Issue |
A&A
Volume 516, June-July 2010
|
|
---|---|---|
Article Number | A110 | |
Number of page(s) | 9 | |
Section | Interstellar and circumstellar matter | |
DOI | https://doi.org/10.1051/0004-6361/200913776 | |
Published online | 22 July 2010 |
Where is the warm H2?
A search for H2 emission from disks around Herbig Ae/Be stars
C. Martin-Zaïdi1 - J.-C. Augereau1 - F. Ménard1 - J. Olofsson1 - A. Carmona2 - C. Pinte3 - E. Habart4
1 - Université Joseph Fourier - Grenoble 1 / CNRS,
Laboratoire d'Astrophysique de Grenoble (LAOG) UMR 5571, BP 53,
38041 Grenoble Cedex 09, France
2 -
ISDC Data Centre for Astrophysics & Geneva Observatory,
University of Geneva, chemin d'Ecogia 16, 1290 Versoix,
Switzerland
3 -
School of Physics, University of Exeter, Stocker Road, Exeter EX4
4QL, UK
4 -
Institut d'Astrophysique Spatiale, Université Paris-Sud, 91405
Orsay Cedex, France
Received 30 November 2009 / Accepted 5 April 2010
Abstract
Context. Mid-infrared (mid-IR) emission lines of molecular hydrogen (H2)
are useful probes to determine the mass of warm gas present in the
surface layers of circumstellar disks. In the past years, numerous
observations of Herbig Ae/Be stars (HAeBes) have been performed, but
only two detections of H2 mid-IR emission toward HD 97048 and AB Aur have been reported.
Aims. We aim at tracing the warm gas in the circumstellar
environment of five additional HAeBes with gas-rich environments and/or
physical characteristics close to those of AB Aur and/or
HD 97048, to discuss whether the detections toward these two
objects are suggestive of peculiar conditions for the observed gas.
Methods. We search for the H2 S(1) emission line at 17.035 m using high-resolution mid-IR spectra obtained with VLT/VISIR, and complemented by CH molecule observations with VLT/UVES. We gather the H2 measurements from the literature to put the new results in context and search for a correlation with some disk properties.
Results. None of the five VISIR targets shows evidence for H2 emission at 17.035 m. From the 3
upper limits on the integrated line fluxes we constrain the amount of optically thin warm (>150 K) gas to be less than
in the disk surface layers. There are now 20 HAeBes observed with VISIR and TEXES instruments to search for warm H2, but only two detections (HD 97048 and AB Aur) were made so far. We find that the two stars with detected warm H2 show at the same time high 30/13
m flux ratios and large PAH line fluxes at 8.6 and 11.3
m compared to the bulk of observed HAeBes and have emission CO lines detected at
m. We detect the CH 4300.3
absorption line toward both HD 97048 and AB Aur with UVES. The CH to H2
abundance ratios that this would imply if it were to arise from the
same component as well as the radial velocity of the CH lines both
suggest that CH arises from a surrounding envelope, while the detected H2 would reside in the disk.
Conclusions. The two detections of the S(1) line in the disks of
HD 97048 and AB Aur suggest either peculiar physical
conditions or a particular stage of evolution. New instruments such as Herschel / PACS
should bring significant new data for the constraints of thermodynamics
in young disks by observing the gas and the dust simultaneously.
Key words: circumstellar matter - stars: formation - stars: pre-main sequence - ISM: molecules
1 Introduction
Planets are supposed to form in circumstellar disks composed of gas and dust around stars in their pre-main sequence phase. At this evolutionary stage, the disk mass is essentially dominated by the gas (99%), especially molecular hydrogen (H2). Although H2 is the principal gaseous constituent in disks, it is very challenging to detect. Molecular hydrogen is an homonuclear molecule which means that its fundamental transitions are quadrupolar in nature. Hence their Einstein spontaneous emission coefficients are small and produce only weak lines. For circumstellar disks another challenge is that the weak H2 lines must be detected on top of the strong dust continuum emission. In the mid-infrared, high spectral resolution instruments like VISIR at the VLT are required to disentangle these weak lines from the continuum.
However, one should bear in mind a fundamental issue concerning the
structure of a gas-rich optically thick disk. Molecular lines are
produced in the hot upper surfaces of the disk where the molecular gas
and accompanying dust are optically thin. Therefore, molecular line
emission is not sensitive to and does not probe the mid-plane interior
layers of the disk because it is optically thick. Because the amount
of molecular gas in the optically thin surface layers is small, the
expected H2 line fluxes are very weak. As an example of this,
Carmona et al. (2008) calculated the expected H2 line fluxes from
typical Herbig Ae disks assuming a two-layer Chiang & Goldreich (1997) disk
model,
,
a gas-to-dust-ratio of 100, LTE
emission and a distance of 140 pc. They found that the expected line
H2 fluxes are much fainter than the detection limits of current
instrumentation. Indeed, numerous non-detections of H2 mid-IR pure
rotational lines in the circumstellar environment of young stars have
been reported in the past few years (Martin-Zaïdi et al. 2009a; Carmona et al. 2008; Martin-Zaïdi et al. 2008b; Bitner et al. 2008). Nevertheless, lines can reach a detectable level if
the gas-to-dust to ratio is allowed to be higher than 100 and/or the
in the surface layers of the disk.
Table 1: Astrophysical parameters of the sample stars.
Table 2: Summary of the observations.
Molecular hydrogen mid-IR lines have been detected in two Herbig Ae/Be
stars, namely HD 97048 and AB Aur, respectively observed with
VLT/VISIR (Martin-Zaïdi et al. 2007) and TEXES (Bitner et al. 2007). These
detections imply particular physical conditions for the gas and dust,
such as
,
as mentioned above. These
conditions may be created by gas heated by X-rays or UV photons in the
surface layers of the disks. We note that these two detections
indicate that the gas has not completely dissipated in the inner part
of these disks in a lifetime of about 3 Myr (ages of the stars),
while photoevaporation of the gas is expected to clear up this inner
region within roughly the same time (<3 Myr;
e.g. Alexander 2008; Takeuchi et al. 2005). Indeed, Martin-Zaïdi et al. (2009a) have shown
that the emitting H2 around HD 97048 was more likely distributed in
an extended region within the inner disk, between 5 AU and 35 AU of
the disk, and Bitner et al. (2007) concluded from their observation of the
disk of AB Aur that the H2 emission arised around 18 AU from the
central star.
