Issue |
A&A
Volume 516, June-July 2010
|
|
---|---|---|
Article Number | A87 | |
Number of page(s) | 19 | |
Section | Extragalactic astronomy | |
DOI | https://doi.org/10.1051/0004-6361/201014193 | |
Published online | 20 July 2010 |
Low redshift AGN in the Hamburg/ESO Survey
II. The active black hole mass function
and the distribution function of Eddington ratios![[*]](/icons/foot_motif.png)
A. Schulze - L. Wisotzki
Astrophysikalisches Institut Potsdam, An der Sternwarte 16, 14482 Potsdam, Germany
Received 3 February 2010 / Accepted 12 April 2010
Abstract
We estimated black hole masses and Eddington ratios (
)
for a well defined sample of local (z < 0.3)
broad line AGN from the Hamburg/ESO Survey (HES), based on the H
line and standard recipes assuming virial equilibrium for the broad
line region. The sample represents the low-redshift AGN population over
a wide range of luminosities, from Seyfert 1 galaxies to luminous
quasars.
From the distribution of black hole masses we derived the
active black hole mass function (BHMF) and the Eddington ratio
distribution function (ERDF) in the local universe, exploiting the fact
that the HES has a well-defined selection function. While the directly
determined ERDF turns over around ,
similar to what has been seen in previous analyses, we argue that this
is an artefact of the sample selection. We employed a maximum
likelihood approach to estimate the intrinsic
distribution functions of black hole masses and Eddington ratios
simultaneously in an unbiased way, taking the sample selection function
fully into account. The resulting ERDF is well described by a Schechter
function, with evidence for a steady increase towards lower Eddington
ratios, qualitatively similar to what has been found for
type 2 AGN from the SDSS.
Comparing our best-fit active BHMF with the mass function of inactive black holes we obtained an estimate of the fraction of active black holes, i.e. an estimate of the AGN duty cycle. The active fraction decreases strongly with increasing black hole mass. A comparison with the BHMF at higher redshifts also indicates that, at the high mass end, black holes are now in a less active stage than at earlier cosmic epochs. Our results support the notion of anti-hierarchical growth of black holes, and are consistent with a picture where the most massive black holes grew at early cosmic times, whereas at present mainly smaller mass black holes accrete at a significant rate.
Key words: galaxies: active - galaxies: nuclei - quasars: general
1 Introduction
The observed relations between the black hole mass and the properties of the spheroidal galaxy component imply a close connection between the growth of supermassive black holes (SMBH) and the evolution of their host galaxies. For local galaxies a strong correlation between the mass of the SMBH and the luminosity or mass of the bulge component (Häring & Rix 2004; Magorrian et al. 1998; Marconi & Hunt 2003), as well as with the stellar velocity dispersion (e.g. Gebhardt et al. 2000; Gültekin et al. 2009; Ferrarese & Merritt 2000; Tremaine et al. 2002) have been established. Semi-analytical and numerical simulations also show the importance of black hole activity and their corresponding SMBH feedback for galaxy evolution (e.g. Booth & Schaye 2009; Croton et al. 2006; Springel et al. 2005; Cattaneo et al. 2006; Di Matteo et al. 2005; Khalatyan et al. 2008). It became clear that the central SMBH of a galaxy and especially its growth is an important ingredient for our understanding of galaxy formation and evolution.Therefore a complete census of the black hole population and its properties is required. Active black holes that will be observable as AGN are particularly important to study black hole growth. A useful tool to study the AGN population is the luminosity function (AGNLF). The observed evolution of the AGNLF has been used to gain insight into the growth history of black holes (e.g. Marconi et al. 2004; Merloni 2004; Shankar et al. 2009; Soltan 1982; Yu & Tremaine 2002), and it became clear that most of the accretion occurs during bright QSO phases. But, using the AGNLF alone usually requires some additional assumptions, e.g. for the mean accretion rate, and thus is affected by uncertainties and degeneracies. Disentangling the AGNLF into the underlying distribution functions, namely the active black hole mass function (BHMF) and the distribution function of Eddington ratios (ERDF), is able to provide additional essential constraints on the growth of SMBHs.
To understand the influence of black hole growth on galaxy evolution over cosmic time, first the properties of growing black holes in the local universe have to be well understood. Thus, it is important to derive black hole masses and accretion rates for large, well defined samples of AGN. However, measuring black hole masses is much more difficult than measuring luminosities. Black hole masses for large samples of AGN can not be measured directly, but only estimated, using locally established scaling relations.
The best method to estimate for
type 1 AGN is reverberation mapping of the broad line region (Peterson 1993;
Blandford
& McKee 1982). Assuming virial equilibrium black hole
masses can be estimated by
,
where
is the size of the broad line region (BLR),
is the broad line width in km s-1 and f
is a scaling factor of order unity, which depends on the structure,
kinematics and orientation of the BLR. Although the physics of the BLR
is still not well understood and thus a source of uncertainty (e.g. Krolik 2001), the validity of
the virial assumption has been shown by the measurement of time lags
and line widths for different broad lines in the same spectrum (Kollatschny
2003; Peterson
& Wandel 2000; Onken & Peterson 2002).
However, reverberation mapping requires extensive and
meticulous observations and thus is not appropriate for large samples.
Fortunately, a scaling relationship has been established between
and continuum luminosity of the AGN,
(Kaspi
et al. 2005; Bentz et al. 2006; Kaspi
et al. 2000). Thus it became possible to estimate
from
single-epoch spectra for large samples, and has been used extensively
in the previous years for large AGN samples (e.g. Trump
et al. 2009; Fine et al. 2008; Gavignaud
et al. 2008; Shen et al. 2008b; Vestergaard
2004; Kollmeier
et al. 2006; McLure & Dunlop 2004; Netzer
& Trakhtenbrot 2007).
For the measurement of the line width, different measures are
commonly used, and it is unclear if one is superior to the others for
estimating black hole masses. Most commonly used is the FWHM,
but it has been suggested that the line dispersion ,
i.e. the second central moment of the line profile, is a better measure
of the line width (Peterson
et al. 2004; Collin et al. 2006).
The line dispersion is more sensitive to the wings of a line and less
to the core, whereas for the FWHM the opposite is
the case. An additional measure of line width used is the
inter-percentile value (IPV, Fine
et al. 2008).
The application of the virial method to large AGN samples allowed the estimation of the active BHMF (Shen et al. 2008b; McLure & Dunlop 2004; Vestergaard & Osmer 2009; Kelly et al. 2009; Greene & Ho 2007; Vestergaard et al. 2008). A dataset that is perfectly suited to study especially low redshift AGN is provided by the Hamburg/ESO Survey (HES). In this paper we use a local AGN sample, drawn from the HES, to estimate their black hole masses and Eddington ratios, and construct the active black hole mass function as well as the distribution function of Eddington ratios.
We first present our data and our treatment of the spectra. We estimate black hole masses and Eddington ratios from the spectra using the virial method. Next, we determine the active BHMF, taking care to account for sample selection effects, inducing a bias on the BHMF. Thereby, we not only constrain the local active BHMF but also put constraints on the intrinsic underlying distribution function of Eddington ratios. Finally, we discuss our results in the context of the local quiescent BHMF as well as that of other surveys.
Thoughout this paper we assume a Hubble constant of H0
= 70 km s-1 Mpc-1 and
cosmological density parameters
and
.
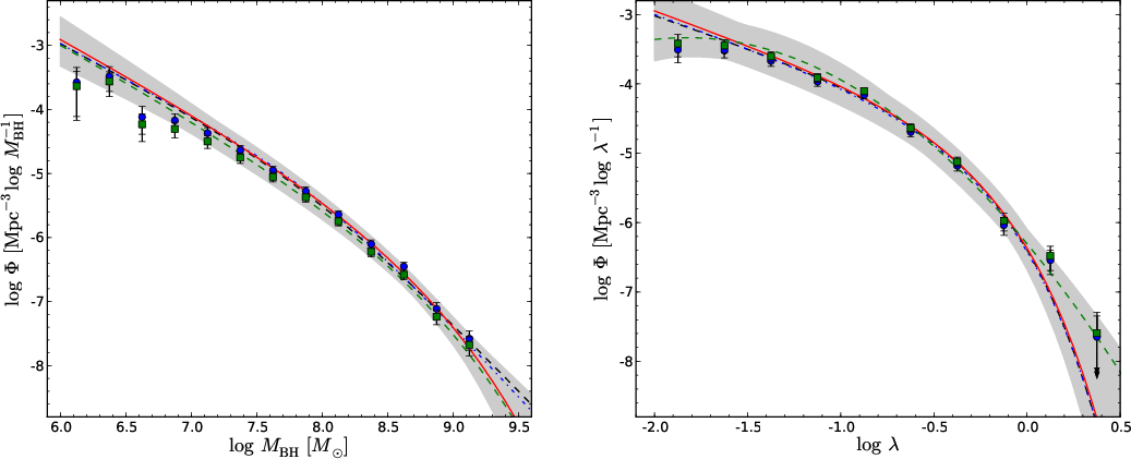
![]() |
Figure 1:
Left panel: Correlation between |
Open with DEXTER |
2 The sample
The sample of low redshift AGN used in this study is drawn from the QSO catalogue of the Hamburg/ESO Survey (Wisotzki et al. 2000). For a more detailed description of the survey and the sample used, see our companion paper (Schulze et al. 2009, hereafter Paper I). Here we only give a short summary.
The HES is a wide-angle, slitless spectroscopy survey, mainly
for bright QSOs, carried out in the southern hemisphere, utilising
photographic objective prism plates. The HES covers a formal area of 9500 deg2
in the sky. After digitisation, slitless spectra in the range
Å
Å
have been extracted from the plates. From these spectra type 1
AGN have been identified, based on their peculiar spectral energy
distribution.
Follow-up spectroscopy has been carried out to confirm their QSO
nature. The HES picks up quasars with
at redshifts of up to
.
The Hamburg/ESO Survey yields a well-defined, flux-limited sample with a high degree of completeness. The survey covers a large area on the sky and the quasar candidate selection takes care to ensure that low redshift, low luminosity objects, i.e AGN with prominent host galaxies, are not systematically missed. As in Paper I, we want to use this wide luminosity range at low redshift, which is unique for optical surveys, to study the low-redshift AGN population.
To construct such a local AGN sample we selected all AGN from
the final HES catalogue (Wisotzki et al., in prep.) that belong to the
``complete sample'' and that are located at redshifts z
< 0.3. The sample contains 329 type 1 AGN.
Spectra are available for most of the objects from the follow-up
observations. For five objects, spectra were either missing in our
database or they were of such poor quality that they were deemed not
usable for our purposes. Thus our sample is %
complete in terms of spectroscopic coverage.
3 Measurement of emission line widths
For the estimation of for
our low redshift AGN sample, the broad line width of the H
,
or alternatively the H
,
emission line has to be determined.
For the measurement of the line widths of the H
and H
emission lines we fitted the spectral region around these lines by
analytic functions, i.e. by a multi-component Gaussian model plus
continuum. Over this short wavelength range we approximated the
underlying continuum as a straight line. The H
and H
lines are fitted by one, two or, if required, by up to three Gaussians,
based on visual inspection of the fits. Due to the limited resolution
of the spectra the narrow line component could only be subtracted for a
few lines, if a clear attribution of one fitting component to a narrow
line component was possible. Thus a narrow component was only
subtracted if clearly identified in the fit. Care has been taken to
avoid contamination of the lines by contribution from the [O III]
4959,5007 Å lines and the Fe II
emission to the H
line, as well as from [N II] and [S II]
to the H
line, by fitting them simultaneously with the Balmer lines. For details
on the line fitting we refer to Paper I.
We use two different line width measurements, the FWHM
and the line dispersion for comparison, because there is at the moment
no consensus which is the most appropriate for the estimation of black
hole masses. Both can be easily derived from the fit. We then corrected
the line widths for the finite resolution of the spectrograph.
We measured the continuum flux at 5100 Å from the
continuum fit to the H
line region. We corrected the flux for Galactic extinction, using the
dust maps of Schlegel
et al. (1998), and the extinction law of Cardelli et al. (1989)
and computed the continuum luminosity
(5100 Å),
hereafter L5100.
For the estimation of errors we constructed artificial spectra
for each object, using the fitted model and Gaussian random noise,
corresponding to the measured S/N. We used 500 realizations for each
spectrum. We fitted these artificial spectra, fitting the line and the
continuum and measured the FWHM, the line
dispersion and the line flux. The error was then simply taken as the
dispersion between the various realizations. This method provides a
formal error, taking into account fitting uncertainties caused by the
noise. Thereby we assume that our multi-Gaussian fitting model provides
a sufficiently precise model of the true line shape. Intrinsic
deviations of the line shape from the model will increase the error. A
remaining Fe II contribution at H
might also increase the error.
For a subsample of 21 AGN also included in the SDSS Data
Release 5 (DR5; Adelman-McCarthy
et al. 2007), we compared our results to the higher
resolution SDSS spectra. We fitted the SDSS spectra in the same manner
as the HES spectra. The correlation for
is tight (we found a scatter of 0.07 dex for H
), whereas
the scatter in the measurement of the FWHM is
significantly larger (0.18 dex for H
). This is at least partially
caused by the narrow component that can be disentangled better in the
SDSS spectra. In contrast,
is less susceptible to the narrow line contribution and thus provides a
more precise width measurement for our sample. We also see evidence for
an small underestimation of the line width compared to the SDSS
spectrum, especially for narrower lines, with a mean deviation of
0.03 dex. This might be caused by the lower resolution of the
HES spectra compared to the SDSS spectra and therefore the stronger
influence of the resolution correction.
A comparison of the continuum luminosity, FWHM and black hole mass with the quasar sample of Shen et al. (2008b) is in general agreement with our values for the few objects in common.
The line dispersion is more sensitive to the wings of a line,
thus to the subtraction of the contaminating lines, i.e. Fe II
and [O III] for H
and [N II] and [S II]
for H
.
On the other hand, the FWHM is more susceptible to
the line core, thus to a proper subtraction of the narrow component
(see Denney et al. 2009).
For our data the latter seems to exhibit the larger uncertainty.
Together with the indication that
is a preferable width estimate over the FWHM (Peterson
et al. 2004; Collin et al. 2006),
we decided to use
to estimate black hole masses, and only give the results using the FWHM
for comparison.
3.1
Relations between H
and H
line widths
We see a well-defined correlation between the line widths
(both FWHM and )
of the H
and H
emission lines, as shown in Fig. 1. To quantify this
relation, we applied a linear regression between H
and H
in logarithmic units, using the FITEXY method (Press
et al. 1992), that accounts for errors in both
coordinates. We accounted for intrinsic scatter in the relation
following Tremaine
et al. (2002) by increasing the uncertainties until
a
per degree of freedom of unity was obtained.
We found the following relations for the line widths:
The rms scatter around the best fits are 0.11 dex for



