Issue |
A&A
Volume 516, June-July 2010
|
|
---|---|---|
Article Number | L11 | |
Number of page(s) | 4 | |
Section | Letters | |
DOI | https://doi.org/10.1051/0004-6361/201014256 | |
Published online | 14 July 2010 |
LETTER TO THE EDITOR
AGILE detection of GeV
-ray emission from the SNR W28
A. Giuliani1 - M. Tavani2,3 - A. Bulgarelli5 - E. Striani3,12 - S. Sabatini2 - M. Cardillo2 - Y. Fukui7 - A. Kawamura7 - A. Ohama7 - N. Furukawa7 - K. Torii7 - H. Sano7 - F. A. Aharonian18,19 - F. Verrecchia15 - A. Argan2 - G. Barbiellini6 - P. A. Caraveo1 - P. W. Cattaneo8 - A. W. Chen1 - V. Cocco 12 - E. Costa2 - F. D'Ammando2,3 - E. Del Monte2 - G. De Paris2 - G. Di Cocco5 - I. Donnarumma2 - Y. Evangelista2 - M. Feroci2 - M. Fiorini1 - T. Froysland3,4 - F. Fuschino5 - M. Galli10 - F. Gianotti5 - C. Labanti5 - Y. Lapshov2 - F. Lazzarotto2 - P. Lipari11 - F. Longo6 - M. Marisaldi5 - S. Mereghetti1 - A. Morselli12 - E. Moretti6 - L. Pacciani2 - A. Pellizzoni9 - F. Perotti1 - P. Picozza3,12 - M. Pilia9 - M. Prest13 - G. Pucella14 - M. Rapisarda14 - A. Rappoldi8 - P. Soffitta2 - M. Trifoglio5 - A. Trois2 - E. Vallazza6 - S. Vercellone17 - V. Vittorini2,4 - A. Zambra1 - D. Zanello9 - C. Pittori15 - P. Santolamazza15 - P. Giommi15 - S. Colafrancesco15 - L. Salotti16
1 - INAF/IASF - Milano, via E. Bassini 15, 20133 Milano, Italy
2 - INAF/IASF - Roma, via Fosso del Cavaliere 100, 00133 Roma, Italy
3 - Dip. di Fisica, Univ. ``Tor Vergata'', via della Ricerca
Scientifica 1, 00133 Roma, Italy
4 - CIFS - Torino, viale Settimio Severo 3, 10133, Torino, Italy
5 - INAF/IASF - Bologna, via Gobetti 101, 40129 Bologna, Italy
6 - Dip. di Fisica and INFN, via Valerio 2, 34127 Trieste, Italy
7 - Department of Astrophysics, Nagoya University, Chikusa-ku, Nagoya 464-8602, Japan
8 - INFN - Pavia, via Bassi 6, 27100 Pavia, Italy
9 - INAF - Osservatorio Astronomico di Cagliari, localita' Poggio dei Pini, strada 54, 09012 Capoterra, Italy
10 - ENEA - Bologna, via dei Martiri di Monte Sole 4, 40129 Bologna, Italy
11 - INFN - Roma ``La Sapienza'', Piazzale A. Moro 2, 00185 Roma, Italy
12 - INFN - Roma ``Tor Vergata'', via della Ricerca Scientifica 1, 00133 Roma, Italy
13 - Dip. di Fisica, Univ. dell'Insubria, via Valleggio 11, 22100 Como, Italy
14 - ENEA - Roma, via E. Fermi 45, 00044 Frascati (Roma), Italy
15 - AS - ASDC, via G. Galilei, 00044 Frascati (Roma), Italy
16 - ASI, viale Liegi 26 , 00198 Roma, Italy
17 - INAF/IASF - Palermo, via La Malfa 153, 90146 Palermo, Italy
18 - Max - Planck - Institut für Kernphysik, 69117 Heidelberg, Germany
19 - Dublin Institute for Advanced Sudies, Dublin 2, Ireland
Received 13 February 2010 / Accepted 5 May 2010
Abstract
Aims. Supernova remnants (SNRs) are believed to be the main
sources of Galactic cosmic rays. Molecular clouds associated with SNRs
can produce gamma-ray emission by means of the interaction of
accelerated particles with the concentrated gas. The middle-aged SNR
W28, because of its associated system of dense molecular clouds,
provides an excellent opportunity to test this hypothesis.
