Issue |
A&A
Volume 516, June-July 2010
|
|
---|---|---|
Article Number | A34 | |
Number of page(s) | 4 | |
Section | Cosmology (including clusters of galaxies) | |
DOI | https://doi.org/10.1051/0004-6361/201014218 | |
Published online | 23 June 2010 |
Probing the astrophysics of cluster outskirts
(Research Note)
A. Lapi1,2 - R. Fusco-Femiano3 - A. Cavaliere1
1 - Dip. Fisica, Univ. ``Tor Vergata'', via Ricerca Scientifica 1, 00133 Roma, Italy
2 -
SISSA, via Bonomea 265, 34136 Trieste, Italy
3 -
INAF-IASF, via Fosso del Cavaliere, 00133 Roma, Italy
Received 8 February 2010 / Accepted 17 April 2010
Abstract
In galaxy clusters the entropy distribution of the intracluster
plasma (ICP) modulates the latter's equilibrium within the dark matter
gravitational wells, as rendered by our supermodel. We
argue the entropy production at the boundary shocks to be reduced or
terminated as the accretion rates of DM and intergalactic gas peter
out; this behavior is enforced by the slowdown in the outskirt
development at late times, when the dark energy dominates the cosmology
while the outer wings of the initial perturbation drive the growth. For
these conditions, we predict the ICP temperature profiles to steepen
into the cluster outskirts. The detailed expectations from our simple
formalism agree with the X-ray data concerning five clusters whose
temperature profiles have been recently measured out to the virial
radius. We predict steep temperature declines to prevail in clusters at
low z, tempered only by rich environs including adjacent filamentary structures.
Key words: galaxies: clusters: general - X-rays: galaxies: clusters - methods: analytical
1 Introduction
Galaxy clusters constitute the largest bound structures in the Universe, with their masses up to
and outskirts extending out to sizes
a few Mpcs. These set the interface
between the intergalactic environment keyed to the cosmology at large,
and the confined intracluster plasma (ICP). The latter pervades the
clusters at temperatures of
keV and number densities of
,
and thus emits copious X-ray powers mainly by thermal Bremsstrahlung (see Sarazin 1988). The ICP coexists with the gravitationally dominant dark matter (DM) component in the baryonic fraction m/M close to the cosmic value 0.16, and the two build up together from accretion across the cluster boundary.
The build-up comprises an early collapse of the cluster body, tailing
off into a secular development of the outskirts by smooth accretion and
minor mergers (see Navarro et al. 2010; Diemand et al. 2007; Zhao et al. 2003; Vass et al. 2008). In radius, the body ranges out to
where the slope of the DM density run n(r) equals -2; the adjoining outskirts extend out to the current virial radius R with steepening density.
In time, the transition is marked by the redshift ;
thereafter r-2 stays the same, while R grows larger in a quasi-static, self-gravitating DM equilibrium (described through the Jeans equation, see Lapi & Cavaliere 2009a), to imply for the standard concentration parameter
observed values of
in terms of the Hubble parameter H(z). Below we adopt the standard flat cosmology (see Dunkley et al. 2009). This means that values of c ranging from 3 to 10 correspond for
to young or to old dynamical cluster ages
.
The concentration can be directly if laboriously probed with gravitational lensing (see Lapi & Cavaliere 2009b; Broadhurst et al. 2008).
Secular accretion of DM goes along with an inflow of intergalactic gas.
The ensuing ICP equilibrium is amenable to the powerful yet simple
description provided by the supermodel (SM; see Cavaliere et al. 2009, hereafter CLFF09).
Clearly, inflows into the cluster outskirts are exposed to the cosmological grip. This is the focus of the present paper.
2 Entropy run vs. cluster build-up
The SM fully expresses the hydrostatic equilibrium (HE) of the ICP in terms of DM gravity and of the ``entropy''
.
In its basic form, the latter's physical run may be represented as
![]() |
(1) |
consistent out to


The former is set at a basal level
keV cm2 by intermittent entropy injections by central AGN feedback (e.g., Cavaliere et al. 2002; Valageas & Silk 1999; McNamara & Nulsen 2007; Wu et al. 2000); the ensuing quasi-stable condition corresponds to cool-core morphologies (CC, see Molendi & Pizzolato 2001),
featuring a limited central temperature dip and generally large concentrations of
,
as discussed by CLFF09.
On the other hand,
may be enhanced up to several 102 keV cm2 by deep mergers (e.g., Markevitch & Vikhlinin 2007; McCarthy et al. 2007), which are frequent during the cluster youth; these
events give rise to non-cool core (NCC) clusters, featuring generally low concentrations of
and a central temperature plateau, scarred in some instances by imprints from
recently stalled blastwaves (see discussions by Rossetti & Molendi 2010; Fusco-Femiano et al. 2009).
