Issue |
A&A
Volume 516, June-July 2010
|
|
---|---|---|
Article Number | A78 | |
Number of page(s) | 17 | |
Section | Galactic structure, stellar clusters, and populations | |
DOI | https://doi.org/10.1051/0004-6361/201014032 | |
Published online | 14 July 2010 |
The population of OB supergiants in the starburst cluster Westerlund 1![[*]](/icons/foot_motif.png)
I. Negueruela1 - J. S. Clark2 - B. W. Ritchie2,3
1 - Departamento de Física, Ingeniería de Sistemas y
Teoría de la Señal, Universidad de Alicante, Apdo. 99, 03080 Alicante, Spain
2 -
Department of Physics and Astronomy, The Open University, Walton Hall, Milton Keynes MK7 6AA, UK
3 -
IBM United Kingdom Laboratories, Hursley Park, Winchester, SO21 2JN, UK
Received 9 January 2010 / Accepted 8 March 2010
Abstract
Context. After leaving the main sequence, massive stars
undergo complex evolution, a process that is still poorly understood.
With a population of hundreds of OB stars, the starburst cluster
Westerlund 1 offers an unparallelled environment to study their
evolutionary tracks.
Aims. We characterise a large sample of evolved OB stars in the
cluster, with the aim of determining cluster parameters and place stars
in an evolutionary sequence.
Methods. We used the FORS2 instrument on the VLT to obtain
intermediate-resolution spectroscopy over the range 5800-9000 Å of
about a hundred stars selected as likely members of the cluster based
on their photometry. We developed criteria for their spectral
classification using only spectral features in the range observed. We
discuss these criteria, useful for spectral classification of
early-type stars in the GAIA spectral region, in the appendix. Using
these criteria, we obtain spectral classifications, probably accurate
to one subtype, for 57 objects, most of which had no previous
classification or a generic classification.
Results. We identify more than 50 objects as OB supergiants. We
find almost 30 luminous early-B supergiants and a number of less
luminous late-O supergiants. In addition, we find a few mid
B supergiants with very high luminosity, some of them displaying
signs of heavy mass loss. All these stars form a sequence compatible
with theoretical evolutionary tracks. In addition, two early
B supergiants also show indication of heavy mass loss and may
represent the evolutionary phase immediately prior to the Wolf-Rayet
stage. We investigate cluster properties using the spectral types and
existing photometry. We find that the reddening law to the cluster does
not deviate strongly from standard, even though extinction is quite
variable, with an average value
.
Though evolutionary tracks for high-mass stars are subject to large uncertainties, our data support an age of
Myr and a distance
kpc for Westerlund 1.
Conclusions. The spectral types observed are compatible with a
single burst of star formation (the age range is very unlikely to be
>1 Myr). Westerlund 1 shows its potentiality as a
laboratory for massive star evolution, which can be fulfilled by
detailed study of the population presented here.
Key words: stars: early-type - stars: evolution - open clusters and associations: individual: Westerlund 1
1 Introduction
Massive stars play a crucial role in the dynamical and chemical
evolution of galaxies, providing a major source of ionising
UV radiation, mechanical energy, and chemical enrichment (e.g., van der Hucht et al. 2003; Massey 2003).
As they evolve from the main sequence (MS) towards the Wolf-Rayet
(WR) phase, massive stars must shed most of their outer layers. Models
predict that massive stars will evolve redwards at approximately
constant
,
but there is an apparent dearth of yellow
supergiants with
comparable
to the brightest hot stars. The lack of yellow hypergiants above a
certain luminosity defines the observational Humphreys-Davidson (HD)
limit, which seems to imply that stars hit some kind of instability
when they reach this area of the HR diagram, and then lose mass at
a formidable rate. This phase of enhanced mass loss is generally
identified with the luminous blue variable (LBV) stage, but there is no
clear understanding of the actual evolution through the HR diagram
of massive stars during the H-shell burning phase (Humphreys & Davidson 1994; van Genderen 2001).
There is general agreement that the WR stage corresponds to the He-core burning phase while the fact that WR stars are very hot implies that massive stars do actually loop bluewards. But there is a complex zoo of transitional objects, comprising blue supergiants (BSGs), red supergiants (RSGs), yellow hypergiants (YHGs), LBVs and OBfpe/WNVL stars, whose identification with any particular evolutionary phase is a matter of guesswork. Understanding this evolution is, however, crucial because the mass loss during this phase completely determines the contribution that the star will make to the chemistry of the ISM and even the sort of post-supernova remnant it will leave.
Unfortunately, massive stars are scarce and, as this phase is very short on evolutionary terms, examples of massive stars in transition are rare. For most of them, distances are unknown and so luminosities can be determined at best to order-of-magnitude accuracy, with the uncertainty feeding through to other parameters (M*, R*). As a consequence, the difficulty in placing these objects within an evolutionary sequence is obvious.
The starburst cluster Westerlund 1 (Wd 1) may represent a unique laboratory for addressing these issues. With a mass
(Brandner et al. 2008; Mengel & Tacconi-Garman 2008),
it is young enough to contain a large number of OB stars, but old
enough to contain stars in all the evolutionary stages. Large
populations of WR stars and transitional massive stars (Negueruela & Clark 2005; Clark et al. 2005,
henceforth C05) have been identified. In this paper, we set their
evolutionary context by characterising the population of moderately
evolved massive stars in the cluster, i.e., objects that have
started to move away from the MS, but have not yet reached the
region of instability. With this information, we are able to constrain
the cluster parameters and check the agreement with evolutionary
tracks, which supports the idea of an (approximately) single-age
population.
2 Observations
Observations of stars in Wd 1 were carried out on the nights of 2004 June 12th and 13th using the spectro-imager FORS2 on Unit 1 of the VLT (Antu) in three different modes: longslit, multi-object spectroscopy with masks (MXU) and multi-object spectroscopy with movable slitlets (MOS). We used grisms G1200R and G1028z, which provide the highest dispersions, to obtain intermediate-resolution spectroscopy. G1200R has a nominal dispersion of 0.38 Å/pixel over the spectral range 5750-7310 Å. G1028z has a nominal dispersion of 0.42 Å/pixel over the spectral range 7730-9480 Å. Together, they cover most of the red and nearest infrared range.
For the longslit mode, we used a
slit to obtain the highest resolution available. Measurements of arc lines give FWHM of
0.9 Å with the G1200R, which results in R slightly above
.
With the G1028z, we measure FWHM
1.3 Å, implying a resolution slightly below
.
For the multi-object modes, we used
slits (
long in the MOS mode and of variable -
- length in the MXU mode). This results in a resolving power R=2200 in the red range (the exact wavelength coverage depends on the position in the CCD) and R=2500 in the near-IR range.
Table 1:
Sample of OB supergiants in Wd 1, with
photometry from main (when available) and spectral typesa.
We also used the MOS mode with grism G150I to obtain low-resolution
spectroscopy of stars in the field. This mode gives a resolving power R=260 over a range
Å (the exact range depending again on the position within the CCD). This mode was used mainly for
Wolf-Rayet stars, but other objects were also observed.
The field of view of FORS2 is
.
Within the central
field
of view, we selected our targets from the list of likely members of
main. For the external regions, targets were selected at random
amongst relatively bright stars. In total, we took three MXU and
one MOS mask with both G1200R and
G1028z grisms, two further MXU masks with only the G1200R (these
were aimed at relatively faint objects, which were expected to be
OB stars near the MS and so not to have strong features in the
range covered by G1028z) and three MOS masks with G150I. This
resulted in
stars observed with G1200R,
stars observed with G1028z and
stars
observed with G150I. More than 90% of the spectra turned out
to correspond to OB stars, and hence cluster members.
In this paper, we restrict our analysis to the brightest
OB members of the cluster, leaving analysis of the unevolved
population of OB stars for a future work, where our
FORS2 data will be combined with FLAMES and ISAAC observations. We
complement our dataset with observations of a few additional bright
OB stars which could not be observed during the FORS2 run.
A few stars (W5, W7 and W52) were observed with the
ESO Multi-Mode Instrument (EMMI) on the New Technology Telescope (NTT)
at the La Silla Observatory (Chile) on the nights of
June 5-8, 2003, using gratings #6 and #7, giving a
coverage similar to that of the FORS observations at comparable
resolution (see Clark et al. 2010,
for details). Some other stars were observed with the NTT and EMMI on
the nights of 15-17 February 2006. On this occasion, we used
grism #6, which covers the range 5800-8650 Å at a resolution ,
though several objects are only detected from
Å.
For completeness, we include a few other objects which have been observed only in the I band with the multi-object fibre spectrograph FLAMES, on the VLT. Details of those observations are reported in Ritchie et al. (2009a). The spectra cover the range 8484-9000 Å, with a resolving power
.
3 Results
We have selected for our sample those bright stars not listed as yellow or red supergiants main or Wolf-Rayet stars (Crowther et al. 2006a). The sample consists of 57 stars spectroscopically identified as luminous OB cluster members. They are listed in Table 1.
Wd 1 is too obscured to allow the acquisition of classification
spectra. Even with 8-m class telescopes, moderate SNR cannot be
achieved at wavelengths shorter than 5500 Å with reasonable
exposure times. We have been forced to rely on the data available,
covering the range between 6000 Å
and 9000 Å. Criteria for classification in this range were first
explored in main, and are analysed and developed
in Appendix A.
As demonstrated in the appendix (see also Appendix A of main), the classification of supergiants of spectral types later than B2 can be achieved with rather high accuracy, because of the presence of abundant metallic lines. For earlier spectral types, classification criteria are scarcer and most of them are sensitive to both spectral type and luminosity. In most cases, by using several of them at the same time, we can narrow the spectral range for a given spectrum generally down to half a spectral subtype. This is achieved here by combining the red and I-band spectra.
There are three very luminous B supergiants in Wd 1, which were tentatively classified as hypergiants in main. The I-band spectra of W33 and W42a are displayed in
Fig. 1. Based on them, they can be confidently classified as B5 Ia(+) and B9 Ia(+). W7 is very similar to W33, and was also classified B5 Ia(+). These objects display weak P-Cygni profiles in the O I 8446 Å line, and much stronger P-Cygni profiles in H
(see Fig. 2). Another interesting feature in the red spectra of W7 and W33 is the C II 6578,
6582 Å doublet. These lines are hardly seen in MS B-type stars,
but appear weakly in B2-B5 stars of moderate luminosity and can be
prominent in supergiants. Its maximum strength occurs
around B3 (Walborn 1980).
