Issue |
A&A
Volume 516, June-July 2010
|
|
---|---|---|
Article Number | L12 | |
Number of page(s) | 6 | |
Section | Letters | |
DOI | https://doi.org/10.1051/0004-6361/201014376 | |
Published online | 16 July 2010 |
LETTER TO THE EDITOR
First case of strong gravitational lensing by a QSO: SDSS J0013+1523 at z = 0.120![[*]](/icons/foot_motif.png)
F. Courbin1 - M. Tewes1 - S. G. Djorgovski2 - D. Sluse3, - A. Mahabal2 - F. Rérat1 - G. Meylan1
1 - Laboratoire d'astrophysique, École Polytechnique
Fédérale de Lausanne (EPFL), Observatoire de Sauverny,
1290 Versoix, Switzerland
2 -
Division of Physics, Mathematics, and Astronomy, California Institute of Technology, Pasadena, CA 91125, USA
3 -
Astronomisches Rechen-Institut
am Zentrum für Astronomie der Universität Heidelberg,
Mönchhofstrasse 12-14, 69120 Heidelberg, Germany
Received 8 March 2010 / Accepted 7 June 2010
Abstract
We present the first case of strong gravitational lensing by a QSO: SDSS J0013+1523
at z=0.120. The discovery is the result of a systematic search for emission lines redshifted behind
QSOs, among 22 298 spectra of the SDSS data release 7. Apart from the z = 0.120
spectral features of the foreground QSO, the spectrum of SDSS J0013+1523 also displays
the [O II] and H
emission lines and the [O III] doublet, all at the same redshift, z = 0.640.
Using sharp Keck adaptive optics K-band images obtained using laser guide stars, we unveil two objects
within a radius of 2
from the QSO. Deep Keck optical spectroscopy clearly confirms one of these
objects at z = 0.640 and shows traces of the [O III] emission line of the second object, also at z = 0.640.
Lens modeling suggests that they represent two images of the same z = 0.640 emission-line galaxy. Our Keck spectra also allow us to measure the redshift of an intervening galaxy at
z = 0.394, located 3.2
away from the line of sight to the QSO.
If the z = 0.120 QSO host galaxy is modeled as a singular isothermal sphere, its mass within the
Einstein radius is
and its velocity dispersion
is
km s-1. This is about 1-
away from the velocity dispersion estimated from the
width of the QSO H
emission line,
km s-1.
Deep optical HST imaging will be necessary to constrain
the total radial mass profile of the QSO host galaxy using the detailed shape of the lensed source.
This first case of a QSO acting as a strong lens on a more distant object opens new directions
in the study of QSO host galaxies.
Key words: gravitational lensing: strong - quasars: individual: SDSS J0013+1523- dark matter
1 Introduction
With the growing number of ongoing and future wide-field surveys, strong gravitational lensing is becoming a powerful tool to weigh individual galaxies and study their total radial mass profiles. Historically, strong lenses have long been source-selected, i.e., they were found by identifying gravitationally lensed multiple images of distant sources such as QSOs, either in the optical (e.g., SDSS, Oguri et al. 2006) or in the radio (e.g., the CLASS survey, e.g., Browne et al. 2003; Myers et al. 2003). The discoveries of multiply imaged QSOs, by numerous independent teams over two decades, have led to a sample of about 100 strongly lensed QSOs. Detailed HST imaging is now available for most of these objects mainly thanks to the CfA-Arizona Space Telescope LEns Survey (CASTLES, Muñoz et al.1998; Impey et al. 1998). The second largest sample of source-selected systems is the one obtained in the COSMOS field (Faure et al. 2008), where the sources are almost always emission-line galaxies.
Source-selected samples tend to yield lensing galaxies spanning a broad range of physical properties, i.e., effective radii, Einstein radii, dark matter profiles, total masses, and environments. With current wide-field surveys such as the SDSS, it is now also possible to build lens-selected samples, where the lenses can be chosen with well-defined photometric properties. The largest sample of these lens-selected systems to date is the SLACS sample (e.g., Bolton et al. 2008), where the lenses are color-selected early-type galaxies with 0.1 < z < 0.6 and where the sources are emission line galaxies with z>0.5. While source-selected samples use optical or radio data to look for multiple images, SLACS uses SDSS optical spectra to look for emission lines redshifted behind the selected lensing galaxies, following the technique of Warren et al. (1996).