2.1 The outer regions
The second term in Eq. (1) describes the powerlaw outward rise expected from the scale-free stratification of the entropy continuously produced by the boundary accretion shock, while the cluster grows larger by slow accretion.
The slope aR at
with
standard values around 1 has been derived by CLFF09 from the shock
jumps and the adjoining HE maintained by thermal pressure, to read
aR = 2.37-0.47 bR. | (2) |
Here





At any given cosmic time t, Eq. (2) holds at the current virial radius R(t). On the other hand, the entropy deposited there is conserved during subsequent compressions of the accreted plasma into the DM gravitational well, while no other major sources or sinks of entropy occur down to the central 102 kpc. Thus while the cluster outskirts develop out to the current radius R(t), the specific entropy stratifies with a running slope a(r)=aR(t) that retains the sequence of original values set at the times of deposition (see Tozzi & Norman 2001).
Values
are obtained adopting the standard ratio
,
and the simple potential drop
associated to a flat initial mass perturbation
with
that describes
the collapse of the cluster body as a whole. This implies
and
from Eq. (2). Indeed,
is obtained from the full DM
-profile (see CLFF09), implying
and the standard value
.
However, considerable variations of a(r) are to be expected in the cluster outskirts, as discussed below.
2.2 Development of the outskirts
The cluster outskirts for r>r-2 originate from the wings of a realistically bell-shaped perturbation, which may be described by
for
exceeding 1 (e.g., Lu et al. 2006). Then the outer potential drop
![]() |
(3) |
is shallower relative to the body value, so leading to higher values of bR and lower values of a. Thus as r increases outwards we expect k(r) to deviate downward from a simple powerlaw.
The argument may be phrased in terms of the accretion rate .
A shell
enclosing the mass M will collapse when
attains the critical threshold
1.686 D-1(t) in terms of the linear growth factor D(t) (e.g., Weinberg 2008). Accordingly, the shape parameter
also governs the mass buildup after
;
here we represent the growth factor as
with d ranging from
2/3 for
to approach 1/2 as
.
So the outskirts develop from the inside-out, at accretion rates
that lower for
exceeding 1, and for d decreasing toward 1/2 at late cosmic times
. We add that at small accretion rates the shock position outgrows R (see Voit et al. 2003), while the shock strength may weaken; both these effects will decrease a relative to Eqs. (2) and (3), and will be discussed in detail elsewhere.
We see that flatter slopes a of the entropy are to prevail for decreasing accretion rates
of DM and gas; these have a twofold origin. First, the cosmological structure growth slows down at later cosmic times (low
), as expressed by d<2/3. Second, perturbation wings marked by
imply shallow gravitational wells and little available mass to accrete
in average environs; the effect may be locally offset (and represented
with a smaller effective
)
in specifically rich environments, including adjacent filamentary large-scale structures.
The decline of a from the body value and the entropy bending set in at a radius
where matter began to stratify onto the outskirts just after
.
Such a radius is evaluated in terms of the observed concentration in the form
,
to take on values around 0.2-0.3 for typical concentrations
of CC clusters. Hints of this trend are discerned in the data by Pratt et al. (2010) and Hoshino et al. (2010).
To summarize, with the lower accretion rates prevailing at later times
in average environs, we expect the entropy run to flatten or even
decline into the cluster outskirts; then the temperature will decline
as
or steeper, after Eq. (7) of CLFF09. Do such behaviors show up in real clusters?
3 A case study on current data
To answer this question, we use the SM to provide profiles of density
and temperature from expressing the expected entropy run in a simple
form: the initial slope a still applies in the cluster body for
;
but for
it goes over to a decline toward the current boundary value aR<a following
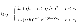
with a constant gradient a'. The entropy profile then reads
![]() |
(4) |
The outer branch describes a linear decline of the slope with the gradient

![]() |
Figure 1:
Examples of entropy profiles (normalized at
|
Open with DEXTER |
In addition to the several CCs and NCCs previously analyzed out to R/2 in terms of the standard entropy run (see CLFF09 and Fusco-Femiano et al. 2009), we focus here on five CCs with data now available out to
,
and analyze them in terms of the entropy run of Eq. (4). We report in Table 1 the resulting parameters with
-level uncertainties. For these old CC clusters we take
keV cm2 as anticipated in Sect. 2.
Table 1: Fitting parameters from ICP temperature profiles.