The relation obtained for the FWHM
slightly deviates from the relations obtained by Greene & Ho (2005) and
Shen et al. (2008a),
showing a stronger deviation from a one-to-one correlation. This might
be due to the lower resolution of our data, thus the resolution
correction has a stronger effect on the line width. This is supported
by the slightly larger scatter for our relation. The scatter in the
relation between the line dispersions is lower than between the FWHMs,
again favouring over
FWHM for our data.
The H
lines are on average broader than H
with
and
=1.29 respectively. This is larger than found in other samples (e.g. Greene
& Ho 2005; Osterbrock & Shuder 1982)
but in general agreement with the physical expectation of an increasing
density or ionisation parameter of the BLR with decreasing radius.
4 Results
4.1 Estimation of black hole masses
We estimated black hole masses for the AGN using the common scaling
relationship. The sample of quasars analysed is well inside the ranges
in redshift, with z<0.3, and in luminosity,
with
erg s-1, over which the scaling relationship
based on reverberation mapping has been established. So the estimated
black hole masses do not suffer from an extrapolation of this
relationship outside the range for which it is observationally tested.
For the scaling relationship between BLR size and continuum
luminosity we use the values of Bentz
et al. (2009):
with L5100 given in erg s-1 and

The black hole mass is thus computed by
where f is the scale factor and



We have not corrected our continuum luminosities L5100
for their host galaxy contribution. This might lead to an
overestimation of for
lower luminosity AGN, where the host contribution becomes significant.
To disentangle the host contribution high resolution HST imaging is
required, which is not available for our sample. However, the narrow
slit used for the spectroscopy and the AGN selection technique already
reduce the expected host contribution. Thus, the bias introduced by
host galaxy contamination is expected to be small, but will lead to a
systematic effect.
To estimate the degree of galaxy contribution to our AGN spectra we used the equivalent width (EW) of the Ca II K line at 3934 Å, because this is the only prominent galaxy absorption feature not confused by AGN emission features within our spectral range. As this feature is only prominent in evolved stellar populations, the contribution from a very young stellar population might be neglected. However, low luminosity AGN hosts are known to have not particularly blue colours and generally do not show extremely young stellar populations, but rather indications for post starbursts (Vanden Berk et al. 2006; Davies et al. 2007).
Since the mean signal-to-noise in our spectra is not
sufficient to accurately measure the Ca II EW
in individual spectra, we constructed composite spectra for three
luminosity bins, depending on L5100,
shown in Fig. 2.
While no Ca II absorption is detected for
the highest luminosity composite (
), it is clearly present in
the lower luminosity composites. We measure EWs of
0.8 Å in the medium luminosity (
)
and of 2.0 Å in the low luminosity (
)
median composite spectrum, respectively.
To estimate the corresponding galaxy contribution, we used
model spectra from single stellar population models with different ages
and metallicities (Bruzual
& Charlot 2003). The low luminosity AGN, which will
show the strongest host contribution, are preferentially spiral
galaxies. We modeled them by stellar populations with ages between
900 Myr and 2.5 Gyr. We added various constant AGN
contributions to the spectra and measured the resulting EWs
of the AGN+galaxy spectra. To derive the galaxy contribution at
5100 Å we assumed a flux ratio of the AGN of f5100/f3934=0.64.
An EW of 2.0 Å, as measured for our low
luminosity subsample, corresponds to a host contribution to L5100
of 35-40%. This would reduce our black hole mass estimate by
0.10-0.12 dex. The upper limit we can put on the host
contribution is 50%,
implying 0.16 dex for the
estimation.
The medium luminosity subsample shows an average host contribution of
15-20%, corresponding to an overestimation of
by
0.04-0.05 dex.
We used these estimates to apply average host corrections to the continuum luminosities and thus to the black hole masses. Although these corrections might be wrong in individual cases, for the sample as a whole the host contribution is thereby accounted for as good as possible for these data. We verified that our results are not qualitatively affected by applying or neglecting this correction. The quantitative change in the results is certainly very small.
![]() |
Figure 2:
Median composite spectra for 3 luminosity bins, showing the Ca II
K line region. The upper composite shows the high luminosity bin (
|
Open with DEXTER |
![]() |
Figure 3:
Left panel: Distribution of black hole
masses. The black solid histogram shows the distribution of black hole
masses estimated from |
Open with DEXTER |
The distributions of black hole masses using the FWHM
and the line dispersion are shown in Fig. 3. The usage of the
FWHM instead of
slightly shifts the distribution to lower values, with
decreasing from 7.90 to 7.77, and also broadens the distribution, with
the standard deviation changing from 0.65 dex for
to 0.70 dex for FWHM.
In the following we will only refer to the black hole masses
using .
This width estimate provides a more reliable width measurement for our
data compared to the FWHM, as discussed in
Section 3.
We have verified that our results are fully consistent when using the FWHM
instead.
4.2 Eddington ratios
To compute the Eddington ratio


