Issue |
A&A
Volume 516, June-July 2010
|
|
---|---|---|
Article Number | A67 | |
Number of page(s) | 11 | |
Section | Interstellar and circumstellar matter | |
DOI | https://doi.org/10.1051/0004-6361/201014011 | |
Published online | 29 June 2010 |
Systematic uncertainties on the cosmic-ray transport parameters
Is it possible to reconcile B/C data with
or
?
D. Maurin1,2,3 - A. Putze4,5 - L. Derome4
1 - Laboratoire de Physique Nucléaire et des Hautes
Énergies ( LPNHE),
Universités Paris VI et Paris VII, CNRS/IN2P3,
Tour 33, Jussieu, Paris,
75005, France
2 -
Dept. of Physics and Astronomy, University of Leicester,
Leicester, LE17RH, UK
3 -
Institut d'Astrophysique de Paris ( IAP), UMR 7095 CNRS,
Université Pierre et Marie Curie, 98bis Bd Arago,
75014 Paris, France
4 - Laboratoire de Physique Subatomique et de
Cosmologie ( LPSC),
Université Joseph Fourier Grenoble 1, CNRS/IN2P3, Institut Polytechnique de Grenoble,
53 avenue des Martyrs,
38026 Grenoble, France
5 - The Oskar Klein Centre for Cosmoparticle Physics,
Department of Physics, Stockholm University,
AlbaNova, 10691 Stockholm, Sweden
Received 7 January 2010 / Accepted 14 March 2010
Abstract
Context. The B/C ratio is used in cosmic-ray physics to
constrain the transport parameters. However, from the same set of data,
the various published values show a puzzling large scatter of these
parameters.
Aims. We investigate the impact of using different inputs (gas
density and hydrogen fraction in the Galactic disc, source spectral
shape, low-energy dependence of the diffusion coefficient, and nuclear
fragmentation cross-sections) on the best-fit values of the transport
parameters. We quantify the systematics produced when varying these
inputs, and compare them to statistical uncertainties. We discuss the
consequences for the slope of the diffusion coefficient .
Methods. The analysis relies on the propagation code USINE interfaced with the Minuit minimisation routines.
Results. We find the typical systematic uncertainties to be greater than the statistical ones. The several published values of
(from 0.3 to 0.8) can be recovered when varying the low-energy shape of
the diffusion coefficient and the convective wind strength. Models
including a convective wind are characterised by
,
which cannot be reconciled with the expected theoretical values (1/3 and 1/2). However, from a statistical point of view (
analysis), models with both reacceleration and convection - hence large
- are favoured. The next favoured models in line yield
,
which can be accommodated with 1/3 and 1/2, but require a strong upturn
of the diffusion coefficient at low energy (and no convection).
Conclusions. To date, using the best statistical tools, the
transport parameter determination is still plagued by many unknowns at
low energy (GeV/n).
To disentangle all these configurations, measurements of the B/C ratio
at TeV/n energies and/or combination with other secondary-to-primary
ratios is necessary.
Key words: methods: statistical - cosmic rays
1 Introduction
A central question in Galactic cosmic ray (GCR) physics lies in the determination of the transport parameters. The standard procedure consists in fitting a secondary-to-primary ratio, e.g. B/C. In general, the parameters derived in different studies provide inconsistent values, especially for the slope
The first attempts to get the best-fit value of the transport parameters, as well
as their statistical uncertainties, were carried in Maurin et al. (2001)
and Lionetto et al. (2005). Recently, we implemented a Markov chain Monte
Carlo (MCMC) to estimate the probability-density function (PDF) of the transport
and source parameters for Galactic cosmic rays
(Putze et al. 2010,2009, hereafter Papers I and II).
This sound statistical technique applied to current B/C data allowed us to estimate the
statistical uncertainties on various parameters. We found typical uncertainties of
.
Although such precision is expected given the accuracy of the data, one may wonder whether
these results are not dominated by systematic uncertainties from the input ingredients and
assumptions made to do the calculation.
This is an important issue since in our previous studies, the best-fit slope observed in a
diffusion/constant-convection/reacceleration propagation model
(Maurin et al. 2001,2002) - confirmed by our recent MCMC analysis
(Paper II) - points to
.
This is at variance with the result of the
GALPROP code (Strong & Moskalenko 1998), where the best-fit models correspond to smaller
(Lionetto et al. 2005) in either a diffusion/linear-convection or
a diffusion - reacceleration model. Moreover, none of these results agree with the best-fit
slopes from leaky-box models (with rigidity cut-off), where
(e.g.,
Webber et al. 2003 - no reacceleration - , or Paper I - with reacceleration). Such a
scatter in
was also observed in Jones et al. (2001).
The propagation code USINE (Maurin et al., in prep.) provides the GCR fluxes in both the framework of the leaky-box model (LBM) and the diffusion model (DM). Associated with an efficient minimisation tool for finding the best-fit parameters of a model (w/wo convection, w/wo diffusive reacceleration), it allows these differences to be addressed thoroughly. We also investigate how sensitive these best-fit parameters are to various input ingredients/parameters.
The paper is organised as follows. In Sect. 2, the DM used is briefly recalled.
In Sect. 3, the free parameters of the study, our methodology, and the input
ingredients - the systematic effects of which are studied in this paper - are described. In
Sect. 4, we discuss the consequences of varying the gas characteristics on the transport
parameter determination. In Sect. 5, we focus on the effect of the source spectrum
on the best-fit values for
in models with or without convection/reacceleration. In
Sect. 6, a similar analysis is carried out for the low-energy shape of the diffusion
coefficient. We repeat again the analysis in Sect. 7, using various production
cross-section sets. In a final step, we explore in Sect. 8 the effect of
biasing B/C HEAO-3 data at high energy. We summarise, discuss our results, and conclude in Sect. 9.
2 Description of the diffusion model
The models and the equations are described in Paper II, to which we refer the reader for a complete discussion.
2.1 Diffusion equation
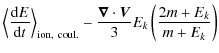
The differential density Nj of the nucleus j is a function of the total energy E and
the position
in the Galaxy. Assuming steady-state, the transport equation can be
written in a compact form as
The operator