We present new observations with the VISIR high-resolution
spectroscopic mode, to search for the mid-IR H2 emission line at
17.035 m, the most intense pure rotational line observable from
the ground, in a sample of well studied Herbig Ae/Be stars known to
harbor extended gas-rich circumstellar disks. The main goal of these
observations is to enlarge the global sample of HAeBes observed at
17.035
m, and to better constrain the particular physical
conditions observed in the disks of HD 97048 and AB Aur. In order to
better understand the detections of H2 in the disks of HD 97048 and
AB Aur, we also analyze VLT/UVES spectra of these two stars to
observe spectral lines of the CH and CH+ molecules which are linked
to the formation and excitation of H2. In Sects. 3 and 4 we present the analysis of the VISIR spectra of the
five HAeBes of our sample and relate it to the context of the global
search for molecular hydrogen at mid-IR wavelengths. We perfom a
statistical analysis of the whole sample of HAeBes where H2emission has been searched for in the mid-IR, and explore the possible
link between the H2 and the dusty disk properties. Finally, we
discuss the possible origin of the mid-IR H2 emission in the disks
of HD 97048 and AB Aur.
2 Observation and data reduction
2.1 VISIR observations
We selected a sample of five Herbig Ae/Be stars with spatially
resolved disks (Table 1). They were selected using the
following criteria: (i) proximity to the Sun (<150 pc), with
well known distances; (ii) resolved disk and/or firm evidence of
gas-rich circumstellar environment, and/or properties close to that of
HD 97048 and/or AB Aur, for which the 17.035 m line has already
been detected; (iii) well known Herbig Ae/Be stars with a rich
set of existing observations, particularly including gas-lines
spectroscopy observations (Far-UV H2 lines, CO lines...;
e.g. van der Plas et al. 2009; Martin-Zaïdi et al. 2008a; Thi et al. 2001) and PAHs (Polycyclic Aromatic
Hydrocarbons) features (e.g. Habart et al. 2004; Acke & van den Ancker 2006). The
fundamental parameters of each target are presented in
Table 1.
Table 3: Results of the H2 S(1) line analysis.
The target stars were observed on 2009 June 14 and 15, with the high
spectral resolution long-slit mode of the VISIR (ESO VLT
Imager and Spectrometer for the mid-InfraRed Lagage et al. 2004)
instrument at the VLT. We focussed on the observations of the S(1)
pure rotational line of H2 at 17.035 m because it is the most
intense line observable from the ground, and because it is the only
line ever detected with VISIR in disks of Herbig Ae/Be stars
(Martin-Zaïdi et al. 2007). The central wavelength of the observations was thus set
to be 17.035
m. We used the 0.75'' slit, providing a spectral
resolution of about 14 000. The observation conditions are summarized
in Table 2. In order to correct the spectra from the
Earth's atmospheric absorption and to obtain the absolute flux
calibration, asteroids and standard stars were observed at nearly the
same airmass and seeing conditions as the objects, just before and
after observing the science targets. For this purpose, we also used
the modeled spectra of the standard stars (Cohen et al. 1999), and those
of the asteroids (for HEBE and IRIS see Mueller & Lagerros 2002,1998, and for PSYCHE; Mueller
2009, priv. comm.). For details on the
observations and data reduction techniques see Martin-Zaïdi et al. (2007) and
Martin-Zaïdi et al. (2008b).
![]() |
Figure 1:
Spectra obtained for the H2 S(1) line at 17.035 |
Open with DEXTER |
2.2 UVES observations
To better understand the detections of H2 towards HD 97048 and AB Aur, we observed spectral lines of the CH and CH+ molecules in the optical range at high spectral resolution using UVES (ESO program numbers 075.C-0637 and 078.C-0774). The blue arm of UVES (3700 Å-5000 Å) gives acces to the electronic transitions of the CH and CH+ molecules that are good tracers of the H2 formation and excitation (Somerville & Smith 1989; Federman 1982; Mattila 1986). The formation of CH is predicted to be controlled by gas-phase reactions with H2. CH is thus a good tracer of H2 and their abundances are generally strongly correlated. The formation of the CH+ molecule through the chemical reaction C+ + H2 needs a temperature of about 4500 K to occur. Thus, the CH+ molecule is a probe of hot and excited media, which could be interpreted as material close to the star, and this would allow us to better constrain the excitation of H2.
The spectra were reduced using the UVES pipeline v3.2.0
(Ballester et al. 2000) based on the ESO Common Library Pipeline, and were
corrected from the Earth's rotation in order to shift them in the
heliocentric rest frame. To analyze the absorption lines in the
observed spectra we used the OWENS package (for details,
see Martin-Zaïdi et al. 2008a; Lemoine et al. 2002), which allows us to derive the characteristics
of the gaseous components, i.e. column density N, radial velocity
and broadening parameter b.
3 Results
3.1 VISIR sample analysis
We observed five well studied Herbig Ae/Be stars with the high
resolution spectroscopic mode of VISIR to search for the H2 pure
rotational S(1) line. None of the observed sources show evidence for
H2 emission at 17.035 m (Fig. 1). In HD 169142,
the expected centroid for the H2 line corresponds to an emission
feature in the spectrum. However, this feature has a
full-width-at-half maximum (FWHM) smaller than a spectral resolution
element (
21 km s-1), and an amplitude of about 1
that makes it insignificant in terms of detection (for details
on the calculation of the standard deviation
,
see Martin-Zaïdi et al. 2008b). We did not consider it further as a detection. As
described previously, we insist that mid-IR H2 lines only probe
warm gas located in the surface layers of the disks because of the
large opacity in the interior layers due to the dust. The surface
layers of the disks, from which solid-state emission features also
arise, surrounding our target stars therefore do not contain
sufficient warm gas to enable it to be detected in emission at mid-IR
wavelengths.
