Issue |
A&A
Volume 516, June-July 2010
|
|
---|---|---|
Article Number | A24 | |
Number of page(s) | 6 | |
Section | Stellar structure and evolution | |
DOI | https://doi.org/10.1051/0004-6361/200913859 | |
Published online | 22 June 2010 |
SS 433: the accretion disk revealed in H
M. G. Bowler
University of Oxford, Department of Physics, Keble Road, Oxford, OX1 3RH, UK
Received 12 December 2009 / Accepted 17 April 2010
Abstract
Context. The Galactic microquasar SS 433 is very
luminous and ejects opposite jets at approximately one quarter the
speed of light. It is regarded as a super-Eddington accretor but until
recently there were no observations of accretion.
Aims. We present an analysis of spectroscopic optical data obtained before and during a major flare, which yield in H
unambiguous evidence for the accretion disk.
Methods. Already published high resolution spectra, taken with a
3.6-m telescope almost nightly over 0.4 of a precession cycle, are
analysed.
Results. The spectra, taken almost nightly in August and
September 2004, revealed a period of quiescence followed by activity
which culminated in the accretion disk of SS 433 becoming visible. The
visible material in the accretion disk orbited the compact object at
greater than 500 km s-1, implying that the mass of the compact object is less than 37 .
Evidence that an accretion stream joins the disk at over 700 km s-1
suggests that the mass is considerably below this upper limit. The
accretion disk clearly orbits the centre of mass of the binary system
with the compact object, sharing its speed of approximately
175 km s-1. The mass of the companion lies between 20 and 30
and it probably does not fill its Roche lobe.
Key words: stars: binaries: eclipsing - accretion, accretion disks
1 Introduction
The Galactic microquasar SS 433 is famous for its continual ejection
of plasma in two opposite jets at approximately one quarter the speed
of light. The system is a binary with a period of 13.08 days
(Crampton et al. 1980) and eclipses at both conjunctions
(e.g. Goranskii et al. 1998). It seems taken for granted that the compact object is a super-Eddington accretor (see Fabrika 2004,
for a comprehensive review), yet until very recently there has been no
direct evidence for an accretion disk surrounding the compact object.
There is evidence that He II 4686 Å emission has been
observed from the base of the jets (Crampton & Hutchings 1981;
Fabrika & Bychkova 1990; Fabrika 1997) and C II lines orbiting with the compact object have been detected (Gies et al. 2002). The orbital speed of the compact object about the binary centre of mass is thus known to be approximately 175 km s-1. This means the system is massive, certainly greater than 10
(see Fabrika 2004); the observations of the circumbinary disk (Blundell et al. 2008; Perez & Blundell 2009) require approximately 40
.
In August 2004 nightly observations of SS 433, with the 3.6-m telescope
on La Silla, commenced and continued until it became a daylight object
late in September. Results obtained on the relativistic jets (Blundell
et al. 2007) and from the stationary emission lines during the first half of the series of observations (Blundell et al. 2008)
have already
been published. The second paper revealed the circumbinary disk
surrounding the SS 433 system and alluded to unveiling of the accretion
disk after JD 2 453 000 + 274. No analysis of those data
has been published, but the H
spectra themselves can be found in Schmidtobreick & Blundell (2006) Fig. 2. The H
spectra there shown cover JD +245 to +310 and it is evident that after JD +280 the H
structure broadens and in particular a prominent feature appears to the
blue, first emerging clearly on JD +288. This deviates ever
bluewards for about half a period and I contend that it constitutes a
dramatic signature of the accretion disk of SS 433. In the sections
below I discuss the published spectra and my analysis in terms of
Gaussian components. I then present the evidence that these spectra
revealed the accretion disk of SS 433 and the inferences drawn from
these quantitative data.
2 Data
During the period to JD +274 SS 433 was quiescent; thereafter
increased activity culminated in a flaring episode around JD +294
(Blundell et al. 2007, 2008).
Between +274.5 and +287.5 there were only two observations (+281.5,
+282.5) and there was a gap of two nights after 291.5. During the
quiescent period the H
line could for the most part be represented by three components only,
namely a broad component identified with the wind from the accretion
disk and two narrow stationary components identified with the inner
edge of a circumbinary disk (Blundell et al. 2008). The striking change in the
stationary H
complex occurred on or about JD +287.5, when the
H
complex broadened and clearly contains
typically five components. Figure 2 of Schmidtobreick and Blundell (2006) also shows clear absorption notch structure on the blue side of the H
complex after JD +300 and in that same figure marked P Cygni
characteristics are seen in He I spectra and very strongly in O I at
7772 Å. It is worth noting that the moving H
line from the blue jet is to the blue of the stationary line on
JD +291.5 and has transited to the red side on JD +294.5. On
neither date did it confound stationary H
.
