et al. 2005, Space Sci. Rev., 120, 95 [NASA ADS] [CrossRef] [Google Scholar]
- Rossi, A., de Ugarte Postigo, A., Ferrero, P., et al. 2008, A&A, 491, L29 [NASA ADS] [CrossRef] [EDP Sciences] [Google Scholar]
- Salvaterra, R., Della Valle, M., Campana, S., et al. 2009, Nature, 461, 1258 [NASA ADS] [CrossRef] [PubMed] [Google Scholar]
- Sari, R., Piran, T., & Narayan, R. 1998, ApJ, 497, L17 [NASA ADS] [CrossRef] [Google Scholar]
- Sari, R., Piran, T., & Halpern, J. P. 1999, ApJ, 519, L17 [NASA ADS] [CrossRef] [Google Scholar]
- Savage, B. D., & Sembach, K. R. 1991, ApJ, 379, 245 [NASA ADS] [CrossRef] [Google Scholar]
- Savaglio, S., Glazebrook, K., & LeBorgne, D. 2009, ApJ, 691, 182 [NASA ADS] [CrossRef] [MathSciNet] [Google Scholar]
- Scargle, J. D., Norris, J. P., & Bonnell, J. T. 2008, ApJ, 673, 972 [NASA ADS] [CrossRef] [Google Scholar]
- Schlegel, D. J., Finkbeiner, D. P., & Davis, M. 1998, ApJ, 500, 525 [NASA ADS] [CrossRef] [Google Scholar]
- Seaton, M. J. 1979, MNRAS, 187, 73P [NASA ADS] [CrossRef] [Google Scholar]
- Skrutskie, M. F., Cutri, R. M., Stiening, R., et al. 2006, AJ, 131, 1163 [NASA ADS] [CrossRef] [Google Scholar]
- Spitzer, L. 1978, Physical processes in the interstellar medium (New York: Wiley) [Google Scholar]
- Stecker, F. W., Malkan, M. A., & Scully, S. T. 2006, ApJ, 648, 774 [NASA ADS] [CrossRef] [Google Scholar]
- Stratta, G., D'Elia, V., & Perri, M. 2009, GRB Coordinates Network, 9876 [Google Scholar]
- Swenson, C. A., & Siegel, M. H. 2009, GRB Coordinates Network, 9869 [Google Scholar]
- Swenson, C. A., & Stratta, G. 2009, GRB Coordinates Network, 9877 [Google Scholar]
- Tanvir, N. R., Fox, D. B., Levan, A. J., et al. 2009, Nature, 461, 1254 [NASA ADS] [CrossRef] [PubMed] [Google Scholar]
- Tinney, C., Stathakis, R., Cannon, R., & Galama, T. 1998, IAU Circ., 6896, 3 [Google Scholar]
- Tody, D. 1993, in Astronomical Data Analysis Software and Systems II, ed. R. J. Hanisch, R. J. V. Brissenden, & J. Barnes, ASP Conf. Ser., 52, [Google Scholar]
- Troja, E., King, A. R., O'Brien, P. T., Lyons, N., & Cusumano, G. 2008, MNRAS, 385, L10 [NASA ADS] [CrossRef] [Google Scholar]
- Uehara, T., Takahashi, H., & McEnery, J. 2009, GRB Coordinates Network, 9934 [Google Scholar]
- Updike, A. C., Haislip, J. B., Nysewander, M. C., et al. 2008, ApJ, 685, 361 [NASA ADS] [CrossRef] [Google Scholar]
- Updike, A., Klose, S., Clemens, C., & Greiner, J. 2009a, GRB Coordinates Network, 9054 [Google Scholar]
- Updike, A. C., Filgas, R., Krühler, T., Greiner, J., & McBreen, S. 2009b, GRB Coordinates Network, 9026 [Google Scholar]
- van der Horst, A. J. 2009, GRB Coordinates Network, 9047 [Google Scholar]
- van der Horst , A. J., Kamble, A. P., Wijers, R. A. M. J., & Kouveliotou, C. 2009, GRB Coordinates Network, 9883 [Google Scholar]
- Vedrenne, G., & Atteia, J. L. 2009, Gamma-ray Bursts: The brightest explosions in the Universe (Springer Praxis Books), Astronomy and Planetary Sciences Jointly published with Praxis Publishing [Google Scholar]
- Willmer, C. N. A., Faber, S. M., Koo, D. C., et al. 2006, ApJ, 647, 853 [NASA ADS] [CrossRef] [Google Scholar]
- Wilson-Hodge, C., Connaughton, V., Longo, F., & Omodei, N. 2008, GRB Coordinates Network, 8723 [Google Scholar]
- Zeh, A., Klose, S., & Hartmann, D. H. 2004, ApJ, 609, 952 [NASA ADS] [CrossRef] [Google Scholar]
- Zeh, A., Klose, S., & Kann, D. A. 2006, ApJ, 637, 889 [NASA ADS] [CrossRef] [Google Scholar]
- Zhang, B., & Mészáros, P. 2004, Int. J. Mod. Phys. A, 19, 2385 [NASA ADS] [CrossRef] [Google Scholar]
- Zhang, B., Fan, Y. Z., Dyks, J., et al. 2006, ApJ, 642, 354 [NASA ADS] [CrossRef] [Google Scholar]
- Zhang, B., Zhang, B., Virgili, F. J., et al. 2009, ApJ, 703, 1696 [NASA ADS] [CrossRef] [Google Scholar]
Footnotes
- ... galaxies
- Based on observations made with the ESO Telescopes at the La Silla Paranal Observatories under programme ID 083.D-0903 and 283.D-5059, the MPG/ESO 2.2 m Telescope at La Silla Observatory and the Schmidt telescope of the Thüringer Landessternwarte Tautenburg.