The coefficients b and c are respectively first and second order gains/losses in energy, with
The coefficient

2.2 Geometry of the Galaxy
The Galaxy is modelled to be a thin disc of half-thickness h, which contains the gas and the
sources of CRs. This disc is embedded in a cylindrical diffusive halo of half-thickness L (where
the gas density is assumed to be equal to 0). A constant wind
,
perpendicular to the Galactic plane, is assumed.
In this framework, CRs diffuse in the disc and in the halo independently of their position.
These assumptions allow for semi-analytical solutions of the transport equation, as the
interactions (destruction, spallations, energy gain and losses) are restricted to the thin
disc. Such semi-analytical models reproduce all salient features of full numerical approaches
(e.g., Strong & Moskalenko 1998).
In this study, the disc half-height is set to h=100 pc. It is not a physical parameter
per se in the thin-disc approximation, but the phenomena occurring in the thin disc are
related to it. The physical parameter is the surface density :
should a different hvalue be used, a rescaling always allows obtaining the same
.
Considering the radial extension R of the Galaxy to be infinite leads to the 1D version of the DM. This geometry, used in Jones et al. (2001) and in our Paper II, is also used in this analysis. The corresponding sets of equations and their solutions are presented in the Appendix of Paper II. They are not repeated here.
3 Methodology
As in Papers I and II, three different classes of diffusion models are considered. In addition, for completeness, we also treat the pure diffusion case:
- Model 0
, i.e. pure diffusion (
);
- Model I
, i.e. no reacceleration (
);
- Model II
, i.e. no convection (
);
- Model III
.

3.1 Constrained parameters
At most, for Model III, four transport parameters need to be determined from CR data:
- K0, the normalisation of the diffusion coefficient (in unit of kpc2 Myr-1);
, the slope of the diffusion coefficient;
, the constant convective wind perpendicular to the disc (km s-1);
, the Alfvénic speed (km s-1) regulating the reacceleration strength [see Eq. (6)].


3.2 Inputs and default configuration
The inputs that we examine and vary are the following (details and references are given in Paper II, Sect. 2.4):
- gas surface density
and hydrogen fraction
(in number);
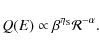
- source spectrum
(qj is scaled to match the measured elemental fluxes at
10 GeV/n);
- spatial/momentum diffusion coefficients using different turbulence models (Schlickeiser 2002);
- production cross-sections.
Table 1: Reference values for the inputs.
The default diffusion coefficient
where

Concerning the experimental data used to fit the B/C ratio, as in Paper II, we use the following dataset (denoted F in Paper II), which consists of 31 B/C data points (see Fig. 5 of this paper): IMP7-8 (Garcia-Munoz et al. 1987), Voyager 1&2 (Lukasiak et al. 1999), ACE-CRIS (de Nolfo et al. 2006), HEA0-3 (Engelmann et al. 1990), Spacelab (Swordy et al. 1990), and CREAM (Ahn et al. 2008).
3.3 Minimisation routine
In Papers I and II, we adapted the MCMC technique for a propagation code. This allows the PDF of the parameters to be obtained along with their statistical uncertainties. However, this technique relies on thousands of calculations for a single setting of the inputs, which is not optimal for speed. Here, we are only interested in the best-fit values, not in the PDF of the parameters. Therefore, we use the Minuit library (a CERN library), which provides minimisation routines. Instead of a few hours of distributed calculations for the MCMC technique, a few minutes on a workstation are enough to obtain the best-fit parameters.
A few configurations have been cross-checked with the MCMC technique, to ensure that the typical widths of the PDFs remain the same, whatever the input ingredients used in the calculation. This allows us, for a given propagation model calculated from different input ingredients, to compare the resulting scatter in the transport parameter values - systematic uncertainties (hereafter SystUnc) - to the typical statistical uncertainties (hereafter StatUnc) found with the MCMC technique.
4 Influence of the gas description
We start by varying the gas parameters. This is discussed for the most general class of the DM, i.e. Model III (allowing for both convection and reacceleration). For obvious reasons (see below), our conclusions also hold for Models 0, I, or II.
In 1D models, the surface density of the gas in the model corresponds to the average of the true gas surface density (which depends on the position in the Galaxy) over the effective diffusion volume (Taillet & Maurin 2003). This is a reasonable assumption to make for stable nuclei (see Paper II). However, the details of the volume over which to calculate this average are not straightforward. Moreover, even if a more realistic distribution of gas were to be used, the latter is not free of uncertainties. We thus allow for some uncertainty in this input. We also vary the fraction of hydrogen relative to helium.
4.1 Influence of the hydrogen fraction
In Table 2, the second and third lines (compare with the first line)
show the effect of changing the hydrogen fraction in the ISM: the transport parameters are
changed at most by .
There is a systematic trend for
to decrease with
smaller fractions of helium in the gas. However, the uncertainty on the hydrogen and helium
fraction is not more than a few %. We therefore conclude that this has no strong impact
on the derived transport parameters.
4.2 Influence of the surface density
The fourth and fifth lines show the effect of changing the surface gas density
.
Whereas it has a small impact on the diffusion slope
,
the other
transport parameters are strongly affected. The change in the parameters can be understood if we look at
the grammage of the DM (Maurin et al. 2002). In the purely diffusive regime, we have
(e.g., Maurin et al. 2006)
where