![]() |
Figure 1:
Three examples from the digitised sequence of H |
Open with DEXTER |
I therefore digitised the H
spectra plotted in Fig. 2 of Schmidtobreick & Blundell (2006),
from JD +287 to 310. These I fitted with five Gaussian profiles,
occasionally introducing an absorption profile when it greatly improved
the representation of the data. The fits yield a single broad emission
line (standard deviation
20 Å after JD +294) and four
lines which are narrow (standard deviations of a few Å only), Fig. 1.
In the period before the optical outburst the broad line was identified
with the wind from the accretion disk and the lines which appear as the
inner pair in the later period as coming from the circumbinary disk
(Blundell et al. 2008). The results of my fitting show that the
blue line from the circumbinary disk (approximately 6562 Å) can be
traced as far as JD +291 but is reddened or indeed completely
absorbed thereafter. The red circumbinary line is more robust and
survives throughout the sequence, albeit with some reddening from time
to time. This paper is concerned with the outer pair, which are clearly
associated with the accretion disk because their source orbits the
system with the compact object at a speed of approximately
175 km s-1 and period of approximately 13 days.
Table 1: Fitted parameters of the five Gaussian components for each of the three spectra displayed in Fig. 1.
In Fig. 1 I show three examples of digitised spectra and the curves I fitted to them. The lowest panel is for JD +291, just after the compact object is receding at maximum speed. The circumbinary lines are clear, as is the red feature which complements the extreme blue. These extreme lines are probably present on JD +287 but become striking only on JD +288. The middle panel is for JD +294, when the compact object is eclipsed by the companion. In the upper panel, half a period later than the lowest, deviation blue has moved more than 6 Å to approximately its bluest value. This shift is entirely consistent with a change of speed of approximately 350 km s-1 (see Table 1), just as would be expected for the blue side of an accretion disk.
The digitised spectra are the result of taking 56 samples from Fig. 2 of Blundell & Schmidtobreick (2006), with a spacing of 1.45 .
In most cases five Gaussian profiles were fitted; 15 parameters (see Table 1).
The least squares fitting suffered from all the usual problems of
errors frequently highly correlated and local minima in which a fitting
program can easily get trapped. I explored the parameter space to the
extent that I am confident that the central wavelengths of the exterior
fitted Gaussians are usually determined to an accuracy of approximately
1-2
.
Examples of parabolic errors from the fitting program are also given in Table 1.
It should be remembered that the relationship between the Doppler velocities determined from these centroids and the motion of bulk material in the environment of SS 433 may not be entirely straightforward. Very little is known about the accretion features of SS 433 and a phenomenological fit of this kind is the best that can be attempted at present. Strictly speaking, all that is certain is that there is a significant amount of radiating material moving so as to produce the projected Doppler velocity characterised by the centroid of any fitted Gaussian.
3 The accretion disk of SS433 unveiled
Identification of the accretion disk of SS 433 depends on the complete set of data from JD +288.5 to +310.5, almost two orbital periods. These data are displayed in different ways in Figs. 2 and 3. In Fig. 2 the recessional velocities of the extreme red and blue features are plotted as a function of time in a format similar to that of Fig. 1 of Blundell et al. (2008). Time increases upwards but is given in units of the orbital period, orbital phase 0 taken as eclipse of the compact object and its disk by the companion on JD +281.Figure 2 shows that the
blue feature is at its most red at JD +289.5, close to orbital
phase 0.75, and has reached its extreme blue about seven days later.