![]() |
Figure 1:
Top: SDSS spectrum of SDSS J0013+1523, after subtraction
of the continuum, as provided by the SDSS pipeline. The emission lines
associated with the foreground z=0.120 QSO are shown with vertical dotted lines (black) and the emission lines associated with the z=0.640
background object are shown with dashed lines (red). The noise spectrum
is also displayed indicating the position of the strongest sky lines. Bottom: from left to right zooms on the z=0.640 [O II], H |
Open with DEXTER |
Following the same approach, we started to compile a lens-selected
sample where the foreground lenses are QSOs in place of early-type
galaxies. Our long-term goal is to provide a direct measure of the
total mass of QSO host galaxies and to use SLACS as a non-QSO
``control'' sample. Because the lensing QSOs are at low redshift (z<0.4), the range of follow-up applications is very rich, as their H,
H
,
[O III]
emission lines are clearly measurable in the SDSS spectra. In addition,
the angular size and luminosity of their host galaxies make it possible
to carry out direct spectroscopy of the host (e.g., Lewate
et al. 2007; Letawe et al. 2004; Courbin et al. 2002).
Our sample will therefore allow us to test directly the scaling laws
established between the properties of QSO emission lines, the mass of
the central black hole, and the total mass of the host galaxies (e.g.,
Kaspi et al. 2005; Bonning et al. 2005; Shen et al. 2008).
In this paper, we focus on the discovery of the first case of a QSO, SDSS J0013+1523 (RA(2000): 0013
40.21
;
Dec(2000): +15
23
12.1
;
z = 0.120; r=18.04), producing two images of a background galaxy (z = 0.640) due to strong gravitational lensing.
2 Spectroscopic search in SDSS
We used the SDSS DR7 catalogue (Abazajian et al. 2009) of spectroscopically confirmed QSOs
to build a sample of potential lenses, without applying any magnitude cut. We considered all QSOs in the catalogue with
,
providing a sample of 22 298 potential lenses with SDSS spectra. In
these spectra, we look for emission lines redshifted beyond the
redshift of the QSO. Since the SDSS fiber is comparable in size (3
in diameter) to the typical Einstein radius of our QSOs, the object
responsible for the background emission lines is very likely to be
strongly lensed (e.g., Bolton et al. 2008).
Looking for emission lines in the background of QSOs is far more difficult than behind galaxies, for three reasons: (i) the QSO outshines the lensed background images, making follow-up imaging very challenging and (ii) in contrast to early-type galaxies, QSO spectra span a huge range of properties, both in the continuum and emission lines. It is therefore impossible to subtract a QSO template from the SDSS spectra and to search for emission lines in the residual spectrum. Finally, (iii), QSO spectra have many weak iron features that can mimic faint background emission lines. These lines lead to false positives that can be removed statistically thanks to the huge number of QSO spectra available in SDSS.
Although our search technique will be the topic of a future
paper, the main components of our strategy are the following. First we
subtract the continuum of the QSO spectra using a spline fit. Then, we
cross-correlate the continuum-subtracted spectra with several
analytical templates of emission lines. We typically use 3 templates,
one with only the optical H
and [O III] doublet, a second to which we add the [O II] doublet, and a third that also contains H
.
The cross-correlation provides us with a catalogue of candidates, a
candidate being defined as a significant peak in the cross-correlation
function of redshift higher than the foreground QSO. Each QSO spectrum
has many possible candidates, of which we retain the 5 most
significant. For those, we fit Gaussian profiles to each of the
candidate emission lines and compute a quality factor, based on the
total signal-to-noise ratio (S/N) in the spectroscopic lines.
The quality factor is used to select the most likely candidates in
terms of S/N. However, at this point, the catalogue of candidates still
needs to be cleaned from false positives produced by residuals caused
by either sky subtraction or faint features in the spectrum of the
foreground QSO. Thanks to the large number of QSOs in the SDSS sample,
these can be identified statistically and rejected efficiently. As a
final step, we carry out a visual inspection of the most probable
candidates. This process leaves us with about 10 candidates that have
at least 3 significant emission lines and an additional 4 candidates
with 4 emission lines. SDSS J0013+1523 is one of the latter.
Its SDSS spectrum and the background emission lines at
are shown in Fig. 1.
If all 14 objects are actually lensed, the probability of finding these objects is
.
This is about 8 times less than in SLACS, where the discovery rate is 0.005 (e.g., Auger et al. 2009).