- ... 2005
- http://www.sdss.org/dr7/algorithms/sdssUBVRITransform.html#Lupton2005
All Tables
Table 1: Absorption lines in the afterglow spectrum of GRB 090328.
Table 2: Emission lines detected in the spectrum of GRB 090510 corrected for Galactic extinction.
Table 3: Summary of the burst properties of five Fermi/LAT bursts.
All Figures
![]() |
Figure 1: GROND finding chart for
the afterglow of GRB 090323. The main panel shows the field of
GRB 090323 taken 3.5 days post burst. The field shown has 4 |
Open with DEXTER | |
In the text |
![]() |
Figure 2: GROND finding chart for
the afterglow of GRB 090328. The main panel shows the field of
GRB 090328 taken 1.5 days post burst. The field shown has 4 |
Open with DEXTER | |
In the text |
![]() |
Figure 3:
GROND finding chart for the afterglow of GRB 090510. The main
panel shows the field of GRB 090510 taken 1.4 days post burst. The
field shown has 4 |
Open with DEXTER | |
In the text |
![]() |
Figure 4:
GROND/VLT finding chart for the afterglow of GRB 090902B. The main panel shows the field of GRB 090902B in the |
Open with DEXTER | |
In the text |
![]() |
Figure 5: GROND optical/NIR and TLS optical light curve of the afterglow of GRB 090323. The data are fitted with a power-law, superimposed bump and constant host component. Late upper limits are not shown to enhance clarity. |
Open with DEXTER | |
In the text |
![]() |
Figure 6:
GROND broadband spectral energy distribution of the afterglows of
GRB 090323, GRB 090328 and GRB 090902B. Note that the |
Open with DEXTER | |
In the text |
![]() |
Figure 7:
GROND optical/NIR light curve of the afterglow of GRB 090328. The
data are fitted with a power-law, superimposed bump and constant host
component. All parameters are left free in the fit except the |
Open with DEXTER | |
In the text |
![]() |
Figure 8: Broadband spectral energy distributions of the host galaxies of GRB 090328 and GRB 090510 and host galaxy templates from hyperZ (Bolzonella et al. 2000). |
Open with DEXTER | |
In the text |
![]() |
Figure 9:
VLT/FORS1 spectrum of the afterglow of GRB 090328 obtained |
Open with DEXTER | |
In the text |
![]() |
Figure 10:
VLT/FORS2 300I spectrum of the host galaxy of GRB 090510 obtained |
Open with DEXTER | |
In the text |
![]() |
Figure 11: GROND and VLT optical/NIR light curve of GRB 090902B. The data are fitted with a broken power-law. Due to the proximity of the source to the sun, the light curve coverage is sparse at later times, and the evolution is ambigous. There is however indication of a break at around 1.5 Ms post burst. Shown is the fit with a fixed late slope and relatively sharp break. |
Open with DEXTER | |
In the text |
![]() |
Figure 12: The afterglows of the Fermi/LAT-detected GRBs in comparison with a sample of over 120 well observed afterglows detected until May 2009 (Kann et al. 2009a,2006,2008). GROND and TLS data only are presented for the the long Fermi bursts while the early data points from GRB 090510 are from UVOT (Kuin & Hoversten 2009) and include a point from Olofsson et al. (2009). All afterglows have been corrected for Galactic extinction and for host-galaxy contribution, where applicable. All afterglows have been additionally corrected for host-galaxy extinction, and have been shifted to a redshift of z=1. Long GRBs are shown as light grey lines, whereas short GRBs are thicker grey lines with symbols. Squares are detections, and downward pointing triangles upper limits. |
Open with DEXTER | |
In the text |
![]() |
Figure 13:
Amati and Ghirlanda relation challenged by Fermi/LAT bursts. The black crosses, the black dashed line, and the grey shaded areas represent the data and best-fit
|
Open with DEXTER | |
In the text |
![]() |
Figure 14: The afterglow brightness at day 2 of four long Fermi/LAT-detected GRBs in comparison with a sample of over 70 well observed afterglows of long GRBs detected until May 2009 (Kann et al. 2009a,2006). The comparison sample comprises 50 Swift-era and 21 pre-Swift afterglows. |
Open with DEXTER | |
In the text |
Copyright ESO 2010
Current usage metrics show cumulative count of Article Views (full-text article views including HTML views, PDF and ePub downloads, according to the available data) and Abstracts Views on Vision4Press platform.
Data correspond to usage on the plateform after 2015. The current usage metrics is available 48-96 hours after online publication and is updated daily on week days.
Initial download of the metrics may take a while.