Issue |
A&A
Volume 516, June-July 2010
|
|
---|---|---|
Article Number | A93 | |
Number of page(s) | 4 | |
Section | Cosmology (including clusters of galaxies) | |
DOI | https://doi.org/10.1051/0004-6361/201014346 | |
Published online | 21 July 2010 |
The Hubble diagram for a system within dark energy:
the location of the zero-gravity radius and the global Hubble rate
(Research Note)
P. Teerikorpi1 - A. D. Chernin1,2
1 - Tuorla Observatory, Department of Physics and Astronomy, University of Turku, 21500 Piikkiö, Finland
2 -
Sternberg Astronomical Institute, Moscow University, Moscow 119899, Russia
Received 3 March 2010 / Accepted 18 April 2010
Abstract
Aims. Here we continue to discuss the principle of the local
measurement of dark energy using the normalized Hubble diagram
describing the environment of a system of galaxies.
Methods. We calculate the present locus of test particles injected a fixed time ago (the age of the universe), in the standard
cosmology and for different values of the system parameters (the model includes a central point mass M and a local dark energy density
)
and discuss the position of the zero-gravity distance
in the Hubble diagram.
Results. Our main conclusion are: 1) when the local DE density
is equal to the global DE density
,
the outflow reaches the global Hubble rate at the distance
,
where
is the global zero-acceleration redshift (
0.7
for the standard model). This is also the radius of the ideal
Einstein-Straus vacuole, 2) for a wide range of the local-to-global
dark energy ratio
,
the local flow reaches the known global rate (the Hubble constant) at a distance
.
Hence,
will be between R2/2 and R2, giving upper and lower limits to
.
For the Local Group, this supports the view that the local density is near the global one.
Key words: Local Group - dark energy - cosmological parameters
1 Introduction
The standard CDM cosmology views dark energy as having
constant density everywhere. If so, its local density should be
identical to that inferred from global observations of Supernovae Ia (Riess et al. 1998; Perlmutter et al. 1999)
and the CMB (Spergel et al. 2007),
g/cm.
Dark energy can be studied locally (Chernin et al. 2006; Teerikorpi et al. 2008), as its ``antigravity'' can affect galaxy motions near us in a volume a few Mpc across (Chernin et al. 2003). Also, the real mass of a system can only be found if the dark energy is included, because gravitating systems ``lose'' a part of their gravity due to the antigravity of the dark energy within them (Chernin et al. 2009).
The homogeneity and constancy of the dark energy imply an important fact: lumps
of matter, caused by gravitational instability in the expanding universe,
did not appear alone, but together with zero-gravity surfaces around them.
The gravity of the mass M of the concentration and the repulsion of
the dark energy with density
are equal at the zero-gravity radius
(Chernin 2001):
![]() |
(1) |
Antigravity dominates at


This concept of the spatial border
does not apply to the perfectly
smooth Friedmann models
(these have instead the temporary border separating deceleration and acceleration everywhere),
but it is important for understanding the local structure and dynamics of galaxy systems:
the zero-gravity border exists during all the life-time of the system since its formation.
The two major parameters of a ``local Hubble cell'' are the
total mass of the group or cluster and the local density of the dark energy.
If the mass is, say,
and the local dark energy density is equal to its global value
,
then
Mpc.
Or, if the zero-gravity radius is known from observations, the
mass may be written as:
![]() |
(2) |
Thus one can determine the DE density by comparing the predicted value of the group mass to the mass known from other methods. However, this requires an independent estimate for the zero-gravity distance. As we have noted (Chernin et al. 2006), the size of the group or the zero-velocity distance is a strict lower limit to



2 Position of R
in the Hubble diagram
If the local DE density is equal to the global one, there is the suggestive
coincidence with
Mpc
being also the distance
where the local Hubble flow begins to be seen. But one would like to
find a way to measure the zero-gravity distance independently, using
local data on the mass and the outflow. What could be its signature in
the observations? In order to clarify this question we have calculated,
within the two-component model, the present expected locus of
outflowing dwarf galaxies for several different values of the relevant
parameters.
2.1 The normalized Hubble diagram
Previously, we introduced the concept
of a normalized Hubble diagram, in order to study the kinematic structure
of a group and its surroundings (Teerikorpi et al. 2008) in the presence of
dark energy. If one fixes the mass of the group and the local dark energy density,
one can calculate the zero-gravity radius
and the
vacuum Hubble constant
.
Then in the dimensionless representation with
and
as x- and y-axes, respectively,
one may conveniently describe different dynamical regions of the system (see Fig. 1).
Writing the total mechanical energy as
,
there is a minimum energy curve corresponding to
.
Test particles ejected from the region of bound orbits
(
)
cannot appear below this curve for
.
In fact, the minimum energy curve can be used to give an upper limit to the local
DE density or a lower limit to
which may be stricter than that obtained from the size
and mass of the system.
The physical sense of this minimum energy curve is that it corresponds to ejections an infinitely
long time ago. Hence, any upper limit for the age provides a still stricter lower-limit
curve. Consider the vacuum Hubble time
,
where
![]() |
= | ![]() |
(3) |
= | ![]() |
(4) |
The vacuum Hubble time