Amongst Wd1 stars, the strongest C II is seen in the spectra of W70 and W71, both of which were classified in main as B3 Ia based on their I-band features (strong O I 8446 Å line by the side of Pa 16, presence of N I lines around Pa 11). Another object with prominent C II doublet is W57a. From the ratio of O I 8446 Å to Pa 16 and the intensity of the He I lines, this object is either later or more luminous than W70 (Fig. 3). From the colours and magnitudes of these stars, the last possibility seems unlikely (all three have about the same magnitude in I, while W57a is less reddened). This is supported by the weaker C II doublet. W57a shows distinctive Si II 6347 and 6371 Å, as well as Ne I 6402 Å. These lines are also strong in W70, but weaker in W71. Therefore, we take B4 Ia for W57a and B3 Ia for W70. W71 is slightly earlier, and we classify it B2.5 Ia.
Then we have W2a and W28, presenting moderately strong C II 6578, 6582 Å (Fig. 4) and still a conspicuous O I 7774 Å triplet, a strong feature in the later supergiants. The O I 8446 Å line is seen just as an inflection on the side
of Pa 18 (Fig. 3). Both display strong P-Cygni profiles in H
and strong N II 6482 Å. The presence of this line is considered a signature of Ia class supergiants by Lennon (1993).
We classify these objects B2 Ia. W11 is very similar and
receives the same classification. W23a has a very similar I-band spectrum. It also shows N II 6482 Å. However, O I 7774 Å is missing, and the C II doublet
is very weak. These features are difficult to reconcile with any
spectral type. As this star is very bright, we suspect that the
spectrum may include an earlier type companion. W8b and W52 look
slightly earlier than this previous group, but still have strong C II 6578, 6582 Å and perhaps O I 8446 Å on the wing of Pa 18. We classify them as B1.5 Ia.
![]() |
Figure 1: I-band spectra of two of the visually brightest B supergiants in Wd 1, tentatively classified as hypergiants in main. The top spectrum corresponds to W42a, which we classify as B9 Ia(+), based on the features presented here. Note that the Ca II triplet lines are already comparable in strength to Pa 13, 15 and 16. The bottom spectrum corresponds to W33, B5 Ia(+). Note the prominent P-Cygni profile in O I 8446 Å and the emission features at 8913 and 8927 Å, seen in the spectra of all the mid-B supergiants in Wd 1. |
Open with DEXTER |
W78, still showing moderately strong C II doublet lines, has weaker O I 7774 Å. The absorption trough in the P-Cygni profile of H
has almost disappeared in this object. The spectrum of W78 extends
further bluewards than most others, and we can identify a very strong
Si III 5740 Å
line, confirming a spectral type not far away from B1. Similar
features are seen in W46a, W43b and W19. Though there is some evidence
that these last three may be very slightly earlier, we classify all
these stars as B1 Ia.
W18 and W21 show inconspicuous C II absorption lines and broader Paschen lines, though we can still see them up to Pa 20. The He I lines in the I-band
are now almost vanished except for the line at 8780 Å, still
moderately strong. In W21, we know that it does not show
conspicuous Si III 5740, confirming that it is earlier than B1. Another similar spectrum is W61a, showing pure emission in H.
C III, if present, is very weak. We classify these three objects as B0.5 Ia.
W43a shows pure emission in H.
The Paschen lines are shallower and we can only see them up to Pa 18. C III 8500 Å is starting to contribute strongly to Pa 16. There is no sign of C II or N II absorption now, but strong C II wind emission lines. This suggests a spectral type B0 Ia. This object is a single-lined spectroscopic binary (Ritchie et al. 2009a). W34 has a similar spectrum and receives the same classification.
![]() |
Figure 2:
H |
Open with DEXTER |
![]() |
Figure 3: Sequence of I-band spectra of blue supergiants in Wd 1, showing the evolution of the main features. Note the disappearance of N I features between Pa 12 and Pa 13 and O I 8446 Å around B2 (compare to Fig. 1, where lines are identified) and the development of Pa 16, which shows the presence of a strong C III line for stars B0 and earlier. |
Open with DEXTER |
W232 and W54 have broader Paschen lines, even though we see up to Pa 18. W54 presents a neutralised H,
while W232 has it weakly in absorption. It also shows a very weak Si III 5740 Å line. The lack of H
emission
likely indicates a lower mass loss and hence luminosity. We classify
these objects as B0.5 Iab. Another similar spectrum is W6a, which
shows variable H
and hard X-ray emission (Clark et al. 2008), and is a likely binary (see below). As discussed in Appendix A, the strength of H
emission correlates well with luminosity, but there are many exceptions.
W60 and W63a have similar spectra, with H
neutralised or weakly in absorption, but show clear evidence of C III 8500 Å.
Paschen lines are broad, and we classify these two objects as
B0 Iab. Based on the overall similarity, we classify W49, for
which we only have a FLAMES I-band spectrum, as B0 Iab, as well.
W61b also has H
weakly in absorption, but has a prominent C III line,
while Paschen lines are visible up to Pa 18. We classify this
object as O9.5 Iab, though a higher luminosity cannot be ruled
out. Two other stars look like high-luminosity O-type supergiants. W74
has a very prominent C III 8500 Å line, and Paschen lines up to Pa 18. Its H
line
is weakly in absorption. We classify it as O9.5 Iab, though it
also could be slightly earlier or slightly more luminous. W24 is
very similar, with H
more clearly in absorption, and its Paschen lines show that it is
either less luminous or earlier than the other two. This object shows
some spectral variability (Clark et al. 2010) and needs further study. We provisionally classify it as O9 I.
Similar spectra, with H
close to being neutralised, are shown by W35 and W41. As they have stronger C III 8500 Å
and Pa 18 is not clearly detected, we classify them as
O9 Iab. Based on overall similarity, we also classify as
O9 Iab a number of objects with lower-resolution (NTT) or
incomplete (only I-band) spectra, W17, W25 and W38, though
these classifications are less secure. W27 has a similar spectrum,
but shows several indications of being a binary (complex H
,
shallow broad Paschen lines, likely double He I 6678 Å), in accord with its high X-ray luminosity (Clark et al. 2008).
W30a displays strong variability and clear signs of binarity (see also Clark et al. 2008). Some of the spectra suggest that He II 8236 Å could be present, while C III 8500 Å changes between spectra. The Paschen lines are broad and shallow, typical of a spectroscopic binary. This system contains two O-type supergiants, and one of them could be earlier than O9.
![]() |
Figure 4:
Sequence of red spectra of blue supergiants in Wd 1. The shape of H |
Open with DEXTER |
For W31, we only have spectroscopy at one epoch, but the double-peaked structure of Hstrongly
suggests that this B0 I supergiant has a companion, rendering
the exact luminosity classification impossible. W10, as shown
in Clark et al. (2008), is a double-lined spectroscopic binary, and therefore must contain two supergiants.
To the South of the cluster, W238 does not seem to fit exactly with the spectral sequence. It has C II in absorption and H
partially neutralised, suggesting a spectral type B1 Iab or B1 Ib. However,
8502 Å looks stronger than expected, and this could also be a composite spectrum.
All the other objects have H
in absorption and a smaller number of Paschen lines. Based on the relative strength of the C III 8500 Å feature, we classify them O9-O9.5 Ib. We consider that having H
in absorption to the point that it is stronger than the
He I 6678 Å
line is the defining characteristic of luminosity class Ib.
However, we caution that sky subtraction is difficult in the very
crowded regions close to the cluster core, and H
could be affected by the sky.
Taking all these factors into account, we estimate that the spectral types we derive are likely accurate to within half a subtype for B supergiants. Luminosity classes are also likely to be correct to within one subclass. Types for O stars are not so well determined, though we expect to be correct within one subtype. Luminosity classes are less reliable, as we lack proper criteria. We have to resort to line widths and shapes, which are also dependent on rotational velocity. As the rotational velocities of O supergiants may be relatively high, there is a degree of degeneracy between luminosity and rotation. Also, the types derived depend strongly on the ratio of the C III 8500 Å line to neighbouring Paschen lines. This indicator is obviously sensitive to CNO anomalies. However, we do not find any spectrum where the strength of this line is openly in contradiction with any other criteria. Based on this, we believe that any CNO anomalies present in our stars are, at most, moderate. In the case of moderate C enhancement, a star classified as O9 Iab might actually be a B0 Ib with enhanced C III. In the case of moderate N enhancement (and, hence, C depletion), a star classified B0-0.5 Iab or Ib could be an O9 Ia with a very weak C III. None of these possible misclassifications looks too severe.
Finally, Table 1 lists the spectral types of 55 OB supergiants, and two less luminous objects, in Wd 1.
3.1 Bright B supergiants
Two B5 Ia and one B9 Ia supergiants show characteristics that
lead us to classify them as hypergiants. For a start, they are
>1 mag brighter (after correcting for extinction, see below)
than any other B-type supergiant. In addition, they show signs of
heavy mass loss, such as strong P-Cygni profiles in H
(Fig. 2) and the presence of a P-Cygni profile in O I 8446 Å (Fig. 1). Clark et al. (2010)
present evidence for variability in these three objects. At this
stage, we do not intend their classification as hypergiants to have any
implication about their evolutionary status. Most of the
B5-9 I supergiants that have been subject to detailed
analysis fall on tracks corresponding to stars with
(McErlean et al. 1999; Markova & Puls 2008),
and hence it seems natural to find that the late B supergiants in
Wd 1, most likely descendants of more massive progenitors, are
more luminous. Analysis of their chemical compositions will cast light
on their evolutionary status.
3.2 Transitional objects with emission lines
Two objects displaying strong H
emission and He I emission can be classified as early B objects, W5 and W13. Their H
profiles can be seen in Fig. 2 (wider range spectra are displayed in Clark et al. 2008). Their I-band spectra are displayed in Fig. 5, where they are compared to the WN9 star W44 (=WR L).