The difference in recession speeds of the blue source is about
350 km s-1. The most plausible explanation is that
the source of this feature is orbiting the centre of mass of the binary
system with the compact object. The fairly well defined feature in the
red exhibits a similar pattern of deviation toward the blue and after
orbital phase 1.56 (JD +301.5) both features are returning toward
the red. The two lines, swinging together in phase, are separated by
over 1000 km s-1
and this is exactly the pattern to be expected from an accretion region
orbiting the compact object, edge on, at over 500 km s-1. During the period after JD +287 the jets were close to the plane of the sky, making an angle to the line of sight of
initially,
on day 294 and closer to
for the remainder of the observations; see Blundell et al. (2007). If the H
emitting region of the accretion disk is perpendicular to the jet axis,
then it is almost edge on during these observations and the Doppler
speeds of the disk material, projected on the line of sight, are
modulated by the orbital velocity of the compact object about the
binary centre of mass. Further, it is clear that the two extreme
features are drawing further apart with time, which strongly suggests
that the material in the disk is speeding up. This increase in the
difference of projected velocities is not likely to be due to the disk
tilting; it is almost edge on during this period and the increase would
require a tilt of
.
Another possible effect is that different regions of the disk rim
dominate as time goes on, as a result of drifting obscuring material.
For an ideal disk with material in a circular orbit about the compact object and no additional source, the mean recessional speed of the red and blue components would trace a sinusoidal pattern following the orbit of the compact object about the binary centre of mass. The rotational speed of the material about the compact object would be given by half the difference of the recessional speeds. The latter is plotted in the upper part of Fig. 3 and the former in the lower part; it is clear that the disk material is speeding up from about 500 km s-1 to over 700 km s-1 during almost two orbital periods. These numbers should probably be regarded as lower limits, applicable only if the regions of the disk rim to which the line of sight is tangential dominate.
Figures 2 and 3 also reveal that the simple picture of an ideal disk is unlikely to be wholly adequate. After orbital phase 1.25 (JD +297) the blue line attributed to the edge of the disk does not return toward the red along a sinusoidal curve in Fig. 2 but rather hangs in the blue for several days before snapping back rather abruptly. A similar pattern is observed for the red line after phase 1.75. These systematic departures from the most elementary model are readily explained if some radiation comes from a gas stream infalling to the rim of the accretion disk.
![]() |
Figure 2:
The radial velocities of the extreme red and blue components of H |
Open with DEXTER |
The curves superimposed on the data in Figs. 2 and 3
are for a simple model of a rotating disk which slowly speeds up,
augmented by radiation from infalling gas travelling faster than the
rim of the disk prior to joining it. The model is explained more
quantitatively below, but it is clear that it provides a good
explanation of the observations presented in Figs. 2 and 3.
The data are somewhat erratic, but this may not be surprising in such a
violent environment. The relation between the Gaussian centroids and
the sources in the disk may not be straightforward and the disk is only
intermittently visible in H
- obscuring material might have been moving around during the period of
observation. One should beware of over parametrising the data, but the
addition of an infalling stream accounts for the systematic deviations
of the data from the simple model with only the disk, thereby adding
verisimilitude to what might otherwise be held to be a bald and
unconvincing narrative. Thus these data establish that the high speed
components of the stationary H
lines which appear after JD +287.5 are contributed by a ring, or
tight spiral, within the accretion disk of SS 433. It is however not
difficult to believe that the orbital motion of the binary might not be
apparent in a substantially shorter sequence of observations, such as
those in a recent study of the Brackett
line (Perez & Blundell 2009).
![]() |
Figure 3:
The upper part of the figure shows half the difference between
the recessional velocities of the red and blue components. This is
approximately the rotational velocity of the accretion disk; that part
dominating H |
Open with DEXTER |
The model discussed below assumes that an accretion stream becomes visible at or just after orbital phase 0.75. Figures 2 and 3
show that the blue component is bluest just before a phase of 1.5
(rather than at 1.25) and similarly that red is reddest just before an
orbital phase of 2. These are configurations where infalling gas on an
orbit close to parabolic could present considerable depth along the
line of sight and would be moving in the same sense as and faster than
the orbiting material it is destined to join. I have modelled the
effect of H
radiation from such a stream in Eqs. (1), (2) below. In the model the effective rotational speed of the disk rim V varies linearly from 510 km s-1 at orbital phase 0.5 to 770 km s-1 by
JD +310; the orbital speed of the compact object about the centre of mass of the binary
is taken as 175 km s-1 and an infalling stream has speed
in the frame of the compact object. The perceived speeds of the red and blue components are then given by
![]() |
= | ![]() |
(1) |
![]() |
= | ![]() |
(2) |
The switch function







The dependence of the perceived speed of the gas stream on
and the switching functions is merely a simple representation of the
physical argument; the extremes are reached close to the times of
eclipses and the effects vanish at elongations. The curves which are
compared with the data in Figs. 2 and 3 were calculated from Eqs. (1), (2) with
set equal to 170 km s-1 after orbital phase 0.75. A systemic red shift of 70 km s-1 was added, taken from the apparent systemic red shift of the circumbinary disk (Blundell et al. 2008).
