Issue |
A&A
Volume 516, June-July 2010
|
|
---|---|---|
Article Number | A33 | |
Number of page(s) | 5 | |
Section | Stellar structure and evolution | |
DOI | https://doi.org/10.1051/0004-6361/201014326 | |
Published online | 23 June 2010 |
An improved method for estimating the masses of stars with transiting planets
B. Enoch1 - A. Collier Cameron1 - N. R. Parley1 - L. Hebb2
1 - School of Physics and Astronomy, University of St. Andrews, North
Haugh, St Andrews, KY16 9SS, UK
2 - Vanderbilt University, Department of Physics and Astronomy,
Nashville, TN 37235, USA
Received 26 February 2010 / Accepted 6 April 2010
Abstract
Context. To determine the physical parameters of a
transiting planet and its host star from photometric and spectroscopic
analysis, it is essential to independently measure the stellar mass.
This is often achieved by the use of evolutionary tracks and
isochrones, but the mass result is only as reliable as the models used.
Aims. The recent paper by Torres et al. (2010,
A&ARv, 18, 67) showed that accurate values for stellar masses
and radii could be obtained from a calibration using
,
and [Fe/H].
We investigate whether a similarly good calibration can be obtained by
substituting log
- the fundamental parameter measured for the host star of a transiting
planet - for
,
and apply this to star-exoplanet systems.
Methods. We perform a polynomial fit to stellar
binary data provided in Torres et al. (2010) to obtain the stellar mass
and radius as functions of ,
and [Fe/H],
with uncertainties on the fit produced from a Monte Carlo analysis. We
apply the resulting equations to measurements for seventeen SuperWASP
host stars, and also demonstrate the application of the calibration in
a Markov Chain Monte Carlo analysis to obtain accurate system
parameters where spectroscopic estimates of effective stellar
temperature and metallicity are available.
Results. We show that the calibration using log
produces accurate values for the stellar masses and radii; we obtain
masses and radii of the SuperWASP stars in good agreement with
isochrone analysis results. We ascertain that the mass calibration is
robust against uncertainties resulting from poor photometry, although a
good estimate of stellar radius requires good-quality transit light
curve to determine the duration of ingress and egress.
Key words: planetary systems
1 Introduction
There are currently over 400 known exoplanets, of which more than 60
transit their host stars.
This important transiting subset are the only planets for which the
orbital inclination, and hence precise stellar and planetary
parameters, may be determined. The fundamental parameters found for the
host star and transiting planet are stellar density (see below) and
planetary surface gravity (Southworth
et al. 2004). To convert these into values for the
radii of both, it is necessary to find the stellar mass. This is often
arrived at iteratively via deriving a stellar density from the
lightcurve analysis and a stellar effective temperature from
spectroscopy and using these with model evolutionary tracks and
isochrones of appropriate metallicity to find a stellar mass and age (Sozzetti et al. 2007).
Further photometric and spectroscopic analysis may then be performed to
arrive at final values for the masses and radii of the star and planet,
see e.g. Hebb et al. (2009).
The resulting values for masses and radii are therefore only as
reliable as the evolutionary models used. A recent study by Southworth (2009) highlighted
the fact that discrepancies between different sets of evolutionary
models represent the dominant source of systematic uncertainty in
planetary parameters. For example, they find that the spread of mass
values obtained for HD 209458 using different models is around
.
Here we develop a new one-step approach to determining the
masses of exoplanet host stars from their effective temperatures,
metallicities and photometric bulk densities. We base our method on the
recent study by Torres
et al. (2010) of the masses and radii of a large
sample of well-characterised main-sequence stars belonging to
non-interacting, eclipsing spectroscopic binaries. Torres et al. (2010)
showed that accurate stellar masses and radii could be obtained using a
calibration of stellar surface gravity, effective temperature and
metallicity. They used a set of well-determined measurements of ,
,
[Fe/H], M and R from binary
stars to obtain coefficients that allow mass and radius to be
calculated directly for any normal star, without isochrone fitting.
Recently, the use of log
in place of
in the determination of star-planet system parameters has become
widespread, see for example Sozzetti
et al. (2007), Winn
et al. (2008), Sozzetti
et al. (2009) and Fernandez
et al. (2009). Where high quality photometric data
can be obtained of the transit event, the stellar parameters can be
obtained more precisely using the stellar density value derived from
the lightcurve than using the stellar surface gravity value from
spectral analysis (Sozzetti
et al. 2007).
In Sect. 2 we review the methodology for determining exoplanet
host-star densities from the transit geometry. We re-determine the mass
and radius calibrations of Torres
et al. (2010) using their data, and obtain
comparably tight mass and radius calibrations using log
in place of
.
