Issue |
A&A
Volume 516, June-July 2010
|
|
---|---|---|
Article Number | A4 | |
Number of page(s) | 18 | |
Section | Extragalactic astronomy | |
DOI | https://doi.org/10.1051/0004-6361/201014395 | |
Published online | 16 June 2010 |
Radially extended kinematics and stellar populations of the massive ellipticals NGC 1600, NGC 4125, and NGC 7619
Constraints on the outer dark halo density profile![[*]](/icons/foot_motif.png)
S. B. Pu1,2,3 - R. P. Saglia3,4 - M. H. Fabricius3,4 - J. Thomas3,4 - R. Bender3,4 - Z. Han1,5
1 - National Astronomical Observatory/Yunnan Observatory, the Chinese Academy of Sciences, Kunming 650011, PR China
2 - Graduate University of Chinese Academy of Sciences, Beijing 100049, PR China
3 - Max-Planck-Institut für
extraterrestrische Physik, Postfach 1312, 85741 Garching, Germany
4 - Universitätssternwarte, München, Scheinerstrae 1, 81679 München, Germany
5 - Key Laboratory of the Structure and Evolution of Celestial Objects, Chinese Academy of Sciences, Kunming 650011, PR China
Received 10 March 2010 / Accepted 1 April 2010
Abstract
We present high quality long slit spectra along the major
and minor axes out to 1.5-2
(14-22 kpc) of three bright
elliptical galaxies (NGC 1600, NGC 4125, NGC 7619) obtained at the
Hobby-Eberly Telescope (HET). We derive stellar kinematic profiles
and Lick/IDS indices (H
,
Fe5270, Fe5335,
Fe5406). Moreover, for NGC 4125 we derive gas kinematics and
emission line strengths. We model the absorption line strengths
using Simple Stellar Populations models that take into account the
variation of
and derive ages, total metallicity and
element abundances. Overall, we find that the three galaxies have
old and
overabundant stellar populations with no
significant gradients. The metallicity is supersolar at the center
with a strong negative radial gradient. For NGC 4125, several pieces
of evidence point to a recent dissipational merger event. We
calculate the broad band color profiles with the help of SSP
models. All of the colors show sharp peaks at the center of the
galaxies, mainly caused by the metallicity gradients, and agree
well with the measured colors. Using the Schwarzschild's
axisymmetric orbit superposition technique, we model the stellar
kinematics to constrain the dark halos of the galaxies. We use the
tight correlation between the Mgb strength and local escape
velocity to set limits on the extent of the halos by testing
different halo sizes. Logarithmic halos - cut at 60 kpc -
minimize the overall scatter of the Mgb-
relation. Larger
cutoff radii are found if the dark matter density profile is
decreasing more steeply at large radii.
Key words: galaxies: elliptical and lenticular, cD - Galaxy: abundances - galaxies: kinematics and dynamics - galaxies: individual: NGC 4125 - galaxies: individual: NGC 7619 - galaxies: individual: NGC 1600
1 Introduction
One of the most important remaining questions in contemporary astrophysics concerns the formation and evolution of stellar populations in elliptical galaxies. One can think of two globally different formation scenarios: the classic monolithic-collapse model for the formation and evolution of early-type galaxies (Tinsley 1972; Tantalo et al. 1996; Larson 1975) and the hierarchical merging scenario (White & Rees 1978; Kauffmann et al. 1993). In the former, early-type galaxies build most of their stars during a single event in the early universe while in the latter a substantial fraction of the stellar populations is formed from multiple mergers and the accretion of smaller objects over an extended period.
Statistically, the extremely small scatter of
the observed color magnitude relation of elliptical galaxies or bright
cluster members suggests that the stellar populations are surprisingly
homogeneous (Bower et al. 1992; Kodama & Arimoto 1997). This
uniformity of stellar populations in ellipticals is also supported by
the internal tightness of the so called Fundamental Plane
(Djorgovski & Davis 1987; Bender et al. 1992; Dressler et al. 1987; Saglia et al. 1993). These findings are consistent with a monolithic-collapse.
Moreover, the tightness of the Mg-
relation
for massive elliptical galaxies observed in the local universe
(Bender et al. 1993; Sánchez-Blázquez et al. 2007) but holding up to the
intermediate redshift
(Bender et al. 1998; Ziegler & Bender 1997)
requires a picture of a short, and highly efficient star formation
process at high redshift and passive evolution since then.
In contrast, a large number of elliptical galaxies are observed to have kinematically decoupled cores and were explained as the result of dissipational major merging events by star dominated systems (Mehlert et al. 1998; Bender et al. 1989; Barnes 1992). Furthermore, boxy galaxies are mostly more massive, more radio-loud, more strong X-ray emitters, more frequently disturbed, and less flattened than disky early-type galaxies, suggesting that these two subclasses reflect different formation mechanisms and evolution history (Nieto & Bender 1989; Bender & Surma 1992). Recently, Kuntschner (2000), Thomas et al. (2005a), Collobert et al. (2006), Bernardi et al. (2006), Clemens et al. (2006), Rogers et al. (2010) showed that early-type galaxies in low density and in high density environments might exhibit different formation ages, and Matkovic et al. (2009); Sánchez-Blázquez et al. (2009) found evidence that lower mass galaxies have more extended star formation histories.
In standard closed-box models of chemical enrichment, the metallicity is a function of the yield and of how much gas has been locked after star formation has ceased (Tinsley 1980). Therefore, the metallicity strongly depends on the dynamical parameters - the deeper a potential is, the easier it is to retain gas in the galaxy. Then, galaxies formed in a monolithic-collapse should have steep radial metallicity gradients (Larson 1976; Thomas 1999), correlated with the local escape velocity - since the latter is a measure of the local depth of the potential well. On the other hand, major mergers, which come along with hierarchical merging will dilute stellar population gradients and their connection with the escape velocity as a result of violent relaxation (White 1980). In hierarchical merging, however, particularly for high-mass galaxies a significant amount of mass accretion can be due to minor mergers. If this deposites stellar populations that originally formed in small-mass halos preferentially in the outer parts of the final massive ellipticals, then this might enhance stellar-population gradients and one would again expect deviations from correlations with the local escape velocity, but in the opposite direction as induced by major mergers. Accordingly, the observation of stellar population gradients and their connection to dynamical parameters can give crucial insight into the formation paths of individual galaxies.
The comparison of measured line strengths to simple stellar population
models (Thomas et al. 2003; Worthey 1994; Vazdekis 1999, hereafter
TMB03)
yields an estimate of the age, metallicity and element abundances and
the galaxy formation scenarios, formation time scales and star
formation histories can be investigated in detail from the study of
the kinematic properties and line strength features
(Morelli et al. 2004; Bender et al. 1992; Bender & Surma 1992).
Serra & Trager (2007) show that when two bursts are considered, the
metallicity and element abundances derived with such a procedure are
roughly luminosity weighted, while the stellar ages can be biased
towards the ones of the younger component. There is a considerable number of works which focus on the study of
kinematic profiles, line strength indices and stellar population
parameters in early-type galaxies
(Tantalo et al. 1998; Li et al. 2007; Kuntschner 2000; Longhetti et al. 1998; Fisher et al. 1995a; Trager et al. 2008; Bender & Surma 1992; Trager et al. 2000b; Longhetti et al. 2000; Denicoló et al. 2005; Bender et al. 1994; Terlevich & Forbes 2002; Trager et al. 2000a). However, the previous
measurements are concentrated within /2 of galaxies. From a
comparison of the stellar parameters within
/8 with these
within
/2 of some early-type galaxies sample,
Davies et al. (1993); Trager et al. (2000b); Denicoló et al. (2005)
found that the outer regions of the elliptical galaxies are slightly
more metal poor than the centers, and that ages are likely to increase
slightly outwards. The same trends were detected by
Fisher et al. (1995a). But still only 1/3 of the star mass is
contained within
/2. So far the exact behaviour of the stellar
kinematics and the abundance ratios at larger radii is still poorly
known.
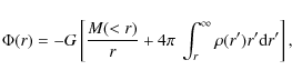
