Issue |
A&A
Volume 516, June-July 2010
|
|
---|---|---|
Article Number | A61 | |
Number of page(s) | 10 | |
Section | Extragalactic astronomy | |
DOI | https://doi.org/10.1051/0004-6361/200913879 | |
Published online | 28 June 2010 |
The outflow in Mrk 509
A method to calibrate XMM-Newton EPIC-pn and RGS
R. G. Detmers1 - J. S. Kaastra1,2 - E. Costantini1 - F. Verbunt2 - M. Cappi3 - C. de Vries1
1 - SRON Netherlands Institute for Space Research, Sorbonnelaan 2, 3584
CA Utrecht, The Netherlands
2 - Astronomical Institute, University of Utrecht, Postbus 80000, 3508
TA Utrecht, The Netherlands
3 - INAF-IASF Bologna, via Gobetti 101, 40129 Bologna, Italy
Received 15 December 2009 / Accepted 19 February 2010
Abstract
We analyzed three XMM-Newton observations of the
Seyfert 1 galaxy Mrk 509, with the goal of detecting small variations
in the ionized outflow properties. Measurements such as these are
limited by the quality of the cross-calibration between RGS, the best
instrument for characterizing the spectrum, and EPIC-pn, the best
instrument for characterizing the variability. For all three
observations we are able to improve the relative calibration of RGS and
pn consistently to 4%. In all observations we detect three different
outflow components and, thanks to our accurate cross-calibration, we
are able to detect small differences in the ionization parameter and
column density in the highest ionized component of the outflow. This
constrains the location of this component of the outflow to within
0.5 pc of the central source. Our method for modeling the
relative effective area is not restricted to just this source and can
in principle be extended to other types of sources as well.
Key words: methods: data analysis - galaxies: active - quasars: absorption lines - galaxies: indiviual: Mrk 509
1 Introduction
Active galactic nuclei (AGN) outflows are thought to play an important role in feedback processes that connect the growth of the black hole to the growth of the galaxy (Di Matteo et al. 2005). However, the strength of these outflows (kinetic luminosity) is unknown without knowing their precise distance from the central source. In the UV density sensitive line diagnostics have been used to constrain the density of the outflowing gas, hence the distance (Gabel et al. 2003). Attempts have been made to do the same in the X-ray regime (Kaastra et al. 2004), but these results were affected by large uncertainties; therefore, currently the best way in the X-ray band to determine the distance of the X-ray outflows is by using variability combined with high-resolution X-ray spectroscopy to constrain the density of the gas, and then use this constraint to put an upper limit to the distance R. The main challenge with this approach is that it requires several crucial ingredients:
- high-resolution X-ray spectroscopic observations to determine the ionization state, column densities, and outflow velocities of the warm absorber;
- multiple observations of the same source;
- a source that varies on a suitable timescale and changes significantly in ionizing flux or in warm absorber properties.
Table 1: Mrk 509 observations.
In principle, the XMM-Newton EPIC-pn instrument (Strüder et al. 2001) combined with the XMM-Newton reflection grating spectrometer (RGS, den Herder et al. 2001) can be used to detect small changes in the column density of the ionized outflow. The RGS spectrum gives the detailed warm absorber structure, such as outflow velocity, velocity width, and ionization state. With its larger effective area, EPIC-pn can detect small variations in the column density in response to small changes in the continuum flux. This requires that the relative calibration between EPIC-pn and RGS is better known than the observed variations in the column density and ionization parameter.
To this end we have analyzed three different observations of
the bright Seyfert 1 galaxy Mrk 509 (
z = 0.0344,
m-2,
Murphy
et al. 1996; Fisher et al. 1995),
taken by XMM-Newton EPIC-pn and RGS, during
different epochs in order to search for any variability in the outflow.
We investigate whether we can model the relative calibration between
EPIC-pn and RGS in a consistent way, so as to take it into account when
fitting the EPIC-pn and RGS spectra simultaneously. If successful, this
approach allows for variability studies of weakly varying AGN, enabling
us to also constrain the outflow location in these sources.
Additionally, this approach can be extended to other types of sources
as well, as the method itself is source independent even though the
exact model of the relative calibration will depend on the source type.
We stress that it is also important to consider that the calibration of
the instruments (e.g. effective area) has changed in time.
Mrk 509 has been observed with high-resolution gratings before, namely in 2000 and 2001 by XMM-Newton (Page et al. 2003; Pounds et al. 2001) and Chandra HETGS (Yaqoob et al. 2003). Smith et al. (2007, hereafter S07) re-analyzed the RGS data of 2000 and 2001, and found evidence of three warm absorber components, as well as broad and narrow emission lines. We use this study as a starting point for our analysis of the three new observations taken in 2005 and 2006. Using these data, Cappi et al. (2009) found evidence of a highly ionized and mildly relativistic outflow. Clearly, Mrk 509 is an excellent source to investigate in further detail.
