Issue |
A&A
Volume 516, June-July 2010
|
|
---|---|---|
Article Number | A84 | |
Number of page(s) | 8 | |
Section | The Sun | |
DOI | https://doi.org/10.1051/0004-6361/200913874 | |
Published online | 20 July 2010 |
Instability of twisted magnetic tubes with axial mass flows
T. V. Zaqarashvili1,3 - A. J. Díaz2 - R. Oliver2 - J. L. Ballester2
1 - Space Research Institute, Austrian Academy of Sciences, Graz, Austria
2 -
Departament de Física, Universitat de les Illes Balears, 07122 Palma de Mallorca, Spain
3 -
Abastumani Astrophysical Observatory at Ilia State University, Kazbegi ave. 2a, Tbilisi, Georgia
Received 15 December 2009 / Accepted 16 March 2010
Abstract
Context. Recent observations of various kinds of jets in the
solar atmosphere motivate studying the influence of mass flow on the
stability of solar magnetic structures.
Aims. We study the influence of axial mass flows on the stability of twisted magnetic flux tubes.
Methods. We use the incompressible magnetohydrodynamic equations
to get the dispersion relation governing the behaviour of normal modes
in uniformly twisted magnetic tubes with sub-Alfvénic flows. The
dispersion relation is then solved analytically and numerically to find
stability criteria for twisted tubes with flow.
Results. Two main important results are found. First, the axial
mass flow reduces the threshold of kink instability in twisted magnetic
tubes. Second, the twist of magnetic tubes leads to the
Kelvin-Helmholtz instability of sub-Alfvénic flows for the harmonics
with a large enough azimuthal wave number -m.
Conclusions. The observed mass flow may trigger the kink
instability in magnetic configurations that are near their stability
threshold, leading to solar flares and coronal mass ejections. The
effect is more significant for photospheric magnetic tubes than for
coronal ones. Sub-Alfvénic flows undergo the Kelvin-Helmholtz
instability in slightly twisted magnetic tubes if the azimuthal
wavenumber is big enough.
Key words: magnetohydrodynamics (MHD) - instabilities - Sun: atmosphere
1 Introduction
Recent observations with high spatial and temporal resolutions have revealed the complex structure and dynamics of the solar atmosphere. Various jets and flows are observed in photospheric/chromospheric magnetic structures (Katsukawa et al. 2007; Shibata et al. 2007; De Pontieu et al. ; Nishizuka et al. 2008), coronal loops (Shibata et al. 1992; Winebarger et al. 2002; Ofman & Wang 2008), prominences (Lin et al. 2003,2005; Okamoto et al. 2007) and coronal holes (Cirtain et al. 2007; Scullion et al. 2009).
Hydrodynamic flows are generally subject to the classical Kelvin-Helmholtz instability (Drazin & Reid 1981). A flow-aligned magnetic field may stabilise sub-Alfvénic flows, while a transverse magnetic field seems to have no effect on the instability (Chandrasekhar 1961; Sen 1963; Ferrari et al. 1981; Cohn 1983). Therefore, the magnetic field topology is crucial for the threshold of flow instability; namely, the twist of magnetic tubes may affect the instability properties of axial mass flows.
Oscillations of magnetic tubes with mass flows have been studied intensively (Roberts 1987; Goossens et al. 1992; Terra-Homem et al. 2003; Soler et al. 2008,2009,2010; Gruszecki et al. 2008; Terradas et al. 2008,2010; Vasheghani Farahani et al. 2009). They show that including flow modifies the phase speeds and consequently the propagation properties of tube waves. However, all these works consider the effect of mass flow on the magnetohydrodynamic oscillations of untwisted magnetic tubes. The considered flows are essentially sub-Alfvénic, hence below the threshold of the Kelvin-Helmholtz instability.
The solar magnetic field has quite complicated topology in the whole solar atmosphere. Photospheric motions may stretch and twist anchored magnetic fields, which may lead to the consequent changes in topology at higher regions. The observed rotation of sunspots (Brown et al. 2003; Yan & Qu 2007) may lead to twisting of the magnetic tubes above active regions. On the other hand, the newly emerged magnetic tubes are supposed to be twisted during the rising phase through the convection zone (Moreno-Insertis & Emonet 1996; Archontis et al. 2004; Murray & Hood 2008; Hood et al. 2009). Therefore, solar magnetic tubes should have been twisted at photospheric, chromospheric, and coronal levels. Solar prominences are also supposed to be formed in a twisted magnetic field (Priest et al. 1989). However, not all works on prominence formation and equilibrium assume twisted fields, and the issue is still not clear today.
Magnetic tubes are subject to the kink instability when the twist exceeds a critical value (Lundquist 1951; Hood & Priest 1979). The kink instability may then be the triggering mechanism for solar flares, which may heat the coronal plasma (Velli et al. 1990; Linton et al. 1998; Gerrard et al. 2004; Browning et al. 2008), and for filament instabilities, which may lead to coronal mass ejections (CMEs) (Zhou et al. 2006; Liu et al. 2007).
The normal mode analysis of twisted magnetic tubes without flow has been performed in early works (Dungey & Loughhead 1954; Roberts 1956; Bennett et al. 1999; Carter & Erdélyi 2008), and they show a threshold of the kink instability similar to what is obtained by an energy consideration method (Lundquist 1951). However, a flow along the twisted magnetic tube may decrease the threshold for the kink instability, as recently supposed and tested experimentally (Furno et al. 2007). Then, the observed flows may trigger solar flares and CMEs, which may have a tremendous importance for solar physics and space weather predictions.
In this paper, we aim to study the stability of twisted magnetic tubes with axial mass flows using normal mode analysis. We consider two different phenomena. First, we show that the threshold of kink instability is decreased due to the mass flow. And second, the Kelvin-Helmholtz instability may take place for sub-Alfvénic flows because of the twist of magnetic tubes.
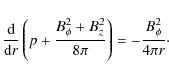
2 Formulation of the problem and dispersion relation
We consider a magnetic flux tube with density
embedded
in a field-free environment with density
.
Both
and
are supposed to be homogeneous. The
cylindrical coordinate system
is used, where the
magnetic field has the following form:
.
The
unperturbed magnetic field and pressure satisfy the pressure balance
condition
We consider the mass flow (0,0,Uz) inside the magnetic tube directed along the z axis, so the equilibrium mass flow is not field-aligned. Magnetic field lines are just being dragged by the flow without deformation, so no electric currents arise during the motion. Boundary conditions in the longitudinal direction may create some problems, but not in our case of an unbounded tube. In general, Uzcan be a function of r, but we consider the simplest homogeneous case. No mass flow is considered outside the tube, so the surrounding coronal medium is considered to be unmagnetised (