4 Discussion and conclusions
These data clearly bear out our expectations of steep runs for T(r), which arise because the outer entropy is reduced as the accretion rates
of DM and intergalactic gas peter out (see Sect. 2). We trace this
behavior back to two concurring sources: (i) the cosmological slowdown
in the growth of outskirts developing at late cosmic times; (ii)
shallow perturbation wings scantily feeding the outskirt growth in
average or poor environs.
Under these conditions, we show that on average the entropy profiles flatten out or even decline into the cluster outskirts as represented by Eq. (4). Then our supermodel yields steep outer profiles of projected temperatures (and flatter densities), in close agreement with current data out to R.
![]() |
Figure 2: Profiles of projected X-ray temperature (brightness in the insets) for the CC clusters A1689 ( top), A1413 ( middle) and A2204 ( bottom). Data are from Snowden et al. (2008) with XMM-Newton (blue circles) and from Kawaharada et al. (2010), Hoshino et al. (2010), and Reiprich et al. (2009) with Suzaku (red squares). Our best-fits with the SM after Eq. (4) are shown by the solid lines, while dashed lines refer to the fits based on Eq. (1). |
Open with DEXTER |
We also expect the cosmological decrease of the accretion rates to be locally offset in rich environs biased high, or in cluster sectors adjacent to filamentary large-scale structures; more standard runs of temperature are predicted there. These loom out in a sector of A1689 as observed by Kawaharada et al. (2010).
Compared with numerical simulations like those by Nagai et al. (2007) and Roncarelli et al. (2006), our temperature declines and entropy dearths are comparable for clusters like A2204 and A1413; but they are quite sharper for low z clusters like A1795 and PKS0745-191, well beyond possible contaminations due to Suzaku PSF smearing (see Reiprich et al. 2009). Low-noise, high-resolution simulations addressing the issue of entropy production related to the richness of the surrounding environment or adjoining filamentary structures will be most helpful.
We have checked that with the SM the gas mass grows
monotonically outwards, and actually faster than the DM's does, so that
it produces an increasing baryonic fraction by a factor 10 from R/20 to R (cf. Zhang et al. 2010). So sharply declining T(r) and increasing masses are actually consistent with thermal HE. Note that as
decreases to the point that the infall velocities decrease to transonic
values, the shocks weaken, thermalization becomes inefficient (see
CLFF09),
the entropy production is terminated, and thermal pressure alone cannot
support HE any longer.
An overall equilibrium in the outskirts can be helped by bulk or turbulent, merger-induced motions; these contribute up to
of the total support in relaxed clusters, as gauged in terms of pressure and X-ray masses both observationally (Mahdavi et al. 2008; Zhang et al. 2010, adding to the references in Sect. 3) and numerically (Nagai et al. 2007; Piffaretti & Valdarnini 2008; Lau et al. 2010; Bode et al. 2009; Meneghetti et al. 2010).
A similar accuracy is intended for our predictions based on thermal HE,
while a finer approximation with non-thermal contributions included in
the SM will be provided elsewhere.
On the other hand, even extended HE constitutes just a useful approximation, due to fail even in relaxed clusters: locally, when minor lumps of cold gas fall into the cluster from an adjacent filament, along with smooth accretion; globally, beyond R where the DM equilibrium is in jeopardy.
In summary, from the SM with thermal HE and optimal energy conversion
in strong shocks, we find temperature profiles declining sharply
outwards. These stem from progressive exhaustion of mass inflow, especially for clusters in average or poor environments at low
;
this
predicted trend is consistent with the current evidence for the handful of clusters in Figs. 2 and 3.
![]() |
Figure 3: Same as Fig. 2 for the low-z clusters PKS0745-191 ( top) and A1795 ( bottom). Data are from Snowden et al. (2008) with XMM-Newton (blue circles) and from George et al. (2009) and Bautz et al. (2009) with Suzaku (red squares). |
Open with DEXTER |
Our punchline is that cosmology - besides affecting the cluster statistics like mass or temperature distributions (seeVikhlinin et al. 2009) - concurs with the perturbation shape to set the outer structure of individual clusters and their development.
All these rich phenomena expected at the interface between the ICP and
the intergalactic medium call for extensive probing even at
with the next generation of X-ray telescopes planned to detect at high resolution low-surface brightness plasma (see Giacconi et al. 2009), like
WFXT (see http://wfxt.pha.jhu.edu/) and eventually IXO (see
http://ixo.gsfc.nasa.gov/).
Work supported by ASI and INAF. We thank our referee for useful comments. A.L. thanks SISSA and INAF-OATS for warm hospitality.