W5 displays very intense H
emission, P-Cygni profiles in He I
5785, 6678 and 7065, C II wind features (not only the 7231, 7236 Å doublet is in emission, but also 6578, 6583 Å) and some N II lines weakly in emission. In contrast, its I band
spectrum lacks any emission features and seems typical of a supergiant
around B0.5 (though weak emission components in the Paschen lines may
not be seen at our resolution). In view of this, we classify this
object as a B0.5 Ia+ star, where the hypergiant
classification is due to the several indicators of heavy mass loss.
However, we note that this object is intrinsically less
luminous than other stars classified as B0.5 Ia. In view of
this and its similarities to WN9, it is tempting to identify W5
with an evolutionary phase immediately prior to the WR stage.
Again, a careful analysis of its chemical composition may provide
further clues as to its evolutionary status.
W13 has a similar spectrum, but analysis is at present complicated by the fact that this object is a double-lined eclipsing binary (Ritchie et al. 2009a; Bonanos 2007). Pending a detailed analysis of the system, the data seems consistent with an emission-line component similar to W5 and an absorption-line object. Though the Pa 16 feature in Fig. 5 is very prominent, several FLAMES spectra (cf. Ritchie et al. 2009a) show moderately strong He I lines, indicating that the companion is likely an early-B supergiant.
![]() |
Figure 5: I-band spectra of three transitional objects with emission lines. W44 (=WR L) is a late Wolf-Rayet star, presenting emission components in all Paschen lines. W13 is an eclipsing binary. One of the components is the emission-line object. W5 shows no emission lines in the I-band in spite of strong emission features in the red (see Fig. 2). |
Open with DEXTER |
3.3 Likely binaries
Several spectra show evidence for binarity. In W10 we see double He I lines.
In W23a, we see features incompatible with a single spectral type and
variations between two epochs. W30a and W31 show evidence of mass
transfer in the form of complex and (in W30a) variable H.
W30a and W27 show shallow lines, typical of double-lined binaries. W6a also shows important variations in the shape of H
(Clark et al. 2008)
and its FLAMES spectra show very shallow broad lines. The spectra of
W27 have lower resolution than those of other sources, but the shape of
the He I lines is also suggestive of two components, while H
shows a complex emission profile. Of these, W6a, W10, W27 and W30a are hard X-ray sources (Clark et al. 2008), the latter being the most luminous and hardest detection in the cluster after the magnetar CXO J164710.2-455216 (Clark et al. 2008). W27 is also a relatively bright X-ray source (
).
Considering the relative brightnesses of OB supergiants and MS stars, every object showing double lines must be considered to contain two supergiants. Given the relative shortness of this evolutionary phase, the presence of at least two (and likely more) objects displaying the spectra of two supergiants suggests that there is a high number of systems which actually are similar-mass binaries, in good agreement with the preliminary results of a radial velocity survey, designed to determine the binary fraction in Wd 1 (Ritchie et al. 2009a).
3.4 The less luminous objects
In order to illustrate the characteristics of O-type stars in the I-band, we have included in our sample two stars with significantly fainter I magnitude. These are W6b and W50b. Their spectra are displayed in Fig. 6, compared to some other objects that were observed only with FLAMES. The small spectral coverage makes all classifications somewhat uncertain, but Fig. 6 shows that a few spectral features may still provide some guidance. The main discriminant for luminosity class is the shape and depth of the Paschen lines.
![]() |
Figure 6: Sequence of FLAMES/GIRAFFE I-band spectra of some of the earliest spectral types observed in our sample. The bottom two spectra have lower SNR, but the Paschen lines are clearly seen to have much broader wings than the more luminous objects and display much weaker C III 8500 Å. Note the difficulty in defining the continuum around the area of the DIBs at 8620 Å and 8648 Å, in spite of the high resolution. The spikes seen in some spectra are badly removed sky lines. |
Open with DEXTER |
The two faint stars have significantly broader Paschen lines than any star that we classify as supergiant. The limit between the wings of the lines and the continuum is difficult to define, in opposition to the sharply defined lines of the supergiants. Lacking any further criteria, we tentatively classify these two stars as luminosity class III, noting that they may well be of lower luminosity - as suggested by their dereddened magnitudes (see below). They are representative of the large population of unevolved massive stars present in Wd 1, which we will study, with a more extensive dataset, in a future paper.
4 Discussion
We have spectroscopically identified 55 OB supergiants in Wd 1. The sample is still very far from complete. On the one hand, the extended halo around the cluster is not fully explored. On the other hand, many stars in the cluster core, with magnitudes and colours similar to the O-type supergiants listed here, still lack spectroscopy.
The significance of this huge population has to be discussed within the context of their membership in a single cluster, Wd 1, which hosts a large population of massive stars in more advanced evolutionary stages. The cluster contains one probable active hot LBV (W9, Dougherty et al. 2010), 7 A/F hypergiants (including the cool LBV W243, Ritchie et al. 2009b), 4 very luminous RSGs (Clark et al. 2010) and a large population of WR stars (Crowther et al. 2006a). The OB supergiants provide us with the possibility to constrain the evolutionary paths of these evolved stars. Unfortunately, the parameters of Wd 1 are still poorly determined, even if significant progress has been made in recent years. The data presented here can set strong constraints on many of these parameters.
4.1 Extinction
The distance to the cluster is, at present, not very well
constrained. Photometry is affected by very strong reddening. Analysis
of the E(B-V) colours suggested that the reddening could deviate from the standard law main, with an extinction
.
With the new accurate spectral types, we can conduct a deeper investigation of the reddening to the cluster.
![]() |
Figure 7: Correlation between the E(V-I) and E(R-I) colour excesses for OB supergiants in Wd 1. Individual excesses have been derived from the photometry listed in Table 1 and the intrinsic colour calibration. |
Open with DEXTER |
We have taken all the objects with photometry in Table 1 and calculated their colour excesses, making use of the intrinsic colours for OB supergiants (Wegner 1994). Figure 7 shows the run of E(R-I) against E(V-I). The two colours cover a wide range, showing that the reddening is very variable across the face of the cluster. E(V-I) goes from mag to
mag, with a single object, W84, showing rather lower reddening
E(V-I)=4.5. The two colours are very well correlated (R=0.99 for a fit without independent term). The best fit gives
E(V-I)/E(R-I)=1.97
0.01, which compares very well with the standard reddening law (e.g., 1.95 in Rieke & Lebofsky 1985). The average value is
E(V-I)=5.5
0.3 (1-
standard deviation). Similarly good fits are obtained for
E(V-I)/E(V-R) and
E(R-I)/E(V-R) (which, obviously, are not independent), giving values very close to the standard reddening law.
This suggests that the extinction is close to standard, in spite of the difficulty with the E(B-V) colours. The correlation between E(B-V) and E(V-I) is poorer. If we force the fit to go through the origin, we obtain
E(V-I)/E(B-V)=1.31 0.01, with R=0.97. This value is almost identical to the average of the ratios
E(V-I)/E(B-V) for all the stars, 1.34
0.15. The value is not compatible with the standard value, (e.g., 1.6 in Rieke & Lebofsky 1985), but, because of the large dispersion in individual values, is less than
away. In view of this, we suspect that the difficulty stems from unreliable values for B,
perhaps a zero-point offset. Even though the photometry in main was
very carefully calibrated, stars in Wd 1 are much redder than any
standards used, and have very faint B magnitudes. In any event, the average value directly determined from the observed (B-V) colours is
E(B-V)=4.2
0.4 (again, 1-
standard deviation).
Another reliable indicator of interstellar extinction is the presence
of Diffuse Interstellar Bands (DIBs). Unfortunately, the correlations
between the Equivalent Width (EW) of most bands and reddening saturates at relatively low values (e.g., Munari & Zwitter 1997; Cox et al. 2005). Munari et al. (2008) find that the 8620 Å DIB is an excellent tracer of reddening, with a very tight correlation
EW (Å). As discussed in the Appendix, measurement of
the intensity of this band is not easy at our resolution. However, we
may expect the high number of objects to compensate for the uncertainty
in individual values. Unfortunately, there is no obvious correlation
between EW(DIB) and E(V-I) for our stars. Objects in Wd 1 show an average value EW(DIB) = 1.00 Å, with a dispersion
and individual values ranging from 0.85 to 1.15, with no correlation to reddening or spatial position.
If we restrict the search to objects with high-resolution FLAMES
spectra, we find a similar result. The average is now 1.11 Å,
showing that the lower resolution data tend to give lower values
because of the poorer definition of the continuum. The dispersion is
only
,
but still no correlation with E(V-I) or location is obvious.
This suggests that this DIB is saturated, at least along this line of sight, at the reddening of Wd 1, and the dispersion amongst Wd 1 stars is due simply to the difficulty in determining the continuum. As discussed in the appendix, this area contains a broad shallow DIB centred on 8648 Å (cf. Munari et al. 2008), which becomes compounded with some weak absorption lines. The correlation of Munari et al. (2008) would give an average E(B-V)=3.00, which is smaller than both the observed value and a direct extrapolation from E(V-R) and E(V-I) under the assumption of a standard reddening law.
There is another sharp DIB in our range, that at 6614 Å. Unfortunately, its correlation to E(B-V) seems to be poor at high reddening values (Cox et al. 2005). Again, we find no obvious correlation to E(V-I). Most stars show EW(DIB) = 0.60 Å, with standard deviation
.
As this value is comparable to the highest EW(DIB) measured by Cox et al. (2005)
along sightlines with high extinction, it is possible that this
line is also saturated, though measurements at higher resolution should
be desirable to check this hypothesis.
The only DIB that has been calibrated against E(B-V) and might perhaps not be saturated at the reddening of Wd 1 is the narrow band at 5797 Å. Unfortunately, this is just outside the range of our spectra. It is seen in a few of the MXU spectra, due to their variable spectral range, but the continuum cannot be defined well.
4.2 Distribution of spectral types
The earliest supergiants in Wd 1 seem to have spectral types around O9. This is defined by the presence of strong C III 8500 Å (while the neighbouring Paschen lines are weak or absent) and lack of He II 8238 Å. Even though our spectra have not been corrected for telluric absorption, humidity was very low on the night of June 13th, and the stronger He II line of earlier spectral types should be noticeable. None of the stars classified as O9 or O9.5 seems sufficiently luminous to receive a Ia luminosity class, based on their relatively broad Paschen lines and lack of detection beyond Pa 17 (but see below). W74 (where Pa 18 is weakly seen), is the most luminous O-type supergiant based on these criteria.