The most recent calibrations of the RGS and pn instruments
(see Kaastra et al. 2009,
for the RGS) show that the uncertainty in the effective area of the RGS
can be reduced to 3%, while the pn absolute effective area calibration
has an accuracy of 10%.
Our aim is to obtain a more accurate relative calibration for RGS and
pn.
Section 2 describes the data reduction we have applied to all three observations. In Sect. 3 we describe the method we used to determine the cross-calibration differences between pn and RGS and how we model these. In Sect. 3.5 we present the results we obtained for the cross-calibration. Section 4 contains the spectral analysis of all three spectra. We discuss our results in Sect. 5 and present our conclusions in Sect. 6.
2 Data reduction
The log of the three observations of Mrk 509 that we used is
given in Table 1.
We used the SAS 9.0 software package to reduce all the data. We only
used these three observations, because the S-N ratio of the first two
RGS observations (SN of 3 and 4 in the 7-38
respectively) is too low for this study owing to a high background
level. The S-N ratios of the three observations are 9, 7, and 8,
respectively. We did not use the MOS data, which are affected by
pile-up and therefore their useful part has a lower S-N ratio as
compared to the pn data.
For the RGS spectra we use the rgsproc task with the source
coordinates as obtained from SIMBAD
(
degrees,
degrees).
After checking the background lightcurve for possible flaring intervals
(observation 3 had one event with background level
0.25 cts/s and observation 5 had two events with
background 0.4 cts/s, the mean net source count rate being on
average 2.8 cts/s), we determined the good time intervals and
rerun the rgsproc task now with the good time
intervals selected (using a cutoff of 0.1 cts/s in the
background lightcurve) and also with the keepcool
keyword set to no, so cool pixels were also
rejected. We also stacked all three observations with the rgscombine
task for both RGS1 and RGS2 in order to compare the results of the
three individual observations with the stacked spectrum.
The OM data were used to obtain fluxes in the UV band, which
were used, along with the pn data, to construct the spectral energy
distribution (SED) of Mrk 509. The fluxes in the UVW2, UVW1,
and UVM2 filters were obtained by extracting the magnitudes from the
PPS products of the OM data. These were then corrected for the
extinction due to the Galactic absorption towards the source, using the
relation between
and
from Predehl & Schmitt (1995)
and the relation between
and
,
as given by Cardelli
et al. (1989).
All the pn data were taken in small window mode with a thin
filter. The background lightcurves were checked for flaring intervals,
and the good time intervals were determined to produce a filtered
dataset. For the pn data we first checked for possible pile-up effects.
Using the epatplot task, we analyzed the number of
single and double events and found no signs of pile-up in our spectra.
We also checked for X-ray loading, which can occur even when the
countrate is below the pile-up limit. X-ray loading is the inclusion of
X-ray events in the pn offset map which is produced at the start of the
observation. This leads to additional and incorrect offset shifts for
pixels where the X-ray loading occurs. All events in the subsequent
observation associated with that pixel will be shifted to lower
energies, depending on the energy of the incoming X-ray photons. A more
detailed description can be found in the EPIC calibration online
documentation, document TN-0050.
To counteract the effects of X-ray loading, we excluded the central
region from our analysis. We therefore took an annular extraction
region centered on the source with an inner radius of 50 (2.5 arcsec)
and an outer radius of 600 (30 arcsec) in detector coordinates. The
background was extracted from an annulus of the same size outside the
source region and avoiding out of time events. We used the SPEX
spectral fitting package (Kaastra et al. 1996)
and C-statistics for fitting the spectrum. The errors were calculated
for
.
3 The relative calibration between pn and RGS
3.1 Setup
We only use data between 0.32 keV and 1.77 keV (this corresponds to the
RGS band, i.e. 7-38 ).
We follow a method in four steps, as explained below, to determine the
cross-calibration between pn and RGS. We first fit a model spectrum to
the RGS data. All model parameters are frozen, and the model is then
applied to the pn data. The ratios of predicted to observed pn count
rates are then modeled to determine the relative calibration between
RGS and pn. The last step is to do a simultaneous fit of both the pn
and RGS spectrum, taking the relative calibration, i.e. into account.
As an additional check we created a fluxed RGS spectrum of each
observation and follow the same procedure as above.
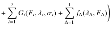
3.2 Spectral models
We model all RGS spectra with a power law and blackbody component,
absorbed by three photoionized components that are modeled with the xabs
model of SPEX. The cosmological redshift and Galactic absorption are
also taken into account. Broad emission lines are modeled with a
Gaussian line profile, narrow emission lines with a delta line profile.