The distribution of Eddington ratios, using the FWHM
and ,
are shown in the right panel of Fig. 3. The mean
Eddington ratio of this sample is
with standard deviation of 0.46 dex using
,
and
with 0.56 dex deviation for FWHM.
This dispersion is higher than that found by other authors in higher redshift and higher luminosity samples (Shen et al. 2008b; Kollmeier et al. 2006). Indeed, the shape of the observed distribution does depend on the underlying distribution function and the selection function of the survey. Thus the observed distribution of Eddington ratios is affected by the flux limitation of the survey and is not a quantity independent of the specific survey. The Eddington ratio distribution will change in mean and dispersion with luminosity (Hopkins & Hernquist 2009; Babic et al. 2007) due to this selection effect. Usually it will broaden with decreasing typical luminosity.
This trend is also clearly visible in the sample of SDSS AGN
presented by Shen et al.
(2008b). A redshift dependence is also indicated by their
data. For their whole sample, covering the range ,
they found a typical dispersion of
0.3 dex, similar to the sample of Kollmeier et al. (2006)
that covers a similar redshift range and includes relatively high
luminosity objects. Restricting the sample of Shen
et al. (2008b) to
gives a deviation of 0.43 dex, similar to our results, but a
lower mean Eddington ratio of -1.17 in logarithmic units. This trend is
also present in deeper surveys that cover a wide redshift range. In the
VVDS a value for the dispersion of
0.33 dex has been found (Gavignaud et al. 2008),
while in the COSMOS survey a dispersion of
0.4 dex has been observed (Trump et al. 2009), in
agreement with our low redshift result. We will discuss this issue
further in Sect. 6.
In Fig. 4
we plot black hole mass, Eddington ratio and bolometric luminosity
against each other. The first thing we have to be aware of when
interpreting these plots are the implicit underlying correlations
between these quantities. What we effectively always show is a
combination of continuum luminosity L5100
and line width .
Their underlying relation is shown in Fig. 5. There is
only some week correlation present between L5100
and line width.
![]() |
Figure 4: Left panel: Black hole mass versus bolometric luminosity. Middle panel: Eddington ratio versus bolometric luminosity. Right panel: Eddington ratio versus black hole mass. The three lines indicate Eddington ratios of 1 (solid), 0.1 (dashed) and 0.01 (dotted). |
Open with DEXTER |
Physically these plots can be understood from the shape of the
underlying black hole mass function and distribution function of
Eddington ratios in combination with the selection function of the
survey, as we will explicitly show in Sect. 6. The
Eddington ratio spans
the range
,
similar to other optical studies (Shen et al. 2008b; Kollmeier
et al. 2006; Greene & Ho 2007; Woo & Urry
2002). At high values, observations have shown that the
Eddington rate represents an approximate upper boundary to the
Eddington ratio distribution, implying a steep decrease of the
Eddington ratio distribution function toward Super-Eddington values. At
low
the sample suffers from incompleteness due to the selection effects of
the survey. This can explain the observed range of Eddington ratios and
the rough correlation between
and
,
shown in the left panel of Fig. 4.
No strong correlation is seen between and
for this low redshift sample. There is a lack of objects in the lower
right corner of the middle panel of Fig. 4, thus a lack of
objects with low-
and
high luminosity. These objects would have
and are rare objects due to the steep decrease of the black hole mass
function at the high mass end (see Sects. 5.1 and 6.2). Thus it
is not surprising to see a lack of these objects in the sample. The
same applies to the lack of objects seen in the upper right corner of
the right panel of Fig. 4.
These would be objects with relative high
and
high Eddington ratio. This lack is also caused by the rarity of these
objects, due to the steep decrease of the black hole mass function in
combination with the decrease of the Eddington ratio distribution
function toward the Eddington rate. Therefore, in the local universe
massive black holes, accreting close to the Eddington limit, are
exceedingly rare.
In the right panel of Fig. 4, there is an
absence of objects in the lower left corner, i.e. objects with low
black hole mass and low Eddington ratio. These objects are victims of
the survey selection.
They would have low luminosities and therefore only the closest would
be detectable in a flux limited sample. An additional effect is that
the AGN selection in the HES inevitably becomes incomplete at ,
because the contribution of the host galaxy light even to the HES
nuclear extraction scheme will become substantial, and the object will
no longer be distinguished from a normal galaxy, due to a more galaxy
like SED or due to a no longer detectable broad emission line.
Therefore, no AGN with
are detected in the survey, and the range
is already seriously affected by this survey selection effect. Note
that lines of equal luminosities in the right panel of Fig. 4 are diagonals
from the upper left to the lower right. This selection effect explains
the absence of observed objects in this region and results in the
apparent anti-correlation between Eddington ratio and black hole mass,
also seen in other samples (e.g. McLure & Dunlop 2004; Netzer
& Trakhtenbrot 2007).
In Sect. 6 we will explicitly show by Monte Carlo simulations how the observed distributions arise from an assumed underlying BHMF and Eddington ratio distribution function under consideration of the survey selection criteria.
![]() |
Figure 5:
Distribution of the H |
Open with DEXTER |
Table 1: Fitting results for the local active black hole mass function, corrected for evolution but not for sample censorship.
5 Black hole mass function and Eddington ratio distribution function
5.1 The local active black hole mass function
The BHMF of quiescent galaxies in the local universe can be estimated,
based on the relation between and
bulge properties (e.g. Marconi et al. 2004;
Salucci
et al. 1999; Shankar et al. 2004;
Yu &
Tremaine 2002). Only a small fraction of local black holes
are currently in an active state, accreting at a significant level and
appearearing as an AGN. However, AGN do not accrete at a single value
of
,
but rather show a wide distribution of Eddington ratios (e.g. Merloni
& Heinz 2008; Yu et al. 2005; Heckman
et al. 2004; Ho 2009; Kauffmann & Heckman 2009).
Therefore it is not obvious what exactly to call an active
black hole. A pragmatic definition is to use a lower limit for the
Eddington ratio. A natural choice for such a lower Eddington ratio for
optical type 1 AGN samples would be
,
as this is approximately the observed lower value.
By this definition, our sample suffers from incompleteness at
low black hole masses, because some low mass and low
AGN will be fainter than the flux-limit. The sample is not selected on
black hole mass or Eddington ratio but on AGN flux. As already
mentioned, the sample becomes incomplete at
.
Thus, at low black hole mass only the AGN above this luminosity limit
will be detected. This introduces a selection effect on the black hole
mass distribution that needs to be taken into account for the
determination of the BHMF. In the following, we will refer to this
selection effect on the black hole mass and the Eddington ratio
distribution as sample censorship, to distinguish it from more direct,
for example redshift dependent, selection effects on the AGN luminosity
distribution.
It is in principle possible to correct for this sample censorship by proper use of the respective selection function. If applying the usual selection function, which is a function of luminosity, and is appropriate for the determination of the luminosity function, to the determination of the black hole mass function, incompleteness is introduced because it has not properly accounted for active black holes below the flux limit (Kelly et al. 2009). Instead, the selection function has to be derived as a function of black hole mass and this selection function has to be applied to the construction of the BHMF. However, to do so would require knowledge of the, a priori unknown, Eddington ratio distribution function. Thus this approach is not feasible without additional assumptions. Nevertheless, it can be useful as a consistency check, as we will show in Sect. 6.3. To avoid such additional assumptions, we used a different approach to determine the intrinsic underlying active BHMF from our data, taking into account the effect of sample censorship. These results are presented in Sect. 6.
However, in this section we first determine the active BHMF, ignoring the effect of sample censorship on the data. We construct the BHMF using the usual selection function also used for the determination of the AGN luminosity function. However, it must be kept in mind that in this case we ignore active black holes with luminosities below the flux limit of the survey, even if their Eddington ratio is high enough to call it active by the above definition. Thus, this determined BHMF suffers from incompleteness at low mass caused by the sample censorship. Nevertheless, this exercise is worthwhile, because it does not require any assumptions on the shape of the mass function or any information about the Eddington ratio distribution function. While the low mass end clearly will be affected by sample censorship, the high mass end is already well determined by this approach, providing important information on this mass range. Also, this uncorrected BHMF can be better compared with previous estimates on the BHMF that usually have not properly accounted for the sample censorship.
We constructed this active BHMF, not corrected for sample
censorship, in an equivalent manner as for the determination of a
luminosity function (see Paper I). We made use of the
classical
estimator (Schmidt 1968)
to construct a binned BHMF. The differential BHMF (space density per
log
)
is thus given by:
![]() |
(5) |
where









To derive the local (z=0) BHMF we corrected
for evolution within our narrow redshift bin, 0<z<0.3,
as described in Paper I. We applied a simple pure density
evolution model within the redshift bin, i.e.
with kD=5,
thus adjusting our BHMF to redshift zero. This specific value ensures a
result of the
test consistent with
,
as would be expected in the case of no evolution.
The differential active BHMF of the HES is computed for bins
of dex
in the range
.
The resulting differential local BHMF, not corrected for sample
censorship, is shown in Fig. 6.
![]() |
Figure 6: The differential active black hole mass function for z=0, not corrected for sample censorship. Filled black symbols show the BHMF using the line dispersion to estimate the black hole mass. The dashed line shows the double power law fit to the BHMF, the dotted line gives the Schechter function fit and the dashed dotted line represents the fit using a modified Schechter function. |
Open with DEXTER |
We used the following functional forms to fit the BHMF. A
double power law, given by:
where M* is a characteristic break mass,



is also used.
We additionally used a functional form, motivated by the
quiescent BHMF. The quiescent BHMF is given as a convolution of a
Schechter function with a Gaussian and can be parameterised by the
following function (e.g. Shankar et al. 2004;
Aller
& Richstone 2002):
This basically corresponds to an ad-hoc modification of the Schechter function with an extra parameter




These BHMFs are connected to the expression in logarithmic
units by .
The resulting fitting parameters of these three functions to our binned
BHMF are listed in Table 1. All give
acceptable fits, while the Schechter function performs poorly at the
highest black hole masses. However, the BHMF is less well constrained
at high
due
to the small number of objects in these bins.
The shape of the BHMF is described by a steep decrease of the
space density towards higher with
in the double power law, and a significant flattening at
toward lower
.
The high mass regime is not affected by the already mentioned sample
censorship, while the low mass flattening is partially caused by the
systematic underrepresentation of low
objects at low mass.
Table 2: Binned black hole mass function, not corrected for sample censorship.
5.2 The local Eddington ratio distribution function
Given the estimates of the Eddington ratio
for our sample, we can analogously determine the local Eddington ratio
distribution function (ERDF) for the HES, equivalent to the BHMF. This
determination also does not take into account the effect of sample
censorship.
We computed the local ERDF in bins of
dex
in the range
.
The resulting differential local ERDF is shown in Fig. 7.
![]() |
Figure 7: The differential Eddington ratio distribution function for z=0, not corrected for sample censorship. The dashed line shows the best Schechter function fit. |
Open with DEXTER |
The uncorrected AGN space density declines at high as well as
at low ,
showing a peak around
.
We fitted the ERDF by a Schechter function, neglecting the lowest
point. The resulting best fit values are
Mpc-3,
and
with a value of
per degree of freedom of 1.9.
However, also this ERDF is strongly affected by sample
censorship. While at the highest Eddington ratios (
)
the majority of AGN will be detected by the survey, at low Eddington
ratio (
)
a significant number of objects will have a too low luminosity to be
detected. Therefore the space density at low
will be underestimated by the derived ERDF. In the next section we will
reconstruct the intrinsic underlying ERDF as well as the intrinsic
BHMF.
6 Reconstruction of the intrinsic BHMF and ERDF
6.1 Method
As already noted, the BHMF presented so far is basically luminosity limited and thus incomplete at low mass in terms of an accretion rate limited active BHMF. We now want to constrain the intrinsic active BHMF by our observations, correcting for this sample censorship. We use

The selection function of the survey is a function of
luminosity, and thus of the product of and
.
Therefore, the reconstruction of the active BHMF also requires the
knowledge of the ERDF.
Both distribution functions cannot be determined independently from
each other. In Sect. 6.3, as a
consistency test, we will determine the active BHMF assuming a specific
ERDF. But without such an assumption both distribution functions have
to be determined at the same time. This is the approach we will follow
in this section.
Knowing both distribution functions, the AGN luminosity
function is directly given as a convolution of the two:
where we adopt


We determined the BHMF and ERDF together, performing a maximum likelihood fit to the data (e.g. Marshall et al. 1983). We consider the joint Poisson probability distribution of black hole mass and Eddington ratio. We minimise the function


The sum is over the observed objects and the integral is equal to the expected number of objects, given the assumed BHMF and ERDF. The probability distribution








We will now briefly motivate the used probability distribution
for our sample.
The observed number of objects in a sample is given by:
![]() |
(12) |
where





Apart from the flux limit, our sample is incomplete at the
lowest luminosities MBJ>-19.
For low luminosity AGN the host galaxy contribution becomes an
important factor and the objects might no longer be classified as an
AGN, due to the SED being dominated by starlight. As shown in
Paper I, the sample is highly complete brighter than .
Thus, we adopted a luminosity limit of MBJ<-19
in the selection function,
.
We also restricted the observed sample to this lower luminosity for the
comparison of the sample properties.
The AGN luminosity function
is related to the BHMF and the ERDF via Eq. (9).
For the redshift evolution, we assumed the simple pure density
evolution model of Sect. 5.1.
In this case the black hole mass function is separable into a function
of
and a function of z,
,
with kD=5.
The expected number of objects for a given survey and an
assumed BHMF and ERDF is then given by:
Thus, the bivariate probability distribution of black hole mass and Eddington ratio is given by:
Given this bivariate distribution for an assumed BHMF and ERDF, we minimise the likelihood function S (Eq. (11)) using a downhill simplex algorithm (Nelder & Mead 1965). As a lower limit for the fitting we employed a black hole mass of