The effective orbital speed of the disk material is about 500 km s-1 when it is first revealed and slowly increases to 700 km s-1 over almost two orbits. The widths of the accretion disk lines increase from standard deviation 3 Å
to 6 Å over the same period. Around JD +287 either obscuring
clouds were blown away or material was added to the outer edge of the
accretion disk - or both; the increasing speed and width of the H
emission suggest a picture of matter added at the rim spiraling deeper and faster into the interior. The disk was revealed in H
in violent times; this paper is not concerned with the flaring
phenomenon except insofar as it affects understanding of the disk, but
it is probably relevant that the speed of the wind increases rapidly
from about 500 km s-1 prior to JD +290 to around 1000 km s-1 after JD +294.
It is of some interest to establish a lower limit on the speed of a
stable orbit: to this end compare the claim of Perez & Blundell (2009) to have observed the accretion disk in the far infrared Brackett
line. Those data were taken during a quiescent period; the effective orbital speed of the disk material is
500 km s-1 and nowhere exceeds 600 km s-1.
[Although those data do not reveal the orbital motion about the centre
of mass of the binary, it is hard to see what an alternative origin
might be.] It is reasonable to take as a lower limit on speed of the
outermost radiating hydrogen region 500 km s-1.
This lower limit represents the orbital speed if the accretion disk
spectrum is dominated by regions to which the line of sight is
tangential.
4 The mass of the compact object and the size of the companion
Knowledge of the speed of the compact object
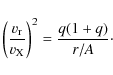
about the centre of mass of the binary and the speed of the circumbinary disk determine a lower limit on q, the ratio of the mass of the compact object
to the mass of the stellar companion
(a lower limit is
,
Blundell et al. 2008). In the same way the observed speed of the accretion disk material sets, in principle, an upper limit on q. Because the system is binary, there is a critical radius
within which (Newtonian) orbits about the compact object are stable; for too great a mass
an orbit with speed 500 km s-1 would lie too far out for stability. The quantity
/
,
being the separation of the two components of the binary, is an approximately linear function of
only, varying from 0.2 for q=0.4 to 0.3 for q=1.4 (Paczynski 1977; Paczynski & Rudak 1980;
Szebehely 1980; Artymowicz & Lubow 1994; Holman & Wiegert 1999). The binary separation A is given by q and the radius of the orbit of the compact object about the centre of mass of the binary
,
in turn given by the period
and the orbital speed
of the compact object. This important number is by now quite well known. The He II result is
km s-1 with an error of 13 km s-1 (see Fabrika 2004) and the C II result of Gies et al. (2002) is 162 km s-1 with an error of 29 km s-1. Below I have taken the value of
to be 175 km s-1 and
to be
cm.
Disk material orbiting the compact object with speed ,
at radii r less than
satisfies (approximately) the equation
![]() |
(3) |
It is convenient to substitute for


![]() |
(4) |
If r is set equal to the critical radius












Table 2: System parameters as a function of mass ratio q.
On JD +294 the companion eclipsed SS 433, closest conjunction
occurring 0.38 days in advance of the observations, according to the
Goranskii ephemeris. Both the red and blue components of H
were stable and neither were eclipsed; both sides of the radiating disk
apparently protruded beyond the limb of the companion. A second eclipse
occurred on JD +307, this time 0.26 days in advance; again
neither component was eclipsed. These observations set limits on the
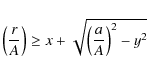
radius to which the companion is opaque, a. For any value of q,
the speed of the orbiting material determines the radius of the orbit
about the compact object and hence simple geometry sets a limit on the
radius of the companion. If the companion were too big, it would
obscure one or both of the projected edges of the accretion disk and it
does not. Very roughly, a/A must be less than
0.3; for comparison, the Roche lobe radius is
0.4. The geometrical considerations are set out below (Eq. (5)).
The orbit is tilted at
to the line of sight, the angle i between the line of sight and the jet precession axis being
.
