Issue |
A&A
Volume 516, June-July 2010
|
|
---|---|---|
Article Number | A69 | |
Number of page(s) | 23 | |
Section | Interstellar and circumstellar matter | |
DOI | https://doi.org/10.1051/0004-6361/201014136 | |
Published online | 30 June 2010 |
Circumstellar molecular composition of the oxygen-rich AGB star IK Tauri
II. In-depth non-LTE chemical abundance analysis
L. Decin1,2, - E. De Beck1
- S. Brünken3,4 - H. S. P. Müller4,5
- K. M. Menten5 - H. Kim5,6
- K. Willacy7 - A. de Koter2,8
- F. Wyrowski5
1 - Department of Physics and Astronomy, Institute of Astronomy,
K.U.Leuven, Celestijnenlaan 200D, 3001 Leuven, Belgium
2 - Sterrenkundig Instituut Anton Pannekoek, University of Amsterdam,
PO Box 9429, 1090 CE Amsterdam, The Netherlands
3 - Harvard-Smithsonian Center for Astrophysics, 60 Garden Street,
Cambridge, MA 02138, USA
4 - I. Physikalisches Institut, Universität zu Köln, Zülpicher Street
77, 50937 Köln, Germany
5 - Max-Planck Institut für Radioastronomie, Auf dem Hügel 69, 53121
Bonn, Germany
6 - MPI für Gravitationsphysik, Calinstr. 38, 30167 Hannover, Germany
7 - Jet Propulsion Laboratory, California Institute of Technology,
Pasadena, CA 91109, USA
8 - Astronomical Institute, Utrecht University, Princetonplein 5, 3584
CC Utrecht, The Netherlands
Received 26 January 2010 / Accepted 30 March 2010
Abstract
Context. The interstellar medium is enriched
primarily by matter ejected from evolved low and intermediate mass
stars. The outflow from these stars creates a circumstellar envelope in
which a rich gas-phase chemistry takes place. Complex shock-induced
non-equilibrium chemistry takes place in the inner wind envelope,
dust-gas reactions and ion-molecule reactions alter the abundances in
the intermediate wind zone, and the penetration of cosmic rays and
ultraviolet photons dissociates the molecules in the outer wind region.
Aims. Little observational information exists on the
circumstellar molecular abundance stratifications of many molecules.
Furthermore, our knowledge of oxygen-rich envelopes is not as profound
as for the carbon-rich counterparts. The aim of this paper is therefore
to study the circumstellar chemical abundance pattern of
11 molecules and isotopologs (12CO, 13CO,
SiS, 28SiO, 29SiO, 30SiO,
HCN, CN, CS, SO, SO2) in the oxygen-rich evolved
star IK Tau.
Methods. We have performed an in-depth analysis of a
large number of molecular emission lines excited in the circumstellar
envelope around IK Tau. The analysis is done based on a
non-local thermodynamic equilibrium (non-LTE) radiative transfer
analysis, which calculates the temperature and velocity structure in a
self-consistent way. The chemical abundance pattern is coupled to
theoretical outer wind model predictions including photodestruction and
cosmic ray ionization. Not only the integrated line intensities, but
also the line shapes are used as diagnostic tool to study the envelope
structure.
Results. The deduced wind acceleration is much
slower than predicted from classical theories. SiO and SiS are depleted
in the envelope, possibly due to the adsorption onto dust grains. For
HCN and CS a clear difference with respect to inner wind
non-equilibrium predictions is found, either indicating uncertainties
in the inner wind theoretical modeling or the possibility that HCN and
CS (or the radical CN) participate in the dust
formation. The low signal-to-noise profiles of SO and CN prohibit an
accurate abundance determination; the modeling of high-excitation SO2 lines
is cumbersome, possibly related to line misidentifications or problems
with the collisional rates. The SiO isotopic ratios (29SiO/28SiO
and 30SiO/28SiO) point
toward an enhancement in 28SiO compared to
results of classical stellar evolution codes. Predictions for H2O emission
lines in the spectral range of the Herschel/HIFI mission are performed.
Key words: astrochemistry - molecular processes - radiative transfer - submillimeter: stars - stars: AGB and post-AGB - stars: mass-loss
1 Introduction
Asymptotic giant branch (AGB) stars are well known to release
significant amounts of gas and dust in the interstellar medium via
(copious) mass loss. This mass loss dominates the evolution of the star
and ultimately, when the stellar envelope is exhausted, causes the star
to evolve off the AGB into the post-AGB phase. The outflow from these
evolved stars creates an envelope, which fosters gas-phase chemistry.
The chemical complexity in circumstellar envelopes (CSEs) is thought to
be dominated by the elemental carbon to oxygen ratio: oxygen-rich
M-stars have a C/O ratio less than unity, carbon-rich C-stars
have C/O > 1, and for S-stars C/O is 1.
Many papers have focused on the CSEs of carbon-rich stars in
which a rich chemistry takes place. This is reflected by the detection
of over 60 different chemical compounds, including unusual
carbon chain radicals in the CSE of IRC +10216, the
prototype of carbon stars (e.g. Cernicharo
et al. 2000). In contrast, only
10-12 compounds have been identified in the chemically most
interesting oxygen-rich evolved stars, like IK Tau
and VY CMa (e.g. Ziurys et al. 2007).
The first observations of carbon-bearing molecules (other than CO) in
oxygen-rich AGBs were somewhat unexpected (e.g. Jewell et al. 1986;
Deguchi
& Goldsmith 1985). Nowadays, the formation
of carbon molecules is thought to be the result of shock-induced
non-equilibrium chemistry in the inner circumstellar envelope (e.g. Duari et al. 1999)
and/or a complex chemistry in the outer envelope triggered by the
penetration of cosmic rays and ultra-violet radiation (e.g. Willacy &
Millar 1997). Recently, a new interstellar molecule,
PO (),
has been detected toward the envelope of the oxygen-rich supergiant
VY CMa (Tenenbaum
et al. 2007). Phosphorus monoxide is the first
interstellar molecule detected that contains
a P-O bond, a moiety essential in
biochemical compounds. It is also the first new species
identified in an oxygen-rich, as opposed to a carbon-rich,
circumstellar envelope. These results suggest that oxygen-rich shells
may be as chemically diverse as their carbon counterparts.
Circumstellar molecules have been extensively observed both in the form of surveys of a single molecular species and in the form of searches for various molecular species in a limited number of carefully selected sources. The aim of these studies was to derive (i) the mass-loss rate (from CO rotational lines) or (ii) molecular abundances. For this latter purpose, several methods exist, each with varying degrees of complexity. (1.) For example, Bujarrabal et al. (1994) and Olofsson et al. (1998) showed that simple molecular line intensity ratios, if properly chosen, may be used to study the chemical behavior in CSEs. The use of line intensity ratios has the advantage of requiring no assumptions about a circumstellar model, but it also limits the type of conclusions that can be drawn. (2.) Several authors have derived new constraints on chemical and circumstellar models based on the simplifying assumption of unresolved optically thin emission thermalized at one excitation temperature (e.g. Bujarrabal et al. 1994; Lindqvist et al. 1988; Kim et al. 2010; Omont et al. 1993). (3.) Later on, observations were (re)-analyzed based on a non-LTE (non-local thermodynamic equilibrium) radiative transfer model (e.g. Teyssier et al. 2006; Bieging et al. 2000; Schöier et al. 2007a). In this study we will go one step further and abandon or improve few of the assumptions still made in many non-LTE analyses.
- 1.
- Quite often, the temperature structure - being the most important factor determining the molecular line excitation - is approximated with a powerlaw (e.g. Teyssier et al. 2006; Bieging et al. 2000). Effects of different heating and cooling mechanisms are hence not properly taken into account. For instance, in the outermost parts of the envelope the temperature profile deviates from a power law distribution once the influence of photoelectric heating by the external interstellar radiation field becomes important (e.g. Crosas & Menten 1997; Justtanont et al. 1994; Decin et al. 2006).
- 2.
- The shell is often assumed to expand at a constant velocity (e.g. Bieging et al. 2000; Schöier et al. 2007a). However, for molecular lines primarily formed in the wind acceleration zone, the effect of a non-constant velocity structure on the derived molecular abundance may be significant.
- 3.
- The fractional abundances are estimated to follow an exponential or Gaussian distribution, assuming that the molecules are formed in the inner envelope and are photodissociated or absorbed onto dust grains further out (e.g. Bieging et al. 2000; González Delgado et al. 2003; Schöier et al. 2007a). The effect of extra formation and/or depletion processes in the envelope can hence not be taken into account.
- 4.
- Often, a maximum of two molecules (CO and one other) is analyzed at once (e.g. González Delgado et al. 2003; Schöier et al. 2007a).
- 5.
- Integrated line intensities are often used as a criterion to analyze the circumstellar chemical structure. However, line shapes provide us with strong diagnostic constraints to pinpoint the wind acceleration, which in turn has an influence on the deduced fractional abundances.
The star IK Tau, also known as
NML Tau, was discovered in 1965 by Neugebauer
et al. (1965). It is an extremely red
Mira-type variable with spectral type ranging from M8.1 to M11.2 and a
period around 470 days (Wing
& Lockwood 1973). From dust shell motions detected at
11 m
with the ISI interferometer, Hale et al. (1997)
deduced a distance of 265 pc. This agrees well with the
results of Olofsson
et al. (1998), who computed a distance of
250 pc from integrated visual, near-infrared and IRAS data
using a period-luminosity relation. Estimated mass-loss rates range
from 3.8
10-6
(Neri et al.
1998) to 3
10-5
/yr (González
Delgado et al. 2003). IK Tau's proximity
and relatively high mass-loss rate (for a Mira)
facilitates the observation of molecular emission lines.
In Sect. 2 we present the molecular line observational data used in this paper. Section 3 describes the background of the excitation analysis: the radiative transfer model used, the molecular line data and the theoretical ideas on molecular abundance stratification in the envelope. Section 4 describes the results: we first focus on the velocity structure in the envelope with special attention to the acceleration zone, after which the derived stellar parameters are discussed. Thereafter, the abundance structure for each molecule is derived and compared to the theoretical inner and outer wind predictions and observational results found in the literature. The time variability and SiO isotopic ratios are discussed in Sect. 5 and water line predictions are performed in Sect. 5.3. We end with some conclusions in Sect. 6.
Table 1:
Overview of the molecular line transitions used in this research, with
indication of the frequency, the upper energy level, the telescope, the
main beam half power beam width (HPBW) and main beam
efficienciy (
).
2 Observational data
Part of the observations were obtained from our own observing programs scheduled at the JCMT, APEX and IRAM. These observations and the data reduction are described in Sect. 2.1. Other data are extracted from the literature and summarized briefly in Sect. 2.2. An overview is given in Table 1.
2.1 Observations and data reduction
The 12CO(2-1), 12CO(3-2),
12CO(4-3) and the 13CO(2-1)
observations
were extracted from the JCMT
archive. Additional data with the APEX
12 m telescope were obtained for the 12CO(3-2),
12CO(4-3), 12CO(7-6),
and 13CO(3-2) molecular line transitions. With
the 30 m telescope of the Institut de Radio
Astronomie Millimetrique (IRAM)
molecular line observations were performed in December 2006.
During this observing run, data on the CO(2-1), SiS(8-7), SiS(12-11), SO2(
143,11-142,12), SO2(
43,1-42,2), SO2(
33,1-32,2), SO2(
53,3-52,4), and HCN(3-2)
line transitions were
obtained.
The JCMT and APEX observations were carried out in a position-switching mode. The IRAM observations were done in the wobbler-switching mode with a throw of 60''. The frequency resolution for the JCMT-data equals 0.0305 MHz, for the APEX data it is 0.1221 MHz. The resolution was 1.25 MHz for the 3 mm and 2 mm IRAM observations and 1 MH or/and 4 MHz at 1.3 mm and 1 mm, resulting in a resolution slightly higher than 1 km s-1 for these observations.
The JCMT data reduction was performed with the SPLAT devoted
routines of STARLINK, the APEX and IRAM data were
reduced with CLASS. A polynomial of first order was fitted to
an emission-free region of the spectral baseline and subtracted.
To increase the signal-to-noise ratio, the data were
rebinned to a resolution of 1 km s-1
so that we have at least 40 independent resolution elements
per line profile. The antenna temperature,
,
was converted to the main-beam
temperature (
),
using a main-beam efficiency,
as specified in Table 1. The
absolute uncertainties are
20%.
2.2 Literature data
To have better constraints on the chemical abundance pattern in the wind region around IK Tau, additional data were taken from the literature (see Table 1).
High-quality observations were performed by Kim (2006) with the APEX telescope in Chile during observing periods in November 2005, April 2006 and August 2006 (see also Kim et al. 2010, hereafter referred to as Paper I). In total, 34 transitions from 12 molecular species, including a few maser lines, were detected toward IK Tau.
Schöier et al. (2007a) published the observations of four SiS lines: the (5-4) and (6-5) rotational line transitions were obtained with the Onsala Space Observatory (OSO) telescope, the (12-11) and (19-18) rotational line observations were performed with the JCMT telescope.
The SiO thermal radio line emission from a large sample of M-type AGB stars, including IK Tau, was studied by González Delgado et al. (2003). The SiO(2-1) line transition was obtained with the OSO telescope, the SiO(5-4) and (6-5) transitions with the Swedish ESO Submillimeterwave Telescope (SEST).
The 12CO line data were obtained by Teyssier et al. (2006) with the IRAM and JCMT telescope. The CO(1-0) line was observed by Ramstedt et al. (2008) in December 2003 with the 20 m OSO telescope. Olofsson et al. (1998) reported on the detection of the CS(2-1) line at 98 GHz with the OSO telescope with an integrated intensity of 0.5 K km s-1.
3 Excitation analysis
3.1 Radiative transfer model
The observed molecular line transitions provide information on the thermodynamic and chemical structure in the envelope around IK Tau. The line profiles were modeled with our non-LTE radiative transfer code GASTRoNOoM (Decin et al. 2006). The code (1) calculates the kinetic temperature and velocity structure in the shell by solving the equations of motion of gas and dust and the energy balance simultaneously; then (2) solves the radiative transfer equation in the co-moving frame with the Approximate Newton-Raphson operator as developed by Schönberg & Hempe (1986) and computes the non-LTE level-populations; and finally (3) determines the observable line profile by ray-tracing. For a full description of the code we refer to Decin et al. (2006).
The main assumption of the code is a spherically symmetric wind. The mass-loss rate is allowed to vary with radial distance from the star. The local line width is assumed to be described by a Gaussian and is made up of a microturbulent component with a Doppler width of 1.5 km s-1 and a thermal component, which is calculated from the derived kinetic temperature structure.
Two major updates have been made since the original publication in Decin et al. (2006).
- The code now iterates on steps (1) and (2) to obtain the
kinetic temperature structure in a self-consistent manner from solving
the energy balance equation, where the CO and H2O line
cooling (or heating) are directly obtained from the excitation
analysis, i.e.
(1)
where nl and nu are the level populations in the lower and upper levels participating in the transition at rest frequency, and
and
are the CO-H2 collisional rate coefficients. The cooling rate
(in erg s-1 cm-3) is defined as positive for net cooling. For IK Tau the water line cooling dominates the CO line cooling by more than one order of magnitude in the inner wind region; for regions beyond 1016 cm the CO line cooling dominates over H2O cooling with the adiabatic cooling the dominant coolant agent.
- While the original version of the code approximates the stellar atmosphere with a blackbody at the stellar effective temperature, an additional option is now implemented to use the MARCS theoretical model atmospheres and theoretical spectra (Decin & Eriksson 2007; Gustafsson et al. 2008) to estimate the stellar flux. Molecular species in the CSE, less abundant than CO and with larger dipole moments are primarily excited by infrared radiation from the central star (with the possible exception of HCN, Jura 1983, and H2O, see Sect. 5.3). For CO, the infrared radiation competes with rotational excitation by collisions and by trapped rotational line photons to determine the populations of the rotational levels (Knapp & Morris 1985). For those minor species, the blackbody approximation of the stellar flux may lead to inaccurate absolute intensity predictions on the order of 5 to 20%.