Then, we derived 3
upper limits on the integrated line fluxes
and upper limits for the total column densities and masses of H2 as
a function of the temperature for all the spectra by integrating over
a Gaussian of FWHM corresponding to the VISIR spectral resolution,
and an amplitude of 3
,
centered on the expected wavelength for
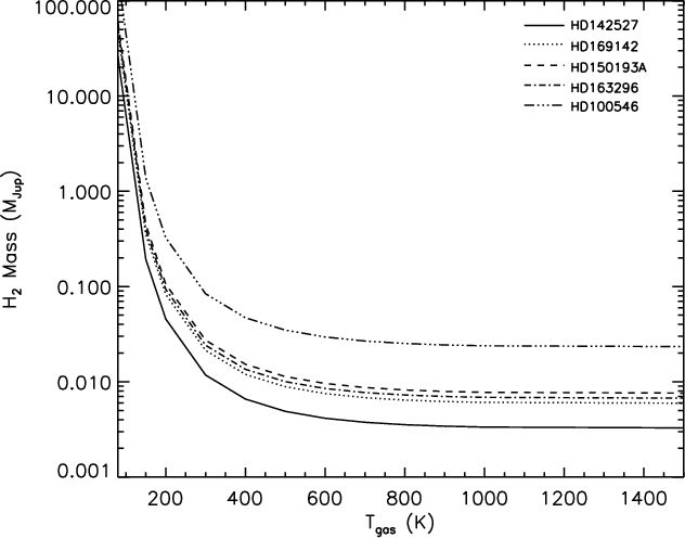
the S(1) line (see Table 3 and Fig. 2).
For this purpose, we used the method detailed in Martin-Zaïdi et al. (2009a,2008b), by assuming that the line is optically thin at local thermodynamic equilibrium (LTE) and that the radiation is isotropic (for details on the formulae, see also Takahashi 2001; van Dishoeck 1992).
From the 3
upper limits to the emission line flux, we
calculated upper limits on the column density and mass of H2 for
each star. We found that the column densities should be lower than
1024 cm−2 at 150 K, and lower than
1022cm−2 at 1000 K. The corresponding upper limits to the masses of
warm gas in the surface layers of the inner disk were estimated to be
in the range from
to
1.4
(1
), assuming LTE excitation,
and depending on the adopted temperature (see Table 3 and
Fig. 2).
3.2 H2 detection statistics
In the past three years, numerous observations have been performed to
observe the pure rotational mid-IR emission lines of molecular
hydrogen in the circumstellar environments of HAeBes. VISIR observations of 15 HAeBes have been conducted (Martin-Zaïdi et al. 2007,2008b; Carmona et al. 2008, and this
work) and only one source out of the 15,
namely HD 97048, presents a clear evidence for H2 emission at
17.035 m. In addition, in their sample of five HAeBes observed
with TEXES at 17.035
m, Bitner et al. (2008) have reported only one
detection of the S(1) H2 line in the disk of AB Aur. This leads to
a detection statistics of the S(1) line from the ground of 10% only
in disks about Herbig Ae/Be stars. However, this statistic suffers
from the fact that the 3
limits in our sample are
inhomogeneous. Indeed, due to the different detection limits of each
instrument (and exposure time for each target), the 3
upper
limits on the line flux from VISIR observations cannot be directly
compared to those obtained with TEXES. However, our sample is quite
representative of the variety of HAeBes observable from the ground,
including stars with spectral type from F6 to B2, with very young,
massives or transitional disks. Therefore, the 10% statistics can be
regarded as a lower limit on the number of H2 detections with
current ground-based mid-IR instrumentation. This is consistent with
the models by Carmona et al. (2008), who show that mid-IR H2 lines
cannot be detected with the existing instruments for disks under LTE
conditions. Those authors estimated that sensitivities down to
10-16 erg s-1 cm-2 must be reached to detect the S(1) line, while
VISIR typically reaches 10-14 erg s-1 cm-2.
The numerous non-detections of the S(1) line in circumstellar
environments of HAeBes could imply that the physical conditions of the
warm gas in most disks are consistent with those assumed in such a
model, i.e. gas and dust well-mixed, a gas-to-dust ratio of about 100,
and
.
![]() |
Figure 2: Upper mass limits of optically thin H2 derived from H2 S(1) line flux limits as a function of the assumed LTE temperature. |
Open with DEXTER |
4 Discussion
4.1 H2 and disk properties
The challenge now is to explain the two detections of the S(1) line in the disks of HD 97048 and AB Aur. If the HD 97048 and AB Aur disks trace a particular evolutionary stage, one may expect some connection between the mass of warm H2 and the disk properties.
The slope of the spectra corresponding to the ratio of the F30and F13 indexes, i.e. continuum fluxes at 30 and 13 m
respectively, has been used by Brown et al. (2007) to identify the
population of cold disks. In addition, young flared disks tend to
show rising spectra in the mid-IR with a much higher F30 /
F13 ratio than the more evolved, settled systems with
self-shadowed disks with much flatter mid-IR spectra
(Dominik et al. 2003). The F30 / F13 ratio diagnostic is
therefore not unique, but allows us to identify a population with
properties that depart from those of most young stars with
disks. Indeed, in their sample of T Tauri stars, Brown et al. (2007) have
shown that the majority of their sample had an emission that increased
by a factor of 2.3
1.4 between 13 and 30
m, while the cold,
possibly transitional, disks rose by factors of 5-15.
Here we measured the slope of the spectra of our targets, obtained
with the IRS spectrograph installed onboard the Spitzer Space
Telescope, by computing F13 which is the mean flux value (in
Jy) in the range 13 m
0.5
m, and F30 the mean
flux value (in Jy) between 29
m and 31
m
(Table 4, for details see Olofsson et al. 2009). The
data reduction was performed with the ``c2d legacy team pipeline''
(Lahuis et al. 2006) with the S18.7.0 pre-reduced (BCD) data.
Table 4: F30/F13 indexes, and H2 mass upper limits at 600 K.