Extended stellar kinematic profiles are also welcome to probe the dynamics of the outer regions of elliptical galaxies, where dark matter halos start to dominate the gravitational potential. Together with other kinematic tracers, like the radial velocities of planetary nebulae (Napolitano et al. 2009) and globular clusters (Bridges et al. 2006), the density and temperature profiles of X-ray halos (Humphrey & Buote 2010) or gravitational lensing effects (Koopmans et al. 2009), extended stellar kinematics profiles have been used to measure the dark matter halos densities and constrain their assembly epoch (Thomas et al. 2009; Gerhard et al. 2001; Thomas et al. 2007b).
A question of particular interest is the DM halo sizes. It has been probed statistically using gravitational lensing, and it can be addressed, if accurate X-ray observations sample the very outer regions of ellipticals. Through gravitational lensing a statistical value for the cutoff radius of 64+15-14 kpc for the average cluster galaxy with a velocity dispersion of 220 km s-1 has been estimated (Halkola et al. 2007). X-ray measurements, on the other hand, do not seem to detect the ends of halos (Humphrey & Buote 2010).
Here we attempt to improve on the leverage of stellar dynamical
models, that can not constrain the mass profiles accurately beyond the
last kinematic data point
(Thomas et al. 2007a,2005b), by adding the further
constraint coming from the measured absorption line strengths. Franx & Illingworth (1990)
found that the local color is a function
of the local escape velocity.
Davies et al. (1993) discovered a tight correction
between Mg2 and the local escape velocity
in 8 galaxies.
More recently, Weijmans et al. (2009) also reported a tight relation between Mgb and
in NGC 3379 while Scott et al. (2009) explored correlations between
stellar population parameters and
in the SAURON sample.
Table 1: List of the morphological classifications, B band luminosity, luminosity distance, receding velocity and effective radius of NGC 1600, NGC 4125 and NGC 7619.
Dynamical measurements can only constrain the density profile of the
dark matter halo out to radii for which data are available. In
contrast, as the Mgb line strength is a function of the escape
velocity at a given radius, it probes the gravitational potential
directly rather than its gradient, as it is the case with dynamical
measurements. Therefore, since the gravitational potential depends on
the whole density distribution (in principle out to infinity), the
Mgb-
provides a novel tool to constrain the density
distribution of dark matter in the outer regions of galaxies.
For this work we obtained deep long slit spectra of three giant local
galaxies, NGC 1600, NGC 4125 and NGC 7619 (see Table 1).
They were chosen as representative of the class massive ellipticals,
that could be easily fit into the service mode schedule
(Shetrone et al. 2007) of the
Hobby-Eberly Telescope (HET) (Barnes & Ramsey 1998) at McDonald
Observatory. These galaxies have been well studied in several works
(Fisher et al. 1995a; Bender et al. 1994). The galaxy NGC 1600,
has boxy isophotes (Rembold et al. 2002) and does not show
rotation both along major and minor axes. The galaxy NGC 4125, has dust
and ionized gas aligned along the stellar major axis
(Kim 1989); Goudfrooij et al. (1994) also found
that the dust lane is inclined by 10
with respect to the apparent
major axis; in addition, this galaxy shows strong soft (0.1-2.4 keV)
X-ray and far-infrared (
m) emission
(Condon et al. 1998). For NGC 7619 Rembold et al. (2002)
found evidence of tidal interactions with the galaxy NGC 7626.
Recently, Fukazawa et al. (2006) analyzed Chandra data and
obtained that NGC 1600 and NGC 7619 show a positive temperature gradient
towards the outer parts. On the other hand NGC 4125 has a declining
temperature profile. Our spectra extend out to 1.5
for NGC 1600
and more than 2
for NGC 4125 and NGC 7619. This dataset
allows us to constrain the general characteristics of the stellar
kinematics and populations extending to large radii. By combining
stellar dynamical
modeling with the measured line strength indices we derive constraints
on the extent of the dark matter halos in these galaxies.
The paper is organized as follows. In Sect. 2 we
describe the observations (Sect. 2.1) and the data
reduction (Sect. 2.2). In Sect. 3 we present
the kinematics (Sect. 3.1) and the line strength measurements
(Sect. 3.2). Comments on individual galaxies are given in
Sect. 3.3. We analyze the Lick indices and derive ages,
metallicities, and /Fe ratios in Sect. 4. Section 4.1 describes the models and
the method used; Sect. 4.2 presents the related
results; Sect. 4.3 derives colors and mass-to-light
ratios. In Sect. 5 we produce dynamical models of
the galaxies. We discuss the adopted method in Sect. 5.1,
the resulting models (Sect. 5.2), the constraints coming
from the correlation between Mgb and local escape velocity
(Sect. 5.3) and the resulting degeneracy between dark halo
cut-off radii and outer density slope (Sect. 5.4). A discussion
of the results and a summary of this work are
presented in Sect. 6
2 Observations and data reduction
2.1 Observations
Long-slit spectra of NGC 1600,
NGC 4125 and NGC 7619 were collected
along the major and minor axis in the period 2006-2008 using the HET in
service mode and the Low-Resolution Spectrograph (LRS) with the E2
grism (Hill et al. 1998). For NGC 1600 and NGC 7619 the slit
was centered on the center of the galaxies. For NGC 4125, the center of
the galaxy was moved towards one end of the slit, to be able to probe its outer
region despite of its larger half-luminosity radius. The wavelength
range covered was 4790 to 5850 Å with a pixel size of
0.73 Å. The slit width was 3 arcsec, giving an instrumental
broadening of
km s-1. Several 900 s
exposures were taken at each galaxy position. Moreover, 900 s
exposures of blank sky regions were taken at regular intervals. The
seeing ranged from 1.2 to 2.6 arcsec. The resulting summed spectra
probe regions out to nearly 1.5
for NGC 1600 and more than 2
for NGC 4125 and NGC 7619. The list of the spectroscopic observations is given in Table 2.
Table 2: Log of spectroscopic observation.
In addition, calibration frames (biases, dome flats and the Ne and Cd lamps) were taken. Finally, a number of standard template stars (K- and G-giants) from the list of Worthey et al. (1994) were observed to calibrate our absorption line strengths against the Lick system.
2.2 Data reduction
The data reduction used the MIDAS package provided by ESO. The
pre-process of data reduction was done following
Bender et al. (1994). The raw spectra were bias subtracted,
and divided by the flatfields. The cosmic rays were removed with a
clipping procedure. The wavelength calibration was
performed using 9 to 11 strong Ne and Cd emission lines and a third
order polynomial. The achieved accuracy of the wavelength calibration
is always better than 0.6 Å (rms). The science spectra were
rebinned to a logarithmic wavelength scale.
As discussed in Saglia et al. (2010, Fig. 2#, we also need to correct the anamorphic distortion of the LRS. Using stars that were trailed several times across the slit, we mapped their traces orthogonal to the wavelength direction and corrected all science frames by means of sub-pixel shifting using the mapped distortion. We estimate that after the correction the maximal residual distortion is of the order of 1.2 arcsec.
The step of sky subtraction required particular care to minimize
systematic effects on the measured kinematics and line strengths in
the outer regions of our galaxies. We have to face the following
problems: The HET queue scheduling operations and observing
conditions did not always allow to acquire blank sky spectra after the
science observations (see Table 2).
Moreover variability
in both the atmospheric absorption (due to different air masses and/or
non-photometric conditions) and sky level were present. Finally, not
always a perfectly flat slit illumination was achieved. In order to
account for these problems, we selected the spectra for each galaxy
where a sky spectrum with a uniform slit illumination was available,
and
almost photometric conditions were achieved, yielding the largest
galaxy
counts per pixel. To correct for the inhomogeneous slit illumination,
we produced a 4th to 6th order polynomial model of the sky spectra
for each column in spatial direction and subtracted it from the
selected galaxy frames,
obtaining three reference science frames
- one per galaxy.
In the next step,
we calibrated the atmospheric absorption and sky level of the remaining
galaxy frames Gi using the following procedure. We computed
the fractional residuals between the scaled and the reference slit profiles
and minimized it (see below). Here fiS is the scaling factor of the noise-free (i.e. the polynomial model) sky frame taken after the galaxy frame Gi, when available, or the average of the most uniform sky frames when not. The symbol