3.2 Molecular line data
In this paper, line transitions of CO, SiO, SiS, CS, CN, HCN, SO, and SO2 will be modeled, and H2O line profile predictions for the Herschel/HIFI instrument will be performed. The molecular line data used in this paper are described in Appendix A.
3.3 Molecular abundance stratification
Theoretical chemical calculations clearly show that the fractional
abundances (relative to H2) vary
throughout the envelope. Chemical processes responsible for the
molecular content are dependent on the position in the envelope (see
Fig. 1).
In the stellar photosphere and at the inner boundary of the
envelope, the high gas density and temperature ensure thermal
equilibrium (TE). The TE is suppressed very close to the photosphere
because of the action of pulsation-driven shocks propagating outwards.
Furthermore the regions of strong shock activity correspond to the
locus of grain formation and wind acceleration. This region is referred
to as the inner envelope (or inner wind) which extends over a
few stellar radii. At larger radii (5 to 100
)
the newly formed dust grains interact with the cooler gas. Depletion or
formation of certain molecular/atomic species may result from this
interaction and these layers are referred to as
the intermediate envelope. This is also the region where parent
molecules, injected in the envelope, may begin to break down, and
daughter molecules are formed. At still larger radii
(>100
),
the so-called outer envelope is penetrated by ultraviolet
interstellar photons and cosmic rays resulting in a chemistry governed
by photochemical processes.
Because our modeling results will be compared to chemical abundance predictions in the outer envelope by Willacy & Millar (1997) and in the inner envelope by Duari et al. (1999) and Cherchneff (2006), we first briefly describe these studies in Sects. 3.3.1 and 3.3.2 respectively. In Sect. 3.4 we discuss how we have implemented this knowledge in the modeling of the molecular line transitions.
![]() |
Figure 1: Schematic overview (not to scale) of the circumstellar envelope (CSE) of an oxygen-rich AGB star. Several chemical processes are indicated at the typical temperature and radial distance from the star in the envelope where they occur. The nomenclature as used in this paper is given. |
Open with DEXTER |
3.3.1 Chemical stratification in the outer envelope
The chemistry in the outer envelope of IK Tau has
been modeled by Willacy
& Millar (1997). This chemical kinetic model aims at
deriving the abundance stratification in the outer envelope (between
2 1015
and 2
1018 cm).
The chemistry is driven by a combination of cosmic-ray ionization and
ultraviolet radiation and starts from nine parent species injected into
the envelope (see Table 2). The CSE
of IK Tau was assumed to be spherically symmetric with a
constant mass-loss rate and a constant expansion velocity
of 19 km s-1. The
temperature was described by a power law
![]() |
(2) |
with r0 = 2