![]() |
Figure 3:
Slope of the Spitzer spectra (
F30 / F13 ratio) versus
upper mass limits of optically thin H2 at 600 K derived from
H2 S(1) line flux limits. In this diagram are plotted all the
Herbig Ae/Be stars observed at 17.035 |
Open with DEXTER |
Figure 3 shows the upper limits of H2 mass measured from
the S(1) line flux versus the slope of the spectra (
F30 / F13 ratio).
For comparison with our targets, we plotted all the stars
observed at 17.035 m by VISIR and by TEXES, including HD 97048
and AB Aur (Martin-Zaïdi et al. 2007,2009a,2008b; Carmona et al. 2008; Bitner et al. 2008). For
this task, we considered only the upper limits on the mass of H2 at
600 K for each target, because the temperature of the observed H2is around 600 K for AB Aur (Bitner et al. 2007) and lower than 600 K for
HD 97048 (Martin-Zaïdi et al. 2009a).
Most of our sample stars have an emission that increases by a median
factor of 2.21.5 between 13 and 30
m, which is fully
consistent with the results of Brown et al. (2007). However, four stars in
our sample, namely HD 169142, HD 100453, HD 142527, and HD 97048, have
significantly higher
F30 / F13 ratios. We stress that AB Aur
is marginally higher than the bulk. In addition, the four spectra are
also characterized by the absence of 10
m amorphous silicate
features. This is consistent with the fact that the strong wings of
the amorphous silicate feature at 10
m increase the continuum
flux around 13
m and thus decrease the
F30 / F13 ratio.
The
F30 / F13 ratio of these four stars correspond to the
region of the plot where Brown et al. (2007) have identified the
transitional cold disks in their sample, which also do not present the
10
m amorphous silicate feature in their spectra. However,
HD 97048 is supposed to be a young star harboring a massive gas-rich
flared disk (Doucet et al. 2007; Lagage et al. 2006), as compared to the other three
stars that are known to have more evolved and less massive disks than
HD 97048 (e.g. Grady et al. 2007). Its position in our Fig. 3
raises numerous questions about its status. Below, we explore
different ways to understand the origin of the detected H2 and the
status of HD 97048 (and marginally AB Aur).
4.2 Is the H2 related to PAHs ?
As we did for the
F30 / F13 ratio, we searched for the
possible correlation between the presence and line flux of PAHs
features and the upper limits on H2 mid-IR lines. For this task we
compared the line flux of the PAHs feature at 8.6 m and 11.3
m
(called 11
m complex due to the possible blend with features
of amorphous and crystalline silicate; e.g. Acke & van den Ancker 2004) found in the
literature (Table 5), with the H2 upper mass limits
(Table 4). With regard to the
F30 / F13ratio, AB Aur and HD 97048 seem to depart from the bulk, and appear in
the top of the plots where the PAHs line fluxes are high
(Figs. 4 and 5).
![]() |
Figure 4:
Line flux of the PAHs feature at 8.6 |
Open with DEXTER |
![]() |
Figure 5:
Line flux of the PAHs complex at 11 |
Open with DEXTER |
Table 5:
Line fluxes of the PAHs features at 8.6 m and line
fluxes of the PAHs complex at 11
m.
![]() |
Figure 6: Fits of the CH line at 4300.3 Å in the UVES spectra of HD 97048 (left) and AB Aur (right) with the OWENS profile fitting procedure. Stellar continuum: dashed line; intrinsic line profile: dotted line; resulting profile convolved with the line-spread function: thick line. |
Open with DEXTER |
In the upper disk surface layers, photoelectric heating is very efficient on small grains such as PAHs, and can play a significant role in the gas heating process (Kamp & Dullemond 2004; Jonkheid et al. 2007). The PAHs emission depends on the geometry of the disk, i.e. the emission is proportional to the amount of PAHs that is directly illuminated by the UV light from the star. Thus the PAHs emission depends both on PAHs abundance and on geometry, and it is unclear which of these two effects is responsible for the higher PAH emission strength in AB Aur and HD 97048 compared to other Herbig stars in the sample. Irrespective of its origin, the strong emission of PAHs appears related to H2 emission. Is there a link between their excitation and heating mecanisms ? This question must be studied further.
As shown in Figs. 4 and 5, the spectra of the other stars of the sample present weaker PAH features. One could assume that for these stars photoelectric heating is less efficient and does not excite enough the H2 to be detected in the mid-IR range.
In both plots HD 100546 also departs from the bulk. This may be
because the disk of this star has a particular structure with an inner
ring, a gap between 0.5 and 10 AU, and an outer disk
(Bouwman et al. 2003; Benisty et al. 2010).
4.3 Could the H2 emission arise from the envelope?
Both HD 97048 and AB Aur are known to possess extended envelopes with a significant contribution in the various observations of gas and dust (e.g. Grady et al. 1999; Hartmann et al. 1993). Could the observed H2 mid-IR emission be due to the gaseous component of the envelopes of these stars?
This scenario can certainly excluded because, firstly, the H2 S(1) lines observed in the spectra of HD 97048 and AB Aur are not spatially resolved, which constrains the emitting region to be very close to the central stars. Given the weakness of the detected H2 emission, at least for AB Aur, it is also unlikely that had any extended emission is present. This would have been detected. Secondly, electronic transitions of H2 have been detected in absorption with the FUSE (Far Ultraviolet Spectroscopic Explorer) satellite towards AB Aur, likely arising from the extended envelope surrounding the star (Martin-Zaïdi et al. 2008a; Roberge et al. 2001). The column density of the J=3 level of H2 measured in the FUSE spectrum is 105 times lower than that derived from the mid-IR observations, implying that we clearly do not observe the same regions around the star.