For the BHMF we assumed three different models. Firstly we
used a double power law with the high mass slope fixed to the value ,
determined from the uncorrected BHMF in Sect. 5.1. This lowers
the required number of free parameters and is justified, because the
high mass region in the uncorrected BHMF is only weakly affected by
incompleteness. Secondly we also used a double power law, but leaving
the high mass slope as a free parameter, to be determined in the fit.
As third model we used the function given by Eq. (8), thus a
modified Schechter function. The starting values for the minimisation
algorithm are taken from the fit to the uncorrected BHMF.
We decided to model the ERDF by a Schechter function,
corresponding to an exponential cutoff close to the Eddington limit and
a wide power law-like distribution at low Eddington ratio. This
parameterisation differs from the often assumed log-normal
distribution. However, a log-normal distribution is only motivated by
the observed distribution, not accounting for any
selection effects. Also, a log-normal distribution enforces a maximum
and a turnover at low .
A Schechter function is more flexible, allowing for a turnover at low
values, but not enforcing it. In particular, it allows an increase of
the space density at low
.
This shape would be consistent with observations of type 2 AGN
(Hopkins
& Hernquist 2009; Yu et al. 2005; Kauffmann
& Heckman 2009), with estimates for the total AGN
population (Merloni &
Heinz 2008) as well as with model expectations of AGN
lightcurves from self-regulated black hole growth (Hopkins
& Hernquist 2009; Yu & Lu 2008). Aside from
the Schechter function parameterisation of the ERDF, we additionally
tested a log-normal ERDF as functional form. Together with the
Schechter function it covers a wide range of possible parameterisations
for the ERDF.
From our data we are not able to constrain a dependence of the
ERDF on ,
so we assumed the ERDF to be independent of
,
already implicitly assumed in Eq. (9). The normalisation
of the ERDF is fixed by the condition that the BHMF and ERDF have to
predict the same space density of AGN. This leaves two free parameters
for the ERDF, the break
and the low-
slope
for the Schechter function, or the mean
and the width
for the log-normal distribution. However, these two parameters in both
cases are not independent from each other, because the data by
construction needs to be consistent with the observed luminosity
function (LF). Thus, for a given BHMF and a fixed value for
,
is
given by the condition that the LF derived from the BHMF and ERDF by
Eq. (9)
has to be consistent with the observed LF.
Our approach automatically ensures the consistency of the BHMF and the
ERDF with the observed LF.
To assess the goodness of fit for the individual models we
used two different methods. This is required because the maximum
likelihood method does not provide its own assessment of the goodness
of fit. First, we used a two-dimensional K-S test (Fasano & Franceschini 1987)
on the unbinned data. Second, we employed a
test, binning the data in bins of 0.5 dex in
and
respectively. The results are given with the best fit parameters in
Table 3.
Table 3: Fitting results for the active black hole mass function and the Eddington ratio distribution function.
![]() |
Figure 8:
Results for the reconstructed BHMF and ERDF. The left panel
gives the BHMF and the right panel the ERDF
respectively. The black points show the binned uncorrected distribution
function, with filled circles representing bins that do not suffer
significantly from sample censorship and open circles represent bins,
biased by sample censorship. They are shown for comparison with the
reconstructed BHMF and ERDF.
The black dashed line shows a double power law BHMF with fixed high
mass slope |
Open with DEXTER |
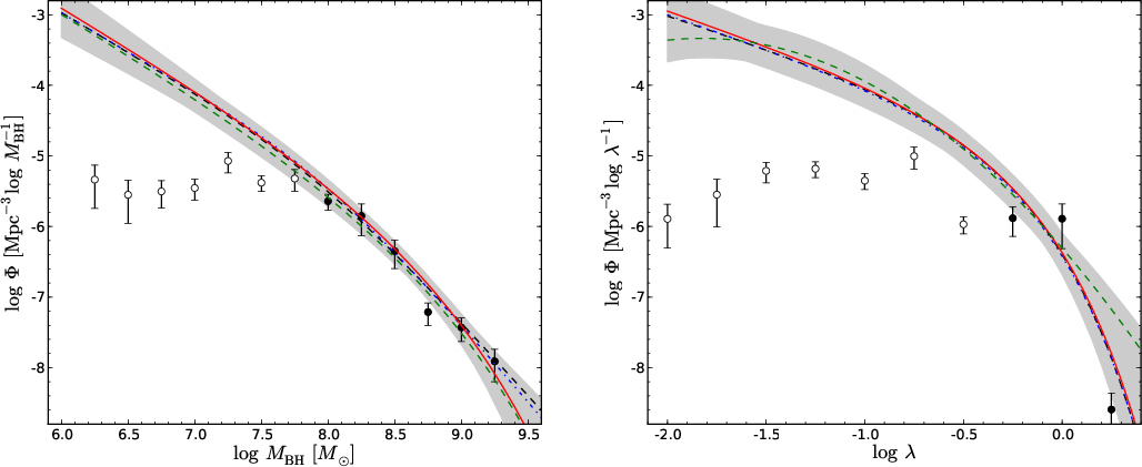
6.2 Results
The first model consists of a double power law BHMF, with the high mass slope fixed to



This function provides a good fit to the high mass end of the
uncorrected BHMF, which is only little affected by sample censorship.
At the low mass end the uncorrected BHMF strongly underpredicts the
active black hole space density, compared to the reconstructed
underlying active BHMF. This also holds true for all other applied
functional forms for the BHMF and the ERDF. The same also applies to
the uncorrected ERDF. The uncorrected ERDF is strongly biased and
underestimates the BH space density. The best fit to the uncorrected
BHMF and to the ERDF is clearly rejected by the maximum likelihood
approach with high confidence. They are not able to produce the
observed distributions of and
and are not consistent with the AGN LF. This clearly shows that the
usual approach used to construct an uncorrected BHMF and ERDF is
strongly biased.
We briefly want to illustrate how the maximum likelihood
approach is able to reject certain models for the BHMF and ERDF and
favour others. To compute the expected distributions within a grid of
free parameters, we restricted the number of parameters to two. We
fixed the break and normalisation of the BHMF. Thus, with the high mass
slope already fixed, the only free parameter for the BHMF is the low
mass slope .
For the ERDF there are two free parameters, the break and the low-
slope of the Schechter function. However, one of these is fixed by the
constraint to recover the observed AGN LF. We took
as a free parameter and determined the break by a
minimisation of the LF computed via Eq. (9) to the observed
LF. The normalised observed distribution of
and
are given by:
For illustration, in Fig. 9 we compare these expected distributions with the observed ones within a grid of free parameter




![]() |
Figure 9:
Comparison of the expected distribution of |
Open with DEXTER |
![]() |
Figure 10:
Results of 10 Monte Carlo realizations for the best fit model with an
assumed double power law with fixed high mass slope for the BHMF and a
Schechter function parameterisation of the ERDF. Upper panels:
Comparison of the distributions of |
Open with DEXTER |
We also carried out Monte Carlo simulations for a grid of free
parameters
and
,
using the same assumptions as above, as well as for the best fit model
of the maximum likelihood estimation. Here we proceeded as follows:
First each AGN gets assigned a redshift, then its black hole mass is
drawn from the assumed BHMF, and finally an Eddington ratio is drawn
from the ERDF. From these values absolute and apparent BJ
magnitudes are computed, applying a bolometric correction. By means of
the apparent magnitude BJ
it is decided if the object is selected by the survey or not, taking
into account the flux-limit.
We ran Monte Carlo simulations for a wide range of
and
and found results consistent with what we discussed above and what is
shown in Fig. 9.
The Monte Carlo simulations are clearly able to discriminate between
models that are consistent with the data and those that are not. The
best matching solutions of the Monte Carlo simulations are consistent
with the best fit from the maximum likelihood method, although ``best
matching'' is not as well defined in this case.
In Fig. 10 we show the mean of 10 Monte Carlo realizations of this best fit model. We show the observed distributions for the sample for this model as well as the uncorrected BHMF and ERDF, as well as the MBJ-LF and bolometric LF that would be determined from an ``observed'' sample. To construct such an ``observed'' sample we again limited the simulated sample to MBJ<-19. In the middle panels of Fig. 10, we then compare these expected distribution functions with the uncorrected BHMF and ERDF determined with the same restriction applied (shown as open red symbols). The distributions as well as the constructed distribution functions are consistent with the observed distributions and distribution functions. For models that are found to be not consistent with the observations based on the maximum likelihood approach, the Monte Carlo samples also provide a poor match to the observed distributions and distribution functions, and thus can also be rejected based on the Monte Carlo simulations.
These Monte Carlo simulations show that the observed
distribution of objects between ,
and
,
as shown in the plots of Fig. 4, are well
understood by the underlying BHMF and ERDF and the selection function
of the HES. These results do not qualitatively change using a different
functional form for the BHMF or ERDF.
As a second model we again used a double power law, but included the high mass slope as an additional free parameter to be determined in the maximum likelihood fit. The result is shown as blue dashed dotted lines in Fig. 8. The BHMF is highly consistent with the previous result, with a mild steepening of the high mass slope when this parameter is allowed to change in the fit.
Third, we also used the function given by Eq. (8), thus a
modified Schechter function. The best fit result is consistent with the
double power law fit over most of the mass range and only decreases
stronger at the high mass end.
All three models are good representations of the observed data and
therefore span the range of acceptable distribution functions.
Formally, the modified Schechter function has the lowest value of S
and the highest probability both in the KS-test as well as in the -test and we
will use it in the following as our reference model.
Apart from the Schechter function for the ERDF, we
additionally tested a log-normal distribution. This distribution
function also provides a good representation of the data. In
Table 3
and Fig. 8
we give a model with a log-normal distribution for the ERDF and a
modified Schechter function for the BHMF. While the BHMF is nearly
unchanged, the ERDF deviates from the Schechter ERDF at the highest and
lowest values, while being consistent over a wide range in between.
When enforcing a turnover in the ERDF, using a log-normal distribution,
the data are consistent with such a turnover at low
(
).
However, there is no evidence for a turnover at higher
,
where the maximum in the observed Eddington ratio
distribution is present (
).
The log-normal fit indicates rather a flattening of the ERDF
at the low-
end then a real turnover, because it is cut off before the turnover,
enforced by a log-normal fit, becomes evident. However, the low-
regime is dominated by high mass black holes. If there is a mass
dependence in the ERDF and the ERDF flattens towards high
,
this would be most prominent at low
.
Such a flattening would also be consistent with Hopkins & Hernquist (2009),
who found evidence for a mass dependence in the ERDF of type 2
AGN, with a flatter low
slope at high
.
We take into account the log-normal ERDF in the uncertainty
range of the determination of the BHMF and ERDF. Formally it has a
higher probability in the applied statistical tests than the Schechter
function. However, as mentioned, the main deviation compared to the
Schechter function is above the Eddington limit and close to the lower
limit at .
The number statistics in these regions are low and thus a clear
discrimination between the two models is not possible. Thus, the
Schechter function and log-normal distributions indicate the range of
acceptable ERDFs.
![]() |
Figure 11:
Same as Fig. 8
with the constraints from the |
Open with DEXTER |
We derived uncertainties in the BHMF and ERDF by randomly modifying the
best fit parameters for each model and computing the likelihood
function S. Using
for each random realization, we converted
into confidence values assuming a
distribution (Lampton
et al. 1976; Press et al. 1992).
For all models within a certain confidence interval the BHMF and ERDF
is computed and these functions then span the confidence range of the
two distribution functions. The total uncertainty of the BHMF or ERDF
is then the sum of the confidence ranges of the individual models. In
Fig. 8,
we show this sum of the
confidence values for the two distribution functions as the gray shaded
areas.
So far, we assumed the estimated black hole mass to be equal
to the true black hole mass. However, this is probably an
oversimplification. It is known that there is a considerable
uncertainty in estimates
using the virial method, probably of order 0.4 dex (Vestergaard & Peterson 2006).
Accounting for this uncertainty might change the reconstructed BHMF and
ERDF in shape as well as in normalisation. We will investigate this
important point in detail in future work.
6.3 BHMF and ERDF from the 1/Vmax method
As mentioned in Sect. 5.1, there is also a different approach to determine the intrinsic BHMF and ERDF, namely using the