Table 2: The fractional abundance (relative to H2) taken for the parent species by Willacy & Millar (1997).
![]() |
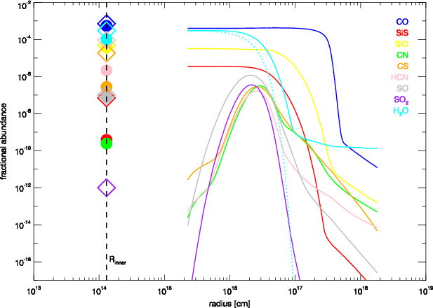
Figure 2:
Theoretically predicted molecular abundance stratification in the
envelope of IK Tau. The full lines represent the
results as derived by Willacy
& Millar (1997) for the outer envelope of
IK Tau assuming a mass-loss rate of 1 |
Open with DEXTER |
The model of Willacy & Millar (1997) succeeded in reproducing the observed values of certain species, but failed for some other molecular abundances: the calculated abundance of HCN was too low and the injected abundance of the parent species SiS was about 10 times higher than observed. Duari et al. (1999) noted that the input molecular abundances of some parent species are sometimes questionably high because there exists no observational or theoretical evidence for the formation of these species in the inner and intermediate envelopes of O-rich Miras (see Sect. 3.3.2). More importantly, Duari et al. (1999) showed that HCN should form in the inner envelope or extended stellar atmosphere due to non-equilibrium shock chemistry and may be a parent species injected to the outer envelope. Recent observational studies also indicate that HCN must be formed in the inner envelope (Bieging et al. 2000; Marvel 2005). These results are in contrast to the modeling efforts of Willacy & Millar (1997), where HCN was not yet considered as a parent species.
3.3.2 Chemical stratification in the inner envelope
Carbon-bearing molecules have been identified in the envelopes of many oxygen-rich AGB stars (e.g., Bujarrabal et al. 1994) and it was first thought that the observed carbon species were produced in the outer wind of O-rich stars via photochemical processes. However, Duari et al. (1999) showed that shock-induced non-equilibrium chemistry models predict the formation of large amounts of a few carbon species, like HCN, CS and CO2, in the inner envelope of IK Tau: these molecules are hence formed in the post-shocked layers and are then ejected in the outer wind as ``parent'' species. For some parent species, the non-equilibrium chemistry does not significantly alter the initial photospheric TE abundances. But other species, abundant in the TE photosphere, are quickly destroyed in the outflow by the non-equiblibrium chemistry generated by shocks (e.g., OH, SiS and HS). Again other species (like SO) appear to be absent in the inner regions of the wind, and are thought to be produced by ion-molecule reactions in the photo-dissociation regions of the outer wind.
Cherchneff
(2006) continued the study of shock-induced non-equilibrium
chemistry in the inner wind of AGB stars. She demonstrated
that whatever the enrichment in carbon of the star (i.e. the
C/O ratio), the atomic and molecular content after
the passage of the first shock in the gas layers just above the stellar
photosphere is very much the same, and in many cases totally different
from what would be expected from thermodynamic equilibrium (TE)
calculations. For the oxygen-rich envelope around
TX Cam - which is almost a stellar twin of
IK Tau, but with slightly lower luminosity -- Cherchneff (2006)
found that while e.g. the TE abundance of
HCN (CS) is predicted to be 1.9
10-11
(
2.5
10-11),
the non-TE fractional abundances at 2.5
are predicted to be
9
10-5
(
1.85
10-5).
The fractional abundances derived by Cherchneff (2006)
differ from the abundances of the injected parent molecules in the
study of Willacy
& Millar (1997) (see Table 2 and
Fig. 2):
Willacy &
Millar (1997) did not consider CS and HCN as parent
molecules, and the (injected) abundance of SiS (3.5
10-6)
is much higher than the abundance stratification derived by Cherchneff (2006)
(see their Fig. 8).
3.4 Modeling strategy
3.4.1 Envelope structure as traced by the CO lines
The physical properties of the circumstellar gas, like the temperature,
velocity and density structure, are determined from the radiative
transfer modeling of the multi-transitional (sub)millimetre
CO line observations. Because higher-J lines
are formed at higher temperature, different transitions offer the
possibility to trace different regions in the envelope. The highest
CO energy level traced is the CO
level
at 154.8 K. The available rotational
CO lines
will hence be good tracers for the region beyond
100
,
but they do not put strong constraints on the temperature in the
inner CSE. The upcoming Herschel/HIFI mission will be crucial
in the study of the temperature structure in this inner wind region.
An extensive grid has been calculated with parameters ranging
from 2000 to 3000 K for the stellar temperature
,
from 1
1013
to 6
1013 cm for the stellar radius
,
an inner (dust condensation) radius between 2 and
30
,
distance between 200 and 300 pc, and a constant
mass-loss rate between 1
10-6
and 5
10-5
/yr.
As briefly explained in Sect. 3.1,
a log-likelihood method (Decin et al. 2007)
is used to find the best-fit model and derive
a 95% confidence interval for the model parameters.
The results will be presented in Sect. 4.
3.4.2 Abundance stratification through the envelope
From the descriptions of theoretical abundance estimates in the inner
and outer envelope (Sect. 3.3.1, 3.3.2) it is clear
that there is still some debate about the abundance structure in the
envelope. SiS and HCN were already given as an example, but
other molecules as e.g. CS and SO also pose a problem. This is
illustrated in Fig. 2, where
one notices for a few molecules a significant difference between the
theoretically predicted fractional abundance in the inner envelope by Duari et al.
(1999) and Cherchneff
(2006) and the abundance of the parent molecules injected in
the outer envelope by Willacy
& Millar (1997). One of the big questions still
existing concerns the modifications of the molecular abundances in the
intermediate wind region due to gas-grain reactions. Currently,
no theoretical efforts have been made to model this region in
terms of molecular ``leftovers'' after the dust formation has occurred.
For O-rich envelopes, it is thought that CO, HCN and
CS are quite stable and travel the entire envelope unaltered until they
reach the photo-dissocation region of the outer wind, because these
molecules do not participate in the formation of dust grains like
silicates and corundum (Duari
et al. 1999). In contrast, SiO is
a candidate molecule for depletion in the intermediate wind region due
to the formation of SiO2
(via a reaction with OH) whose condensation product,
silica, is tentatively identified in post-AGB stars (Molster et al.
2002) and is claimed to be the carrier of the 13 m feature in
low mass-loss rate AGB stars (Speck et al. 2000,
but other studies argue that this feature is due to spinel). The
theoretical modeling of Duari
et al. (1999) and Cherchneff (2006)
predict an SiS abundance 2 to 3 orders of
magnitude lower than the observed value, indicating that SiS is
produced in the outer envelope of IK Tau. However,
recent observational results by Decin
et al. (2008b) argue for a formation process in the
inner envelope.
From the above arguments it is clear that we should allow for
some variation in modeling the abundance structure in the envelope.
However, one should also realize that we sometimes only have two
rotational transitions of one isotopolog at our disposal with a
restricted range in excitation temperature. The highest upper level
energy traced is the SiS(20-19) transition at 183 K;
hence none of the studied transitions is sensitive to the abundance in
the inner envelope (R
5
).
In order to use some prior knowledge on the (theoretical)
photo-dissociation rate in the outer regions and to allow for a
depletion or an extra formation process in the intermediate/outer
envelope, we therefore opted to divide the envelope in different
regimes (see also Table 3 and
Fig. 1):
(i) in the dust-free zone (
)
the abundance is constant (
); (ii) between
and
the abundance can decrease/increase from
to
linearly on a log-log scale, where both
and
are free parameters;
(iii) from
onwards, the abundance stratification follows the (photodissociation)
results of Willacy
& Millar (1997) scaled to
at
.
In that way, three parameters (
,
,
and
)
have to be estimated to determine the abundance stratification of
a species.
Table 3: Modeling assumptions of the abundance stratification.
Most studies use the photodissociation results of Mamon et al. (1988) to describe the CO spatial variation in the outer envelope. For other molecules, the abundance pattern is often assumed to be described by a simple Gaussian or expontential distribution (e.g. Bieging et al. 2000; González Delgado et al. 2003; Schöier et al. 2007a). The e-folding radius then describes the photodissociation by ambient UV photons penetrating the dusty envelope or depletion of the molecules from the gas into dust grains in the outflowing stellar wind. That way, however, all molecules are assumed to be created in the extended atmosphere or inner wind region. Moreover, a combination of depletion and photodissociation or extra depletion/formation processes in the intermediate/outer region cannot be captured, and one cannot use the results by Willacy & Millar (1997) describing extra formation of a few molecules by ion-ion reactions in the outer wind region. The methodology outlined above (Table 3) captures these flaws, and may serve to considerably strengthen our knowledge on the abundance stratification in the envelope.
As was already alluded to in the previous paragraph,
the line profiles in this study are not sensitive to a change
in abundance in the inner wind region (
). To assess the
abundance stratification in this region, one either needs
high-resolution near-infrared (see, e.g., Decin et al. 2008a)
or far-infrared spectroscopy (as will be provided by the
Herschel/HIFI instrument). Nonetheless, the derived abundance
stratifications will be compared to the theoretical inner wind
predictions by Duari
et al. (1999) and Cherchneff (2006),
because this comparison may yield hints on the (un)reactivity of the
molecules in the dust-forming region and on uncertainties in the inner
wind predictions.
4 Results
With the log-likelihood method the parameters for the model yielding
the best-fit to the CO line profiles are derived
(see parameters listed in the second column in Table 4,
``model 1''). The CO lines, however, only trace the
envelope beyond 100
.
One therefore should use other molecules to put constraints on the
structure in the inner wind region. HCN is the only molecule
for which we have observational evidence that it is formed in the inner
wind region: using interferometric data Marvel (2005)
deduced a maximum size for the HCN distribution of 3.85
(in diameter),
or a radius of 7.2
1015 cm at 250 pc.
They concluded that the deduced size indicates a shock origin for HCN
close to the star and a radius for the HCN distribution
limited by photodissociation. The HCN line profiles
(Fig. 7)
are clearly Gaussian, indicating a line formation (at least
partly) in the inner wind region, where the wind has not yet reached
its terminal velocity. That way, HCN observations yield important clues
on the velocity structure in the inner wind region. With the stellar
parameters given in the second column in Table 4
(``model 1''), we were unable to derive a HCN-abundance
structure yielding a satisfactory fit to the line profiles. While the
integrated intensities could be well predicted, the line profiles were
flat-topped with a FWHM (full width at half maximum) that was too
large. The only way to reconcile this problem was
(1) concentrating the HCN abundance in the inner
2
1015 cm with [HCN/H] =
9
10-6;
or (2) allowing for a smoother velocity law. While the
abundance in the former solution is within the predictions of Cherchneff (2006),
the angular distance is much smaller than the 3.85
diameter deduced by Marvel (2005).
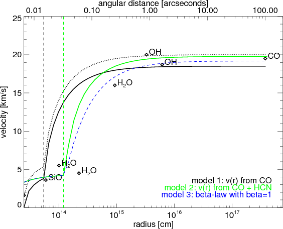
4.1 Velocity structure
The expansion velocity of SiO, H2O, and OH
masers can be used to put further constraints on the velocity
structure, and specifically on the acceleration in the inner wind
region (see Fig. 3).
It is clear that the velocity structure as derived from the
parameters of the best-fit model only based on CO lines
(model 1), is far too steep in the inner wind region
as compared to the velocity indications of the maser lines. This
problem can be solved by either increasing the dust condensation radius
or by allowing for a smoother velocity profile. This latter can be
simulated with the classical -law (Lamers &
Cassinelli 1999) with
(see Fig. 3)
with v0 the velocity at the dust condensation radius.
Table 4: Parameters of the models with best goodness-of-fit for IK Tau.
One should realize that several assumptions are inherent to
the velocity structure derived from solving the momentum equation:
(i) all dust species at all different grain sizes are assumed
to be directly formed at the dust condensation radius
.
However, theoretical results from e.g. Gail & Sedlmayr
(1999) show that formation and growth of (silicate) dust
grains typically occur between 1100 and 900 K,
i.e. extending over a few stellar radii. (ii) The
extinction efficiencies used in the GASTRoNOoM-code represent the
Fe-rich silicate MgFeSiO4.
Thanks to their high absorption efficiencies at optical and
near-infrared wavelength Fe-rich silicates like MgFeSiO4
(and solid Fe) are efficient wind drivers (Woitke 2006).
However, other oxides or pure silicates like Al2O3,
SiO2, Mg2SiO4
and MgSiO3 have low absorption efficiencies at
optical and near-infrared wavelengths, resulting in a negligible
radiative pressure on all glassy condensates. If these latter molecules
were the most abundant in the envelope of IK Tau,
the wind acceleration would be much lower. No medium
resolution infrared (from the Infrared Space
Observatory - Short Wavelength Spectrometer or the
Spitzer - InfraRed Spectrograph) data are, however, available
for IK Tau, hence we were unable to study the circumstellar
dust composition in detail. (iii) ``Complete momentum
coupling'' is assumed. This means that the grain motion everywhere in
the flow can be computed by equating the local radiative and
collisional drag forces, implying that virtually all of the momentum
gained by a grain through the absorption of radiation from the stellar
photosphere is transferred via collisions to the atmospheric gas (MacGregor &
Stencel 1992). For physical conditions typical of
the circumstellar envelopes of oxygen-rich red giants, MacGregor &
Stencel (1992) found that silicate grains with initial radii
smaller than about 5
10-2
m decouple from the ambient gas near the base of
the outflow. (iv.) The momentum equation used in the
GASTRoNOoM-code (see Eq. (2) in Decin et al. 2006)
implicitly assumes that the mass outflow is steady in time and that the
circumstellar dust is optically thin to the stellar radiation (Goldreich &
Scoville 1976). Dust emission modeling by Ramstedt
et al. (2008) suggests a circumstellar envelope
which is slightly optically thick at 10
m (
= 1.2).
These results suggest that the acceleration of the gaseous particles in
the inner wind might be slower than deduced from solving the momentum
equation (``model 1'' and ``model 2''), because not
all dust species take part in the momentum transfer.
![]() |
Figure 3:
Velocity profile of IK Tau. Velocity data are
obtained from mapping of maser emission: SiO (Boboltz & Diamond
2005), H2O (Bains et al. 2003),
and OH (Bowers
et al. 1989). The CO expansion velocity
derived from our CO data is also indicated. The expansion
velocity deduced from the CO data alone (see
``model 1'' in Table 4) is plotted
as full black line. The dotted black line indicates the velocity
structure taking a turbulent velocity
(of 1.5 km s-1) into
account. The green line gives the expansion (+turbulent) velocity
deduced from both the CO and HCN lines (model 2 in
Table 4).
The dashed blue line represents an even smoother expansion (+turbulent)
velocity structure, applying Eq. (3), with |
Open with DEXTER |
Solving the momentum equation and taking both the CO and
HCN line profiles into account, the inner radius of the dusty
envelope is shifted towards higher values,
1014 cm, and the mass-loss rate
slightly increases (``model 2'' in Table 4). Using the
same stellar parameters as in ``model 2'', but simulating a
smoother velocity law still compatible with the maser line mapping (
= 1)
decreases the mass-loss rate to 8
10-6
/yr (model 3 in
Table 4),
due to the condition of mass conservation (model 3 in
Table 4).
The narrow Gaussian line profiles of the HCN lines
(Sect. 4.3.2)
give more support to model 3 than to model 2, which
is why the thermodynamic structure as deduced from model 3
(Fig. 4)
will be used to model the other molecular line transitions.
![]() |
Figure 4:
Thermodynamic structure in the envelope of IK Tau as
derived from the 12CO and
HCN rotational line transitions for the stellar parameters of
model 3 in Table 4. Upper
left: estimated temperature profile, upper right:
estimated gas and drift velocity, lower left:
cooling rates, and lower right: heating rates. The
start of the dusty envelope,
|
Open with DEXTER |
4.2 Stellar parameters derived from the CO and HCN lines
The stellar parameters for the best-fit model (model 3) are
listed in Table 4.
The outer radius of CO is computed using the results of Mamon et al. (1988).
The derived 95% confidence intervals in Table 4 are
statistical uncertainties, which should be interpreted in the light of
the model assumptions of a spherically symmetric wind.
As described in Decin
et al. (2007), the log-likelihood function
can also be used to compare different models with a different number of
parameters. For IK Tau, we have assessed
the likelihood preference of a model with constant mass-loss rate
compared to a model with mass-loss rate variations. The preferences
pointed towards the simpler model, i.e. with a constant
mass-loss rate (of 8
10-6
/yr). We also derived the
dust-to-gas mass ratio from the amount of dust needed to drive a wind
at a terminal velocity of 17.7 km s-1
for a gas mass-loss rate of 8
10-6
/yr with the deduced velocity
profile. A dust-to-gas mass ratio of 1.9
10-2
(or a dust mass-loss rate of 1.52
10-7
/yr) is obtained for
model 3, with an estimated uncertainty of a factor
5.
4.3 Fractional abundances
Using the thermodynamic envelope structure derived above (see
Fig. 4),
the abundance stratification of all molecules is derived.
A comparison to the theoretical inner and outer wind
predictions (as discussed in Sects. 3.3.1, 3.3.2) is given in
Fig. 5.
The studied molecular line transitions are not sensitive to the full
envelope size, but have a limited formation region. The part in the
envelope we can trace by combining the different available rotational
line transitions is indicated with vertical dashes in Fig. 5 and
tabulated in Table 5.
Table 5:
Molecular fractional abundance relative to H
=
(H2)
(see Fig. 5).
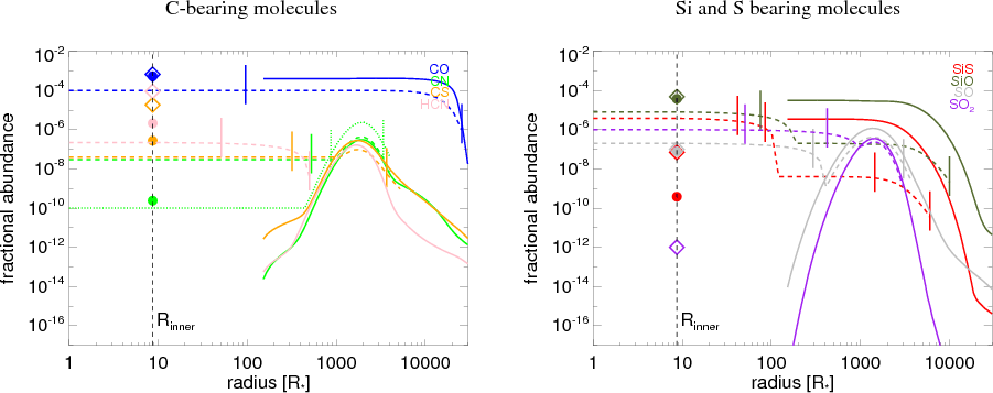
A comparison between observed and predicted line profiles and a discussion of the deduced abundance stratification are given for each molecule separately in the following subsections. We will always first briefly describe the deduced abundances, then compare the results to the theoretical inner and outer wind predictions and finally compare to other results found in the literature (see Table 6). For the literature results, a difference is made between studies based on the assumptions of optically thin unresolved emission and a population distribution thermalized at an excitation temperature that is constant throughout the envelope, and those based on a full non-LTE radiative transfer calculation. One should also realize that most studies make use of integrated line intensities, and do not deal with a full line profile analysis as is done here. With the exception of Omont et al. (1993), the other literature studies listed in Table 6 assume the shell to expand at a constant velocity. As discussed in Sect. 4.1, the Gaussian line profiles of the HCN and a few of the SiO lines are the result of line formation partially in the inner wind, where the stellar wind has not yet reached its full terminal velocity. As a result, more emission is produced at velocities near the line center than would be the case for a uniform-velocity wind. Hence observational studies assuming a constant expansion velocity will be unable to predict the line profiles properly.
![]() |
Figure 5:
Predicted abundance stratifications [mol/H
|
Open with DEXTER |
Table 6: Comparison of the deduced fractional abundances to other observational studies and theoretical predictions.
4.3.1 CO
![]() |
Figure 6: CO rotational line profiles of IK Tau (plotted in grey) compared with the GASTRoNOoM non-LTE line predictions (in black) with the parameters of ``model 3'' as specified in Table 4. The rest frame of the velocity scale is the local standard of rest (LSR) velocity. |
Open with DEXTER |
Results:
a comparison between the observed rotational 12CO and 13CO lines and theoretical predictions is shown in Fig. 6. The 12CO and 13CO lines are very well reproduced by the GASTRoNOoM-predictions, both in integrated intensities and in line shapes. Only the IRAM 12CO(1-0) and 12CO(2-1) lines are slightly over-predicted. It is, however, not the first time that the non-compatibility of the IRAM absolute flux level is reported (see, e.g. Decin et al. 2008a; Schöier et al. 2006).Comparison to theoretical predictions:
the CO fractional abundance assumed in all observational studies (see also Table 6) is always lower than the deduced inner wind theoretical non-TE values of Duari et al. (1999) and Cherchneff (2006). The non-TE theoretical values are comparable to the TE-value of 6.95