The flux at earth
may then be written as
We normalize the fluxes of the various components by their total flux in the RGS band. The power law















The widths
of the two broad emission lines are kept fixed to the values determined
from the optical observations, and the central wavelengths
are fixed to the laboratory wavelengths (see Table 4). The high
wavelength resolution of the RGS requires a detailed description of the
wavelength dependence of the interstellar absorption. For this reason
we use the SPEX model hot with a fixed low
temperature
keV
and fixed column density determined in earlier observations
m-2
(Sect. 1).
The ionization states
of the photoionized absorbers depend strongly on the assumed SED
involved (Chakravorty
et al. 2009). We constructed the SED from the
Mrk 509 observations, using the pn and OM data to obtain the
necessary flux points. The SEDs of the three observations are almost
identical, so we use the SED obtained from the first observation. The
photoionization balance calculations needed for our spectral modeling
were based on this SED and performed using version C08.00 of Cloudy
(an earlier version is
described by Ferland et al.
1998). The SED used is shown in Fig. 1.
![]() |
Figure 1: The SED used for the Mrk 509 observations. |
Open with DEXTER |
3.3 Method 1
The first step is to obtain an accurate RGS fit for each observation.
This is done by fitting the spectral model described in the previous
subsection (see Eq. (1))
to the RGS data.
The second step is that we use this fit with all parameters fixed to
predict the count rate
in the pn. We then compare these with the observed
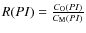
count rates in the pn by computing
The resulting values for R(PI) are plotted in Fig. A.1.
Table 2: Knak model parameters for the cross-calibration residuals, where a value lower than 1 means the RGS flux is higher than the pn flux.
As the third step we calculated these ratios R(PI)
using the SPEX model knak F.
This is a piecewise broken power law, which consists of hinge points (
,
,
...,
)
and the corresponding transmission values (t1,
t2, ...,
). We choose
the hinge points by eye for the first observation, and keep these fixed
for all other observations. The transmission values ti
are then fitted to the ratio R for each
observation, leading to the values shown in Table 2.
Table 3: Continuum parameters for all observations.
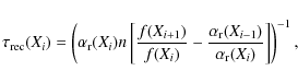
At this point we check the knak model F
as follows: we compute
and fold the result through the response matrix of the pn to
predict the model count rate, and compare this with the observed pn
count rate. Systematic deviations would indicate that the knak
model must be revised, e.g., by redefining the
.
We find that the knak model given in Table 2 does not produce
such systematic deviations (see Fig. A.2).
Table 4: Emission line parameters for all observations, fluxes are corrected for Galactic absorption.
Table 5: Warm absorber parameters.
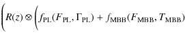
Once we have a model F for the
cross-calibration, we can fit the simultaneous RGS + pn spectrum. This
is the fourth and final step. We create two sectors in SPEX, so that we
can have two sets of models for the pn and RGS datasets, namely
for the RGS and
for the pn. We then couple the model parameters in such a way as to
take advantage of the strengths of each instrument. We let the RGS
spectrum determine the high-resolution features, such as the fluxes Fi
and
of the emission lines and the outflow velocity vj
and velocity broadening
of the ionized absorbers. This is because pn does not have the
resolution needed to accurately determine the detailed structure
(broadening + outflow velocity) of the outflow.
The pn spectrum determines the parameters of the PL and MBB and the
column densities Nj
and ionization parameters
of the ionized absorbers (xabs).
The resulting values are shown in Tables 3-5, together with
the values of the fixed parameters.
We use this four step procedure for each observation, including the stacked one.
3.4 Method 2
As an independent check for each observation, we use the best-fit model
for each
observation to predict the RGS count rate
and compute the model flux to be used for the pn
by multiplying
with the ratio of the observed to predicted RGS count rates
.
We then predict the pn count rate by folding
through the corresponding pn response matrix and compare the result
with the observed count rate. This procedure makes certain that any
(time-dependent) astrophysical modeling problems are taken care of, and
the end result will be the pure cross-calibration residuals. We then
compare the cross-calibration residuals we obtain with this method with
the first method to see whether the results are consistent (see
Fig. A.1).
3.5 Further checks
To investigate the relative calibration further, we checked for the
presence of any weak deviations that might bias our RGS fit but would
escape attention at full spectral resolution. Figure 2 shows the
residuals in the RGS band after rebinning the spectrum with a factor of
100. The typical residual fluctuations are at the level of 3-4.
The third observation shows a discrepancy between the two RGS spectra.