In practice, due to the non-uniformity of the slit illumination function the function R(r) is not always zero, but through the summing in Eq. (2) the differences should average out. We can test the quality of the calibration by comparing the profile


![]() |
Figure 1:
Examples of the sky calibration for the major axis spectra of NGC 7619. In the bottom of the figure, the X coordinate is the distance from the galaxy center in arcsec and the Y coordinate is
|
Open with DEXTER |
![]() |
Figure 2: The comparison between the broad band surface brightness profiles (dots) and the ones derived from our summed spectra (lines) for NGC 1600 and NGC 4125. The full line and the filled dots are profiles along the major axes. The dashed line and the open dots show the profiles along the minor axes. |
Open with DEXTER |
The procedure described above removes the differences in the sky continuum, but does not necessarily calibrate correctly the sky emission lines. Therefore, following Saglia et al. (2010) we constructed a separate zero continuum sky emission line spectrum that was scaled and subtracted from the summed spectra. As a final step, the continuum was removed by fitting and dividing by a fourth order polynomial along the wavelength direction.
Finally, in order to gauge the residual systematic errors, we repeated the extraction of the kinematics increasing or decreasing the scale factor for the sky level by the value of the rms difference in the normalized slit illumination function (see upper plot of Fig. 1). The effect on the extracted kinematics is most significant in the case of NGC 1600 and is indicated by the dotted errors in Fig. 3.
3 Kinematics and line indices
3.1 Kinematic profiles
The line-of-sight velocity distributions (LOSVDs) and kinematic parameters were determined from the continuum-removed spectra, rebinned radially to obtain almost constant signal-to-noise ratio, using the Fourier Correlation Quotient (FCQ) method (Bender 1990) with the implementation described in Saglia et al. (2010) that allows for the presence of emission lines. In order to minimize the mismatching, we use the templates from a subset of the stellar spectra library of Vazdekis (1999). This library contains about a thousand synthetic single-stellar-population spectra covering the wavelength range from 4800 to 5470 Å with the resolution of 1.8 Å. We used the library with the age of 1.00 to 17.78 Gyr and the metallicities from -1.68 to 0.2. We first set all of the library spectra to the resolution of our galaxy spectra and find the best fitting template for each radial bin according to the lowest rms value of the residual (reaching typically 1% of the initial flux). If emission lines are detected, Gaussians are fitted to the residuals above the best-fit template and subtracted from the galaxy spectrum to derive cleaned spectra. The kinematic fit is then redone using these cleaned spectra. We detect emission only in the spectra of NGC 4125.
The stellar kinematic profiles of both the major and the minor axes of
NGC 1600, NGC 4125 and NGC 7619 are shown in Fig. 3, where we
show the rotational velocity, the velocity dispersion and the
Gauss-Hermite parameters H3 and H4. The curves are folded with
respect to the center of the galaxies, filled and open symbols stand
for different sides of the galaxies. The
and
are labeled, where the
is the
effective radius and the
is the apparent axial ratio. The
long dashed lines show the instrument dispersion. The solid lines
present the kinematics from the dynamic models (see Sect. 5.2). Table 3 gives format examples
of the measured stellar kinematics with statistical and systematic
errors. The full listing is available electronically.
Also the previous studies of kinematics are shown in the plot. The
circles present the data of this work, the squares show the previous
work of Bender et al. (1994) for NGC 1600 and NGC 4125,
Fisher et al. (1995b) for NGC 7619. As it can be seen from the
figures, the agreement is generally good except for the major axis
data of NGC 1600. In all cases our profiles extend to larger radii and
show less scatter than those of previous investigation. NGC 4125 has
dust and ionized gas aligned along the major axis
(Wiklind et al. 1995; Kim 1989; Bertola et al. 1984).
We also measured the kinematics of ionized gas by fitting Gaussians to
the emission lines of H,
[OIII]
4958, 5007 and
[NI]
5197, 5200. The kinematics of the gas are shown
in Fig. 6. Table 4 gives format examples
of the measured gas kinematics. The full listing is available
electronically.
![]() |
Figure 3: Kinematic parameters along the major ( left) and the minor ( right) axis of our galaxies, the corresponding names are labeled. From bottom to top in each panel we show: (1) rotation velocity; (2) velocity dispersion; (3) and (4) Gauss-Hermite parameters H3 and H4. The solid lines present the kinematic moments from dynamic models (see Sect. 5.2). The doted lines show the systematic uncertainty due to sky subtraction. The curves are folded with respect to the nucleus of the galaxies, filled and open symbols stand for different sides of the galaxies. The squares show the data published in Bender et al. (1994). |
Open with DEXTER |
![]() |
Figure 3: continued. The stellar kinematics of NGC 4125. The squares show the data published in Bender et al. (1994). The solid lines present the kinematics from dynamic models (see Sect. 5.2). |
Open with DEXTER |
![]() |
Figure 3: continued. The stellar kinematics along the major and the minor axes of NGC 7619 is shown; the squares present the measurement of Fisher et al. (1995a). The solid lines present the kinematics of the dynamic models (see details in Sect. 5.2). The long dashed lines indicate the instrumental dispersion. |
Open with DEXTER |
Table 3: Format example of the measured stellar kinematics as a function of distance from the center (positive: east, negative: west) for the different position angles. (The full Table is available electronically).
Table 4: Format example of the measured gas kinematics for NGC 4125 as a function of distance from the center (positive: east, negative: west) for the different position angles. (The full Table is available electronically).
3.2 Line strength indices
Line-strength indices were defined by
Burstein et al. (1984); Worthey et al. (1994) and redefined by
Trager et al. (1998). In this work, the index windows follow
the definition of Trager et al. (1998). For all of our
galaxies, six line strength indices have been measured from the
cleaned spectra along the major and minor axis. Before measuring the
indices, our spectra were degraded to the resolution of Lick/IDS
systems. We then corrected the indices for the velocity dispersion
using template stars and the value for
derived in the
previous section. Finally, the observational data need to be corrected
to the Lick/IDS system. To do this we observed 5 stars from the
Lick/IDS library using the same instrumental configuration used for
the science objects and derived the offsets between our data and the
Lick/IDS system. The comparison of our data with the Lick standard
systems can be found in Fig. 4. The dashed line presents
the 1:1 relation, the solid lines indicate the linear fit the
data. The data are in good agreement with the Lick/IDS systems, as
found in Saglia et al. (2010) using a larger set of Lick
standards observed with LRS and HET at a better resolution. Only for
the H
there is a small, marginally significant offset, possibly
related to a defect column in the CCD (see discussion
in Saglia et al. 2010). The linear relation between indices in
LICK/IDS systems and our measurements are listed in Table 5. We conclude that the deviation between our
measurements and the Lick system can be ignored, but we take into
account the rms of the calibration lines into the final error budget,
by adding it in quadrature to the statistical error of each index.
![]() |
Figure 4: The comparisons between the values for the lines strength indices derived in this work and the standard Lick/IDS indices. The dashed line presents the 1:1 relation, the solid lines indicate the linear relation fit to the data. |
Open with DEXTER |
As in Saglia et al. (2010), we do not consider the molecular indices Mg1 and Mg2 that are affect by inaccurate spectral flatfielding towards the end of the slit, where vignetting becomes important. Figure 5 shows the lines strength indices profiles along the major (left) and minor (right) axis of our three galaxies. The name and position (major axis and minor axis) are labeled in the figure, the asterisks show the measured line strengths as the function of the radii in arcseconds along the major and minor axes, the solid lines show the model predictions (see Sect. 4). Finally, as for the kinematics, we indicate the systematic variations due to sky subtraction with dotted errors. The blue symbols show values from the literature (see below). The agree well with our measurements. Table 6 gives format examples of the measured Lick indices with statistical and systematic errors as a function of distance and position angle, respectively. The full listing is available electronically.
3.3 Comments on individual galaxies
NGC 1600: This is the most distant galaxy of the sample and it is
classified as E3. Our kinematic data extend to 70 arcsec from
the center, almost about four times the radius of
Bender et al. (1994). The kinematic profiles show no
rotation along both axes and high velocity dispersion. The
velocity dispersion shows a steep gradient inside 15 arcsec,
becomes flat along the major axis and even increases along the
minor axis outwards. The galaxy shows a weakly
asymmetric profile of Mgb, Fe5015 and Fe5335 in the outer
part. Moreover, it has low
H
line strength, particularly in the outer parts.
Because accurate measurements of H
always suffer from the contamination of emission lines or sky
lines, we carefully checked the spectra, and no emission lines
or sky lines were detected.
Our instrumental resolution could be too low to detect the weak emission
lines embed in the bandpass or some weak absorption features
of other elements, such as CrI
4885 Å, FeI
4891 Å, set in the pseudo-continuum of H
definition (Korn et al. 2005; Puzia et al. 2005).
NGC 4125: this galaxy shows strong ionized gas emission along
the major axis. The stellar kinematics were measured out to 1.7 on SW side along the major axis and 3.5
on NW side along the minor axis.
As Fig. 3 shows, the kinematic profiles are fairly symmetric,
and show a strong velocity gradient along the major axis; inside
50 arcsec the rotational velocity increases rapidly from 0 to
150 km s-1, remains remains nearly flat out to 100 arcsec, and declines
at larger radii.
Furthermore, it is clear from Fig. 3 that the NGC 4125
shows rotation along the minor axis which could indicate triaxiality
(Bertola et al. 1984), or be the sign of unsettled material left
over from a past merger and visible on images of the galaxy. The
velocity dispersion profile of the stars shows a depression in the
inner 8 arcsec, on both the major and the minor axes. This depression
suggests that there is a colder substructure in the innermost center.
The galaxy presents positive gradients of H
index both along
major axis and minor axis in the center, while it remains flat towards
outer part. The H
profile along major axis exhibits weak
asymmetry.
Compared to the kinematic profiles of the stars, the velocity curves
of the gas along the axes shows stronger gradients, see left panel of
Fig. 6, and presents a maximum of about 240 km s-1 at 10
arcsec. Warm gas has been found already by
Bertola et al. (1983). Our folded gas velocity curve is not
perfectly axisymmetric, but less distorted than what reported there.
Finally, the rotation curve implied by the stellar dynamical modeling
is much higher (300 km s-1) than the measured
velocities. Therefore the gas is not following simple circular motions
and/or is not settled in a regular disk. The gas velocity dispersion
is high in the inner 20 arcsec (
160 km s-1 after correction
for instrumental broadening) and unconstrained at larger radii, where
it is less or comparable to our spectral resolution. Figure 6 shows also the equivalent widths (in Å) of the
emission line H
and the ratios
[NI]
5197,5200/H
and
[OIII]
5007/H
in logarithmic units. The data along the
major and minor axes are shown separately. The
[NI]
5197,5200/H
versus
[OIII]
5007/H
diagnostic diagram are shown at the
bottom of right panel. As it can be seen from the plot, the ratios
[OIII]
5007/H
span the range from 0 to 0.5 and the
ratios [NI]
5197,5200/H
go from -0.5 to 0.0.
According to Sarzi et al. (2010), this is the region driven by
LINER-like emission.
NGC 7619: Our kinematic profiles for NGC 7619 extend to almost 1.6
along the major axis and 2
along the minor axis, further out than previous works, for example
Longhetti et al. (1998); Fisher et al. (1995a) extended only up to
2/3
.
Our data (circles in Fig. 2) agree, within the error, with
the measurement of Fisher et al. (1995a) (squares). From the
kinematic profiles, we see that the velocity dispersion of the galaxy
has a shallow gradient inside 10 arcsec and remains nearly flat towards
large radii. The rotational velocity also remains almost constant from
8 arcsec out to 60 arcsec. Furthermore, slow rotation along the minor axis
reveals that the galaxy is possibly triaxial (Bertola et al. 1984).
Concerning the lines strength profiles, the galaxy shows constant
H
index from the center to the outer regions and it has a steep
Mgb gradient.
4 Stellar populations
4.1 Model and method
In this section, we use the stellar population models of TMB03
to derive the age, total metallicity and element abundance gradients
along the major and minor axes from the measured lines indices of
our galaxies. The TMB03 models cover ages between 1 and 15 Gyr, metallicities between 1/200 and 3.5 solar.
Furthermore, the models take into account the effects on the Lick
indices by the variation of element abundance, hence, give Lick
indices of simple stellar populations not only as the function of age
and metallicity, but also as the function of the /Fe ratio.
The age, total metallicity and element abundance can be derived from a
comparison of selected line strength indices with SSP models TMB03.
The traditional and effective method of studying stellar population
properties uses diagrams of different pairs of Lick indices
(Thomas et al. 2005a). The H
versus [MgFe]' pair
diagram is selected as the best age indicator because H
is
sensitive to warm turnoff stars and [MgFe]' index is considered as
the best detector of metallicity since it does not depend on abundance
ratio variations. Using H
versus [MgFe]' can break the
age-metallicity degeneracy. The
versus Mgb pair usually is considered as the best indicator of the abundance of populations. However, in this study, following
Saglia et al. (2010) we use a simple and perhaps more accurate
method-
minimization:
where index
![$_{i[{\rm ob}]}$](/articles/aa/full_html/2010/08/aa14395-10/img76.png)
![$_{i[{\rm mod}]}$](/articles/aa/full_html/2010/08/aa14395-10/img77.png)
![$\sigma_{i[{\rm ob}]}$](/articles/aa/full_html/2010/08/aa14395-10/img78.png)