There are a fair number of luminous (Ia) supergiants covering the range
B0.5-B2. Later spectral types become less numerous, with one each of
B2.5 Ia, B3 Ia and B4 Ia, and two B5 Ia(+) bright supergiants. After this, we only have a B9 Ia(+) object before we reach the A hypergiants (which include the present phase of the LBV W243, Ritchie et al. 2009b). This distribution hints at some sort of break around spectral type B2-3, perhaps suggesting
that stars in this mass range finish their H-core burning phase as B2 supergiants.
Though our sample of OB supergiants is far from complete, there have
been no systematics in the choice of targets. The level of
incompleteness is difficult to assess, as photometry is not available
for all the stars in the crowded cluster core area. We estimate that
perhaps stars which appear bright enough in I
to be supergiants have not been observed in the cluster core (most
notably W12b, W39a & W40a), with a similar number in the
outskirts (e.g., W53 or W56a). Of course, a much
larger population of less luminous OB stars remain to
be explored.
4.3 Mass
The mass of Wd 1 has been estimated in two different ways. Mengel & Tacconi-Garman (2008) have used the radial velocity dispersion of the ten stars brightest in the infrared (
)
to estimate a mass of
.
This estimate needs to be confirmed, as it is subject to a large
uncertainty. The YHGs show large variations in their radial velocities
due to pulsations (Ritchie et al. 2009a; Clark et al. 2010), and some of the stars used present important spectral peculiarities (e.g., W26 is associated with extended nebular
emission). Because of this, and the assumption of virial equilibrium, this value should be taken as an upper limit. Brandner et al. (2008), on the other hand, have used star counts in the infrared to set a lower limit on the cluster mass
.
Again,
there are important uncertainties coming into this estimation, such as the completeness correction.
In particular, the pre-main-sequence isochrones used by Brandner et al. (2008) indicate a significantly younger (
0.2 Myr) and less distant (d=3.6
0.2 kpc) cluster. This results in very different masses for a given star. Recently, Naylor (2009)
has shown that similar discrepancies are observed for a large number of
young open clusters and suggested that this effect reflects a real
deficiency in the calculation of pre-main-sequence ages.
In any case, the integrated initial mass function, which is independent
of the distance and age estimate, appears consistent with Salpeter's
down to solar mass (Brandner et al. 2008).
The spectroscopic confirmation of a large number of photometric
candidate members from main here indicates that the number of stars
more massive than the main sequence turn-off is likely to be .
If we accept that the turn-off stars have
,
a Kroupa IMF would then imply a mass
,
consistent with both determinations.
An important source of uncertainty in both measurements is the role of binarity, which affects both radial velocities and transformation of magnitudes into masses. Different lines of evidence support a very high fraction of binaries with similar mass components amongst cluster members. Most WR stars show indirect indications of binarity: presence of dust in WC stars (Crowther et al. 2006a) and hard X-ray emission in WN stars (Clark et al. 2008). Some of them also show photometric variability and at least one is an eclipsing binary (Bonanos 2007). The pilot study by Ritchie et al. (2009a) shows that the high binary fraction extends to lower masses.
4.4 Distance and age
A recent determination of the distance to Wd 1, making use of atomic hydrogen in the direction to the cluster, gives d=3.9
0.7 kpc (Kothes & Dougherty 2007), compatible with, though slightly shorter than, estimates based on the stellar population (e.g., Crowther et al. 2006a). If we use the standard reddening law to deredden the magnitudes and assume DM=13.0, we find that luminosity class Ia stars typically have MV between -6.4 and -6.9
. This is not in bad agreement with existing calibrations (e.g., Humphreys & McElroy 1984), though the slightly longer distance of Crowther et al. (2006a) (
)
would give a better agreement. The three mid-B supergiants W57a, W70 and W71 are definitively brighter, with
-8<MV<-7. W7 and W33 are even brighter, with
(which would become almost -9 for DM=13.4), justifying their tentative classification as hypergiants.
![]() |
Figure 8: Observational HR diagram for Wd 1. The absolute magnitudes, MV, are estimated from the observed I, dereddened using E(V-I) under the assumption of a standard law and corrected with the tabulated (V-I)0 for the spectral type from Wegner (1994). Circles represent objects classified as Ia supergiants; squares are Iab classifications, diamonds are Ib objects and triangles are stars with lower luminosity. |
Open with DEXTER |
In Fig. 8, we plot an estimate of the intrinsic luminosity for all the objects with good photometry in Table 1 distributed by spectral type and luminosity class. For this, we use E(V-I), under the assumption of a standard reddening law (Rieke & Lebofsky 1985), to calculate AI, and then derive MI for a nominal DM=13.5. Due to the uncertainty in E(B-V), we prefer to perform our calculations with the red magnitudes. However, for ease of comparison, we transform to MV simply by adding the intrinsic (V-I)0 tabulated for the spectral type. The plot shows, in general, a good correlation between absolute magnitude and luminosity class, giving strong support to our classifications. The obvious exception are the objects classified as O9 SGs. These objects cover a broad span (>2 mag) in MV, present an overlap between O9 Iab and O9 Ib objects (though objects classified O9 Iab are in most cases brighter than objects classified O9 Ib) and have MV's rather higher than expected (the O9 Iab objects are as bright as the B0 Ia stars).
This discrepancy may arise from the difficulty in separating the
effects of luminosity and fast rotation in O-type stars at this
moderately low resolution. Some of the objects classified as
O9 Iab may be fast-rotating O9 Ia stars. Though
plausible, this interpretation presents two difficulties: first, all
O9 Ia stars present should be fast rotators (perhaps not a serious
objection when we are talking of 3-4 stars); second, it would mean
that we have a very large range of luminosity classes at spectral
type O9 (from O9 III to O9 Ia), as opposed to other
spectral subtypes. Alternatively, as discussed above, we can think
that some of the objects classified as O9 Iab are really
later-type (B0) stars with enhanced C III 8500 Å, but this does not necessarily imply brighter MV.
Perhaps the simplest interpretation is that the objects we have
classified as O9 Iab are really O9.5 Ia. As seen in
Fig. 8, this small change in their classification would make their luminosities compatible with all the other members
.
With this caveat, we may try to constrain the age of the cluster from the observed population. For this, we are forced to rely on the predictions of evolutionary models. As discussed above, the tracks followed by high-mass stars in the theoretical HR diagram are subject to large uncertainties. As the exact mechanism for heavy mass loss is unknown, mass loss rates are normally introduced by hand, following some recipe. Differences in mass loss rates, the treatment of rotation and the degree of convective overshooting assumed lead to rather different evolutionary tracks (e.g., Meynet & Maeder 2000; Salasnich et al. 1999; Eldridge et al. 2008). Furthermore, the inclusion of binarity can substantially alter the evolution of massive stars (e.g., Eldridge et al. 2008; Vanbeveren et al. 2007).
As discussed by Crowther et al. (2006a), single evolutionary models have trouble reproducing the observed population of Wd 1. Geneva isochrones without rotation (Meynet & Maeder 2000) predict that RSGs will be formed only for ages 6 Myr,
while even higher ages are required to produce RSGs with the
high-rotation isochrones. On the other hand,
the WR populations decline rapidly after 5 Myr. The
simultaneous presence of large numbers of cool super/hypergiants and
WR stars is reproduced better by models including binaries, which
also provide a better description of the ratio between WC and
WN stars. Comparison of the number ratio between WR stars and
cool hypergiants with isochrones from Eldridge et al. (2008) led Crowther et al. (2006a) to propose an age of 4.5 or 5.0 Myr, with the progenitors of the WR stars having initial masses in the
40-
range.
Such age seems consistent with the observed distribution of blue
supergiants. We observe O9-B0 supergiants with different
luminosity subclasses, while at later spectral types we only see
Ia supergiants. At Myr, these Ia supergiants should be descended from stars with initial masses
.
This is in good agreement with placement on theoretical tracks of B Ia supergiants. For instance, Crowther et al. (2006b) find that a sample of B0-3 Ia Galactic supergiants lie between the tracks for 25 and
.
As single star isochrones have been frequently used to date open clusters, here we will compare the properties of OB supergiants to Geneva isochrones. As the stars are still relatively unevolved, the differences with respect to other single star tracks are minor, allowing easy comparison to the ages of other open clusters.
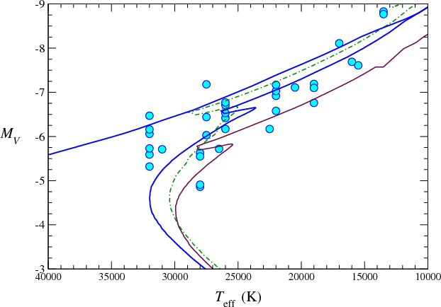
In Fig. 9, we plot the same estimates of MV derived above against
for
all the Ia and Iab supergiants. The effective temperatures used
are an interpolation between the observational scale of Martins et al. (2005) for late O-type stars and the temperature scale of Crowther et al. (2006b) for B-type supergiants. We also plot several isochrones from the models of Meynet & Maeder (2000). Taking into account that the MV determination
is subject to important uncertainties (for example, simply the
rounding up of the second decimal in the determination of the ratio
between AI and the colours amounts to a difference >0.1 mag) and the approximate character of the
scale, the general agreement is rather good. We note the following points:
- the
(5 Myr) isochrone without rotations would provide a good fit for a distance approaching 6 kpc;
- the
(6.3 Myr) isochrones (with and without rotation) provide a very good fit to the position of the B supergiants for distances
kpc. These isochrones would, however, fail to reproduce the position of the O supergiants and almost certainly fail to reproduce the turn-off of the main sequence, unless all the objects we have classified as O-type supergiants are blue stragglers;
- the location of the mid-B supergiants is compatible with their being evolving away from the main sequence;
- the distance from Kothes & Dougherty (2007) (DM=13.0) implies an age > 7 Myr for the cluster, which seems incompatible with the population of WR stars. Their error bars, however, reach within the area favoured by our data.

