Issue |
A&A
Volume 516, June-July 2010
|
|
---|---|---|
Article Number | A29 | |
Number of page(s) | 22 | |
Section | Catalogs and data | |
DOI | https://doi.org/10.1051/0004-6361/201014003 | |
Published online | 22 June 2010 |
The star catalogue of Hevelius
Machine-readable version and comparison
with the modern Hipparcos Catalogue![[*]](/icons/foot_motif.png)
F. Verbunt1 - R. H. van Gent2,3
1 - Astronomical Institute, Utrecht University, PO Box 80 000,
3508 TA Utrecht, The Netherlands
2 - URU-Explokart, Faculty of Geosciences, Utrecht University, PO Box
80 115, 3508 TC Utrecht, The Netherlands
3 - Institute for the History and Foundations of Science, PO Box
80 000, 3508 TA Utrecht, The Netherlands
Received 6 January 2010 / Accepted 4 February 2010
Abstract
The catalogue by Johannes Hevelius with the positions and magnitudes of
1564 entries was published by his wife Elisabeth Koopman in 1690. We
provide a machine-readable version of the catalogue, and briefly
discuss its accuracy on the basis of comparison with data from the
modern Hipparcos Catalogue. We compare our results with an earlier
analysis by Rybka (1984), finding good overall agreement. The
magnitudes given by Hevelius correlate well with modern values. The
accuracy of his position measurements is similar to that of Brahe, with
for
longitudes and latitudes, but with more errors >5
than expected for a Gaussian distribution. The position accuracy
decreases slowly with magnitude. The fraction of stars with position
errors larger than a degree is 1.5%, rather smaller than the fraction
of 5% in the star catalogue of Brahe.
Key words: astrometry - history and philosophy of astronomy
1 Introduction
Even though a major improvement on earlier work, the star catalogue produced by Tycho Brahe (1598, 1602), and re-edited by Kepler (1627), contains occasional large errors. Johannes Hevelius decided to produce a better and larger catalogue, which was printed after his death by his wife and collaborator Elisabeth Koopman (Hevelius 1690). The title page has 1687, the year in which the catalogue was printed, but publication followed only in 1690. The extent of the contribution by Koopman to measuring the stars and producing the catalogue is not known; her presence on several images of instruments used by Hevelius suggests that it was significant. A brief but informative and well-illustrated description of the life of Hevelius and of his star catalogue is given by Volkoff et al. (1971) in a book celebrating the acquisition by the Brigham Young University of Hevelius' manuscript for the catalogue.
In 1679 Halley visited Hevelius and his observatory, and verified that measurements with the instruments of Hevelius, fitted with naked-eye sights, were more accurate than measurements with contemporary instruments with telescopic sights (Volkoff et al. 1971, p. 41-45). Hevelius' star catalogue was studied among others by Baily (1843), and a modern comprehensive analysis was made by Rybka (1984), who confirmed that the measurements by Hevelius were superior to those by his contemporaries.
Our study of the star catalogue by Brahe (Verbunt & Van Gent 2010, hereafter Paper I), showed the superiority of the modern Hipparcos Catalogue (ESA 1997) in the analysis of old star positions, due to its better completeness, accuracy and homogeneity as compared to earlier catalogues. In this paper we present a machine-readable version of the star catalogue of Hevelius, as printed in Hevelius (1690). In addition to the numbers given by Hevelius this version provides a cross-correlation with the catalogue of Brahe; identifications with stars from the Hipparcos Catalogue (ESA 1997) and on the basis of these the accuracy of the positions and magnitudes tabulated by Hevelius; and a comparison of our identifications with those of Rybka (1984).
Table 1: Constellations in the star catalogue of Hevelius.
In the following we refer to (our machine-readable version of)
the
catalogue of Hevelius (1690)
as Hevelius, to Kepler's 1627 edition of
Brahe's catalogue as Kepler, and to our emended
version of this edition as KeplerE. As we will
see, Hevelius also refers to the Secunda Classis,
the star list that immediately follows Brahe's
catalogue in Kepler (1627),
and gives positions and magnitudes of those
stars from the catalogue of Hipparchos/Ptolemaios that Brahe omitted
from his own catalogue. Individual entries in Hevelius
are numbered
according to the order in which they appear, i.e. H 350 is the
350th entry. A K-number refers to an entry
in KeplerE (
)
or in Secunda Classis (
). The sequence number within
a constellation is indicated by a number following the abbreviated
name of the constellation: Vul 3 is the third entry in the
constellation Vulpecula in Hevelius.
2 Description of the catalogue
The catalogue by Hevelius is organized by constellation, and the constellations are ordered alphabetically. There are 56 constellations in the catalogue, of which 11 are new with respect to the star catalogue of Brahe (Table 1). Cerberus, Lacerta sive Stellio, Scutum Sobiescianum, Sextans Uraniae and Triangulum Minus are new constellations introduced by Hevelius. Camelopardalis and Monoceros are constellations introduced by the Dutch astronomer and cartographer Plancius for a globe by Van den Keere in 1612. Hevelius divided other constellations from Plancius, Jordanis Fluvius (River Jordan) and Tigris Fluv. / Euphrates Fluv. (Rivers Tigris and Euphrates) into Canes Venatici, Leo Minor, Lynx (sive Tigris), and Vulpecula cum Anser (see Van der Krogt 1993, p. 190-196).
The catalogue of Hevelius contains 1564 entries, including 18 empty ones for which Hevelius gives no own measurements, but only positions from other catalogues. 13 entries are repeat entries, (almost) identical to entries elsewhere in the catalogue (Table 2). Thus Hevelius gives his magnitudes and positions for 1533 independent entries.
For each entry a brief description is followed first by the sequence number of this entry in the corresponding constellation in Brahe's catalogue (Ordo Tychonis), by the magnitude given to this star by Brahe (Magnitudo Tychonis), and by the magnitude as determined by Hevelius (Magnitudo Hevelii). The magnitudes are given in integers, but are sometimes qualified by an second number 1 higher or lower than the first number (e.g. 6.7.), by the word fere (approximately), or otherwise (Table 3).
The magnitude as measured by Hevelius is followed by the
position of the entry in ecliptic coordinates, given in degrees D,
minutes M, seconds S
and sign (Gr., Min., Sec., Sig.). All
numbers are integers. For the longitude, the sign is the zodiacal
sign, indicated with its symbol in Hevelius' catalogue, replaced by us
with an integer number Z from 1 to
12 as shown in Table 2 of
Paper I (from Aries = 1 to Pisces = 12). For
the latitude the sign
is an A or B indicating Australis (south) or Borealis (north).
The
longitude and latitude in decimal degrees follow as

and

The equinox of the coordinates is given as Annum Christi Completum MDCLX, i.e. 1661.0.
These data are followed for each entry by the positions, where available, in ecliptic coordinates as given by Tycho, Wilhelm Landgrave of Hesse, Riccioli, Ulugh Beg, and Ptolemaios. The final information for each entry is the equatorial position as determined by Hevelius.
Of all this information our machine-readable version of Hevelius' catalogue only retains the sequence number in Brahe, and the magnitude and ecliptic position according to Hevelius.
Hevelius gives Ordo Tychonis numbers for 939 entries: 911 of these indeed are entries in KeplerE, usually but not always in the same constellation as in Hevelius; the 28 others are in the Secunda Classis of Kepler (1627). Magnitudes of stars first catalogued by Hevelius are labelled IH (i.e. Johannes Hevelius). In most cases entries which do not have a Brahe sequence number have magnitudes labelled IH, but exceptions occur when the star is in another earlier catalogue, in particular the Secunda Classis of Kepler (1627) or in Riccioli (1651). Occasionally a star with a magnitude not labelled IH, thus presumably considered a previously catalogued star by Hevelius, nonetheless is without position in any of the catalogues tabulated by Hevelius. Details are given in Sect. A.1.
Table 2: Repeated entries in Hevelius.
Table 3: Magnitude qualifiers used by Hevelius.
3 Identification procedure
The procedure that we follow for the identification of each star from the catalogue of Hevelius is mutatis mutandis identical to the procedure that we followed for the catalogue of Brahe, and we refer to Paper I for details. Briefly, we select all stars from the Hipparcos Catalogue with a Johnson visual magnitude brighter than 6.0, we correct their equatorial positions for proper motion between the Hipparcos epoch 1991.25 and 1661.0, then precess the resulting equatorial coordinates from the Hipparcos equinox 2000.0 to 1661.0, and finally convert the coordinates from equatorial to ecliptic, using the obliquity appropriate for 1661.
