Issue |
A&A
Volume 516, June-July 2010
|
|
---|---|---|
Article Number | A57 | |
Number of page(s) | 16 | |
Section | Interstellar and circumstellar matter | |
DOI | https://doi.org/10.1051/0004-6361/201014182 | |
Published online | 28 June 2010 |
Methanol maps of low-mass protostellar systems
I. The Serpens molecular core
L. E. Kristensen1 - E. F. van Dishoeck1,2 - T. A. van Kempen3 - H. M. Cuppen1 - C. Brinch1 - J. K. Jørgensen4 - M. R. Hogerheijde1
1 - Leiden Observatory, Leiden University, PO Box 9513, 2300 RA Leiden,
The Netherlands
2 - Max Planck Institut für Extraterrestrische Physik (MPE),
Giessenbachstrasse 1, 85748 Garching, Germany
3 - Harvard-Smithsonian Center for Astrophysics, 60 Garden Street, MS
78, Cambridge, MA 02138, USA
4 - Centre for Star and Planet Formation, Natural History Museum of
Denmark, Øster Voldgade 5-7, 1350 Copenhagen K., Denmark
Received 2 February 2010 / Accepted 2 April 2010
Abstract
Context. Methanol has a rich rotational spectrum
providing a large number of transitions at sub-millimetre wavelengths
from a range of energy levels in one single telescope setting, thus
making it a good tracer of physical conditions in star-forming regions.
Furthermore, it is formed exclusively on grain surfaces and is
therefore a clean tracer of surface chemistry.
Aims. Determining the physical and chemical
structure of low-mass, young stellar objects, in particular the
abundance structure of CH3OH, to investigate
where and how CH3OH forms and how it is
eventually released back to the gas phase.
Methods. Observations of the Serpens molecular core
have been performed at the James Clerk Maxwell Telescope using the
array receiver, Harp-B. Maps over a 4
4 region were made in a
frequency window around 338 GHz, covering the 7K-6K
transitions of methanol. Data are compared with physical models of each
source based on existing sub-millimetre continuum data.
Results. Methanol emission is extended over each
source, following the column density of H2 but
showing up also particularly strongly around outflows. The rotational
temperature is low, 15-20 K, and does not vary with position
within each source. None of the Serpens Class 0 sources show
the high-K lines seen in several other Class 0
sources. The abundance is typically 10-9-10-8
with respect to H2 in the outer envelope,
whereas ``jumps'' by factors of up to 102-103
inside the region where the dust temperature exceeds 100 K are
not excluded. A factor of up to 103 enhancement is seen in
outflow gas, consistent with previous studies. In one object, SMM4, the
ice abundance has been measured to be
with respect to H2 in the outer envelope, i.e.,
a factor of 103 larger than the gas-phase
abundance. Comparison with C18O J=
3-2 emission shows that strong CO depletion leads to a high gas-phase
abundance of CH3OH not just for the Serpens
sources, but also for a larger sample of deeply embedded protostars.
Conclusions. The observations illustrate the
large-scale, low-level desorption of CH3OH from
dust grains, extending out to and beyond 7500 AU from each
source, a scenario which is consistent with non-thermal
(photo-)desorption from the ice. The observations also illustrate the
usefulness of CH3OH as a tracer of energetic
input in the form of outflows, where methanol is sputtered from the
grain surfaces. Finally, the observations provide further evidence of CH3OH
formation through CO hydrogenation proceeding on grain surfaces in
low-mass envelopes.
Key words: ISM: abundances - ISM: molecules - stars: formation - ISM: individual objects: Serpens
1 Introduction
A long-standing goal of astrochemistry has been to determine the physical and chemical conditions prevailing in star-forming regions (e.g., van Dishoeck & Blake 1998). In this respect, different molecules act as tracers of different physical components, all depending on their formation history, their abundances, their chemical properties, etc. To effectively trace physical conditions such as density and temperature over the large range of values found in star-forming regions over the time-scale of star-formation, it is of great importance to have as many independent tracers as possible. Methanol (CH3OH), with its rich rotational spectrum, is an excellent candidate tracing both temperature, density, grain surface formation and energy injection simultaneously during all phases of the early stages of stellar evolution.
CH3OH is a slightly asymmetric top molecule with numerous rotational transitions observable at millimetre- and sub-millimetre wavelengths. Because of the large number of transitions observable in a single frequency window it is possible to obtain a coherent data set very efficiently, making methanol a very suitable tracer of physical conditions, in particular in low-mass star forming regions where the emission is optically thin. Moreover, since the molecule is a slightly asymmetric top molecule, it traces very efficiently both density and temperature (e.g., Maret et al. 2005; Jørgensen et al. 2005b; Leurini et al. 2007).
Methanol forms exclusively on ice-covered dust grain surfaces
primarily through hydrogenation of CO (Watanabe & Kouchi 2002;
Fuchs
et al. 2009). Observations
of interstellar ices show that methanol is indeed a prominent ice
component, with abundances of up to almost 30% with respect to
solid-state H2O or a few 10-5
with respect to gas-phase
H2 (e.g., Pontoppidan et al. 2004;
Dartois
et al. 1999; Gibb et al. 2004). In
contrast,
pure gas phase reactions produce negligible CH3OH
abundances of
less than 10-10 (Garrod
et al. 2006). The question that naturally
arises is how methanol desorbs from the surface of a dust grain to
be observed in the gas phase. Is it through thermal heating of the
entire grain, or is it through non-thermal desorption, where cosmic
rays, UV-photons or exothermic reactions provide local heating of the
grain? The former mechanism is at play close to young
stellar objects (YSOs), in the inner-most part of the molecular
envelope where the gas temperature exceeds 100 K
(van der
Tak et al. 2000; Maret et al. 2005; Ceccarelli
et al. 2000; Jørgensen et al. 2005b;
van
Dishoeck et al. 1995; Schöier et al. 2002)
and in outflows where hot gas
sputters the icy mantles (e.g. Bachiller et al. 1995;
Bachiller
& Pérez Gutiérrez 1997). This
mechanism allows for an effective methanol enrichment of the
environment and abundances are typically in the range of 10-7
to
10-6. The non-thermal
mechanism dominates in cold, dark clouds and the outer parts of
molecular envelopes (Herbst
& Cuppen 2006; Hasegawa & Herbst 1993;
Garrod
et al. 2007; Öberg et al. 2009a).
Here,
reported abundances typically have values of 10-10
to
10-8. Hence, methanol also acts as a tracer of
energetic processes
in star-forming regions.
So far most studies have concentrated on spectra at a single
position
or at most a few around them. Recently, large-scale mapping of weak
molecular lines has become very efficient with the advent of array
receivers such as the 16 pixel Harp-B receiver on the
James Clerk Maxwell Telescope (JCMT). This
allows for a direct study of the entire protostellar system (primarily
envelope and outflow) on scales of several arcminutes at
15
resolution and for determination of density, temperature
and energy input into the system. These observations will eventually
be compared directly to observations of another important grain
surface product, H2O, to be done with the
Herschel Space
Observatory. By mapping the entire region, comparison with the
different Herschel-beams (9
-40
)
will be
straight-forward.
The Serpens molecular core (also known as cluster A)
is located at a
distance of pc,
following the discussion in
Eiroa et al. (2008).
The Serpens molecular core consists of several deeply
embedded sources, of which at least four are identified as containing
protostars (Wolf-Chase
et al. 1998; Hogerheijde et al. 1999),
SMM1, SMM3, SMM4 and
S68N. Large-scale continuum-emission studies have been performed to
quantify the spectral energy distribution of all sources in order to
classify their evolutionary stage as well as the dust properties of
the molecular envelopes surrounding each source
(e.g., Davis
et al. 1999; Hurt & Barsony 1996; Williams
& Myers 2000; Testi & Sargent 1998; Larsson
et al. 2000; Casali et al. 1993),
most recently with the Spitzer Space Telescope as part
of the Cores to Disks legacy program (c2d; Evans et al. 2009; Harvey
et al. 2007). These studies show that three of the
sources (SMM3, SMM4
and S68N) have relatively low bolometric luminosities of
5
each, whereas SMM1 has a higher luminosity of
30
(e.g., Hogerheijde
et al. 1999; Larsson et al. 2000).
The
mass of each system (envelope and star) is in all cases less than
10
.
Recent interferometer observations by Choi
(2009)
show that SMM1 is a binary system with a projected separation of
500 AU.
The binary SMM1b appears less embedded than the primary
(SMM1a). This discovery has been refuted by Enoch
et al. (2009) and
van Kempen et al. (2009)
who both resolve the disk around SMM1. Through
detailed SED modelling, Enoch
et al. (2009) finds a very high disk mass of
1
and that the inner parts of the envelope have been
cleared out to distances of 500 AU.
The region has been studied extensively at millimetre (mm) and sub-millimetre (sub-mm) wavelengths in numerous molecular transitions (e.g., Wolf-Chase et al. 1998; McMullin et al. 1994; Hogerheijde et al. 1999; White et al. 1995; McMullin et al. 2000), however it was not included in the molecular surveys of isolated Class 0 and I objects in Perseus and Ophiucus (Maret et al. 2005; Jørgensen et al. 2005b,2004). The previous molecular studies conclude that SMM1, SMM3, SMM4 and S68N are all very similar to other young, low-mass stars with similar luminosities, such as IRAS 16293-2422 and NGC 1333 IRAS4A and 4B in terms of abundances of simple molecules that may be formed directly in the gas phase, e.g., HCO+, CS, HCN (McMullin et al. 2000,1994; Hogerheijde et al. 1999). In Serpens, little has been done to quantify excitation and gas-phase abundances of molecules predominantly formed on dust grain surfaces, like CH3OH, even though several lines have been detected by McMullin et al. (2000,1994) and Hogerheijde et al. (1999).
More direct observations of grain surface products have been
made by
Pontoppidan et al. (2004),
who mapped infrared absorption by molecules in
the ice over a region extending 40
south of SMM4, but still
located well within the molecular envelope. The primary ice
constituents were found to be H2O, CO (0.4-0.9
with respect to
H2O), CH3OH (0.28 with
respect to H2O) and CO2(0.3-0.5
with respect to H2O; Pontoppidan
et al. 2008). The
solid-state CH3OH abundance is one of the
highest reported to date, both when compared to H2O
but also with
respect to gas-phase H2 (
). At distances greater
than 12 000 AU the CH3OH-ice
abundance drops beneath the detection
limit, corresponding to
with respect to H2.