However,
our selection function is very different from SLACS, because of (i) the
contrast between the QSO and the background emission
lines; (ii) the regions of the QSO spectra that must be masked due to
strong QSO spectral features; (iii) the requirement
to see multiple background emission lines simultaneously outside the
masked regions; (iv) differences between the redshift distributions of
QSOs in our sample and the galaxies in SLACS. A detailed study of the
selection function (e.g., Dobler et al. 2008)
beyond the scope of the present discovery paper. However, if real, the
difference between the SLACS discovery rate and ours may reflect a
genuine difference between the lensing cross-sections of the two
samples, i.e., between the physical properties of QSO and non-QSO
galaxies.
![]() |
Figure 2: Full field of view of the Keck NIRC2+AO observations. No star is available to construct the PSF. Also indicated are galaxies G1 and G2, which may contribute to the external shear of the lens models. From our Keck spectra, galaxy G2 is at z = 0.394. North is to the top, east left. |
Open with DEXTER |
![]() |
Figure 3:
Left: zoom on the central part of Fig. 2. The resolution is 0.1
|
Open with DEXTER |
![]() |
Figure 4: Keck/LRIS spectrum of SDSS J0013+1523, normalized to the continuum. As in Fig. 1, the labels in black show the spectral features associated with the foreground z = 0.120 QSO and the labels in red show the emission lines of the z = 0.640 background galaxy. No smoothing has been applied. |
Open with DEXTER |
3 Keck adaptive optics imaging
The imaging observations were obtained on the night of 11 September 2009 UT, using the NIRC2 instrument
in the laser guide star adaptive optics mode (LGSAO, Wizinowitch
et al. 2006) at the 10-m Keck-2 telescope on Mauna Kea, Hawaii, in
variable conditions. Images were obtained in the
band, using the ``wide field" NIRC2 camera with the FOV
40 arcsec, and the pixel scale of 0.0397
.
The observations consist of 42 dithered exposures of 40 s each.
The data were reduced using standard procedures, leading to the combined image shown in Fig. 2.
Owing to the small field of view of the NIRC2+AO imager, no star is available to construct a numerical point spread function (PSF), hence making image deconvolution impossible. We nevertheless subtracted the low spatial frequencies of the PSF in two different ways.
First, we used the GALFIT package (Peng 2002) to fit analytical profiles to the data. We tried a number of different models where the QSO is represented with either a Gaussian or a Moffat profile and where the host galaxy is represented by an elliptical Sersic, a de Vaucouleurs, or an exponential disk profile. We found that the best fits were thoses with a Moffat for the QSO and an exponential disk for the host. This model was subtracted from the 42 individual images and the difference images were then stacked and cleaned for cosmic-rays using sigma-clipping.
As a second method, we computed an estimate of the PSF directly from the QSO itself. The goal here was to remove the low frequency signal of the PSF (plus QSO host galaxy), by symmetrizing the image of the QSO. For each of the 42 frames, we produced 10 different duplicates rotated by 36 degrees about the QSO centroid. We then took the median of these 10 rotated frames, hence producing a circularly symmetric PSF. Thanks to the median average, all small details in the PSF were removed, i.e., the spikes, any blob in the PSF, and the putative lensed images of a background object. The 42 PSFs were then subtracted from the data and the residual images were stacked together.
Table 1: Summary of the Keck astrometry.
The results of these two ways of subtracting the QSO are shown in Fig. 3. The subtraction is found satisfactory for distances larger than 0.25
away from the QSO. In this area, the structures in the PSF-subtracted
data change depending on the model we adopt in GALFIT. This is because
the first diffraction ring of the PSF that cannot be modeled
analytically. This ring is more accurately modeled by our second
subtraction method, where we symmetrized the PSF.
Two obvious objects are found to the east and west of the QSO, labelled A and B in Fig. 3.
These are outside the area where the PSF subtraction is uncertain and
they are not located on the PSF spikes indicated by dashed lines in the
middle panel of Fig. 3.
We consider them as the best candidates for lensed images of a source at
.
All other
faint structures are either superimposed with PSF features or are not fitted by lens models (Sect. 5). A summary of the relative astrometry and the flux ratio of objects A to B is given in Table 1.
4 Keck optical spectroscopy
Deep Keck optical spectra were obtained on the night of 20 December 2009, using the
LRIS instrument (Oke et al. 1995). The
weather conditions were variable, with patchy clouds. The seeing at the moment
of the observations was 1.5
.