The disk is close to edge on (precession phase 0.294 on JD +294,
0.374 on JD +307; the jets are very close to the plane of the sky)
and the plane of the disk makes an angle
to the plane of the orbit, approximately
.
The delay of 0.38 days corresponds to orbital phase 0.029 of a period (
= 0.181 rad) and 0.26 days to 0.02 of a period (
= 0.126 rad). The eclipse of JD +307 is more restrictive than that
of JD +294, because the disk extremes are orbiting at
700 km s-1, at half the radius on JD +294. If r is a disk radius, just touching the limb of the companion, then for the red side r/A is related to a/A by the condition
![]() |
(5) |
where




It is frequently assumed that SS 433 is so luminous because the companion continually overflows its Roche lobe (Fabrika 2004). The observations of the accretion disc during eclipse cast some doubt on this assumption. The radius
of the Roche lobe of the companion, in units of A, is a function only of the mass ratio q (Eggleton 1983; see also Chanan et al. 1976; note that these authors use the symbol q to denote
/
). The values are given in Table 2 and it is clear that admissible radii a
are smaller than the Roche lobe radii. Equation (5) assumes a
simple disk geometry but it is likely that the volume of the companion
opaque to H
does not fill its Roche lobe, at least not during this episode. This
does not seem at odds with the relatively short optical eclipses
(Antokhina & Cherepashchuk 1987) but the values of q extracted from longer X-ray eclipses, assuming that the companion fills its Roche lobe (Cherepashchuk et al. 2005, 2008),
are smaller than permitted by the data on the circumbinary and
accretion disks. X-ray eclipses are very varied (Cherepashchuk
et al. 2008) and
it may be that the X-rays are eclipsed not only by the limb of the
companion but also by an atmosphere, associated gas streams and wind
(Fabrika 2004; Cherepashchuk et al. 2008).
These H
eclipse data suggest upper limits on the radius of the companion a/A. It is possible that the IR data of Perez & Blundell (2009)
set a lower limit. Those data show negligible intensity from the
extreme blue component at an orbital phase of 0.96, half a day before
maximum eclipse of the compact object by the companion. The precession
phase is
0.5
and the geometry very simple; if this corresponds to the blue side of
the accretion disk just disappearing behind the limb of the companion,
then a/
-0.23 for q in the range 1.1-0.7. These lower limits compare well with the upper limits in Table 1.
I note that Cherepashchuk et al. (2005) have evidence for absorption lines associated with the companion and orbiting the binary centre of mass at 132 km s-1. This corresponds to a value of q of 0.75, hence a value for
of 18
and a companion mass of 24
.
These numbers are very close to those inferred from the properties of the circumbinary disk (Blundell et al. 2008) but were discarded by Cherepashchuk et al. (2005) on the grounds that X-ray eclipse data are not consistent with a value of q of 0.75 - if the companion fills its Roche lobe.
5 Conclusions
In this sequence of observations I have identified in H
The speed about the compact object of the H
emitting material seems to increase with time from about 500 km s-1 to perhaps as much as 700 km s-1
near JD +310. The accretion disk was invisible up to day 287.5;
either obscuring clouds blew away or material was added to the rim of
the accretion disk and heated up. In a viscous disk, material speeds up
as it spirals in to meet its fate.
The properties of the system now seem to be quite well known. The
compact object is almost certainly a rather massive stellar black hole
and the companion has mass between 20 and 30 .
The radius of the companion is probably
0.25 of the binary separation,
km. It is unlikely that the companion filled its Roche lobe during this episode of instability.
The sudden appearance of the accretion disk in H,
the increase in wind speed some days later and the gradual increase in orbital velocity about
the compact object suggest that the instability was initiated by a
mass ejection from the companion, or some other major disturbance of the outer regions of the accretion disk.
The results reported here are further evidence of the power of the Blundell/Schmidtobreick sequence of observations, made possible by the grant of Director's Discretionary Time on the 3.6-m New Technology Telescope. The spectra were originally fitted with Gaussians by K. M. Blundell and I was informed by her results and a number of stimulating discussions with her. I thank D. R. Bowler for patient instruction in the art of life after Fortran.