Besides the protostellar objects themselves, the region is
permeated
by large-scale outflows extending several arcminutes from the
different sources with CO J=2-1 velocities ranging
from 10-15 km s-1
with respect to
km s-1(Davis et al. 1999; Graves et al. 2010).
Garay et al. (2002)
observed the outflows from SMM4 and
S68N in CH3OH 3K-2K
emission and inferred CH3OH
column densities of 1-
cm-2,
corresponding to
molecular abundance enhancements of
50-330, depending on
outflow position, consistent with studies of other outflows
(e.g., Bachiller
et al. 1998,1995).
Here, the first map of rotationally excited methanol in the
Serpens
Molecular Core is presented of transitions which cover the energy
range of K.
The paper is structured as follows. In
Sect. 2
the observations are presented, and in
Sect. 3
the observational results are
provided along with radiative transfer modelling. Section 4 presents a
discussion of the results, with a particular
focus on the formation, desorption and excitation processes.
Section 5
concludes the paper.
2 Observations
![]() |
Figure 1:
Integrated emission, |
Open with DEXTER |
Observations of the Serpens molecular core were performed on
June 20-22 2008 with the James Clerk Maxwell Telescope (JCMT) on Mauna Kea,
Hawaii. Observations were made of the 7K-6K
rotational band of
methanol (
-115 K) at
frequencies ranging from
338 to 339 GHz using the Harp-B array receiver consisting of
individual
receivers (Smith et al. 2003).
The telescope was pointed at two
different locations near Serpens SMM1 and two different locations near
SMM4, see Fig. 1,
covering a total extent of
4
4. Observations were also made
of C18O,
J=3-2 at 329.330 GHz in a similar fashion,
so as to be able to compare
methanol and CO emission. Observations were made in jiggle-mode to
achieve
full spatial Nyquist-sampling using the Harp4 jiggle-pattern over a
region. The beam-size of the JCMT at 338.5 GHz is
15
and data were
subsequently put on a map with a pixel-size of 7
5,
i.e., one
half beam-size to fulfill the Nyquist sampling criterion. The
methanol observations were done using beam-switch with a throw of
180
in azimuth while the C18O observations were done
using position
switch to a clean position 1
off. The weather at the time of the
observations was good with
.
Pointing and calibration were checked at
regular intervals, and the calibration error is estimated to be
20% based on
a comparison with standard calibration sources. Data were brought from
the antenna temperature scale,
TA*,
to the main beam temperature scale,
,
by dividing
with the main beam efficiency,
,
which is 0.60 for the
JCMT at these frequencies. The spectral resolution of the CH3OH
spectra is 0.43 km s-1, and
the C18O spectra were rebinned to the same
value.
The mean rms in the methanol spectra is 20 mK in
0.43 km s-1velocity bins over
the
entire map. The 1
noise level on integrated emission has been
determined as
where the factor 1.2 accounts for the 20% telescope
calibration uncertainty,
is the rms noise, FWZIthe estimated full width at
zero intensity (taken to be
5 km s-1) and
the velocity bin
(0.43 km s-1). The 3
uncertainty is typically
0.1 K km s-1
per spatial pixel, but increases near the edges of the map by a factor
of 2-3.
Initial data reduction was done using the Starlink package.
This
consisted of putting the spectra on to a regular grid with pixel-size
7
5,
subtracting linear baselines and co-adding all data-cubes. The Gildas
package CLASS was used for subsequent analysis. Standard data reduction
revealed emission in the off-position for a
subset of the methanol observations, but it
was possible to remove this emission due to two facts: (1) the
off-emission never coincided with on-emission, i.e., no
double-peaked or ``self-absorbed'' line profiles were observed. In
general the velocity offset between emission and absorption lines was
of the order of
5 km s-1
compared to typical line-widths
of 3-4 km s-1 in the region
where the off-emission was
seen. (2) Data were recorded with a shared off-position, that
is, even though the telescope jiggled on the on-position, no jiggling
was done on the off-position. Therefore it was possible to recreate
the off-emission in the strongest emission line at 338.409 GHz
in the
following way: first the strongest ``absorption'' line was fitted with
a Gaussian profile, then an artificial spectrum was
created assuming a rotational temperature of 15 K, which was
added to
each spectrum. The spectra were then analysed and no absorption
features remained within the noise limit.
3 Results
In all spectra emission lines from the 7K-6Krotational
band of methanol are detected both on and off sources. In
the central parts of each of the four YSOs up to eight emission lines
are detected originating from ten transitions. The strongest line, the 70-60
A+ line at 338.409 GHz, has a peak
brightness
temperature of up to 0.5 K. All line profiles are Gaussian, no
line
asymmetries due to outflow activity or infall are observed. The FWHMof
the emission lines are 4-6.5 km s-1,
consistent with
other observations of methanol line widths (e.g. Maret
et al. 2005; Jørgensen et al. 2005b).
Line widths change between objects, but remain
constant within each object, i.e., line widths do not change with
position within an envelope. In Fig. 1 an overview is
provided of the integrated emission in the strong 70-60
A+line over the Serpens molecular core. The
integration is numeric and
has been done over the velocity interval -25 to
+25 km s-1with respect to
km s-1.
The four Class 0
objects, Serpens SMM1, SMM3, SMM4 and S68N (labelled in
Fig. 1)
are clearly seen. Representative spectra obtained
at different positions sampling both YSOs, molecular envelopes and
outflows are shown. Besides the four Class 0 objects, three
distinct
outflow knots are identified, SMM1-S, SMM4-W and SMM4-S. All of these
bright knots coincide with outflow positions as seen through CO
observations (e.g., Davis
et al. 1999). Weaker structure is also seen
in the map, for example an elongation of SMM1 in the east-west
direction. This corresponds to the direction of a weaker CO-outflow
(Davis et al. 1999).
The structure around S68N is more complex with the
source itself being elongated in the NW-SE direction. Around this
source a compact CS outflow has been discovered at the same position
angle as the elongation (Wolf-Chase
et al. 1998). Weak emission is also
seen around S68N in the north-south and east-west directions.
![]() |
Figure 2:
Spectra of Serpens SMM1, 3, 4 and S68N. The NGC 1333-IRAS2A
spectrum is shown for comparison (Maret
et al. 2005). Spectra at the three outflow
positions, SMM1-S, SMM4-W and SMM4-S, are also shown. Lines identified
in the CH3OH 7K-6K
band are marked. Spectra were obtained by averaging emission from the
peak pixel with its eight neighbouring pixels, i.e., in a box of 22
|
Open with DEXTER |
Representative spectra of the
central parts of the four envelopes are shown in Fig. 2
where emission is averaged over pixels
(corresponding to 22
5
or 5600 AU
5600 AU).
In the
following, results will be presented first for the central parts of
each envelope followed by results for the extended emission in each
envelope. Finally results will be presented for three strong outflow
knots in the map, named SMM1-S, SMM4-W and SMM4-S.
Table 1:
Integrated line intensities,
(K km s-1) over the central 22
5
22
5
of each sourcea and
emission-weighted, average line-widths.
3.1 Emission from the central part of the envelopes
The emission lines arising from the central part of each envelope are
fitted with Gaussian line profiles to obtain the integrated emission
at higher accuracy. Results are tabulated in Table 1
along with the upper level energy, ,
and line
frequency. In the spectra presented in Fig. 2 the
3
level is a factor of three lower, since they are each the
average of nine spectra. Low-K lines up to K
= 3 are clearly
detected, but high-K lines are not seen. This is in
contrast
to other low-mass YSOs with similar luminosities and/or distances and
evolutionary stages, such
as IRAS 16293-2422 (e.g. van
Dishoeck et al. 1995) and NGC 1333 IRAS2A
(Maret et al. 2005).
![]() |
Figure 3:
Rotational diagrams with data obtained from the four spectra shown in
Fig. 2.
The best-fit straight line is shown in
each case as a dotted line. Error bars are for 1 |
Open with DEXTER |
The integrated intensities are used to make rotational diagrams for
each of the four objects. These are shown in
Fig. 3.
Within the uncertainty, the logarithm of the
derived upper
level column densities, N, divided by the
statistical weights, g,
fall on a straight line when plotted versus the upper level
energy divided by the Boltzmann constant, .
No difference
between A- and E-type methanol is found, thus
the abundances are equal, x(E-CH3OH)
= x(A-CH3OH). In the
cold-temperature limit (
K)
the abundance ratio is expected to be E/A=0.69
whereas it is 1 at higher temperatures, and thus little or no
difference in abundance is expected (e.g., Friberg
et al. 1988). The derived rotational temperature for
each of the
four envelopes is low, 15-20 K, significantly lower than the
rotational temperature of
80 K
inferred for
IRAS 16293-2422 and NGC 1333 IRAS2A (Maret
et al. 2005; van Dishoeck et al. 1995).
The
estimated column densities are all of the order of
1014-1015 cm-2.
Results
are tabulated in Table 2.
Rotational temperatures and
column densities are similar to those found by Maret
et al. (2005) and
Jørgensen et al. (2005b)
for a larger sample of low-mass, Class 0 objects,
with the exception of the two sources mentioned above.