The source HD 97048 has never been observed with FUSE, which precludes any other analysis of the H2 lines than that of VISIR observations. We thus analyzed the spectra of HD 97048 and AB Aur obtained with VLT/UVES. For the two stars we detected absorption lines of the CH and CH+ molecules (see Fig. 6), as well as absorption lines of Ca I, Ca II and K I. Due to the high inclination angles of the disks with respect to the lines of sight, the observed gas cannot be in the disks, but likely arises from the surrounding envelope. We measured the radial velocities of these lines in the UVES spectra of the two stars (Table 6). All these lines in the UVES spectra have the same radial velocity, implying that we probed a single gaseous component along each line of sight. This is confirmed by the measured b-values of CH and CH+lines that are in the range expected for pure thermal broadening, as generally seen in diffuse ISM clouds where typical b-values are about 1.5 up to 3 km s-1 (e.g. Gry et al. 2002), and which would be much higher if several gaseous components were present along the line of sight. In addition, the radial velocities of the S(1) lines observed for HD 97048 and AB Aur, with VISIR and TEXES respectively (Bitner et al. 2007; Martin-Zaïdi et al. 2007) differ by about 10 km s-1 from those measured for the gas in the UVES spectra. This is an additional clue that we probed different regions of the environment of the stars in the mid-IR and visible ranges, and that the H2 emission in the mid-IR does not come from the envelope, but from the disk.
Finally, it is important to note here that in their sample of Herbig
Ae/Be stars observed both with FUSE and UVES,
Martin-Zaïdi et al. (2009b) and Martin-Zaïdi et al. (in prep.) showed that when H2 and CH are both
observed, their column densities are correlated in proportions
consistent with those observed in the diffuse interstellar medium
(N(CH)/N(H
,
e.g. Sheffer et al. 2008; Welty et al. 2006). It
is important to note that for these stars, including AB Aur, the
FUSE H2 data implied an interstellar origin for the gas or a
remnant of the parent molecular cloud and/or circumstellar envelope
(Martin-Zaïdi et al. 2008a). Here, the total column densities of H2 derived from
the mid-IR observations give a N(CH)/N(H2) ratio higher by a factor
102 to 103 than the interstellar ratio, again suggesting a
different location, the H2 detected in the mid-IR being in the
disk, CH being in the envelope. Cold molecular hydrogen is very likely
present in the envelope as probed by FUSE, but does not possess the
physical properties required to emit at mid-IR wavelengths.
Table 6: Column densities, radial velocities and b parameters of CH and CH+ for HD 97048 and AB Aur.
4.4 Comparison with CO observations
An important tracer of gas in the inner disks of T Tauri and Herbig
Ae/Be stars are the fundamental CO ro-vibrational emission bands
(e.g.,
)
present at 4.7
m. CO emission at 4.7
m
traces warm and hot gas at temperatures ranging from hundreds to a few
thousands Kelvin (Najita et al. 2003). For Herbig Ae stars, CO has been
detected in almost all sources with optically thick disks
(i.e.
E(K-L) > 1 Brittain et al. 2007), typically exhibiting
rotational temperatures between 1000-1500 K and in a few cases hotter
than 2000 K (Brittain et al. 2007; Blake & Boogert 2004). In Herbig Ae stars, the CO
emission properties and excitation mechanism appear to depend on the
disk geometry deduced from the SED shape (Dullemond & Dominik 2004; Meeus et al. 2001). The dominant excitation mechanism appears to be LTE
for self-shadowed disks, and fluorescence for flaring disks (van der
Plas et al. 2010, in prep). High-excitation CO emission lines (up to
v=5-4) have been observed only in flared disks
(van der Plas et al. 2010, in prep).
In the context of H2 mid-IR emission detections, we find that in
all the Herbig Ae/Be stars where H2 mid-IR emission has been
detected their disks are flared, and CO emission at 4.7 m has been
detected too. Note however that the opposite is not true, as this and
other studies show, not all the sources with CO
m emission
display H2 mid-IR emission. Bitner et al. (2008) show that when H2mid-IR is detected, the gas temperatures are significantly higher than
the equilibrium temperatures expected for the emitting regions, thus
suggesting that the gas temperature is higher than the dust and that
processes such as UV-X-rays or accretion heating may be important
(a conclusion in agreement with the conclusions of Carmona et al. 2008, when
explaining non-detections of H2 emission).
If we extend the idea of an additional source of heating to collisions
(Carmona et al. 2008; Bitner et al. 2008) to analyze the CO and H2 mid-IR
detections together (note that mid-IR H2 traces warm gas and CO
4.7 m hotter gas), we may expect that the sources with detected H2mid-IR emission would have CO emission at temperatures higher than the
equilibrium temperature for the respective emitting regions. In other
words, we will expect for sources with H2 mid-IR emission to
observe CO lines at high excitation transitions. This argumentation
works at least for HD 97048, where CO emission up to v=5-4 has been
detected (van der Plas et al. 2009). Indeed, van der Plas et al. (2009) modeled the
12CO emission at 4.7
m around HD 97048, observed with the
VLT/CRIRES, with a homogeneous Keplerian disk. Their modeling of CO
emission yields an inner radius of 11 AU. Those authors concluded a
depletion of CO in the inner region of the disk, probably due to
photodissociation. Our previous estimate of the location of the H2mid-IR emission (>5 AU to 35 AU) is compatible with the CO inner
radius, but CO also traces gas in the disk at much larger radii (up to
100 AU). However, this line of reasoning cannot explain the case of
HD 100546, a star where van der Plas et al. (2010, in prep) detected
CO emission up to v=5-4, but we do not see H2 mid-IR emission with
VISIR. But then, there is a large gap (
AU) in the dust disk
of HD 100546, with very little material inside (Bouwman et al. 2003; Benisty et al. 2010). This is likely different from HD 97048 and AB Aur.
In addition, Brittain et al. (2003) conducted observations toward AB Aur at
4.7 m of 12CO (v=1-0) emission using the NASA Infrared
Telescope Facility (IRTF) and the Keck Observatory. The excitation
diagram of CO (assuming LTE gas) gives a temperature of 70 K for the
cool gas corresponding to the low-J levels, and an excitation
temperature of 1540 K for the hot gas (high-J levels). This diagram is
interpreted by those authors as hot CO emission coming from the inner
rim of the disk (
1 AU from the star), while the cool emission
originates in the outer flared part of the disk (> 8 AU from the
star). The excitation temperature and radial velocity found for the
cold CO are fully consistent with those found by Martin-Zaïdi et al. (2008a) for the
cold H2 observed in absorption by FUSE, as well as for the CH
observed with UVES. On the other hand, Bitner et al. (2007) showed that
the H2 emission at 17
m in the disk of AB Aur arised around
18 AU from the central star, with an excitation temperature of about
670 K. Their derived gas temperature and distance from the central
star fall between the hot and cold components seen in the CO
observations (Brittain et al. 2003), suggesting that the H2 and CO
IR-emission does not come from the same region of the disk.