In Sect. 3 we apply the method to the host stars of several
transiting planets for which isochrone mass determinations have been
published recently. In Sect. 4 we show how the method can be
incorporated directly in a Markov-chain Monte Carlo (MCMC) analysis, to
give the stellar mass as a derived parameter.
2 Analysis
We used the tabulated data of Torres
et al. (2010) to perform our calibration. Those data
consist of 19 binary systems, i.e. 38 stars, for which the
metallicity is known, after excluding systems that contain pre-Main
Sequence stars. We fit a similar polynomial calibration, replacing
log g with log ,
and apply it to star-exoplanet systems. The stellar density can be
obtained directly from only photometric measurements via fitting of a
transit event (Seager &
Mallén-Ornelas 2003): the ratio of semi-major axis to stellar
radius depends on the ratio of transit duration to orbital period via
![]() |
(1) |
where

Combining this with Kepler's Third Law,
![]() |
(2) |
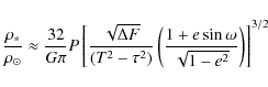
where G is the gravitational constant, leads to an expression for the stellar density (Seager & Mallén-Ornelas 2003)
since

We used a Singular Value Decomposition (SVD) fit, weighted by
error on the mass or radius measurements, to obtain coefficients on
significant variables. The final fit gives coefficients for
,
X2, log
,
log
,
log
and [Fe/H] for mass, and X,
and [Fe/H] for radius (the secondary terms are insignificant for the
radius fit). Thus the mass or radius may be computed by
To obtain






Table 1: Coefficients for mass and radius fits.
![]() |
Figure 1: Shows the scatter in fitted (calibrated) and measured a) mass and b) radius values for the 38 stars used in the calibration. |
Open with DEXTER |
Table 2: Comparison of mass and radius values obtained from isochrone fitting with those from the calibrated equations and from an MCMC analysis using those equations.
3 Application to WASP host stars
Seventeen WASP host stars have now been published. We use values for
and metallicity obtained from spectral analyses with the coefficients
given in Table 1
in Eqs. (4)
and (5)
to calculate the mass and radius of each, and compare these to the
values obtained from isochrone interpolations. WASP-1 data was obtained
from Cameron et al. (2007),
Stempels et al. (2007),
Charbonneau et al. (2007)
and Shporer et al. (2007),
WASP-2 data from Cameron
et al. (2007) and Charbonneau
et al. (2007), WASP-3 data from Pollacco et al. (2008),
WASP-4 data from Wilson
et al. (2008), WASP-5 data from Anderson et al. (2008),
WASP-6 data from Gillon
et al. (2009), WASP-7 data from Hellier et al. (2009b),
WASP-10 data from Johnson
et al. (2009) and Christian
et al. (2009), WASP-11 data from West et al. (2009b) and Bakos et al. (2009),
WASP-12 data from Hebb et al.
(2009), WASP-13 data from Skillen
et al. (2009), WASP-14 data from Joshi et al. (2009),
WASP-15 data from West et al.
(2009a), WASP-16 data from Lister
et al. (2009), WASP-17 data from Anderson et al. (2010),
WASP-18 data from Hellier
et al. (2009a) and WASP-19 data from Hebb et al. (2010).
Table 2
shows that the agreement in results from the two methods is very good,
demonstrating that computing stellar masses and radii from these
coefficients is a valid, and simple, alternative to isochrone
interpolation.
The only values in Table 2 that do not
quite agree, within errors, are the results for the radius of WASP-10. Johnson et al. (2009)
find a radius of
,
whereas the calibration produces
.
WASP-10 is an unusual host star, with a high density of
(Johnson et al. 2009)
and a high level of activity (Smith
et al. 2009). Such calibration discrepancies in
low-mass, high-activity stars are discussed in Sect. 6 of Torres et al. (2010).
4 Application to Markov Chain Monte Carlo analysis
Having established that our modification of the Torres calibration yields stellar masses that agree well with those obtained from isochrone fitting, we now describe its implementation in our Markov-chain Monte Carlo (MCMC) parameter fitting code. This is followed by a discussion of a Main Sequence mass-radius constraint generally imposed on the parameter fitting, and objects for which this constraint is removed. We also discuss the effect on the final mass and radius values of uncertainty in eccentricity due to imperfect radial velocity and photometry.
The MCMC analysis, described in Collier
Cameron et al. (2007) and Pollacco
et al. (2008), derives star-planet system parameters
from simultaneous modelling of stellar lightcurve and radial velocity
measurements. The host star`s radial velocity motion is parametrised by
the radial velocity amplitude, the centre-of-mass velocity, the orbital
eccentricity and the longitude of periastron, while the transit is
modelled using the formulation of Mandel
& Agol (2002) incorporating the 4-coefficient
limb-darkening model of Claret (2000).