As the unperturbed parameters only depend on the r coordinate, the
perturbations can be Fourier-analysed with
.
The equations governing the incompressible dynamics of the plasma are (Goossens
et al. 1992)
where

and
is the Doppler-shifted frequency.
Here
is the radial displacement and
the total
(hydrostatic+magnetic) perturbed pressure. Equations (2), (3)
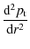
can be cast into one equation:
The solution of this equation depends on the magnetic field and density profiles. We consider a magnetic flux tube with homogeneous density


where
A similar equation has been obtained by Dungey & Loughhead (1954) and Bennett et al. (1999) in the absence of flow, i.e. for Uz=0.
The solution bounded at the tube axis is
where

The total pressure perturbation outside the tube is governed by the
same Bessel equation, but m20 is replaced by k2. The solution
bounded at infinity is
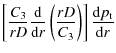
In the following we always consider positive k. The boundary conditions at the tube surface r=a are the continuity of Lagrangian displacement and total Lagrangian pressure (Dungey & Loughhead 1954; Roberts 1956; Bennett et al. 1999), i.e.,
and
Using these conditions we can derive the dispersion equation governing the oscillations of a twisted magnetic tube with axial mass flow
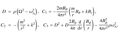
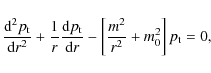
where