It is hard to drive definitive conclusions based on very few
detections. Further searches of high-excitation CO emission using
high-spectral resolution in sources with H2 mid-IR detections (most
notably AB Aur) and further searches of H2 mid-IR emission in
sources with high-excitation CO will be required to test the idea
whether H2 mid-IR emission and high-excitation CO emission are
correlated. For instance, the main conclusion that we can arrive at is
that Herbig Ae stars appear to be in general a uniform group
concerning CO m emission and H2 emission in the sense that CO
is detected in optically thick disks and that H2 mid-IR emission is
very weak (i.e. not detected), except for those sources with flaring
disks where an additional mechanism heats the H2 to a detectable
level. The use of full disks models (coupling gas and
dust; Woitke et al. 2010) could help us to understand the possible
correlation between CO and H2, but this is beyond the scope of this
paper.
5 Conclusion
We reported here on a search for the H2 S(1) emission line at 17.035


The detections of H2 emission at 17.035 m by Bitner et al. (2007)
and Martin-Zaïdi et al. (2007) show that at least a few circumstellar disks have
sufficiently high H2 mid-infrared emission to be observed from the
ground. The most likely explanation for this is that the optically
thin surface layers of the disk has
and that the
gas-to-dust ratio is higher than the canonical ratio of 100
(Martin-Zaïdi et al. 2007; Carmona et al. 2008). Indeed, in the surface layers of the disk,
low densities or dust settling and coagulation may conduct to a
spatial decoupling between the gas and the dust. Photoelectric heating
can thus play a significant role in the gas heating process and the
physical conditions may rapidly differ from the LTE ones, i.e.,
(Kamp & Dullemond 2004; Jonkheid et al. 2007). On the other hand, UV
and X-ray heating can be responsible for the excitation of the
observed gas and can heat the gas to temperatures significantly hotter
than the dust (Nomura & Millar 2005; Glassgold et al. 2007; Ercolano et al. 2008). In any case,
one would need to observe the lower H2 J-levels (i.e. J=0 and
J=1) to definitively constrain the kinetic temperature of the gas,
and better understand the excitation mechanisms responsible of the
mid-IR emission.
As a second step, we also performed a statistical analysis of the
whole sample of Herbig Ae/Be stars observed at 17.035 m with
VISIR as well as with TEXES. This analysis allowed us to identify a
population of stars, including HD 97048 and marginally AB Aur, with
properties that depart from the bulk of our sample. This raises
numerous questions about the origin of the detected gas and the status
of HD 97048 and AB Aur. From our UVES observations we clearly
demonstrated that the observed mid-IR H2 emission does not come
from the envelope, but from the disk.
Are HD 97048 and AB Aur peculiar stars (and why)? Due to the
similarities of these two stars (
,
age, mass, disk size...),
one would expect that the physical conditions of their circumstellar
gas are typical of a particular (short) stage of evolution of the
disks. However, to confirm this assumption, we would need to observe
other similar HAeBes. Unfortunately, no other nearby Herbig Ae/Be star
observable with the existing instruments presents the same
observational properties. A global diagnostic of the gaseous content
of the disks is thus now required. To better constrain the physical
and chemical properties of the gas, multi-wavelengths observations and
a deep modeling would be very useful. In this context, the Herschel satellite will be very helpful because it will allow us to
constrain the thermodynamics in young disks by observing the gas and
the dust simultaneously.
This work is based on observations obtained at ESO/VLT (Paranal) with VISIR, program number 083.C-0910, and with UVES program numbers 075.C-0637 and 078.C-0774. We warmly thank G. van der Plas for fruitful discussions about CO observations. C.M-Z. warmly thanks A. Smette (ESO) for discussions about VISIR observations. We thank ANR for financial support through contract ANR-07-BLAN-0221 (Dusty Disks). A.C. acknowledge support from a Swiss National Science Foundation grant (PP002-110504). C.M-Z. was supported by a CNES fellowship.
References
- Acke, B., & van den Ancker, M. E. 2004, A&A, 426, 151 [NASA ADS] [CrossRef] [EDP Sciences] [Google Scholar]
- Acke, B., & van den Ancker, M. E. 2006, A&A, 457, 171 [NASA ADS] [CrossRef] [EDP Sciences] [Google Scholar]
- Acke, B., van den Ancker, M. E., & Dullemond, C. P. 2005, A&A, 436, 209 [NASA ADS] [CrossRef] [EDP Sciences] [Google Scholar]
- Alexander, R. 2008, New Astron. Rev., 52, 60 [NASA ADS] [CrossRef] [Google Scholar]