Table 2: Best-fit transport parameters for different ISM.
The same reasoning holds for the convective wind. In presence of a constant wind, the full
expression for the grammage reads (e.g., Maurin et al. 2006)
With the above rescaling for



The last parameter is the Alfvénic speed, for which we need to consider the whole transport
equation. The speed
is used to define
(see Eq. (6)), which appears in
the terms b and c (Eqs. (3) and (4)) of Eq. (1). If we consider
the latter equation and the transport operator
in Eq. (2), the rescaling
leads to
.
This implies
,
,
and
.
Let us consider the three terms each in turn.
For b, if we look at Eq. (3), this x factor is automatically ensured for the Coulomb
and ionisation losses (they depend on the gas surface density), and also for adiabatic losses (as
). This implies
.
From Eq. (6), we have
,
such that the previous equality yields

This gives

4.3 Summary for the gas surface density
An uncertainty of
on the gas surface density leads to SystUnc of
on K0,
and
,
but it leaves the diffusion slope
unchanged. This is true, whatever
the value for the halo size L. For the sake of completeness, we should note that this also
affects the source term: the source abundances are now
.
5 Influence of the source spectrum
Table 3:
Best-fit transport parameters for different slopes .
In Paper I, we showed that some correlations exist between the source spectra and the
transport parameters. Below, we investigate in more detail how the transport
parameters are changed if we assume different input for
(spectral index of the sources)
and
(related to the spectral shape at low energy:
5.1 Influence of the source slope 
It is usually said that the source spectrum energy dependence Q(E) factors out of the
secondary-to-primary ratio. This agrees with the results gathered in
Table 3, which shows the effect of varying the source slope (or equivalently the slope of the measured fluxes
). This is especially
true for Model I (no reacceleration), whereas if reacceleration is included (Models II and III),
a few % change on the parameter
leads to a few % change on
,
K0, and
.
From the last column of the same table, we see that on a statistical basis, the best model
is Model III, then Model II, Model I, and finally Model 0. The relative merit (goodness-of-fit)
of each class of models (III, II, I, and 0) remains unchanged when
is changed.
5.2 Influence of the low-energy source spectrum through