For each entry in the Hevelius catalogue we find the nearest - in terms of angular separation - counterpart in the Hipparcos Catalogue. In general, this counterpart is selected by us as a secure identification, and given an identification flag 1. If a much brighter star is at a marginally larger angular distance, we select that star as the secure counterpart, and give it flag 2. Especially for larger angular distances we may decide that the identification is uncertain (flag 3); and occasionally several Hipparcos stars appear to be comparably plausible as counterparts for the same entry (flag 4). An entry for which we do not find a plausible identification is flagged 5; and an entry which is identified with an Hipparcos star that already is the identification of another entry - i.e. a repeat entry - is flagged 6.
It is indicative of the high accuracy of the Hevelius catalogue that the number of problematic identifications (flags 3-5) is much smaller than in our analysis of Brahe's catalogue, notwithstanding the rather larger number of entries. In 5 cases we accept an identification with Hipparcos magnitude V = 6.1, and in one case each with V = 6.3 and V = 6.5.
In thirteen cases two entries are identified with the same
Hipparcos star. These are listed in Table 2
In seven pairs both stars have exactly identical coordinates,
in four their coordinates differ by 1
.
In some cases
there are nearby unidentified stars, and it would be tempting
to assign one of the pair to such a star, if it weren't for the
too large offset required.
3.1 Identifications by Rybka
To compare the identifications from Rybka (1984) with those by
us, we
convert his identifications to an Hipparcos number. In most cases
Rybka gives a Bayer or Flamsteed identification (e.g. And,
7 And), or an identification from the FK4 catalogue or from
the SAO
catalogue. We convert these to HR numbers through the Bright
Stars Catalogue (Hoffleit & Warren 1991) and from HR
via HD
number to Hipparcos numbers. If this fails, we use the SIMBAD
database. For H 319 (=CMi 12), Rybka gives
12 CMi as Flamsteed
counterpart. We do not find a star from the Hipparcos
catalogue
with V < 6.5 within 45
from 12 CMi, however; our identification for H 319,
HIP 39311, corresponds to the 13th star in
Navis in Flamsteed's catalogue.
In some cases Rybka (1984) only provides an identification from Flamsteed's (1725) edition of Hevelius' catalogue: these look like Flamsteed numbers but have an H attached: e.g. 32H Cam. The stars in Flamsteed's edition are in a different order than in Hevelius, but otherwise have identical numbers (i.e. magnitudes and both equatorial and ecliptic position for 1661.0). Thus 32H Cam is a self-reference, and does not provide an identification. In some cases we have found Hipparcos identifications for Flamsteeds Hevelius numbers via SIMBAD, but is 6 cases we have not, and we classify these as unidentified in Rybka (1984).
In 32 cases our identification suggests an emendation to Rybka's identification. These are discussed in Sect. A.2. In 21 cases this emendation leads to a different corresponding Hipparcos number, in 11 cases the correspondence is not affected.
4 The machine-readable catalogue
Table 4: First lines of the machine-readable table Hevelius.
The machine-readable table Hevelius
contains the following
information (see Table 4).
The first column gives the
sequence number H. The second column the sequence
number K of the
corresponding star in KeplerE (
)
or in Secunda Classis (
): these numbers are used
only when
Hevelius gives a Brahe sequence number (OT) or an
ecliptic position
from Kepler, that provides an unambiguous correspondence. We give the
first star in Secunda Classis the
number K 1005, and continue
the numbering for the following stars in order of appearance (see
Verbunt & Van Gent 2010,
Paper III, in preparation; also for the exception in
Sagittarius). In some cases an entry in Hevelius
is identified
with the same Hipparcos number as an entry in KeplerE,
even
though Hevelius does not indicate a Brahe sequence number or
position. We consider the correspondence in these cases probable but
not secure, and indicate them with 2000+K in column two. For example,
H 201 is identified with HIP 23522 as is
K 11 in KeplerE; the
second column in the machine-readable table Hevelius
gives 2011.
The third and fourth columns indicate the constellation: indicated with its sequence number in the catalogue and with the modern abbreviation, as listed in Table 1. For some constellations no longer in use (Antinous, (Argo) Navis, and Triangulum Minus) we introduce an abbreviation. Column 5 gives the sequence number of the entry within the constellation in Hevelius.
Columns 6-16 copy information from the original catalogue. Column 6 gives the Ordo Tychonis OT (see Sect. 2 and Sect. A.1 for details). Column 7 gives the magnitude: when the entry is indicated as non nisi tubo visibilis (not visible unless with a tube [i.e. telescope]) by Hevelius, we give it magnitude 8; when indicated nebulous by Hevelius, we give it magnitude 9. Column 8 give magnitude qualifiers, as detailed in Table 3. Columns 9-12 give the ecliptic longitude, (Z, G, M and S) and Cols. 13-16 the ecliptic latitutde (G, M, S and A/B). For this notation, see Sect. 2.
Table 5: Frequency of flags B of identifications of corresponding entries in KeplerE as a function of our flags I.
Columns 17-24 provide additional information from our analysis. Column 17 gives the Hipparcos number of our identification, and Col. 18 a flag indicating the quality of the identification, as explained in Sect. 3 (see also Table 5 in Paper I).
Column 19 flags the identification of the
corresponding entry in
KeplerE: a 0 if that entry is not identified,
a 1 if its
identification is the same as the one here in Col. 17, a 2 if
its
identification is to the other of a pair of possible identifications,
and a 3 for a different identification. Column 20
flags the
identifications by Rybka (1984),
with the same notation. Column
21 gives the visual (Johnson) magnitude of the Hipparcos
object
given in Col. 17. Columns 22, 23 give the
difference in longitude
and latitude between the correct position (based on information from
the Hipparcos Catalogue) and the catalogue entry.
Note that the
tabulation in Hevelius gives minutes and seconds, which we convert to
decimal minutes
to compute Cols. 22 and 23. If the
catalogue entry for minutes as computed from the position and proper
motion in Hipparcos Catalogue is
,
and
is the value
from the Hevelius Catalogue, then columns
22 and 23 give
.
Column 24 gives the
difference between correct and tabulated position in
.
Table 6: Frequency of flags R of identifications by Rybka as a function of our flags I.
5 Analysis and discussion
5.1 Comparison with Brahe
915 entries in Hevelius can be matched unambigously with an entry in KeplerE: 911 (including the repeat entry H 793) through their Ordo Tychonis, and 4 without OT through the position according to Tycho as given by Hevelius. 10 of these 914 independent entries have no position by Hevelius, among them SN 1572. Table 5 compares our identifications of the entries common to Hevelius and KeplerE: in most cases we found the same identification for both catalogues. The 16 exceptions arise because Hevelius gives a position very different from the position in KeplerE: striking examples are H 14/K 463, H 1005/K 961 and H 1099/K 441, as detailed in Sect. B.
90 entries in KeplerE, among which 12
which we were unable to
identify with an Hipparcos star, have no explicit counterpart in
Hevelius. The 12 unidentified stars probably have
a wrong position
in KeplerE, which would explain why Hevelius
found no star at that
position. For the others we checked whether their Hipparcos
identifications occur also in Hevelius. This is
the case for 57. It
appears likely that Hevelius and Brahe observed the same star in these
cases, but we cannot exclude an occasional chance coincidence. Many
of the remaining 21 entries in KeplerE that are
not matched with an
entry in Hevelius have a very large position
error
in KeplerE.
The unmatched entries also include 4 stars in Argo and all
4 stars
in Centaurus.
![]() |
Figure 1: Distribution of the magnitudes for all stars in Hevelius (below), and for only those stars that have a counterpart in KeplerE (above). In the large frames the histograms indicate the magnitudes according to Hevelius for stars which we have securely identified (red; flags 1-2 ) or not securely identified (blue, flags 3-5), and the magnitudes from the Hipparcos catalogue for securely identified stars (black). The numbers of securely and not-securely identified stars are indicated. The small frames give the Hipparcos magnitude distributions for securely identified stars for each magnitude according to Hevelius separately. The number of securely identified stars at each (Hevelius) magnitude is indicated. |
Open with DEXTER |
Some remarkable features of entries in KeplerE are present in Hevelius as well. We mention in particular the three stars in Capricornus which are denoted `nebulous' both in Hevelius and Brahe, and H 1188/K 801 which both in Kepler and Hevelius are given a B for northern latitude, whereas the correct latitude is S for southern (see Fig. C.44 in Paper I).