3.2 Extended emission from the envelopes
To quantify the spatial distribution of methanol in each molecular
envelope, the radial distribution of emission from the five
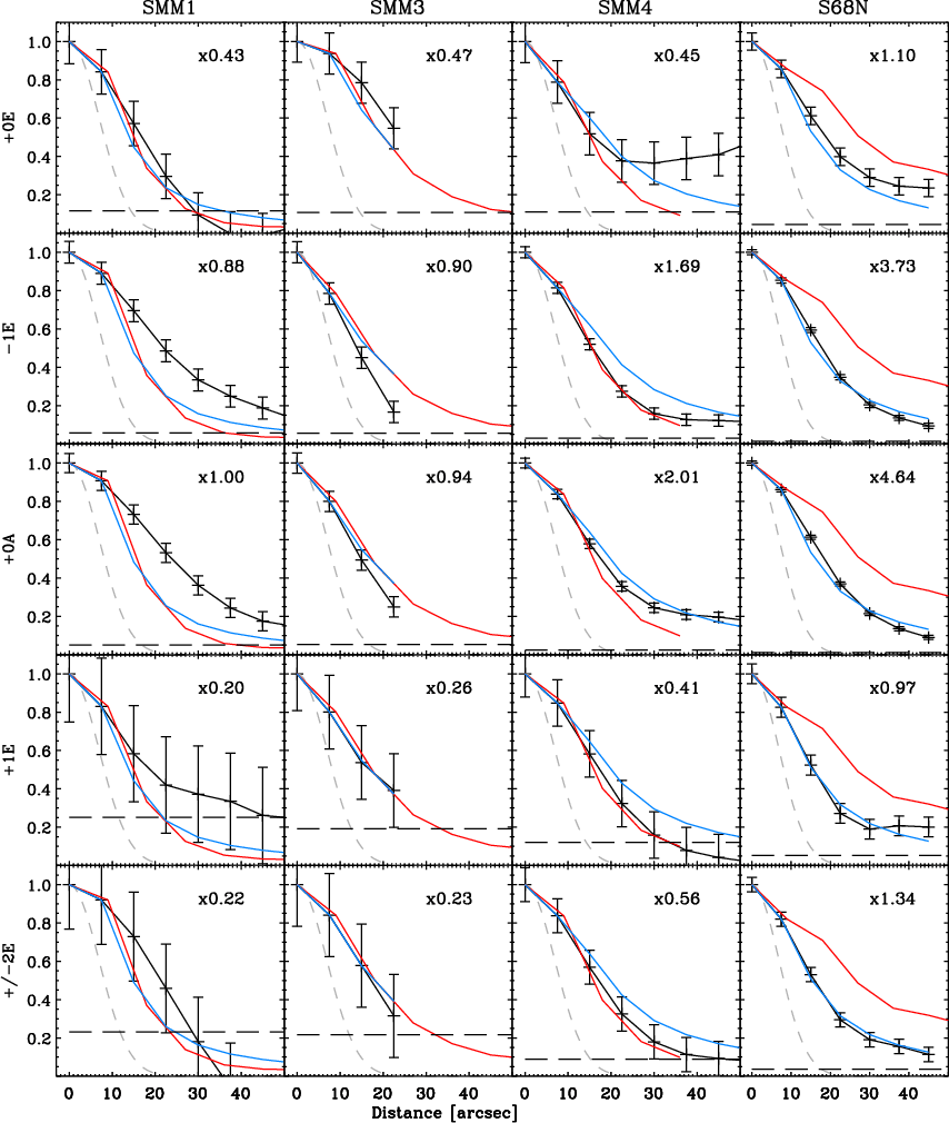
strongest lines is plotted in Fig. 6. Methanol
emission is
extended in all envelopes, and the FWHM of emission
is around
2-3 times the 15
beam. Extended methanol has previously been
reported in the envelope of the isolated Class 0 object L483
(Tafalla et al. 2000)
in the 20-10 A+
and 2-1-1-1 E
lines (
-20 K), where it was
found that the methanol
emission traces total gas column density. To verify whether this is
true for the Serpens envelopes, it is necessary to quantify the
physical structure of the envelopes. This is done through a
combination of dust continuum emission at 850
m as
observed with
SCUBA on the JCMT and modelling of the physical structure.
To obtain the absolute abundances, three different methods are
used. First, the CH3OH column density obtained
from rotational
diagrams is compared to the column density obtained from dust emission
at 850 m
in the same beam. Second, the CH3OH column
density
from rotational diagrams is compared to the column density predicted
from a physical model of each source. Third, a radiative transfer
model is compared directly to the observed spectrum to constrain the
abundance. Results are listed in Table 4.
Table 2: Rotational diagram results for the observed methanol emission.
3.2.1 Dust continuum emission
Table 3: Best fit D USTY model input parameters and results for the physical structure of the four molecular envelopes in Serpens.
It is possible to directly estimate the average column density
over
the central area of each envelope by assuming that the dust emission
is optically thin, thermal emission at a single dust temperature,
:
![]() |
= | ![]() |
|
= | ![]() |
(1) |
Here










Reduced data from the SCUBA Legacy archive have been used
(Di Francesco et al. 2008)
to estimate the integrated continuum flux at
850 m.
An average dust temperature of 20 K was used following
global estimates of the dust temperature over the entire Serpens
molecular core of 20 K from Schnee
et al. (2005). If the temperature
changes to 10 K, the column density estimate is increased by a
factor
of 3.3, while if it is 30 K, the column density is decreased
by a
factor of 1.8.
By using a dust temperature of 20 K, the average
column density over a
22
5
22
5
region is in the range of 1-
cm-2.
This leads to CH3OH fractional abundances in
the range of 1-
with respect to H2, see
below.
3.2.2 D USTY modelling of envelope properties
Since the dust (and gas) temperatures change near the YSOs, the CH3OH emission can be further quantified through modelling of the physical parameters of the envelopes. This is done following Schöier et al. (2002) and Jørgensen et al. (2002), where the dust continuum emission is modelled with a spherically symmetric envelope with a power-law density structure heated from the inside by the protostar, using the 1D code D USTY (Ivezic & Elitzur 1997). Dust opacities tabulated by Ossenkopf & Henning (1994) are used for densities of 106 cm-3 and thin ice mantles (corresponding to the values in their Table 1, Col. 5). The central heating source is taken to be a black-body radiating at a temperature of 5000 K, but model results are not very sensitive to this parameter. The output from D USTY is dimensionless, so to make an absolute calibration it is necessary to do so against the absolute luminosity and a given distance of the source. The output can be in the form of a spectral energy distribution (SED) and a radial profile of continuum emission at a user-specified wavelength.
Only dust heating at temperatures below 250 K is
considered
(corresponding to a peak wavelength of 12
m). Thus there
is a ``hole'' in the inner part of the envelope extending out to a
radius,
,
where no attempt is made to model the dust
emission. The physical extent of the envelope is defined
by the parameter
.
The density
profile of the envelope is described by a power-law such that
.
Three
observational constraints are used following Jørgensen
et al. (2002) to
identify the best-fitting dust model: the SED and the spatial
distribution of continuum emission as recorded by SCUBA on the JCMT at
450
m
and 850
m,
both available through the SCUBA legacy
archive (Di Francesco
et al. 2008).
SEDs were assembled from the literature, using data points from MIPS on the Spitzer Space Telescope, ISO-LWS and IRAS along with ground-based single-dish continuum measurements at sub-mm, mm and cm wavelengths. For this work, the SED database available at http://astro.kent.ac.uk/protostars/ proved invaluable (Froebrich 2005). A full table of SED points is included in Appendix A.
The reduced SCUBA continuum emission maps from the SCUBA
legacy
archive have been smoothed to equivalent beam sizes of 11
and
19
5
at 450 and 850
m,
respectively
(Di Francesco et al. 2008).
Along with emission maps, maps containing the
error on each pixel are also provided, facilitating error
analysis. The radial profile of each object was compiled by
considering the emission in annuli extending from the pixel
containing the maximum value of emission. The maps were carefully
checked, and directions containing contamination from other objects
were avoided.
Three D USTY input values were
varied: the physical size of the
envelope, Y, the opacity at 100 m,
m) and the
power-law slope of the radial density profile, p. A
small grid of
simulations was calculated and the best-fit model for each envelope
was found using a
method, following Jørgensen
et al. (2002). The
best-fit model parameters are listed in Table 3 along
with physical parameters such as the extent of the envelope, the local
density at the inner radius, the column density and the total envelope
mass. The best-fit model predictions are overplotted on actual data in
Fig. 4.
In general agreement between the modelled and observed
properties are
good, except in the case of the modelled 850 m radial
profile of
S68N. The model prediction is consistently a factor of 2-3 lower than
observed values. Part of the reason is that since several sub-mm
sources are present close to S68N, only emission from the NW direction
is modelled here, implying that the uncertainty on individual data
points is higher than in the case of SMM1, SMM3 and SMM4. In this
particular direction there may still be contamination, and thus
emphasis is placed primarily on modelling of the SED. Moreover, the
radial emission profile at 450
m is much steeper than the 850
m profile,
indicating that there may be more cold, ambient cloud material toward
S68N. The radial profile obtained at 450
m is
well reproduced by the best-fit D USTY
model.
![]() |
Figure 4: D USTY modelling results of the molecular envelopes of SMM1, 3, 4 and S68N. The left panel shows the SEDs of all four objects, whereas the right panel shows the normalized radial dust emission profile as obtained with SCUBA (Di Francesco et al. 2008). Best-fit results are over-plotted as solid lines, and the values for the best-fit models are given in the right-hand panel. |
Open with DEXTER |
From the D USTY model it is possible to
estimate the average column
density over a region of 22
5
and compare this
to the CH3OH column density. The average column
density is
found to be
(
cm-2.
This leads to an abundance of
with respect to H2 for SMM1 and SMM3 to
for S68N (see Table 4
for
details).
3.2.3 R ATRAN simulation
In the following the abundance is constrained through direct radiative
transfer modelling. This has been done using the code, R ATRAN
(Hogerheijde & van der
Tak 2000) in conjunction with
molecular data from LAMDA (Schöier
et al. 2005). This opportunity was used
to update collisional data in the LAMDA database for
methanol using newly released rate coefficients for collisions between
para-H2 and A- and E-type
methanol up to and including J=9, corresponding to
an upper level
energy of 500 K
(Pottage et al. 2004).
The rate coefficients are
given for temperatures from 5 to 200 K. The
coefficients are not complete up to upper level energies of
500 K
since they are limited to J< 10. In the case
of A-type methanol with K=0, this corresponds to an
upper level energy of
100 K.
Data have been
extrapolated so that they are complete up to an upper level
energy of 385 K corresponding to the first torsional state.
For the
extrapolation only transitions between K-ladders
and
are considered. The collisional rate coefficients
are found to be proportional
to
which is used for the extrapolation
(Leurini et al. 2007).
Level energies and Einstein A-values are taken
from the Cologne Database for Molecular Spectroscopy
(CDMS; Müller et al. 2001).