where






This bias on the determined BHMF can be avoided by using a
black hole mass selection function, given by:
where

Likewise, the ERDF can be derived in an unbiased way by using
the Eddington ratio selection function for the survey, given by:
where


This reqires knowledge of the BHMF, which is also unknown beforehand. Thus this approach is usually not feasible for the determination of the intrinsic BHMF and ERDF directly from the data.
However, this approach has the advantage that no prior assumptions on the shape on the ERDF are required for their determination, once we fixed the assumed BHMF. The same is equally true for the determination of the BHMF. The only necessary information beforehand is on the shape of the ERDF. The problem is that one distribution function needs to be known to determine the other one.
Nevertheless, first we can use it as a consistency test, constructing the BHMF from the constraints on the ERDF from Sect. 6.2 and vice versa. The resulting binned BHMFs and ERDFs using the 4 best fit models are shown as filled symbols in Fig. 11 together with the best fit solutions to the active BHMF and the ERDF, as determined in Sect. 6.2. These binned BHMFs as well as the binned ERDFs for all 4 models are fully consistent with our previous constraints and also consistent with each other.
On the other hand, this approach is useful to verify the assumptions on the shape of the distribution functions used in Sect. 6.2. This is especially worthwhile for the ERDF, because the shape of the BHMF is relatively well determined at the high mass end, with the main uncertainty in the low mass slope, while the shape of the ERDF is poorly determined. Therefore, we assumed the double power law with fixed high mass slope parameterisation of the BHMF. As shown above, the shape of the binned ERDF is consistent for all four assumed BHMFs, based on the 4 best fit models. Thus it is justified to use one of these for the investigation of the ERDF shape.
We again fix the break of the double power law and thus the
only free parameter left is the low mass slope .
We determined the Eddington ratio selection function, using
Eq. (19)
for a variety of values for
,
covering the whole range of acceptable values. We use
as lower limit, taken from the uncorrected BHMF, and
as upper limit, corresponding to a single power law BHMF. The fitting
results on these ERDFs with a Schechter function are given in
Table 4.
While the normalisation of these ERDFs changes significantly for
different assumed values of
,
the shape is not strongly affected and is consistent with our previous
constraints thoughout the whole range. In particular, the ERDF is well
described by a Schechter function. While there is an indication for a
flattening at the low
end, no indication for a real turnoff of the ERDF is present, as also
shown in the right panel of Fig. 11. A
log-normal distribution is also appropriate, but needs to be cut off
close to the maximum of the distribution. Thus it does not indicate a
turnover, but only a flattening of the ERDF.
We again want to emphasise that no prior assumptions on the ERDF are
used here, we just modified the selection function using an assumed
BHMF over a wide range of possible parameters. This strongly confirms
our previous results for the shape of the ERDF, in that it shows that a
Schechter function provides a good representation of the data.
Table 4:
Fitting results for the ERDF, determined using an appropriate Eddington
ratio selection function, assuming different values for the low mass
slope
of the BHMF.
7 Discussion
7.1 Active fraction of local black holes
For a census of active black holes, the derived mass function of active
black holes should be compared to the local mass function of quiescent
black holes. Because the number of dynamically measured black hole
masses is still very low and the sample is inhomogeneous, the quiescent
black hole mass function has to rely on the known -
bulge property relations, thus converting galaxy luminosity or velocity
functions into a black hole mass function. This approach has been used
by several authors to derive a local BHMF (e.g. Marconi
et al. 2004; Salucci et al. 1999;
Shankar
et al. 2004; Yu & Tremaine 2002).
However, there is still some uncertainty in the estimation (Tundo et al. 2007). We
compare our active BHMF to the BHMF presented by Marconi et al. (2004),
shown as the solid line in Fig. 12. Our best fit
model of the reconstructed active BHMF, derived above, is indicated as
dashed line in Fig. 12.
At this point we need to recall that our operational definition of ``active'' black holes only includes type 1 AGN. We are not able to distinguish between a true quiescent black hole and an AGN not selected due to obscuration. By dividing our active BHMF by the quiescent BHMF we thus get the fraction of black holes in an active stage, not hidden to our survey by obscuration, and thus a lower limit to the true active fraction.
The lower panels in Fig. 12 show the fraction of local black holes in an active stage as a function of the black hole mass, thus the black hole duty cycle.
As circles we give the active fraction, or duty cycle, derived
from the binned uncorrected BHMF, presented in Sect. 5.1, where open
symbols indicate bins that are affected by sample censorship. The
estimate of the active fraction for the intrinsic BHMF is shown as
dashed line, thus showing the intrinsic underlying black hole duty
cycle. A clear decrease of the active fraction with increasing is
visible, being close to a power law with slope
over the whole covered mass range.
Using a very different approach, Shankar et al. (2009) predicted the black hole duty cycle. They used simple black hole growth models, based on the local quiescent BHMF and the bolometric AGN luminosity function. They made the simplified assumption of a single constant accretion rate, in contrast to the wide accretion rate distribution we assumed. Their active fraction also refers to the whole AGN population, while we are restricted to type 1 AGN. Nevertheless, when comparing their low z duty cycle with our results, we find an excellent agreement between both. However, taking into account the large differences between the simple model of Shankar et al. (2009) and our empirical determination, this agreement might even be a coincidence.
![]() |
Figure 12:
Comparison of our active black hole mass function with the inactive
BHMF of Marconi et al.
(2004) (solid line in upper panels). The
circles show the uncorrected binned data, where open symbols correspond
to bins that suffer from selection effects.
In the lower panels the active fraction of black
holes in the local universe is shown in logarithmic units. In the left
panel the active BHMF and active fraction for the whole sample are
shown. In the right panel the active BHMF and the corresponding active
fraction are shown for two Eddington ratio bins (above and below |
Open with DEXTER |
In the right panels of Fig. 12 we split our
sample into two subsamples, based on the Eddington ratio ,
at
.
For both subsamples we computed the uncorrected BHMF and the active
fraction. The uncorrected BHMF and the uncorrected active fraction for
the low
subsample are shown as blue circles, while the blue dashed line shows
the active fraction derived from the reconstructed BHMF (best fit
modified Schechter function). Incompleteness sets in around
and is dominant below
,
therefore no information on the behaviour of the active fraction can be
gained from these low
black holes.
The high
subsample is shown as red squares, while the red dashed line shows the
active fraction derived from the reconstructed BHMF, with the
normalisation derived from the fraction of objects above
.
The subsample is almost complete up to
,
where the low
subsample is already heavily incomplete. Above
the binned active fraction is in good agreement with the reconstructed
intrinsic active fraction. This provides a consistency test for the
reconstructed BHMF and ERDF estimate.
But even without this comparison there is a clear trend present for the
high
subsample with a decrease of the active fraction with increasing black
hole mass, directly verifying our previous result from the uncorrected
binned data. Thus, far more low mass black holes in the local universe
are in an active state than high mass black holes.
This result is in general agreement with the picture of anti-hierarchical growth of black holes (e.g. Merloni & Heinz 2008; Merloni 2004), where the most massive black holes grew at early cosmic times and are preferentially in a less active stage in the present universe, and at present mainly smaller mass black holes grow at a significant rate, also known as cosmic downsizing. Our results strongly support this anti-hierarchical black hole growth scenario. This is in general agreement with previous findings on low redshift AGN (Heckman et al. 2004; Greene & Ho 2007; Goulding et al. 2010) that also report a decrease of the active fraction for the most massive black holes, as well as with results at higher redshifts (Vestergaard & Osmer 2009).
7.2 The active black hole mass density
We now want to estimate the black hole mass density of active type 1 AGN in the local universe![]() |
(21) |
with




The observational estimate of the integrated mass density of
the total black hole population in the local universe is
(Yu &
Lu 2008; Graham
& Driver 2007; Shankar et al. 2009).
Using a value of
,
as presented by Marconi
et al. (2004), results in a fraction of
of the black hole mass that is currently actively accreting at a rate
larger that 1% of the Eddington limit (
for the uncorrected BHMF).
7.3 Comparison with other surveys
Greene & Ho (2007) presented a determination of the active black hole mass function for z<0.352, using the SDSS DR4 main galaxy sample as well as the QSO sample. They constructed their sample based on spectroscopic confirmation of broad H