A long slit was used (1.5
wide), with a position angle (PA) of 70
,
ensuring that we could observe
simultaneously the QSO as well as object A and galaxy G2. Object B also
enters partly in the slit. The data consist of 3 exposures of 600 s each, with nodding along the slit
to minimize the effect of CCD traps. The wavelength range from 3500 Å to 8500 Å is
covered using the dichroic #560 that splits the beam into a blue and a red channels. The spectrum in
the blue channel is obtained using a 400 lines/millimeter grism and the spectrum in the red channel
is obtained with a 600 lines/millimeter grism.
The data were reduced using the IRAF package, to perform the wavelength calibration, the
sky subtraction, and the spectra combination in two dimensions. The pixel size in the blue channel
is 0.6 Å in the spectral direction and 0.135
in the spatial direction. In the red channel the
spectral scale is 0.8 Å per pixel and the spatial scale is 0.210
per pixel.
The final 1D spectrum was extracted, confirming all of
the z=0.640 emission lines seen in the SDSS spectrum (Fig. 4).
In addition to the QSO spectrum we
also obtained the spectrum of galaxy G2, allowing us to measure its redshift from the [O II], H
,
and
[O III] emission lines, z=0.394. This rules out the possibility
that G2 is a counter image of object A. We do not detect the continuum of G2.
The seeing for the 2D spectra was poor, but sufficient to separate spatially the spectrum of the QSO from that of
object A. This was achieved by subtracting a two-dimensional Moffat profile from the data,
clearly unveiling the four z=0.640 emission lines seen in the
1D spectrum, off-centered by 0.8
from the centroid of the QSO. This is almost exactly
the separation betwen the QSO and object A. We show in Fig. 5 the result of the
QSO subtraction for the two brightest emission lines. Although the signal is very weak, we can
also detect a weak [O III] emission line at the position expected for object B. Deeper observations with
better seeing would be needed to provide firm conclusions.
![]() |
Figure 5: Two-dimensional spectrum of SDSS J0013+1523 obtained with the Keck and LRIS. The spatial direction runs along the x-axis and the spectral direction along the y-axis (red to the top). Top: zoom on the [O III] (5007 Å) emission line, redshifted to z=0.640. The left panel shows the original spectrum, while the right panel shows the data after subtraction of the QSO spatial profile, centered on the dashed line. Object A is clearly detected, off-center with respect to the QSO, and traces of B may be present at the position expected from the AO images. Bottom: same as above but for the [O II] (3727 Å) doublet. |
Open with DEXTER |
5 Lens modeling
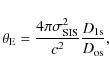
We show that the observed image configuration is consistent with the gravitational lens hypothesis. We model the mass distribution of the lens with a singular isothermal sphere (SIS) and include the effect of the environment as an external shear. This simple model has three parameters: the angular Einstein radius









The angular Einstein radius
of the SIS model is directly
related to the central velocity dispersion
of the stars
in the galaxy by the equation
where









We can compare
to two estimates of the velocity dispersion
based on the SDSS spectrum of SDSS J0013+1523. Shen et al. (2008) measure
the stellar velocity dispersion of the host galaxy, based on the broadening of absorption
features observed its spectrum. They derive a surprisingly small value,
km s-1. We note, however, that this value is based on
a low S/N spectrum of the host galaxy, following a principle component
analysis decomposition of the SDSS spectrum. While this is certainly sufficient to
measure, statistically, velocity dispersions for a large sample of objects, the accuracy reached
for individual objects remains limited.
An indirect but more robust estimate of
can be found using the relation between the black hole mass
and the galaxy velocity dispersion derived by Gültekin et
al. (2009) for all type of host galaxies. Using the black hole
mass estimate
derived by
Shen et al. (2008) from the width of the H
emission line of the QSO,
we obtain
km s-1. We note that the width of the QSO H
line
measured by Shen et al. (2008), FWHM(H
)
2920
390 km s-1, compares
well with our measurement from the Keck
spectra: FWHM(H
)
3090 km s-1. The error associated with the former
estimate is derived by adding
quadratically the intrinsic scatter in the error in the black hole
mass and by propagating the various errors in the formula of
Gültekin et al. (2009). The latter estimate is,
within 1
,
compatible with the lensing velocity dispersion.
6 Conclusions
We have conducted a systematic spectroscopic search for QSOs acting as strong gravitational lenses on background emission-line galaxies. This has produced a sample of about 14 potential lenses.We have presented Keck-AO imaging of one of the most likely candidates, SDSS J0013+1523, a QSO at z=0.120whose spectrum additionally displays four emission lines at the same redshift, z=0.640.