![]() |
Figure 1:
From top to bottom: best-fit values of K0, |
Open with DEXTER |
The second parameter that can be varied in the source term is the low-energy shape
[see Eq. (9)], which is a priori not very well constrained, both from observational and theoretical points of view.
The evolution of the best-fit transport parameters as a function of
is shown in
Fig. 1, for Model 0 (dash-dotted lines/stars), I
(dotted lines/plusses), II (dashed lines/crosses), and III (solid lines/open circles).
The three configurations have marked minima in their
(bottom panel), but
not at the same
.
Models 0 and I have a similar
dependence (weak impact
of the presence of the wind), as have Models II and III (both affected by reacceleration).
Understanding the exact dependence of the transport parameters with
is not the goal of
the analysis. The important point to
underline is that changing
does not allow reconciling convection Models I and III
with smaller
.
As
varies only in the range 0.3-0.5 for Model 0 (pure diffusion), we
conclude that for present B/C data, large
are associated to the constant Galactic wind.
The largest variation is observed for Model II (reacceleration only), for which
is allowed to be
either smaller or larger than
(associated with
for a smaller or a larger
.
For any
,
Model III always performs better than the other two models.
5.3 Fitting
and
using a primary flux
The source parameters
and
are not completely free. They can be fitted
directly on primary elemental fluxes (see Paper I).
If we determine simultaneously the transport and source parameters from
a fit on B/C + O HEAO-3 data, we obtain the best-fit values gathered in Table 4.
For Models II and III,
is not far from
found from the B/C
fit (see Fig. 1). For Model II, using the above constraint
(
)
selects the diffusion slope
,
close to the
Kolmogorov spectrum for the turbulence.
Table 4: Best-fit values from a simultaneous fit on B/C and O.
The surprising result is that the value for
is quite
resilient to any slope obtained for
.
This is odd, since it leaves the propagated slope
quite unconstrained, leading to either 2.6 (Model II) or 3.2 (Model III).
This indicates that in Model III, pure diffusive transport (i.e.
)
has not yet been reached at TeV/n energies.
5.4 Summary for the source effect
The dependence of the transport parameters with the source parameters and
are very different.
We checked that the transport parameters do not significantly depend on the
source parameter
(in particular,
is unaffected). Still, correlations
exist between the source and the other transport parameters (see Paper I), and from
Table 3, we can estimate that they affect their best-fit values at
most by a few ten percent.
On the other hand, Fig. 1 shows that the transport parameters
(including )
are quite sensitive to the low-energy source spectrum parameterised by
.
In any case, this does not allow reconciliation of Model III with small
.
Taking
a sizeable range for
always lead to
.
This is even worse for
Model I (no reacceleration). At variance, Model II (no convection) is very sensitive to
.
However,
is constrained by primary fluxes measurements, and by no means
could it span the range shown in Fig. 1. When this constraint is considered,
the best-fit
for Model II turns out to be 0.35. Given the sensitivity of the latter
to
and the possible bias in low-energy data (because of the solar modulation), this
is consistent with a Kolmogorov spectrum. If the constraint of the primary flux is taken into
account, the uncertainty on the transport parameters (associated to the source parameter
)
can be estimated as
.
The puzzling point is that, although Model III is preferred over Model II on a statistical
basis, the latter seems to agree more with the expected theoretical value of .
This is more of further if we consider the quantity
,
the asymptotic slope reached
in the purely diffusive regime. The TRACER experiment finds
for all
nuclei (Ave et al. 2008), whereas the best-fit slope from high-energy H and He
data is
(Donato et al. 2009). From the propagated slope's point of
view, Model II is again favoured over Model III, since the former leads to
,
whereas the latter leads to 3.25 (read off Table 4). If Model III is
confirmed, as already emphasised above, this would mean that even high-energy data have not reached
the purely diffusive transport yet.
6 Influence of the low-energy diffusion coefficient
We now turn to the effect of the low-energy shape of the diffusion coefficient. Assuming different diffusion schemes lead to different forms of the spatial and momentum diffusion coefficient (Schlickeiser 2002). Recently, Ptuskin et al. (2006) also argue that the form of the spatial diffusion coefficient can change at low energy, due to the possibility that the nonlinear MHD cascade sets the power-law spectrum of turbulence.
We first consider several theoretically-motivated diffusion forms given in the literature.
They mostly differ at low energy, so that it is useful to rewrite Eq. (5) as
In the second step, we let

6.1 Influence of the turbulence scheme
Table 5:
K(E) and
for different schemes.
Table 6: Best-fit transport parameters based on different low-energy dependence of the diffusion coefficient.
When only convection is present (Model I), the low-energy form of K(E) is irrelevant, as seen in Table 6. For models with reacceleration (Models II and III), it significantly affects almost all parameters. If there is no wind (Model II), the effect is maximum on





The important result is that Model III is mildly sensitive to the diffusion scheme,
with an uncertainty of a few ten percent scatter on all the transport parameters.
However, Model II parameters are extremely sensitive to the diffusion scheme (more than
a factor of 2 scatter). Depending on the case considered,
is found in the range
0.16-0.38. The hierarchy of
among the various models is always conserved.
6.2 Generalisation to any