![]() |
Figure 1:
The normalized distance-velocity diagram showing
the predicted local flow for the age of the standard world model, corresponding
to
|
Open with DEXTER |
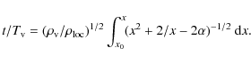
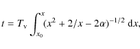
2.2 The present distance-velocity relation
The flight time from the center of the group ()
to the normalized distance
,
for a particle with energy
can be parametrized in terms of
the vacuum Hubble time
:
while the normalized velocity y is related to x as
One can calculate for each location x the required energy

As an example, in the normalized diagram of Fig. 1 we have indicated the predicted current distance-velocity curve for the age
for the case where the local DE density is equal to the global one (Eq. (5) or (7) with
). The straight line above the vacuum Hubble flow (y = x) is the global Hubble law with
for
.
In Fig. 2 we illustrate how the increasing flight time (0.85, 1.5, and
)
influences the distance-velocity relation in the normalized Hubble diagram.
Note that at large distances and long times the flow approches the vacuum flow y=x. The vacuum flow is also the asymptotic line for the zero-energy and the minimum energy curves, as can be seen from Eq. (6).
![]() |
Figure 2: The normalized distance-velocity diagram showing the predicted local flow for several flight times: 0.85, 1.5 and 2.0 vacuum Hubble times. For large distances and long times the flow approaches the vacuum flow y=x. |
Open with DEXTER |
From the y = y(x) we can obtain the locus of present distance-velocity positions as (
,
). So, fixing the mass M and the DE density
(which give the distance
and the vacuum Hubble constant
needed in the normalization), and the flight time
(say,
the age of the universe) we can calculate the velocity-distance
relation for the ordinary Hubble diagram. For example, in Chernin
et al. (2009)
the mass was varied and the predicted Hubble relation was compared with
the outflow around the Local Group, assuming that the local DE density
is the same as the global one.
2.3 Times spent in gravitation and DE dominated regions
We see from Fig. 2 that in the standard model the present Hubble relation deviates from the vacuum flow y =x and, as mentioned, only in the distant future it approaches
that relation for the DE dominated cosmos. In fact, the galaxies presently located in the range
have
spent in the past most of their time within the gravity dominated
region and less than half in the DE dominated zone. For the standard
model (age = 0.85 vacuum Hubble time),
it is only at
where the galaxies have spent about equal or longer time in the DE
dominated region. This is why the current Hubble relation has not had
time to approach closer to the vacuum flow, even though the static
zero-energy border has existed since the formation of the group.
![]() |
Figure 3: The normalized distance-velocity diagram for different values of the local-to-global dark energy density ratio. Note that the predicted local flow reaches the global Hubble rate (the straight lines beginning from the origo) around 1.5-1.7 times the zero-gravity distance. |
Open with DEXTER |
2.4 When the local DE density differs from the global value
We see from Fig. 1 that the Hubble ratio of the local flow aproaches the global value around
.
This suggests the location where one can bracket from upwards the possible values of
.
But is this criterion - where the observed local flow is close to the global rate - valid also for
dark energy densities smaller than the global one?
In Eq. (5) the time
actually means the vacuum Hubble time corresponding to the local DE density
.
As we want to use the global vacuum Hubble time (related to the
standard model) as a convenient unit also when the local and global
densities differ, we write:
In the normalized diagram of Fig. 3 we show the calculated local Hubble relations for several cases of the local-to-global DE ratios,