The form of the transit profile is determined by five parameters: the
epoch of transit, orbital period, duration and depth of transit and the
impact parameter of orbit. The best model is found using a constrained
optimization of
for both photometric and radial velocity data, combined with Bayesian
priors on epoch, period, transit duration and depth, impact parameter,
stellar mass, radial velocity semi-amplitude, eccentricity and the
longitude of periastron.
Here, we adapted this analysis to take the spectral
and metallicity as input values when modelling all available photometry
and radial velocity observations of a host star. The MCMC code
determines the stellar density value for the calculations from the
observations at each step in the chain, now using Bayesian priors on
the temperature and metallicity also, and uses the equations and
coefficients above to calculate the stellar mass. These modifications
make the MCMC analysis more robust since the stellar mass is now a
derived quantity in the chain instead of a jump parameter constrained
by a prior.
Where there is high-quality follow-up photometry of a transit
event, the duration of ingress and egress, and hence the impact
parameter, are tightly constrained. However, where such photometry is
not available and thus the duration of ingress and egress cannot be
accurately measured, an additional constraint is needed in the MCMC
analysis. In such a case, the transit ingress and egress durations are
overestimated in modelling the photometry since the sharp transitions
to ingress and egress become blurred, allowing a shallower slope to be
fitted. This leads to an underestimation of the impact parameter, b,
from
![]() |
(6) |
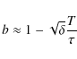
from Winn (2009) where



for a circular orbit, modified from Winn (2009), where a is semi-major axis and i is orbital inclination. To avoid this overestimation of stellar radius, the MCMC-fitted stellar radii are generally constrained to reasonably closely follow a Main Sequence relationship to the stellar mass, i.e.


![]() |
(8) |
where





However, WASP-1, 12 and 15 have this Main Sequence constraint
relaxed due to being more evolved stars, each with an estimated age
greater than their expected Main Sequence lifetime. WASP-1 and 12 are
late F-type stars with an estimated main sequence lifetime of 1 Gyr
but estimated ages of around 2 Gyr. The high-quality photometry of Charbonneau et al. (2007)
and Shporer et al. (2007)
(for WASP-1) and Hebb et al.
(2009) (for WASP-12) constrains the impact parameter and
stellar density satisfactorily, allowing a good estimate of stellar
age, and at the same time removing the need for the additional MCMC
constraint. WASP-15 is an F5 star of around 3.9 Gyr compared
to a normal F5 age of 3.6 Gyr, also with high-quality photometry (West et al. 2009a) which
again constrains the impact parameter and stellar density. Restraining
the radii of these stars to lower values with the Main Sequence
constraint on leads to an overestimation of their density. In addition,
we used the very high-quality photometry for WASP-10 given in Johnson et al. (2009),
and therefore had no need for the Main Sequence constraint in that
case. For all other objects, without extremely high quality follow-up
data and expected to be on the Main Sequence, the constraint was kept.
With high precision photometry the precise shape of the
transit would help constrain the eccentricity of the planetary orbit
through the measured duration of transit. A planet moving on an
eccentric orbit has its velocity modified by
compared to an identical planet on a circular orbit. Therefore for a
planet on an eccentric orbit, the duration of transit, T,
given by the length of the chord crossed in front of the star divided
by the planet's velocity, is modified by
compared to the duration in a circular orbit. Without very high quality
photometry, a source of uncertainty in the stellar density can arise
from the fitting of the eccentricity of the planet`s orbit from the
radial velocity measurements. With stellar density as an input, this
leads to uncertainty in the results for stellar mass and radius using
the calibrated equations and coefficients. This may especially be an
issue for low mass planets which have a lower ratio of radial velocity
amplitude to scatter than more massive planets, making an accurate
determination of orbital eccentricity more difficult. Using the
simplified version of the equation for density, Eq. (19) from Seager & Mallén-Ornelas (2003),
using
so that
,
and then including this factor gives
![]() |
(9) |
where

Table 3: Result of fixing e = 0 for WASP-13.
![]() |
Figure 2: Shows the scatter in isochrone a) mass and b) radius values versus values from MCMC analysis for 17 SuperWASP host stars. |
Open with DEXTER |
As an example, WASP-13b is a planet of mass
orbiting a G1 type star with a radial velocity semi-amplitude of
56 m s-1 (Skillen et al. 2009).
The only transit photometry available is from SuperWASP and the
0.87 m James Gregory Telescope in St Andrews, Scotland.