5.2 Comparison with Rybka (1984)
In Table 6 we compare the identifications as found by us with those given by Rybka (1984), separately for the stars in KeplerE and for all stars in Hevelius. In most cases the identifications are identical, but there are differences. We have identified 24 stars (among which 1 repeated entry) that Rybka could not identify. In 6 cases where two stars are plausible counterparts we choose the stars that Rybka did not choose. In 48 cases (among which 1 repeated entry) we do not agree with the identification in Rybka (1984); this includes 9 stars which we cannot identify. This number does not include the 21 cases where our emendation to Rybka leads to a different Hipparcos identification (see Sect. A.2). In some cases the identification given by Rybka (1984) has such a large positional offset, or is so faint, that we consider our rejection secure; in other cases we choose another closer and/or brighter star as a more plausible counterpart. Details may be found in Sect. B.
5.3 Accuracy
![]() |
Figure 2:
Above: Correlations of the differences in longitude
|
Open with DEXTER |
Table 6 shows that there are 16 stars, i.e. one percent of the total, in Hevelius that we are not able to identify. We do not count in these the empty entries. As in the case of the Brahe catalogue, we would have to accept fainter counterparts or larger position errors to identify these; in both cases the probability of chance coincidences would increase. Other entries in Hevelius which do not have an identification in the Hipparcos Catalogue are H 32 (= M 31), H 259 (= Praesepe) and H 1540 (= Nova Vul 1670; see Sect. B).
Figure 1 illustrates that the magnitudes assigned by Hevelius correlate well with those of their counterparts in the Hipparcos Catalogue. Only the higest magnitudes assigned by Hevelius, 6 and 7, tend to be too high.
![]() |
Figure 3: Distribution of the errors in latitude in Hevelius as a function of right ascension, together with the r.h.s. of Eq. (1). |
Open with DEXTER |
In Fig. 2
we show the error distributions
separately for the longitudes and latitudes, as well as their
correlation. The correlation distribution is roughly spherical,
i.e. the errors in longitude and latitude are mostly independent.
Gaussians that fit the central regions (-5,+5
)
of the
distributions of
and
both have
widths
;
both predict fewer points at errors
larger than 5
than observed. The numbers of errors with absolute values larger than 10
correspond to less than 10% of the number of identified entries,
a similar percentage as in KeplerE. The widths of
the peak of the error distributions (near 2
)
and the fraction of larger errors are thus similar in Hevelius
to those in KeplerE, which is an impressive
achievement since the number of stars has increased by more than
50% mostly at the fainter magnitudes 5
and 6.
Figure 2
further shows that the errors in longitude
increase with the distance to
the zero point ;
and that the errors in latitude
have a roughly
sinusoidal dependence on longitude. The latter dependence may be
explained by an error in the value of the obliquity. Hevelius measured
the obliquity in several years, and found values around
506 (Rybka 1984,
p. 37); according to modern theory
the obliquity in 1661 was
483. For small declinations
,
the resulting error in latitude
due
to the error
after
converting equatorial
to ecliptic coordinates may be written
The observed relation between






![]() |
Figure 4:
Distribution of the position errors |
Open with DEXTER |
![]() |
Figure 5:
Cumulative distribution of the position errors |
Open with DEXTER |
The average offset of longitude is virtually zero; the latitudes have
an average offset of -1
4. This average offset may be
due to an
underestimate by Hevelius of refraction. The distribution of the total
position errors
in Hevelius is shown in
Fig. 4.
This distribution peaks roughly at the value of
the width 2
of the separate distributions in
,
,
as expected (see explanation in Paper I). The number
of stars with large position errors is markedly smaller in
Hevelius than in KeplerE. In
particular, the number of stars with
position errors larger than a degree is 21 (on a total of 1517
identified entries) in Hevelius as compared to 47
(on a total of 977
identified entries) in KeplerE. Similarly, the
number of unidentified
stars is 16 (of 1533 independent entries) in Hevelius
and 14 (of 992
independent entries) in KeplerE. It may be
concluded that the
overall accuracy of the star catalogue of Hevelius is better than that
of the star catalogue of Brahe/Kepler.
![]() |
Figure 6: Completeness of Hevelius and KeplerE as a function of magnitude and declination, as illustrated by cumulative magnitude distributions. For each range of declination (equinox 1631) the top curve shows the magnitudes for all stars in the Hipparcos Catalogue, the middle curve the Hipparcos stars not in KeplerE, and the lower curve the Hipparcos stars not in Hevelius. |
Open with DEXTER |
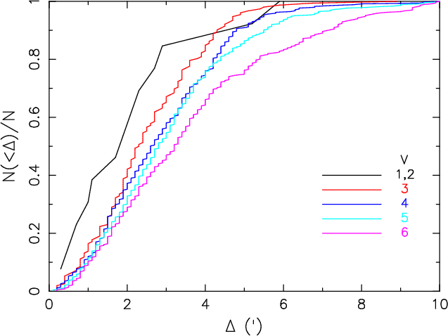
In Fig. 5
we show the cumulative error distributions
for each Hevelius magnitude separately, taking magnitudes 1
and 2
together, and limiting the distributions to .
It is
seen that the median error increases slowly but systematically with
magnitude.
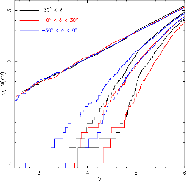
5.4 New and old stars: completeness
In Fig. 6
we investigate the completeness of
Hevelius and KeplerE as
function of magnitude, for three
declination ranges. For this purpose we select from Hevelius
and
KeplerE only those entries which we have
identified, and which are
not repeat entries, i.e. entries with I=1-4. For
selecting the
Hipparcos stars in the latitude ranges we convert their positions to
an equinox halfway between Brahe and Hevelius, viz. 1631.0. At
magnitudes V < 4 there are
348 stars from the Hipparcos Catalogue
with ,
of which 5 are absent from
Hevelius and 23 from KeplerE
(of which 13 with
). At magnitudes V
< 5 there are 1138 Hipparcos
stars with
,
of which Hevelius misses 141 stars
(89 with
)
and KeplerE 389 (156 with
). Finally, about
3500 Hipparcos stars with V < 6have
,
and of these some 2000 are absent from
Hevelius and 2500 from KeplerE,
which is just another way of saying
that Hevelius and KeplerE
contain about 1500 and 1000 stars
visible to the naked eye, respectively. It may be noted here that the
latitude of Gdansk is about 1
5 further south than that of
Hven.
Nonetheless, as shown in Fig. 6 KeplerE
is more
incomplete already at brighter magnitudes, also in the northern parts
of the sky.
How many new stars did Hevelius observe? In the manuscript of the catalogue, a note dated 1681 March 31 states that 946 stars of Tycho and 617 new stars were observed (Volkoff et al. 1971, p. 72). This gives a total of 1563, very close to the total of 1564 entries given in Table 1, but spuriously so since Hevelius gives no own measurements for 18 of the 1564 entries. Hevelius indicates, through an OT number or a position from Tycho, for 915 entries that they are from Kepler (Table 1). For 905 of these Hevelius gives his own measurements (see Sect. 5.1). To obtain the higher number of 946 stars from the note, we have two options. One is to add the 28 stars from the Secunda Classis. (These were also measured by Brahe, according to Kepler, albeit with less accuracy). This option leaves us with too small a number. The other option is to add the 47 entries for which our identification corresponds to an identification in KeplerE. This would imply that Hevelius was aware that more stars from his catalogue corresponded to stars in Kepler than the 915 entries marked by him as such through OT or Tycho position.
If we subtract from the total number of 1564 entries in Hevelius all 962 that have a counterpart in KeplerE and further subtract the 28 entries that have a counterpart in Secunda Classis, we find a number of 574 entries first measured by Hevelius. 573 of these are stars, the other one is M 31.
Cerberus, Lacerta, Scutum, Sextans and Triangulum Minus, the
truly new
constellations by Hevelius, contain a total of 36 stars, of
which only
one possibly corresponds to a star in KeplerE
(H 1328 / K959: the
position error of K 959 is 2
5, so a chance coincidence is
possible). Monoceros and Camelopardalis, two constellations retained
by Hevelius from Plancius, contain twelve and up to fourteen stars
from KeplerE, respectively (Table 1). The four
constellations fashioned by Hevelius from two constellations by
Plancius contain up to sixteen stars from KeplerE.