The density and temperature profile of the D USTY
modelling is
used for the physical structure of the envelope. No effort is made to
model the line widths, but instead a constant, turbulent line width of
3.0-5.0 km s-1 is assumed,
depending on source. This is not a
measure of the actual turbulence in the region, but only a means to
ensure that the modelled linewidth corresponds to the observed. For
each source a small grid of R ATRAN models
has been run with a
so-called ``jump'' abundance structure. The jump was located at
K (R
= 50-125 AU) with an increase in the
abundance of a factor of 1-103 corresponding to
most CH3OH
evaporating off of the grains. When running the R ATRAN
models,
great care has been taken to ensure that the central region containing
the jump is properly sampled. In order to do this the pixel-size is
set to 0
2
(45 AU) and the central pixels were oversampled by a
factor of 50.
A
method is then used to determine the best-fit model
integrated emission compared to observed integrated emission. This is
done separately for A- and E-type CH3OH to
examine relative
abundances. No significant difference is found between A- and E-type
CH3OH abundances, thus confirming the results
obtained from the
rotational diagrams. All abundances are listed in Table
4. Diagrams
illustrating the variation of
with
inner and outer abundance are shown in Fig. 5. Here it
may be seen that the inner abundance is not well constrained, and it
is only possible to provide upper limits ranging from
(SMM1) to
(SMM3 and S68N). On the other hand, the outer
envelope abundance is very well constrained for all sources and lies
in the range of 10-9 (SMM1) to greater than 10-8
(S68N). The
methanol enhancements,
,
are from
2-3
(SMM1) to
200
(SMM3). Due to the lack of high-Klines it is not
possible to further constrain the inner abundance.
![]() |
Figure 5:
Reduced |
Open with DEXTER |
Table 4: Average total gas column densities and fractional abundances of CH3OH.
3.2.4 Comparison of abundance measurements
The three methods for determining the abundance may be divided into the following categories:
- 1.
- Direct observational abundance assuming LTE in terms of CH3OH excitation and optically thin dust emission.
- 2.
- Combined direct and model abundance, still assuming LTE in terms of CH3OH excitation but modelling the dust emission with a range of temperatures.
- 3.
- Modelling of the CH3OH emission within a physical, spherically symmetric model with varying dust and gas temperatures and densities.
In the following only results from the R ATRAN modelling will be discussed. Since this method takes the full density and temperature structure into account it will be the more accurate of the three as demonstrated for other molecules (e.g., Jørgensen et al. 2002; Hogerheijde & van der Tak 2000; Jørgensen et al. 2004).
3.3 Outer envelope abundance structure
In Fig. 6
the column densities as predicted by
the D USTY modelling and the 850 m dust
continuum emission radial
profiles are overlaid. The methanol emission profiles follow both the
dust emission and column density profiles very closely over scales
from
5500 AU
to greater than 12 000 AU. Because the
distribution is independent of rotational line, the rotational
temperature (corresponding to line ratio) is constant throughout the
envelope and the methanol column density scales directly with the
envelope column density, similar to the case of L483
(Tafalla et al. 2000).
Thus, over this range of radial distances, the
average CH3OH gas abundance is constant. In the
case of S68N the
agreement between the observed and simulated radial profiles is not
good since the simulation under-estimates the emission at larger
radii. Furthermore, the outer envelope abundance as derived from
rotational diagrams or from comparison with dust emission agrees to
within a factor of 2 with the outer abundance as derived from
the R ATRAN modelling.
![]() |
Figure 6:
Spatial distribution of methanol emission in the four objects, Serpens
SMM1, 3, 4 and S68N. The integrated emission of the five lines 7-6 +0E,
-1E, +0A, +1E and |
Open with DEXTER |
3.4 Emission from outflow positions
Methanol is detected along the outflows throughout the emission map (Fig. 1). In the following, focus will be placed on emission from three distinct knots labelled SMM1-S, SMM4-W and SMM4-S in Fig. 1. The elongated emission associated with S68N indicates that a compact shock is responsible for sputtering CH3OH from the grain mantles into the gas phase. This outflow has already been observed in CS J=3-2 emission (Wolf-Chase et al. 1998). The line profiles associated with this outflow are symmetric and Gaussian in nature making an accurate disentanglement of the contributions from envelope and outflow difficult. Unlike the above mentioned outflow knots, emission is spatially coincident with the source position. For this reason the S68N outflow is not included in the following discussion.
To investigate the properties of each outflow knot, spectra
are
extracted from the map and rotational diagrams are made in the same
manner as above (see Figs. 2 and 3). The intensity
of the strong 70-60 A+
line is comparable to the emission from SMM4
in all three knots. The detected transitions and associated intensities
are
listed in Table 1.
The lines are shifted by 1 km s-1
with respect to each other and with respect to the
source velocities. Line profiles are symmetric and Gaussian in nature,
with no obvious line-wings. Nevertheless, methanol clearly traces the
outflow activity associated with SMM1, SMM4 and S68N as seen in
Fig. 7,
whereas little emission is associated with
SMM3. In Fig. 7
the contributions from red- and
blue-shifted emission are estimated by integrating over the velocity
intervals from -5 to 7 km s-1
and 10 to 20 km s-1,
respectively. This is to be compared with the average source velocity,
km s-1.
Results obtained from the rotational diagrams are tabulated in
Table 2.
The rotational temperature is 10-15 K,
indicating sub-thermal excitation at all three outflow positions,
as found typically also in other outflows because of the relatively
low density compared with the central envelope
(e.g., Bachiller et al.
1995). The column densities range
from a few
1014 cm-2
(SMM1-S and SMM4-W) to
cm-2
(SMM4-S). To obtain accurate
abundance estimates of methanol in shocked regions, it is again
imperative to estimate the gas column density accurately. In this case 12CO
J=3-2 data from the JCMT science archive, obtained
in the
context of the JCMT Gould Belt legacy survey, are used (Graves et al. 2010).
The principle for obtaining the column density from
12CO in the shocked gas is that emission from
the higher
velocity line-wings is optically thin. This assumption has been shown
to be valid for a number of molecular outflows (see e.g., Bachiller & Tafalla 1999,
for a review). In Fig. 8
the line profiles
are shown for the three outflow positions analysed here. Emission from
SMM1-S and SMM4-W is blue-shifted, while emission from SMM4-S is
red-shifted. The CO line-wings are not as pronounced as in other
well-known outflow sources (e.g., Blake
et al. 1995), but are slightly shifted (up to
5 km s-1)
with respect to a
of 8.5 km s-1. This indicates
that the flows may be caused by J-type shocks rather than C-type shocks
(Hollenbach 1997).
Molecular emission is expected to have a Gaussian velocity profile
around the shock velocity in a J-type shock, whereas emission caused by
C-type shocks is expected to show a ``classic'', triangular line
profile. However, since the observed lines are only shifted by
5 km s-1
at most, so the J-type shock speed would be lower than this. CH3OH
is also efficiently destroyed in the sputtering process in J-type
shocks at velocities greater than 10 km s-1.
The actual CH3OH enhancement may be lower in the
outflows in Serpens compared to e.g., L1157, something which is also
discussed for the case of NGC 2071 (Garay
et al. 2000). Another possibility is that the flows
are C-type shocks moving very close to the plane of the sky, in which
case the line-wings will not be prominent. This is suported by SiO J=2-1
observations of SMM4, where the lines were also found to be narrow (
km s-1;
Garay et al. 2002).
With the present data-set it is not possible to differentiate the two
scenarios.
![]() |
Figure 7:
Outflow emission in Serpens as traced by the CH3OH
70-60 A+
line. Contours are for red- and blue-shifted outflow emission and are
at 3 |
Open with DEXTER |
![]() |
Figure 8: Comparison of outflow line profiles. For each outflow position, SMM1-S, SMM4-W and SMM4-S, line profiles of 12CO J=3-2 (red), C18O J=3-2 (blue) and CH3OH 70-60 A+ (black) are shown. C18O and CH3OH spectra have been multiplied by 3 and 25, respectively, for clarity. SMM4-S and SMM4-W spectra have been shifted by 8 and 20 K. The masks at the bottom indicate the velocity range over which 12CO emission is integrated to obtain the outflow column density. |
Open with DEXTER |
Emission was integrated over the velocity intervals given in
Davis et al. (1999).
From this the CO column density is calculated
under the assumption that emission is optically thin and that the gas
temperature is 100 K. The calculation of the column density is
insensitive to the choice of temperature, as long as it is in the
interval of 50-150 K.
The calculation is more sensitive to the
choice of velocity interval over which CO emission is integrated, as
this may vary by up to a factor of 2, when changing the
velocity
interval with 1 km s-1. The column
density is then converted to
total gas column density using a standard abundance ratio of CO:H2of
10-4:1 and results are compared to CH3OH
column densities
to obtain an abundance. The integrated CO intensities, column
densities and CH3OH abundances are all tabulated
in Table 5.
The gas column density in all three outflow
positions is
1020 cm-2
resulting in abundances of
1-
with respect to H2. Due to the
uncertainties on the derived CH3OH column
densities and on the gas
column density, the abundances
should be seen as order of magnitude estimates. Compared to the
envelope abundances of SMM1 and SMM4, this translates to methanol
enhancements in the outflows of
103.
This
is similar to what is found in other outflows; for example, the
enhancement for the L1157 blue lobe is of the order of
400
(Bachiller
et al. 1995; Bachiller & Pérez Gutiérrez 1997).
It should be noted, however, that
the methanol line profiles are highly asymetric in the L1157 outflow
as are the CO line profiles.
C18O is often used as a tracer of
quiescent gas column
density. If C18O J=3-2
emission is used rather than 12CO
emission as above, the gas column density is increased by
two
orders of magnitude to
1022 cm-2.
This leads to a
decrease in CH3OH abundance and therefore also a
decrease in the
enhancement. Representing the other extreme, typical
enhancements are of the order of 5-50 (see Table 5). Ideally,
emission should be integrated over the same velocity interval for
comparison, but in this case, part of the CH3OH
line overlaps with the 12CO profile, part of it
overlaps with the C18O profile, which is why
these two abundance measurements should be seen as extreme values.
Table 5: Gas column density, N(H2) and CH3OH abundance in outflow knots as determined from 12CO J=3-2 and C18O J=3-2 emission.