Comparison to other observational studies:
most observational studies listed in Table 6 assume a fractional CO abundance of [CO/H] = 1-1.5
Using CO rotational line transitions, other studies have also
estimated the mass-loss rate (see Table 7). The results
depend on the assumed or derived temperature distribution, the
distance, the adopted [CO/H2] abundance
ratio, and the radiative transfer model or analytical approximation
used. All (scaled) mass-loss rate values are in the narrow range
between 6.5 10-6
and 9
10-6
/yr, the exception
being the result of González
Delgado et al. (2003), which is a factor
4 higher.
We note that the work of these authors was not devoted to the study of
CO, and it remains unclear what line intensities they used in their
modeling.
Table 7: Mass-loss rate values derived from 12CO rotational line transitions for IK Tau.
4.3.2 HCN
![]() |
Figure 7: HCN observed spectral lines (gray) compared to the spectral line predictions (black) based on the CSE model shown in Fig. 4 and the abundance stratification displayed in Fig. 5. |
Open with DEXTER |
Results:
the narrow Gaussian line profiles clearly point toward (at least) an inner wind origin of HCN. As discussed above, we imposed a value R2 = 500


Comparison to theoretical predictions:
theoretical predictions by Duari et al. (1999) and Cherchneff (2006) and observational studies by, e.g., Bieging et al. (2000) and Marvel (2005) indicate that HCN forms in the inner wind region of M-type envelopes by shock-induced non-equilibrium chemical processes. This is contrary to the photochemical models of Willacy & Millar (1997), where HCN is only produced in the outer envelope by photochemical reactions involving NH3 and CH3, which they assumed to be parent species originating close to the stellar photosphere and injected in the outer region. This formation route, however, leads to line shapes which are clearly non-Gaussian, but are flat-topped (for optically thin unresolved emission) because the wind is already at its full velocity in this region.The maximum size distribution of 3.85
derived by Marvel
(2005) is suggested to be caused by photodissociation of HCN.
Bieging
et al. (2000) used a parametrized formula to
describe the photodissociation radius for HCN as a function of gas
mass-loss rate and wind velocity (see their Eq. (2)). This
estimate leads to a HCN photodissociation radius of
1.2
1016 cm, which agrees well with the
result of Marvel
(2005) of 7.6
1015 cm (at 265 pc).
With HCN as a parent species with an injected abundance of 1.5
10-7,
new chemical outer wind models were calculated withthe code described
in Willacy
& Millar (1997). The derived photodissocation radius
is around 2
1016 cm, which is a factor
3 higher
than the observed value of Marvel
(2005).
Compared to the theoretical predictions for
TX Cam at 5
by Cherchneff
(2006) or for IK Tau at 2.2
by Duari
et al. (1999), our deduced abundance is a
factor 10 to 40 lower, respectively. There are a few
possibilities for the origin of this difference. (i) Contrary
to what is thought (e.g. Duari
et al. 1999), HCN may participate in the
formation of dust grains in the inner envelope. (ii) The
formation mechanism of HCN in the inner wind is directly linked to its
radical CN by
![]() |
(4) |
The destruction route is the reverse reaction. Shocks trigger CN and further HCN formation in the gas (Cherchneff 2006). The formation processes of both molecules depend critically on the physical parameters of the shocked gas, specifically on the physics in the ``very fast chemistry zone'', which is the narrow region after the shock front itself. The modeling of this zone is still subject to many uncertainties (e.g. cooling rate, velocity, shock strength), yielding uncertainties on the theoretical fractional abundances of at least one order of magnitude.
Comparison to observational studies:
all observational deduced values agree within a factor
4.3.3 SiS
![]() |
Figure 8: SiS observed spectral lines (gray) compared to the spectral line predictions based on the CSE model shown in Fig. 4 and the abundance stratification displayed in Fig. 5. |
Open with DEXTER |
Results:
next to CO, SiS is the molecule with the most molecular line transitions at our disposal. From the SiS(5-4) up to SiS(20-19), excitation temperatures from 13 to 183 K are covered, and one can trace the envelope abundance spatial variations between 40 and 6000












Comparison to theoretical predictions:
the abundance at 40
![]() |
(5) |
is not as efficient, or that an extra formation route is not yet taken into account in the theoretical modeling. In general, the uncertainties on chemical reaction rates involving sulfur are still very high (I. Cherchneff, priv. comm.). The high abundance around 40

Comparison to observational studies:
similar results concerning the depletion of SiS in the intermediate wind region are obtained by Schöier et al. (2007a). From the simplified analyses assuming optically thin emission thermalized at one excitation temperature (see Table 6) it is not possible to derive this kind of abundance depletion pattern.4.3.4 SiO
Results:
for the 28SiO isotopolog, five transitions were observed, with excitation energies ranging between 6 K and 75 K. The line strengths and profile shapes of all 28SiO, 29SiO, and 30SiO lines are well predicted, except for the 28SiO(6-5) line as observed with the SEST by González Delgado et al. (2003) (see Fig. 10). Because the strength of both the 28SiO(5-4) and 28SiO(7-6) are well reproduced, and both lines share the line formation region with the 28SiO(6-5) transition, an absolute calibration uncertainty can be the cause of this discrepancy, but time variability of the lines should also be considered (see Sect. 5.1).Although not as pronounced as for SiS, the modeling of the
different rotational transitions indicates an abundance decrease with a
factor 40
around 180
.
SiO is a parent molecule and a strong candidate to be depleted
in the wind of O-rich envelopes: at larger radii in the inner envelope,
OH alters the SiO abundance via (Cherchneff 2006)
![]() |
(6) |
SiO2 may condense as silica. It may also participate in the formation of amorphous or crystalline silicates.
![]() |
Figure 9: 28SiO observed spectral lines (gray) compared to the spectral line predictions based on the CSE model shown in Fig. 4 and the abundance stratification displayed in Fig. 5. |
Open with DEXTER |
![]() |
Figure 10: Upper panel: 28SiO spectra of IK Tau from González Delgado et al. (2003). Lower panel: 28SiO spectral line predictions based on the CSE model shown in Fig. 4 and the abundance stratification displayed in Fig. 5. |
Open with DEXTER |
![]() |
Figure 11: 29SiO observed spectral lines (gray) compared to the spectral line predictions based on the CSE model shown in Fig. 4 and the abundance stratification displayed in Fig. 5. |
Open with DEXTER |
![]() |
Figure 12: 30SiO observed spectral lines (gray) compared to the spectral line predictions based on the CSE model shown in Fig. 4 and the abundance stratification displayed in Fig. 5. |
Open with DEXTER |
The derived isotopic ratios in the envelope are [28SiO/29SiO] 27
and [28SiO/30SiO] = 80,
[29SiO/30SiO] = 3.
They are discussed in Sect. 5.2.
Comparison to theoretical predictions:
the SiO abundance at the inner dust condensation radius is slightly below the theoretical predictions of Duari et al. (1999) and Cherchneff (2006), which is very reasonable taking the assumptions of both the theoretical chemical kinetic calculations and our modeling into account. It possibly points toward the condensation of SiO onto dust grains in the intermediate wind zone, before 70
Comparison to observational studies:
Lucas et al. (1992) mapped the 28SiO(2-1) v=0 flux distribution, showing that it has a circular geometry. The half-peak intensity radius has a diameter of 2.2 +/- 0.1


Compared to other observational studies, the deduced abundance
around 70
is quite high, while the outer wind abundance agrees with the result by
González
Delgado et al. (2003).
4.3.5 CS
![]() |
Figure 13: CS observed spectral lines (gray) compared to the spectral line predictions based on the CSE model shown in Fig. 4 and the abundance stratification displayed in Fig. 5. |
Open with DEXTER |
Results:
for CS, we only have two lines at our disposal, the (6-5) and (7-6) rotational transitions, both with a low S/N-ratio. The fractional abundance at 300


Comparison to theoretical predictions:
the derived abundance of








As for HCN (Sect. 4.3.2),
our derived abundances are a factor 50 lower compared to the predictions of Cherchneff (2006)
and a factor
8 lower
compared to Duari
et al. (1999). The dominant formation pathways of
both CS and HCN occur in the fast chemistry zone of the gas parcel
excursion involving CN. Knowing that this zone is very
difficult to model (see Sect. 4.3.2) and that the
sulfur reaction rates are not well known (see Sect. 4.3.3), this difference
is not so cumbersome. However, as suggested for HCN,
it may also be the case that CS or the radical CN are
involved in dust formation, altering its abundance in the intermediate
wind region. The low-resolution of the two observed CS lines
do not provide enough information to firmly prove this.
In the outer envelope, CS is first formed from H2S.
Somewhat farther away, the reaction of atomic carbon with SO
and HS forms CS, before it is photodissociated by UV radiation
(Willacy &
Millar 1997).
Comparison to observational studies:
while our deduced CS fractional abundance agrees with the values derived by Bujarrabal et al. (1994) and Kim et al. (2010), the observational result by Lindqvist et al. (1988) is higher by a factor
4.3.6 CN
Results:
the CN lines display a peculiar profile, probably related to the hyperfine structure of the molecule. Although the signal-to-noise of the individual components is low, Kim et al. (2010) noted already that the strength of the different peaks do not agree with the optical thin ratio of the different hyperfine structure compoments and hint to hyperfine anomalies as already reported by Bachiller et al. (1997). Simulations with the GASTRoNoOM-code taking all the hyperfine components into account confirm this result. We therefore opted to simulate both CN lines with the strongest component only. I.e., for the N=3-2, J=5/2-3/2 line we used the F=7/2-5/2 component at 340 031.5494 MHz, for the N=3-2, J=7/2-5/2 line the F=9/2-7/2 component at 340 248.5440 MHz was used.Due to low signal-to-noise ratio of the lines and the problems
with the different hyperfine componets, the derived abundance
fractions are loosely constrained. To illustrate this, two
model predictions are shown in Fig. 14.
For one model, the inner abundance ratio is taken to be
3 10-8
and from 1000
onward, the abundance stratification follows the predictions by Willacy &
Millar (1997) (dashed line in Fig. 5).
For the other model, the inner abundance
ratio, f1,
is lowered to 1
10-10
yielding a peak fractional abundance around 2000
of
10-6,
which is a factor
8 higher
than the peak fractional abundance derived by Willacy &
Millar (1997) (see dotted line in Fig. 5).
Comparison to theoretical predictions:
the predicted inner wind abundance fractions give higher preference to the second model described in the previous paragraph: Duari et al. (1999) predicts a fractional abundance of CN around 2.4