References
- Bautz, M. W., Miller, E. D., Sanders, J. S., et al. 2009, PASJ, 61, 1117 [CrossRef] [Google Scholar]
- Bode, P., Ostriker, J. P., & Vikhlinin, A. 2009, ApJ, 700, 989 [NASA ADS] [CrossRef] [Google Scholar]
- Broadhurst, T., Umetsu, K., Medezinski, E., Oguri, M., & Rephaeli, Y. 2008, ApJ, 685, L9 [NASA ADS] [CrossRef] [Google Scholar]
- Cavagnolo, K., Donahue, M., Voit, G. M., & Sun, M. 2009, ApJS, 182, 12 [NASA ADS] [CrossRef] [Google Scholar]
- Caldwell, R. R., Kamionkowski, M., & Weinberg, N. N. 2003, PhRvL, 91g, 1301 [Google Scholar]
- Cavaliere, A., Lapi, A., & Fusco-Femiano, R. 2009, ApJ, 698, 580 (CLFF09) [NASA ADS] [CrossRef] [Google Scholar]
- Cavaliere, A., Lapi, A., & Menci, N. 2002, ApJ, 581, L1 [NASA ADS] [CrossRef] [Google Scholar]
- Diemand, J., Kuhlen, M., & Madau, P. 2007, ApJ, 667, 859 [NASA ADS] [CrossRef] [Google Scholar]
- Dunkley, J., Komatsu, E., Nolta, M. R., et al. 2009, ApJS, 180, 306 [NASA ADS] [CrossRef] [Google Scholar]
- Fusco-Femiano, R., Cavaliere, A., & Lapi, A. 2009, ApJ, 705, 1019 [NASA ADS] [CrossRef] [Google Scholar]
- George, M. R., Fabian, A. C., Sanders, J. S., Young, A. J., & Russell, H. R. 2009, MNRAS, 395, 657 [NASA ADS] [CrossRef] [Google Scholar]
- Giacconi, R., et al. 2009, in Astro2010: The Astronomy and Astrophysics Decadal Survey, Science White Papers, No. 90 [Google Scholar]
- Hoshino, A., Patrick Henry, J., Sato, K., et al. 2010, PASJ, 62, 371 [NASA ADS] [CrossRef] [Google Scholar]
- Kawaharada, M., Okabe, N., Umetsu, K., et al. 2010, ApJ, 714, 423 [NASA ADS] [CrossRef] [Google Scholar]
- Lapi, A., & Cavaliere, A. 2009a, ApJ, 692, 174 [NASA ADS] [CrossRef] [Google Scholar]
- Lapi, A., & Cavaliere, A. 2009b, ApJ, 695, L125 [NASA ADS] [CrossRef] [Google Scholar]
- Lapi, A., Cavaliere, A., & Menci, N. 2005, ApJ, 619, 60 [NASA ADS] [CrossRef] [Google Scholar]
- Lau, E. T., et al. 2010, ApJ, submitted [arXiv:1003.2270] [Google Scholar]
- Lu, Y., Mo, H. J., Katz, N., & Weinberg, M. D. 2006, MNRAS, 368, 1931 [NASA ADS] [CrossRef] [Google Scholar]
- Mahdavi, A., Hoekstra, H., Babul, A., & Henry, J. P. 2008, MNRAS, 384, 1567 [NASA ADS] [CrossRef] [Google Scholar]
- Markevitch, M., & Vikhlinin, A. 2007, Phys. Rep., 443, 1 [NASA ADS] [CrossRef] [EDP Sciences] [Google Scholar]
- McCarthy, I. G., Bower, R. G., Balogh, M. L., et al. 2007, MNRAS, 376, 497 [NASA ADS] [CrossRef] [Google Scholar]
- McNamara, B. R., & Nulsen, P. E. J. 2007, ARA&A, 45, 117 [NASA ADS] [CrossRef] [MathSciNet] [Google Scholar]
- Meneghetti, M., et al. 2010, A&A, 514, A93 [NASA ADS] [CrossRef] [EDP Sciences] [Google Scholar]
- Molendi, S., & Pizzolato, F. 2001, ApJ, 560, 194 [NASA ADS] [CrossRef] [Google Scholar]
- Nagai, D., Kravtsov, A. V., & Vikhlinin, A. 2007, ApJ, 668, 1 [NASA ADS] [CrossRef] [Google Scholar]
- Navarro, J. F., et al. 2009, MNRAS, 402, 21 [Google Scholar]
- Piffaretti, R., & Valdarnini, R. 2008, A&A, 491, 71 [NASA ADS] [CrossRef] [EDP Sciences] [Google Scholar]
- Pratt, G. W., Arnaud, M., Piffaretti, R., et al. 2010, A&A, 511, 85 [Google Scholar]
- Reiprich, T. H., Hudson, D. S., Zhang, Y.-Y., et al. 2009, A&A, 501, 899 [NASA ADS] [CrossRef] [EDP Sciences] [Google Scholar]
- Riemer-Sørensen, S., Paraficz, D., Ferreira, D. D. M., et al. 2009, ApJ, 693, 1570 [NASA ADS] [CrossRef] [Google Scholar]