The RGS1 data points are consistently below the RGS2 points, with a
difference of about 2%. This will have an effect on the total RGS flux,
which we discuss later in more detail.
![]() |
Figure 2: Broad band RGS fit residuals for all observations. RGS1 data points are indicated by the black symbols, while RGS2 data points are indicated by the gray ones. The different observations are marked by seperate symbols: triangles for observation 1, squares for observation 2, circles for observation 3 and, crosses for the stacked spectrum. |
Open with DEXTER |
Focusing on the pn spectrum, we loaded the best fit RGS model into the
corresponding pn data set. If the relative calibration were perfect,
then the resulting fit quality of the pn spectrum should be the same as
for the RGS-only fit. Instead we found something different. The
resulting residuals are shown for each observation in Fig. A.1. RGS and pn
agree with each other within 1-4
below 20
.
Above 20
the RGS flux is on average 8-10
higher than the pn flux. All three observations and the stacked
spectrum are in agreement with each other (apart from small
fluctuations on the level of 2%).
As mentioned earlier, we modeled these calibration offsets by
a knak component. The best-fit parameters of this
component are shown in Table 2. When applying
this correction to each pn observation, the fit improves dramatically.
The resulting residuals are shown in Fig. A.2. Some
fluctuations on the order of 2% can still be seen in the individual
spectra, but our model adequately corrects for the large-scale offsets.
We chose the hinge points by eye and fixed them for all other
observations. The locations of these hinge points were chosen such that
they follow the trend visible in the pn residuals (see Fig. A.1 in the
Appendix). If we instead use a different number of points (e.g.
7 points, with fixed 5
spacing from 7 to 37
),
the residuals in Fig. A.2
change by no more than 1-2%. We also performed additional tests with
only 5 equidistant hinge points and the results are similar.
Thus having obtained a model for the relative calibration for each observation, we performed a simultaneous fit of both the pn and RGS spectra, with the relative calibration differences taken into account by our knak model.
4 Spectral analysis
4.1 Continuum
We have modeled the continuum for all spectral fits with a
power law and a modified blackbody component. For all three
observations and the stacked spectrum the continuum model parameters
are shown in Table 3.
If we instead only use a power law to model the continuum as in S07,
the fits for all three observations are worse by
per d.o.f. Using only the power law as a continuum has a slight effect
on the absorption components, as the power law slope is softer in this
case (
instead of 2.3).
However, given the large change in
,
we used the continuum model of the power law and modified blackbody
from here on.
The spectrum appears to be harder during the 3rd observation, while
there is no significant difference between the first two observations
(as expected, since they were taken only two days apart). The continuum
parameters for the simultaneous fit are exactly the same as the RGS
fits, but the errors are reduced because of the addition of the pn
spectrum.
4.2 Emission lines
Several broad and narrow emission lines are visible in the spectrum
(see Fig. 3).
The O VII f narrow emission line (rest
wavelength 22.101 ,
Kelly 1987), as well as the
broad O VII recombination line at
21.602
(Engstrom & Litzen 1995)
and a broad N VII emission line at
24.78
(Garcia & Mack 1965).
The oxygen lines have already been detected by S07 (although they
detect a broad intercombination line instead of a recombination line),
but the N VII emission line is a newly
detected feature. Table 4
shows the line parameters for the RGS only fit. The wavelength of the O
VII f line appears to shift between
observations. However, this region suffers from bad pixels, which vary
from observation to observation, so if one of the bad pixels falls on
top of the location of the emission line, the fitted position shifts,
depending on the surrounding pixels. Since these lines escape detection
in the pn spectrum, we did not fit them in the simultaneous spectrum,
but take the fitted values from the RGS only spectra. We fixed the
width of the broad emission lines to 0.8
,
which corresponds to the width of the optical BLR (
km s-1).
We also kept the wavelengths fixed to the rest-frame values.
We do not detect any significant variability in the emission lines.
4.3 Warm absorber
We detect three distinct warm absorber components, similar to what S07
found by stacking two earlier RGS observations of Mrk 509. We
started out by using only one component, and then added components as
the fit required. The second and third components are needed (
and 40 respectively), but
adding a fourth component does not improve
the fit any further. The warm absorber in Mrk 509 consists of
a low (
), a medium (
), and a high (
)
ionization component. The main absorption lines visible in the spectrum
can be seen in Fig. 3.
All warm absorber parameters are shown in Table 5. The values for
the parameters are consistent for the RGS only and the simultaneous
fit, but the errors on the latter are smaller due to the addition of
the pn spectra. All parameters were set to a reasonable initial value
(based on average values of warm absorber parameters found in the
literature) and then freed to obtain the best fit.