4.2 Ages, metallicities and
/Fe ratio profiles
The model predicted lines strength profiles are shown in Fig. 5 with solid lines. The derived quantities (age,
metallicity, element abundance, colors, mass-to-light ratios, and
resulting )
are shown in Fig. 7. Here we average
together every four points to reduce the scatter. The theoretical
lines strength indices match well the measured parameters in the inner
regions of the galaxies, although an acceptable value of
is obtained seldom (see Fig. 7),
possibly indicating a global underestimation of our statistical
errors, or, more probably, the presence of systematic effects. In
particular, in the case of NGC 1600, the large values of
are
mainly driven by the significantly low H
(Fig. 5
and red solid lines in the right bottom panel of Fig. 7). The large values of
in the outer regions
along the minor axis of NGC 4125 are caused by the lower H
strength. In the case of NGC 7619, the large values of
in
the outer parts along both the major and the minor axes are mainly due
to large divergence of Fe5015 (green solid lines). The SSP equivalent
age, metallicity and element abundance ratio along the major and minor
axis of our galaxies are also plotted on the left side of each panel.
In each panel the solid lines indicate the fitting parameter profiles
and the dotted lines show the 1
errors. As it can be seen in
Fig. 7, all the galaxies are [
/Fe]
overabundant,
at the value of 0.25, 0.1 and 0.3 dex for NGC 1600,
NGC 4125 and NGC 7619 respectively. The
/Fe ratios are fairly constant in the
central regions, with hints for a decrease in the outer parts. Table 7 lists the slope of
of our galaxies which were derived by fitting a straight line
to our measured data points.
Table 5: Linear transformation between indices measured by us and in LICK systems.
![]() |
Figure 5: The lines-strength indices along the major ( left) and minor axis ( right). The name of the indices are labeled and the galaxies' names are also noted. The dotted lines show the size of the systematic errors due to sky subtraction. The solid lines show the models (TMB03) predicted lines strength profiles along the axes. The blue open triangles are measurement of Sánchez-Blázquez et al. (2007). |
Open with DEXTER |
![]() |
Figure 5: continued. |
Open with DEXTER |
![]() |
Figure 5: continued. The blue open triangles showing the data taken from Fisher et al. (1995a). |
Open with DEXTER |
Table 6: Format example of the measured Lick indices as a function of distance from the center (positive: east, negative: west) for the different position angles. (The full table is available electronically.)
![]() |
Figure 6:
The gas kinematics both along major and minor axes of
NGC 4125 are shown on the left; open and filled symbols
show different sides of the galaxy. The emission lines (in logarithmic
units) along the major and minor axes of NGC 4125 are
show on the right. From the first row to the third row, we show the H |
Open with DEXTER |
![]() |
Figure 7:
The best fitting SSP equivalent age, metallicity and
element abundance ratio are showed in the left in each
plot. The right top of each plot shows the Johnson
broad band U-B, B-V, V-I colors profiles, the blue and red
solid lines stand for U-B and B-V color respectively;
the black solid lines indicate the V-I color. For
NGC 4125 and NGC 7619 the measured V-I color of
Bender et al. (1989) are shown as dots. In the case of
NGC 1600, the aperture B-V color taken from
(Sandage 1973) are indicated. The M/LBVI are shown in the mid of the right columns,the blue, green and red solid
lines indicate the M/L in the B, V and I band respectively; the red dashed line shows the best-fit dynamical M/L in the I band for NGC 4125 and NGC 7619
and in the R band for NGC 1600; the
minimized |
Open with DEXTER |
![]() |
Figure 7: continued. |
Open with DEXTER |
The nuclear (inside /8) parameters were derived by
Trager et al. (2000b) and Denicoló et al. (2005).
In order to compare
to values available in the literature we calculate the mean
parameters inside
/8. For NGC 1600 and NGC 7619
Trager et al. (2000b) derived the nuclear parameters [age,
Z/H,
/Fe] with [
Gyr,
,
]
and [
Gyr,
,
]
which compare to our value of
[13.1 Gyr
1.1, 0.35
0.03, 0.317
0.001] and
[11.7 Gyr
0.9, 0.25
0.02, 0.284
0.001]
respectively. In the case of NGC 4125,
Denicoló et al. (2005) obtained [age, Z/H,
/Fe] with [
Gyr,
,
0.1] while we find
[10.1 Gyr
0.6,
,
].
4.3 Color and M/L profiles
The Johnson broad band
U-B, U-V, B-V, V-R, V-I, V-K, J-K, J-H, H-Kcolor and M/L ratio in
B, V, R, I, J, H, and K bands profiles were
calculated using the Kroupa initial mass function Kroupa (1995) with the help of the SSP models
(Maraston 1998). For a clear presentation in the figures,
we only show the U-B, B-V and V-I color and the mass to light ratios
in B, V, I band in this papers. On the top right panels in Fig. 7, the blue and red solid lines stand for U-B and B-Vcolor respectively; the black lines indicate the V-I color. For
NGC 4125 and NGC 7619, the measured V-I color are also over plotted with
solid dots. For NGC 1600, unfortunately, we do not have reliable broad
band color profiles and we take the aperture B-V color from
Sandage (1973). As it can be seen from the plots, the
models predicted color profiles agree reasonably well with the
measured colors except for small discrepancies. We note that
Maraston et al. (2009) discuss the limitations of current SSP
models in predicting accurate colors. In particular, the B-V colors of
old (12 Gyr), solar metallicity SSP models are expected to be
-0.09 mag bluer than what used here, while the differences are smaller
for the redder colors. In addition, if our estimated ages are too
small because of the presence of a second younger component
(Serra & Trager 2007),
then the predicted SSP colors would be biased and bluer than they
should. Moreover, SSP models do not account for the presence of
dust, which could be present especially at the centers of our
galaxies. The middle right of Fig. 7 shows the theoretical M/L ratio in
B, V, I bands; the blue and green lines display the M/L ratios in B and
V bands respectively; while the red lines present the I band M/L
ratios. The red long dashed lines show the dynamical
M/L in the I band for NGC 4125 and NGC 7619, and in the R band for NGC 1600
(see Sect. 5).
The minimized
of selected lines strength are
presented in the bottom panel on right, red, blue and green lines
present the minimize
of H
,
Mgb and
Fe5015 respectively; while the black lines show the total
minimized
.
All of the our giant elliptical galaxies show a
red sharp peak, mainly due to metallicity gradients
(Peletier 1989).
5 Line strengths and the local escape velocity
As discussed in the Introduction, we want to exploit the link
that the galaxy formation process has established between the Mgb line
strength and the local escape velocity to constrain the density
profile of dark matter halos in the outer regions of galaxies.
The
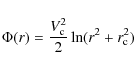
is given by:
and therefore at each radius it is sensitive to the total mass density profile up to very large radii; for example, in the case of a spherical density distribution


where


where z is the line-of-sight. Moreover, having in mind the physical scenario described in the Introduction, where more enrichment in Mgb is achieved if more gas is retained, one would expect the difference