- Augereau, J. C., Lagrange, A. M., Mouillet, D., & Ménard, F. 2001, A&A, 365, 78 [NASA ADS] [CrossRef] [EDP Sciences] [Google Scholar]
- Ballester, P., Modigliani, A., Boitquin, O., et al. 2000, The Messenger, 101, 31 [NASA ADS] [Google Scholar]
- Benisty, M., Tatulli, E., Ménard, F., & Swain, M. R. 2010, A&A, 511, A75 [NASA ADS] [CrossRef] [EDP Sciences] [Google Scholar]
- Bitner, M. A., Richter, M. J., Lacy, J. H., et al. 2007, ApJ, 661, L69 [NASA ADS] [CrossRef] [Google Scholar]
- Bitner, M. A., Richter, M. J., Lacy, J. H., et al. 2008, ApJ, 688, 1326 [NASA ADS] [CrossRef] [Google Scholar]
- Blake, G. A., & Boogert, A. C. A. 2004, ApJ, 606, L73 [NASA ADS] [CrossRef] [Google Scholar]
- Bouwman, J., de Koter, A., Dominik, C., & Waters, L. B. F. M. 2003, A&A, 401, 577 [NASA ADS] [CrossRef] [EDP Sciences] [Google Scholar]
- Brittain, S. D., Rettig, T. W., Simon, T., et al. 2003, ApJ, 588, 535 [NASA ADS] [CrossRef] [Google Scholar]
- Brittain, S. D., Simon, T., Najita, J. R., & Rettig, T. W. 2007, ApJ, 659, 685 [NASA ADS] [CrossRef] [Google Scholar]
- Brown, J. M., Blake, G. A., Dullemond, C. P., et al. 2007, ApJ, 664, L107 [NASA ADS] [CrossRef] [Google Scholar]
- Carmona, A., van den Ancker, M. E., Henning, T., et al. 2008, A&A, 477, 839 [NASA ADS] [CrossRef] [EDP Sciences] [Google Scholar]
- Chiang, E. I., & Goldreich, P. 1997, ApJ, 490, 368 [NASA ADS] [CrossRef] [Google Scholar]
- Cohen, M., Walker, R. G., & Witteborn, F. C. 1999, LPI Contributions, 969, 5 [NASA ADS] [Google Scholar]
- de Zeeuw, P. T., Hoogerwerf, R., de Bruijne, J. H. J., Brown, A. G. A., & Blaauw, A. 1999, AJ, 117, 354 [NASA ADS] [CrossRef] [Google Scholar]
- Dominik, C., Dullemond, C. P., Waters, L. B. F. M., & Walch, S. 2003, A&A, 398, 607 [NASA ADS] [CrossRef] [EDP Sciences] [Google Scholar]
- Doucet, C., Habart, E., Pantin, E., et al. 2007, A&A, 470, 625 [CrossRef] [EDP Sciences] [Google Scholar]
- Dullemond, C. P., & Dominik, C. 2004, A&A, 417, 159 [NASA ADS] [CrossRef] [EDP Sciences] [Google Scholar]
- Dunkin, S. K., Barlow, M. J., & Ryan, S. G. 1997, MNRAS, 286, 604 [NASA ADS] [CrossRef] [Google Scholar]
- Ercolano, B., Drake, J. J., Raymond, J. C., & Clarke, C. C. 2008, ApJ, 688, 398 [NASA ADS] [CrossRef] [Google Scholar]
- Federman, S. R. 1982, ApJ, 257, 125 [NASA ADS] [CrossRef] [Google Scholar]
- Fukagawa, M., Tamura, M., Itoh, Y., Hayashi, S. S., & Oasa, Y. 2003, ApJ, 590, L49 [NASA ADS] [CrossRef] [Google Scholar]
- Fukagawa, M., Tamura, M., Itoh, Y., et al. 2006, ApJ, 636, L153 [NASA ADS] [CrossRef] [Google Scholar]
- Geers, V. C., Augereau, J., Pontoppidan, K. M., et al. 2006, A&A, 459, 545 [NASA ADS] [CrossRef] [EDP Sciences] [Google Scholar]
- Geers, V. C., van Dishoeck, E. F., Visser, R., et al. 2007, A&A, 476, 279 [NASA ADS] [CrossRef] [EDP Sciences] [Google Scholar]
- Glassgold, A. E., Najita, J. R., & Igea, J. 2007, ApJ, 656, 515 [NASA ADS] [CrossRef] [Google Scholar]
- Grady, C. A., Woodgate, B., Bruhweiler, F. C., et al. 1999, ApJ, 523, L151 [NASA ADS] [CrossRef] [Google Scholar]
- Grady, C. A., Devine, D., Woodgate, B., et al. 2000, ApJ, 544, 895 [Google Scholar]
- Grady, C. A., Schneider, G., Hamaguchi, K., et al. 2007, ApJ, 665, 1391 [NASA ADS] [CrossRef] [Google Scholar]
- Gry, C., Boulanger, F., Nehmé, C., et al. 2002, A&A, 391, 675 [NASA ADS] [CrossRef] [EDP Sciences] [Google Scholar]
- Habart, E., Natta, A., & Krügel, E. 2004, A&A, 427, 179 [NASA ADS] [CrossRef] [EDP Sciences] [Google Scholar]
- Hartmann, L., Kenyon, S. J., & Calvet, N. 1993, ApJ, 407, 219 [NASA ADS] [CrossRef] [Google Scholar]
- Jonkheid, B., Dullemond, C. P., Hogerheijde, M. R., & van Dishoeck, E. F. 2007, A&A, 463, 203 [NASA ADS] [CrossRef] [EDP Sciences] [Google Scholar]
- Kamp, I., & Dullemond, C. P. 2004, ApJ, 615, 991 [NASA ADS] [CrossRef] [Google Scholar]
- Kuhn, J. R., Potter, D., & Parise, B. 2001, ApJ, 553, L189 [NASA ADS] [CrossRef] [Google Scholar]
- Lagage, P. O., Pel, J. W., Authier, M., et al. 2004, The Messenger, 117, 12 [NASA ADS] [Google Scholar]
- Lagage, P.-O., Doucet, C., Pantin, E., et al. 2006, Science, 314, 621 [NASA ADS] [CrossRef] [PubMed] [Google Scholar]
- Lahuis, F., Kessler-Silacci, J. E., Evans, N. J., I., et al. 2006, c2d Spectroscopy Explanatory Supplement, Tech. rep., Pasadena: Spitzer Science Center [Google Scholar]
- Lecavelier des Etangs, A., Deleuil, M., Vidal-Madjar, A., et al. 2003, A&A, 407, 935 [NASA ADS] [CrossRef] [EDP Sciences] [Google Scholar]
- Lemoine, M., Vidal-Madjar, A., Hébrard, G., et al. 2002, ApJS, 140, 67 [NASA ADS] [CrossRef] [Google Scholar]
- Malfait, K., Bogaert, E., & Waelkens, C. 1998, A&A, 331, 211 [NASA ADS] [Google Scholar]
- Martin-Zaïdi, C., Lagage, P.-O., Pantin, E., & Habart, E. 2007, ApJ, 666, L117 [NASA ADS] [CrossRef] [Google Scholar]