We use the
qualification ``up to'' for the stars listed under NK
in
Table 1
because some of the correspondences between
Hevelius and KeplerE may be
chance coincidences. The six
constellations retained of refashioned from Plancius by Hevelius
contain 138 stars, so even accepting all 42 correspondences as
real,
we still find that a large majority of stars in these constellations
was first observed by Hevelius.
This research has made use of the SIMBAD database, operated at CDS, Strasbourg, France. We thank Dr. Jarosaw W
odarczyk for providing us with a copy of Rybka (1984), and Oliwia Madej for help in reading parts of it. This research is supported by the Netherlands Organisation for Scientific Research under grant 614.000.425.
References
- Baily, F. 1843, MRAS, 13, 1 [Google Scholar]
- Brahe, T. 1598, Stellarum octavi orbis inerrantium accurata restitutio (manuscript), edited by Dreyer 1916, p. 333 [Google Scholar]
- Brahe, T. 1602, Astronomiae Instauratae Progymnasmata, edited by Dreyer 1915, p. 258 [Google Scholar]
- Dreyer, J. L. E. 1915, Tychonis Brahe Dani Scripta Astronomica, Vol.II (Gyldendal, Kopenhagen) [Google Scholar]
- Dreyer, J. L. E. 1916, Tychonis Brahe Dani Opera Omnia, Vol.III (Gyldendal, Kopenhagen) [Google Scholar]
- ESA 1997, The Hipparcos and Tycho Catalogues (SP-1200, ESA Publications Division, Noordwijk) [Google Scholar]
- Flamsteed, J. 1725, Historia Coelestis Brittanicae, Volumen Tertium (Meere, London) [Google Scholar]
- Hevelius, J. 1690, Catalogus Stellarum Fixarum (Johann Stolle, Gdansk) [Google Scholar]
- Kepler, J. 1627, Tabulae Rudolphinae (Jonas Saur, Ulm) [Google Scholar]
- van der Krogt, P. 1993, Globi Neerlandici: the production of globes in the Low Countries (HES, Utrecht) [Google Scholar]
- Rawlins, D. 1993, DIO 3, 1 [Google Scholar]
- Riccioli, G. B. 1651, Almagestum novum (Victorius Benatius, Bologna) [Google Scholar]
- Rybka, P. 1984, Katalog Gwiazdowy Heweliusza (Polska Akademia Nauk, Wroclaw) [Google Scholar]
- Shara, M. M., Moffat, A. F. J., & Webbink, R. F. 1985, ApJ, 294, 271 [NASA ADS] [CrossRef] [Google Scholar]
- Verbunt, F., & van Gent, R. H. 2010, A&A, 516, A28 (Paper I) [NASA ADS] [CrossRef] [EDP Sciences] [Google Scholar]
- Volkoff, I., Franzgrote, E., & Larsen, A.D. 1971 Johanes Hevelius and his catalog of stars (Brigham Young University Press, Provo, Utah) [Google Scholar]
Appendix A: Annotations and emendations
A.1 Annotations to Hevelius
In 28 cases the Ordo Tychonis given in Hevelius
is larger than
the number of stars in the corresponding constellation in KeplerE,
and the OT actually refers to a star in Secundis Classis.
Stars
in Secunda Classis are usually given OTs that
follow by
continuation of the numbering from the last star in the corresponding
constellation in KeplerE. We identify entries
from Hevelius with
stars from KeplerE or Secunda Classis
when the positions given
by Hevelius as due to Tycho have a longitude higher by 51
(the
correction applied by Hevelius for precession from 1601 to 1661) and
the same latitude as in Brahe's catalogue, accepting round-off errors
of 0.5 in M (minute) for each coordinate.
Such is the case for: H 296, H 298, H 299,
H 302 (CMa); H 716 -
H 726 (Eri); H 834 (Hya); H 1218 -
H 1221, H 1229 - H 1232
(Sgr); H 1275 - H 1278 (Oph). For two stars in the
Pleiades, see
below.
In 21 cases the Ordo Tychonis given in Hevelius refers to a different constellation in KeplerE. These are H 258 (Cnc, OT refers to Hya); H 273 (Cnc, OT refers to CMi); H 993 - H 1002 (Mon, OTs refer to Hya); H 1202 (Psc, OT refers to And); H 1241 - H 1243 (Sco, OTs refer to Lib); H 1314, H 1317 - H 1320 (Ser, OTs refer to Oph).
In 9 cases a position from Tycho is given by Hevelius, but no
OT
number. In 4 cases the star is in KeplerE,
viz. H 415 (Cas,
SN 1572) = K 267; H 521 (Cet) =
K 919 (Eri); H 1004, H 1005
(Mon) = K 958, K 961 (Arg; with an emendation, see
Sect. B)
and in 5 cases the star is in Secunda Classis:
H 777 (Her, SC: Oph); H 1003 (Mon, SC:Hya);
H 1213, H 1216 (Sgr, SC: Sgr); H 1289 (Oph,
SC: Oph). In one case, H 1016 (in Arg), a Tycho position by
Hevelius (
= 01 51, 49 00 A) does not match a
position either in KeplerE, or in Secunda
Classis, although it
is close to two stars in Argo in Secunda Classis
(viz. K 1167
and K 1168).
In 5 cases a magnitude from Tycho is given by Hevelius, but no OT number or Kepler position: H 321, H 322 (in RS CVn, see Table 2; H 906, H 909, H 910 (in LMi)
In 15 cases Hevelius does not mark the magnitude IH, thereby indicating that the star has been previously catalogued, but does not give a Tycho magnitude or position. These are H 108 (Aqr), H 520 (Cet; position from Riccioli), H 611 and H 613 - H 617 (Cyg), H 835 (Hya), H 911, H 913, H 914, H 916, H 918, H 919 (in LMi), H 1467, H 1468 (UMa).
![]() |
Figure A.1: Pleiades. In red H numbers of stars also present in KeplerE, in blue stars added by Hevelius. |
Open with DEXTER |
Hevelius lists six stars in the Pleiades (see Fig. A.1). These correspond to entries in KeplerE for those four stars for which OTs are given, and to entries in Secunda Classis for the two other stars. If we analyse the positions as measured by Hevelius, we find that the entries from KeplerE that we identified with Electra and Merope are coupled in Hevelius to positions that match Maia and Electra. We have emended these, as listed below where the first Taurus sequence number is our emended version and the second the OT as given by Hevelius.
Alcyone | H 1379 | HIP 17702 | Tau 32 | 32 |
Taygeta | H 1380 | HIP 17531 | - | 30 |
Atlas | H 1381 | HIP 17847 | Tau 33 | 33 |
Maia | H 1382 | HIP 17573 | - | 0 |
Electra | H 1383 | HIP 17499 | Tau 30 | 31 |
Merope | H 1384 | HIP 17608 | Tau 31 | 0 |
A.2 Emendations to Rybka
For each emendation we list the H sequence number, the original text in Rybka (1984), our emendation, and a 1 (one) if the emendation changes the identification, or is required to obtain a unique identification. When Rybka gives two names for one identification, one of which corresponds to our identification, and the other must be emended to do so, we do not give a 1.
H | Rybka | emend. | H | Rybka | emend. | ||
55 | ![]() |
![]() |
1 | 602 | ![]() |
![]() |
1 |
64 | 1 Psc | 1 Aqr | 1 | 671 | 63 Dra | 64 Dra | |
66 | 5 Psc | 5 Aqr | 1 | 678 | ![]() |
![]() |
1 |
86 | ![]() |
![]() |
733 | 6 Gem | ![]() |
1 | |
148 | ![]() |
![]() |
1 | 828 | ![]() |
![]() |
|
212 | ![]() |
![]() |
926 | ![]() |
![]() |
1 | |
228 | ![]() |
![]() |
1 | 942 | ![]() |
![]() |
1 |
265 | ![]() |
![]() |
1003 | 30 Hya | 30 Mon | ||
284 | ![]() |
![]() |
1 | 1004 | 31 Hya | 31 Mon | 1 |
348 | UZ Cam | VZ Cam | 1047 | ![]() |
![]() |
1 | |
403 | ![]() |
![]() |
1 | 1084 | ![]() |
![]() |
1 |
460 | 16 Cep | 24 Cep | 1 | 1094 | ![]() |
![]() |
|
461 | 24 Cep | 16 Cep | 1 | 1196 | ![]() |
![]() |
|
466 | 7 Cas | 1 Cas | 1 | 1227 | 81 Sgr | 61 Sgr | |
538 | 32 Eri | 22 Eri | 1 | 1367 | ![]() |
![]() |
1 |
559 | 2 Com | 2 Boo | 1 | 1372 | ![]() |
![]() |
Appendix B: Notes on individual identifications
H 14, near -14,12 in Fig. C.1, corresponds to K 463, but in Hevelius is much closer to the other stars in Andromeda, i.e. much further south, than in KeplerE.