4 Discussion
![]() |
Figure 9: Density and temperature profiles of the SMM1 and SMM4 envelopes as obtained from D USTY modelling. The radial density profile is displayed in blue ( left axis) and kinetic dust temperature in red ( right axis). The profiles are shown for the SMM1 envelope (full line) and the SMM4 envelope (dashed line). The CO freeze-out zone, characterised by temperatures lower than 25 K and densities greater than 105 cm-3, is shown in dark gray, whereas the methanol evaporation zone (T > 80 K) is shown in light gray. To the right is a cartoon illustrating the differences between the envelopes surrounding SMM1 and SMM4. Both illustrations are to scale and the dark blue regions correspond to the CO freeze-out zones while red indicates CH3OH evaporation zones. Note the much smaller CO freeze-out zone for SMM1. |
Open with DEXTER |
The inferred abundances are all larger than what can be produced by pure gas-phase reactions (e.g. Garrod et al. 2006). Thus the observed CH3OH gas must be formed on grains and subsequently have desorbed. In the following, possible scenarios for methanol desorption and excitation are discussed. Finally speculations on the nature of the individual young stellar objects in Serpens are made.
4.1 CH
OH grain
surface formation
Methanol is formed on the surfaces of interstellar dust grains through
hydrogenation of CO, a mechanism which has been studied in detail in
the laboratory and in theoretical models of surface chemistry
(Watanabe
& Kouchi 2002; Hiraoka et al. 2002; Fuchs
et al. 2009). To form large amounts of
CH3OH, it is imperative that CO freezes
effectively out onto
(water-ice covered) dust grains. Toward several pre-stellar cores
(e.g., B68, Bergin et al.
2002) and Class 0 objects
(e.g., Jørgensen et al.
2005c) CO has been observed to freeze out very
efficiently at temperatures lower than 20 K and densities
greater than
105 cm-3.
This ``catastrophic'' CO
freeze-out has been observed directly through observations of CO ice
abundances which show an increase in the amount of solid CO with
respect to H2O ice in the densest regions
(Pontoppidan 2006).
Through use of D USTY modelling discussed
above it is possible to estimate the extent of the CO
freeze-out zone in each of the Serpens Class 0 objects quantitatively,
which is illustrated in Fig. 9. Here the
predicted
density and temperature profiles are shown as a function of distance
from the protostar itself. The density profiles of all four envelopes
are very similar, however SMM1 stands out in terms of temperature
profile. Due to the higher luminosity (30
)
of SMM1 with
respect to the other source luminosities (
5
), the
envelope temperature is also higher throughout.
The zone over which CO freezes out in SMM1 is significantly
smaller than
that of the other sources, SMM3, SMM4 and S68N. In the case of SMM1,
the present freeze-out zone extends from 1000-5000 AU whereas
the other envelopes have freeze-out zones starting at a few hundred AU
and extend out to the same distance as for SMM1 (see
Fig. 9).
This indicates that at present CO is not
freezing out efficiently in the SMM1 envelope, so any efficient
methanol formation has probably ceased at this point in time. The
colder envelopes surrounding SMM3, SMM4 and S68N could still be
forming CH3OH.
In terms of observing methanol directly in the ice itself,
Pontoppidan et al. (2004)
studied a small region extending south of
SMM4 from 4000 AU to 12 000 AU by observing the
3.54 m
CH3OH
features in absorption against background and embedded stars. The
extent is illustrated by the
white line in Fig. 1.
In this region the CH3OH-ice
abundance is constant at 28% with respect to water ice or
with respect to gas-phase H2. This corroborates
the
interpretation presented here, that the gas phase abundance of
CH3OH is low and constant out to
12 000 AU in the SMM4 envelope. Beyond
this line the CH3OH-ice abundance drops by at
least an order of
magnitude and Pontoppidan
et al. could only determine upper
limits. It is interesting to note that the location where the ice
abundance drops is where one of the outflow knots starts (SMM4-S; see
Fig. 1).
Thus the reason for the drop is a
combination of the envelope being more tenuous (
cm-3)
far from the protostar, so that CO does not
freeze out very efficiently, while at the same time whatever methanol
is in the ice is sputtered into the gas phase by the outflow.
Cuppen et al. (2009) have recently studied the formation of CH3OH on ice surfaces using a Monte Carlo method, in which the gas-grain chemistry based on laboratory data is simulated microscopically over long time-scales. The limiting factors in producing methanol is the availability of both CO and H on the grain surfaces, and so results show that CO hydrogenates efficiently to form CH3OH, especially at temperatures lower than 12 K where atomic hydrogen can be retained efficiently. After 105 years CH3OH may form up to 100 individual mono-layers on the grain, comparable to that of water ice. Hence, the ice abundance of methanol in the outer parts of the envelope will depend strongly on the temperature. Because the envelopes of SMM3, SMM4 and S68N are significantly colder than that of SMM1, they would still be actively producing methanol, which could explain the higher gas phase abundances (see Table 4).
Observations show a different behaviour of C18O
at the center
position of S68N compared with the center position of SMM1.
Figure 10
presents C18O J =3-2
emission in colour and methanol emission from the 70-60
A+line overlaid as contours. The morphology of
the C18O emission
shows a peak toward SMM1, as expected for a warm envelope, and a ring
of emission toward S68N. The
C18O abundances towards the two central
positions are measured to
be 3 and
respectively, based on integrated C18O
intensities of 4.3 and 2.4 K km s-1
and the gas column
densities derived from dust continuum emission (Table 4). This is to be
compared to a standard C18O
abundance of
for a normal abundance of CO/H
2 =
10-4 and an 16O/18O
ratio of 550 (Wilson & Rood
1994). Thus, CO is depleted
by a factor of
6 and 18 for the two sources as averaged over the entire envelope. For
these two sources there is a clear
anti-correlation between CO and CH3OH gas phase
abundances.
![]() |
Figure 10:
Integrated C18O, J=3-2
emission (
|
Open with DEXTER |
To examine whether this anti-correlation is unique to Serpens or a general feature of embedded sources, the outer-envelope CH3OH abundances of the sample of Maret et al. (2005) and Jørgensen et al. (2005b) was coupled with CO abundances for the same sources from Jørgensen et al. (2002) (see Fig. 11). The CO gas phase abundance averaged over the extent of the envelope is taken as a tracer of CO depletion in the sense that the total gas and ice CO abundance is assumed to be constant. For sources where the presence of a jump zone can reproduce the observed CH3OH emission, only the outer abundance is plotted here. A typical uncertainty of 30% is assumed both for the CO and CH3OH abundances. Except for three sources (L1157, L1448-I2 and L483) there is a correlation between the two abundances as illustrated by the value of the Pearson correlation coefficient of r = 0.70. The Serpens sources are characterized by the combination of low CO-abundance and high CH3OH abundance. This result implies that the CH3OH gas phase abundance is directly related to the current production of CH3OH in the outer, cold parts of the envelope, and that any difference from source to source is due to a difference in the amount of CO frozen out onto the grains. Thus, not all solid CH3OH is formed during the cold pre-stellar core phase, consistent with the lack of detected CH3OH ice toward background stars behind quiescent dense clouds. This also implies that the lack of CH3OH emission at normal cloud positions between the sources is because the density is lower, and hence the timescale for CO to freeze out is much higher, i.e., the absolute CH3OH abundance will drop.
4.2 CH
OH
desorption mechanism
Once methanol has formed on a grain surface it can desorb according to two different mechanisms, thermal and non-thermal desorption. In the first mechanism the entire grain is heated thermally (macroscopic grain heating), and the icy mantle evaporates entirely, releasing all adsorbed species into the gas phase. The ice mantles typically evaporate at grain temperatures of 30-100 K, depending on species. The other mechanism is non-thermal desorption, in which the ice mantle is ``heated'' on a microscopic (local) scale, either due to absorption of a single UV-photon (Öberg et al. 2009c), impact of a cosmic ray particle (Herbst & Cuppen 2006; Hasegawa & Herbst 1993; Léger et al. 1985), or the binding energy being released from the formation of a new molecule (Garrod et al. 2007) or sputtering in outflows (Jiménez-Serra et al. 2008).
![]() |
Figure 11:
CH3OH gas abundance versus CO gas abundance for
a selection of Class 0 and I sources based on data
and analysis from Maret
et al. (2005); Jørgensen et al. (2005b);
Schöier
et al. (2002) and this work. The Serpens sources are
in red and IRAS 16293-2422 and NGC 1333-IRAS2A are in
blue. Sources for which only upper methanol limits exist are marked by
arrows. The two dashed lines indicate the 1 |
Open with DEXTER |
4.2.1 Thermal desorption
In the case of methanol, the thermal evaporation temperature has been
determined experimentally to 80-100 K (Green et al. 2009; Brown &
Bolina 2007) as is also
indicated in Fig. 9.
The lower temperature corresponds
to evaporation of a pure CH3OH ice and the
higher to
a mix of CH3OH and H2O.
Because CO freezes out on top of a water ice, CH3OH
is expected to be present in the same layer. Thus the desorption
temperature should be close to that of a pure CH3OH
ice (85 K),
which is slightly lower, but not much, than that of CH3OH
mixed with H2O. This is also found to be the
case experimentally (Bisschop 2007).
Thus, for the thermal-desorption
mechanism to be active, it is necessary that all grains are heated to
greater than 80 K, i.e., close to the protostar itself. From
the
physical structure models above it is predicted that the radius at
which
K
is of the order of 50-100 AU or
0
2-0
4
for d=230 pc, depending on source, leading
to a beam-dilution factor of
1500-5000. Methanol emission originating from very close to the
protostar itself has previously been observed for two low-mass
sources, IRAS 16293-2422 (d=125 pc;
van
Dishoeck et al. 1995; Schöier et al. 2002)
and NGC 1333 IRAS2A (d=250 pc; Maret et al. 2005). Even
though the regions have not been spatially resolved with single-dish
data, it has been
possible to infer the existence of ``hot cores'' based on observations
of high-K lines (K > 3)
and measured rotational temperatures of
>80 K. This indicates that the emission arises in a
compact, warm
and dense region, consistent with it originating close to the
protostar itself and also consistent with high-spatial resolution
interferometer data (e.g., Jørgensen et al. 2005a,2007).
For
the sources presented here, it has only been
possible to provide an upper limit on the inner abundance, which in
most cases is a few
10-7
with respect to H2. One
notable exception is SMM1, where the upper limit on the inner
abundance is close to the outer abundance, a result that will be
discussed further below (Sect. 4.3).