- Martin-Zaïdi, C., Deleuil, M., Le Bourlot, J., et al. 2008a, A&A, 484, 225 [NASA ADS] [CrossRef] [EDP Sciences] [Google Scholar]
- Martin-Zaïdi, C., van Dishoeck, E. F., Augereau, J., Lagage, P., & Pantin, E. 2008b, A&A, 489, 601 [NASA ADS] [CrossRef] [EDP Sciences] [Google Scholar]
- Martin-Zaïdi, C., Habart, E., Augereau, J.-C., et al. 2009a, ApJ, 695, 1302 [NASA ADS] [CrossRef] [Google Scholar]
- Martin-Zaïdi, C., Le Bourlot, J., Roueff, E., Hily-Blant, P., & Gry, C. 2009b, in SF2A-2009: Proceedings of the Annual meeting of the French Society of Astronomy and Astrophysics, held 29 June-4 July in Besançon, France, ed. M. Heydari-Malayeri, C. Reylé, & R. Samadi, 295 [Google Scholar]
- Mattila, K. 1986, A&A, 160, 157 [NASA ADS] [Google Scholar]
- Meeus, G., Waters, L. B. F. M., Bouwman, J., et al. 2001, A&A, 365, 476 [NASA ADS] [CrossRef] [EDP Sciences] [Google Scholar]
- Mueller, T. G., & Lagerros, J. S. V. 1998, A&A, 338, 340 [NASA ADS] [Google Scholar]
- Mueller, T. G., & Lagerros, J. S. V. 2002, A&A, 381, 324 [NASA ADS] [CrossRef] [EDP Sciences] [Google Scholar]
- Najita, J., Carr, J. S., & Mathieu, R. D. 2003, ApJ, 589, 931 [NASA ADS] [CrossRef] [Google Scholar]
- Nomura, H., & Millar, T. J. 2005, A&A, 438, 923 [NASA ADS] [CrossRef] [EDP Sciences] [MathSciNet] [Google Scholar]
- Olofsson, J., Augereau, J., van Dishoeck, E. F., et al. 2009, A&A, 507, 327 [NASA ADS] [CrossRef] [EDP Sciences] [Google Scholar]
- Panic, O., Hogerheijde, M. R., Wilner, D., & Qi, C. 2008, A&A, 491, 219 [NASA ADS] [CrossRef] [EDP Sciences] [Google Scholar]
- Reipurth, B., Pedrosa, A., & Lago, M. T. V. T. 1996, A&AS, 120, 229 [NASA ADS] [CrossRef] [EDP Sciences] [Google Scholar]
- Roberge, A., Lecavelier des Etangs, A., Grady, C. A., et al. 2001, ApJ, 551, L97 [NASA ADS] [CrossRef] [Google Scholar]
- Sheffer, Y., Rogers, M., Federman, S. R., et al. 2008, ApJ, 687, 1075 [NASA ADS] [CrossRef] [Google Scholar]
- Somerville, W. B., & Smith, C. A. 1989, MNRAS, 238, 559 [NASA ADS] [Google Scholar]
- Takahashi, J. 2001, ApJ, 561, 254 [NASA ADS] [CrossRef] [Google Scholar]
- Takeuchi, T., Clarke, C. J., & Lin, D. N. C. 2005, ApJ, 627, 286 [NASA ADS] [CrossRef] [Google Scholar]
- Thi, W. F., van Dishoeck, E. F., Blake, G. A., et al. 2001, ApJ, 561, 1074 [NASA ADS] [CrossRef] [Google Scholar]
- van den Ancker, M., de Winter, D., & Tjin A Djie, H. 1998, A&A, 330, 145 [NASA ADS] [Google Scholar]
- van der Plas, G., van den Ancker, M. E., Acke, B., et al. 2009, A&A, 500, 1137 [NASA ADS] [CrossRef] [EDP Sciences] [Google Scholar]
- van Dishoeck. E. F. 1992, in Infrared Astronomy with ISO, ed. Th. Encrenaz, M. F. Kessler (Nova Science Publisher), 283 [Google Scholar]
- Welty, D. E., Federman, S. R., Gredel, R., Thorburn, J. A., & Lambert, D. L. 2006, ApJS, 165, 138 [NASA ADS] [CrossRef] [Google Scholar]
- Woitke, P., Pinte, C., Tilling, I., et al. 2010, MNRAS, 405, L26 [NASA ADS] [CrossRef] [Google Scholar]
All Tables
Table 1: Astrophysical parameters of the sample stars.
Table 2: Summary of the observations.
Table 3: Results of the H2 S(1) line analysis.
Table 4: F30/F13 indexes, and H2 mass upper limits at 600 K.
Table 5:
Line fluxes of the PAHs features at 8.6 m and line
fluxes of the PAHs complex at 11
m.
Table 6: Column densities, radial velocities and b parameters of CH and CH+ for HD 97048 and AB Aur.
All Figures
![]() |
Figure 1:
Spectra obtained for the H2 S(1) line at 17.035 |
Open with DEXTER | |
In the text |
![]() |
Figure 2: Upper mass limits of optically thin H2 derived from H2 S(1) line flux limits as a function of the assumed LTE temperature. |
Open with DEXTER | |
In the text |
![]() |
Figure 3:
Slope of the Spitzer spectra (
F30 / F13 ratio) versus
upper mass limits of optically thin H2 at 600 K derived from
H2 S(1) line flux limits. In this diagram are plotted all the
Herbig Ae/Be stars observed at 17.035 |
Open with DEXTER | |
In the text |
![]() |
Figure 4:
Line flux of the PAHs feature at 8.6 |
Open with DEXTER | |
In the text |
![]() |
Figure 5:
Line flux of the PAHs complex at 11 |
Open with DEXTER | |
In the text |
![]() |
Figure 6: Fits of the CH line at 4300.3 Å in the UVES spectra of HD 97048 (left) and AB Aur (right) with the OWENS profile fitting procedure. Stellar continuum: dashed line; intrinsic line profile: dotted line; resulting profile convolved with the line-spread function: thick line. |
Open with DEXTER | |
In the text |
Copyright ESO 2010
Current usage metrics show cumulative count of Article Views (full-text article views including HTML views, PDF and ePub downloads, according to the available data) and Abstracts Views on Vision4Press platform.
Data correspond to usage on the plateform after 2015. The current usage metrics is available 48-96 hours after online publication and is updated daily on week days.
Initial download of the metrics may take a while.