Here








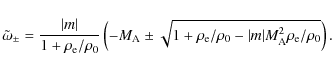
Complex solutions of the dispersion relation (Eq. (13)) indicate the instability conditions of the twisted magnetic tube with mass flow, since one of the solutions has a positive imaginary part and grows exponentially in time. We first concentrate on the instability of the m=1 kink mode and then turn to the Kelvin-Helmholtz instability of sub-Alfvénic flows.
3 Kink instability of a twisted tube with a mass flow
![]() |
Figure 1:
Frequency versus wave number calculated from the dispersion
relation (Eq. (13)) for the kink mode (m=1) and a density ratio typical of
photospheric conditions,
|
Open with DEXTER |
![]() |
Figure 2:
Same as Fig. 1 for a density ratio
typical of coronal conditions,
|
Open with DEXTER |
The threshold for the kink instability can be found analytically
through the marginal stability analysis, i.e. considering
(Chandrasekhar 1961; Dungey & Loughhead
1954; Bennett et al. 1999). However, in our
case the marginal stability should be derived by setting
or
.
This is clearly seen in
Figs. 1 and 2, where the numerical solutions
of the dispersion relation (13) are presented for tubes with
photospheric and coronal conditions, respectively. The figures show
the real and imaginary parts of frequency versus the wave number k
a in non-flow
(top panel) and flow
(bottom
panel) regimes for m=1 kink mode. There are many stable harmonics
represented by solid lines in the upper parts of the plots, which
merge towards the frequency for which the denominator in
Eq. (15) vanishes, namely,
This equation is obtained when









Therefore, we study the marginal stability by adopting
in the
dispersion relation (Eq. (13)), which takes the form
where
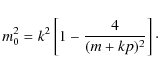
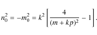
Then, following the calculations of Dungey & Loughhead (1954) and Bennett et al. (1999), if (m+kp)2>4, then m0 is real and we can observe that
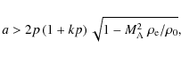
The right-hand side of Eq. (17) is smaller than |m|, so this equation is not satisfied in the above conditions. If (m+kp)2=4, then m0=0and the boundary conditions are not satisfied (see Dungey & Loughhead 1954). Therefore, the condition for marginal instability is
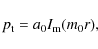
In this situation it is convenient to use
We can derive the stability condition for each mode with different m. Equation (20) shows that only the m<2 modes can be unstable when m and kp have the same sign. However, higher order harmonics can also be unstable if m and kp have different signs (see the next section). Let us now discuss the kink m=1 mode.
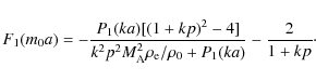
For the kink mode, Eq. (17) is rewritten as
The long wavelength approximation