5 Discussion
5.1 Warm absorber variability
![]() |
Figure 3: The best-fit RGS spectrum for the stacked observation with the absorption lines indicated. |
Open with DEXTER |
When comparing the warm absorber components for all three observations,
we do not detect any significant variability in components 1 and 2. The
high ionization component, does show a change in column density and
ionization parameter between the first and the third observations.
Changes in column density can be either due to motion across the line
of sight, or as in NGC 5548 (Detmers
et al. 2008) due to recombination/re-ionization of
the absorbing gas due to a change in the continuum flux. One has to be
careful, however in this case, as there is a correlation between
and column density, in the sense that a lower
and smaller column density can produce the same spectral fit as a
higher
,
larger column density case. To check for this effect we also performed
a fit where we kept the column density fixed to the column density of
the first observation. All three observations have the same
value for the high ionization component (log
= 3.25). However for the third observations the fit in this case is
worsened by
= 37 for 1 d.o.f. with respect to the fit shown in Table 5. This indicates
that the change in ionization parameter and column density between
observations 1 and 3 is significant.
![]() |
Figure 4: The RXTE 2-10 keV lightcurve of Mrk 509, from 2005 to 2007. Data were taken from the online RXTE mission-long data products. The diamonds indicate the exact date of the three XMM-Newton observations used in this paper. |
Open with DEXTER |
Using the RXTE monitoring data of
Mrk 509 taken with the PCA, we in principle can know what the
continuum flux history is for this source before and after the three XMM-Newton
observations. However, the gap during the first few months of 2006,
prevents us from obtaining a more accurate timescale for the changes
detected in the spectrum than the time between the 2nd and
3rd observation, namely half a year.
If we make the assumption that the change in column density and
ionization parameter we see are due to recombination of the component 3
gas due to the minimum, then we can get an estimate for the distance of
this component using the relation:
where



where



![]() |
Figure 5:
Column densites for the different ionization levels of iron for the
high (
|
Open with DEXTER |
For the other two components that do not vary between the three observations, the non-variability can be due to two reasons.
- The density is low, so that the recombination time of the
gas is longer than the time between observations 3 + 4 and observation
5, i.e.
years.
- The density is high enough to track the short time variability of the source, say, on a timescale of a few days, as the fluxes of all observations are within 10% of each other.
5.2 Comparison with previous results
Cappi et al. (2009)
have found evidence of a highly ionized and variable outflow component
using the same pn data as we used. In the RGS data, there is no
evidence of such an absorber with a mildly relativistic outflow
velocity. As the main goal of this paper is on the cross-calibration of
RGS and pn, we focused our attention of the pn analysis only
in the 7-38
wavelength range. This highly ionized, fast outflowing absorber might
represent an extreme part of the outflow described here or it might be
disconnected given its high outflow velocity.
If we compare the outflow components in our present spectra
with those analyzed by S07, we see that the ionization parameters are
consistent, although we find slightly lower values. The column density
of the low ionized gas (
)
is a factor of 10 higher in the S07 observations. However, the velocity
broadening v they find is 0 instead of the
105 km s-1 that we find.
Another difference is the outflow velocity. We find the highest outflow
velocity (-425 km s-1) for the
highly ionized (
)
component, while S07 find the highest outflow velocity for the
component with
.
These differences may stem from a combination of several effects:
- 1.
- systematic uncertainty of 7 m
(50-200 km s-1) in the RGS wavelength scale;
- 2.
- a different continuum modeling in our paper compared to S07;
- 3.
- lower S-N ratio in the S07 data;
- 4.
- an almost similar fit obtained by lowering the velocity broadening, and increasing the column density, for components dominated by saturated lines;
- 5.
- true time variability of the source.
5.3 Cross-calibration between RGS and pn
![]() |
Figure 6: Comparison of the ratios R for both methods (see Fig. A.1) for the stacked spectrum. The thin points are the R values for method 1, while the thick crosses are the R values for method 2. |
Open with DEXTER |
This is a first attempt to model the relative calibration between pn
and RGS to be able to detect small changes in outflow properties. Our
method for modeling the relative calibration is a relatively simple
one, but a cursory glance at the differences between Figs. A.1
and A.2
shows the clear improvements for the fit to the pn spectrum.
If we compare the cross-calibration residuals for both the first method
(RGS model for pn spectrum) and the second one (fluxed RGS spectrum
folded through pn response), we see that, apart from a difference for
the first observation below 10 ,
the residuals for both methods are almost identical (see Fig. 6). However,
there is a difference at long wavelengths, particularly from
22
onwards. The same wave-like pattern can be seen between 22 and
32
in Fig. 2.