![]() |
Figure 14: CN observed spectral lines (gray) compared to the spectral line predictions based on the CSE model shown in Fig. 4 and the abundance stratification displayed in Fig. 5. The dashed line predictions corresponds to the ``alternative solution'' as shown in Fig. 5. |
Open with DEXTER |
If HCN is indeed photodissociated around 400 to 500
(see Sect. 4.3.2),
the peak fractional abundance of CN is not expected to occur
around 2000
(see the model predictions by Willacy &
Millar 1997, in Fig. 5), but
slightly beyond 500
because the photodissociation of HCN is the main formation route to CN
in the outer envelope. Shifting the CN peak fractional
abundance in the second model to 500
with an abundance value of 1.5
10-7
also yields a good fit to the (noisy) data.
Comparison to observational studies:
this is the first time that the non-LTE CN fractional abundance for IK Tau has been derived, although the uncertainty on the derived abundance is large.4.3.7 SO
![]() |
Figure 15: SO observed spectral lines (gray) compared to the spectral line predictions based on the CSE model shown in Fig. 4 and the abundance stratification displayed in Fig. 5. |
Open with DEXTER |
Results:
as for of CN (Sect. 4.3.6) the noisy profiles prevent a good determination of the abundance stratification. A fractional abundance of


Comparison to theoretical predictions:
an abundance stratification compatible with both the inner wind predictions of Cherchneff (2006) and the outer wind model of Willacy & Millar (1997) can be derived, yielding a good representation of both SO lines observed with APEX. Willacy & Millar (1997) assumed no SO injection from the inner wind at large radii, but in-situ formation processes only. Assuming that SO is indeed injected to larger radii can increase the predicted peak fractional abundance computed by Willacy & Millar (1997), which was somewhat too low compared to the observed value listed in their Table 6.Comparison to observational studies:
for the first time, the SO abundance fraction is derived by a non-LTE radiative transfer analysis, although the low S/N prevents an accurate abundance determination. The result agrees with the LTE analysis by Kim et al. (2010), but is a factor of a few lower than Omont et al. (1993) and Bujarrabal et al. (1994).4.3.8 SO2
![]() |
Figure 16: SO2 observed spectral lines (gray) compared to the spectral line predictions based on the CSE model shown in Fig. 4 and the abundance stratification displayed in Fig. 5. |
Open with DEXTER |
As for SO2 the main formation channel in both
the inner and outer wind region is
![]() |
(7) |
In the outer wind, SO2 rapidly photodissociates back to SO (Willacy & Millar 1997). The inner wind predictions for TX Cam only yield an abundance of



Results:
the availability of 10 different transitions gives some hope that we can shed light on the discussion about the inner wind fractional abundance. However, it turns out that we are unable to fit the high-excitation SO2( 171,17-160,16) and SO2( 132,12-121,11) lines observed with APEX (see below). The high-excitation SO2( 144,10-143,11) and SO2( 143,11-142,12) can be predicted quite well. These two lines are narrower than the other SO2 lines in the sample, indicating that their full formation region is in the inner wind region where the wind has not yet reached its full expansion velocity.Extensive modeling efforts were made to predict the
high-excitation SO2 observed with APEX. While
the high-excitation lines involving the
J
= 14-14 levels are reasonably well predicted with the models
proposed above, the
J =13-12 and
J = 17-16
are far too weak. In a study of SO2
in star forming regions, van
der Tak et al. (2003) encountered a similar problem,
which they solved by introducing a high temperature, high-abundance
component. The increase in abundance could be a factor
of 100-1000. Introducing an unrealistically compact, very
high-abundance component with f1
> 1
10-4 up to 200
reproduces the APEX J
= 13-12 and J
= 17-16 within a factor 2, but the
J
= 14-14 line, involving similar excitation levels,
is a factor
15 too strong. A possible cause of the
discrepancy could be a misidentification of the observed lines.
However, different line data bases always point towards an
identification as SO2 transitions. But also the
collision rates from the LAMDA database may be problematic. In the
LAMDA database, Schöier
et al. (2005) extrapolated the collisional rates as
computed by Green
(1995). Green
(1995) computed the collisional rates for temperatures in the
range from 25 to 125 K including energy
levels up to 62 cm-1; Schöier et al.
(2005) extrapolated this set of collisional rates to include
energy levels up to 250 cm-1 and for a
range of temperatures from 10 to 375 K.
Neglecting the SO2(
171,17-160,16)
and SO2(132,12-121,11) lines,
the strength of the other eight SO2 lines
can only be explained with a high inner abundance ratio of 1 10-6,
clearly pointing toward an inner wind formation region
(in accordance with Yamamura
et al. 1999).
Comparison to observational studies:
as for SO, the SO2 fractional abundance is derived for the first time using a full non-LTE radiative transfer analysis. The derived abundance value is somewhat lower than the results from classical studies, assuming optically thin emission and one excitation temperature, although we have to state clearly that the SO2 modeling still poses many problems.5 Discussion
The derived fractional abundances are already discussed in Sect. 4.3. In this section, we focus on the possible time variability of the emission lines and on the derived SiO isotopic ratios. In the last part, H2O line profile predictions for the Herschel/HIFI mission are performed.
5.1 Time variability
The observed molecular emission lines could be time-variable. Unfortunately, no dedicated study has yet been performed to study the time variability of the molecular lines in IK Tau. Carlström et al. (1990) reported on a monitoring program of the SiS(J = 4-3, 5-4, and 6-5) emission from the Mira-type carbon-rich AGB star IRC +10216. It was found that the circumstellar J = 5-4 and J = 6-5 line emission toward IRC +10216 varies both in line intensity and in line shape. A clear correlation between the variations and the infrared flux (as measured with the K-band magnitude) is found for the J = 5-4 and J = 6-5 lines (Bieging & Tafalla 1993), but not for the J = 4-3 line. This indicates that at least the population of a few levels varies in phase with the stellar flux. A change in the pumping mechanism of the infrared vibrationally excited levels of a molecule will modify the excitation in the ground vibrational state. A change in dust emission may also alter the excitation of a molecule, because dust emission has the potential of affecting the level populations in the ground vibrational state, in particular through pumping via excited vibrational states.
Cernicharo
et al. (2000) has looked for time-related intensity
variations in a line survey at 2 mm of IRC+10216.
Among the 2-mm lines, the most likely lines to be affected are
(i) CS, HC3N, SiO and SiS, four species
whose IR lines are known to be optically thick,
as well as (ii) the vibrationally excited lines of C4H
and HCN. During the 10-year long run, these lines were observed at
several occasions. The ground-state mm lines were found to have stable
shapes and intensities (within 20% which is consistent with
the calibration uncertainty). Only the strong HCN, ,
J=2-1 line, which is known to be masering,
showed a factor of 2 intensity variation with time.
Currently the effect of time-variability on circumstellar line emission is unknown for AGB stars in general.
5.2 SiO isotopic ratios
The SiO abundance isotopic ratios derived for IK Tau
are 28SiO/29SiO = 27,
28SiO/30SiO = 80,
and 29SiO/30SiO = 3,
with an uncertainty of a factor of 2 due to the low signal-to-noise ratio of the 29SiO
and 30SiO lines. The 29SiO/30SiO
is similar to the simple ratio of integrated intensities corrected for
a difference in transition strength and beam filling factor
(the combined effect is a frequency factor of
), but the 28SiO/29SiO
and 28SiO/30SiO ratios
are a factor
7
and
10 larger,
respectively, due to neglect of optical depth effects of the 28SiO lines
if the simplified intensity ratio is used. Compared to the solar
isotopic ratios of (28SiO/29SiO)
=
19.6, (28SiO/30SiO)
=
29.8 and (29SiO/30SiO)
=
1.52, IK Tau is underabundant in neutron-rich
isotopologs or overabundant in 28Si.
Due to the weakness of the 29SiO and 30SiO
lines, only few results on the silicon isotopic ratios in the
circumstellar envelopes around AGB stars are reported in
literature. By fitting the SiO maser emissivity Jiang et al. (2003)
estimated the 28SiO/29SiO isotopic
ratio in two oxygen-rich Miras, R Cas and
NV Aur, to be 29 and 32,
respectively. Ukita
& Kaifu (1988) measured the relative intensities of
the 29SiO/30SiO lines
(
J=2-1,v=0),
which was 2.4 for the S-type Mira Cyg (with C/O ratio
slightly lower than 1), 1.5 for
IK Tau, and 2.9 for the oxygen-rich Mira
V1111 Oph. For the carbon-rich AGB star
IRC+ 10216, Cernicharo
et al. (2000) and He et al. (2008)
derived respectively 28SiO/29SiO =
15.4
1.1
(17.2
1.1)
and 28SiO/30SiO =
20.3
2.0 (24.7
1.8)
and 29SiO/30SiO =
1.45
0.13 (1.46
0.11)
from the ratios of integrated line intensities, which is close to the
solar values. The results on IRC+10216 are, however, lower limits,
because no correction for opacity effects has been done.
Lambert
et al. (1987) analyzed high-resolution spectra of
the SiO first overtone band around 4 m. They
obtained estimates of the atmospheric 28SiO/29SiO abundance
ratios for four red giants. For the M-type
Peg and the S-type
star HR 1105, the 28SiO/29SiO ratio
is close to the solar ratio. 29SiO appears to
be underabundant in the MS star o1 Ori
(28SiO/29SiO = 40)
and the M-type star 10 Dra (28SiO/29SiO
53).
The 30SiO isotope appears to be
underabundant by a factor of
2 in all four red giants.
Tsuji
et al. (1994) reported on high spectral resolution
observations of the 4 m SiO first overtone band in six
late-type M giants and two M supergiants. The
atmospheric 28Si/29Si
and 28Si/30Si and 29Si/30Si
ratios in the M giants are always slightly lower than the
terrestrial values, i.e. more neutron-rich nuclei tend to be
more abundant. This is opposite to the results of Lambert et al.
(1987), and assuming that the isotopic ratios are not
modified in the circumstellar envelope, the result of Tsuji et al.
(1994) is also in contrast to the circumstellar isotopic
ratios of M-type giants listed above.
The silicon isotopic ratios are not obviously correlated with other stellar properties. In the literature it is conventional to express the silicon (and other element) isotope ratios in parts per thousand deviation from the solar silicon isotope ratio:
![]() |
||
![]() |
(8) |
yielding values for IK Tau of -274 and -627, respectively. These values reflect both the initial isotopic composition of the star and possible effects due to nucleosynthesis.
For an AGB star, the initial Si isotopic composition in the
envelope is altered by slow neutron capture reactions (s-process)
in the He intershell and subsequent third dredge-up (TDU)
events, increasing the 29Si and 30Si abundance
fractions. A low-metallicity star is expected to have initial 29Si/28Si
and 30Si/28Si ratios
that are smaller than the solar ratios. The inferred isotopic shifts of
the Si isotopes are smaller for an O-rich than for a C-rich
AGB star because a C-rich star goes through more dredge-up
events, increasing the 12C and s-processed
material (Vollmer et al.
2008; Zinner et al. 2006).
Using two different stellar evolution codes, Zinner et al.
(2006) studied the change in silicon isotopic ratios in
AGB stars: the shift in Si isotopic ratios
and the increase of the 12C/13C
in the envelope during third dredge-up are higher for higher stellar
mass, lower metallicity, and lower mass-loss rate, but their predicted
silicon isotopic shifts are always much higher than the observational
values derived for IK Tau. The mimimum values
plotted in their Fig. 6
correspond to the value
and
at C/O = 1, and are higher than -200. They
find that no noticeable changes in the Si isotopes occur when
the star is still O-rich. Consequently, the isotopic anomalies in
silicon found for several M-type giants probably reflect those of the
interstellar medium out of which stars were formed.
For the solar system material, the silicon isotopic ratios are
thought to be understood by a mixture of the nuclear products by
types I and II supernovae (Tsuji et al. 1994).
The predicted silicon isotopic ratios by type II supernovae
are around 28Si/29Si 15
and 28Si/30Si
35
according to Hoppe
et al. (2009),
while Hashimoto
et al. (1989) arrive at lower values of 8.9
and 12.6 respectively. Type I supernovae produce
mostly 28Si with little 29Si
and 30Si (Thielemann
et al. 1986). Non-terrestrial silicon isotopic
ratios can then be reasonably explained in the same way as for the
solar system but by assuming a different contribution of
types I and II supernovae.
The silicon isotopic shifts reported here for IK Tau are much lower than values deduced from presolar silicate grains (Mostefaoui & Hoppe 2004; Vollmer et al. 2008), of which the origin spans the range from red giant branch (RGB) and AGB stars up to supernovae. Looking to silicon isotopic ratios derived from presolar SiC grains (Fig. 2 in Zinner et al. 2006), the silicon isotope ratios of IK Tau correspond to the X-grains, which are thought to originate in type II supernovae (but major discrepancies between model predictions and observed isotopic ratios still exist; Nittler et al. 1995). The 12C/13C ratio inferred for IK Tau (=14) is at the lower limit of the values derived for X-type grains (see Fig. 1 in Zinner et al. 2006).
Hence, if the atmospheric (and circumstellar) silicon isotopic ratio is indeed not changed due to nucleosynthesis and subsequent dredge-ups, the above arguments seem to suggest that the interstellar medium out of which IK Tau was born has a mixture analogous to X-type grains of which supernovae type II are thought to be the main contributors. The measurement of other isotopic ratios can shed new light on this discussion.
5.3 H2O line profile predictions
![]() |
Figure 17: Snapshot of a few ortho-H2O lines, which will be observed with Herschel/HIFI. |
Open with DEXTER |
Line profile predictions are performed for a few water lines, which
will be observed by Herschel/HIFI in the framework of the Guaranteed
Time Key Programme HIFISTARS (P.I. V. Bujarrabal)
(see Table 8).
This key program focusses on the observations of CO, H2O
and HCN lines in a well-selected sample of evolved stars to
gain deeper insight into the structure, thermodynamics, kinematics and
chemistry of CSEs and into the mass-loss history of evolved stars. The
inner wind abundance fraction is assumed to be [H2O/H2] =
3.5
10-4 (Cherchneff 2006).
The photodissociation radius is taken from the modeling of Willacy &
Millar (1997), which is around 1600
.
Applying the analytical formula from Groenewegen (1994)
deduced from the results of Netzer
& Knapp (1987), a photodissociation radius
of 2.8
1016 cm or 1870
would be obtained. As standard set-up, the Barber H2O line
list (see Appendix A)
is used, including 45 levels in both the ground state and
first excited vibrational state (the bending mode
at 6.3
m).
Table 8: Line frequencies, upper energy levels and Einstein A-coefficients for the ortho-H2O lines, which will be observed with Herschel/HIFI.
Description of the line profiles:
most H2O lines displayed in Fig. 17 have a parabolic shape, characteristic for optically thick unresolved emission. A few lines suffer from self-absorption in the blue wing (e.g., the 85,4-92,7 line in the ground-state). Particularly for lines where the optical depths at the line centre can be up to