We generalise the analysis by allowing for any value of the parameter
in the diffusion
coefficient K(E). In doing so, we do not seek to provide sound physical motivations for
the range tested. In this section, whatever the value of
,
the diffusion
coefficient in momentum space is assumed to follow
.
![]() |
Figure 2:
Same as Fig. 1, but now as a function of
|
Open with DEXTER |
The best-fit transport parameters and
evolution as a function of
are
plotted in Fig. 2. For
,
all the models converge slowly
towards purely diffusive models (no convection, no reacceleration). But this is at the cost of a
bad
(see bottom panel). Based on the
criterium, high values of
(
2)
are also disfavoured. The four configurations have marked minima in their
,
corresponding to
for Models 0, I, II, and III
respectively, for which
.
For
,
all models point to
,
close to a Kraichnan spectrum for turbulence.
For Model III, for a well-chosen value of
,
the diffusion slope could be
decreased at most down to
,
but such a configuration does not correspond to the
minimal
for this model so is excluded. For Model II, almost any value of
can be reached.
6.3 Summary for the diffusion coefficient effect
Similars to the effect of the source parameter
,
varying the parameter
on a
wide range i) does not to allow
to reached for Model III, and ii) strongly
affects
for Model II. For the latter, the best-fit
leads to
,
slightly more than the Kolmogorov spectrum of turbulence.
From a statistical point of view, Model III is again preferred, except in the region
where
drops to zero, so that it is equivalent to Model II. For
,
also drops to zero, so that all models are close to the purely
diffusive case (Model 0), which favours
.
As before, one of the interesting
features of Model II (reacceleration only) is its versatility. As the range of allowed
remains unspecified to some extent, Model II does not point to any specific value of
.
It can accommodate values as low as 1/3, going through 1/2 and even higher values, if a
sharp turn-off (negative values of
)
exists in the diffusion coefficient (e.g.,
Ptuskin et al. 2006).
7 Influence of the production cross-sections
Many reaction channels are required to calculate the production of secondary species. Semi-analytical formulae, semi-empirical approaches, or even fit to the data are currently used in the literature to obtain the full set of production cross-section in CR physics. We show first the different best-fit values obtained for different sets available in the literature. We then inspect what would be the effect of energy-biased cross-sections on the transport parameter derivation.
7.1 Using different sets of fragmentation cross-sections
We use four different sets of cross-sections. Among them, the most up-to-date are W03
(Webber et al. 2003) and GAL09 (from the GALPROP code). The former is based on the
semi-empirical approach of Webber and coworkers, initiated in the 90's
(Webber et al. 1990). The latter set takes advantage of the former approach,
renormalising some cross-sections to selected data. The two others, WKS98
(Webber et al. 1998) and S01 (private communication of Aimé Soutoul 2001), are a
bit outdated, but they serve as an illustration here.
The effect of these different sets on the parameter determination is shown in Table 7.
Table 7: Best-fit transport parameters for various cross-section sets.
The scatter in the values of the different parameters is not the same depending on the model considered. WKS98 requires less convection than any other set, and GAL09 needs more reacceleration than the others. Otherwise, it is difficult to find clear trends. For instance, the W03 and GAL09 sets give very similar results for Model I, but not as similar as for Models II and III.If we discard the S01 set (which is based on an unpublished preliminary analysis),
we can conclude that the SystUnc on the transport parameters related to the choice
of the production cross-section is .
This figure is similar to the
uncertainty quoted for the parameterisation of the cross-section themselves (
).
7.2 Influence of a systematic energy bias in W03 cross-sections
A striking result of the updated cross-section formulation of W03 (Webber et al. 2003)
compared to WKS98 (Webber et al. 1998) was a systematic energy bias (smaller
cross-sections at higher energy).
To address the effect of a possible residual bias, we allow for a systematic
energy bias in all production cross-sections, either at low energy (LE)
or at high energy (HE). Biased sets are obtained from the reference set W03 by
applying a factor
below 10 GeV/n (LE bias), and
above 1 GeV/n (HE bias, but left constant above 10 GeV/n).
This is illustrated for the 12C
B+11B)
cross-section, as shown in Fig. 3. As seen from this figure and the
experimental data, biases x as large as 0.05 are marginally consistent with the data
at low energy, but are acceptable at high energy.
![]() |
Figure 3:
Production cross-section for 12C+H
|
Open with DEXTER |
In Table 8, we only report the results of the high-energy biases on the best-fit values of the transport parameters. We checked that the result of a low-energy or a high-energy bias gives the same trends.
Table 8: High-energy biases on the W03 cross-section set.
Quite naturally, there is a significant correlation of the bias with the transport parameters. We note that if




![]() |
Figure 4: Left panel: Model II (pure reacceleration). Right panel: Model III (reacceleration and convection). PDF of the transport parameters (for the reference inputs) as obtained in Paper II, along with the best-fit values for different production cross-section sets. |
Open with DEXTER |
Such an exercise has limitations since it is not realistic to expect such systematic
energy biases for all production channels. However, it gives some trend and further
confirms that Model III cannot be reconcile with small .
7.3 Summary for the influence of fragmentation cross-sections
The results when using different production cross-section sets are difficult to interpret.
To check that the observed trends do not come from an error in the code, we compared
our results with the LBM analysis of Webber et al. (2003). These authors find a
significantly smaller escape length dependence on rigidity (from P0.6 to
P0.5), going from the WKS98 to the W03 set. From both an LBM analysis with our
propagation code and a DM analysis using the LBI case (see Table 5)
with the addition of a rigidity cut-off (not discussed in this paper), we also find this
decrease of
.
This is also confirmed for the more standard Model 0
(pure diffusion) where we go from 0.53 to 0.40.
We thus have to conclude, as seen from Table 7, that the effect of
these cross-section sets is not the same for different classes of models: it strongly depends on
the presence or absence of convection and, to a lesser extent, on reacceleration. Nevertheless,
for all models, the typical scatter in the best-fit values is a factor of 2 for K0,
for
,
for
,
and
for
.
Figure 4 illustrates that uncertainties in some input
parameters (here the production cross-sections) provide larger SystUnc on the transport
parameters than their StatUnc calculated using the MCMC technique (taken from Paper II).
As for the other effects inspected in previous sections, Model III always provide larger than
0.6. Model II provides values of
in the correct range for a
Kolmogorov spectrum, but it never does better than Model III in terms of the goodness-of-fit.
8 Influence of an energy bias in HEAO-3 B/C data
It is obvious that most of the results derived in this paper rely on the confidence we
place in the HEAO-3 data, since they are the most constraining data to date. Their very small
error bars at high energy could over-constrain .
Several other studies
use large error bars for high energy B/C HEAO-3 points, contradicting the prescription
given in the original paper (Engelmann et al. 1990), and this could bias their results.
As an exercise, we allowed for an energy bias in these data. This approach is disputable
so we do not wish to defend it strongly. We inspected whether a small bias in
the data strongly affects the best-fit values of the transport parameters.
The HEAO-3 data are biased above ,
using
for
,
with
GeV/n, as shown in Fig. 5.
![]() |
Figure 5: Demodulated B/C data used in this paper (denoted dataset F). Biased HEAO-3 data are shown as solid, dashed, and dotted lines. |
Open with DEXTER |




Table 9: Influence of biasing HEAO-3 data.
However, Model III (convection and reacceleration), which is statistically preferred over Model II, still points to uncomfortably high values for