5.1 Dynamical models
We use the axisymmetric Schwarzschild's orbits superposition technique (Schwarzschild 1979) to derive the gravitational potential profiles. Thereby, also the stellar mass-to-light ratio, the internal orbital structure as well as the velocity anisotropy of the galaxies can be determined. Here, we only briefly present the basic steps, details about our implementation of the method are given in Thomas et al. (2005b,2004).
- (1):
- We first determine the luminosity density from the surface brightness profile. The photometric data for the modelling are deprojected into a three-dimensional, axisymmetric distribution with specified inclination using the program of Magorrian (1999).
- (2):
- The total mass distribution of the galaxies consists of the stellar mass density and a dark matter halo:
whereis the stellar mass-to-light ratio, and
is the deprojected stellar luminosity density.
- (3):
- The gravitational
potential
can be derived by integrating Poisson's equation once the total mass profile is obtained. Thousands of orbits are calculated in this fixed potential.
- (4):
- The orbits are superposed to fit the observed LOSVDs,
following the luminosity density constraint. The maximum entropy
technique of Richstone & Tremaine (1988) is used to fit the kinematics
data by maximizing the function:


Table 7:
Line strength and total metallicity gradients:
index/
.
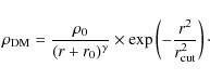
Two different types of dark matter halo distribution were tried to
recover the mass profiles. First, the NFW halo profile
(Navarro et al. 1996):
where




where G is the gravitational constant. The second halo used is the cored logarithmic (LOG) halo profile (Binney & Tremaine 1987), that reads as:
This gives a roughly constant circular velocity


Both the NFW and the LOG potential give divergent mass profiles when integrated to infinity. In our numerical implementation the potential is computed up to 10 effective radii and extrapolated Keplerian at larger radii. In order to investigate further the physical extent of such halos we introduce a cut-off radius

5.2 Model results for NGC 1600, NGC 4125 and NGC 7619
Photometric data: We produced isophotal fits separately on the HST and the ground based images using the code of Bender & Möllenhoff (1987). For NGC 4125 and NGC 7619, the surface brightness profiles consist of HST F814W(I) filter images and SDSS iband images, scaled to I band. The photometric data of NGC 4125 extended to 216 arcsec, about 3.5 times of effective radius. For NGC 7619, the photometric data extended to 167 arcsec, more than 5 times of its effective radius. In the case of NGC 1600, the photometric data came from HST images observed with the F555W(R) filter and scaled to the profile of Peletier et al. (1990). They extend to 200 arcsec, nearly 4.5 times of the effective radius. The photometric data are deprojected into the 3d luminosity distribution using the program of Magorrian (1999). Kinematic data set: The kinematics data both along the major axes and minor axes derived in Sect. 3.1 are used.
We tested models at three different inclinations (i = 70, 80, 90) for our galaxies, the best-fit models for all three galaxies are edge-on (i=90). The dark halo parameters for the best-fit logarithmic halos are given in Table 8. They fit very well to the dark matter determinations of Coma early-type galaxies by Thomas et al. (2009). We also tested dark matter halos following the NFW halo profile, as in Thomas et al. (2005b). The best-fit NFW-halos for NGC 1600, NGC 4125 and NGC 7619 require concentration parameters c = 5, 5.5, 7.5 respectively. The mass-to-light ratios derived with NFW profile are similar to the mass-to-light ratios with logarithmic halo profile. Fig. 7 shows that the mass-to-light ratios derived from the SSP models with a Kroupa IMF are on average 45% lower than the dynamical ones, similarly to Cappellari et al. (2006). A better agreement is achieved if a Salpeter IMF is considered. The comparison with the mass profiles derived from X-ray measurements for NGC 4125 and NGC 7619 (Fukazawa et al. 2006) is good: our total masses within the last kinematic point are just 10% larger than the X-ray ones. For NGC 1600 the discrepancy is larger, with X-ray masses underestimating the stellar kinematics ones by 30 (NFW potential) or 40% (LOG potential).
As a further step, we compute a number of models with varying
from 5 to 10 times effective radii for each galaxy. The
different cut-off radii of the dark matter halos do not have
significant effects on the dynamical parameters (
,
,
), nor the quality of the kinematic fit (see upper panel of
Fig. 8, where the self-consistent model without dark
matter is plotted at
and the model with no cutoff at
kpc), as soon as models with
kpc are
considered. However, they do have an effect, when we also take into
account the correlation Mg
.
Table 8:
Halo circular velocity ,
halo core radius
,
average dark matter density
(within
)
and stellar mass-to-light ratio
(last column: photometric band) for the best-fit dynamical models of
NGC 1600, NGC 4125 and NGC 7619 (no cutoff radius).
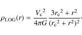
5.3 Mgb, the local escape velocity and the size of dark matter halos
Next we explore the correlation between Mgb and the local escape
velocity by fitting
Mgb and
to a
straight-line, weighted by the errors. We computed errors on
by considering at every point the range of escape velocities allowed
by all models giving
.
According
to Eq. (5) the outer halo-profile has a considerable
effect on
and, hence, on the tightness of the correlation
between
Mgb and
.
Here, we explore shallower
halo profiles than probed by Scott et al. (2009) and use the
correlation between Mgb and
to constrain the size of
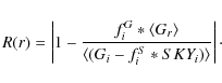
dark matter halos. We define a new parameter
,
given by:
where,




We probed two different radial scalings: (1) correlating the measured
Mgb(r) at radius r with the escape velocity
at
the same radius r; and (2) correlating Mgb with the escape
velocity on the corresponding isophote (i.e. we compare the Mgb
measured at a distance b from the galaxy centre along the minor-axis
with
in the equatorial plane and the Mgb
measured at a distance a from the galaxy centre along the major-axis
with
,
where
is the apparent
flattening of the light-distribution). Scaling (2) gives a smaller
and is discussed in the following. Using the scaling (1), however, gives similar results with respect to the halo core
radii.
The lower panel in Fig. 8 shows
as a
function of the cut-off radius in kpc. The minimum scatter is achieved
for
kpc. This is 4.3 times the effective radii for
NGC 1600, 9.5 times for NGC 4125 and 8.5 times for NGC 7619. Lower cutoff
radii give slightly worse Mg
correlations, but the trend is
significant only in combination with
.
Cutoff radii
larger than 70 kpc have significantly higher
.
As
discussed above, this is driven only by the Mg
correlation.
The Mgb-
correlation with the lowest
is
![]() |
(15) |
(shown in the bottom part of Fig. 9 by the solid line), the corresponding

![]() |
(16) |
(shown by the long dashed-dotted line), the corresponding



![$[Z/H]-V_{\rm esc}$](/articles/aa/full_html/2010/08/aa14395-10/img168.png)

![]() |
Figure 8:
The
|
Open with DEXTER |
Figure 9 indicates that the simple linear relation
between
and
Mgb breaks down in the outer regions
of the galaxies investigated here. There, the measured value of Mgbis much smaller than the linear relation determined in the inner parts
of the galaxies would predict. Due to the relatively low number of
points involved, the bending of the relation does not influence the
result of Fig. 8: the same optimal cut-off radius is found
if we do not consider points with
.
However, this might
be telling something about the formation process of ellipticals. It is
reminiscent of several recent observational and
theoretical findings (van Dokkum et al. 2010, and references therein)
that suggest that the outer stellar envelopes of bright ellipticals
might be the result of later accretion of smaller objects on older
central cores formed in violent collapsing processes at high
redshift. In this case, the metallicity measured in the outer parts
would be set be the (lower) escape velocity of the accreted objects,
and not by the deeper potential well of the final giant elliptical.
![]() |
Figure 9:
The upper panel and bottom panel show the correlation between |
Open with DEXTER |
Figure 10 shows the total density profile derived for
NGC 1600 for the different cases discussed above (self-consistent,
with a logarithmic dark matter halo with or without cut-off, or with a
NFW halo). Clearly, the
correlation allows us to
constrain the outer shape of the total matter density, rather than
delivering a precise determination of the radius where the dark matter
halos terminate. In the next section we discuss this degeneracy in more detail.
![]() |
Figure 10: The total density profile derived for NGC 1600 for the self-consistent model (dot-dashed line), the LOG dark matter halo cut at 60 kpc (full line), the LOG dark matter halo without cutoff (dotted line), and the NFW dark matter halo (dashed line). |
Open with DEXTER |
5.4 The degeneracy between outer halo slope and cut-off radius
A steeper outer halo slope results in less mass in the outer regions and, thus, a lower escape velocity. Likewise, a lower cut-off radius reduces the outer mass and the escape velocity as well. Consequently, a steeper density fall-off in the outer halo region could be partly compensated for by a larger cut-off radius. In the following we investigate this degeneracy quantitatively with spherical test models.
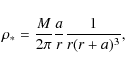
The test models are set up as follows. We assume that the galaxy's
light distribution can be described by a Hernquist sphere (Hernquist 1990). For
simplicity we assume that the mass-to-light ratio equals one in
appropriate units. Then, the stellar mass distribution reads
![]() |
(17) |
where M is the total stellar mass and a is the scaling radius (Hernquist 1990). In the following we use