and

This is Eq. (38) of Bennett et al. (1999) multiplied by










Complex solutions at the bifurcation points are also shown in Fig. 1. It is clearly seen how the stable regime is replaced by the unstable one when increasing ka. The instability begins for smaller ka in the presence of flow (bottom panel), and the real part of the unstable mode is zero in the case M=0.
![]() |
Figure 3:
Stability diagram of the
|
Open with DEXTER |
![]() |
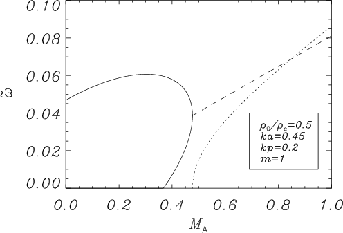
Figure 4: Dependence on the flow speed of the instability threshold of the particular m=1 harmonic with ka=0.45 and kp=0.2. The solid line represents the real frequency, while the dashed (dotted) line corresponds to the real (imaginary) part of the complex frequency. The frequency becomes complex when the flow speed reaches about 0.45 the Alfvén speed. |
Open with DEXTER |
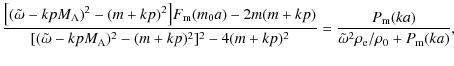
Figure 3 shows an stability diagram similar to those of Dungey & Loughhead (1954) and Bennett et al. (1999) incorporating the mass flow effects for a photospheric density ratio. The equivalent plots of the non-flow solution of Dungey & Loughhead (1954) have been overplotted for better comparison. Including the flow shifts the stability curve down, thus making the configuration more unstable, but we can check that even for such a high Alfvén Mach number the shift is relatively small.
![]() |
Figure 5:
Real part of the frequency at the bifurcation point. The
dotted line is |
Open with DEXTER |
The dependence of the instability threshold on the flow is clearly seen in
Fig. 4, where the frequency dependence of the particular m=1harmonic with ka=0.45 and kp=0.2 on the flow speed is shown (both real and
imaginary parts). We see that the harmonic is stable for
and becomes
unstable for
.
The same relation can be derived from the
analytical stability criterion (23). This clearly shows the
destabilising effect of the flow, since a mode that is stable (although close
to the instability margin), becomes unstable when the flow speed is increased.
Equation (23) shows that the flow effect is more efficient for magnetic
tubes with
(photospheric tubes, coronal holes) than for dense ones,
with
(coronal loops), since the term
is much
smaller than
in the right-hand side of Eq. (13) when the
frequency is close to the stability threshold. In that condition, we can
consider that Eq. (13) is approximately equal to the dispersion
relation found in Dungey & Loughhead (1954) and Bennett et al.
(1999) when substituting their frequency by the Doppler-shifted frequency
(Eq. (5)). Therefore, the stability diagrams are very close to
the
counterparts in coronal conditions (and even closer in prominence
conditions, since
). Figure 5 shows the dependence
of the stability threshold on the density ratio
for less dense tubes, which correspond to the photosphere and coronal holes,
and for dense coronal loops. Indeed, the photospheric tubes are more
sensitive to the axial flows than the coronal ones, since the threshold is
further from the Doppler-shifted frequency
,
caused by the right-hand
side of Eq. (13) being further from unity and the only
non-Doppler-shifted frequency term in Eq. (13) being relevant.
Even in the photospheric case, the frequency of the stability threshold is
still close to
,
thus justifying the assumption made to obtain
Eq. (17).
The numerical solutions of the dispersion relation (Eq. (13)) confirm the validity of the analytical stability criterion (23). It is seen that the axial flow reduces the threshold of the kink instability. The twisted magnetic tube, which is stable in the absence of flow, thus becomes unstable when plasma begins to flow along its axis. Therefore, the plasma flow may trigger the kink instability in otherwise stable magnetic configurations in our model, but for typical values in the solar atmosphere, the configuration without flow must be close to the stability threshold for the twist to become unstable when the flow is added. For less twisted tubes, the addition of flow does not induce the kink instability even for high values of the Alfvén Mach number.
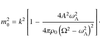
4 Kelvin-Helmholtz instability of sub-Alfvénic flows in twisted magnetic tubes
The Kelvin-Helmholtz instability of inhomogeneous flows is a hydrodynamic phenomenon that is eventually suppressed by including a sufficiently large flow-aligned magnetic field. It is generally believed that sub-Alfvénic, field-aligned flows are stable. However, the perpendicular component of the magnetic field seems to have no effect on the instability (Chandrasekhar 1961; Sen 1963; Ferrari et al. 1981; Cohn 1983; Singh & Talwar 1994). Then, a flow with an angle to the magnetic field always has a component perpendicular to the field, which can be unstable. Therefore, the flow along the twisted tube should be unstable even if its speed is less than Alfvénic. In this section, we show that this indeed happens in our model.
We consider perturbations propagating nearly perpendicular to the magnetic
field, which seem to be most unstable ones (Pataraya & Zaqarashvili
1995). For these perturbations
,
and since in this paper
in cylindrical
coordinates, this condition gives
using the definition of the pitch in Eq. (14).
Then, Eq. (13) is significantly simplified to the expression:
Using the long wave length approximation,


and

which gives
The solution of this algebraic equation using the approximation of Eq. (24) is
The condition for