Finally, for completeness, we checked that the effect of the solar modulation parameters
(we took
MV for the HEAO-3 data) was negligible on all the derived
transport parameters.
9 Summary and discussion
The guiding questions for this paper were the following. First, do uncertainties
in the input ingredients lead to systematic uncertainties (SystUnc) on the derived
transport parameters greater than their statistical uncertainties (StatUnc)? Second,
can we reproduce the various values of
given in the literature, and which one
should be preferred? We elaborate on the answers below before concluding.
9.1 SystUnc and StatUnc: which ones dominate?
From the analysis of Paper II, the StatUnc found for the various transport parameters
typically fall in the range
(see Fig. 4). The SystUnc
generated by each input we varied are summarised below.
- A change of
in the gas surface density
translates into a change of
for all transport parameters but
, which is unaffected. Such a simple scaling can be used for comparing models in the literature, as different
are generally used. Depending on how confident we are in the measurement of
, we may conclude that, for this input, the generated SystUnc is similar to or larger than the StatUnc.
- The transport parameters are very sensitive to the low-energy spectral shape of
the source parameter
, but not to the source slope
. Both parameters can be determined by including data of a primary flux in the fit. When doing so, the SystUnc and StatUnc are of the same order.
- If we let
- which parameterises the low-energy shape of the diffusion coefficient - free in the range [-2.,1.], the SystUnc completely dominate the StatUnc. Diffusion coefficients with a sharp turn-off at low-energy are possible, as shown in Fig. 1 of Ptuskin et al. (2006) (their dashed line corresponds to our
).
- For the cross sections, as seen in Fig. 4, the SystUnc can also be larger than the StatUnc for some of the transport coefficients. The use of other secondary-to-primary ratios, such as Li/C and Be/C, could help to cross-check the consistency of each cross-section set, and thus decrease the SystUnc.
9.2 Which value of
should we trust?
The two key ingredients for determinaning
are i) the low-energy spectral
shape of the diffusion coefficient as parameterised by
[see Eq. (10)],
and ii) the presence or absence of a wind. These two effects allow
to reach values
as low as 0.2 up to 0.9. Such a wide range is also found in Jones et al. (2001),
depending on the model they consider (convection, turbulent diffusion, stochastic reacceleration).
We recover
in the pure reacceleration case (no convection), as in
other propagation codes (Jones et al. 2001; Strong & Moskalenko 1998). As soon as a
convective wind is included, the diffusion slope is large (
), as
obtained in other studies (Jones et al. 2001; Maurin et al. 2001). The effect of
the low-energy shape of the diffusion coefficient is illustrated by the fact that
standard LBM and standard diffusion models lead to different
(more details are
given in Putze, Derome & Maurin, ICRC 2009). For LBM, which are equivalent to diffusion
models if
,
we recover
(Webber et al. 2003, Paper I.
It is reassuring to see that the results of the various propagation codes used in the
literature are consistent. However, this does not settle the question of which value of
we should trust. In principle, one advantage of our analysis is that it should
clearly point to a preferred value for
,
by a mere comparison of the best
values. Indeed, in almost all settings considered, Model III (convection and
reacceleration) performs better than any other, the second best being Model II (no
convection).
This behaviour is illustrated by the
dependence as a function of
,
as shown in Fig. 6. For a standard diffusion
coefficient (black-solid curve), there is a clear minimum at high
,
and a less
marked local minimum at low
.
This second minimum matches the
of Model II (black-dashed curve). The value of the
slightly
decreases when
decreases (red curves), then increases for
(grey and violet curves). In the process, the best-fit value for
is displaced to
smaller values, the local minimum at low
overtaking and merging with the
high
one.
![]() |
Figure 6:
Evolution of
|
Open with DEXTER |
For standard diffusion schemes (SA), the best class of models is Model III. The main
problem is that whatever ingredients are changed in this model, we are always left with
,
and most of the time with even higher values,
0.9. Such
high values, always associated to the presence of the constant convective wind, are
difficult to explain. Should we choose to discard this Model III, we would be left with
the task of explaining why the statistical analysis fails in the context of CR physics. A
way out is provided, as seen in Fig. 6, if we let free
(low-energy shape of the diffusion coefficient). Indeed, the only case where
Model II (reacceleration only) performs as Model III is for
in the
range
.
In such a configuration, the best-fit value for
the convective velocity of Model III drops to zero, so that the best model only has
reacceleration (i.e. equivalent to Model II): we term this class of models III/II.
The next best-fit class of models is obtained if we discard reacceleration (Model I-like)
and again let
go free. As for the previous case, the best-fit value for the
convective velocity drops to zero: we denote this class I/0. In terms of the best