- Roncarelli, M., Ettori, S., Dolag, K., et al. 2006, MNRAS, 373, 1339 [NASA ADS] [CrossRef] [Google Scholar]
- Rossetti, M., & Molendi, S. 2010, A&A, 510, 83 [Google Scholar]
- Sarazin, C. L. 1988, X-ray Emission from Clusters of Galaxies (Cambridge: Cambridge Univ. Press) [Google Scholar]
- Snowden, S. L., Mushotzky, R. F., Kuntz, K. D., & Davis, D. S., et al. 2008, A&A, 478, 615 [NASA ADS] [CrossRef] [EDP Sciences] [Google Scholar]
- Tozzi, P., & Norman, C. 2001, ApJ, 546, 63 [NASA ADS] [CrossRef] [Google Scholar]
- Valageas, P., & Silk, J. 1999, A&A, 350, 725 [NASA ADS] [Google Scholar]
- Vass, I., et al. 2008, MNRAS, 395, 1225 [NASA ADS] [CrossRef] [Google Scholar]
- Vikhlinin, A., Kravtsov, A. V., Burenin, R. A., et al. 2009, ApJ, 692, 1060 [NASA ADS] [CrossRef] [Google Scholar]
- Voit, G. M. 2005, Rev. Mod. Phys., 77, 207 [NASA ADS] [CrossRef] [Google Scholar]
- Voit, G. M., Balogh, M. L., Bower, R. G., Lacey, C. G., & Bryan, G. L. 2003, ApJ, 593, 272 [NASA ADS] [CrossRef] [Google Scholar]
- Weinberg, S. 2008, Cosmology (Oxford: Oxford Univ. Press) [Google Scholar]
- Wu, K. K. S., Fabian, A. C., & Nulsen, P. E. J. 2000, MNRAS, 318, 889 [NASA ADS] [CrossRef] [Google Scholar]
- Zhang, Y.-Y., Okabe, N., Finoguenov, A., et al. 2010, ApJ, 711, 1033 [NASA ADS] [CrossRef] [Google Scholar]
- Zhao, D. H., Mo, H. J., Jing, Y. P., & Börner, G. 2003, MNRAS, 339, 12 [NASA ADS] [CrossRef] [Google Scholar]
Footnotes
- ... supermodel
- IDL and FORTRAN algorithms which implement the supermodel and run in a fraction of a second on a standard laptop, can be found at http://people.sissa.it/ lapi/Supermodel/
- ... times
- Note that
would occur if the dark energy density increased with time to cause an ultimate cosmic Doomsday (see Caldwell et al. 2003); this would imply truly vanishing accretion rates, and result in a cutoff of the temperature profiles.
All Tables
Table 1: Fitting parameters from ICP temperature profiles.
All Figures
![]() |
Figure 1:
Examples of entropy profiles (normalized at
|
Open with DEXTER | |
In the text |
![]() |
Figure 2: Profiles of projected X-ray temperature (brightness in the insets) for the CC clusters A1689 ( top), A1413 ( middle) and A2204 ( bottom). Data are from Snowden et al. (2008) with XMM-Newton (blue circles) and from Kawaharada et al. (2010), Hoshino et al. (2010), and Reiprich et al. (2009) with Suzaku (red squares). Our best-fits with the SM after Eq. (4) are shown by the solid lines, while dashed lines refer to the fits based on Eq. (1). |
Open with DEXTER | |
In the text |
![]() |
Figure 3: Same as Fig. 2 for the low-z clusters PKS0745-191 ( top) and A1795 ( bottom). Data are from Snowden et al. (2008) with XMM-Newton (blue circles) and from George et al. (2009) and Bautz et al. (2009) with Suzaku (red squares). |
Open with DEXTER | |
In the text |
Copyright ESO 2010
Current usage metrics show cumulative count of Article Views (full-text article views including HTML views, PDF and ePub downloads, according to the available data) and Abstracts Views on Vision4Press platform.
Data correspond to usage on the plateform after 2015. The current usage metrics is available 48-96 hours after online publication and is updated daily on week days.
Initial download of the metrics may take a while.