After PSF subtraction, we found two faint objects, A and B, within a radius of 2
from the QSO.
Keck LRIS spectroscopy of SDSS J0013+1523 spatially resolves object A and confirms that it is at z = 0.640. Traces of object B may be seen at the expected position, also at z = 0.640. We measured the redshift of one of the two galaxies seen in the vicinity of the QSO, galaxy G2 at z = 0.394.
The position, flux ratio, and shape of objects A and B are fully compatible with
simple lens models involving a singular isothermal sphere plus external shear.
Although lower than in most galaxies in SLACS, the velocity dispersion found from the lens models
is within 1
compatible
with that estimated from the empirical scaling laws established between the mass of the central
black-hole and that of the QSO host galaxy.
Given the available observations, SDSS J0013+1523 is the first example of strong gravitational lensing by a QSO. Full confirmation will require deep HST observations in the optical, where the emission lines of the background object are prominent.
Apart from the exotic nature of SDSS J0013+1523, the discovery may open a new direction in the study of QSOs, providing a powerful test of existing empirical scaling laws in QSOs and allowing us to measure the total radial mass profile of QSO host galaxies with unprecedented accuracy.
The authors would like to thank T. Treu, R. Gavazzi, A. Bolton and T. Boroson for helpful discussions. This work is partly supported by the Swiss National Science Foundation (SNSF). S.G.D. and A.A.M. acknowledge a partial support from the US NSF grants AST-0407448 and AST-0909182, and the Ajax Foundation. We thank the staff of the Keck Observatory for their expert help during the AO and LRIS observations. D.S. acknowledges a fellowship from the Alexander von Humboldt Foundation.
References
- Abazajian, K. N., Adelman-McCarthy, J. K., Agüeros, M. A., et al. 2009, ApJS, 182, 543 [Google Scholar]
- Auger, M. W., Treu, T., Bolton, A. S., et al. 2009, ApJ, 705, 1099 [NASA ADS] [CrossRef] [Google Scholar]
- Bolton, A. S., Burles, S., Koopmans, L. V. E., et al. 2008, ApJ, 682, 964 [NASA ADS] [CrossRef] [Google Scholar]
- Bonning, E. W., Shields, G. A., Salviander, S., & McLure, R. J. 2005, ApJ, 626, 89 [NASA ADS] [CrossRef] [Google Scholar]
- Browne, I. W. A., Wilkinson, P. N., Jackson, N. J. F., et al. 2003, MNRAS, 341, 13 [NASA ADS] [CrossRef] [Google Scholar]
- Courbin, F., Letawe, G., Magain, P., et al. 2002, A&A, 394, 863 [NASA ADS] [CrossRef] [EDP Sciences] [Google Scholar]
- Dobler, G., Keeton, C. R., Bolton, A. S., & Burles, S. 2008, ApJ, 685, 57 [NASA ADS] [CrossRef] [Google Scholar]
- Faure, C., Kneib, J.-P., Covone, G., et al. 2008, ApJS, 176, 19 [NASA ADS] [CrossRef] [Google Scholar]
- Gültekin, K., Richstone, D. O., Gebhardt, K., et al. 2009, ApJ, 698, 198 [NASA ADS] [CrossRef] [Google Scholar]
- Impey, C. D., Falco, E. E., Kochanek, C. S., et al. 1998, ApJ, 509, 551 [NASA ADS] [CrossRef] [Google Scholar]
- Kaspi, S., Maoz, D., & Netzer, H. 2005, ApJ, 629, 61 [NASA ADS] [CrossRef] [Google Scholar]
- Keeton, C. R. 2001, unpublished [arXiv:astro-ph/0102341] [Google Scholar]
- Keeton, C. S., & Zabludoff, A. I., 2004, ApJ, 612, 660 [NASA ADS] [CrossRef] [Google Scholar]
- Letawe, G., Courbin, F., Magain, P., et al. 2004, A&A, 424, 455 [NASA ADS] [CrossRef] [EDP Sciences] [Google Scholar]
- Letawe, G., Courbin, F., Magain, P., et al. 2007, MNRAS, 378, 83 [NASA ADS] [CrossRef] [Google Scholar]
- Muñoz, J. A., Falco, E. E., Kochanek, C. S., et al. 1998, Ap&SS, 263, 51 [NASA ADS] [CrossRef] [Google Scholar]
- Myers, S. T., Jackson, N. J., Browne, I. W. A., et al. 2003, MNRAS, 341, 1 [NASA ADS] [CrossRef] [Google Scholar]
- Oke, J. B., Cohen, J. G., Carr, M., et al. 1995, PASP, 107, 375 [NASA ADS] [CrossRef] [Google Scholar]
- Oguri, M., Inada, N., Pindor, B., et al. 2006, AJ, 132, 999 [NASA ADS] [CrossRef] [Google Scholar]