The four free parameters here are the normalisation




![]() |
(19) |
(Thomas et al. 2007b). Secondly, the halo scaling radius is fixed to

Since the goal is to investigate how much the outer slope is
degenerate with the cut-off radius we first construct an input
escape-velocity profile by fixing the remaining halo parameters
and
to some values, e.g.
and
.
We calculate the corresponding
escape velocity profile
from the total
potential
![]() |
(20) |
where






Can we fit the so constructed escape-velocity profile also if we make
a wrong assumption upon the halo slope? To answer this question, the
slope is reset, e.g.
and the remaining free parameter
is fitted such that the
between the input
escape-velocity profile and the corresponding profile with the new
halo-slope is minimised. Figure 11 shows that for a wide
range of outer halo-slopes - we probed
- the
escape-velocity profile can be reproduced well (with a
). As expected, a steeper halo-slope requires a larger cut-off
radius to compensate for the lowered outer mass-density. Our first
result is therefore that with the given uncertainties on the
escape-velocity there is a large uncertainty in the outer halo-slope
and cut-off radius, related to the degeneracy between the two.
![]() |
Figure 11:
Fitted cut-off radius
|
Open with DEXTER |
In our standard modeling, the halo-slope is
(cf. Eq. (11)). Next we ask how much this assumption can
bias the ``measured'' cut-off radii if the actual halo-slope is
steeper. To this extent we repeated the above analysis for a wide
range of input cut-off radii (
)
and an input slope of
.
The choice of
is driven by the fact that pure dark matter cosmological N-body
simulations predict a halo profile close to Eq. (9),
i.e.
.
For each input model, we determined the 68%
confidence region that would result under the assumption of
.
Fig. 12 shows that cut-off radii reconstructed with
are always too small - as already discussed above. The
figure also shows that if the true cut-off radius is increased by a
factor of four, the reconstructed one (with
)
increases only
by factor of two. In other words, if the steepness of the halo density
profile is underestimated then (1) the cut-off radii are biased too
low and (2) a relatively small uncertainty in the ``measured''
- obtained under the assumption of a
- may
correspond to a relatively large uncertainty in the true cut-off radii if
the real value of
is significantly larger than two.
![]() |
Figure 12:
Reconstructed halo cut-off radii (assuming an outer halo-slope |
Open with DEXTER |
6 Discussion and summary
Accurate kinematic profiles extending out to 1.5 to 2
along the
major and minor axis for the three giant elliptical galaxies NGC 1600,
NGC 4125 and NGC 7169 have been measured, together with 6 lines
strength Lick indices. For NGC 4125 we also detected gas emission
along the major axis and measured its kinematics and equivalent width
strength. From the comparison of the
[NI]
5197,5200/H
vs. [OIII]
5007/H
diagnostic diagram to the previous work, we concluded that the
emission region is probably caused by LINER-like emission.
With the help of the SSP models, we derived the stellar population parameters, the M/L ratios and the broad band colors of our galaxies. We found the galaxies NGC 1600 and NGC 7619 have high metallicities, in contrast, the galaxy NGC 4125 is just slightly above solar metallicity. The three objects have significant metallicity gradients. All of the galaxies are overabundant, NGC 4125 just by 0.1 dex, and do not have significant gradients of element abundances along the axes. These galaxies have sharp red peaks at the center, reflecting the steep change of metallicity and in agreement with the models predicted color profiles.
According to the simple element enrichment scenario, the elements are mainly delivered by type II supernovae explosions of
massive progenitor stars, and a substantial fraction of Fe peak
elements come from the delayed exploding type Ia supernovae
(Thielemann et al. 1996; Nomoto et al. 1984). Thus the
/Fe
can be used as an indicator to constrain the formation timescale of
stars. Hence the absence of radial variations of
/Fe ratio in
our galaxies likely suggests that there is no radial variation of star
formation time scales. The radial metallicity and lines strength
gradients give one of the most stringent constraints on the galaxy
formation. The galaxies that form monolithically have steeper
gradients and the galaxies that undergo major mergers have shallower
gradients. The mean metallicity gradients for non-merger and merger
galaxies derived by theoretical simulation in
Kobayashi (2004) are
[Z/H]/
log(r)
and
,
respectively. The author
found that the galaxies with gradients steeper than -0.35 are all
non-major merger galaxies. As it can be seen from Table 7 the gradients
of
our galaxies are compatible with numerical simulations. At face
value, there is a weak indication that NGC 1600 and NGC 7619 were formed
through a monolithic collapse process, while NGC 4125 was shaped via a
(recent) major merger as also indicated by minor-axis rotation, the
presence of gas, young central stellar ages, just mild
/Fe-overabundance and the unrelaxed appearance of the outer
stellar envelope.
Using the axisymmetric Schwarzschild's orbits superposition technique
(Schwarzschild 1979) with and without dark halos, we derived
the local escape velocity of these galaxies. From the correlation
between Mgb, and the local escape velocity, we further
confirmed the suggestion of Franx & Illingworth (1990) that
metallicity and lines strength are a function of local escape
velocity. Moreover, we considered models with logarithmic dark matter
halos of different sizes. The best fitting Mgb-
relation
comes from models which cut off the logarithmic halo at 60 kpc.
Similar cut-off radii are obtained when using the correlation
between [Z/H] and
,
but the scatter in this relation is
larger, because it also depends on the stellar population age (see
also Scott et al. 2009). We find that - at a given
escape velocity - the youngest of our galaxies, NGC 4125, is also the
most metal-rich one, which could be explained within a merger scenario
as star formation from enriched material.
Our cut-off radii agree with the lensing analysis of cluster galaxies by Halkola et al. (2007) but not with the results from X-rays and strong-lensing (Koopmans et al. 2009; Humphrey & Buote 2010). Larger cut-off radii are compatible with the data if dark matter halos with steeper outer density profiles are considered.
We discover deviations from a linear correlation between log
Mgb and
in the outer parts of our galaxies, where
the measured Mgb are lower than predicted by the extrapolation
from the correlation further inside. The physical link between
and Mgb is established at the main time of star
formation activity of the galaxy. Dry mergers happening after this
episode will increase
without increasing Mgb.
Hydrodynamical cosmological simulations by Naab et al. (2009)
indicate that the outer parts of massive ellipticals (beyond
)
might be dominated by stars which were born in low-mass
halos and accreted by frequent minor mergers. If this would be the
dominant process for the formation of the outer parts of giant
ellipticals one would expect such a break-down of the linear
correlation between
Mgb and
as observed,
because the outer Mgb would come from stars which were formed
in small halos with low
(and accordingly low Mgb).
We plan to further investigate the connection between line strengths and dark matter halos with a more extended galaxy sample.