The difference is about 1.5% between the fluxed and the fitted
data. The difference between the RGS fluxed and the fitted spectrum can
only be due to slight modeling inaccuracies, not to any calibration
offsets in the effective area of RGS or pn, as both methods use the
same effective area. This means that, by comparing the fluxed and the
fitted residuals in the pn, we can separate the inaccuracies due to
modeling and those from uncertainties in the effective area calibration
of RGS in the residuals seen in Fig. 2. These
residuals are only apparent when the spectra are heavily rebinned. At
higher resolution, these residuals would not have been detected. From
the comparison of the fluxed and fitted pn residuals we find that about
1.5% comes from modeling inaccuracies in the RGS fit. The strong wiggle
in Fig. 6
between 22 and 26
with an amplitude of about 5% may be related to uncertainties in the pn
model. Similar features can be seen in the residuals of, for instance,
3C 273 orbit 1381 (see the calibration review tool
).
Both methods show the same general trend for the pn residuals.
There is a sharp drop around 23 ,
which is where the oxygen edge is located, possibly indicating that the
modeling of this instrumental edge has some uncertainties.
Comparing the residuals in Figs. 7 and A.2 between
observations, we see that the general shape is exactly the same for
each observation. There only appears to be a slight shift of
3
between observations 1 and 3. The reason for this shift is the
difference in flux in the RGS1 and RGS2 spectra of
observation 3. Based on the comparison between the knak
parameters, see Table 2,
the RGS2 spectrum is the correct one. This means that in Fig. A.1 the
residuals in observation 3 should be shifted by 1-2%
downwards, which brings it into agreement with the previous
observations. The reason for this 2% flux difference is unknown. We
checked for possible differences in exposure times or background
filtering criteria between the two RGS, and there is no difference
between both RGS exposure times. The difference remains, independent of
the exact criteria used for background filtering. As another check, we
varied the spectral extraction region for the third observation (90, 95
and 98% of the cross-disperion PSF respectively). The
difference between RGS1 and RGS2 remains here, too. At this moment we
have no good explanation for this flux difference. It may, however, be
a rare statistical variation at the 3.5 sigma level.
If we compare the residuals with other cross-calibration investigations, as shown on the calibration review tool website for XMM-Newton, we find identical features in similar sources, such as PKS 2155-304 and 3C 273, which show that below 0.5 keV the RGS flux is about 10% higher than the pn flux. This gives us additional confidence that out method and our results are correct and can be applied to other sources. However, sources like Mrk 509 are the best for studying the cross-calibration, as the pn data are not piled-up, but the source is still bright enough in the RGS to obtain a high-quality spectrum.
![]() |
Figure 7: Ratio of the pn residuals for each observation compared to the stacked spectrum. Observation 1 is indicated by the thin black line, observation 2 by the thin black line with dots, and observation 3 by the thick black line. |
Open with DEXTER |
The main application for this modeling of the relative calibration is the increased sensitivity to changes in the outflow column densities and the ionization parameter the simultaneous fit provides. A comparison of Table 5 shows that performing a simultaneous fit improves the accuracy of the measurements (column density and ionization state) by almost a factor of two. Without correcting for the relative calibration, this would not have been possible.
Our method has several assumptions. The first is that the RGS
data give us the best fit for the warm absorber and the emission lines.
Also we assume that the RGS continuum fit gives the correct continuum.
But since we are only interested in the relative calibration, we did
not draw any conclusions as to which of the two instruments is better
calibrated in an absolute sense. We used the RGS to determine the best
fit to the spectrum, because of the high-resolution needed for
precisely determining the outflow properties. However as can be seen
from Fig. 2,
the RGS spectrum shows broad band fluctuations on the order of 3-4%. As
already mentioned earlier, this sets a limit on how good our relative
calibration modeling can get. Also the exact knak
model we have is strictly valid at this moment for sources with the
same spectral type as Mrk 509, since there are indications
that the relative calibration differences appear to be source and pn
mode dependent.
This indicates that the redistribution of pn is partly
responsible for the differences in the RGS and pn flux, since a
different spectral slope will have a strong effect on the exact
redistribution of photons in the pn spectrum. This is also what has
been reported to the XMM-Newton Users Group. Applying this method to
other sources (including non-AGN sources) and looking at the exact
differences between the obtained relative calibration residuals (i.e.
the exact values of the knak model for example)
gives us an opportunity to determine the exact origin of the
differences between RGS and pn.