References
- Antokhina, E. A., & Cherepashchuk, A. M. 1987, SvA, 31, 295 [NASA ADS] [Google Scholar]
- Artymowicz, P., & Lubow, S. H. 1994, ApJ, 421, 651 [NASA ADS] [CrossRef] [Google Scholar]
- Blundell, K. M., Bowler, M. G., & Schmidtobreick, L. 2007, A&A, 474, 903 [NASA ADS] [CrossRef] [EDP Sciences] [Google Scholar]
- Blundell, K. M., Bowler, M. G., & Schmidtobreick, L. 2008, ApJ, 678, L47 [Google Scholar]
- Chanan, G. A., Middleditch. J., & Nelson, J. E. 1976, ApJ, 208, 512 [NASA ADS] [CrossRef] [Google Scholar]
- Cherepashchuk, A. M., Sunyaev, R. A., Fabrika, S. N., et al. 2005, A&A, 437, 561 [NASA ADS] [CrossRef] [EDP Sciences] [Google Scholar]
- Cherepashchuk, A. M. et al. 2008, PoS1 Nov 7th INTEGRAL workshop [Google Scholar]
- Crampton, D., & Hutchings, J. B. 1981, ApJ, 251, 604 [NASA ADS] [CrossRef] [Google Scholar]
- Crampton, D., Cowley, A. P., & Hutchings, J. B. 1980, ApJ, 235, L131 [NASA ADS] [CrossRef] [Google Scholar]
- Dopita, M. A., & Cherepashchuk, A. M. 1981, Vistas in Astr., 25, 51 [NASA ADS] [CrossRef] [Google Scholar]
- Eggleton, P. P. 1983, ApJ, 268, 368 [NASA ADS] [CrossRef] [Google Scholar]
- Fabrika, S. N. 1997, Astrophys. Space Sci., 252, 439 [Google Scholar]
- Fabrika, S. 2004, Astrophys. Space Phys. Rev., 12, 1 [NASA ADS] [Google Scholar]
- Fabrika, S. N., & Bychkova, L. V. 1990, A&A, 240, L5 [NASA ADS] [Google Scholar]
- Falomo, R., Boksenberg, A., Tanzi, E. G., Tarenghi, M., & Treves, A. 1987, MNRAS, 224, 323 [NASA ADS] [Google Scholar]
- Gies, D. R., McSwain, M. V., Riddle, R. L., et al. 2002, ApJ, 566, 1069 [NASA ADS] [CrossRef] [Google Scholar]
- Goranskii, V. P., Esipov, V. F., & Cherepashchuk, A. M. 1998, Astron. Rep., 42, 209 [NASA ADS] [Google Scholar]
- Holman, M. J., & Wiegert, P. A. 1999, AJ, 117, 621 [NASA ADS] [CrossRef] [Google Scholar]
- Kopylov, I. M., Kumaigorodskaya, R. N., & Somova, T. A. 1985, SvA, 29, 186 [NASA ADS] [Google Scholar]
- Paczynski, B. 1977, ApJ., 216, 822 [NASA ADS] [CrossRef] [Google Scholar]
- Paczynski, B. & Rudak, B. 1980, Acta Astron., 30, 237 [NASA ADS] [Google Scholar]
- Perez S., & Blundell, K. M. 2009 MNRAS, 397, 849 [Google Scholar]
- Schmidtobreick, L., & Blundell, K. 2006, VI Microquasar Workshop: Microquasars and Beyond [Google Scholar]
- Szebehely, V. 1980, Celest. Mech., 22, 7 [NASA ADS] [CrossRef] [Google Scholar]
All Tables
Table 1: Fitted parameters of the five Gaussian components for each of the three spectra displayed in Fig. 1.
Table 2: System parameters as a function of mass ratio q.
All Figures
![]() |
Figure 1:
Three examples from the digitised sequence of H |
Open with DEXTER | |
In the text |
![]() |
Figure 2:
The radial velocities of the extreme red and blue components of H |
Open with DEXTER | |
In the text |
![]() |
Figure 3:
The upper part of the figure shows half the difference between
the recessional velocities of the red and blue components. This is
approximately the rotational velocity of the accretion disk; that part
dominating H |
Open with DEXTER | |
In the text |
Copyright ESO 2010
Current usage metrics show cumulative count of Article Views (full-text article views including HTML views, PDF and ePub downloads, according to the available data) and Abstracts Views on Vision4Press platform.
Data correspond to usage on the plateform after 2015. The current usage metrics is available 48-96 hours after online publication and is updated daily on week days.
Initial download of the metrics may take a while.