AcknowledgementsWe specially thank the McDonald Observatory for performing the observations with Hobby-Eberly Telescope (HET) in service mode. The HET is a joint project of the University of Texas at Austin, the Pennsylvania State University, Stanford University, Ludwig-Maximilians-Universität München, and Georg-August-Universität Göttingen. The HET is named in honor of its principal benefactors, William P. Hobby and Robert E. Eberly''. The Marcario Low Resolution Spectrograph is named for Mike Marcario of High Lonesome Optics who fabricated several optics for the instrument but died before its completion. The LRS is a joint project of the Hobby-Eberly Telescope partnership and the Instituto de Astronomía de la Universidad Nacional Autónoma de México. This work was in part supported by the Chinese National Science Foundation (Grant No. 10821061) and the National Basic Research Program of China (Grant No. 2007CB815406). We also gratefully acknowledge the Chinese Academy of Sciences and Max-Planck-Institut für extraterrestrische Physik that partially supported this work. Z.Han thanks the support of the Chinese Academy of Sciences (Grant No. KJCX2-YW-T24). Finally, we thank the referee, Paolo Serra, for a constructive report.
References
- Barnes, J. E. 1992, ApJ, 393, 484 [NASA ADS] [CrossRef] [Google Scholar]
- Barnes, T. G., & Ramsey, L. W. 1998, in BAAS, 30, 1285 [Google Scholar]
- Bender, R. 1990, A&A, 229, 441 [NASA ADS] [Google Scholar]
- Bender, R., & Möllenhoff, C. 1987, A&A, 117, 71 [NASA ADS] [Google Scholar]
- Bender, R., & Surma, P. 1992, A&A, 258, 250 [NASA ADS] [Google Scholar]
- Bender, R., Surma, P., Doebereiner, S., Moellenhoff, C., & Madejsky, R. 1989, A&A, 217, 35 [NASA ADS] [Google Scholar]
- Bender, R., Burstein, D., & Faber, S. M. 1992, ApJ, 399, 462 [NASA ADS] [CrossRef] [Google Scholar]
- Bender, R., Burstein, D., & Faber, S. M. 1993, ApJ, 411, 153 [NASA ADS] [CrossRef] [Google Scholar]
- Bender, R., Saglia, R. P., & Gerhard, O. E. 1994, MNRAS, 269, 785 [NASA ADS] [CrossRef] [Google Scholar]
- Bender, R., Saglia, R. P., Ziegler, B., et al. 1998, ApJ, 493, 529 [NASA ADS] [CrossRef] [Google Scholar]
- Bernardi, M., Nichol, R. C., Sheth, R. K., Miller, C. J., & Brinkmann, J. 2006, AJ, 131, 1288 [NASA ADS] [CrossRef] [Google Scholar]
- Bertola, F., Bettoni, D., & Capaccioli, M. 1983, in Internal Kinematics and Dynamics of Galaxies, ed. E. Athanassoula, IAU Symp., 100, 311 [Google Scholar]
- Bertola, F., Bettoni, D., Rusconi, L., & Sedmak, G. 1984, AJ, 89, 356 [Google Scholar]
- Binney, J., & Tremaine, S. 1987, Galactic dynamics [Google Scholar]
- Bower, R. G., Lucey, J. R., & Ellis, R. S. 1992, MNRAS, 254, 601 [NASA ADS] [CrossRef] [Google Scholar]
- Bridges, T., Gebhardt, K., Sharples, R., et al. 2006, MNRAS, 373, 157 [NASA ADS] [CrossRef] [Google Scholar]
- Burstein, D., Faber, S. M., Gaskell, C. M., & Krumm, N. 1984, ApJ, 287, 586 [NASA ADS] [CrossRef] [Google Scholar]
- Cappellari, M., Bacon, R., Bureau, M., et al. 2006, MNRAS, 366, 1126 [NASA ADS] [CrossRef] [Google Scholar]
- Clemens, M. S., Bressan, A., Nikolic, B., et al. 2006, MNRAS, 370, 702 [NASA ADS] [CrossRef] [Google Scholar]
- Collobert, M., Sarzi, M., Davies, R. L., Kuntschner, H., & Colless, M. 2006, MNRAS, 370, 1213 [NASA ADS] [CrossRef] [Google Scholar]
- Condon, J. J., Yin, Q. F., Thuan, T. X., & Boller, T. 1998, AJ, 116, 2682 [NASA ADS] [CrossRef] [Google Scholar]
- Davies, R. L., Sadler, E. M., & Peletier, R. F. 1993, MNRAS, 262, 650 [NASA ADS] [Google Scholar]
- Denicoló, G., Terlevich, R., Terlevich, E., Forbes, D. A., & Terlevich, A. 2005, MNRAS, 358, 813 [NASA ADS] [CrossRef] [Google Scholar]
- Djorgovski, S., & Davis, M. 1987, ApJ, 313, 59 [Google Scholar]
- Dressler, A., Lynden-Bell, D., Burstein, D., et al. 1987, ApJ, 313, 42 [NASA ADS] [CrossRef] [Google Scholar]
- Faber, S. M., Wegner, G., Burstein, D., et al. 1989, ApJS, 69, 763 [NASA ADS] [CrossRef] [Google Scholar]
- Fisher, D., Franx, M., & Illingworth, G. 1995a, ApJ, 448, 119 [NASA ADS] [CrossRef] [Google Scholar]
- Fisher, D., Illingworth, G., & Franx, M. 1995b, ApJ, 438, 539 [NASA ADS] [CrossRef] [Google Scholar]
- Franx, M., & Illingworth, G. 1990, ApJ, 359, L41 [NASA ADS] [CrossRef] [Google Scholar]
- Fukazawa, Y., Botoya-Nonesa, J. G., Pu, J., Ohto, A., & Kawano, N. 2006, ApJ, 636, 698 [NASA ADS] [CrossRef] [Google Scholar]
- Gerhard, O., Kronawitter, A., Saglia, R. P., & Bender, R. 2001, AJ, 121, 1936 [NASA ADS] [CrossRef] [Google Scholar]
- Goudfrooij, P., Hansen, L., Jorgensen, H. E., & Norgaard-Nielsen, H. U. 1994, A&AS, 105, 341 [NASA ADS] [Google Scholar]
- Halkola, A., Seitz, S., & Pannella, M. 2007, ApJ, 656, 739 [NASA ADS] [CrossRef] [Google Scholar]
- Hernquist, L. 1990, ApJ, 356, 359 [NASA ADS] [CrossRef] [Google Scholar]
- Hill, G. J., MacQueen, P. J., Nicklas, H., et al. 1998, in BAAS, 30, 1262 [Google Scholar]
- Humphrey, P., & Buote, D. 2010, MNRAS, 403, 2143 [NASA ADS] [CrossRef] [Google Scholar]
- Kauffmann, G., White, S. D. M., & Guiderdoni, B. 1993, MNRAS, 264, 201 [NASA ADS] [CrossRef] [Google Scholar]
- Kim, D.-W. 1989, ApJ, 346, 653 [NASA ADS] [CrossRef] [Google Scholar]
- Kobayashi, C. 2004, MNRAS, 347, 740 [NASA ADS] [CrossRef] [Google Scholar]
- Kodama, T., & Arimoto, N. 1997, A&A, 320, 41 [NASA ADS] [Google Scholar]
- Koopmans, L. V. E., Bolton, A., Treu, T., et al. 2009, ApJ, 703, L51 [NASA ADS] [CrossRef] [Google Scholar]
- Korn, A. J., Maraston, C., & Thomas, D. 2005, A&A, 438, 685 [NASA ADS] [CrossRef] [EDP Sciences] [Google Scholar]
- Kroupa, P. 1995, ApJ, 453, 350 [NASA ADS] [CrossRef] [Google Scholar]
- Kuntschner, H. 2000, MNRAS, 315, 184 [NASA ADS] [CrossRef] [Google Scholar]
- Larson, R. B. 1975, MNRAS, 173, 671 [NASA ADS] [CrossRef] [Google Scholar]
- Larson, R. B. 1976, MNRAS, 176, 31 [NASA ADS] [CrossRef] [Google Scholar]
- Li, Z., Han, Z., & Zhang, F. 2007, A&A, 464, 853 [NASA ADS] [CrossRef] [EDP Sciences] [Google Scholar]
- Longhetti, M., Rampazzo, R., Bressan, A., & Chiosi, C. 1998, A&AS, 130, 267 [Google Scholar]
- Longhetti, M., Bressan, A., Chiosi, C., & Rampazzo, R. 2000, A&A, 353, 917 [NASA ADS] [Google Scholar]
- Magorrian, J. 1999, MNRAS, 302, 530 [NASA ADS] [CrossRef] [Google Scholar]
- Maraston, C. 1998, MNRAS, 300, 872 [NASA ADS] [CrossRef] [Google Scholar]
- Maraston, C., Strömbäck, G., Thomas, D., Wake, D. A., & Nichol, R. C. 2009, MNRAS, 394, L107 [NASA ADS] [CrossRef] [Google Scholar]
- Matkovic, A., Guzmán, R., Sánchez-Blázquez, P., et al. 2009, ApJ, 691, 1862 [NASA ADS] [CrossRef] [Google Scholar]
- Mehlert, D., Saglia, R. P., Bender, R., & Wegner, G. 1998, A&A, 332, 33 [NASA ADS] [Google Scholar]
- Morelli, L., Halliday, C., Corsini, E. M., et al. 2004, MNRAS, 354, 753 [NASA ADS] [CrossRef] [Google Scholar]
- Naab, T., Johansson, P. H., & Ostriker, J. P. 2009, ApJ, 699, L178 [NASA ADS] [CrossRef] [Google Scholar]
- Napolitano, N. R., Romanowsky, A. J., Coccato, L., et al. 2009, MNRAS, 393, 329 [NASA ADS] [CrossRef] [Google Scholar]
- Navarro, J. F., Frenk, C. S., & White, S. D. M. 1996, ApJ, 462, 563 [NASA ADS] [CrossRef] [Google Scholar]
- Nieto, J.-L., & Bender, R. 1989, A&A, 215, 266 [NASA ADS] [Google Scholar]
- Nomoto, K., Thielemann, F.-K., & Yokoi, K. 1984, ApJ, 286, 644 [Google Scholar]
- O'Sullivan, E., Forbes, D. A., & Ponman, T. J. 2001, MNRAS, 328, 461 [NASA ADS] [CrossRef] [Google Scholar]
- Peletier, R. F. 1989, Ph.D. Thesis, University of Groningen, The Netherlands [Google Scholar]
- Peletier, R. F., Davies, R. L., Illingworth, G. D., Davis, L. E., & Cawson, M. 1990, AJ, 100, 1091 [NASA ADS] [CrossRef] [Google Scholar]
- Puzia, T. H., Kissler-Patig, M., Thomas, D., et al. 2005, A&A, 439, 997 [NASA ADS] [CrossRef] [EDP Sciences] [Google Scholar]