![]() |
Figure 13: Comparison of the local BHMF of the HES with the BHMF presented in Greene & Ho (2009). The blue asterisks and the blue dotted line show the BHMF from Greene & Ho (2007) (corrected in Greene & Ho 2009). The open, black circles show our BHMF, not corrected for evolution and sample censorship, while the filled, red circles show our BHMF, with the black hole mass estimated as in Greene & Ho (2007). The dashed line indicates our reconstructed BHMF for reference. |
Open with DEXTER |
As already mentioned in Paper I, an error has been discovered
in the determination of the
values in the work of Greene
& Ho (2007) (J. Greene, private communication),
resulting into an erroneous luminosity function as well as BHMF. This
error has recently been resolved (Greene
& Ho 2009). Thus we caution not to use the original
active BHMF from Greene &
Ho (2007). In Fig. 13 the active
BHMF by Greene & Ho (2009)
from their SDSS sample is shown as blue asterisks.
Greene & Ho (2007) have not taken into account the selection effects caused by the use of the luminosity selection function and thus underestimate the number of active black holes at low masses, due to the discussed sample censorship. They also do not correct for evolution within their z range. However, a direct comparison with the mass function from Greene & Ho (2009) can be made using our BHMF, without correction for evolution and sample censorship.
For consistency, we also re-estimated the black hole masses of
our sample, using the same formula as Greene
& Ho (2007), using H
FWHM and H
line luminosity. For our sample, the black hole mass distribution is
shifted by 0.54 dex towards lower mass in the mean. Compared
to the FWHM based
this
shift is 0.42 dex, thus
0.1 dex can be attributed to the
difference between the FWHM and
based
.
The main reason for the remaining difference originates from a
different relation of H
luminosity to L5100 found
for our sample compared to the one given in Greene
& Ho (2005). This difference leads to an offset of
0.31 dex. The remaining offset can be attributed to the
different
scaling relation as well as to scatter in the relation between the FWHMs,
as shown in Fig. 1.
The resulting BHMF of the HES is shown as filled circles in Fig. 13. Both BHMFs are fully consistent with each other, especially at the high mass end, where different survey selection effects are not important. At the low mass end the SDSS BHMF seems to exhibit similar survey selection effects as our HES sample, resulting in a consistent uncorrected BHMF, even at the biased low mass end.
![]() |
Figure 14:
Comparison of our local active BHMF (filled circles for uncorrected and
dashed line for intrinsic BHMF) with the BHMF of the BQS, as determined
directly as binned estimate by Vestergaard
& Osmer (2009) (blue asterisks) and as determined by
a Bayesian approach by Kelly
et al. (2009) (blue solid line for median and dashed
lines for |
Open with DEXTER |
Recently, Vestergaard & Osmer (2009) presented the binned local active BHMF of the Bright Quasar Survey (BQS, Schmidt & Green 1983), in the redshift interval z=0-0.5. In Fig. 14 we compare their derived BHMF with our binned BHMF, not corrected for evolution and sample censorship (filled black circles), and our reconstructed intrinsic BHMF (dashed black line). We also show the local BHMF of the BQS as blue solid line, but determined using a Bayesian approach (Kelly et al. 2009).
The most direct comparison between the BQS and the HES is with
the binned estimates. At the high mass end, both binned estimates are
in reasonable agreement. However, the BQS does not cover exactly the
same redshift range as our HES sample. This might also cause some
difference between both BHMFs, due to evolution of the BHMF, which has
the largest effect at the high mass end. Because the BQS is not as deep
as the HES, incompleteness sets in at higher in
the binned BHMF. Also it is known that the BQS suffers from both
incompleteness (Koehler
et al. 1997; Goldschmidt et al. 1992)
as well as overcompleteness (Wisotzki
et al. 2000). Thus, the HES is superior to the BQS
for a determination of the local active BHMF.
Recently, Kelly
et al. (2009) presented a determination of the
active BHMF from the BQS using a Bayesian method, taking also into
account scatter in and
accounting for black holes below the flux limit of the survey. Their
approach aims at correcting their BHMF for sample selection effects
caused by the flux-limit, as we did in Sect. 6. However,
they modeled the BHMF with a combination of Gaussian functions and also
enforced a log normal distribution for the ERDF, while we mainly used a
Schechter function description without a specific maximum and with a
high fraction of objects at low
.
In Fig. 14
we compare their posterior median BHMF (blue solid line) with our
intrinsic BHMF (black dashed line). While both mass functions are
consistent at the high mass end, there is a clear disagreement at the
low mass end. Their BHMF is rather consistent with our uncorrected
BHMF. We speculate that the reason for this disagreement might lie in
the different assumptions on the shape of the BHMF and ERDF. This
emphasises the importance of the assumed ERDF for the determination of
the underlying BHMF. An important constraint on the ERDF is provided by
the condition to recover the observed luminosity function as a
convolution of BHMF and ERDF, as we have ensured by construction.
So far, little observational results exist on the distribution
function of Eddington ratios from AGN surveys. Yu
et al. (2005) used a sample of type 2 AGN
from the SDSS (Heckman
et al. 2004; Kauffmann et al. 2003)
to determine the ERDF. Their results have recently been compiled by Hopkins & Hernquist (2009).
They also fitted the ERDF by a Schechter function and found an average
slope of .
Our constraints on the local type 1 ERDF presented here are
consistent with this average slope of the ERDF of type 2 AGN.
This might indicate a similar accretion behaviour of type 1
and type 2 AGN, as expected from the standard unification
model (e.g. Antonucci 1993).
7.4 Evolution of the active fraction
Vestergaard et al.
(2008) presented a determination of the BHMF in the redshift
range .
They used a well-defined, homogeneous sample of 15180 quasars from the
SDSS DR3, already used by Richards
et al. (2006b) for the construction of the
luminosity function. They found a high-mass decline with constant slope
at
all epochs. Our high-mass slope of
for
(when not corrected for evolution) is consistent with their higher-z
result within the uncertainties.
We compare our
BHMF, not corrected for evolution within the z-bin
and for sample censorship, with the lowest redshift bin (
)
BHMF of Vestergaard
et al. (2008), shown in Fig. 15. We also show
the active BHMF of the Large Bright Quasar Survey (LBQS; e.g. Hewett et al. 2001)
in the redshift bin z=0.2-0.5
(Vestergaard & Osmer
2009) as triangles. Both SDSS and LBQS BHMFs are in general
agreement, even though they do not cover exactly the same redshift
range. The decline of the space density at the lowest
in
both BHMFs is mainly due to incompleteness in this mass range in the
SDSS QSO sample as well as in the LBQS QSO sample. At the high mass end
the BHMF shows a similar slope but a larger space density than our HES
BHMF. This seems to indicate evolution of the BHMF between these
redshift bins. Because the mass function of the total supermassive
black hole population will only decrease at the high mass end toward
higher z, we can use the local quiescent BHMF as an
upper limit for the mass function at
.
This then implies an increase of the active fraction at the high mass
end towards higher redshift, exactly as would be expected in the cosmic
downsizing scenario. Thus, the number of the most massive black holes
being in an active stage in the present universe seems to be lower than
at earlier cosmic epochs.
![]() |
Figure 15:
Comparison of our uncorrected |
Open with DEXTER |
8 Conclusions
We have presented a study of the low-redshift active black hole population, residing in broad-line active galactic nuclei. We estimated black hole masses and Eddington ratios, and from it estimated the local active black hole mass function and the Eddington ratio distribution function. Our sample was drawn from the Hamburg/ESO Survey and contains 329 quasars and Seyfert 1 galaxies with z<0.3, selected from surveying almost 7000 deg2 in the southern sky.We estimated black hole masses from single-epoch spectra,
measuring the line dispersion of the broad H
line and the continuum luminosity at 5100 Å L5100,
using the common virial method. We took care to avoid contamination of
the line measurement by neighbouring emission lines and roughly
estimated the degree of host galaxy contribution to L5100.
This has been found to be negligible for the most luminous AGN and not
dominant even at the low luminosity end of our sample. We applied a
rough statistical correction to the continuum luminosities to take into
account the host contribution.
The bolometric luminosity and thus the Eddington ratio
,
has been estimated from L5100.
The observed black hole masses cover a range
and the Eddington ratio is roughly confined between 0.01-1. The
observed distributions of these quantities are understood by the
underlying distribution functions of black hole mass and Eddington
ratio, in combination with the survey selection function, as we
explicitly demonstrated by Monte Carlo simulations.
We made an attempt to determine these two distribution
functions in an unbiased way. First of all, when we want to determine
the active BHMF, we have to make clear what we mean
by an active black hole, due to the wide
distribution of accretion rates. We used a lower Eddington ratio cut of
,
in agreement with the observed range of Eddington ratios. Using a
different cut for
will preserve the shape of the BHMF, but change their normalisation,
due to our assumption of an uncorrelated BHMF and ERDF. This is already
shown in the left panel of Fig.12.
The normalisation and therefore the space density clearly depend of the
chosen definition of an active black hole.