Methods. We present the AGILE/GRID observations of SNR W28, and compare them with observations at other wavelengths (TeV and 12CO
molecular line emission).
Results. The gamma-ray flux detected by AGILE from the dominant source associated with W28 is (
ph cm-2 s-1 for E
> 400 MeV. This source is positionally well correlated with the
TeV emission observed by the HESS telescope. The local variations in
the GeV to TeV flux ratio imply that there is a difference between the
CR spectra of the north-west and south molecular cloud complexes. A
model based on a hadronic-induced interaction and diffusion with two
molecular clouds at different distances from the W28 shell can explain
both the morphological and spectral features observed by both AGILE in
the MeV-GeV energy range and the HESS telescope in the TeV energy
range. The combined set of AGILE and H.E.S.S. data strongly support a
hadronic model for the gamma-ray production in W28.
Key words: acceleration of particles - diffusion - ISM: supernova remnants - gamma rays: ISM
1 Introduction
Known also as G6.4-0.1, SNR W28 is a middle-aged supernova
remnant (with an age of at least 35 thousand years), located at a
distance between 1.8 and 3.3 kpc in the inner region of the Galaxy
(
l,b = 6.71, -0.05). It is a mixed-morphology SNR, of large (about 48 arcmin) angular size (see Green 2009).
At radio wavelengths a shell structure, where the interaction of the
SNR ejecta and the ISM creates a shock, is clearly visible (see
Fig. 1). The spectral index between 328 and 1415 MHz is
and experiences large local variations that are correlated with the flux density (Dubner et al. 2000).
The 12CO
molecular line observations taken by the NANTEN telescope detect a system of molecular clouds associated with the SNR (Mizuno & Fukui 2004). Contours in Fig. 1 show the intensity of the 12CO line emission integrated over the velocity range 3 to 27 km s-1,
corresponding to the dynamical distances compatible with W28. The
emission appears to be concentrated in two main complexes close to the
northwestern (cloud N) and southern (cloud S) part of the
SNR.
Evidence of interaction between the remnant and the system of molecular
clouds is given by the detection of 1720 MHz OH maser emission (Frail et al. 1994)
and the observation of an unusually high value of the ratio CO
(J=3-2)/(J =2-1) (Arikawa et al. 1999).
Two TeV sources have been detected by the HESS Cherenkov telescope near W28 (Aharonian et al. 2006).
The positions of the sources HESS J1801-233 and HESS J1800-240 (A, B,
and C) are very well correlated with, respectively, the N and S
molecular clouds resolved by the NANTEN telescope (Aharonian et al.( 2008)Akhperjanian& Bazer-Bachi ).
In the MeV-GeV energy range, a source compatible with W28 was reported in the Third EGRET catalog, 3EG J1800-2338 (Hartman et al., 1999).
The flux measured by EGRET above 100 MeV was
ph cm-2 s-1 with a photon spectral index of 2.10.
In both the Fermi LAT Bright Source List (0FGL J1801.6-2327, see Abdo et al. 2009) and the First AGILE Catalog (1AGL J1803-2258, see Pittori et al. 2009), a gamma-ray source centered on the position of cloud N is reported.
In this Letter, we present the results of deep AGILE observation of 1AGL J1803-2258, which, at energies greater than 400 MeV has a shape that turns out to be incompatible with a single point source, and is remarkably well spatially correlated with both the molecular cloud system seen by NANTEN and the TeV sources detected by HESS.
![]() |
Figure 1: Map of VLA 90 cm
radio emission from SNR W28 in celestial J2000 coordinates RA and Dec.
(Colours indicate the intensity in Jy beam-1). The black contours show the CO intensity emission obtained with the NANTEN radio telescope, which traces molecular
clouds, integrated over the velocity interval of 3-27 km s-1 (contours vary between 90 and 170 K deg with a step size of 10 K deg).
Two concentrations of CO emission are clearly visible near the positions
|
Open with DEXTER |
![]() |
Figure 2:
Sky map in celestial J2000 coordinates, RA and Dec., of the significance ( |
Open with DEXTER |
2 Data analysis
The Gamma-Ray Image Detector (GRID) onboard AGILE satellite (Tavani et al. 2008)
extensively observed the Galactic plane during the years 2007-2009 at
energies greater than 100 MeV with an angular resolution better
than the previous gamma-ray telescopes.