H 16 is identified with 65 Psc
(=HIP 3885) by Rybka, but this star
is at 4
5.
H 30 is identified by Rybka with HIP 115022,
brighter but
further (V = 4.8, d = 17
2).
H 32 is the Andromeda Nebula M 31.
H 98 is marginally closer to HIP 117089 (V
= 5.2, d=31
5), but we agree with Rybka
that the brighter HIP 116901 is the counterpart,
given the relative offsets of other stars in the area to their
counterparts
(Figs. C.3,
C.4).
H 99, about equally distant from H 98 and H 100 in Hevelius, is identified with HIP 117218 (Fig. C.4); its counterpart in KeplerE lies closer to the counterpart of H 98 and is therefore identified with HIP 117089.
H 174 near +3,+3 in Fig. C.7, is
close to Aur
(= HIP 28360) in Hevelius,
i.e. much further south than its counterpart K 310 in KeplerE.
H 185. Its counterpart in KeplerE lies between HIP 25541 and HIP 24879 and is identified with the latter (Fig. C.8).
H 196, H 197 and H 198 are identified by Rybka with HIP 24727, HIP 24504 and unidentified respectively. Fig. C.8 shows that our identifications HIP 24799, HIP 24727 and HIP 24504 are better matches. Alternatives to our identifications for H 196 and H 198 are HIP 24879 and HIP 25291, respectively.
H 200, near -5,-13 in Fig. C.7, is identified by Rybka with HIP 25492 (near -4,-12). Our identification is a better positional match.
H 234, near 5.6,-16.8 in Fig. C.9, is identified
by Rybka with HIP70738 (V=5.9, d
= 16
2); our identification is
brighter and nearer.
H 282-283, near -2,+6 and +1.3,+3.6 in Fig. C.10,
only have distant counterparts in the Hipparcos Catalogue with .
Rybka gives fainter counterparts for each, viz. HIP 41404 (V
= 6.3, d = 1
)
and HIP 41940 (V = 6.4, d
=53
).
H 296, near -0.4,1.3 in Fig. C.11, is ``difficult to identify'' according to Rybka, but clear with Hipparcos data.
H 306, near 5.5,-2.8 in Fig. C.11, is identified by Rybka with HIP 34981 near 4.6,-4.3.
H 313, near -2.4,-2.4 in Fig. C.12, is
identified by Rybka with HIP 36723, slightly brighter but
further (V = 5.6, d = 14
9) than our identification.
H 314, near 2.4,0.9 in Fig. C.12, is
identified with
Rybka with HIP 39213, indeed the nearest star (3.9,0.5) but in
our view too far, at 1
5.
H 321 is the combined light of CVn
(HIP 63121, V = 5.6) and
CVn
(HIP 63125 V = 2.9), separated by 19
.
H 326, is identified by us with the first of two possibilities given by Rybka.
H 329, near 1.2,-2.5 in Fig. C.13, is identified by Rybka with HIP 64927 (near 1.9,-3.5), slightly brighter but much further than our identification.
H 331, near -1.8,1.4 in Fig. C.13, is identified by Rybka with HIP 64692 (near -2.0,2.1), fainter and further than our identification.
H 338, is identified by us with the second of two possibilities given by Rybka.
H 346, near 4.1,15.1 in Fig. C.14, is
identified by Rybka with HIP 49688, both fainter and further (V
= 6.3, d = 42)
than our identification.
H 376, near -10,+7.6 in Fig.C.15, is
closer to HIP 100027 ( Cap, d
= 4
6) than to HIP 100064
(
Cap,
d = 5
1) but should still be
identified with the
latter. H 404 is the counterpart of HIP 100027,
described by
Hevelius as In cornu borealis duarum contiguarum occidentalis
(In the northern horn of the two adjacent ones the western one).
H 400 Non videtur amplius (Is no longer seen) according to Hevelius, which is understandable as Brahe's position was erroneous (Rawlins 1993, see also Paper I).
H 405, near 8.8,0.5 in Fig.C.15, is
identified by
Rybka with HIP 107517 fainter and much further (V
= 5.6, )
than
our identification. Rybka gives HIP 107517 also as the
identification of
H 399, where we agree.
H 429-432, four stars near 6,7 in Fig. C.16, had wrong positions in Brahe's catalogue and were assigned other identifications, even though this left relatively bright stars in Cassiopeia unidentified (see notes with K 236-238 and Fig. C.14 in Paper I; and Rawlins 1993, D 585-588). Hevelius decided to identify these entries in Brahe with the brighter stars.
H 436, near -5.1,4.5 in Fig. C.16 is identified by Rybka with HIP 2876 near -6.1,3.2, but this star is too far to be a reliable counterpart; we leave this star unidentified.
H 438, near -0.2,2.2 in Fig. C.16 is
identified by Rybka with the the Mira variable RV Cas, but this star
is almost 17
from the position of H 438.
H 462, near 11.4,-2.5 in Fig. C.17, is
identified by Rybka with HIP 1296, almost 3
away.
H 463. We list the same counterpart as Rybka; an
alternative is HIP 108165, V = 5.7, d
= 32
7.
H 467-468, near -12.9,16.1 and -12.1,15.7 in Fig. C.17 are identified by Rybka with HIP 100097 and HIP 101084, near -15.6,13.0 and -15.0,11.5.
H 492, near 17.6,11.8 in Fig C.17, is
identified by Rybka with HIP 84535, but this star is faint and
rather
far (V = 6.3, d = 16
5).
H 523, near 5.5,1.0 in Fig. C.19, is described as Nova in collo Ceti (New star in the neck of the Whale) by Hevelius, and is Mira Ceti (o Cet). It is listed in the Hipparcos catalogue at V=6.5 (sc. average) but its magnitude at maximum is close to 2.
H 525 is erroneously given the same identification by Rybka as H 524.
H 557, near -0.4,3.2 in Fig. C.20, is identified by Rybka with HIP 62886, near -0.9,-1.2, but we identify H 562 with this star. We consider H 557 unidentified, just as its corresponding entry K 483 in Brahe's catalogue.
H 562, near -0.9,-1.2 in Fig. C.20, is
identified by Rybka with HIP 6424 = Com, near 4.3,-2.8,
clearly not compatible with its position.
H 570, near 3.2,1.9 in Fig. C.21, is
identified
by Rybka with CrB
= HIP 78459 (V = 5.4, d
= 208
).
Our
identification corresponds to
CrB.
H 581. HIP 61910 corresponds to the combined flux of the two stars given by Rybka, SAO157447/8.
H 593 is P Cygni. Hevelius gives the magnitude as 3.0.6 which we interpret as indicating a range of 3 to 6, in agreement with the actual variations of this star. Rybka does not identify this entry.
H 604. An alternative identification is
HIP 99639, closer but
a magnitude fainter (V = 4.8, d
= 2
9).
H 619, near 9.3,10.8 in Fig. C.24. The nearest Hipparcos
star with
is HIP 103956 (V = 5.9, d
= 81
;
Rybka identifies with HIP 103530 V = 5.6,
.
We consider this entry unidentified.
H 636, near -9.6,3.0 in Fig. C.24.
HIP 97367 is closer
to this entry but much fainter (V = 5.8, d
=41
7) than our identification.
H 649, near 1.0,1.7 in Fig. C.25, would be
a good match
to HIP 103294 if a correction of 2
is made to the longitude.
The counterpart given by Rybka is too faint and too far (V
= 6.3,
).
H 678, H 679. H 678 corresponds to the close pair HIP 86614, HIP 86620. The entry K 94 in the Brahe Star Catalogue corresponding to H 679, had a position closer to HIP 87728, but a description which better matches HIP 89937. The position in Hevelius also matches HIP 89937. See Fig. C.5 in Paper I.
H 690, near 23.1,26.3 in Fig. C.26 is identified
by Rybka
with HIP 61281 (
).
H 698 ( Equ)
corresponds to the combined flux of
HIP 103571 and HIP 103569 (separated by 10
).
H 714, near -11.6,9.7 in Fig. C.28, lies
between HIP 14293 and HIP 14168, somewhat closer to
the latter. The
corresponding entry in Brahe's star catalogue K 912 is closer
to
HIP 14293. The counterpart given by Rybka, HIP 16989,
is almost
9
off.