Next we have to be aware that our sample is selected on AGN luminosity, not on black hole mass. Therefore, we have to make sure that we properly account for active black holes below the flux limit of the survey. We presented a method that determines the active BHMF as well as the ERDF at the same time, by a maximum likelihood fit. Here, the bivariate probability distribution of black hole mass and Eddington ratio is fitted to the observations. This probability distribution is given by an assumed BHMF, ERDF and the selection function of the survey. We also corrected for evolution within our redshift range, transforming the distribution functions to z=0. This maximum likelihood method also ensures the consistency of the derived BHMF and ERDF with the AGN luminosity function. We were able to put tight constraints on both the active black hole mass function and the Eddington ratio distribution function.
The Eddington ratio distribution function is well described by
a Schechter function with low
slope
.
The data are consistent with no decrease of the ERDF at low
,
within the constrained range. Using a log-normal distribution, we found
a maximum at
,
what can be taken as an upper limit for a potential turnover in the
ERDF. Our results clearly show a wide distribution of Eddington ratios,
in contrast to a single value or to a narrow log-normal distribution,
which is based on the observed distribution, without accounting for the
underlying selection effects. While we also observe a narrow log-normal
distribution of Eddington ratios, this is in agreement with the
constrained Schechter function or wide log-normal distribution for the
Eddington ratio distribution function, when survey selection effects
are properly accounted for, because low-
objects will be systematically missed in flux limited samples.
The active BHMF is well described by different analytic
models. In general, it strongly decreases at the high mass end and
follows a power law at the low mass end with slope of .
A good fit to the data is achieved by a function similar to a Schechter
function, but modified by an extra parameter that determines the
steepness of the high mass decrease.
We found no evidence for a decrease of the BHMF toward low mass, as
indicated by Greene & Ho
(2007) for
.
However, our sample is not very sensitive in this low mass range.
We compared our local active BHMF with the local quiescent
BHMF from Marconi et al.
(2004), determining the active fraction, or duty cycle, of
local black holes. This active fraction is decreasing with increasing
black hole mass, consistent with a power law with slope -0.86. Thus,
the most massive black holes in the present universe are less active
than their lower mass companions. At the highest
only
10-4 of all black holes are currently in an
active stage, i.e. accreting above 0.01 of the Eddington rate. This
supports the general picture of anti-hierarchical growth of black
holes. This mass dependence of the active fraction indicates that our
assumption of an uncorrelated BHMF and ERDF cannot be sustained up to
low values of
and thus we caution to extrapolate the distribution functions into the
low
regime. Investigating a mass dependence of the ERDF would especially
require a wider luminosity coverage of the sample.
By comparing our low z BHMF with the BHMF of a higher z-bin, presented by Vestergaard et al. (2008) and Vestergaard & Osmer (2009), we found an indication that the most massive black holes are currently in a less active stage than at earlier cosmic times, also in general agreement with anti-hierarchical black hole growth.
Recently, Marconi
et al. (2008) proposed a modified method to estimate
,
taking into account the effect of radiation pressure. So far, it is
still unknown if radiation pressure has an important effect on the BLR
or not (see e.g. Netzer 2009).
If we take into account radiation pressure and apply their
estimation
formula to our sample, the major effect is an increase of
especially
for the low
objects.
In total, the dispersion of the
distribution
decreases from 0.65 dex to 0.63 dex. In the BHMF the
space density at median
increases,
while at high
the
space density slightly decreases. This would strengthen even further
the evidence for anti-hierarchical black hole growth. On the other hand
it would change our observed
,
and especially our
,
distributions, and thereby our constrained BHMF and the Eddington ratio
distribution function.
Our work strengthens the scenario of anti-hierarchical growth of black holes, also seen in other studies (Merloni 2004; Heckman et al. 2004; Vestergaard & Osmer 2009; Shankar et al. 2009; Greene & Ho 2007), at least at low redshift. The observation of ``cosmic downsizing'' in the X-ray luminosity function (e.g. Hasinger et al. 2005; Ueda et al. 2003), as well as in the optical, radio and IR luminosity function (e.g. Hunt et al. 2004; Croom et al. 2009; Cirasuolo et al. 2005; Matute et al. 2006), i.e. the flattening of the faint end slope of the luminosity function towards higher redshift, is explained by the shift of the typical black hole mass of an active accreting black hole toward lower mass.
The presented local active black hole mass function and Eddington ratio distribution function serve as a local anchor for future studies of both distribution functions. These will provide further information on the cosmic history of growth and activity of supermassive black holes.
AcknowledgementsWe thank Isabelle Gavignaud, Bernd Husemann and Natasha Maddox for helpful discussions. We acknowledge support by the Deutsche Forschungsgemeinschaft under its priority programme SPP1177, grants Wi 1369/23-1 and Wi 1369/23-2.
References
- Adelman-McCarthy, J. K., Agüeros, M. A., Allam, S. S., et al. 2007, ApJS, 172, 634 [NASA ADS] [CrossRef] [Google Scholar]
- Aller, M. C., & Richstone, D. 2002, AJ, 124, 3035 [NASA ADS] [CrossRef] [Google Scholar]
- Antonucci, R. 1993, ARA&A, 31, 473 [Google Scholar]
- Babic, A., Miller, L., Jarvis, M. J., et al. 2007, A&A, 474, 755 [NASA ADS] [CrossRef] [EDP Sciences] [Google Scholar]
- Bentz, M. C., Peterson, B. M., Pogge, R. W., Vestergaard, M., & Onken, C. A. 2006, ApJ, 644, 133 [NASA ADS] [CrossRef] [Google Scholar]
- Bentz, M. C., Peterson, B. M., Netzer, H., Pogge, R. W., & Vestergaard, M. 2009, ApJ, 697, 160 [Google Scholar]
- Blandford, R. D., & McKee, C. F. 1982, ApJ, 255, 419 [NASA ADS] [CrossRef] [EDP Sciences] [Google Scholar]
- Booth, C. M., & Schaye, J. 2009, MNRAS, 398, 53 [NASA ADS] [CrossRef] [Google Scholar]
- Bruzual, G., & Charlot, S. 2003, MNRAS, 344, 1000 [NASA ADS] [CrossRef] [Google Scholar]
- Cardelli, J. A., Clayton, G. C., & Mathis, J. S. 1989, ApJ, 345, 245 [NASA ADS] [CrossRef] [Google Scholar]
- Cattaneo, A., Dekel, A., Devriendt, J., Guiderdoni, B., & Blaizot, J. 2006, MNRAS, 370, 1651 [NASA ADS] [CrossRef] [Google Scholar]
- Cirasuolo, M., Magliocchetti, M., & Celotti, A. 2005, MNRAS, 357, 1267 [NASA ADS] [CrossRef] [Google Scholar]
- Collin, S., Kawaguchi, T., Peterson, B. M., & Vestergaard, M. 2006, A&A, 456, 75 [NASA ADS] [CrossRef] [EDP Sciences] [Google Scholar]
- Croton, D. J., Springel, V., White, S. D. M., et al. 2006, MNRAS, 365, 11 [NASA ADS] [CrossRef] [Google Scholar]
- Croom, S. M., Richards, G. T., Shanks, T., et al. 2009, MNRAS, 399, 1755 [NASA ADS] [CrossRef] [Google Scholar]
- Davies, R. I., Sánchez, F. M., Genzel, R., et al. 2007, ApJ, 671, 1388 [NASA ADS] [CrossRef] [Google Scholar]
- Denney, K. D., Peterson, B. M., Dietrich, M., Vestergaard, M., & Bentz, M. C. 2009, ApJ, 692, 246 [NASA ADS] [CrossRef] [Google Scholar]
- Di Matteo, T., Springel, V., & Hernquist, L. 2005, Nature, 433, 604 [NASA ADS] [CrossRef] [PubMed] [Google Scholar]
- Fasano, G., & Franceschini, A. 1987, MNRAS, 225, 155 [NASA ADS] [CrossRef] [Google Scholar]
- Ferrarese, L., & Merritt, D. 2000, ApJ, 539, L9 [NASA ADS] [CrossRef] [Google Scholar]
- Fine, S., Croom, S. M., Hopkins, P. F., et al. 2008, MNRAS, 390, 1413 [NASA ADS] [Google Scholar]
- Gavignaud, I., Wisotzki, L., Bongiorno, A., et al. 2008, A&A, 492, 637 [NASA ADS] [CrossRef] [EDP Sciences] [Google Scholar]
- Gebhardt, K., Bender, R., Bower, G., et al. 2000, ApJ, 539, L13 [NASA ADS] [CrossRef] [Google Scholar]
- Goldschmidt, P., Miller, L., La Franca, F., & Cristiani, S. 1992, MNRAS, 256, 65P [NASA ADS] [CrossRef] [Google Scholar]
- Goulding, A. D., Alexander, D. M., Lehmer, B. D., & Mullaney, J. R. 2010, MNRAS, 406, 597 [NASA ADS] [CrossRef] [Google Scholar]
- Graham, A. W., & Driver, S. P. 2007, MNRAS, 380, L15 [NASA ADS] [CrossRef] [Google Scholar]
- Greene, J. E., & Ho, L. C. 2005, ApJ, 630, 122 [NASA ADS] [CrossRef] [Google Scholar]
- Greene, J. E., & Ho, L. C. 2007, ApJ, 667, 131 [NASA ADS] [CrossRef] [Google Scholar]
- Greene, J. E., & Ho, L. C. 2009, ApJ, 704, 1743 [NASA ADS] [CrossRef] [Google Scholar]
- Gültekin, K., Richstone, D. O., Gebhardt, K., et al. 2009, ApJ, 698, 198 [NASA ADS] [CrossRef] [Google Scholar]
- Häring, N., & Rix, H.-W. 2004, ApJ, 604, L89 [NASA ADS] [CrossRef] [Google Scholar]
- Hasinger, G., Miyaji, T., & Schmidt, M. 2005, A&A, 441, 417 [NASA ADS] [CrossRef] [EDP Sciences] [Google Scholar]
- Heckman, T. M., Kauffmann, G., Brinchmann, J., et al. 2004, ApJ, 613, 109 [NASA ADS] [CrossRef] [Google Scholar]
- Hewett, P. C., Foltz, C. B., & Chaffee, F. H. 2001, AJ, 122, 518 [NASA ADS] [CrossRef] [Google Scholar]
- Ho, L. C. 2009, ApJ, 699, 626 [NASA ADS] [CrossRef] [Google Scholar]
- Hopkins, P. F., & Hernquist, L. 2009, ApJ, 698, 1550 [NASA ADS] [CrossRef] [Google Scholar]
- Hopkins, P. F., Richards, G. T., & Hernquist, L. 2007, ApJ, 654, 731 [NASA ADS] [CrossRef] [Google Scholar]
- Hunt, M. P., Steidel, C. C., Adelberger, K. L., & Shapley, A. E. 2004, ApJ, 605, 625 [NASA ADS] [CrossRef] [Google Scholar]
- Kaspi, S., Smith, P. S., Netzer, H., et al. 2000, ApJ, 533, 631 [NASA ADS] [CrossRef] [Google Scholar]
- Kaspi, S., Maoz, D., Netzer, H., et al. 2005, ApJ, 629, 61 [NASA ADS] [CrossRef] [Google Scholar]
- Kauffmann, G., & Heckman, T. M. 2009, MNRAS, 397, 135 [NASA ADS] [CrossRef] [Google Scholar]
- Kauffmann, G., Heckman, T. M., White, S. D. M., et al. 2003, MNRAS, 341, 54 [Google Scholar]
- Kelly, B. C., Bechtold, J., Trump, J. R., Vestergaard, M., & Siemiginowska, A. 2008, ApJS, 176, 355 [NASA ADS] [CrossRef] [Google Scholar]
- Kelly, B. C., Vestergaard, M., & Fan, X. 2009, ApJ, 692, 1388 [NASA ADS] [CrossRef] [Google Scholar]
- Khalatyan, A., Cattaneo, A., Schramm, M., et al. 2008, MNRAS, 387, 13 [NASA ADS] [CrossRef] [Google Scholar]
- Koehler, T., Groote, D., Reimers, D., & Wisotzki, L. 1997, A&A, 325, 502 [NASA ADS] [Google Scholar]
- Kollatschny, W. 2003, A&A, 407, 461 [NASA ADS] [CrossRef] [EDP Sciences] [Google Scholar]
- Kollmeier, J. A., Onken, C. A., Kochanek, C. S., et al. 2006, ApJ, 648, 128 [NASA ADS] [CrossRef] [Google Scholar]