Considering the uncertainties involved here, a definite answer will
have to wait for accurate spectral classification of objects near the
turn-off of the main sequence, which can be achieved with high quality
infrared spectra. This will allow the anchoring of the infrared
photometric sequence, and a much more accurate isochrone fit. The
richness of the OB population in Wd 1 may then allow the
creation of a more accurate temperature scale based on fits of tailored
synthetic spectra to high quality spectra of our sample. Meanwhile, our
data strongly favour kpc and
Myr for Wd 1, and seem to definitely rule out the values of Brandner et al. (2008), based on pre-main-sequence tracks. As this paper contains a careful analysis of the data, we suspect that
this result reflects inaccuracies in the pre-MS isochrones, as found by Naylor (2009) for other young open clusters.
![]() |
Figure 9:
Semi-empirical HR diagram for bright OB supergiants in Wd 1.
The solid lines represent the Geneva isochrones without rotation for
|
Open with DEXTER |
4.5 The yellow hypergiants
Wd 1 contains six luminous hypergiants with spectral types between A5 Ia+ and F8 Ia+ (Clark et al. 2010).
They represent a sizable fraction of the known Galactic YHGs. The
evolutionary status of YHGs is unclear under current models.
In several schemes (e.g., Smith et al. 2004),
they are assumed to be stars that have already been RSGs and are coming
back towards the blue in their way to become Wolf-Rayet stars. With the
current dataset, the evolutionary status of the YHGs in Wd 1 is
difficult to assess. A simple estimation of their luminosities
using the same procedure utilised for the OB supergiants suggests
that their bolometric luminosities are not very different from those of
the B hypergiants (and, in the case of W8a, substantially lower).
![]() |
Figure 10:
R-band finder (
|
Open with DEXTER |
We have to be careful with this estimation, though. Spectroscopic
monitoring of the YHG W265 has shown it to present strong
pulsational variability, which leads to changes in spectral type
between F1 Ia+ and F5 Ia+, with a period of d (Clark et al. 2010).
There is a high likelihood that the other YHGs experiment similar
variations. Such variability in spectral type should be reflected in
significant changes in the intrinsic colours and bolometric
corrections. Our photometric and spectroscopic data are not
simultaneous, and so the two datasets may correspond to different
spectral types. Moreover, and perhaps more importantly, strong
pulsations may lead to heavy mass loss, and the assumption of typical
colours for A-F supergiants may not be appropriate if the stars
suffer from intrinsic absorption.
Therefore a detailed spectroscopic analysis, including model fits for abundance determination, seems instrumental in deriving the evolutionary status of the YHGs. So far, such an analysis has only been conducted for the LBV/A3 Ia+ W243, which shows very clear signs of heavy element processing in its atmosphere. As noted by Crowther et al. (2006a), single star evolutionary models do not reproduce the simultaneous presence of luminous cool supergiants and WR stars in Wd 1. Models including binary evolution fare better in this respect but, as pointed out by Clark et al. (2010), no current model seems able to accommodate the large population of cool supergiants at the estimated age. Understanding the evolutionary relations between the evolved stars in Wd 1 will therefore provide very strong constraints on evolutionary models.
4.6 Spatial distribution
Based on star counts in the infrared, Brandner et al. (2008) found the cluster to be clearly elongated. The diffuse X-ray emission from the cluster shows a similar elongation (Muno et al. 2006), with the major axis at Position Angle
.
In Fig. 10, we
compare the distribution of the OB SG to that of the more evolved
stars. For this latter set (comprising A/F hypergiants,
M supergiants and WR stars), we can be certain of having a
complete sample. The distributions of the two sets are not
significantly different, revealing a very compact core, which contains
more than half the objects of interest. This core measures only
,
with the centre approximately defined by the positions of W27, W29
and W30, and is elongated along the approximate NE-SW line.
In addition, there is a secondary clump to the South, with a
number of objects likely defining a more symmetrical halo. We note,
however, that the division in two clumps is not obvious in either the
diffuse X-ray emission or the infrared star counts. Indeed, Brandner et al. (2008)
place the centre of the cluster in a position very close to WR L,
in the area of lower density of supergiants. This may suggest that
the division in two clumps is not real, but due to a random decrease in
the number of optically bright stars. In such case, the shape of
the cluster, as defined by its supergiant (and WR)
populations would resemble more closely an arc than an elongated
structure.
Some objects, like W228b and W373, are located more than
away
from the putative core centre, hinting at the possibility that
Wd 1 is surrounded by a very extended halo. Though this
possibility has not been explored yet, it is given strong support
by the presence of 3 WR stars likely associated with the
cluster at much higher distances (WR stars N, X and T in
the notation of Negueruela & Clark 2005; Crowther et al. 2006a).
At this level of analysis, we find no strong indication of any
difference in the relative distributions of evolved and unevolved
stars, which could point to an age difference between regions inside
Wd 1. The visually brightest stars seem to be concentrated in the
small core defined above, but, given that neither the less evolved
supergiants (their progenitors) or the WR stars (their
descendants) share this concentration, this may be a random effect.
In view of this, we conclude that the data so far strongly point
to a single, homogeneous age (though some minimal spread, Myr, is allowed) for the whole cluster.
5 Conclusions
Using new classification criteria, developed in Appendix A, we provide spectral types for almost 60 OB supergiants in Wd 1. Only a small fraction of them had previous accurate classifications.
The stars leaving the cluster main sequence form a well populated clump at spectral types O9-B0, displaying a range of luminosities, which likely reflect a difference in initial rotational velocities and, perhaps, formation over a timespan. Sixteen luminous supergiants, with spectral types in the range B1-B4 range span the temperature range between this clump and the three blue hypergiants that bridge the gap with the A/F hypergiants.
After a careful analysis of colour excesses, we find no strong reason
to suspect that the extinction law towards Wd 1 deviates strongly
from the standard, and we attribute the slightly divergent E(B-V) values to the difficulty in obtaining precise B photometry. The measured values of E(V-I) and E(V-R) show that the extinction varies strongly across the face of the cluster, with average values implying
.
This value is fully consistent with the
0.03 derived by Brandner et al. (2008) and a standard law. The value
found by Crowther et al. (2006a), though subject to much higher uncertainty, is also compatible.
The dereddened magnitudes of the OB supergiants support a distance to Wd 1 similar to that found by Crowther et al. (2006a) from the infrared magnitudes of WR stars, namely DM=13.5 (d=5.0 kpc).
With this distance modulus, the intrinsic magnitudes of
OB supergiants correspond closely to their spectral types
according to typical calibrations. The shorter DM=13.0 (d=4.2 kpc) found by Kothes & Dougherty (2007) is disfavoured (though their error bars reach d=4.9 kpc). The DM=12.75 (d=3.5 kpc) found by Brandner et al. (2008)
is strongly disfavoured, as it would mean that all our
Ia supergiants would have intrinsic magnitudes typical of
Iab supergiants, implying masses
,
very difficult to reconcile with their age derivation of 3.6 Myr.
We suspect this to be due to the systematically younger ages that
pre-MS isochrones indicate (cf. Naylor 2009).
The picture drawn from the distribution in spectral types seems
compatible with a single burst of star formation and the predictions of
evolutionary models until the stars start to move quickly towards lower
temperatures. Further studies, including the use of the population of
unevolved stars to nail down the cluster age and detailed analysis of
the evolved population (which will provide accurate stellar parameters
and element abundances), will undoubtedly result in very firm
constraints on the evolutionary tracks followed by massive stars after
they leave the main sequence. The high binary fraction found amongst
massive stars in Wd 1 (Clark et al. 2008; Ritchie et al. 2009a)
will likely allow a better understanding of the role that binarity
plays in this evolution. Furthermore, characterisation of binary
properties (frequency, mass ratio, period distribution, etc.) in
the homogeneous massive star population of Wd 1 can provide strong
constraints on the formation mechanism of massive stars in such dense
environments, as the different formation mechanisms proposed will predict different
outcomes (Zinnecker & Yorke 2007, for a review). Long-term spectroscopic monitoring of binaries in the cluster is underway (Ritchie et al. 2009a), and will deliver some of the observational characteristics.
We thank Lucy Hadfield for help with the 2004 observations and Dr. Amparo Marco for participating in other runs. We also thank Antonio Floría for help with the artwork in the finder. Finally, we thank the referee, Michaël De Becker, for helpful comments. This research has been funded by grants AYA2008-06166-C03-03 and Consolider-GTC CSD-2006-00070 from the Spanish Ministerio de Ciencia e Innovación (MICINN). J.S.C. acknowledges the support of an RCUK fellowship. This research has made use of the Simbad database, operated at CDS, Strasbourg (France).
Appendix A: Spectral classification of OB supergiants in the red
A.1 Historical introduction
OB stars have spectra characterised by strong Balmer and He lines.
Metallic lines are few and weak, except in the range O9-B2, especially
in main sequence stars. The blue range concentrates most of the salient
spectral features and spectral classification has been developed using
features in the
3900-4700 range (e.g., Walborn & Fitzpatrick 1990; Walborn 1971). The red part of the spectrum
contains fewer features and has generally been ignored, except for H
,
considered a good tracer of mass loss. An overview of features in the
5400-6600 Å range is
presented by Walborn (1980),
together with a spectral atlas based on photographic spectrograms.
High-quality digital spectrograms in this range of a few selected
objects are presented in Walborn & Howarth (2000).
Further to the red, atmospheric features become a complication.
There is, however, an important window, free from atmospheric
features, in the
8300-8900 range. Andrillat et al. (1995) present spectra of early-type stars in the
8375-8770
range, concluding that supergiants can be distinguished from main
sequence stars from the shape of the Paschen lines. According to these
authors, stars earlier than B3 cannot be classified in this
region. Higher
resolution spectra were presented by Munari & Tomasella (1999). Their spectral atlas covers the
8480-8750 range at R=20 000, but little attention is paid to early type stars. Munari & Tomasella (1999)
find some degeneracy between luminosity class and rotational speed and
conclude that O-type stars cannot be classified at all with this
limited range.
Caron et al. (2003) studied quantitative classification criteria, using intermediate-resolution spectra in the
8400-8900
range for stars with spectral types between O9 and B5. They
found that the lines are always broader in dwarfs than in supergiants.
In addition, the equivalent widths of most lines increase with
advancing spectral type. Based on these findings, they developed a
method for approximate classification based on line ratios. This
approach was followed in main, where the grid was extended by using
synthetic spectra and the validity of the
classifications was checked against spectra of stars of known spectral
types (see Appendix A in main).