Running the MCMC analysis as described above results in an eccentricity
value of
,
with
.
However, holding the eccentricity fixed at 0 and repeating the analysis
leads to an output with a very slightly higher
value of 15 140, so clearly the larger eccentricity value is
not a secure result. The difference in resulting parameters are given
in Table 3,
showing that there is only a small effect of about six percent on the
final stellar mass value despite a change of over 50% in the stellar
density. Therefore it may be concluded that the effect of the
uncertainty in eccentricity on the final fitted mass value is small.
The stellar radius is altered by around 18%, due to the change in
density value.
The results of the MCMC analysis on each of the
17 SuperWASP host stars are also presented in Table 2, and are shown
in Fig. 2.
Eccentricities are held fixed at 0 in all cases where this was done in
the original papers WASP-3, 4, 5, 7, 11, 13, 15, 16
and 19). Almost all mass and radius values from the MCMC
analysis agree with the isochrone values, within errors; the MCMC mass
and radius ranges of WASP-6 and the radius range of WASP-19 do not
quite overlap with the isochrone values, but all these values agree at
the
level.
5 Summary
We have presented a new calibration for stellar masses and radii based on stellar effective temperature, metallicity and stellar density. We have shown that the resulting equations provide a good fit to data for 38 stars from Torres et al. (2010), and also to values for masses and radii of exoplanet host stars obtained from isochrone analyses. We have demonstrated that accurate stellar masses may be obtained for such exoplanet host stars via a Markov-chain Monte Carlo analysis of photometric and spectroscopic data, using spectroscopically determined temperatures and metallicities as input.
Even where poor photometry yields an uncertain estimate of stellar density, the mass estimate from the calibration is encouragingly robust. However, the stellar radius depends strongly on the stellar density estimate which in turn requires good knowlege of the impact parameter. Thus in establishing planet radii there is no substitute for good quality photometry, though the Main Sequence prior can provide a useful additional constraint if the star can be shown via independent means to be unevolved.
AcknowledgementsThe WASP Consortium consists of astronomers primarily from the Queen's University Belfast, Keele, Leicester, The Open University, and St Andrews, the Isaac Newton Group (La Palma), the Instituto de Astrofisica de Canarias (Tenerife) and the South African Astronomical Observatory. The SuperWASP-N and WASP-S Cameras were constructed and operated with funds made available from Consortium Universities and the UK`s Science and Technology Facilities Council.
References
- Anderson, D. R., Gillon, M., Hellier, C., et al. 2008, MNRAS, 387, L4 [NASA ADS] [Google Scholar]
- Anderson, D. R., Hellier, C., Gillon, M., et al. 2010, ApJ, 709, 159 [NASA ADS] [CrossRef] [Google Scholar]
- Bakos, G. Á., Pál, A., Torres, G., et al. 2009, ApJ, 696, 1950 [NASA ADS] [CrossRef] [Google Scholar]
- Cameron, A. C., Bouchy, F., Hébrard, G., et al. 2007, MNRAS, 375, 951 [NASA ADS] [CrossRef] [Google Scholar]
- Charbonneau, D., Winn, J. N., Everett, M. E., et al. 2007, ApJ, 658, 1322 [NASA ADS] [CrossRef] [Google Scholar]
- Christian, D. J., Gibson, N. P., Simpson, E. K., et al. 2009, MNRAS, 392, 1585 [NASA ADS] [CrossRef] [Google Scholar]
- Claret, A. 2000, VizieR Online Data Catalog, 336, 31081 [NASA ADS] [Google Scholar]
- Collier Cameron, A., Wilson, D. M., West, R. G., et al. 2007, MNRAS, 380, 1230 [NASA ADS] [CrossRef] [Google Scholar]
- Cox, A. N. 2000, Allen's Astrophysical Quantities, 4th edn. (Berlin: Springer) [Google Scholar]
- Fernandez, J. M., Holman, M. J., Winn, J. N., et al. 2009, AJ, 137, 4911 [NASA ADS] [CrossRef] [Google Scholar]