,
the standard diffusion Model II has only the fourth-best
value.
The best-fit values for these four classes of models are gathered in
Table 10, sorted according to their figure of merit.
Table 10: Best-fit parameters for a few selected configurations.
The best-fit curves for these four relevant configurations are shown in Fig. 7. From this graphic view, we can see that Model II matches the data best at very-low energy, Model III at intermediate energies, and Models O/I and III/II at high energy. While we found that a systematic bias in HEAO-3 data would not change the ordering of which is the best model (see Sect. 8), we see from Fig. 7 that a more complicated pattern in the data may be more effective in changing which model is best.
![]() |
Figure 7: Best-fit B/C ratio for standard Model II (thick red) and III (thick black) using the reference setting (solid and thin dashed lines are for the cross-section sets W03 and GAL09). The special best-fit Models O/I and III/II are also plotted in thin grey lines (light and dark shade respectively). |
Open with DEXTER |
To summarise, when a standard scheme for the diffusion coefficient is assumed, Model III is
always preferred over Model II. However, the latter seems to agree more with
theoretical expectations for .
Model II is also more consistent with the measured
propagated slope
.
Because of this oddity, we may not be able to give a
definite answer about the value of
.
This is further complicated when
is left
free; in that case, best models are always without convection, and even the pure diffusive
model is redeemed (although both have difficulty reproducing the B/C peak at GeV/n
energies). We see that many uncertainties show up at GeV/n energies. As also illustrated by
the various predictions for various
in Fig. 7, the higher the
energy, the closer we can expect to reach the purely diffusive regime. As a result, high-energy B/C
data are desired to unambiguously pinpoint the value of
.
9.3 Conclusion
In the past years, we have promoted and used a model favouring both convection and reacceleration
(e.g., Maurin et al. 2001,2002, and subsequent studies) from statistical
criteria. The main and known problem of this model lies in its uncomfortably high value for
(
). Such a model is also preferred in the present study. In addition, we
found that the high value for
is extremely resilient to any change in the setting, which
leaves us with several alternatives: assume that there are complicated biases in the data
that conspire to give high
in such models, that this high value of
is
real (in that case it needs to be explained theoretically), or that any model with convection
should be excluded (which contradicts the fact that winds are observed in many galaxies).
Even if we adopt the last alternative, no firm conclusions can be drawn on the value of
.
Indeed, if the
statistical analysis is relaxed, a large category of models are redeemed, attaining any value for
between 0.3 and 0.9. These models may be purely diffusive, with convection and/or
reacceleration, and are very sensitive to the shape of the low-energy diffusion coefficient (which
is not prescribed theoretically for the moment). Data at higher energy are needed to solve this
question. More constraints can also be obtained by combining several secondary-to-primary ratios
(e.g., Webber 1997b,a). This is left for a later study.
This study has limitations. For instance, we only varied the source and diffusion parameters according to simple parameterisations. More complicated dependences could have been inspected. However, it is worth recalling that it may be dangerous to introduce too many ad hoc prescriptions, because the statistical meaning - already unclear when comparing the different classes of models - becomes less and less obvious as the number of parameters and models tested increase. In the framework of homogeneous and isotropic diffusion coefficients, a maybe more important issue is the question of the Galactic wind. A constant wind was chosen because of the simplicity of the solutions (of the corresponding diffusion equation). On the one hand, Galactic winds are ubiquitous. On the other, as shown in this study, constant wind cannot accommodate a realistic slope of the diffusion coefficient. A linear wind may provide different results. We are implementing a numerical solver in our propagation code to inspect this issue. Another possibility that cannot be ruled out is that the HEAO-3 data suffer from non-trivial systematics.
Finally, the starting point of the paper was a comparison between systematic uncertainties (generated by uncertainties in the input ingredients) and statistical uncertainties for the values of the transport parameters. That the former can be larger than the latter shows that many efforts are still needed in CR physics, especially for the production cross-sections, before one can take full advantage of any statistical analysis, as performed in Papers I and II with an MCMC technique. Some of these issues may be resolved as new data on cosmic-ray nuclei are being released ( CREAM, PAMELA, TRACER).
AcknowledgementsWe thank W. R. Webber for providing us with the nuclear production cross-sections discussed in Webber et al. (2003) and for useful suggestions. We also thank C. Combet for a careful reading of the paper. A.P. is grateful for financial support from the Swedish Research Council (VR) through the Oskar Klein Centre. We acknowledge the support of the French ANR (grant ANR-06-CREAM).