Level-1 AGILE-GRID data were analyzed using the AGILE Standard Analysis
Pipeline.
The Anticoincidence System (ACS) and a set of hardware triggers
performed the first reduction of the high rate of background events
(charged particles and albedo gamma-rays) interacting with the
instrument.
A dedicated software processed the GRID and ACS signals and performed a
reconstruction and selection of events in order to discriminate between
background events and gamma-rays, deriving for the latter the energy
and direction of the incoming photons.
A simplified version of this software operated directly on board AGILE
to reduce the telemetry throughput
(Giuliani et al. 2006).
A more complex version of the photon reconstruction and selection
software was applied on the ground, producing a photon list containing
arrival time, energy, and direction of every gamma-ray and the
corresponding exposure history.
Counts, exposure, and Galactic background gamma-ray maps, the last
based on the Galactic diffuse emission model developed for AGILE (Giuliani et al. 2004), were created with a bin-size of 0
05
0
05
for photons with energy greater than 100 MeV and 400 MeV. We
selected only events flagged as confirmed gamma-ray events. All events
collected during the South Atlantic Anomaly or whose reconstructed
directions form angles with the satellite-Earth vector smaller than 90
were rejected.
To derive the average flux and spectrum of the source, we ran the AGILE
point source analysis software ALIKE (Chen et al., in prep.), based on
the maximum likelihood technique as described in Mattox et al.
(1993), over the whole observing period. All the flux errors found by
ALIKE (and reported in the following) take into account only the
statistical uncertainities. We estimated that the systematic errors are
on the level of 10% of the reported fluxes.
2.1 Results
A prominent gamma-ray source associable with W28 (1AGL J1803-2258) is clearly detected at a significance level of 7
with an average flux of (
ph cm-2 s-1 for E > 100 MeV above the prediction of the AGILE diffuse emission model.
The positional analysis gives an elliptical error-box centered on
with a mean radius of about 0.1
consistent with both the EGRET and Fermi sources detected in the same region.
Figure 3 shows the
counts map for the source 1AGL J1803-2258 at energies greater than
400 MeV.
At these energies, the high angular resolution of the GRID detector
allows us to perform a morphological analysis of the source, which
shows a remarkable correspondence with the TeV emission observed in the
same region.
The total flux of the source at energies greater than 400 MeV is (
ph cm-2 s-1.
Most of the emission is concentrated in a region coincident with the
molecular cloud N (and the TeV source HESS J1801-233).
A weaker gamma-ray diffuse emission appears to be superimposed on the
molecular cloud S (and the TeV source complex HESS J1800-240).
Performing a likelihood analysis with two point sources fixed at the
locations of source N and source S, we measured flux values
ph cm-2 s-1 and
ph cm-2 s-1 above 400 MeV.
The two regions are not clearly resolved in the 100-400 MeV energy range.
Nevertheless, we performed a likelihood analysis assuming the same two point sources as in the analysis for the E>400 MeV energy range.
This yielded a flux of (
ph cm-2 s-1 for cloud N and a 2
upper limit of
ph cm-2 s-1 for cloud S.
![]() |
Figure 3: Gaussian-smoothed AGILE counts map in Galactic coordinates for the W28 region (counts bin-1). Only photons of energy greater than 400 MeV have been used. The blue circle indicates the radio location of the supernova remnant W28. As in Fig. 1, the black contours indicate the CO intensity emission. |
Open with DEXTER |
3 Discussion
Figure 4 shows the spectra for
cloud N (black) and cloud S (red) in both the GRID and the HESS
energy bands. While in the TeV energy band the complex of the source
HESS 1800-240 is a factor of two brighter than the source HESS
1801-233, in the GeV band the reverse is true.
Within a hadronic scenario, and assuming CRs are accelerated by W28 and
then escape, the difference between the TeV to GeV flux ratios
determined at the locations N and S
implies that the two clouds have different proton spectra.
This is not surprising because, for a turbulent medium, the diffusion
coefficient of charged particles is expected to depend on the particle
kinetic energy, D=D(E).
As a consequence, in the case of recent acceleration (within the past 105 years),
the proton spectrum depends strongly on the distance from the accelerator itself (Aharonian & Atoyan 1996,
Gabici et al. 2009).
Hence the difference between the gamma-ray spectra of cloud N and S can
be explained by assuming different distances between the clouds and the
SNR.