H 737, near 4.8,2.0 in Fig. C.29, lies between HIP 36429 and HIP 36393, somewhat closer to the latter. The corresponding entry in Brahe's star catalogue K 556 is closer to HIP 36429. Rybka mentions both as possible counterparts.
H 790, near -16.7,8.6 in Fig. C.30, lies
between HIP 75793 (= Boo) and
HIP 76041 (=
Boo),
somewhat closer to the latter. Rybka identifies this entry with
HIP 75793.
H 792, near 3.8,19.3 in Fig. C.30, is
identified by Rybka with HIP 86173 (V =
7.3, d = 4
9). Our
identification is brighter and closer.
H 794, near 5.9,19.5 in Fig. C.30, is
identified with
HIP 87280 by Rybka. Although variable, this star is too faint
and too far
(V = 6.8, d = 26
4) to be a reliable
counterpart. We prefer to leave this star unidentified, as its
correpondent entry K 175 in Brahe's star catalogue
(Paper I).
H 831, near 4.3,-9.6 in Fig. C.57, is between
HIP 54255,
with which we identify it, and HIP 54204, slightly further but
brighter (V = 4.9, d = 5
6), with which Rybka identifies
it.
H 837, near -27.6,-6.1 in Fig. C.57, lies between
HIP 44961, with which we identify it, and HIP 44833,
with which Rybka identifies it, even though it is both fainter and
further (V = 5.6, d = 12
2).
H 838, near 32.0,4.3 in Fig. C.57 is identified with the Mira variable R Hya by Rybka. Our identification procedure did not find this possibility, due to the faint average magnitude (V = 6.4), but the star is highly variable and we agree with Rybka that this is a plausible identification.
H 849, near 0.1,-4.3 in Fig. C.31, is the
combined
light of HIP 111544 and HIP 111546 (separation 22
3)
H 887, near -1.6,6.7 in Fig. C.32, has a position in Hevelius very different from its position in Brahe, where it lies above HIP 52422 (near -2.9,9.5)
H 895, near -3.9,-4.5 in Fig. C.32 is identified by
Rybka with HIP 50755, fainter and far from the correct
position (V = 6.2, d = 104).
H 905, near -12.2,-1.4 in Fig. C.33, lies
between
HIP 46652 (V = 5.9, d =
44
1) and HIP 46735 (V
= 5.4, d = 50
5). Rybka identifies
H 905 with the nearer star, we think either star is possible.
H 913, near 4.1,4.0 in Fig. C.33, is near
three stars,
HIP 53426 (V = 5.0), d
= 36),
HIP 53377 (V = 5.7, d=40
)
and HIP 53229 (V = 3.8, d
= 44
). We agree
with Rybka in considering the brightest star to be the more plausible
counterpart.
H 936 is closer to HIP 72603 ( Lib,
V = 5.2,
d = 3
3) than to HIP 72622 (
Lib),
but the latter is much
brighter and therefore the counterpart. H 956 is the
counterpart of
Lib,
and Hevelius notes non nisi Tub. vis. (not
visible without tube, i.e. telescope).
H 954, H 955, near 3.0,-4.5 in Fig. C.34, are
identified by Rybka with HIP 76880 (d = 125)
and HIP 76628
(d = 88
)
respectively, but both are much closer to HIP 76106.
We identify H 955 as the closest match to HIP 76106,
and leave H 954
unidentified.
H 956: see H 936.
H 979, near -1.2,0.5 in Fig. C.37, is identified
by us
with HIP 91919, but HIP 91926 is at a comparable
distance and marginally
brighter (V = 4.6, d = 4
6). Rybka considers
H 979 to be the combined light of the two Hipparcos stars that
are separated by 3
5.
H 980, near -1.5,-1.5 in Fig. C.37, is the
combined light of HIP 91971 and HIP 91973 (separated
by 44
).
H 981, near 0.3,-2.5 in Fig. C.37, lies between HIP 92791 and the fainter HIP 92728, closer to the brighter star. Rybka lists both stars as possible counterparts.
H 986, near 0.6,-6.9 in Fig. C.37, lies closest to HIP 93193, with which H978 is identified, and corresponds to the fainter star to the south, HIP93279. In the star catalogue of Brahe its position is closer to that counterpart.
H 1005 (Mon 13) has no OT
number, but Hevelius gives
a Brahe position which after subtraction of his 51
correction
for precession, exactly matches the longitude and latitude of
K 961
(Arg 11) in KeplerE, if
one accepts that Hevelius' value Z = 4is an
emendation of Brahe's Z = 6. In his edition of
Brahe's catalogue
Rawlins (1993)
makes exactly this emendation, which leads to a very
good match of K 961 with HIP 37447 (
Mon).
H 1027 is identified by us with HIP 26268 (d
= 2
7) and by Rybka with
HIP 26237 (d = 6
4). The corresponding entry in
Brahe's star catalogue,
K 870, is closer to HIP 26237: see Fig. C.48
in Paper I.
H 1063-5. Hevelius lists H 1064 as two
magnitudes fainter
than H 1063 and H 1065. This, and the close match in
the positions of H 1063 and H 1965, near 5.6,15.2 and
7.8,15.0 in Fig. C.39,
with HIP 27913 (= Ori)
and HIP 28716 (=
Ori),
respectively,
excludes the interpretation of Rybka, who identifies H 1064
with
Ori
and H 1065 with HIP 29650 (near 10.3,13.9)
H 1073, near 4.7,-14.3 in Fig. C.39, is closer to HIP 28325 which however is identified with H 1075. We agree with Rybka that this leaves HIP 27713, near 3.8,-13.8 as a plausible identification for H 1073.
H 1099, near 8.6,-0.6 in Fig. C.40, has a very different position in Hevelius from it entry K 441 in KeplerE, which we identified with HIP 112997 (near -0.9,-3.6).
H 1127, near -4.8,15.2 in Fig. C.41, is identified by us with HIP 10729 just north of it. The corresponding entry in KeplerE K 268 has a position closer to HIP 11060 (near -5.0,14.1) and is identified accordingly. Rybka identifies H 1127 with HIP 11060.
H 1148, near -7.4,9.0 in Fig. C.41, lies
closest to HIP 11220 (V = 5.2, d
= 11
5), but we agree with
Rybka that HIP 11313 is the more likely counterpart
H 1151, near 0.7,-11.0 in Fig. C.41, is identified with the same star as H 1145, and thus a repeat entry
H 1159, near 9.2,-12.2 in Fig. C.41, lies between HIP 20579 and HIP 20591, slightly closer to the former, with which we identify it. Rybka mentions both as possible counterparts.
H 1185, near 17.4,2.7 in Fig. C.42, lies between
HIP 6732,
which we take as the counterpart, and the slightly brighter and
slightly more distant HIP 6706 (V = 5.4, d
= 4
2).
H 1188, near 18.2,-5.0 in Fig. C.42, lies closest to HIP 7535 as did its counterpart in Kepler; in KeplerE we emended its latitude sign from B to A which gives an excellent match with HIP 8198 (near 18.2,-8.3). Remarkably, Hevelius also gives a northern latitude.
H 1191, near 13.7,12.6 in Fig. C.42, is identified with a V = 6.1 star, as was its counterpart K 808 in KeplerE.
H 1226, near 8.5,6.6 in Fig. C.44, is identified by us with HIP 97063. Rybka identifies H 1226 with HIP 96950 (near 8.7,5.8) which is our identification of the corresponding entry K 709 in KeplerE, which had a position closer to HIP 96950.
H 1229, near 10.8,-5.9 in Fig. C.44, is closest to HIP 98688, which however is the counterpart of H 1232. Rybka identifies H 1229 with HIP 98066 (near 9.9,-4.8, V = 4.7) but HIP 98162 (near 10.0,-5.7) is closer and slightly brighter.
H 1234, near -2.3,1.5 in Fig. C.44, is
identified by Rybka with the pair -
Sgr
(HIP 92761 and
HIP 92845, near -3.3,0.8). We think this is plausible, but not
certain.
-
Sgr
are separated by 13
8;
HIP 92845 is closest to H 1234.
H 1248, near 7.3,-1.4 in Fig. C.45, is identified by Rybka with HIP 80079 (near 6.4,-2.4), rather further from H 1248 than our identification.
H 1250 is located very close to H 1245 by
Hevelius: Prope Supr. Front. Duar. Austr. Infer. adhaeret
alteri, non nisi Tubo visibilis: ex occultatione stabilita.
H 1245 is Hip 78933
( Sco),
and it would be tempting to identify H 1250 with
HIP 78990 (
Sco).