Quantitative analysis of features in the red region have hardly been reported. The only exceptions are C II 6578 Å, Si II 6347 Å and Ne I 6402 Å, included by Lennon et al. (1993) in their analysis of features seen in B-type supergiants. In addition, Davies et al. (2005) present an atlas of luminous supergiants in this range.
A.2 Data used
In an attempt to improve our knowledge of the behaviour of features
in the red and far red regions, we have collected spectra of
OB stars in this range from a number of sources. The STELIB
library
(Le Borgne et al. 2003) contains stellar spectra at
.
The data cover the whole optical range, but the number of OB supergiants observed is small. The library by Cenarro et al. (2001) covers the
8350-8900 range at better spectral resolution, but, being conceived to study the Ca II triplet, contains few early-type stars. The more recent MILES library (Sánchez-Blázquez et al. 2006), which includes more early-type stars, only extends until 7500 Å.
The main sources of data have been the Indo-US library (Valdes et al. 2004), which includes spectra in the range
3460-9460 at intermediate resolution and the UVES Paranal Observatory Project (ESO DDT Program ID 266.D-5655) spectra (Bagnulo et al. 2003). The UVES POP spectra have excellent resolution
and SNR. Unfortunately, as the data were taken as part of a
poor weather backup programme, the red sections are generally
affected by very strong atmospheric features. Moreover,
the spectra present a gap in the
8540-8660 interval, due to the configurations used.
In all, the spectra represent a rather complete, if heterogeneous, sample of B-type luminous stars. The O subtypes are more sparsely sampled.
A.3 Results
In spite of the scarcity of spectral features in the red spectra of
OB stars, several criteria can be used for spectral
classification. Unfortunately, most of these criteria are sensitive to
both spectral type and luminosity, but by considering the whole
spectrum in the
6000-9000
range and combining several criteria, we can narrow the spectral range
for a given supergiant spectrum generally down to half a spectral
subtype. The classification of dwarf stars is much less accurate.
In what follows, we will concentrate on the features used to
classify the supergiants seen in Wd 1.
A.3.1 Classification in the I-band
Criteria for the classification of O9-B5 stars in this range have been laid down by Caron et al. (2003). They base their classification in the relative strengths of Paschen lines. The best temperature criteria seem to be the EW(Pa 16+C III)/EW(Pa 11) or EW(Pa 15)/EW(Pa 11) ratios, even though He I 8850 Å is blended with Pa 11 at moderate resolutions. The ratio FWHM(Pa 13)/FWHM(He I 8779 Å)
is a good luminosity criterion at the resolution they use.
Unfortunately, in the spectra of stars in Wd 1, suffering
from heavy extinction, there seems to be a complex system of diffuse
interstellar bands. The 8620 Å band is sharp and narrow. Munari et al. (2008) has reported an excellent correlation between its strength and reddening up to rather high reddenings, at least
.
However, at the much higher reddening of Wd 1, this feature
is contaminated by neighbouring ones. There is a broad, relatively
shallow feature, perhaps similar in shape to the 4430 Å DIB,
centred around 8648 Å. This feature is blended with a He I 8653 Å line, weakly seen in many spectra of B-type stars in Caron et al. (2003).
In addition, there appears to be a global depression of the continuum in the whole range 8540-8660 Å. The actual nature of this depression is difficult to decide, but it has a strong effect on continuum normalisation. Treating it as a single feature produces an awkward shape for the continuum and results in a wrong sequence of strengths for the Paschen lines. In view of this, for the purposes of this paper, we have normalised the spectrum as if the continuum around 8610 Å were not affected by this broad depression (effectively assuming that there are two such depressions, one on each side of 8610 Å) and we have normalised the spectra taking reference points in the continuum at 8520, 8610 and 8690 Å. This procedure results in a decrease of the strength of the Paschen lines as we move up the sequence and it is hence taken to be approximately correct. However, it is only an approximation and we assume that the equivalent widths of Pa 13, 14 and 15 cannot be measured with accuracy. Because of this, we are forced to try to define a morphological classification scheme.
Several He I lines are seen in the I-band
spectra of B-type stars. Though never near as prominent as the Paschen
lines, they are much better defined in supergiants, showing maximum
strength at B2. In dwarf stars, He I lines
are always weak and only seen in the O8-B2 range (perhaps visible in
high-SNR spectra of B3 V slow rotators). In giants, they are
visible up to B4-5, depending on
.
In supergiants, they are seen down to B6 or even later if the SNR is very good.
![]() |
Figure A.1: Luminosity sequence at B3. The unlabelled spectrum at the top is W70 (B3 Ia). All the other spectra have been taken from the Indo-US library. Note the strengthening and sharpening of He I and N I lines with increasing luminosity and the changing Pa 18/O I 8446 Å ratio. The spectrum of W70 is affected by the strong interstellar features mentioned in the text. |
Open with DEXTER |
![]() |
Figure A.2: Spectral sequence of high-luminosity supergiants. Spectra are taken from Cenarro et al. (2001) and have only moderate resolution and occasionally low SNR. Note the increase of N I lines with advancing spectral type and the sharp maximum of the He I around B2. Note also that the lines marked above the top spectrum are those seen in B-type spectra and do not match those on the A0 Ia spectrum. |
Open with DEXTER |
The O I 8446 Å line has a strong dependence on both spectral type and luminosity. As shown in Fig. A.1,
at a given spectral type, the ratio with the neighbouring Pa 18
(8437 Å) decreases slowly with increasing luminosity. Figure A.2,
on the other hand, shows how the same ratio increases with
spectral type at a given luminosity. To make things worse,
the shape of the line depends strongly on the rotational velocity.
This can be easily seen by comparing
the spectrum of HD 120315 (B3 V,
)
and HD 160762 (B3 IV and a very slow rotator; see Abt et al. 2002). In any case, O I 8446 Å is first seen at B2
in dwarf stars and starts to appear on the wing of Pa 18 at B1.5 in supergiants.
An important diagnostic for B3 is the appearance of N I lines.
They are weak at this spectral type, but quickly become stronger at
later types, becoming prominent in supergiants after B5. These
lines are not seen in dwarf stars. They are not seen in most spectra of
luminosity class III objects, even the high-resolution
UVES spectra. They are clearly visible in the few luminosity
class II spectra available (including the B3 II star in
Fig. A.1), and so it is reasonable to expect that they may appear weakly in some giants with low
.
In fact, they are weakly visible in the spectrum from Andrillat et al. (1995) of HD 186568 (B8 III), which is a very slow rotator (
;
Abt et al. 2002).
![]() |
Figure A.3: I-band spectra of O- and early B-type stars. These spectra from the Indo-US library have had the telluric features removed and allow the study of the behaviour of He II 8238 Å. Note how this line clearly identifies O-type stars. Note also the much higher number of Paschen lines seen in supergiants at a given spectral type. Finally, the C III 8500 Å line is an excellent indicator of late O-type stars. |
Open with DEXTER |
As discussed in main, O-type stars can be easily identified by the presence of He II 8238 Å. Unfortunately, this line lies in the middle of a strong atmospheric band. When telluric features are accurately removed, He II 8238 Å can be readily identified (Fig. A.3). Then it is visible up to at least O9.5, though it may be difficult to locate in fast rotating dwarfs. When the telluric features cannot be removed, as in the UVES POP spectra, it is almost impossible to see, though it may be guessed in the spectra of early and mid O-type stars. Based on the few spectra available, this line may show some dependence on spectral type, being weaker in O8-9 stars. No strong dependence on luminosity class can be identified.
The second important marker of O-type stars is C III 8500 Å. This line almost coincides with Pa 16 (8502 Å) in wavelength. In O6-7 dwarfs, where Pa 16 is hardly seen, it appears as a weak narrow line (Fig. A.3). In O8-B0 stars it can be noticed as a important strengthening of Pa 16 in comparison with Pa 15 and Pa 17. This strengthening stops being noticeable around B0.5, in line with the behaviour of C III lines in the blue. As other C lines, this might be an unreliable tracer in stars with CNO anomalies, though we lack appropriate spectra to test this issue.
A.3.2 Classification in the red region
Spectral features in the red region are scarce in OB stars. Many dwarfs show only H
and the He I 6678 & 7065 Å lines. Supergiants present a few other interesting features, notably in B-types.
There are two He II lines present in O-type spectra (a third one, He II 6560 Å, cannot be separated from H). Unfortunately, He II 6527 Å coincides with a strong
DIB and cannot be used for classification. He II 6683 Å starts to be seen as a weak inflection on the wing of He I 6678 Å
in high-SNR spectra of O9 stars, and it becomes
stronger at earlier spectral types. However, a clear dependence on
spectral type cannot be drawn from the few spectra available (Fig. A.4). The ratio He I 6678 Å/He II 6683 Å
cannot be used to determine spectral type. Indeed, from the four stars
with spectral type O6-6.5, it would seem to depend more
strongly on luminosity.
A clear marker of high luminosity in O-type stars is the presence of the Si IV 6668, 6701 Å lines in emission. These are ``wind'' or selective emission lines, due to non-LTE effects in an extended atmosphere. They are seen in luminous supergiants earlier than O9. We lack information on their behaviour in early O-types. The Si IV lines in the blue part of the spectrum go into emission at much earlier spectral types (Walborn et al. 2002).
![]() |
Figure A.4:
Spectral features seen around H |
Open with DEXTER |
![]() |
Figure A.5:
Spectral features seen around H |
Open with DEXTER |
Moving to later spectral types, we find another interesting ``wind'' feature, the C II 7231,
7236 Å doublet. Unfortunately, this feature lies in the middle of
an atmospheric band, but, being in emission, is easily
identifiable. This feature is visible between O9.7 and B2.
Its strength is clearly correlated to that of H emission,
though there may be some dependence on spectral type, as well,
with stronger features being seen in the B0.5-1 range. It is
restricted to stars with heavy mass loss, and so generally only appears
in luminosity class Ia supergiants.
The behaviour of H
is similar. This line is a good tracer of mass loss (Leitherer 1988). It tends to be in emission in luminosity class Ia supergiants (as shown in Fig. A.5)
and appears normally in absorption in luminosity class Ib stars.