4.2.2 Non-thermal desorption
Since the temperature in the outer envelope is significantly lower
than 100 K, the primary desorption mechanism must be
non-thermal. This is
supported by the fact that the abundance only follows the column
density, and does not appear to depend on temperature. No attempt is
made to distinguish between the above mentioned mechanisms
here. If desorption is induced by secondary UV photons from cosmic ray
ionization of H2 the gas phase abundance is
expected to be
10-4-10-3 times the ice
abundance (Öberg
et al. 2009b,a). In the case of SMM4 where the
CH3OH-ice abundance is
with
respect to H2 (Pontoppidan
et al. 2004)
the UV-induced desorption alone can account for a gas phase abundance
of 10-9-10-8. This is
remarkably close to the observed gas
phase abundance of
.
Garrod et al. (2007)
modelled the release of CH3OH from the grain
surface into the gas phase by examining whether the release of binding
energy would be enough to evaporate the molecule into the gas phase.
They found that the fraction was probably in the range of 1-10%, but
could not pin it down any further. In the case of SMM4, results
presented
here combined with ice observations indicate that much less than 1-10%
is desorbed, since the gas/ice abundance is 10-4.
Results presented in Hasegawa
& Herbst (1993) show that direct cosmic ray
desorption is not an efficient desorption mechanism for tightly bound
species like H2O and CH3OH
when compared to
the accretion timescale. In fact, they find that the difference
between the two rates is of the order of 104.
Previous studies show
that direct cosmic ray induced desorption is most efficient for
volatile species (see, e.g., Roberts et al. 2007; Shen
et al. 2004) and for
species adsorbed on very small grains (
m; Herbst
& Cuppen 2006).
4.2.3 Shock-induced desorption
In outflows the main desorption mechanism is sputtering of the
grain
mantle, i.e., impacts of high-temperature gas molecules and atoms,
primarily H2 and He. This can in principle be
compared to the direct
cosmic ray desorption mechanism, except that the flux of H2
and He
is orders of magnitude higher and the impact energy is much lower. The
efficiency of this desorption mechanism is clearly seen from the fifth
column of Table 5,
where the CH3OH abundance in
the outflow positions is compared to the ambient envelope
abundance. In particular, the SMM4-S
methanol outflow abundance is 10-5 with respect to H2,
i.e.,
only a factor of 3 lower than the measured CH3OH-ice
abundance in a
region located
15''
(4000 AU) to the north (see
Fig. 1 and Pontoppidan et al. 2004).
If the envelope ice-abundance
in this region were also
prior to the impact of the
shock, this would indicate that one third or more of the CH3OH
ice
is sputtered from the grain mantle. However, the measured gas-phase
abundance as determined from 12CO emission is
an upper limit as
briefly discussed above. The true value of the abundance probably lies
in the range of 10-8 to 10-6
where the lower limit is
obtained from C18O emission.
4.3 The nature of the embedded YSOs in Serpens
Two low-mass YSOs have been confirmed observationally to have
the same
chemical characteristics as high-mass hot cores,
IRAS 16293-2422 and NGC 1333-IRAS2A. These two
sources are at the same evolutionary stage as SMM1 based on classical
indicators, e.g., .
The characteristics are: (1) a large number of detected,
saturated, complex organic molecules; and (2) a high
rotational temperature for methanol (>80 K).
At the same time, neither of these two envelopes show signs of
extended methanol emission (van
Dishoeck et al. 1995, Kristensen et al. in
prep.). IRAS 16293-2422 is a close binary system
surrounded by a circum-binary envelope. The inner parts of this
envelope are passively heated to temperatures >80 K,
which, along
with small-scale shocks impinging on the inner wall of the envelope
(Chandler et al. 2005),
give rise to the observed hot-core
signature. NGC 1333-IRAS2 is also a binary (possibly triple)
system,
but the projected separation is greater (
30
). It is
believed that the same mechanisms are at play in
NGC 1333-IRAS2A
causing the hot-core signatures (Maret et al. 2005; Jørgensen
et al. 2005b).
In the following the Serpens sources, and in particular SMM1, will be
compared to these two low-mass hot cores, and differences will be
discussed.
There are several possible explanations for the lack of ``hot core'' characteristics in the Serpens sources which may be categorized in the following manner:
- 1.
- Physical: No gas is present close to the source, or no hot gas is present.
- 2.
- Chemical: Hot gas is present, but the methanol abundance is very low.
- 3.
- Observational: Warm methanol is present close to the source, but either the extent is very small, or emission is optically thick.


Recent millimeter interferometry of SMM1 indicates that the
region
close to the protostar has been cleared of gas. Both Enoch et al. (2009) and
van Kempen et al. (2009)
report the detection of a resolved disk surrounding
SMM1. The disk is unusually massive (1
)
and has a
modelled radius of up to 300 AU (Enoch
et al. 2009), while the inner 500 AU of the
envelope have been cleared of gas. In such a dense disk,
only the upper-most layers will be warm or hot, depending on the
distance to the protostar, as the dust extinction grows rapidly towards
the midplane of the disk. Thus, the column density of hot methanol
will be very low. Through SED modeling of the disk, Enoch et al. (2009)
estimate that the inclination is 15
,
i.e., nearly
face-on. This is in conflict with observations of the 3.6-cm radio
jet, which indicate that the outflow is moving very close to the plane
of the sky (Rodriguez
et al. 1989; Moscadelli et al. 2006).
Moreover, the 12CO line
profiles are very symmetric along the large-scale outflow, i.e., the
molecular
outflows are also moving close to the plane of the sky. This would
indicate that the disk is seen close to edge-on. If so, then
the beam-dilution will be very high implying that any hot part
will not be detectable in our single-dish beam. The disk surrounding
NGC 1333-IRAS2A is less massive compared to SMM1 (
0.056
;
Jørgensen et al. 2009)
and is viewed closer to face-on resulting
in less extinction and lower beam dilution. This implies that the
high-K emission observed in IRAS 16293-2422
and NGC 1333-IRAS2A is
originating in the disk close to the protostar. The actual heating
mechanism (passive heating or small-scale shocks) cannot be
distinguished with the current observations.
If the inner part of the envelope has not been cleared out of warm gas or if the disk is seen face-on, then it is possible that the abundance of methanol is low. As has been shown by current observations, the CH3OH gas-phase abundance is comparatively high in the outer parts of the envelopes, so to decrease the abundance in the inner part of the system, destruction of CH3OH must be present. This destruction mechanism must be very efficient if it is to destroy all CH3OH in the hot-core parts of the envelope, where the abundance is expected to rise to >10-6 w.r.t. H2. CH3OH can be destroyed in the gas phase through direct reactions with other species, however the rate coefficients are typically low. An alternative mechanism of both the gas and the ice destruction is UV-dissociation. However, this destruction mechanism must also be at play in IRAS 16293-2422 and NGC 1333-IRAS2A and there is currently no reason why UV-photodissociation would be more efficient in Serpens sources than in the other two nor that the UV-field is enhanced in SMM1.
Finally, a low-mass hot core may be present in all of the
Serpens sources,
but not observable. This can be due to beam dilution or due to optical
depth effects. The region over which methanol desorbs from the grain
surface is expected to be 100 AU
at most, and so beam
dilution would be of the order of 103. However,
the same beam
dilution would apply to at least NGC 1333-IRAS2A, which is
located at a
similar distance of 250 pc, and can thus not
be used as an argument. The line optical depth has been calculated in
the
R ATRAN simulations, and is typically of
the order of 0.1 or
less for the transitions observed here, even for lines arising in the
inner-most part of the envelope. The dust opacity at 338 GHz
is less
than 0.08 at all times, as estimated from the D USTY
modelling.
Of the three explanations presented above the first is the
more
plausible if the distance is indeed 230 pc as assumed. Recent
VLBA observations indicate that the distance may be closer to
415 pc (Dzib et al.
2010), in which case the third explanation is more plausible.
The other two reasons can be disproved through comparison
with IRAS 16293-2422 and NGC 1333-IRAS2A. However,
only SMM1 has been
suggested to have a massive disk, and it is also the source that
resembles the two low-mass hot cores the most in terms of luminosity.
The other sources
(SMM3, SMM4 and S68N) have considerably lower luminosities by
factors 4-10. Thus it may be that the hot-core regions around
these sources
are indeed much smaller and beam-diluted (
),
comparable to several of the low-mass sources in the sample of
Maret et al. (2005)
and Jørgensen et al.
(2005b). With the current observations
only upper limits have been determined of the molecular
abundance in the inner envelope of the lower-luminosity sources.
5 Summary
Maps of rotationally excited methanol in the Serpens Molecular
Core
have been presented. Emission arises from the molecular envelopes of
four deeply embedded sources and their associated outflows. In
particular, three outflow knots have been identified based on their
strong methanol emission. Mapping shows methanol emission in all of
the four envelopes to be extended out to ranges of 10 000 AU.
The abundance is constant in the outer parts of the envelope
with a value of 10-9-10-8,
depending on source. The
methanol abundance at outflow positions is enhanced by up to
2-3 orders of
magnitude with respect to the ambient abundance. The measured envelope
abundances are consistent with non-thermal
desorption of solid-state methanol, through, for example,
UV-photodesorption. At outflow positions the enhanced abundance may be
explained by sputtering of the grain mantles. The symmetric, slightly
shifted line profiles point to the outflows being either caused by
J-type shocks or moving along the plane of the sky.
The CO gas abundance is found to be anti-correlated with the methanol gas abundance in the Serpens maps. This result has been extended to literature data of a large sample of other, similarly deeply embedded sources. The reason is that the more CO is frozen out from the gas phase, the higher the CO ice abundance, and this adsorbed CO is then converted to CH3OH ice on the grain surface from where it desorbs non-thermally. The non-thermal desorption mechanism implies that the gas-phase abundance follows the solid-state abundance closely, something which has directly shown to be the case here. Thus, the differences in abundance between the four sources can be directly related to the current production of CH3OH and reflects how much CO is frozen out now rather than in some possible colder past.