In the following, we show how this model can explain the GeV/TeV
spectra of the clouds assuming a set of parameters (shown in
Table 1) that are compatible with other observational constraints.
We estimated (using the mathematical formalism developed in
Aharonian & Atoyan 1996)
the evolution of the protons and nuclei
spectra diffusing in the interstellar medium at different
distances from the supernova remnant. We assumed a distance of
2 kpc and SNR age of 45 000 years and that the particles
have been injected continuously during the first 10 000 years
of its life, with a power-law energy spectrum of index 2.2. After
the injection, we assumed that they propagate in the interstellar
medium with a diffusion coefficient given by
![]() |
(1) |
where

![]() |
Figure 4:
Gamma-ray photon spectrum for W28 (AGILE points:
|
Open with DEXTER |
In Fig. 4, we compare
the results of this model with the AGILE and HESS spectral data. The
dashed lines correspond to a cloud accelerator distance of 4 (in black)
and 9 (in red) parsecs. We note that a different set of parameters, the
cloud-distances and the SNR age, can lead to similar results (in
general, any set of these parameters with the same ratio of distances
to
can reproduce the curves shown in Fig. 4).
We choose here the distance of the cloud S to be the minimum distance
compatible with the observations. A distance of 4 pc for cloud N,
which requires assuming a projection effect of a few parsecs, and an
age of 45 000 years for W28 are then required to reproduce the GeV
to TeV ratio of the clouds. We set the mass of the cloud S to be higher
(by a factor 2.25) than that
of cloud N, as can be inferred from the TeV fluxes and from the
proton density predicted by this model at 4 and 9 pc from the SNR
shell.
The distances used in this model are consistent with the position of
the clouds as observed in the radio maps (assuming an Earth-SNR
distance of 2 kpc, 10 parsecs corresponds to 0.29 deg),
taking into account posible projection effects.
Assuming a mass for the two molecular clouds, it is possible to
evaluate the total energy carried by the protons accelerated by W28.
We used
for cloud N and
for cloud S, in agreement with the estimate based on NANTEN data given in Aharonian et al.( 2008)Akhperjanian& Bazer-Bachi .
This leads to a proton total energy of
erg,
a value in good agreement with the CR energy release from a SNR expected by theoretical considerations.
Finally, we briefly consider a leptonic scenario for the gamma-ray emission from W28.
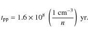
Relativistic electrons can produce gamma rays by means of inverse Compton (IC) and/or bremsstrahlung in a dense target.
The cooling times for these processes are
![]() |
= | ![]() |
(2) |
![]() |
= | ![]() |
(3) |
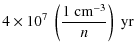
where n is the gas density and wr is the energy density of the radiation field (note that Eq. (3) refers to IC scattering in the Thompson regime). For comparison, the cooling time for protons producing gamma rays by proton-proton interactions is
![]() |
(4) |
Inverse Compton is disfavoured because the strong correlation detected (especially at TeV energies) between the gamma-ray intensity and dense gas is not expected for evolved SNR such as W28. In principle, bremsstrahlung can produce the observed gamma-ray emission. Assuming that TeV gamma-rays are produced by


Table 1: Parameters of the model used to fit the AGILE and HESS spectral data, see Fig. 4.
4 Conclusions
We have analyzed the AGILE deep observations of SNR W28 to determine the existence of several contributions to the
gamma-ray emission from this SNR. A highly significant gamma-ray source (7
for E > 100 MeV) is associated with W28.
This source has an average flux of (
ph cm-2 s-1
during the period covered by the AGILE observations. For photon
energies above 400 MeV, AGILE also detected a SE extension
corresponding to a massive molecular cloud.
We have proposed a model based on a hadronic-induced interaction with
two molecular clouds
adjacent to the SNR to fit the observations.
This model explains the morphological and spectral features detected by
both AGILE in the MeV-GeV energy range and the HESS telescope in the
TeV energy range. Setting the distances and masses of the two main
molecular clouds to values compatible with the radio CO observations,
we hve been to estimate that the total energy in protons is
erg.
Our data and analysis
provide strong support to a hadronic origin of the gamma-ray emission from W28.
The AGILE Mission is funded by the Italian Space Agency (ASI) with scientific and programmatic participation by the Italian Institute of Astrophysics (INAF) and the Italian Institute of Nuclear Physics (INFN).Investigation carried out with partial support by the ASI contract no. I/089//06/2.