Thus, the harmonics with sufficiently high m are unstable for any value of

![]() |
Figure 6:
Frequency versus kp for m=2 and m=3 modes when the
flow speed is
|
Open with DEXTER |
![]() |
Figure 7:
Frequency versus kp for m=6 modes for three different values
of the flow speed. The two modes are stable for
|
Open with DEXTER |
![]() |
Figure 8: Frequency versus m for a fixed value of the flow speed. Here we solved Eq. (13) considering m=-kp as a real number, but the symbols mark the positions were m is an integer, hence a physically meaningful solution. Solid lines correspond to real solutions and the dashed line to the real part of imaginary solutions, while dotted lines represent the imaginary part of the solutions. |
Open with DEXTER |
Figure 6 displays the numerical solution of the dispersion relation in
Eq. (13) for a magnetic tube with
and
,
corresponding to the flow speed
.
For this case, the instability
criterion of Eq. (28) yields the critical value m=2.66. Indeed, we see
in the figure that the m=2 modes (top panel) are always stable, while some
m=3 modes have complex frequencies so are unstable in the wave number
interval around kp=-3, as suggested by Eq. (24). The modes
located in the interval
-4<kp<-2.5 are unstable, therefore Eq. (24)
is not a strict criterion. Modes that propagate nearly perpendicular to the
magnetic field are all unstable, therefore the instability develops very quickly,
even if kp is not exactly -m (and the propagation is not purely
perpendicular to the field).
Figure 7 shows the transition from stable to unstable regimes for
m=6 modes near the critical flow speed value
(
), which is estimated from Eq. (28). We see the two stable
modes for
(top panel), then the modes become very close for
,
but still stay stable (middle panel), and they finally become
unstable for
(bottom panel). Again, the instability occurs inside
the whole interval
-6.5<kp<-5.5. We can check Eq. (28) from a different
point of view by plotting the frequency of the solutions for a fixed value of
the flow speed for different values of the azimuthal number, which is plotted in
Fig. 8. For the parameters used here, the threshold
value is m=6, and the instability is triggered for higher values of m.
![]() |
Figure 9:
Frequency versus wave number calculated from the dispersion
relation (Eq. (13)) for the parameters m=3,
|
Open with DEXTER |
Numerical solutions of the dispersion relation Eq. (13) show that many modes propagating with an angle to the normal of the unperturbed magnetic field are unstable. Therefore, sub-Alfvénic flows in slightly twisted magnetic tubes quickly become unstable owing to the Kelvin-Helmholtz instability.
Equation (28) is derived for the long wavelength approximation, but it
is interesting to show the growth rates for the modes with different
wavelengths. Figure 9 shows the dependence of real and imaginary parts of
frequency on ka for
,
m=3,
,
and kp=-3.6 (inside
the instability region in Fig. 6). The
bifurcations above the upper frequency band are due to the Kelvin-Helmholtz
instability. The growth rate is stronger for smaller ka, making the modes with
longer wave length the most unstable. However, there are unstable modes with
shorter wave lengths as well. It is difficult to judge the penetration
depth of the instability into magnetic tubes in the framework of linear theory.
However, some estimations can be made using the solution inside the tube, e.g.,
Eq. (9). The unstable modes with smaller ka and larger m are
probably located near the tube surface, while the modes with larger ka may
penetrate deeper and cause the destabilisation of the whole tube. Intense
numerical simulations are needed for a detailed study of this problem.
5 Discussion
Axial mass flows and twisting of magnetic flux tubes lead to two different
instability processes, which are well studied separately in previous works.
Axial flows in untwisted magnetic tubes may lead to the Kelvin-Helmholtz
instability, which is essentially a hydrodynamic phenomenon. A sufficiently
strong magnetic field (with
1) completely stabilises the
instability (Chandrasekhar 1961; Sen 1963; Ferrari
et al. 1981; Cohn 1983). On the other hand, twisted
magnetic tubes without flow may undergo the kink instability when the twist
exceeds a critical value with the stability criterion 2p<a (Lundquist
1951). We have shown that the joint action of axial mass flow
and twisting increases the probability of instability in magnetic tubes. Both
kink and Kelvin-Helmholtz instabilities require separate discussions.
The kink instability is connected to the symmetric (m=1) mode, which displaces
the tube axis. When the tube is twisted, then the displacement of the axis leads
to inhomogeneous twists on opposite sides of the displacement, which eventually
causes the instability. It turns out that the axial mass flow decreases the
threshold for the instability; i.e. the instability may set on with smaller
twist. Therefore, if the magnetic configuration is in a stable static
equilibrium, then the mass flow may lead to its destabilisation. The
phenomenon is more pronounced in photospheric magnetic tubes, i.e., when
.
Dense coronal loops and prominence threads with
are less
affected by the flow. However, if the configurations are near the threshold,
then even sub-Alfvénic flows may trigger the kink instability, which then may
lead to solar flares and CMEs, Therefore, flows can be important in coronal
loops and prominence plasma as well.
The Kelvin-Helmholtz instability is essentially a flow-induced phenomenon and is
strongly affected by the axial magnetic field. However, even a slight twist of
the magnetic tube leads to the instability of sub-Alfvénic flows. In this
case, the flow vector has a component perpendicular to the magnetic field, which
behaves as a hydrodynamic flow undergoing the Kelvin-Helmholtz instability. We
have shown that unstable modes propagate nearly perpendicular to the magnetic
field, i.e.,
,
which in our notations gives
.
Therefore, any sub-Alfvénic mass motion can be unstable if it
flows along twisted magnetic tubes. This phenomenon can be important for
recently observed numerous jets and motions in the solar atmosphere. For
example, the type II spicules, observed in the solar chromosphere by SOT (solar
optical telescope) on board the Hinode spacecraft, have high upward flow
speeds (but probably still sub-Alfvénic) of 50-150 km s-1 and short life times of
10-150 s (De Pontieu et al. 2007). The short life time of these
features has not been explained yet; however, they can undergo the Kelvin-Helmholtz
instability and fade away rapidly if they flow along twisted magnetic fields.
This suggestion can be tested by observations.
It must be mentioned that here we consider the simplest incompressible approximation (infinite sound speed). This is because of mathematical difficulties associated to twisted configurations. Therefore, the results obtained under this approximation can be easily applied to the photospheric level. On the other hand, coronal conditions require more sophisticated calculations.
We only consider a very simple configuration with homogeneous twist and uniform axial flow. It would be interesting to study the effect of a flow in more complicated configurations. Baty (2001) considered the triggering of kink instabilities in different magnetic field configurations and shows that each equilibrium has its particular threshold of instability, especially when the loop radius a is comparable to or less than the pitch p. We expect that longitudinal flows may reduce the instability threshold in any configuration, but probably with different mathematical expressions than those in Eqs. (23) or (28). This point can be subject of future study.
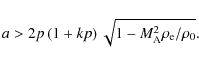
6 Conclusions
We have shown that
the axial mass flow reduces the kink instability threshold in
twisted magnetic tubes. Lundquist's stability criterion is replaced by the
new formula