The Serpens sources do not contain the chemical signatures of low-mass hot cores such as IRAS 16293-2422 and NGC 1333-IRAS2A. In the case of SMM1, the more luminous of the Serpens sources and resembling most closely the two low-mass hot cores, the most likely explanation is that it harbours a massive disk which is seen close to edge-on. The other three Serpens sources are all lower in mass and luminosity, and here the absence of a hot-core signature could be ascribed to beam dilution, as also holds for the majority of the deeply embedded sources.
In conclusion, the CH3OH emission is found to trace the following: (1) energetic input into cold gas, primarily through outflow interaction; (2) column density of cold gas in the outer envelope; (3) reactions and subsequent desorption of grain surface products.
Because water closely resembles methanol in the sense that it is exclusively formed on grains and it desorbs from grain surfaces at T > 100 K, it is expected that the abundance structure will resemble that of methanol. This is to be tested with upcoming water-observations of these sources as part of the Herschel Guaranteed Time Key Project ``Water in Star-forming Regions with Herschel'' (WISH).
AcknowledgementsAstrochemistry at Leiden Observatory is supported by a Spinoza prize and by NWO grant 614.041.004. The authors would like to thank the staff at the JCMT for technical help. Floris van der Tak is thanked for help with updating the LAMDA database and Karin Öberg for very stimulating disucssions. T.v.K. is grateful to the SMA for supporting his research at the CfA.
Appendix A: SED data points
Table A.1: SED points used for D USTY modelling.
References
- Bachiller, R., & Pérez Gutiérrez, M. 1997, ApJ, 487, 93 [Google Scholar]
- Bachiller, R., & Tafalla, M. 1999, in The Origin of Stars and Planetary Systems, ed. C. J. Lada, & N. D. Kylafis, NATO ASIC Proc. 540, 227 [Google Scholar]
- Bachiller, R., Liechti, S., Walmsley, C. M., & Colomer, F. 1995, A&A, 295, 51 [Google Scholar]
- Bachiller, R., Codella, C., Colomer, F., Liechti, S., & Walmsley, C. M. 1998, A&A, 335, 266 [Google Scholar]
- Bergin, E. A., Alves, J., Huard, T., & Lada, C. J. 2002, ApJ, 570, L101 [NASA ADS] [CrossRef] [Google Scholar]
- Bisschop, S. E. 2007, Ph.D. Thesis, Leiden, The Netherlands [Google Scholar]
- Blake, G. A., Sandell, G., van Dishoeck, E. F., et al. 1995, ApJ, 441, 689 [Google Scholar]
- Brown, W. A., & Bolina, A. S. 2007, MNRAS, 374, 1006 [NASA ADS] [CrossRef] [Google Scholar]
- Casali, M. M., Eiroa, C., & Duncan, W. D. 1993, A&A, 275, 195 [NASA ADS] [Google Scholar]
- Ceccarelli, C., Loinard, L., Castets, A., Tielens, A. G. G. M., & Caux, E. 2000, A&A, 357, L9 [NASA ADS] [Google Scholar]
- Chandler, C. J., Brogan, C. L., Shirley, Y. L., & Loinard, L. 2005, ApJ, 632, 371 [NASA ADS] [CrossRef] [Google Scholar]
- Choi, M. 2009, ApJ, 705, 1730 [NASA ADS] [CrossRef] [Google Scholar]
- Cuppen, H. M., van Dishoeck, E. F., Herbst, E., & Tielens, A. G. G. M. 2009, A&A, 508, 275 [NASA ADS] [CrossRef] [EDP Sciences] [Google Scholar]
- Dartois, E., Schutte, W., Geballe, T. R., et al. 1999, A&A, 342, L32 [NASA ADS] [Google Scholar]
- Davis, C. J., Matthews, H. E., Ray, T. P., Dent, W. R. F., & Richer, J. S. 1999, MNRAS, 309, 141 [NASA ADS] [CrossRef] [Google Scholar]
- Di Francesco, J., Johnstone, D., Kirk, H., MacKenzie, T., & Ledwosinska, E. 2008, ApJS, 175, 277 [NASA ADS] [CrossRef] [Google Scholar]
- Dzib, S., Loinard, L., Mioduszewski, A. J., et al. 2010, ApJ, accepted [arXiv:1003.5900] [Google Scholar]
- Eiroa, C., Djupvik, A. A., & Casali, M. M. 2008, in The Southern Sky ASP Monograph Publications, ed. B. Reipurth, Handbook of Star Forming Regions, II, 5, 693 [Google Scholar]
- Enoch, M. L., Glenn, J., Evans, II, N. J., et al. 2007, ApJ, 666, 982 [NASA ADS] [CrossRef] [Google Scholar]
- Enoch, M. L., Corder, S., Dunham, M. M., & Duchêne, G. 2009, ApJ, 707, 103 [NASA ADS] [CrossRef] [Google Scholar]
- Evans, N. J., Dunham, M. M., Jørgensen, J. K., et al. 2009, ApJS, 181, 321 [NASA ADS] [CrossRef] [Google Scholar]
- Friberg, P., Hjalmarson, A., Madden, S. C., & Irvine, W. M. 1988, A&A, 195, 281 [Google Scholar]
- Froebrich, D. 2005, ApJS, 156, 169 [NASA ADS] [CrossRef] [Google Scholar]
- Fuchs, G. W., Cuppen, H. M., Ioppolo, S., et al. 2009, A&A, 505, 629 [NASA ADS] [CrossRef] [EDP Sciences] [Google Scholar]
- Garay, G., Mardones, D., & Rodríguez, L. F. 2000, ApJ, 545, 861 [NASA ADS] [CrossRef] [Google Scholar]
- Garay, G., Mardones, D., Rodríguez, L. F., Caselli, P., & Bourke, T. L. 2002, ApJ, 567, 980 [NASA ADS] [CrossRef] [Google Scholar]
- Garrod, R., Park, I. H., Caselli, P., & Herbst, E. 2006, in Faraday Discussions 133, 51 [Google Scholar]
- Garrod, R. T., Wakelam, V., & Herbst, E. 2007, A&A, 467, 1103 [NASA ADS] [CrossRef] [EDP Sciences] [Google Scholar]
- Gibb, E. L., Whittet, D. C. B., Boogert, A. C. A., & Tielens, A. G. G. M. 2004, ApJS, 151, 35 [NASA ADS] [CrossRef] [PubMed] [Google Scholar]
- Graves, S. F., Richer, J. S., Buckle, J. V., et al. 2010, MNRAS, accepted [arXiv:1006.0891] [Google Scholar]
- Green, S. D., Bolina, A. S., Chen, R., et al. 2009, MNRAS, 398, 357 [NASA ADS] [CrossRef] [Google Scholar]
- Harvey, P., Merín, B., Huard, T. L., et al. 2007, ApJ, 663, 1149 [NASA ADS] [CrossRef] [Google Scholar]
- Hasegawa, T. I., & Herbst, E. 1993, MNRAS, 261, 83 [NASA ADS] [CrossRef] [Google Scholar]
- Herbst, E., & Cuppen, H. M. 2006, Proceedings of the National Academy of Science, 103, 12257 [NASA ADS] [CrossRef] [Google Scholar]
- Hiraoka, K., Sato, T., Sato, S., et al. 2002, ApJ, 577, 265 [NASA ADS] [CrossRef] [Google Scholar]
- Hogerheijde, M. R., & van der Tak, F. F. S. 2000, A&A, 362, 697 [NASA ADS] [Google Scholar]
- Hogerheijde, M. R., van Dishoeck, E. F., Salverda, J. M., & Blake, G. A. 1999, ApJ, 513, 350 [NASA ADS] [CrossRef] [PubMed] [Google Scholar]
- Hollenbach, D. 1997, in Herbig-Haro Flows and the Birth of Stars, ed. B. Reipurth, & C. Bertout, IAU Symp., 182, 181 [Google Scholar]
- Hurt, R. L., & Barsony, M. 1996, ApJ, 460, L45 [NASA ADS] [CrossRef] [Google Scholar]
- Ivezic, Z., & Elitzur, M. 1997, MNRAS, 287, 799 [NASA ADS] [CrossRef] [Google Scholar]
- Jiménez-Serra, I., Caselli, P., Martín-Pintado, J., & Hartquist, T. W. 2008, A&A, 482, 549 [NASA ADS] [CrossRef] [EDP Sciences] [Google Scholar]
- Jørgensen, J. K., Schöier, F. L., & van Dishoeck, E. F. 2002, A&A, 389, 908 [NASA ADS] [CrossRef] [EDP Sciences] [Google Scholar]
- Jørgensen, J. K., Schöier, F. L., & van Dishoeck, E. F. 2004, A&A, 416, 603 [NASA ADS] [CrossRef] [EDP Sciences] [Google Scholar]
- Jørgensen, J. K., Bourke, T. L., Myers, P. C., et al. 2005a, ApJ, 632, 973 [NASA ADS] [CrossRef] [Google Scholar]
- Jørgensen, J. K., Schöier, F. L., & van Dishoeck, E. F. 2005b, A&A, 437, 501 [NASA ADS] [CrossRef] [EDP Sciences] [Google Scholar]
- Jørgensen, J. K., Schöier, F. L., & van Dishoeck, E. F. 2005c, A&A, 435, 177 [NASA ADS] [CrossRef] [EDP Sciences] [Google Scholar]
- Jørgensen, J. K., Bourke, T. L., Myers, P. C., et al. 2007, ApJ, 659, 479 [NASA ADS] [CrossRef] [Google Scholar]
- Jørgensen, J. K., van Dishoeck, E. F., Visser, R., et al. 2009, A&A, 507, 861 [NASA ADS] [CrossRef] [EDP Sciences] [Google Scholar]
- Larsson, B., Liseau, R., Men'shchikov, A. B., et al. 2000, A&A, 363, 253 [NASA ADS] [Google Scholar]
- Léger, A., Jura, M., & Omont, A. 1985, A&A, 144, 147 [NASA ADS] [Google Scholar]
- Leurini, S., Schilke, P., Wyrowski, F., & Menten, K. M. 2007, A&A, 466, 215 [NASA ADS] [CrossRef] [EDP Sciences] [Google Scholar]
- Maret, S., Ceccarelli, C., Tielens, A. G. G. M., et al. 2005, A&A, 442, 527 [NASA ADS] [CrossRef] [EDP Sciences] [Google Scholar]
- McMullin, J. P., Mundy, L. G., Blake, G. A., et al. 2000, ApJ, 536, 845 [NASA ADS] [CrossRef] [Google Scholar]
- McMullin, J. P., Mundy, L. G., Wilking, B. A., Hezel, T., & Blake, G. A. 1994, ApJ, 424, 222 [NASA ADS] [CrossRef] [Google Scholar]
- Moscadelli, L., Testi, L., Furuya, R. S., et al. 2006, A&A, 446, 985 [NASA ADS] [CrossRef] [EDP Sciences] [Google Scholar]