- Peng, C. Y., Ho, L. C., Impey, C. D., & Rix, H.-W. 2002, AJ, 124, 266 [NASA ADS] [CrossRef] [Google Scholar]
- Shen, J., Vanden Berk, D. E., Schneider, D. P., & Hall, P. B. 2008, ApJ, 135, 928 [CrossRef] [Google Scholar]
- Treu, T., & Koopmans, L. V. 2004, ApJ, 611, 739 [NASA ADS] [CrossRef] [Google Scholar]
- Treu, T., Koopmans, L. V., Bolton, A. S., Burles, S., & Moustakas, L. A. 2006, ApJ, 640, 662 [NASA ADS] [CrossRef] [Google Scholar]
- Warren, S. J., Hewett, P. C., Lewis, G. F., et al. 1996, MNRAS, 278, 139 [NASA ADS] [Google Scholar]
- Wizinowich, P., Le Mignant, D., Bouchez, A. H., et al. 2006, PASP, 118, 297 [NASA ADS] [CrossRef] [Google Scholar]
Footnotes
- ...
- Some of the data presented herein were obtained at the W. M. Keck Observatory, which is operated as a scientific partnership among the California Institute of Technology, the University of California and the National Aeronautics and Space Administration. The Observatory was made possible by the generous financial support of the W. M. Keck Foundation. This program also makes use of the data collected by the SDSS collaboration and released in DR7.
- ...
- Alexander Von Humboldt fellow.
- ... instrument
- http://www2.keck.hawaii.edu/inst/nirc2/
- ...
LRIS
- http://www2.keck.hawaii.edu/inst/lris/
- ... IRAF
- http://iraf.noao.edu/
All Tables
Table 1: Summary of the Keck astrometry.
All Figures
![]() |
Figure 1:
Top: SDSS spectrum of SDSS J0013+1523, after subtraction
of the continuum, as provided by the SDSS pipeline. The emission lines
associated with the foreground z=0.120 QSO are shown with vertical dotted lines (black) and the emission lines associated with the z=0.640
background object are shown with dashed lines (red). The noise spectrum
is also displayed indicating the position of the strongest sky lines. Bottom: from left to right zooms on the z=0.640 [O II], H |
Open with DEXTER | |
In the text |
![]() |
Figure 2: Full field of view of the Keck NIRC2+AO observations. No star is available to construct the PSF. Also indicated are galaxies G1 and G2, which may contribute to the external shear of the lens models. From our Keck spectra, galaxy G2 is at z = 0.394. North is to the top, east left. |
Open with DEXTER | |
In the text |
![]() |
Figure 3:
Left: zoom on the central part of Fig. 2. The resolution is 0.1
|
Open with DEXTER | |
In the text |
![]() |
Figure 4: Keck/LRIS spectrum of SDSS J0013+1523, normalized to the continuum. As in Fig. 1, the labels in black show the spectral features associated with the foreground z = 0.120 QSO and the labels in red show the emission lines of the z = 0.640 background galaxy. No smoothing has been applied. |
Open with DEXTER | |
In the text |
![]() |
Figure 5: Two-dimensional spectrum of SDSS J0013+1523 obtained with the Keck and LRIS. The spatial direction runs along the x-axis and the spectral direction along the y-axis (red to the top). Top: zoom on the [O III] (5007 Å) emission line, redshifted to z=0.640. The left panel shows the original spectrum, while the right panel shows the data after subtraction of the QSO spatial profile, centered on the dashed line. Object A is clearly detected, off-center with respect to the QSO, and traces of B may be present at the position expected from the AO images. Bottom: same as above but for the [O II] (3727 Å) doublet. |
Open with DEXTER | |
In the text |
Copyright ESO 2010
Current usage metrics show cumulative count of Article Views (full-text article views including HTML views, PDF and ePub downloads, according to the available data) and Abstracts Views on Vision4Press platform.
Data correspond to usage on the plateform after 2015. The current usage metrics is available 48-96 hours after online publication and is updated daily on week days.
Initial download of the metrics may take a while.