Comparison
to other line lists, including or omitting the
and
vibrational
state
(see Fig. 18):
Using the Barber H2O or the LAMDA
linelist yields comparable results for the lines displayed here.
Omitting the first vibrational state of the bending mode (



Dependence on parameters:
the H2O line fluxes which will be observed with HIFI are very sensitive to certain (stellar) parameters, and their observations will give us a handle to constrain the circumstellar structure to even higher accuracy. To illustrate this, some simulations are shown in Fig. 19.- If the temperature structure is approximated with a
power law
(dotted line in Fig. 19), a differential change is seen for the predicted line fluxes. Observing a few water lines with different excitation levels will pin down the temperature structure in the CSE.
- A second simulation shows the effect of using a velocity structure which is computed from solving the momentum equation (dashed-dotted line in Fig. 19). Applying another velocity law results in another gas number density and slightly different temperature structure. Using the momentum equation, a steeper velocity gradient is obtained (see, e.g., Fig. 3), and the velocity reaches the terminal velocity at shorter distances from the star. This results in slightly broader line profiles and a flux enhancement in the blue wing, because that part of the CSE contributing to the line profile at a certain velocity v will be shifted somewhat inward, hence attaining a higher source function.
- Using a blackbody to represent the stellar radiation
instead of a high-resolution theoretical spectrum calculated from a MARCS
model atmosphere (see Sect. 3.1) only induces
a change in the predicted line fluxes smaller than 2% (not
shown in Fig. 19).
For wavelengths beyond 200
m the stellar flux is always represented by a blackbody in the GASTRoNOoM-calculations (note that the ground-state of ortho-water is at 23.794 cm-1 or around 420
m), the flux difference between the blackbody and the theoretical high-resolution spectrum around the
bending mode is shown in Fig. 20. The reason for this negligible difference is that the stellar radiation field is not important (in this case) for the H2O excitation. Excluding the stellar radiation field only yields a reduction of the line emission by 2% at maximum.
- The dashed line in Fig. 19 shows the
model predictions using the same stellar and envelope parameters as in Maercker
et al. (2008):
= 2600 K,
= 3.53
1013 cm, D = 300 pc and
= 1
10-5
/yr. This example shows how maser action in the 53 2-44 1 transition at 621 GHz is very sensitive to the structural parameters.
![]() |
Figure 18:
Comparison between H2O line profile predictions
using (1) the Barber line list, including the ground-state and
|
Open with DEXTER |
![]() |
Figure 19:
Comparison between H2O line profile predictions
using the Barber line list, including the ground-state and |
Open with DEXTER |
![]() |
Figure 20:
Representation of the stellar radiation field. Upper panel:
comparison between a blackbody at 3000 K (gray) and a MARCS
flux-sampled spectrum at a stellar temperature of 3000 K and a
logarithm of the gravity of 1.5 dex (black). Lower
panel: comparison between a blackbody at 3000 K
(gray), a MARCS flux-sampled
spectrum (light gray) and a high-resolution theoretical spectrum
generated from the MARCS model with a
resolution of |
Open with DEXTER |
6 Conclusions
We have for the first time performed a self-consistent, non-LTE
radiative transfer analysis on 11 different molecules and
isotopologs (12CO, 13CO,
SiS, 28SiO, 29SiO, 30SiO,
HCN, CN, CS, SO, SO2) excited in the
circumstellar envelope around the oxygen-rich AGB star
IK Tau. In contrast to previous studies,
the temperature and velocity structure in the envelope are computed
self-consistently, the circumstellar fractional abundances are linked
to theoretical outer wind non-chemical equilibrium studies and the full
line profiles are used as criteria to deduce the abundance structure.
The Gaussian line profiles of HCN and SiO clearly point toward
formation partially in the region where the wind has not yet reached
its full velocity. With the HCN line profiles as a criterion,
we can deduce that the wind acceleration is slower than deduced from
classical theories (e.g. Goldreich
& Scoville 1976). For a few molecules,
a significantly different result is obtained compared to
previous, more simplified, studies. SiO and SiS seem to be depleted in
the intermediate wind region due to adsorption onto dust grains. The
HCN and CS intermediate wind abundance around 50-300
is clearly below the inner wind theoretical predictions by Duari et al.
(1999) and Cherchneff
(2006), which may either indicate a problem in the
theoretical shock-induced modeling or possibly that, contrary to what
is thought, HCN and CS do participate in the dust formation, maybe via
the radical CN through which both molecules are formed. The lack of
high signal-to-noise data for CN and SO prevents us from accurately
determining the circumstellar abundance stratification.
It turned out to be impossible to model all the SO2 line
profiles, particularly a few of the high-excitation lines. This may be
due to a misidentification of the lines or to problems with the
collisional rates. The SiO isotopic fractions point toward
high 28SiO/29SiO and 28SiO/30SiO ratios,
which are currently not understood in the framework of nucleosynthesis
altering the AGB isotopic fractions, but seem to reflect the
chemical composition of the interstellar cloud out of which the star
is born. Finally, in Sect. 5.3, we present H2O line
profile predictions for a few lines which will be observed with the
Herschel/HIFI instrument (launched on
May, 14 2009).
Appendix A: Molecular line data
For each of the treated molecules, we briefly describe the molecular line data used in this paper. Quite often, data from the Leiden Atomic and Molecular Database (LAMDA) are used (Schöier et al. 2005). When appropriate, transition probabilities are compared to the relevant data in this database.
CO - carbon monoxide.
For both 12CO and 13CO energy levels, transition frequencies and Einstein A coefficients were taken from Goorvitch & Chackerian (1994). Transitions in the ground and first vibrational state were included up to J = 40. The CO-H2 collisional rate coefficients at kinetic temperatures from 10 to 4000 K are from Larsson et al. (2002). Figure A.1 shows a good match for the transition frequencies (better than 1%). The Einstein A coefficients for the rotational transitions in the ground-state and the vibra-rotational transitions correspond to better than 0.5%, but the Einstein A coefficients for the rotational transitions in the v=1 state may differ by up to a factor 3 for the high-lying rotational transitions, i.e. the ones with the largest J quantum number. For the CO lines of interest to this study, i.e. rotational transitions in the v=0 state with
![]() |
Figure A.1: Comparison between the transition frequencies and Einstein A coefficients of CO as listed in the LAMDA database and as computed by Goorvitch & Chackerian (1994). |
Open with DEXTER |
SiO - silicon monoxide.
The SiO linelist of Langhoff & Bauschlicher (1993) was used to extract the frequencies, energy levels and (vibra-)rotational radiative rates for 28SiO, 29SiO, and 30SiO. Both ground and first vibrational state were included, with rotational quantum number J up to 40. The SiO-H2 collisional rates in the ground state are taken from the LAMDA-database. For the rotational transitions in the first vibrational state, it is assumed that the collisional rates are equal to those in the ground state. The vibra-rotational collisional rates are assumed to be zero.The LAMDA database only lists the frequencies and transition probabilities for the first 40 levels in the ground state. Comparison with the line list of Langhoff & Bauschlicher (1993) shows that both databases nicely agree for the rotational transitions in the ground state (see Fig. A.2).
![]() |
Figure A.2: Comparison between the transition frequencies and Einstein A coefficients of the rotational transitions in the ground state of SiO as listed in the LAMDA database and computed by Langhoff & Bauschlicher (1993). |
Open with DEXTER |
SiS - silicon monosulfide.
Frequencies, transition probabilities and energy levels were taken from the Cologne Database for Molecular Spectroscopy (CDMS, Müller et al. 2005). Transitions in the ground and first vibrational state were included up to J = 40. The pure rotational transitions of silicon monosulfide (28Si32S) and its rare isotopic species have been observed in their ground state as well as vibrationally excited states by employing Fourier transform microwave (FTMW) spectroscopy by Müller et al. (2007). The LAMDA database only lists the lowest 40 levels in the ground vibrational state, for which the energy levels, transition frequencies and Einstein A coefficients were taken from the JPL catalog (Pickett et al. 1998). The values listed in the JPL and CDMS database correspond wel (see Fig. A.3). As for SiO, the collisional rates for the rotational transitions in the ground state are taken from LAMDA, the collisional rates in the first vibrational state are assumed to be equal to those in the ground state, while the vibra-rotational collisional rates are assumed to be zero.![]() |
Figure A.3: Comparison between the transition frequencies and Einstein A coefficients of the rotational transitions in the ground state of SiS as listed in the LAMDA database and in the CDMS database. |
Open with DEXTER |
CS - carbon monosulfide.
Because the LAMDA database only lists the 41 lowest levels in the ground state (up to J = 40, as extracted from the CDMS database), the level energies, frequencies and Einstein A coefficients for the first vibrational state up to rotational quantum number J=40 and the vibra-rotational transitions between v = 1 and v = 0 were extracted from CDMS. The collisional rates are taken from the LAMDA database and are treated as in the case of SiO and SiS.CN -
cyanogen, cyanide radical,
.
Transition rates for rotational transitions in the ground vibrational
state of the cyanide radical are extracted from the
CDMS catalog. The CN energy levels are indicated by
three rotational quantum numbers: N is the
total rotational quantum numbers excluding electron and nuclear spin, J the
total rotational angular momentum including electron spin, and F designating
the spin quanta. All energy levels with 
HCN - hydrogen cyanide.
A plethora of vibrational states of the HCN molecule are relevant for astronomical observations. The states are designated by (




SO -
sulfur monoxide,
.
While both the JPL and CDMS database (and hence also the LAMDA database
for which the values were extracted from the JPL catalog) list the
rotational transitions in the v = 0 and v
= 1 vibrational state, the transition probabilities for the
vibra-rotational transitions could not be found. We therefore have
restricted the excitation analysis to the first 70 levels in
the ground vibrational state as given by the LAMDA database. We note
that the collisional rates as given by the LAMDA database are only
listed in the range between 50 and 350 K, and no
extrapolations to higher temperatures are provided. For temperatures in
the envelope higher than 350 K, the rotational rates at T = 350 K
were used.
SO2 - sulfur dioxide.
Energy levels, frequencies, Einstein A coefficients and collisional rates are taken from the LAMDA database (where they were extracted from the JPL database). The first 198 levels in the ground state are included in the analysis. We note that the collisional rates are taken from Green (1995) and were calculated for temperatures in the range from 25 to 125 K including energy levels up to 62 cm-1 for collisions with He. This set of collisional rate coefficients, multiplied by 1.4 to represent collisions with H2, was extrapolated in the LAMDA database to include energy levels up to 250 cm-1 and for a range of temperatures from 10 to 375 K.H2O - water.
The radiative transfer modeling includes the 45 lowest levels in the ground state and first vibrational state (i.e. the bending mode