- Gillon, M., Anderson, D. R., Triaud, A. H. M. J., et al. 2009, A&A, 501, 785 [NASA ADS] [CrossRef] [EDP Sciences] [Google Scholar]
- Hebb, L., Collier-Cameron, A., Loeillet, B., et al. 2009, ApJ, 693, 1920 [NASA ADS] [CrossRef] [Google Scholar]
- Hebb, L., Collier-Cameron, A., Triaud, A. H. M. J., et al. 2010, ApJ, 708, 224 [NASA ADS] [CrossRef] [Google Scholar]
- Hellier, C., Anderson, D. R., Cameron, A. C., et al. 2009a, Nature, 460, 1098 [NASA ADS] [CrossRef] [Google Scholar]
- Hellier, C., Anderson, D. R., Gillon, M., et al. 2009b, ApJ, 690, L89 [NASA ADS] [CrossRef] [Google Scholar]
- Johnson, J. A., Winn, J. N., Cabrera, N. E., & Carter, J. A. 2009, ApJ, 692, L100 [NASA ADS] [CrossRef] [Google Scholar]
- Joshi, Y. C., Pollacco, D., Cameron, A. C., et al. 2009, MNRAS, 392, 1532 [NASA ADS] [CrossRef] [Google Scholar]
- Lister, T. A., Anderson, D. R., Gillon, M., et al. 2009, ApJ, 703, 752 [NASA ADS] [CrossRef] [Google Scholar]
- Mandel, K., & Agol, E. 2002, ApJ, 580, L171 [NASA ADS] [CrossRef] [Google Scholar]
- Pollacco, D., Skillen, I., Collier Cameron, A., et al. 2008, MNRAS, 385, 1576 [NASA ADS] [CrossRef] [Google Scholar]
- Seager, S., & Mallén-Ornelas, G. 2003, ApJ, 585, 1038 [NASA ADS] [CrossRef] [Google Scholar]
- Shporer, A., Tamuz, O., Zucker, S., & Mazeh, T. 2007, MNRAS, 376, 1296 [NASA ADS] [CrossRef] [Google Scholar]
- Skillen, I., Pollacco, D., Collier Cameron, A., et al. 2009, A&A, 502, 391 [Google Scholar]
- Smith, A. M. S., Hebb, L., Collier Cameron, A., et al. 2009, MNRAS, 398, 1827 [NASA ADS] [CrossRef] [Google Scholar]
- Southworth, J. 2009, MNRAS, 394, 272 [NASA ADS] [CrossRef] [Google Scholar]
- Southworth, J., Zucker, S., Maxted, P. F. L., & Smalley, B. 2004, MNRAS, 355, 986 [NASA ADS] [CrossRef] [Google Scholar]
- Sozzetti, A., Torres, G., Charbonneau, D., et al. 2007, ApJ, 664, 1190 [NASA ADS] [CrossRef] [Google Scholar]
- Sozzetti, A., Torres, G., Charbonneau, D., et al. 2009, ApJ, 691, 1145 [NASA ADS] [CrossRef] [Google Scholar]
- Stempels, H. C., Collier Cameron, A., Hebb, L., Smalley, B., & Frandsen, S. 2007, MNRAS, 379, 773 [NASA ADS] [CrossRef] [Google Scholar]
- Torres, G., Andersen, J., & Giménez, A. 2010, A&ARv, 18, 67 [Google Scholar]
- West, R. G., Anderson, D. R., Gillon, M., et al. 2009a, AJ, 137, 4834 [NASA ADS] [CrossRef] [Google Scholar]
- West, R. G., Collier Cameron, A., Hebb, L., et al. 2009b, A&A, 502, 395 [NASA ADS] [CrossRef] [EDP Sciences] [Google Scholar]
- Wilson, D. M., Gillon, M., Hellier, C., et al. 2008, ApJ, 675, L113 [NASA ADS] [CrossRef] [Google Scholar]
- Winn, J. N. 2009, in IAU Symp., 253, 99 [Google Scholar]
- Winn, J. N., Holman, M. J., Torres, G., et al. 2008, ApJ, 683, 1076 [NASA ADS] [CrossRef] [Google Scholar]
Footnotes
- ... stars
- www.exoplanet.eu
All Tables
Table 1: Coefficients for mass and radius fits.
Table 2: Comparison of mass and radius values obtained from isochrone fitting with those from the calibrated equations and from an MCMC analysis using those equations.
Table 3: Result of fixing e = 0 for WASP-13.
All Figures
![]() |
Figure 1: Shows the scatter in fitted (calibrated) and measured a) mass and b) radius values for the 38 stars used in the calibration. |
Open with DEXTER | |
In the text |
![]() |
Figure 2: Shows the scatter in isochrone a) mass and b) radius values versus values from MCMC analysis for 17 SuperWASP host stars. |
Open with DEXTER | |
In the text |
Copyright ESO 2010
Current usage metrics show cumulative count of Article Views (full-text article views including HTML views, PDF and ePub downloads, according to the available data) and Abstracts Views on Vision4Press platform.
Data correspond to usage on the plateform after 2015. The current usage metrics is available 48-96 hours after online publication and is updated daily on week days.
Initial download of the metrics may take a while.