where


For coronal conditions (and even more for prominence
material), the stability thresholds are almost the same as the ones
given by Dungey & Loughhead (1954) and Bennett et al.
(1999) substituting their frequency by the
Doppler-shifted frequency, since in these conditions
,
and since
,
in Eq. (13), so the only non-Doppler-shifted
frequency can be substituted by the Doppler-shifted one. Hence, the
only effect is that an intense flow may unstabilize a very twisted
configuration close to the instability margin, but otherwise the
only contribution is to Doppler-shift the frequencies of the modes.
Finally, even a slight magnetic tube twist leads to the Kelvin-Helmholtz
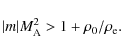
instability of axial sub-Alfvénic flows. The condition for the
Kelvin-Helmholtz instability is

Modes with sufficiently large m which yield nearly perpendicular propagation to the magnetic field (i.e.

The work of T.Z. was supported by the Austrian Fond zur Förderung der Wissenschaftlichen Forschung (project P21197-N16) and the Georgian National Science Foundation grant GNSF/ST09/4-310. A.J.D. thanks the Spanish MICINN for support under a Juan de la Cierva Postdoc Grant. A.J.D., R.O., and J.L.B. also acknowledge the financial support from the Spanish MICINN, FEDER funds, under Grant No. AYA2006-07637. T.Z. acknowledges the hospitality of the Departament de Física of the Universitat de les Illes Balears, where this work was done.
References
- Archontis, V., Moreno-Insertis, F., Galsgaard, K., Hood, A., & O'Shea, E. 2004, A&A, 426, 1047 [NASA ADS] [CrossRef] [EDP Sciences] [Google Scholar]
- Baty H. 2001, A&A, 367, 321 [NASA ADS] [CrossRef] [EDP Sciences] [Google Scholar]
- Bennett, K., Roberts, B., & Narain, U. 1999, Sol. Phys., 185, 41 [NASA ADS] [CrossRef] [Google Scholar]
- Brown, D. S., Nightingale, R. W., Alexander, D., et al. 2003, Sol. Phys., 216, 79 [NASA ADS] [CrossRef] [Google Scholar]
- Browning, P. K., Gerrard, C., Hood, A. W., Kevis, R., & van der Linden, R. A. M. 2008, A&A, 485, 837 [NASA ADS] [CrossRef] [EDP Sciences] [Google Scholar]
- Carter, B. K., & Erdélyi, R. 2008, A&A, 481, 239 [NASA ADS] [CrossRef] [EDP Sciences] [Google Scholar]
- Chandrasekhar, S. 1961, Hydrodynamic and Hydromagnetic Stability (London: Oxford University Press) [Google Scholar]
- Cirtain, J. W., et al. 2007, Science, 318, 1580 [NASA ADS] [CrossRef] [PubMed] [Google Scholar]
- Cohn, H. 1983, ApJ, 269, 500 [NASA ADS] [CrossRef] [Google Scholar]
- De Pontieu, B., et al. 2007, PASJ, 59, S655 [Google Scholar]
- Drazin, P. G., & Reid, W. H. 1981, Hydrodynamic Stability (Cambridge: Cambridge University Press) [Google Scholar]
- Dungey, J. W., & Loughhead, R. E. 1954, Austr. J. Phys., 7, 5 [NASA ADS] [CrossRef] [Google Scholar]
- Ferrari, A., Trussoni, E., & Zaninetti, L. 1981, MNRAS, 196, 1051 [NASA ADS] [Google Scholar]
- Furno, I., Intrator, T. P., Lapenta, G., et al. 2007, Phys. Plasmas, 14, 022103 [NASA ADS] [CrossRef] [Google Scholar]
- Hood, A. W., & Priest, E. R. 1979, Sol. Phys., 64, 303 [NASA ADS] [CrossRef] [Google Scholar]