The H2O-H2 collisional
rates in the ground state are taken from the H2O-He
rates by Green
et al. (1993), corrected by a factor 1.348
to account for collisions with H2.
Rotational collision rates within the first excited state are taken to
be the same as for the ground state, while collisions between the
ground
and first excited state
are based on the ground state rotational collision rate coefficients
scaled by a factor 0.01 (Deguchi &
Nguyen-Q-Rieu 1990). In their analysis, Deguchi &
Nguyen-Q-Rieu (1990) show that the uncertainties in the
vibrational collisional rates have no effect on the calculated H2O lines.
In Sect. 5.3,
we compare the H2O line profile predictions
using the Barber and LAMDA line list and the effect of
excluding the
bending mode and including the asymmetric stretching mode
is discussed.
![]() |
Figure A.4: Comparison between the transition frequencies and Einstein A coefficients of the rotational transitions in the ground state of H2O as listed in the LAMDA database and as computed by Barber et al. (2006). |
Open with DEXTER |
We thank I. Cherchneff for useful discussion on the circumstellar non-TE chemistry, and F. Schöier for providing us with an updated HCN linelist in the LAMDA database. L.D. acknowledges financial support from the Fund for Scientific Research - Flanders (FWO). E.D.B. acknowledges support from the FWO under grant number G.0470.07. H.S.P.M. is very grateful to the Bundesministerium für Bildung und Forschung (BMBF) for financial support aimed at maintaining the Cologne Database for Molecular Spectroscopy, CDMS. This support has been administered by the Deutsches Zentrum fur Luft- und Raumfahrt (DLR).The computations for this research have been done on the VIC HPC Cluster of the KULeuven. We are grateful to the LUDIT HPC team for their support.
References
- Bachiller, R., Fuente, A., Bujarrabal, V., et al. 1997, A&A, 319, 235 [NASA ADS] [Google Scholar]
- Bains, I., Cohen, R. J., Louridas, A., et al. 2003, MNRAS, 342, 8 [NASA ADS] [CrossRef] [Google Scholar]
- Barber, R. J., Tennyson, J., Harris, G. J., & Tolchenov, R. N. 2006, MNRAS, 368, 1087 [NASA ADS] [CrossRef] [Google Scholar]
- Bieging, J. H., & Tafalla, M. 1993, AJ, 105, 576 [NASA ADS] [CrossRef] [Google Scholar]
- Bieging, J. H., Shaked, S., & Gensheimer, P. D. 2000, ApJ, 543, 897 [NASA ADS] [CrossRef] [Google Scholar]
- Black, J. H., & van Dishoeck, E. F. 1991, ApJ, 369, L9 [NASA ADS] [CrossRef] [Google Scholar]
- Boboltz, D. A., & Diamond, P. J. 2005, ApJ, 625, 978 [NASA ADS] [CrossRef] [Google Scholar]
- Bowers, P. F., Johnston, K. J., & de Vegt, C. 1989, ApJ, 340, 479 [NASA ADS] [CrossRef] [Google Scholar]
- Bujarrabal, V., & Alcolea, J. 1991, A&A, 251, 536 [NASA ADS] [Google Scholar]
- Bujarrabal, V., Gomez-Gonzales, J., & Planesas, P. 1989, A&A, 219, 256 [NASA ADS] [Google Scholar]
- Bujarrabal, V., Fuente, A., & Omont, A. 1994, A&A, 285, 247 [NASA ADS] [Google Scholar]
- Carlström, U., Olofsson, H., Johansson, L. E. B., Nguyen-Q-Rieu, & Sahai, R. 1990, in From Miras to Planetary Nebulae: Which Path for Stellar Evolution?, ed. M. O. Mennessier, & A. Omont, 170 [Google Scholar]
- Cernicharo, J., Guélin, M., & Kahane, C. 2000, A&AS, 142, 181 [NASA ADS] [CrossRef] [EDP Sciences] [Google Scholar]
- Cherchneff, I. 2006, A&A, 456, 1001 [NASA ADS] [CrossRef] [EDP Sciences] [Google Scholar]
- Crosas, M., & Menten, K. M. 1997, ApJ, 483, 913 [NASA ADS] [CrossRef] [Google Scholar]
- De Beck, E., Decin, L., de Koter, A., et al. 2010, A&A, submitted [Google Scholar]
- Decin, L., & Eriksson, K. 2007, A&A, 472, 1041 [NASA ADS] [CrossRef] [EDP Sciences] [Google Scholar]
- Decin, L., Hony, S., de Koter, A., et al. 2006, A&A, 456, 549 [NASA ADS] [CrossRef] [EDP Sciences] [Google Scholar]
- Decin, L., Hony, S., de Koter, A., et al. 2007, A&A, 475, 233 [NASA ADS] [CrossRef] [EDP Sciences] [Google Scholar]
- Decin, L., Blomme, L., Reyniers, M., et al. 2008a, A&A, 484, 401 [NASA ADS] [CrossRef] [EDP Sciences] [Google Scholar]
- Decin, L., Cherchneff, I., Hony, S., et al. 2008b, A&A, 480, 431 [Google Scholar]
- Deguchi, S., & Goldsmith, P. F. 1985, Nature, 317, 336 [NASA ADS] [CrossRef] [Google Scholar]
- Deguchi, S., & Nguyen-Q-Rieu. 1990, ApJ, 360, L27 [NASA ADS] [CrossRef] [Google Scholar]
- Dominik, C., Sedlmayr, E., & Gail, H.-P. 1993, A&A, 277, 578 [NASA ADS] [Google Scholar]
- Duari, D., Cherchneff, I., & Willacy, K. 1999, A&A, 341, L47 [NASA ADS] [Google Scholar]
- Gail, H.-P., & Sedlmayr, E. 1999, A&A, 347, 594 [NASA ADS] [Google Scholar]
- Goldreich, P., & Scoville, N. 1976, ApJ, 205, 144 [Google Scholar]
- González-Alfonso, E., Neufeld, D. A., & Melnick, G. J. 2007, ApJ, 669, 412 [NASA ADS] [CrossRef] [Google Scholar]
- González Delgado, D., Olofsson, H., Kerschbaum, F., et al. 2003, A&A, 411, 123 [NASA ADS] [CrossRef] [EDP Sciences] [Google Scholar]
- Goorvitch, D., & Chackerian, C. 1994, ApJS, 91, 483 [NASA ADS] [CrossRef] [Google Scholar]
- Green, S. 1995, ApJS, 100, 213 [NASA ADS] [CrossRef] [Google Scholar]
- Green, S., Maluendes, S., & McLean, A. D. 1993, ApJS, 85, 181 [NASA ADS] [CrossRef] [Google Scholar]
- Groenewegen, M. A. T. 1994, A&A, 290, 531 [NASA ADS] [Google Scholar]
- Gustafsson, B., Edvardsson, B., Eriksson, K., et al. 2008, A&A, 486, 951 [NASA ADS] [CrossRef] [EDP Sciences] [Google Scholar]
- Hale, D. D. S., Bester, M., Danchi, W. C., et al. 1997, ApJ, 490, 407 [NASA ADS] [CrossRef] [Google Scholar]
- Hashimoto, M., Nomoto, K., & Shigeyama, T. 1989, A&A, 210, L5 [NASA ADS] [Google Scholar]
- He, J. H., Dinh-V-Trung, Kwok, S., et al. 2008, ApJS, 177, 275 [NASA ADS] [CrossRef] [Google Scholar]
- Hogerheijde, M. R., & van der Tak, F. F. S. 2000, A&A, 362, 697 [NASA ADS] [Google Scholar]
- Hoppe, P., Leitner, J., Meyer, B. S., et al. 2009, ApJ, 691, L20 [NASA ADS] [CrossRef] [Google Scholar]
- Jewell, P. R., Snyder, L. E., & Schenewerk, M. S. 1986, Nature, 323, 311 [NASA ADS] [CrossRef] [Google Scholar]
- Jiang, B. W., Shen, J. J., & Sun, J. 2003, in Mass-Losing Pulsating Stars and their Circumstellar Matter, ed. Y. Nakada, M. Honma, & M. Seki, Astrophys. Space Sci. Libr., 283, 323 [Google Scholar]
- Jura, M. 1983, ApJ, 267, 647 [NASA ADS] [CrossRef] [Google Scholar]
- Justtanont, K., Skinner, C. J., & Tielens, A. G. G. M. 1994, ApJ, 435, 852 [NASA ADS] [CrossRef] [Google Scholar]
- Kim, H. 2006, Ph.D. Thesis, Universität Bonn, Germany [Google Scholar]
- Kim, H., Wyroski, F., Menten, K. M., & Decin, L. 2010, A&A, 516, A68 (Paper I) [NASA ADS] [CrossRef] [EDP Sciences] [Google Scholar]
- Knapp, G. R., & Morris, M. 1985, ApJ, 292, 640 [NASA ADS] [CrossRef] [Google Scholar]
- Lambert, D. L., McWilliam, A., & Smith, V. V. 1987, Ap&SS, 133, 369 [NASA ADS] [CrossRef] [Google Scholar]
- Lamers, H. J. G. L. M. & Cassinelli, J. P. 1999, Introduction to Stellar Winds, ed. H. J. G. L. M. Lamers, & J. P. Cassinelli [Google Scholar]
- Lane, A. P., Johnston, K. J., Spencer, J. H., Bowers, P. F., & Diamond, P. J. 1987, ApJ, 323, 756 [NASA ADS] [CrossRef] [Google Scholar]
- Langhoff, S. R., & Bauschlicher, C. W. J. 1993, Chem. Phys. Lett., 211, 305 [NASA ADS] [CrossRef] [Google Scholar]
- Larsson, B., Liseau, R., & Men'shchikov, A. B. 2002, A&A, 386, 1055 [NASA ADS] [CrossRef] [EDP Sciences] [Google Scholar]
- Lindqvist, M., Nyman, L.-A., Olofsson, H., & Winnberg, A. 1988, A&A, 205, L15 [NASA ADS] [Google Scholar]
- Loup, C., Forveille, T., Omont, A., & Paul, J. F. 1993, A&AS, 99, 291 [NASA ADS] [Google Scholar]
- Lucas, R., Bujarrabal, V., Guilloteau, S., et al. 1992, A&A, 262, 491 [NASA ADS] [Google Scholar]
- MacGregor, K. B., & Stencel, R. E. 1992, ApJ, 397, 644 [NASA ADS] [CrossRef] [Google Scholar]
- Maercker, M., Schöier, F. L., Olofsson, H., Bergman, P., & Ramstedt, S. 2008, A&A, 479, 779 [NASA ADS] [CrossRef] [EDP Sciences] [Google Scholar]
- Maercker, M., Schöier, F. L., Olofsson, H., et al. 2009, A&A, 494, 243 [NASA ADS] [CrossRef] [EDP Sciences] [Google Scholar]
- Mamon, G. A., Glassgold, A. E., & Huggins, P. J. 1988, ApJ, 328, 797 [NASA ADS] [CrossRef] [Google Scholar]
- Marvel, K. B. 2005, AJ, 130, 261 [NASA ADS] [CrossRef] [Google Scholar]
- Millar, T. J., Flores, J. R., & Markwick, A. J. 2001, MNRAS, 327, 1173 [NASA ADS] [CrossRef] [Google Scholar]
- Molster, F. J., Waters, L. B. F. M., & Tielens, A. G. G. M. 2002, A&A, 382, 222 [NASA ADS] [CrossRef] [EDP Sciences] [Google Scholar]
- Mostefaoui, S., & Hoppe, P. 2004, ApJ, 613, L149 [NASA ADS] [CrossRef] [Google Scholar]
- Müller, H. S. P., Schlöder, F., Stutzki, J., & Winnewisser, G. 2005, J. Mol. Struct., 742, 215 [NASA ADS] [CrossRef] [Google Scholar]
- Müller, H. S. P., McCarthy, M. C., Bizzocchi, L., et al. 2007, Physical Chemistry Chemical Physics, Incorporating Faraday Transactions, 9, 1579 [Google Scholar]
- Neri, R., Kahane, C., Lucas, R., Bujarrabal, V., & Loup, C. 1998, A&AS, 130, 1 [NASA ADS] [CrossRef] [EDP Sciences] [Google Scholar]
- Netzer, N., & Knapp, G. R. 1987, ApJ, 323, 734 [NASA ADS] [CrossRef] [Google Scholar]
- Neugebauer, G., Martz, D. E., & Leighton, R. B. 1965, ApJ, 142, 399 [NASA ADS] [CrossRef] [Google Scholar]
- Nittler, L. R., Hoppe, P., Alexander, C. M. O., et al. 1995, ApJ, 453, L25 [NASA ADS] [CrossRef] [Google Scholar]
- Olofsson, H., Lindqvist, M., Nyman, L.-A., & Winnberg, A. 1998, A&A, 329, 1059 [NASA ADS] [Google Scholar]
- Omont, A., Lucas, R., Morris, M., & Guilloteau, S. 1993, A&A, 267, 490 [NASA ADS] [Google Scholar]
- Pickett, H. M., Poynter, I. R. L., Cohen, E. A., et al. 1998, J. Quant. Spectrosc. Radiat. Trans., 60, 883 [Google Scholar]
- Ramstedt, S., Schöier, F. L., Olofsson, H., & Lundgren, A. A. 2008, A&A, 487, 645 [NASA ADS] [CrossRef] [EDP Sciences] [Google Scholar]
- Schöier, F. L., van der Tak, F. F. S., van Dishoeck, E. F., & Black, J. H. 2005, A&A, 432, 369 [NASA ADS] [CrossRef] [EDP Sciences] [Google Scholar]
- Schöier, F. L., Olofsson, H., & Lundgren, A. A. 2006, A&A, 454, 247 [NASA ADS] [CrossRef] [EDP Sciences] [Google Scholar]
- Schöier, F. L., Bast, J., Olofsson, H., & Lindqvist, M. 2007a, A&A, 473, 871 [NASA ADS] [CrossRef] [EDP Sciences] [Google Scholar]
- Schöier, F. L., Fong, D., Bieging, J. H., et al. 2007b, ApJ, 670, 766 [NASA ADS] [CrossRef] [Google Scholar]
- Schönberg, K., & Hempe, K. 1986, A&A, 163, 151 [NASA ADS] [Google Scholar]
- Sopka, R. J., Olofsson, H., Johansson, L. E. B., Nguyen, Q.-R., & Zuckerman, B. 1989, A&A, 210, 78 [NASA ADS] [Google Scholar]