6 Conclusions
We have investigated the cross-calibration differences between XMM pn and RGS. By modeling the cross-calibration differences, which are consistent for all three observations and the stacked spectrum, we were able to improve the calibration for pn and RGS to within 4

The authors also want to thank Matteo Guianazzi and Ulrich Briel for advice concerning X-ray loading. We also want to thank Andy Pollock for fruitful discussions regarding the RGS EPIC-pn cross-calibration. This work is based on observations obtained with XMM-Newton, an ESA science mission with instruments and contributions directly funded by ESA Member States and the USA (NASA). SRON is supported financially by NWO, the Netherlands Organization for Scientific Research.
Appendix A: Additional figures
![]() |
Figure A.1:
The ratios
|
Open with DEXTER |
![]() |
Figure A.2: The best fit residuals for the pn spectra after applying the knak model. From top to bottom: observation 1, 2, 3 and the stacked spectrum. |
Open with DEXTER |
References
- Behar, E., Rasmussen, A. P., Blustin, A. J., et al. 2003, ApJ, 598, 232 [NASA ADS] [CrossRef] [Google Scholar]
- Bottorff, M. C., Korista, K. T., & Shlosman, I. 2000, ApJ, 537, 134 [NASA ADS] [CrossRef] [Google Scholar]
- Cappi, M., Tombesi, F., Bianchi, S., et al. 2009, A&A, 504, 401 [NASA ADS] [CrossRef] [EDP Sciences] [Google Scholar]
- Cardelli, J. A., Clayton, G. C., & Mathis, J. S. 1989, ApJ, 345, 245 [NASA ADS] [CrossRef] [Google Scholar]
- Chakravorty, S., Kembhavi, A. K., Elvis, M., & Ferland, G. 2009, MNRAS, 393, 83 [NASA ADS] [CrossRef] [Google Scholar]
- den Herder, J. W., Brinkman, A. C., Kahn, S. M., et al. 2001, A&A, 365, L7 [NASA ADS] [CrossRef] [EDP Sciences] [Google Scholar]
- Detmers, R. G., Kaastra, J. S., Costantini, E., McHardy, I. M., & Verbunt, F. 2008, A&A, 488, 67 [NASA ADS] [CrossRef] [EDP Sciences] [Google Scholar]
- Di Matteo, T., Springel, V., & Hernquist, L. 2005, Nature, 433, 604 [NASA ADS] [CrossRef] [PubMed] [Google Scholar]
- Engstrom, L., & Litzen, U. 1995, J. Phys. B At. Mol. Phys., 28, 2565 [Google Scholar]
- Ferland, G. J., Korista, K. T., Verner, D. A., et al. 1998, PASP, 110, 761 [Google Scholar]
- Fisher, K. B., Huchra, J. P., Strauss, M. A., et al. 1995, ApJS, 100, 69 [NASA ADS] [CrossRef] [Google Scholar]
- Gabel, J. R., Crenshaw, D. M., Kraemer, S. B., et al. 2003, ApJ, 583, 178 [NASA ADS] [CrossRef] [Google Scholar]
- Garcia, J. D., & Mack, J. E. 1965, J. Opt. Soc. Am. (1917-1983), 55, 654 [NASA ADS] [CrossRef] [Google Scholar]
- Kaastra, J. S., Mewe, R., & Nieuwenhuijzen, H. 1996, in UV and X-ray Spectroscopy of Astrophysical and Laboratory Plasmas, ed. K. Yamashita, & T. Watanabe, 411 [Google Scholar]
- Kaastra, J. S., Raassen, A. J. J., Mewe, R., et al. 2004, A&A, 428, 57 [NASA ADS] [CrossRef] [EDP Sciences] [Google Scholar]
- Kaastra, J. S., Lanz, T., Hubeny, I., & Paerels, F. B. S. 2009, A&A, 497, 311 [NASA ADS] [CrossRef] [EDP Sciences] [Google Scholar]
- Kelly, R. L. 1987, Atomic and ionic spectrum lines below 2000 Angstroms. Hydrogen through Krypton, ed. R. L. Kelly [Google Scholar]
- Krolik, J. H., & Kriss, G. A. 1995, ApJ, 447, 512 [NASA ADS] [CrossRef] [Google Scholar]
- Krongold, Y., Nicastro, F., Brickhouse, N. S., Elvis, M., & Mathur, S. 2005, ApJ, 622, 842 [NASA ADS] [CrossRef] [Google Scholar]
- Murphy, E. M., Lockman, F. J., Laor, A., & Elvis, M. 1996, ApJS, 105, 369 [NASA ADS] [CrossRef] [Google Scholar]
- Netzer, H., Chelouche, D., George, I. M., et al. 2002, ApJ, 571, 256 [NASA ADS] [CrossRef] [Google Scholar]
- Netzer, H., Kaspi, S., Behar, E., et al. 2003, ApJ, 599, 933 [NASA ADS] [CrossRef] [Google Scholar]
- Page, M. J., Davis, S. W., & Salvi, N. J. 2003, MNRAS, 343, 1241 [NASA ADS] [CrossRef] [Google Scholar]
- Pounds, K., Reeves, J., O'Brien, P., et al. 2001, ApJ, 559, 181 [NASA ADS] [CrossRef] [Google Scholar]