- Hood, A. W., Archontis, V., Galsgaard, K., & Moreno-Insertis, F. 2009, A&A, 503, 999 [NASA ADS] [CrossRef] [EDP Sciences] [Google Scholar]
- Gerrard, C. L., Hood, A. W., & Brown, D. S. 2004, Sol. Phys., 222, 79 [NASA ADS] [CrossRef] [Google Scholar]
- Goossens, M., Hollweg, J. V., & Sakurai, T. 1992, Sol. Phys., 138, 223 [Google Scholar]
- Gruszecki, M., Murawski, K., & Ofman, L. 2008, A&A, 488, 757 [NASA ADS] [CrossRef] [EDP Sciences] [Google Scholar]
- Katsukawa, Y., et al. 2007, Science, 318, 1594 [NASA ADS] [CrossRef] [Google Scholar]
- Lin, Y., Engvold, O., & Wiik, J. E. 2003, Sol. Phys., 216, 109 [NASA ADS] [CrossRef] [Google Scholar]
- Lin, Y., Engvold, O., Rouppe van der Voort, L. H. M., Wiik, J. E., & Berger, T. E. 2005, Sol. Phys., 226, 239 [NASA ADS] [CrossRef] [Google Scholar]
- Linton, M. G., Dahlburg, R. B., Fisher, G. H., & Longcope, D. W. 1998, ApJ, 507, 404 [NASA ADS] [CrossRef] [Google Scholar]
- Liu, R., Alexander, D., & Gilbert, H. R. 2007, ApJ, 661, 1260 [NASA ADS] [CrossRef] [Google Scholar]
- Lundquist, S. 1951, Phys. Rev., 83, 307 [NASA ADS] [CrossRef] [Google Scholar]
- Moreno-Insertis, F., & Emonet, T. 1996, ApJ, 472, L53 [NASA ADS] [CrossRef] [Google Scholar]
- Murray, M. J., & Hood, A. W. 2008, A&A, 479, 567 [NASA ADS] [CrossRef] [EDP Sciences] [Google Scholar]
- Nishizuka, N., Shimizu, M., Nakamura, T., et al. 2008, ApJ, 683, L83 [NASA ADS] [CrossRef] [Google Scholar]
- Ofman, L., & Wang, T. J. 2008, A&A, 482, L9 [NASA ADS] [CrossRef] [EDP Sciences] [Google Scholar]
- Okamoto, T. J., et al. 2007, Science, 318, 1557 [Google Scholar]
- Pataraya, A. D., & Zaqarashvili, T. V. 1995, Sol. Phys., 157, 31 [NASA ADS] [CrossRef] [Google Scholar]
- Priest, E. R., Hood, A. W., & Anzer, U. 1989, ApJ, 344, 1010 [NASA ADS] [CrossRef] [Google Scholar]
- Roberts, B. 1987, ApJ, 318, 590 [NASA ADS] [CrossRef] [Google Scholar]
- Roberts, P. H. 1956, ApJ, 124, 430 [NASA ADS] [CrossRef] [Google Scholar]
- Scullion, E., Popescu, M. D., Banerjee, D., Doyle, J. G., & Erdélyi, R. 2009, ApJ, 704, 1385 [NASA ADS] [CrossRef] [Google Scholar]
- Sen, A. K. 1963, Phys. Fluids., 6, 1154 [NASA ADS] [CrossRef] [Google Scholar]
- Singh, A. P., & Talwar, S. P. 1994, Sol. Phys., 149, 331 [NASA ADS] [CrossRef] [Google Scholar]
- Shibata, K., et al. 1992, PASJ, 44, L177 [Google Scholar]
- Shibata, K., Nakamura, T., Matsumoto, T., et al. 2007, Science, 318, 1591 [Google Scholar]
- Soler, R., Oliver, R., & Ballester, J. L. 2008, ApJ, 684, 725 [NASA ADS] [CrossRef] [Google Scholar]
- Soler, R., Oliver, R., & Ballester, J. L. 2009, ApJ, 693, 1601 [NASA ADS] [CrossRef] [Google Scholar]
- Soler, R., Terradas, J., Oliver, R., Ballester, J. L., & Goossens, M. 2010, ApJ, 712, 875 [NASA ADS] [CrossRef] [Google Scholar]
- Srivastava, A. K., Zaqarashvili, T. V., Kumar, P., & Khodachenko, M. L. 2010, ApJ, 715, 292 [NASA ADS] [CrossRef] [Google Scholar]
- Terradas, J., Andries, J., Goossens, M., et al. 2008, ApJ, 687, L115 [Google Scholar]