Luminosity class Iab supergiants occupy a middle ground, with H
weakly in absorption or neutralised on many occasions, but in emission
or strong absorption in other cases. There are many exceptions to this
general rule (see more examples in Davies et al. 2005, Appendix A). In many cases, variable H
emission is taken as evidence for binarity (e.g., Thaller 1997), but monitoring of a few luminous OB supergiants has shown that important changes can happen on very short timescales (Morel et al. 2004). This behaviour has also been observed amongst the brightest OB supergiants in Wd 1 (Clark et al. 2010).
Table A.1: Summary of features useful for spectral classification between O4 and B9 in the 6300-9000 Å range.
The shape of H
in emission has some dependence on spectral type. In B-type
supergiants, it appears as a P-Cygni profile, sometimes
superimposed on a broader plinth. The absorption trough
becomes weaker around B1-2 and tends to disappear completely.
B0-0.5 supergiants generally show a strong single peak. O-type
supergiants tend to have more complex features, with more than one
peak. This is complicated by the presence of the He II 6560 Å line in absorption.
Emission is weaker for late-B supergiants, which generally have weak
P-Cygni profiles, but there are also many exceptions. For example,
the B8 Ia supergiant HD 199478 can show a strong H single peak emission, though this line is variable (Markova & Valchev 2000). The most luminous hypergiants may also display strong symmetric peaks. For example HD 32034 (B8-9 Ia+) or HD 269781 (A2 Iae) in the catalogue of Le Borgne et al. (2003) do, but HD 33579 (A3 Ia+) and HD 223385 (A3 Ia+)
display a weak absorption trough superimposed on the strong emission
peak (note that the extremely high luminosity of all these stars,
except HD 223385, can be
confirmed, as they are members of the LMC).
The O I 7774 Å triplet is a very good luminosity indicator. Calibrations of its strength against luminosity exist for A-G stars (e.g., Arellano Ferro et al. 2003), but its behaviour has not been tabulated in B-type stars. The lines are barely visible in B1 supergiants at moderate resolution, but quickly grow in strength with advancing spectral type. They are seen in dwarfs from B2-3, depending on rotational velocity.
The C II 6578, 6582 Å doublet is
generally not seen in MS B-type stars, where it is very weak and easily
masked by high rotation or low SNR. It is present in
B2-B5 stars of moderate luminosity and in most B-type supergiants (Walborn 1980).
As it is clearly seen in many luminosity class IV stars, we
suspect that it may be seen in MS stars with very low
.
At high SNR, it is weakly visible in B0.5 supergiants.
It clearly appears in B0.7 supergiants and its strength peaks
around B3 (Lennon et al. 1993).
The lines are visible until B8, and also in some B9 supergiants,
with a clear dependance on luminosity. As seen in Fig. A.5,
their strength is not monotonically correlated to spectral type amongst
luminosity class Ia supergiants. There seems to be some degree of
anticorrelation between the strength of these features and those
of N II, suggesting that differences in
CNO abundances play a role in their relative strength, as is
seen in features further to the blue (Walborn & Howarth 2000).
There are two N II lines in the range showed in Fig. A.5, which are only visible in supergiants. N II 6482 Å appears weakly in B1 supergiants, is rather strong at B2 and becomes weak again at B3, disappearing at later spectral types. Its dependence on temperature is very similar to that of N II lines in the blue range, such as N II 4601 Å, tabulated by Lennon et al. (1993). N II 6610 Å is rather weaker, and has the same temperature dependence. As shown by Lennon (1993), these two lines are only prominent in B2 Ia supergiants. However, N-enhanced stars of similar spectral types may also show relatively strong features (Fig. A.5). Another N II line behaving similarly is N II 6380 Å (Walborn 1980).
The Ne I 6402 Å line is seen in several of the spectra. Its behaviour was tabulated by Lennon et al. (1993). The line is visible from B1 to B9, and strongest at B4-5, but it does not seen to depend on luminosity subclass amongst supergiants. A weaker line, Ne I 6506 Å, is seen in the spectrum of HR Car, which is classified B2 (Nota et al. 1997). The Si II 6347 Å line was also tabulated by Lennon et al. (1993). It is hardly visible at B2, but increases its strength very quickly, becoming prominent at B3 and growing in strength towards later spectral types. The neighbouring Si II 6371 Å behaves similarly. Features further to the blue are discussed by Walborn (1980).
A.4 Summary and outlook
The results presented here show that classification of early-type stars is possible using only red spectra. A summary of features useful for classification is presented in Table A.1. The classifications are not as accurate as those using blue spectra, but likely comparable to classifications based on K-band spectra. Combination of red spectra with near-IR spectra offers good prospects to classify rather accurately obscured early-type stars. The limited spectral range offered by GAIA does not allow accurate spectral classification, but the situation is not as desperate as suggested by Munari & Tomasella (1999). As seen in Fig. 6, even O-type stars can be approximately classified in that range, at high resolution and signal-to-noise ratio.
Further improvement on classification and a more thorough understanding of some of the issues raised here may be obtained by a systematic study of MK standards and stars with accurate spectral types.
References
- Abt, H. A., Levato, H., & Grosso, M. 2002, ApJ, 573, 359 [NASA ADS] [CrossRef] [Google Scholar]
- Andrillat, Y., Jaschek, C., & Jaschek, M. 1988, A&AS, 112, 475 [Google Scholar]
- Arellano Ferro, A., Giridhar, S., & Rojo Arellano, E. 2003, RMxAA, 39, 3 [Google Scholar]
- Bagnulo, S., Cabanac, R., Jehin, E., et al. 2003, Messenger, 114, 10 [Google Scholar]
- Bonanos, A. Z. 2007, AJ, 133, 2696 [NASA ADS] [CrossRef] [Google Scholar]
- Brandner, W., Clark, J. S., Stolte, A., et al. 2008, A&A, 478, 137 [NASA ADS] [CrossRef] [EDP Sciences] [Google Scholar]
- Caron, G., Moffat, A. F. J., St-Louis, N., et al. 2003, AJ, 126, 1415 [NASA ADS] [CrossRef] [Google Scholar]
- Clark, J. S., & Negueruela, I. 2004, A&A, 413, L15 [NASA ADS] [CrossRef] [EDP Sciences] [Google Scholar]
- Clark, J. S., Negueruela, I., Crowther, P. A., & Goodwin, S. P. 2005, A&A, 434, 949 (C05) [NASA ADS] [CrossRef] [EDP Sciences] [Google Scholar]
- Clark, J. S., Muno, M. P., Negueruela, I., et al. 2008, A&A, 477, 147 [NASA ADS] [CrossRef] [EDP Sciences] [Google Scholar]
- Clark, J. S., Ritchie, B. W., & Negueruela, I. 2010, A&A, 514, A87 [NASA ADS] [CrossRef] [EDP Sciences] [Google Scholar]
- Cenarro, A. J., Cardiel, N., Gorgas, J., et al. 2001, MNRAS, 326, 959 [NASA ADS] [CrossRef] [Google Scholar]
- Cox, N. L. J., Kaper, L., Foing, B. H., et al. 2005, A&A, 438, 187 [NASA ADS] [CrossRef] [EDP Sciences] [Google Scholar]
- Crowther, P. A., Hadfield, L. J., Clark, J. S., et al. 2006a, MNRAS, 372, 1407 [NASA ADS] [CrossRef] [Google Scholar]
- Crowther, P. A., Lennon, D. J., & Walborn, N. R. 2006b, A&A, 446, 279 [NASA ADS] [CrossRef] [EDP Sciences] [Google Scholar]
- Davies, B., Oudmaijer, R. D., & Vink, J. S. 2005, A&A, 439, 1107 [NASA ADS] [CrossRef] [EDP Sciences] [Google Scholar]
- Dougherty, S. M., Clark, J. S., Negueruela, I., et al. 2010, A&A, 58, A54 [Google Scholar]
- Draper, P. W., Taylor, M., & Allan, A. 2000, Starlink User Note 139.12, R.A.L. [Google Scholar]
- Eldridge, J. J., Izzard, R. G., & Tout, C. A. 2008, MNRAS, 384, 1109 [NASA ADS] [CrossRef] [Google Scholar]
- van Genderen, A. M. 2001, A&A, 366, 508 [NASA ADS] [CrossRef] [EDP Sciences] [Google Scholar]
- Howarth, I., Murray, J., Mills, D., & Berry, D. S. 1998, Starlink User Note 50.21, R.A.L. [Google Scholar]
- Humphreys, R. M., & McElroy, D. B. 1984, ApJ, 284, 565 [NASA ADS] [CrossRef] [Google Scholar]
- Humphreys, R. M., & Davidson, K. 1994, PASP, 106, 1025 [NASA ADS] [CrossRef] [Google Scholar]
- Kothes, R., & Dougherty, S. M. 2007, A&A, 468, 993 [NASA ADS] [CrossRef] [EDP Sciences] [Google Scholar]
- Le Borgne, J.-F., Bruzual, G., Pelló, R., et al. 2003, A&A, 402, 433 [NASA ADS] [CrossRef] [EDP Sciences] [Google Scholar]
- Leitherer, C. 1988, ApJ, 326, 356 [NASA ADS] [CrossRef] [Google Scholar]
- Lennon, D. J. 1993, Space Sci. Rev. 66, 127 [Google Scholar]
- Lennon, D. J., Dufton, P. L., & Fitzsimmons, A. 1993, A&AS, 97, 595 [Google Scholar]
- Markova, N., & Valchev, T. 2000, A&A, 363, 995 [NASA ADS] [Google Scholar]
- Markova, N., & Puls, J. 2008, A&A, 478, 823 [NASA ADS] [CrossRef] [EDP Sciences] [Google Scholar]
- Martins, F., Schaerer, D., & Hillier, J. 2005, A&A, 436, 1049 [NASA ADS] [CrossRef] [EDP Sciences] [Google Scholar]
- Massey, P. 2003, ARA&A, 41, 15 [NASA ADS] [CrossRef] [Google Scholar]
- McErlean, N. D., Lennon, D. J., & Dufton, P. L. 1999, A&A, 349, 553 [NASA ADS] [Google Scholar]
- Mengel, S., & Tacconi-Garman, L. E. 2009, Ap&SS, 324, 321 [Google Scholar]
- Meynet, G., & Maeder, A. 2000, A&A, 361, 101 [NASA ADS] [Google Scholar]