References
- Ahn, H. S., Allison, P. S., Bagliesi, M. G., et al. 2008, Astropart. Phys., 30, 133 [Google Scholar]
- Ave, M., Boyle, P. J., Gahbauer, F., et al. 2008, ApJ, 678, 262 [Google Scholar]
- de Nolfo, G. A., Moskalenko, I. V., Binns, W. R., et al. 2006, Adv. Space Res., 38, 1558 [NASA ADS] [CrossRef] [Google Scholar]
- Donato, F., Maurin, D., Brun, P., Delahaye, T., & Salati, P. 2009, Phys. Rev. Lett., 102, 071301 [Google Scholar]
- Engelmann, J. J., Ferrando, P., Soutoul, A., Goret, P., & Juliusson, E. 1990, A&A, 233, 96 [NASA ADS] [Google Scholar]
- Garcia-Munoz, M., Simpson, J. A., Guzik, T. G., Wefel, J. P., & Margolis, S. H. 1987, ApJS, 64, 269 [NASA ADS] [CrossRef] [EDP Sciences] [Google Scholar]
- Jones, F. C., Lukasiak, A., Ptuskin, V., & Webber, W. 2001, ApJ, 547, 264 [NASA ADS] [CrossRef] [Google Scholar]
- Lionetto, A. M., Morselli, A., & Zdravkovic, V. 2005, JCAP, 9, 10 [Google Scholar]
- Lukasiak, A., McDonald, F. B., & Webber, W. R. 1999, 3, 41 [Google Scholar]
- Maurin, D., Donato, F., Taillet, R., & Salati, P. 2001, ApJ, 555, 585 [NASA ADS] [CrossRef] [Google Scholar]
- Maurin, D., Taillet, R., & Donato, F. 2002, A&A, 394, 1039 [NASA ADS] [CrossRef] [EDP Sciences] [Google Scholar]
- Maurin, D., Taillet, R., & Combet, C. 2006, [arXiv:astro-ph/0612714] [Google Scholar]
- Osborne, J. L., & Ptuskin, V. S. 1988, SvA Lett., 14, 132 [Google Scholar]
- Ptuskin, V. S., Moskalenko, I. V., Jones, F. C., Strong, A. W., & Zirakashvili, V. N. 2006, ApJ, 642, 902 [NASA ADS] [CrossRef] [Google Scholar]
- Putze, A., Derome, L., Maurin, D., Perotto, L., & Taillet, R. 2009, A&A, 497, 991 (Paper I) [NASA ADS] [CrossRef] [EDP Sciences] [Google Scholar]
- Putze, A., Derome, L., & Maurin, D. 2010, A&A, 516, A66 (Paper II) [NASA ADS] [CrossRef] [EDP Sciences] [Google Scholar]
- Schlickeiser, R. 2002, Cosmic Ray Astrophysics, ed. R. Schlickeiser [Google Scholar]
- Seo, E. S., & Ptuskin, V. S. 1994, ApJ, 431, 705 [NASA ADS] [CrossRef] [Google Scholar]
- Strong, A. W., & Moskalenko, I. V. 1998, ApJ, 509, 212 [NASA ADS] [CrossRef] [Google Scholar]
- Swordy, S. P., Mueller, D., Meyer, P., L'Heureux, J., & Grunsfeld, J. M. 1990, ApJ, 349, 625 [NASA ADS] [CrossRef] [Google Scholar]
- Taillet, R., & Maurin, D. 2003, A&A, 402, 971 [NASA ADS] [CrossRef] [EDP Sciences] [Google Scholar]
- Tomassetti, N., & AMS-01 Collaboration. 2009, in International Cosmic Ray Conference, 1 [Google Scholar]
- Webber, W. R. 1997a, Adv. Space Res., 19, 755 [NASA ADS] [CrossRef] [Google Scholar]
- Webber, W. R. 1997b, Space Sci. Rev., 81, 107 [NASA ADS] [CrossRef] [Google Scholar]
- Webber, W. R., Kish, J. C., Rockstroh, J. M., et al. 1998, ApJ, 508, 940 [NASA ADS] [CrossRef] [Google Scholar]
- Webber, W. R., Kish, J. C., & Schrier, D. A. 1990, Phys. Rev. C, 41, 566 [NASA ADS] [CrossRef] [Google Scholar]
- Webber, W. R., Soutoul, A., Kish, J. C., & Rockstroh, J. M. 2003, ApJS, 144, 153 [NASA ADS] [CrossRef] [Google Scholar]
Footnotes
All Tables
Table 1: Reference values for the inputs.
Table 2: Best-fit transport parameters for different ISM.
Table 3:
Best-fit transport parameters for different slopes .
Table 4: Best-fit values from a simultaneous fit on B/C and O.
Table 5:
K(E) and
for different schemes.
Table 6: Best-fit transport parameters based on different low-energy dependence of the diffusion coefficient.
Table 7: Best-fit transport parameters for various cross-section sets.
Table 8: High-energy biases on the W03 cross-section set.
Table 9: Influence of biasing HEAO-3 data.
Table 10: Best-fit parameters for a few selected configurations.
All Figures
![]() |
Figure 1:
From top to bottom: best-fit values of K0, |
Open with DEXTER | |
In the text |
![]() |
Figure 2:
Same as Fig. 1, but now as a function of
|
Open with DEXTER | |
In the text |
![]() |
Figure 3:
Production cross-section for 12C+H
|
Open with DEXTER | |
In the text |
![]() |
Figure 4: Left panel: Model II (pure reacceleration). Right panel: Model III (reacceleration and convection). PDF of the transport parameters (for the reference inputs) as obtained in Paper II, along with the best-fit values for different production cross-section sets. |
Open with DEXTER | |
In the text |
![]() |
Figure 5: Demodulated B/C data used in this paper (denoted dataset F). Biased HEAO-3 data are shown as solid, dashed, and dotted lines. |
Open with DEXTER | |
In the text |
![]() |
Figure 6:
Evolution of
|
Open with DEXTER | |
In the text |
![]() |
Figure 7: Best-fit B/C ratio for standard Model II (thick red) and III (thick black) using the reference setting (solid and thin dashed lines are for the cross-section sets W03 and GAL09). The special best-fit Models O/I and III/II are also plotted in thin grey lines (light and dark shade respectively). |
Open with DEXTER | |
In the text |
Copyright ESO 2010
Current usage metrics show cumulative count of Article Views (full-text article views including HTML views, PDF and ePub downloads, according to the available data) and Abstracts Views on Vision4Press platform.
Data correspond to usage on the plateform after 2015. The current usage metrics is available 48-96 hours after online publication and is updated daily on week days.
Initial download of the metrics may take a while.