- Predehl, P., & Schmitt, J. H. M. M. 1995, A&A, 293, 889 [NASA ADS] [Google Scholar]
- Smith, R. A. N., Page, M. J., & Branduardi-Raymont, G. 2007, A&A, 461, 135 [NASA ADS] [CrossRef] [EDP Sciences] [Google Scholar]
- Steenbrugge, K. C., Fenovcík, M., Kaastra, J. S., Costantini, E., & Verbunt, F. 2009, A&A, 496, 107 [NASA ADS] [CrossRef] [EDP Sciences] [Google Scholar]
- Strüder, L., Briel, U., Dennerl, K., et al. 2001, A&A, 365, L18 [NASA ADS] [CrossRef] [EDP Sciences] [Google Scholar]
- Yaqoob, T., McKernan, B., Kraemer, S. B., et al. 2003, ApJ, 582, 105 [NASA ADS] [CrossRef] [Google Scholar]
Footnotes
- ...%
- http://xmm2.esac.esa.int/docs/documents/CAL-TN-0018.pdf
- ...rgsproc
- http://xmm.vilspa.esa.es/sas/8.0.0/doc/rgsproc/index.html
- ... SIMBAD
- http://simbad.u-strasbg.fr/simbad
- ... TN-0050
- http://xmm2.esac.esa.int/docs/documents/CAL-TN-0050-1-0.ps.gz
- ... SPEX
- http://www.sron.nl/spex
- ... Cloudy
- http://www.nublado.org/
- ... tool
- http://xmm2.esac.esa.int/cgi-bin/ept/preview.pl
- ... dependent
- http://xmm2.esac.esa.int/external/xmm_sw_cal/calib/cross_cal/index.php
- ... Group
- http://xmm.esac.esa.int/external/xmm_user_support/usersgroup/20090506/index.shtml
All Tables
Table 1: Mrk 509 observations.
Table 2: Knak model parameters for the cross-calibration residuals, where a value lower than 1 means the RGS flux is higher than the pn flux.
Table 3: Continuum parameters for all observations.
Table 4: Emission line parameters for all observations, fluxes are corrected for Galactic absorption.
Table 5: Warm absorber parameters.
All Figures
![]() |
Figure 1: The SED used for the Mrk 509 observations. |
Open with DEXTER | |
In the text |
![]() |
Figure 2: Broad band RGS fit residuals for all observations. RGS1 data points are indicated by the black symbols, while RGS2 data points are indicated by the gray ones. The different observations are marked by seperate symbols: triangles for observation 1, squares for observation 2, circles for observation 3 and, crosses for the stacked spectrum. |
Open with DEXTER | |
In the text |
![]() |
Figure 3: The best-fit RGS spectrum for the stacked observation with the absorption lines indicated. |
Open with DEXTER | |
In the text |
![]() |
Figure 4: The RXTE 2-10 keV lightcurve of Mrk 509, from 2005 to 2007. Data were taken from the online RXTE mission-long data products. The diamonds indicate the exact date of the three XMM-Newton observations used in this paper. |
Open with DEXTER | |
In the text |
![]() |
Figure 5:
Column densites for the different ionization levels of iron for the
high (
|
Open with DEXTER | |
In the text |
![]() |
Figure 6: Comparison of the ratios R for both methods (see Fig. A.1) for the stacked spectrum. The thin points are the R values for method 1, while the thick crosses are the R values for method 2. |
Open with DEXTER | |
In the text |
![]() |
Figure 7: Ratio of the pn residuals for each observation compared to the stacked spectrum. Observation 1 is indicated by the thin black line, observation 2 by the thin black line with dots, and observation 3 by the thick black line. |
Open with DEXTER | |
In the text |
![]() |
Figure A.1:
The ratios
|
Open with DEXTER | |
In the text |
![]() |
Figure A.2: The best fit residuals for the pn spectra after applying the knak model. From top to bottom: observation 1, 2, 3 and the stacked spectrum. |
Open with DEXTER | |
In the text |
Copyright ESO 2010
Current usage metrics show cumulative count of Article Views (full-text article views including HTML views, PDF and ePub downloads, according to the available data) and Abstracts Views on Vision4Press platform.
Data correspond to usage on the plateform after 2015. The current usage metrics is available 48-96 hours after online publication and is updated daily on week days.
Initial download of the metrics may take a while.