- Morel, T., Marchenko, S. V., Pati, A. K., et al. 2004, MNRAS, 351, 552 [NASA ADS] [CrossRef] [Google Scholar]
- Munari, U., & Tomasella, L. 1999, A&AS, 137, 521 [NASA ADS] [CrossRef] [EDP Sciences] [Google Scholar]
- Munari, U., & Zwitter, T. 1997, A&A, 318, 269 [NASA ADS] [Google Scholar]
- Munari, U., Tomasella, L., Fiorucci, M., et al. 2008, A&A, 488, 969 [NASA ADS] [CrossRef] [EDP Sciences] [Google Scholar]
- Muno, M. P., Law, C., Clark, J. S., et al. 2006, ApJ, 650, 203 [NASA ADS] [CrossRef] [Google Scholar]
- Naylor, T. 2009, MNRAS, 399, 432 [NASA ADS] [CrossRef] [Google Scholar]
- Negueruela, I., & Clark, J. S. 2005, A&A, 436, 541 [NASA ADS] [CrossRef] [EDP Sciences] [Google Scholar]
- Nota, A., Smith, L., Pasquali, A., et al. 1997, ApJ, 486, 338 [NASA ADS] [CrossRef] [Google Scholar]
- Rieke, G. H., & Lebofsky, M. J. 1985, ApJ, 288, 618 [NASA ADS] [CrossRef] [Google Scholar]
- Ritchie, B. W., Clark, J. S., Negueruela, I., & Crowther, P. A. 2009a, A&A, 507, 1585 [NASA ADS] [CrossRef] [EDP Sciences] [Google Scholar]
- Ritchie, B. W., Clark, J. S., Negueruela, I., & Najarro, F. 2009b, A&A, 507, 1597 [NASA ADS] [CrossRef] [EDP Sciences] [Google Scholar]
- Salasnich, B., Bressan, A., & Chiosi, C. 1999, A&A, 342, 131 [NASA ADS] [Google Scholar]
- Sánchez-Blázquez, P., Peletier, R. F., Jiménez-Vicente, J., et al. 2006, MNRAS, 371, 703 [NASA ADS] [CrossRef] [Google Scholar]
- Shortridge, K., Meyerdicks, H., Currie, M., et al. 1997, Starlink User Note 86.15, R.A.L. [Google Scholar]
- Smith, N., Vink, J. S., & de Koter, A. 2004, ApJ, 615, 475 [NASA ADS] [CrossRef] [Google Scholar]
- Thaller, M. L. 1997, ApJ, 487, 380 [NASA ADS] [CrossRef] [Google Scholar]
- Valdes, F., Gupta, R., Rose, J. A., et al. 2004, ApJS, 152, 251 [NASA ADS] [CrossRef] [Google Scholar]
- van der Hucht, K., Herrero, A., & Esteban, C. 2003, A Massive Star Odyssey: From Main Sequence to Supernova, Proc. IAU Symp., 212, held 24-28 June 2001 in Lanzarote, Canary Islands, Spain (San Francisco: ASP) [Google Scholar]
- van Helden, R. 1972, A&A, 19, 388 [NASA ADS] [Google Scholar]
- Vanbeveren, D., Van Bever, J., & Belkus, H. 2007, ApJ, 662, L107 [NASA ADS] [CrossRef] [Google Scholar]
- Walborn, N. R. 1971, ApJS, 23, 257 [NASA ADS] [CrossRef] [Google Scholar]
- Walborn, N. R. 1980, ApJS, 44, 535 [NASA ADS] [CrossRef] [Google Scholar]
- Walborn, N. R., & Fitzpatrick, E. L. 1990, PASP, 102, 379 [NASA ADS] [CrossRef] [Google Scholar]
- Walborn, N. R., & Howarth, I. D. 2000, PASP, 112, 1446 [NASA ADS] [CrossRef] [Google Scholar]
- Walborn, N. R., Howarth, I. D., Lennon, D. J., et al. 2002, AJ, 123, 2754 [NASA ADS] [CrossRef] [Google Scholar]
- Wegner, W. 1994, MNRAS, 270, 229 [NASA ADS] [CrossRef] [Google Scholar]
- Westerlund, B. E. 1987, A&AS, 70, 311 [Google Scholar]
- Zinnecker, H., & Yorke, H. W. 2007, ARA&A, 45, 481 [NASA ADS] [CrossRef] [Google Scholar]
Footnotes
- ... Westerlund 1
- Based on observations collected at the European Southern Observatory, Paranal, Chile (ESO 71.D-0151, 073.D-0327, 081.D-0324).
- ...(+)
- Note that Clark et al. (2010) observe pulsational variability in these objects and speculate that they may induce variations of up to 1 spectral subtype
- ... and -6.9
- Though a few are much fainter. In particular, W55 has -5.6, introducing some doubts about its classification, which is based only on a FLAMES spectrum.
- ... members
- As discussed in Sect. 3, many of the O9 Iab classifications are less reliable than the rest, due to lower resolution or smaller spectral range observed.
- ... lower)
- Note that we lack photometry for such interesting objects as W42a (B9 Ia+), W32 (F5 Ia+) and W243 (LBV/A3 Ia+).
- ... environments
- Note, however, that at an age
Myr, Wd 1 must have already undergone dynamical evolution. Indeed, Brandner et al. (2008) find some evidence for mass segregation, which could partially erase the signature of the formation mechanism.
- ... B2
- The He I 8582.7 & 8776.7 Å lines were first described by van Helden (1972), who discusses their sensitivity to luminosity.
All Tables
Table 1:
Sample of OB supergiants in Wd 1, with
photometry from main (when available) and spectral typesa.
Table A.1: Summary of features useful for spectral classification between O4 and B9 in the 6300-9000 Å range.
All Figures
![]() |
Figure 1: I-band spectra of two of the visually brightest B supergiants in Wd 1, tentatively classified as hypergiants in main. The top spectrum corresponds to W42a, which we classify as B9 Ia(+), based on the features presented here. Note that the Ca II triplet lines are already comparable in strength to Pa 13, 15 and 16. The bottom spectrum corresponds to W33, B5 Ia(+). Note the prominent P-Cygni profile in O I 8446 Å and the emission features at 8913 and 8927 Å, seen in the spectra of all the mid-B supergiants in Wd 1. |
Open with DEXTER | |
In the text |
![]() |
Figure 2:
H |
Open with DEXTER | |
In the text |
![]() |
Figure 3: Sequence of I-band spectra of blue supergiants in Wd 1, showing the evolution of the main features. Note the disappearance of N I features between Pa 12 and Pa 13 and O I 8446 Å around B2 (compare to Fig. 1, where lines are identified) and the development of Pa 16, which shows the presence of a strong C III line for stars B0 and earlier. |
Open with DEXTER | |
In the text |
![]() |
Figure 4:
Sequence of red spectra of blue supergiants in Wd 1. The shape of H |
Open with DEXTER | |
In the text |
![]() |
Figure 5: I-band spectra of three transitional objects with emission lines. W44 (=WR L) is a late Wolf-Rayet star, presenting emission components in all Paschen lines. W13 is an eclipsing binary. One of the components is the emission-line object. W5 shows no emission lines in the I-band in spite of strong emission features in the red (see Fig. 2). |
Open with DEXTER | |
In the text |
![]() |
Figure 6: Sequence of FLAMES/GIRAFFE I-band spectra of some of the earliest spectral types observed in our sample. The bottom two spectra have lower SNR, but the Paschen lines are clearly seen to have much broader wings than the more luminous objects and display much weaker C III 8500 Å. Note the difficulty in defining the continuum around the area of the DIBs at 8620 Å and 8648 Å, in spite of the high resolution. The spikes seen in some spectra are badly removed sky lines. |
Open with DEXTER | |
In the text |
![]() |
Figure 7: Correlation between the E(V-I) and E(R-I) colour excesses for OB supergiants in Wd 1. Individual excesses have been derived from the photometry listed in Table 1 and the intrinsic colour calibration. |
Open with DEXTER | |
In the text |
![]() |
Figure 8: Observational HR diagram for Wd 1. The absolute magnitudes, MV, are estimated from the observed I, dereddened using E(V-I) under the assumption of a standard law and corrected with the tabulated (V-I)0 for the spectral type from Wegner (1994). Circles represent objects classified as Ia supergiants; squares are Iab classifications, diamonds are Ib objects and triangles are stars with lower luminosity. |
Open with DEXTER | |
In the text |
![]() |
Figure 9:
Semi-empirical HR diagram for bright OB supergiants in Wd 1.
The solid lines represent the Geneva isochrones without rotation for
|
Open with DEXTER | |
In the text |
![]() |
Figure 10:
R-band finder (
|
Open with DEXTER | |
In the text |
![]() |
Figure A.1: Luminosity sequence at B3. The unlabelled spectrum at the top is W70 (B3 Ia). All the other spectra have been taken from the Indo-US library. Note the strengthening and sharpening of He I and N I lines with increasing luminosity and the changing Pa 18/O I 8446 Å ratio. The spectrum of W70 is affected by the strong interstellar features mentioned in the text. |
Open with DEXTER | |
In the text |
![]() |
Figure A.2: Spectral sequence of high-luminosity supergiants. Spectra are taken from Cenarro et al. (2001) and have only moderate resolution and occasionally low SNR. Note the increase of N I lines with advancing spectral type and the sharp maximum of the He I around B2. Note also that the lines marked above the top spectrum are those seen in B-type spectra and do not match those on the A0 Ia spectrum. |
Open with DEXTER | |
In the text |
![]() |
Figure A.3: I-band spectra of O- and early B-type stars. These spectra from the Indo-US library have had the telluric features removed and allow the study of the behaviour of He II 8238 Å. Note how this line clearly identifies O-type stars. Note also the much higher number of Paschen lines seen in supergiants at a given spectral type. Finally, the C III 8500 Å line is an excellent indicator of late O-type stars. |
Open with DEXTER | |
In the text |
![]() |
Figure A.4:
Spectral features seen around H |
Open with DEXTER | |
In the text |
![]() |
Figure A.5:
Spectral features seen around H |
Open with DEXTER | |
In the text |
Copyright ESO 2010
Current usage metrics show cumulative count of Article Views (full-text article views including HTML views, PDF and ePub downloads, according to the available data) and Abstracts Views on Vision4Press platform.
Data correspond to usage on the plateform after 2015. The current usage metrics is available 48-96 hours after online publication and is updated daily on week days.
Initial download of the metrics may take a while.