As Rybka remarks, two stars separated by
14
6 do not fit this description.
H 1280 and H 1281 have positions rather different from the corresponding entries in KeplerE, K 354 and K 355. In KeplerE these stars have very uncertain identifications (see Fig. C.20 of Paper I), but the more accurate positions in Hevelius lead to unambiguous identifications.
H 1293 corresponds to the combined light of
HIP 81634 and HIP 81641,
separated by 1
1 and thus not separable by the
naked eye.
H 1296, near 0.4,16.5 in Fig. C.48, is identified by Rybka with HIP 84626, near 3.2,-17.9, clearly not correct.
H 1337 is identified by Rybka with
HIP 51592, indeed closer than
our suggested identification, but also much fainter (V
= 7.1, d = 34
2).
H 1346 lies right between HIP 20885 ( Tau)
and HIP 20894 (
Tau),
which stars are separated by 5
6, and is probably the combined
light of the two.
H 1397, near 0.4,3.5 in Fig. C.52, lies
north of HIP 9001 and HIP 9021. We identify with the
nearer HIP 9001, Rybka with the slightly brighter
HIP 9021 (V = 5.7), but since the
separation between these two stars is just 3
3, H 1397 may
correspond to the combined light of them.
H 1442, near -23.1,14.5 in Fig. C.53, lies closest
to HIP 58858 (V = 5.9, d
= 58
4), but we agree with Rybka
that HIP 59501 (near -21.6,15.2)
is the more plausibe identification, with a similar offset as
H 1450 (near -20.5,12.9)
to its identification HIP 60202.
H 1451, near 17.8,-7.6 in Fig. C.53, is identified
by Rybka with 40 Vir = Vir, which however is the
identification of H 1437.
H 1460, near 25.3,4.8 in Fig. C.54, is the
combined light of HIP 63121 and HIP 63125, separated
by 19
.
H 1499, near -21.5,6.7 in Fig. C.54, is unidentified.
H 1505 and H 1519, respectively near 10.3,-9.5 and 9.3,-8.5 in Fig. C.54, are identified by Rybka with HIP 54136 and HIP 53838, respectively near 10.3,-10.2 and 9.2,-9.8. This is an attractive solution, but the offsets are large and we consider it uncertain.
H 1521, near 0.2,11.3 in Fig. C.54 lies close
to both HIP 56035, which we suggest as the identification, and
HIP 56290, slighly brighter but further (V
= 5.5, d = 43
0),
suggested by Rybka as the identification.
H 1536, near 10.4,3.4 in Fig. C.55, is identified by Rybka with HIP 74605, near 8.6,4.6, which is a close match for H 1537, and identified by us accordingly.
H 1537, near 8.7,4.6 in Fig. C.55, is
identified by Rybka with HIP 74272 (V=6.2, d
= 38
8).
H 1540, near -5.4,5.7 in Fig. C.56, in Nova Vul 1670, whose modern counterpart CK Vul was discovered at mR = 20.7in 1983 (Shara et al. 1985). We use the position given in that paper to compute the offset with respect to the position given by Hevelius, since CK Vul is too faint for the Hipparcos catalogue.
H 1561, near -12.7,0.9 in Fig. C.56, is
close to three stars. We identify it with the nearest. The brightest of
the three, HIP 95498 (V = 5.1, d
= 16
6) is too far, the
identification suggested by Rybka, HIP95582 (V =
5.8, d = 15
9),
is both too far and too faint.
Appendix C: Figures
To illustrate and clarify our identifications we provide a Figure for each constellation. In these figures the stars listed with the constellation in Hevelius are shown red when Hevelius gives them an OT value (>0) indicating their presence in Kepler or in Secunda classis, and blue otherwise (OT = 0).Other stars listed in
Hevelius are light-red (OT
> 0) and light-blue (OT=0), respectively.
To minimize deformation of the constellations, we determine the center
of the constellation
from
the extremes in
and
,
compute the rotation matrix which moves this
center to (x,y,z)=(1,0,0),
and then apply this rotation to each of
the stellar positions
.
(For exact details see
Paper I.) The resulting y,z
values correspond roughly to
differences in longitude and latitude, exact at the center
and
increasingly deformed away from the center.
We
plot the rotated positions of the stars in Hevelius
as
and
with
filled circles. The same
rotation matrix is applied to all stars down to a magnitude limit
(usually Vm=6.0)
from the Hipparcos Catalogue
and those in the field of view are plotted as open circles. The
symbol sizes are determined from the magnitudes as indicated in the
legenda. The values used for
,
and
are indicated with each figure.
Where necessary we show enlarged detail Figures; for easy comparison with the figures showing the whole constellation, these detail figures use the same rotation center (and thus rotation matrix).
![]() |
Figure C.1: Andromeda. The nebulous object near the center is M 31. |
Open with DEXTER |
![]() |
Figure C.2: Antinous. |
Open with DEXTER |
![]() |
Figure C.3: Aquarius. |
Open with DEXTER |
![]() |
Figure C.4: Aquarius detail. |
Open with DEXTER |
![]() |
Figure C.5: Aquila. |
Open with DEXTER |
![]() |
Figure C.6: Aries. |
Open with DEXTER |
![]() |
Figure C.7: Auriga. |
Open with DEXTER |
![]() |
Figure C.8: Auriga detail. |
Open with DEXTER |
![]() |
Figure C.9: Bootes. |
Open with DEXTER |
![]() |
Figure C.10: Cancer. |
Open with DEXTER |
![]() |
Figure C.11: Canis Maior. |
Open with DEXTER |
![]() |
Figure C.12: Canis Minor. |
Open with DEXTER |
![]() |
Figure C.13: Canes Venatici. |
Open with DEXTER |
![]() |
Figure C.14: Camelopardalis. |
Open with DEXTER |
![]() |
Figure C.15: Capricornus. |
Open with DEXTER |
![]() |
Figure C.16: Cassiopeia. |
Open with DEXTER |
![]() |
Figure C.17: Cepheus. |
Open with DEXTER |
![]() |
Figure C.18: Cerberus. |
Open with DEXTER |
![]() |
Figure C.19: Cetus. |
Open with DEXTER |
![]() |
Figure C.20: Coma Berenices. |
Open with DEXTER |
![]() |
Figure C.21: Corona Borealis. |
Open with DEXTER |
![]() |
Figure C.22: Corvus. |
Open with DEXTER |
![]() |
Figure C.23: Crater. |
Open with DEXTER |
![]() |
Figure C.24: Cygnus. |
Open with DEXTER |
![]() |
Figure C.25: Delphinus. |
Open with DEXTER |
![]() |
Figure C.26: Draco. |
Open with DEXTER |
![]() |
Figure C.27: Equuleus. |
Open with DEXTER |
![]() |
Figure C.28: Eridanus. |
Open with DEXTER |
![]() |
Figure C.29: Gemini. |
Open with DEXTER |
![]() |
Figure C.30: Hercules. |
Open with DEXTER |
![]() |
Figure C.31: Lacerta. |
Open with DEXTER |
![]() |
Figure C.32: Leo. |
Open with DEXTER |
![]() |
Figure C.33: Leo Minor. |
Open with DEXTER |
![]() |
Figure C.34: Libra. |
Open with DEXTER |
![]() |
Figure C.35: Lynx. |
Open with DEXTER |
![]() |
Figure C.36: Monoceros. |
Open with DEXTER |
![]() |
Figure C.37: Lyra. |
Open with DEXTER |
![]() |
Figure C.38: Navis. |
Open with DEXTER |
![]() |
Figure C.39: Orion. |
Open with DEXTER |
![]() |
Figure C.40: Pegasus. |
Open with DEXTER |
![]() |
Figure C.41: Perseus. |
Open with DEXTER |
![]() |
Figure C.42: Pisces. |
Open with DEXTER |
![]() |
Figure C.43: Sagitta. |
Open with DEXTER |
![]() |
Figure C.44: Sagittarius. |
Open with DEXTER |
![]() |
Figure C.45: Scorpius. |
Open with DEXTER |
![]() |
Figure C.46: Serpens. |
Open with DEXTER |
![]() |
Figure C.47: Scutum Sobiescanum. |
Open with DEXTER |
![]() |
Figure C.48: Serpentarius. |
Open with DEXTER |
![]() |
Figure C.49: Sextans Uraniae. |
Open with DEXTER |
![]() |
Figure C.50: Taurus; for Pleiades see Fig. A.1. |
Open with DEXTER |
![]() |
Figure C.51: Triangulum Minus. |
Open with DEXTER |
![]() |
Figure C.52: Triangulum Maius. |
Open with DEXTER |
![]() |
Figure C.53: Virgo. |
Open with DEXTER |
![]() |
Figure C.54: Ursa Maior. |
Open with DEXTER |
![]() |
Figure C.55: Ursa Minor. |
Open with DEXTER |
![]() |
Figure C.56: Vulpecula. |
Open with DEXTER |
![]() |
Figure C.57: Hydra. |
Open with DEXTER |
Footnotes
- ... Catalogue
- Star catalogue of Hevelius is only available in electronic form at the CDS via anonymous ftp to cdsarc.u-strasbg.fr (130.79.128.5) or via http://cdsweb.u-strasbg.fr/cgi-bin/qcat?J/A+A/516/A29
All Tables
Table 1: Constellations in the star catalogue of Hevelius.