- Krolik, J. H. 2001, ApJ, 551, 72 [NASA ADS] [CrossRef] [Google Scholar]
- Lampton, M., Margon, B., & Bowyer, S. 1976, ApJ, 208, 177 [NASA ADS] [CrossRef] [Google Scholar]
- Lusso, E., Comastri, A., Vignali, C., et al. 2010, A&A, 512, A34+ [NASA ADS] [CrossRef] [EDP Sciences] [Google Scholar]
- Magorrian, J., Tremaine, S., Richstone, D., et al. 1998, AJ, 115, 2285 [NASA ADS] [CrossRef] [Google Scholar]
- Marconi, A., & Hunt, L. K. 2003, ApJ, 589, L21 [NASA ADS] [CrossRef] [Google Scholar]
- Marconi, A., Risaliti, G., Gilli, R., et al. 2004, MNRAS, 351, 169 [NASA ADS] [CrossRef] [Google Scholar]
- Marconi, A., Axon, D. J., Maiolino, R., et al. 2008, ApJ, 678, 693 [NASA ADS] [CrossRef] [Google Scholar]
- Marshall, H. L., Tananbaum, H., Avni, Y., & Zamorani, G. 1983, ApJ, 269, 35 [NASA ADS] [CrossRef] [Google Scholar]
- Matute, I., La Franca, F., Pozzi, F., et al. 2006, A&A, 451, 443 [NASA ADS] [CrossRef] [EDP Sciences] [Google Scholar]
- McLure, R. J., & Dunlop, J. S. 2004, MNRAS, 352, 1390 [NASA ADS] [CrossRef] [Google Scholar]
- Merloni, A. 2004, MNRAS, 353, 1035 [NASA ADS] [CrossRef] [Google Scholar]
- Merloni, A., & Heinz, S. 2008, MNRAS, 388, 1011 [NASA ADS] [Google Scholar]
- Nelder, J. A., & Mead, R. A. 1965, Computer J., 7, 308 [Google Scholar]
- Netzer, H. 2009, ApJ, 695, 793 [NASA ADS] [CrossRef] [Google Scholar]
- Netzer, H., & Trakhtenbrot, B. 2007, ApJ, 654, 754 [NASA ADS] [CrossRef] [Google Scholar]
- Netzer, H., Maoz, D., Laor, A., et al. 1990, ApJ, 353, 108 [NASA ADS] [CrossRef] [Google Scholar]
- Onken, C. A., & Peterson, B. M. 2002, ApJ, 572, 746 [NASA ADS] [CrossRef] [Google Scholar]
- Onken, C. A., Ferrarese, L., Merritt, D., et al. 2004, ApJ, 615, 645 [NASA ADS] [CrossRef] [Google Scholar]
- Osterbrock, D. E., & Shuder, J. M. 1982, ApJS, 49, 149 [NASA ADS] [CrossRef] [Google Scholar]
- Peterson, B. M. 1993, PASP, 105, 247 [NASA ADS] [CrossRef] [Google Scholar]
- Peterson, B. M., & Wandel, A. 2000, ApJ, 540, L13 [NASA ADS] [CrossRef] [Google Scholar]
- Peterson, B. M., Ferrarese, L., Gilbert, K. M., et al. 2004, ApJ, 613, 682 [NASA ADS] [CrossRef] [Google Scholar]
- Press, W. H., Teukolsky, S. A., Vetterling, W. T., & Flannery, B. P. 1992, Numerical recipes in C. The art of scientific computing (Cambridge: University Press), 2nd edn. [Google Scholar]
- Richards, G. T., Lacy, M., Storrie-Lombardi, L. J., et al. 2006a, ApJS, 166, 470 [NASA ADS] [CrossRef] [Google Scholar]
- Richards, G. T., Strauss, M. A., Fan, X., et al. 2006b, AJ, 131, 2766 [NASA ADS] [CrossRef] [Google Scholar]
- Salucci, P., Szuszkiewicz, E., Monaco, P., & Danese, L. 1999, MNRAS, 307, 637 [NASA ADS] [CrossRef] [Google Scholar]
- Schechter, P. 1976, ApJ, 203, 297 [Google Scholar]
- Schlegel, D. J., Finkbeiner, D. P., & Davis, M. 1998, ApJ, 500, 525 [NASA ADS] [CrossRef] [Google Scholar]
- Schmidt, M. 1968, ApJ, 151, 393 [NASA ADS] [CrossRef] [Google Scholar]
- Schmidt, M., & Green, R. F. 1983, ApJ, 269, 352 [NASA ADS] [CrossRef] [Google Scholar]
- Schulze, A., Wisotzki, L., & Husemann, B. 2009, A&A, 507, 781 [NASA ADS] [CrossRef] [EDP Sciences] [Google Scholar]
- Shankar, F., Salucci, P., Granato, G. L., De Zotti, G., & Danese, L. 2004, MNRAS, 354, 1020 [NASA ADS] [CrossRef] [Google Scholar]
- Shankar, F., Weinberg, D. H., & Miralda-Escudé, J. 2009, ApJ, 690, 20 [NASA ADS] [CrossRef] [Google Scholar]
- Shen, J., Vanden Berk, D. E., Schneider, D. P., & Hall, P. B. 2008a, AJ, 135, 928 [NASA ADS] [CrossRef] [Google Scholar]
- Shen, Y., Greene, J. E., Strauss, M. A., Richards, G. T., & Schneider, D. P. 2008b, ApJ, 680, 169 [NASA ADS] [CrossRef] [Google Scholar]
- Soltan, A. 1982, MNRAS, 200, 115 [NASA ADS] [CrossRef] [Google Scholar]
- Springel, V., Di Matteo, T., & Hernquist, L. 2005, ApJ, 620, L79 [NASA ADS] [CrossRef] [Google Scholar]
- Tremaine, S., Gebhardt, K., Bender, R., et al. 2002, ApJ, 574, 740 [NASA ADS] [CrossRef] [Google Scholar]
- Trump, J. R., Impey, C. D., Kelly, B. C., et al. 2009, ApJ, 700, 49 [NASA ADS] [CrossRef] [Google Scholar]
- Tundo, E., Bernardi, M., Hyde, J. B., Sheth, R. K., & Pizzella, A. 2007, ApJ, 663, 53 [NASA ADS] [CrossRef] [Google Scholar]
- Ueda, Y., Akiyama, M., Ohta, K., & Miyaji, T. 2003, ApJ, 598, 886 [NASA ADS] [CrossRef] [Google Scholar]
- Vanden Berk, D. E., Shen, J., Yip, C., et al. 2006, AJ, 131, 84 [NASA ADS] [CrossRef] [Google Scholar]
- Vasudevan, R. V., & Fabian, A. C. 2009, MNRAS, 392, 1124 [NASA ADS] [CrossRef] [Google Scholar]
- Vestergaard, M. 2004, ApJ, 601, 676 [NASA ADS] [CrossRef] [Google Scholar]
- Vestergaard, M., & Peterson, B. M. 2006, ApJ, 641, 689 [NASA ADS] [CrossRef] [Google Scholar]
- Vestergaard, M., & Osmer, P. S. 2009, ApJ, 699, 800 [Google Scholar]
- Vestergaard, M., Fan, X., Tremonti, C. A., Osmer, P. S., & Richards, G. T. 2008, ApJ, 674, L1 [NASA ADS] [CrossRef] [Google Scholar]
- Wisotzki, L., Christlieb, N., Bade, N., et al. 2000, A&A, 358, 77 [NASA ADS] [Google Scholar]
- Woo, J.-H., & Urry, C. M. 2002, ApJ, 579, 530 [NASA ADS] [CrossRef] [Google Scholar]
- Yu, Q., & Tremaine, S. 2002, MNRAS, 335, 965 [NASA ADS] [CrossRef] [Google Scholar]
- Yu, Q., & Lu, Y. 2008, ApJ, 689, 732 [NASA ADS] [CrossRef] [Google Scholar]
- Yu, Q., Lu, Y., & Kauffmann, G. 2005, ApJ, 634, 901 [NASA ADS] [CrossRef] [Google Scholar]
Footnotes
- ... ratios
- Based on observations collected at the European Southern Observatory, Chile (Proposal 145.B-0009).
All Tables
Table 1: Fitting results for the local active black hole mass function, corrected for evolution but not for sample censorship.
Table 2: Binned black hole mass function, not corrected for sample censorship.
Table 3: Fitting results for the active black hole mass function and the Eddington ratio distribution function.
Table 4:
Fitting results for the ERDF, determined using an appropriate Eddington
ratio selection function, assuming different values for the low mass
slope
of the BHMF.
All Figures
![]() |
Figure 1:
Left panel: Correlation between |
Open with DEXTER | |
In the text |
![]() |
Figure 2:
Median composite spectra for 3 luminosity bins, showing the Ca II
K line region. The upper composite shows the high luminosity bin (
|
Open with DEXTER | |
In the text |
![]() |
Figure 3:
Left panel: Distribution of black hole
masses. The black solid histogram shows the distribution of black hole
masses estimated from |
Open with DEXTER | |
In the text |
![]() |
Figure 4: Left panel: Black hole mass versus bolometric luminosity. Middle panel: Eddington ratio versus bolometric luminosity. Right panel: Eddington ratio versus black hole mass. The three lines indicate Eddington ratios of 1 (solid), 0.1 (dashed) and 0.01 (dotted). |
Open with DEXTER | |
In the text |
![]() |
Figure 5:
Distribution of the H |
Open with DEXTER | |
In the text |
![]() |
Figure 6: The differential active black hole mass function for z=0, not corrected for sample censorship. Filled black symbols show the BHMF using the line dispersion to estimate the black hole mass. The dashed line shows the double power law fit to the BHMF, the dotted line gives the Schechter function fit and the dashed dotted line represents the fit using a modified Schechter function. |
Open with DEXTER | |
In the text |
![]() |
Figure 7: The differential Eddington ratio distribution function for z=0, not corrected for sample censorship. The dashed line shows the best Schechter function fit. |
Open with DEXTER | |
In the text |
![]() |
Figure 8:
Results for the reconstructed BHMF and ERDF. The left panel
gives the BHMF and the right panel the ERDF
respectively. The black points show the binned uncorrected distribution
function, with filled circles representing bins that do not suffer
significantly from sample censorship and open circles represent bins,
biased by sample censorship. They are shown for comparison with the
reconstructed BHMF and ERDF.
The black dashed line shows a double power law BHMF with fixed high
mass slope |
Open with DEXTER | |
In the text |
![]() |
Figure 9:
Comparison of the expected distribution of |
Open with DEXTER | |
In the text |
![]() |
Figure 10:
Results of 10 Monte Carlo realizations for the best fit model with an
assumed double power law with fixed high mass slope for the BHMF and a
Schechter function parameterisation of the ERDF. Upper panels:
Comparison of the distributions of |
Open with DEXTER | |
In the text |
![]() |
Figure 11:
Same as Fig. 8
with the constraints from the |
Open with DEXTER | |
In the text |
![]() |
Figure 12:
Comparison of our active black hole mass function with the inactive
BHMF of Marconi et al.
(2004) (solid line in upper panels). The
circles show the uncorrected binned data, where open symbols correspond
to bins that suffer from selection effects.
In the lower panels the active fraction of black
holes in the local universe is shown in logarithmic units. In the left
panel the active BHMF and active fraction for the whole sample are
shown. In the right panel the active BHMF and the corresponding active
fraction are shown for two Eddington ratio bins (above and below |
Open with DEXTER | |
In the text |
![]() |
Figure 13: Comparison of the local BHMF of the HES with the BHMF presented in Greene & Ho (2009). The blue asterisks and the blue dotted line show the BHMF from Greene & Ho (2007) (corrected in Greene & Ho 2009). The open, black circles show our BHMF, not corrected for evolution and sample censorship, while the filled, red circles show our BHMF, with the black hole mass estimated as in Greene & Ho (2007). The dashed line indicates our reconstructed BHMF for reference. |
Open with DEXTER | |
In the text |
![]() |
Figure 14:
Comparison of our local active BHMF (filled circles for uncorrected and
dashed line for intrinsic BHMF) with the BHMF of the BQS, as determined
directly as binned estimate by Vestergaard
& Osmer (2009) (blue asterisks) and as determined by
a Bayesian approach by Kelly
et al. (2009) (blue solid line for median and dashed
lines for |
Open with DEXTER | |
In the text |
![]() |
Figure 15:
Comparison of our uncorrected |
Open with DEXTER | |
In the text |
Copyright ESO 2010
Current usage metrics show cumulative count of Article Views (full-text article views including HTML views, PDF and ePub downloads, according to the available data) and Abstracts Views on Vision4Press platform.
Data correspond to usage on the plateform after 2015. The current usage metrics is available 48-96 hours after online publication and is updated daily on week days.
Initial download of the metrics may take a while.