- Müller, H. S. P., Thorwirth, S., Roth, D. A., & Winnewisser, G. 2001, A&A, 370, L49 [NASA ADS] [CrossRef] [EDP Sciences] [Google Scholar]
- Öberg, K. I., Bottinelli, S., & van Dishoeck, E. F. 2009a, A&A, 494, L13 [NASA ADS] [CrossRef] [EDP Sciences] [Google Scholar]
- Öberg, K. I., Garrod, R. T., van Dishoeck, E. F., & Linnartz, H. 2009b, A&A, 504, 891 [NASA ADS] [CrossRef] [EDP Sciences] [Google Scholar]
- Öberg, K. I., van Dishoeck, E. F., & Linnartz, H. 2009c, A&A, 496, 281 [NASA ADS] [CrossRef] [EDP Sciences] [Google Scholar]
- Ossenkopf, V., & Henning, T. 1994, A&A, 291, 943 [NASA ADS] [Google Scholar]
- Pontoppidan, K. M. 2006, A&A, 453, L47 [NASA ADS] [CrossRef] [EDP Sciences] [Google Scholar]
- Pontoppidan, K. M., van Dishoeck, E. F., & Dartois, E. 2004, A&A, 426, 925 [NASA ADS] [CrossRef] [EDP Sciences] [Google Scholar]
- Pontoppidan, K. M., Boogert, A. C. A., Fraser, H. J., et al. 2008, ApJ, 678, 1005 [NASA ADS] [CrossRef] [Google Scholar]
- Pottage, J. T., Flower, D. R., & Davis, S. L. 2004, MNRAS, 352, 39 [NASA ADS] [CrossRef] [Google Scholar]
- Roberts, J. F., Rawlings, J. M. C., Viti, S., & Williams, D. A. 2007, MNRAS, 382, 733 [NASA ADS] [CrossRef] [Google Scholar]
- Rodriguez, L. F., Curiel, S., Moran, J. M., et al. 1989, ApJ, 346, L85 [NASA ADS] [CrossRef] [Google Scholar]
- Schnee, S. L., Ridge, N. A., Goodman, A. A., & Li, J. G. 2005, ApJ, 634, 442 [NASA ADS] [CrossRef] [Google Scholar]
- Schöier, F. L., Jørgensen, J. K., van Dishoeck, E. F., & Blake, G. A. 2002, A&A, 390, 1001 [NASA ADS] [CrossRef] [EDP Sciences] [Google Scholar]
- Schöier, F. L., van der Tak, F. F. S., van Dishoeck, E. F., & Black, J. H. 2005, A&A, 432, 369 [NASA ADS] [CrossRef] [EDP Sciences] [Google Scholar]
- Shen, C. J., Greenberg, J. M., Schutte, W. A., & van Dishoeck, E. F. 2004, A&A, 415, 203 [NASA ADS] [CrossRef] [EDP Sciences] [Google Scholar]
- Smith, H., Hills, R. E., Withington, S., et al. 2003, in Society of Photo-Optical Instrumentation Engineers (SPIE) Conference, ed. T. G. Phillips, & J. Zmuidzinas, 4855, 338 [Google Scholar]
- Tafalla, M., Myers, P. C., Mardones, D., & Bachiller, R. 2000, A&A, 359, 967 [NASA ADS] [Google Scholar]
- Testi, L., & Sargent, A. I. 1998, ApJ, 508, L91 [NASA ADS] [CrossRef] [Google Scholar]
- van der Tak, F. F. S., van Dishoeck, E. F., & Caselli, P. 2000, A&A, 361, 327 [NASA ADS] [Google Scholar]
- van Dishoeck, E. F., & Blake, G. A. 1998, ARA&A, 36, 317 [NASA ADS] [CrossRef] [Google Scholar]
- van Dishoeck, E. F., Blake, G. A., Jansen, D. J., & Groesbeck, T. D. 1995, ApJ, 447, 760 [NASA ADS] [CrossRef] [Google Scholar]
- van Kempen, T. A., Wilner, D., & Gurwell, M. 2009, ApJ, 706, L22 [NASA ADS] [CrossRef] [Google Scholar]
- Watanabe, N., & Kouchi, A. 2002, ApJ, 571, L173 [NASA ADS] [CrossRef] [Google Scholar]
- White, G. J., Casali, M. M., & Eiroa, C. 1995, A&A, 298, 594 [NASA ADS] [Google Scholar]
- Williams, J. P., & Myers, P. C. 2000, ApJ, 537, 891 [NASA ADS] [CrossRef] [Google Scholar]
- Wilson, T. L., & Rood, R. 1994, ARA&A, 32, 191 [NASA ADS] [CrossRef] [Google Scholar]
- Wolf-Chase, G. A., Barsony, M., Wootten, H. A., et al. 1998, ApJ, 501, L193 [NASA ADS] [CrossRef] [Google Scholar]
Footnotes
- ... Telescope
- The James Clerk Maxwell Telescope is operated by the Joint Astronomy Centre on behalf of the Science and Technology Facilities Council of the United Kingdom, the Netherlands Organisation for Scientific Research and the National Research Council of Canada.
All Tables
Table 1:
Integrated line intensities,
(K km s-1) over the central 22
5
22
5
of each sourcea and
emission-weighted, average line-widths.
Table 2: Rotational diagram results for the observed methanol emission.
Table 3: Best fit D USTY model input parameters and results for the physical structure of the four molecular envelopes in Serpens.
Table 4: Average total gas column densities and fractional abundances of CH3OH.
Table 5: Gas column density, N(H2) and CH3OH abundance in outflow knots as determined from 12CO J=3-2 and C18O J=3-2 emission.
Table A.1: SED points used for D USTY modelling.
All Figures
![]() |
Figure 1:
Integrated emission, |
Open with DEXTER | |
In the text |
![]() |
Figure 2:
Spectra of Serpens SMM1, 3, 4 and S68N. The NGC 1333-IRAS2A
spectrum is shown for comparison (Maret
et al. 2005). Spectra at the three outflow
positions, SMM1-S, SMM4-W and SMM4-S, are also shown. Lines identified
in the CH3OH 7K-6K
band are marked. Spectra were obtained by averaging emission from the
peak pixel with its eight neighbouring pixels, i.e., in a box of 22
|
Open with DEXTER | |
In the text |
![]() |
Figure 3:
Rotational diagrams with data obtained from the four spectra shown in
Fig. 2.
The best-fit straight line is shown in
each case as a dotted line. Error bars are for 1 |
Open with DEXTER | |
In the text |
![]() |
Figure 4: D USTY modelling results of the molecular envelopes of SMM1, 3, 4 and S68N. The left panel shows the SEDs of all four objects, whereas the right panel shows the normalized radial dust emission profile as obtained with SCUBA (Di Francesco et al. 2008). Best-fit results are over-plotted as solid lines, and the values for the best-fit models are given in the right-hand panel. |
Open with DEXTER | |
In the text |
![]() |
Figure 5:
Reduced |
Open with DEXTER | |
In the text |
![]() |
Figure 6:
Spatial distribution of methanol emission in the four objects, Serpens
SMM1, 3, 4 and S68N. The integrated emission of the five lines 7-6 +0E,
-1E, +0A, +1E and |
Open with DEXTER | |
In the text |
![]() |
Figure 7:
Outflow emission in Serpens as traced by the CH3OH
70-60 A+
line. Contours are for red- and blue-shifted outflow emission and are
at 3 |
Open with DEXTER | |
In the text |
![]() |
Figure 8: Comparison of outflow line profiles. For each outflow position, SMM1-S, SMM4-W and SMM4-S, line profiles of 12CO J=3-2 (red), C18O J=3-2 (blue) and CH3OH 70-60 A+ (black) are shown. C18O and CH3OH spectra have been multiplied by 3 and 25, respectively, for clarity. SMM4-S and SMM4-W spectra have been shifted by 8 and 20 K. The masks at the bottom indicate the velocity range over which 12CO emission is integrated to obtain the outflow column density. |
Open with DEXTER | |
In the text |
![]() |
Figure 9: Density and temperature profiles of the SMM1 and SMM4 envelopes as obtained from D USTY modelling. The radial density profile is displayed in blue ( left axis) and kinetic dust temperature in red ( right axis). The profiles are shown for the SMM1 envelope (full line) and the SMM4 envelope (dashed line). The CO freeze-out zone, characterised by temperatures lower than 25 K and densities greater than 105 cm-3, is shown in dark gray, whereas the methanol evaporation zone (T > 80 K) is shown in light gray. To the right is a cartoon illustrating the differences between the envelopes surrounding SMM1 and SMM4. Both illustrations are to scale and the dark blue regions correspond to the CO freeze-out zones while red indicates CH3OH evaporation zones. Note the much smaller CO freeze-out zone for SMM1. |
Open with DEXTER | |
In the text |
![]() |
Figure 10:
Integrated C18O, J=3-2
emission (
|
Open with DEXTER | |
In the text |
![]() |
Figure 11:
CH3OH gas abundance versus CO gas abundance for
a selection of Class 0 and I sources based on data
and analysis from Maret
et al. (2005); Jørgensen et al. (2005b);
Schöier
et al. (2002) and this work. The Serpens sources are
in red and IRAS 16293-2422 and NGC 1333-IRAS2A are in
blue. Sources for which only upper methanol limits exist are marked by
arrows. The two dashed lines indicate the 1 |
Open with DEXTER | |
In the text |
Copyright ESO 2010
Current usage metrics show cumulative count of Article Views (full-text article views including HTML views, PDF and ePub downloads, according to the available data) and Abstracts Views on Vision4Press platform.
Data correspond to usage on the plateform after 2015. The current usage metrics is available 48-96 hours after online publication and is updated daily on week days.
Initial download of the metrics may take a while.