- Terradas, J., Goossens, M., & Ballai, I. 2010, A&A, 515, A46 [NASA ADS] [CrossRef] [EDP Sciences] [Google Scholar]
- Terra-Homem, M., Erdélyi, R., & Ballai, I. 2003, Sol. Phys., 217, 199 [NASA ADS] [CrossRef] [Google Scholar]
- Velli, M., Hood, A. W., & Einaudi, G. 1990, ApJ, 350, 428 [NASA ADS] [CrossRef] [Google Scholar]
- Vasheghani Farahani, S., Van Doorsselaere, T., Verwichte, E., & Nakariakov, V. M. 2009, 498, L29 [Google Scholar]
- Winebarger, A. R., Warren, H., van Ballegooijen, A., DeLuca, E. E., & Golub, L. 2002, ApJ, 567, L89 [NASA ADS] [CrossRef] [Google Scholar]
- Yan, X. L., & Qu, Z. Q. 2007, A&A, 468, 1083 [NASA ADS] [CrossRef] [EDP Sciences] [Google Scholar]
- Zhou, G. P., Wang, J. X., Zhang, J., et al. 2006, ApJ, 651, 1238 [NASA ADS] [CrossRef] [Google Scholar]
All Figures
![]() |
Figure 1:
Frequency versus wave number calculated from the dispersion
relation (Eq. (13)) for the kink mode (m=1) and a density ratio typical of
photospheric conditions,
|
Open with DEXTER | |
In the text |
![]() |
Figure 2:
Same as Fig. 1 for a density ratio
typical of coronal conditions,
|
Open with DEXTER | |
In the text |
![]() |
Figure 3:
Stability diagram of the
|
Open with DEXTER | |
In the text |
![]() |
Figure 4: Dependence on the flow speed of the instability threshold of the particular m=1 harmonic with ka=0.45 and kp=0.2. The solid line represents the real frequency, while the dashed (dotted) line corresponds to the real (imaginary) part of the complex frequency. The frequency becomes complex when the flow speed reaches about 0.45 the Alfvén speed. |
Open with DEXTER | |
In the text |
![]() |
Figure 5:
Real part of the frequency at the bifurcation point. The
dotted line is |
Open with DEXTER | |
In the text |
![]() |
Figure 6:
Frequency versus kp for m=2 and m=3 modes when the
flow speed is
|
Open with DEXTER | |
In the text |
![]() |
Figure 7:
Frequency versus kp for m=6 modes for three different values
of the flow speed. The two modes are stable for
|
Open with DEXTER | |
In the text |
![]() |
Figure 8: Frequency versus m for a fixed value of the flow speed. Here we solved Eq. (13) considering m=-kp as a real number, but the symbols mark the positions were m is an integer, hence a physically meaningful solution. Solid lines correspond to real solutions and the dashed line to the real part of imaginary solutions, while dotted lines represent the imaginary part of the solutions. |
Open with DEXTER | |
In the text |
![]() |
Figure 9:
Frequency versus wave number calculated from the dispersion
relation (Eq. (13)) for the parameters m=3,
|
Open with DEXTER | |
In the text |
Copyright ESO 2010
Current usage metrics show cumulative count of Article Views (full-text article views including HTML views, PDF and ePub downloads, according to the available data) and Abstracts Views on Vision4Press platform.
Data correspond to usage on the plateform after 2015. The current usage metrics is available 48-96 hours after online publication and is updated daily on week days.
Initial download of the metrics may take a while.