- Speck, A. K., Barlow, M. J., Sylvester, R. J., & Hofmeister, A. M. 2000, A&AS, 146, 437 [Google Scholar]
- Tenenbaum, E. D., Woolf, N. J., & Ziurys, L. M. 2007, ApJ, 666, L29 [NASA ADS] [CrossRef] [Google Scholar]
- Teyssier, D., Hernandez, R., Bujarrabal, V., Yoshida, H., & Phillips, T. G. 2006, A&A, 450, 167 [NASA ADS] [CrossRef] [EDP Sciences] [Google Scholar]
- Thielemann, F.-K., Nomoto, K., & Yokoi, K. 1986, A&A, 158, 17 [NASA ADS] [Google Scholar]
- Tsuji, T., Ohnaka, K., Hinkle, K. H., & Ridgway, S. T. 1994, A&A, 289, 469 [NASA ADS] [Google Scholar]
- Ukita, N., & Kaifu, N. 1988, in Atmospheric Diagnostics of Stellar Evolution, IAU Colloq. 108, ed. K. Nomoto (Berlin: Springer Verlag), Lect. Notes Phys., 305, 51 [Google Scholar]
- van der Tak, F. F. S., Boonman, A. M. S., Braakman, R., & van Dishoeck, E. F. 2003, A&A, 412, 133 [NASA ADS] [CrossRef] [EDP Sciences] [Google Scholar]
- Vollmer, C., Hoppe, P., & Brenker, F. E. 2008, ApJ, 684, 611 [NASA ADS] [CrossRef] [Google Scholar]
- Willacy, K., & Millar, T. J. 1997, A&A, 324, 237 [NASA ADS] [Google Scholar]
- Wing, R. F., & Lockwood, G. W. 1973, ApJ, 184, 873 [NASA ADS] [CrossRef] [Google Scholar]
- Woitke, P. 2006, A&A, 460, L9 [NASA ADS] [CrossRef] [EDP Sciences] [Google Scholar]
- Yamamura, I., de Jong, T., Onaka, T., Cami, J., & Waters, L. B. F. M. 1999, A&A, 341, L9 [NASA ADS] [Google Scholar]
- Zinner, E., Nittler, L. R., Gallino, R., et al. 2006, ApJ, 650, 350 [NASA ADS] [CrossRef] [Google Scholar]
- Ziurys, L. M., Milam, S. N., Apponi, A. J., & Woolf, N. J. 2007, Nature, 447, 1094 [Google Scholar]
Footnotes
- ...1,2
- Postdoctoral Fellow of the Fund for Scientific Research, Flanders.
- ... JCMT
- The James Clerk Maxwell Telescope (JCMT) is operated by The Joint Astronomy Centre on behalf of the Science and Technology Facilities Council of the United Kingdom, the Netherlands Organisation for Scientific Research, and the National Research Council of Canada.
- ... APEX
- APEX, the Atacama Pathfinder Experiment, is a collaboration between the Max-Planck-Institut fur Radioastronomie, the European Southern Observatory, and the Onsala Space Observatory. Program IDs are 077.D-0781 and 077.D-4004.
- ... (IRAM)
- IRAM is supported by INSU/CNRS (France), MPG (Germany), and IGN (Spain).
- ... HCN(3-2)
- When the isotopic notation is not given, the molecular line transition is from the main isotopolog.
- ...
- Estimates of these ranges are found by considering the place where I(p) p3, with I the intensity and p the impact parameter, is at half its maximum value.
All Tables
Table 1:
Overview of the molecular line transitions used in this research, with
indication of the frequency, the upper energy level, the telescope, the
main beam half power beam width (HPBW) and main beam
efficienciy (
).
Table 2: The fractional abundance (relative to H2) taken for the parent species by Willacy & Millar (1997).
Table 3: Modeling assumptions of the abundance stratification.
Table 4: Parameters of the models with best goodness-of-fit for IK Tau.
Table 5:
Molecular fractional abundance relative to H
=
(H2)
(see Fig. 5).
Table 6: Comparison of the deduced fractional abundances to other observational studies and theoretical predictions.
Table 7: Mass-loss rate values derived from 12CO rotational line transitions for IK Tau.
Table 8: Line frequencies, upper energy levels and Einstein A-coefficients for the ortho-H2O lines, which will be observed with Herschel/HIFI.
All Figures
![]() |
Figure 1: Schematic overview (not to scale) of the circumstellar envelope (CSE) of an oxygen-rich AGB star. Several chemical processes are indicated at the typical temperature and radial distance from the star in the envelope where they occur. The nomenclature as used in this paper is given. |
Open with DEXTER | |
In the text |
![]() |
Figure 2:
Theoretically predicted molecular abundance stratification in the
envelope of IK Tau. The full lines represent the
results as derived by Willacy
& Millar (1997) for the outer envelope of
IK Tau assuming a mass-loss rate of 1 |
Open with DEXTER | |
In the text |
![]() |
Figure 3:
Velocity profile of IK Tau. Velocity data are
obtained from mapping of maser emission: SiO (Boboltz & Diamond
2005), H2O (Bains et al. 2003),
and OH (Bowers
et al. 1989). The CO expansion velocity
derived from our CO data is also indicated. The expansion
velocity deduced from the CO data alone (see
``model 1'' in Table 4) is plotted
as full black line. The dotted black line indicates the velocity
structure taking a turbulent velocity
(of 1.5 km s-1) into
account. The green line gives the expansion (+turbulent) velocity
deduced from both the CO and HCN lines (model 2 in
Table 4).
The dashed blue line represents an even smoother expansion (+turbulent)
velocity structure, applying Eq. (3), with |
Open with DEXTER | |
In the text |
![]() |
Figure 4:
Thermodynamic structure in the envelope of IK Tau as
derived from the 12CO and
HCN rotational line transitions for the stellar parameters of
model 3 in Table 4. Upper
left: estimated temperature profile, upper right:
estimated gas and drift velocity, lower left:
cooling rates, and lower right: heating rates. The
start of the dusty envelope,
|
Open with DEXTER | |
In the text |
![]() |
Figure 5:
Predicted abundance stratifications [mol/H
|
Open with DEXTER | |
In the text |
![]() |
Figure 6: CO rotational line profiles of IK Tau (plotted in grey) compared with the GASTRoNOoM non-LTE line predictions (in black) with the parameters of ``model 3'' as specified in Table 4. The rest frame of the velocity scale is the local standard of rest (LSR) velocity. |
Open with DEXTER | |
In the text |
![]() |
Figure 7: HCN observed spectral lines (gray) compared to the spectral line predictions (black) based on the CSE model shown in Fig. 4 and the abundance stratification displayed in Fig. 5. |
Open with DEXTER | |
In the text |
![]() |
Figure 8: SiS observed spectral lines (gray) compared to the spectral line predictions based on the CSE model shown in Fig. 4 and the abundance stratification displayed in Fig. 5. |
Open with DEXTER | |
In the text |
![]() |
Figure 9: 28SiO observed spectral lines (gray) compared to the spectral line predictions based on the CSE model shown in Fig. 4 and the abundance stratification displayed in Fig. 5. |
Open with DEXTER | |
In the text |
![]() |
Figure 10: Upper panel: 28SiO spectra of IK Tau from González Delgado et al. (2003). Lower panel: 28SiO spectral line predictions based on the CSE model shown in Fig. 4 and the abundance stratification displayed in Fig. 5. |
Open with DEXTER | |
In the text |
![]() |
Figure 11: 29SiO observed spectral lines (gray) compared to the spectral line predictions based on the CSE model shown in Fig. 4 and the abundance stratification displayed in Fig. 5. |
Open with DEXTER | |
In the text |
![]() |
Figure 12: 30SiO observed spectral lines (gray) compared to the spectral line predictions based on the CSE model shown in Fig. 4 and the abundance stratification displayed in Fig. 5. |
Open with DEXTER | |
In the text |
![]() |
Figure 13: CS observed spectral lines (gray) compared to the spectral line predictions based on the CSE model shown in Fig. 4 and the abundance stratification displayed in Fig. 5. |
Open with DEXTER | |
In the text |
![]() |
Figure 14: CN observed spectral lines (gray) compared to the spectral line predictions based on the CSE model shown in Fig. 4 and the abundance stratification displayed in Fig. 5. The dashed line predictions corresponds to the ``alternative solution'' as shown in Fig. 5. |
Open with DEXTER | |
In the text |
![]() |
Figure 15: SO observed spectral lines (gray) compared to the spectral line predictions based on the CSE model shown in Fig. 4 and the abundance stratification displayed in Fig. 5. |
Open with DEXTER | |
In the text |
![]() |
Figure 16: SO2 observed spectral lines (gray) compared to the spectral line predictions based on the CSE model shown in Fig. 4 and the abundance stratification displayed in Fig. 5. |
Open with DEXTER | |
In the text |
![]() |
Figure 17: Snapshot of a few ortho-H2O lines, which will be observed with Herschel/HIFI. |
Open with DEXTER | |
In the text |
![]() |
Figure 18:
Comparison between H2O line profile predictions
using (1) the Barber line list, including the ground-state and
|
Open with DEXTER | |
In the text |
![]() |
Figure 19:
Comparison between H2O line profile predictions
using the Barber line list, including the ground-state and |
Open with DEXTER | |
In the text |
![]() |
Figure 20:
Representation of the stellar radiation field. Upper panel:
comparison between a blackbody at 3000 K (gray) and a MARCS
flux-sampled spectrum at a stellar temperature of 3000 K and a
logarithm of the gravity of 1.5 dex (black). Lower
panel: comparison between a blackbody at 3000 K
(gray), a MARCS flux-sampled
spectrum (light gray) and a high-resolution theoretical spectrum
generated from the MARCS model with a
resolution of |
Open with DEXTER | |
In the text |
![]() |
Figure A.1: Comparison between the transition frequencies and Einstein A coefficients of CO as listed in the LAMDA database and as computed by Goorvitch & Chackerian (1994). |
Open with DEXTER | |
In the text |
![]() |
Figure A.2: Comparison between the transition frequencies and Einstein A coefficients of the rotational transitions in the ground state of SiO as listed in the LAMDA database and computed by Langhoff & Bauschlicher (1993). |
Open with DEXTER | |
In the text |
![]() |
Figure A.3: Comparison between the transition frequencies and Einstein A coefficients of the rotational transitions in the ground state of SiS as listed in the LAMDA database and in the CDMS database. |
Open with DEXTER | |
In the text |
![]() |
Figure A.4: Comparison between the transition frequencies and Einstein A coefficients of the rotational transitions in the ground state of H2O as listed in the LAMDA database and as computed by Barber et al. (2006). |
Open with DEXTER | |
In the text |
Copyright ESO 2010
Current usage metrics show cumulative count of Article Views (full-text article views including HTML views, PDF and ePub downloads, according to the available data) and Abstracts Views on Vision4Press platform.
Data correspond to usage on the plateform after 2015. The current usage metrics is available 48-96 hours after online publication and is updated daily on week days.
Initial download of the metrics may take a while.