It is seen that in each case the local flow approaches the global Hubble law well beyond the zero-gravity radius ,
in fact at about the same normalized x-location. In the ordinary Hubble diagram these locations may differ much (due to the different values of
), but it is important that the criterion which we have used in our previous papers (e.g. Chernin et al. 2006, 2009) thus obtains quantitative support: the known global Hubble law allows one to define a robust upper limit to
from the local expansion flow.
3 Concluding remarks
It is interesting to realize that the mass concentrations have had around them the zero-gravity
surface since the formation of the concentration.
Beyond this surface the acceleration is positive, while within
it there is deceleration. We cannot directly measure the accelerations
in order to define the location of the zero-gravity distance
and hence determine the quantity
(and hence the dark energy density, if the mass M is known). However, as we have previously argued and in more detail shown here, we can obtain information about
by comparing the current behaviour of the local
flow with the global Hubble law. The latter is related to the global time scale and is known from
various large-scale determinations.
3.1 The local outflow and the zero-acceleration redshift z
The calculations show that the local flow should reach the global expansion rate around
a distance 1.5-1.7 times the zero-gravity radius (for the local DE density from 0.1 to 1 global
density). This allows one to set an upper limit R2 to
and hence a lower limit to
.
If the mass-point model is inadequate, so that in addition to
the known mass M of the group itself there is some unknown extended mass
up to
,
then the lower limit to
from Eq. (2) is just made more robust:
(in units of
and Mpc).
What happens at larger distances depends on whether the local model is still valid -
one finally reaches the distance
which gives the size of the volume from which
the mass M has been gathered during the formation of the group (so-called Einstein-Straus vacuole;
Chernin et al. 2006). One can calculate the present radius
of the region from which the mass M was gathered, assuming the present average cosmic mass density
.
It is
(e.g.
for
).
Interestingly, this is the same 1.7 as in the global scale factor ratio leading to
.
Namely, the requirement that the global acceleration is zero when
leads in terms of the current mass density to the condition
or
.
This is also the distance where the global Hubble ratio is reached, because
at this point the enclosed mass is the same as for the uniform global Friedmann model, hence
the expansion rate is the same.
To repeat, when the local dark energy density is equal to the global DE density, the
global Hubble rate is reached at the distance
.
This distance is also
the same as the radius of the ideal Einstein-Straus vacuole
.
3.2 An application to the Local Group
An implication is that the best place for the study of the local dark energy using
the present approach would be where the point mass plus void model extends beyond
the standard radius
.
Interestingly, this may just be the case in the Local Volume where,
according to Karachentsev et al. (2009),
there seems to
be an average underdensity by a factor of 2 or 3 locally, and the
vacuole from which the central mass was gathered, may then exceed
by a factor of 1.26 or 1.44, respectively.
If the local flow reaches the global Hubble rate around the distance R2, as defined by sufficiently accurate data, and if
,
then robustly
![]() |
(8) |
For example, if we take for the Local Group


![]() |
(9) |
Expressed in another way, for


A.C. thanks the RFBR for partial support via the grant 10-02-00178. We also thank the anonymous referee for useful comments.
References
- Chernin A. D. 2001, Physics-Uspekhi, 44, 1099 [NASA ADS] [CrossRef] [Google Scholar]
- Chernin, A. D., Teerikorpi, P., & Baryshev, Yu. V. 2003, Publ. Adv. Space Res., 31, 459 [Google Scholar]
- Chernin, A., Teerikorpi, P., & Baryshev, Yu. 2006, A&A, 456, 13 [Google Scholar]
- Chernin, A. D., Teerikorpi, P., Valtonen, M. J., et al. 2009, A&A, 507, 1271 [NASA ADS] [CrossRef] [EDP Sciences] [Google Scholar]
- Karachentsev, I. D., Kashibadze, O. G., Makarov, D. I., & Tully, R. B. 2009, MNRAS, 393, 1265 [NASA ADS] [CrossRef] [Google Scholar]
- Peirani, S., & de Freitas Pacheco, J. A. 2006, New Ast., 11, 325 [NASA ADS] [CrossRef] [Google Scholar]
- Peirani, S., & de Freitas Pacheco, J. A. 2008, A&A, 488, 845 [NASA ADS] [CrossRef] [EDP Sciences] [Google Scholar]
- Perlmutter, S., Aldering, G., Goldhaber, G., et al. 1999, ApJ, 517, 565 [NASA ADS] [CrossRef] [Google Scholar]
- Riess, A. G., Filippenko, A. V., Challis, P., et al. 1998, AJ, 116, 1009 [NASA ADS] [CrossRef] [Google Scholar]
- Spergel, D. N., Bean, R., Doré, O., et al. 2007, ApJS, 170, 377 [NASA ADS] [CrossRef] [Google Scholar]
- Teerikorpi, P, Chernin, A. D., Karachentsev, I. D., & Valtonen M. J. 2008, A&A, 483, 383 [NASA ADS] [CrossRef] [EDP Sciences] [Google Scholar]
Footnotes
- ... concentration
- The total mass of the system within
may vary with time after its formation because of accretion of material from outside or escape of dwarf galaxies from the system. In reality such mass variations can hardly be very significant. In any case, the value of the zero-gravity radius should follow the total mass in accordance with Eq. (1).
All Figures
![]() |
Figure 1:
The normalized distance-velocity diagram showing
the predicted local flow for the age of the standard world model, corresponding
to
|
Open with DEXTER | |
In the text |
![]() |
Figure 2: The normalized distance-velocity diagram showing the predicted local flow for several flight times: 0.85, 1.5 and 2.0 vacuum Hubble times. For large distances and long times the flow approaches the vacuum flow y=x. |
Open with DEXTER | |
In the text |
![]() |
Figure 3: The normalized distance-velocity diagram for different values of the local-to-global dark energy density ratio. Note that the predicted local flow reaches the global Hubble rate (the straight lines beginning from the origo) around 1.5-1.7 times the zero-gravity distance. |
Open with DEXTER | |
In the text |
Copyright ESO 2010
Current usage metrics show cumulative count of Article Views (full-text article views including HTML views, PDF and ePub downloads, according to the available data) and Abstracts Views on Vision4Press platform.
Data correspond to usage on the plateform after 2015. The current usage metrics is available 48-96 hours after online publication and is updated daily on week days.
Initial download of the metrics may take a while.