References
- Abdo, A. A., Ackermann, M., Ajello, M., et al. 2009, ApJS, 183, 46 [NASA ADS] [CrossRef] [Google Scholar]
- Aharonian, F. A., & Atoyan, A. M. 1996, A&A, 309, 917 [NASA ADS] [Google Scholar]
- Aharonian, F., Akhperjanian, A. G., Bazer-Bachi, A. R., et al. 2006, ApJ, 636, 777 [Google Scholar]
- Aharonian, F., Akhperjanian, A. G., Bazer-Bachi, A. R., et al. 2008, A&A, 481, 401 [NASA ADS] [CrossRef] [EDP Sciences] [MathSciNet] [PubMed] [Google Scholar]
- Arikawa, Y., Tatematsu, K., Sekimoto, Y., et al. 1999, PASJ, 51, L7 [Google Scholar]
- Dubner, G. M., Velázquez, P. F., Goss, W. M., et al. 2000, AJ, 120, 1933 [NASA ADS] [CrossRef] [Google Scholar]
- Frail, D. A., Goss, W. M., & Slysh, V. I. 1994, ApJ, 424, L111 [NASA ADS] [CrossRef] [Google Scholar]
- Gabici, S., Aharonian, F. A., & Casanova, S. 2009, MNRAS, 396, 1629 [NASA ADS] [CrossRef] [Google Scholar]
- Giuliani, A., Chen, A., Mereghetti, S., et al. 2004, Mem. S.A.It. Sup., 5, 135 [Google Scholar]
- Giuliani, A., Cocco, V., Mereghetti, S., et al. 2006, Nucl. Instr. Meth. A, 568, 692 [Google Scholar]
- Green, D. A. 2009, Bull. Astron. Soc. India, 37, 45 [Google Scholar]
- Hartman, R. C., Bertsch, D. L., Bloom, S. D., et al. 1999, ApJS, 123, 79 [NASA ADS] [CrossRef] [Google Scholar]
- Mattox, J. R., Bertsch, D. L., Chiang, J., et al. 1993, ApJ, 410, 609 [NASA ADS] [CrossRef] [Google Scholar]
- Mizuno, A., & Fukui, Y. 2004, ASP Conf. Ser., 317, 59 [Google Scholar]
- Pittori, C., Verrecchia, F., Chen, A. W., et al. 2009, A&A, 506, 1563 [NASA ADS] [CrossRef] [EDP Sciences] [Google Scholar]
- Tavani, M., Barbiellini, G., Argan, A., et al. 2008, Nucl. Instr. Meth. A, 588, 52 [Google Scholar]
All Tables
Table 1: Parameters of the model used to fit the AGILE and HESS spectral data, see Fig. 4.
All Figures
![]() |
Figure 1: Map of VLA 90 cm
radio emission from SNR W28 in celestial J2000 coordinates RA and Dec.
(Colours indicate the intensity in Jy beam-1). The black contours show the CO intensity emission obtained with the NANTEN radio telescope, which traces molecular
clouds, integrated over the velocity interval of 3-27 km s-1 (contours vary between 90 and 170 K deg with a step size of 10 K deg).
Two concentrations of CO emission are clearly visible near the positions
|
Open with DEXTER | |
In the text |
![]() |
Figure 2:
Sky map in celestial J2000 coordinates, RA and Dec., of the significance ( |
Open with DEXTER | |
In the text |
![]() |
Figure 3: Gaussian-smoothed AGILE counts map in Galactic coordinates for the W28 region (counts bin-1). Only photons of energy greater than 400 MeV have been used. The blue circle indicates the radio location of the supernova remnant W28. As in Fig. 1, the black contours indicate the CO intensity emission. |
Open with DEXTER | |
In the text |
![]() |
Figure 4:
Gamma-ray photon spectrum for W28 (AGILE points:
|
Open with DEXTER | |
In the text |
Copyright ESO 2010
Current usage metrics show cumulative count of Article Views (full-text article views including HTML views, PDF and ePub downloads, according to the available data) and Abstracts Views on Vision4Press platform.
Data correspond to usage on the plateform after 2015. The current usage metrics is available 48-96 hours after online publication and is updated daily on week days.
Initial download of the metrics may take a while.