Table 2: Repeated entries in Hevelius.
Table 3: Magnitude qualifiers used by Hevelius.
Table 4: First lines of the machine-readable table Hevelius.
Table 5: Frequency of flags B of identifications of corresponding entries in KeplerE as a function of our flags I.
Table 6: Frequency of flags R of identifications by Rybka as a function of our flags I.
All Figures
![]() |
Figure 1: Distribution of the magnitudes for all stars in Hevelius (below), and for only those stars that have a counterpart in KeplerE (above). In the large frames the histograms indicate the magnitudes according to Hevelius for stars which we have securely identified (red; flags 1-2 ) or not securely identified (blue, flags 3-5), and the magnitudes from the Hipparcos catalogue for securely identified stars (black). The numbers of securely and not-securely identified stars are indicated. The small frames give the Hipparcos magnitude distributions for securely identified stars for each magnitude according to Hevelius separately. The number of securely identified stars at each (Hevelius) magnitude is indicated. |
Open with DEXTER | |
In the text |
![]() |
Figure 2:
Above: Correlations of the differences in longitude
|
Open with DEXTER | |
In the text |
![]() |
Figure 3: Distribution of the errors in latitude in Hevelius as a function of right ascension, together with the r.h.s. of Eq. (1). |
Open with DEXTER | |
In the text |
![]() |
Figure 4:
Distribution of the position errors |
Open with DEXTER | |
In the text |
![]() |
Figure 5:
Cumulative distribution of the position errors |
Open with DEXTER | |
In the text |
![]() |
Figure 6: Completeness of Hevelius and KeplerE as a function of magnitude and declination, as illustrated by cumulative magnitude distributions. For each range of declination (equinox 1631) the top curve shows the magnitudes for all stars in the Hipparcos Catalogue, the middle curve the Hipparcos stars not in KeplerE, and the lower curve the Hipparcos stars not in Hevelius. |
Open with DEXTER | |
In the text |
![]() |
Figure A.1: Pleiades. In red H numbers of stars also present in KeplerE, in blue stars added by Hevelius. |
Open with DEXTER | |
In the text |
![]() |
Figure C.1: Andromeda. The nebulous object near the center is M 31. |
Open with DEXTER | |
In the text |
![]() |
Figure C.2: Antinous. |
Open with DEXTER | |
In the text |
![]() |
Figure C.3: Aquarius. |
Open with DEXTER | |
In the text |
![]() |
Figure C.4: Aquarius detail. |
Open with DEXTER | |
In the text |
![]() |
Figure C.5: Aquila. |
Open with DEXTER | |
In the text |
![]() |
Figure C.6: Aries. |
Open with DEXTER | |
In the text |
![]() |
Figure C.7: Auriga. |
Open with DEXTER | |
In the text |
![]() |
Figure C.8: Auriga detail. |
Open with DEXTER | |
In the text |
![]() |
Figure C.9: Bootes. |
Open with DEXTER | |
In the text |
![]() |
Figure C.10: Cancer. |
Open with DEXTER | |
In the text |
![]() |
Figure C.11: Canis Maior. |
Open with DEXTER | |
In the text |
![]() |
Figure C.12: Canis Minor. |
Open with DEXTER | |
In the text |
![]() |
Figure C.13: Canes Venatici. |
Open with DEXTER | |
In the text |
![]() |
Figure C.14: Camelopardalis. |
Open with DEXTER | |
In the text |
![]() |
Figure C.15: Capricornus. |
Open with DEXTER | |
In the text |
![]() |
Figure C.16: Cassiopeia. |
Open with DEXTER | |
In the text |
![]() |
Figure C.17: Cepheus. |
Open with DEXTER | |
In the text |
![]() |
Figure C.18: Cerberus. |
Open with DEXTER | |
In the text |
![]() |
Figure C.19: Cetus. |
Open with DEXTER | |
In the text |
![]() |
Figure C.20: Coma Berenices. |
Open with DEXTER | |
In the text |
![]() |
Figure C.21: Corona Borealis. |
Open with DEXTER | |
In the text |
![]() |
Figure C.22: Corvus. |
Open with DEXTER | |
In the text |
![]() |
Figure C.23: Crater. |
Open with DEXTER | |
In the text |
![]() |
Figure C.24: Cygnus. |
Open with DEXTER | |
In the text |
![]() |
Figure C.25: Delphinus. |
Open with DEXTER | |
In the text |
![]() |
Figure C.26: Draco. |
Open with DEXTER | |
In the text |
![]() |
Figure C.27: Equuleus. |
Open with DEXTER | |
In the text |
![]() |
Figure C.28: Eridanus. |
Open with DEXTER | |
In the text |
![]() |
Figure C.29: Gemini. |
Open with DEXTER | |
In the text |
![]() |
Figure C.30: Hercules. |
Open with DEXTER | |
In the text |
![]() |
Figure C.31: Lacerta. |
Open with DEXTER | |
In the text |
![]() |
Figure C.32: Leo. |
Open with DEXTER | |
In the text |
![]() |
Figure C.33: Leo Minor. |
Open with DEXTER | |
In the text |
![]() |
Figure C.34: Libra. |
Open with DEXTER | |
In the text |
![]() |
Figure C.35: Lynx. |
Open with DEXTER | |
In the text |
![]() |
Figure C.36: Monoceros. |
Open with DEXTER | |
In the text |
![]() |
Figure C.37: Lyra. |
Open with DEXTER | |
In the text |
![]() |
Figure C.38: Navis. |
Open with DEXTER | |
In the text |
![]() |
Figure C.39: Orion. |
Open with DEXTER | |
In the text |
![]() |
Figure C.40: Pegasus. |
Open with DEXTER | |
In the text |
![]() |
Figure C.41: Perseus. |
Open with DEXTER | |
In the text |
![]() |
Figure C.42: Pisces. |
Open with DEXTER | |
In the text |
![]() |
Figure C.43: Sagitta. |
Open with DEXTER | |
In the text |
![]() |
Figure C.44: Sagittarius. |
Open with DEXTER | |
In the text |
![]() |
Figure C.45: Scorpius. |
Open with DEXTER | |
In the text |
![]() |
Figure C.46: Serpens. |
Open with DEXTER | |
In the text |
![]() |
Figure C.47: Scutum Sobiescanum. |
Open with DEXTER | |
In the text |
![]() |
Figure C.48: Serpentarius. |
Open with DEXTER | |
In the text |
![]() |
Figure C.49: Sextans Uraniae. |
Open with DEXTER | |
In the text |
![]() |
Figure C.50: Taurus; for Pleiades see Fig. A.1. |
Open with DEXTER | |
In the text |
![]() |
Figure C.51: Triangulum Minus. |
Open with DEXTER | |
In the text |
![]() |
Figure C.52: Triangulum Maius. |
Open with DEXTER | |
In the text |
![]() |
Figure C.53: Virgo. |
Open with DEXTER | |
In the text |
![]() |
Figure C.54: Ursa Maior. |
Open with DEXTER | |
In the text |
![]() |
Figure C.55: Ursa Minor. |
Open with DEXTER | |
In the text |
![]() |
Figure C.56: Vulpecula. |
Open with DEXTER | |
In the text |
![]() |
Figure C.57: Hydra. |
Open with DEXTER | |
In the text |
Copyright ESO 2010
Current usage metrics show cumulative count of Article Views (full-text article views including HTML views, PDF and ePub downloads, according to the available data) and Abstracts Views on Vision4Press platform.
Data correspond to usage on the plateform after 2015. The current usage metrics is available 48-96 hours after online publication and is updated daily on week days.
Initial download of the metrics may take a while.