- Rembold, S. B., Pastoriza, M. G., Ducati, J. R., Rubio, M., & Roth, M. 2002, A&A, 391, 531 [NASA ADS] [CrossRef] [EDP Sciences] [Google Scholar]
- Richstone, D. O., & Tremaine, S. 1988, ApJ, 327, 82 [NASA ADS] [CrossRef] [Google Scholar]
- Rogers, B., Ferreras, I., Pasquali, A., et al. 2010, MNRAS, 387 [Google Scholar]
- Saglia, R. P., Bender, R., & Dressler, A. 1993, A&A, 279, 75 [NASA ADS] [Google Scholar]
- Saglia, R. P., Fabricius, M., Bender, R., et al. 2010, A&A, 509, 61 [Google Scholar]
- Sánchez-Blázquez, P., Forbes, D. A., Strader, J., Brodie, J., & Proctor, R. 2007, MNRAS, 377, 759 [NASA ADS] [CrossRef] [Google Scholar]
- Sánchez-Blázquez, P., Jablonka, P., Noll, S., et al. 2009, A&A, 499, 47 [NASA ADS] [CrossRef] [EDP Sciences] [Google Scholar]
- Sandage, A. 1973, ApJ, 183, 711 [NASA ADS] [CrossRef] [Google Scholar]
- Sarzi, M., Shields, J. C., Schawinski, K., et al. 2010, MNRAS, 402, 2187 [NASA ADS] [CrossRef] [Google Scholar]
- Schwarzschild, M. 1979, ApJ, 232, 236 [NASA ADS] [CrossRef] [Google Scholar]
- Scott, N., Cappellari, M., Davies, R. L., et al. 2009, MNRAS, 398, 1835 [NASA ADS] [CrossRef] [Google Scholar]
- Serra, P., & Trager, S. C. 2007, MNRAS, 374, 769 [NASA ADS] [CrossRef] [Google Scholar]
- Shetrone, M., Cornell, M. E., Fowler, J. R., et al. 2007, PASP, 119, 556 [NASA ADS] [CrossRef] [Google Scholar]
- Tantalo, R., Chiosi, C., Bressan, A., & Fagotto, F. 1996, A&A, 311, 361 [NASA ADS] [Google Scholar]
- Tantalo, R., Chiosi, C., & Bressan, A. 1998, A&A, 333, 419 [NASA ADS] [Google Scholar]
- Terlevich, A. I., & Forbes, D. A. 2002, MNRAS, 330, 547 [NASA ADS] [CrossRef] [Google Scholar]
- Thielemann, F.-K., Nomoto, K., & Hashimoto, M.-A. 1996, ApJ, 460, 408 [NASA ADS] [CrossRef] [Google Scholar]
- Thomas, D. 1999, MNRAS, 306, 655 [NASA ADS] [CrossRef] [Google Scholar]
- Thomas, D., Maraston, C., & Bender, R. 2003, MNRAS, 339, 897 [NASA ADS] [CrossRef] [Google Scholar]
- Thomas, J., Saglia, R. P., Bender, R., et al. 2004, MNRAS, 353, 391 [NASA ADS] [CrossRef] [Google Scholar]
- Thomas, D., Maraston, C., Bender, R., & Mendes de Oliveira, C. 2005a, ApJ, 621, 673 [NASA ADS] [CrossRef] [Google Scholar]
- Thomas, J., Saglia, R. P., Bender, R., et al. 2005b, MNRAS, 360, 1355 [NASA ADS] [CrossRef] [Google Scholar]
- Thomas, J., Jesseit, R., Naab, T., Saglia, R. P., Burkert, A., & Bender, R. 2007a, MNRAS, 381, 1672 [NASA ADS] [CrossRef] [Google Scholar]
- Thomas, J., Saglia, R. P., Bender, R., et al. 2007b, MNRAS, 382, 657 [NASA ADS] [CrossRef] [Google Scholar]
- Thomas, J., Saglia, R. P., Bender, R., et al. 2009, ApJ, 691, 770 [NASA ADS] [CrossRef] [Google Scholar]
- Tinsley, B. M. 1972, ApJ, 178, 319 [NASA ADS] [CrossRef] [Google Scholar]
- Tinsley, B. M. 1980, Fundamentals of Cosmic Physics, 5, 287 [Google Scholar]
- Trager, S. C., Worthey, G., Faber, S. M., Burstein, D., & Gonzalez, J. J. 1998, ApJS, 116, 1 [NASA ADS] [CrossRef] [MathSciNet] [Google Scholar]
- Trager, S. C., Faber, S. M., Worthey, G., & González, J. J. 2000a, AJ, 119, 165 [NASA ADS] [CrossRef] [Google Scholar]
- Trager, S. C., Faber, S. M., Worthey, G., & González, J. J. 2000b, AJ, 119, 1645 [NASA ADS] [CrossRef] [Google Scholar]
- Trager, S. C., Faber, S. M., & Dressler, A. 2008, MNRAS, 386, 715 [NASA ADS] [CrossRef] [Google Scholar]
- van Dokkum, P., Whitaker, K., Brammer, G., et al. 2010, ApJ, 709, 1018 [NASA ADS] [CrossRef] [Google Scholar]
- Vazdekis, A. 1999, ApJ, 513, 224 [NASA ADS] [CrossRef] [Google Scholar]
- Weijmans, A., Cappellari, M., Bacon, R., et al. 2009, MNRAS, 398, 561 [NASA ADS] [CrossRef] [Google Scholar]
- White, S. D. M. 1980, MNRAS, 191, 1P [NASA ADS] [CrossRef] [Google Scholar]
- White, S. D. M., & Rees, M. J. 1978, MNRAS, 183, 341 [NASA ADS] [CrossRef] [Google Scholar]
- Wiklind, T., Combes, F., & Henkel, C. 1995, A&A, 297, 643 [NASA ADS] [Google Scholar]
- Worthey, G. 1994, ApJS, 95, 107 [NASA ADS] [CrossRef] [Google Scholar]
- Worthey, G., Faber, S. M., Gonzalez, J. J., & Burstein, D. 1994, ApJS, 94, 687 [NASA ADS] [CrossRef] [Google Scholar]
- Ziegler, B. L., & Bender, R. 1997, MNRAS, 291, 527 [NASA ADS] [CrossRef] [Google Scholar]
Footnotes
- ... profile
- Full Tables 3, 4, 6 are only available in electronic form at the CDS via anonymous ftp to cdsarc.u-strasbg.fr (130.79.128.5) or via http://cdsweb.u-strasbg.fr/cgi-bin/qcat?J/A+A/516/A4
- ... sides
- For NGC 4125 and 7619: The filled symbols show the kinematic profiles on south-west (SW) (receding) side along the major axis and north-west (NW) (approaching) side along the minor axis. For NGC 1600: The open symbols show the kinematic profiles on the north-east (NE) approaching side along the major axis and south-east (SE) side along the minor axis.
All Tables
Table 1: List of the morphological classifications, B band luminosity, luminosity distance, receding velocity and effective radius of NGC 1600, NGC 4125 and NGC 7619.
Table 2: Log of spectroscopic observation.
Table 3: Format example of the measured stellar kinematics as a function of distance from the center (positive: east, negative: west) for the different position angles. (The full Table is available electronically).
Table 4: Format example of the measured gas kinematics for NGC 4125 as a function of distance from the center (positive: east, negative: west) for the different position angles. (The full Table is available electronically).
Table 5: Linear transformation between indices measured by us and in LICK systems.
Table 6: Format example of the measured Lick indices as a function of distance from the center (positive: east, negative: west) for the different position angles. (The full table is available electronically.)
Table 7:
Line strength and total metallicity gradients:
index/
.
Table 8:
Halo circular velocity ,
halo core radius
,
average dark matter density
(within
)
and stellar mass-to-light ratio
(last column: photometric band) for the best-fit dynamical models of
NGC 1600, NGC 4125 and NGC 7619 (no cutoff radius).
All Figures
![]() |
Figure 1:
Examples of the sky calibration for the major axis spectra of NGC 7619. In the bottom of the figure, the X coordinate is the distance from the galaxy center in arcsec and the Y coordinate is
|
Open with DEXTER | |
In the text |
![]() |
Figure 2: The comparison between the broad band surface brightness profiles (dots) and the ones derived from our summed spectra (lines) for NGC 1600 and NGC 4125. The full line and the filled dots are profiles along the major axes. The dashed line and the open dots show the profiles along the minor axes. |
Open with DEXTER | |
In the text |
![]() |
Figure 3: Kinematic parameters along the major ( left) and the minor ( right) axis of our galaxies, the corresponding names are labeled. From bottom to top in each panel we show: (1) rotation velocity; (2) velocity dispersion; (3) and (4) Gauss-Hermite parameters H3 and H4. The solid lines present the kinematic moments from dynamic models (see Sect. 5.2). The doted lines show the systematic uncertainty due to sky subtraction. The curves are folded with respect to the nucleus of the galaxies, filled and open symbols stand for different sides of the galaxies. The squares show the data published in Bender et al. (1994). |
Open with DEXTER | |
In the text |
![]() |
Figure 3: continued. The stellar kinematics of NGC 4125. The squares show the data published in Bender et al. (1994). The solid lines present the kinematics from dynamic models (see Sect. 5.2). |
Open with DEXTER | |
In the text |
![]() |
Figure 3: continued. The stellar kinematics along the major and the minor axes of NGC 7619 is shown; the squares present the measurement of Fisher et al. (1995a). The solid lines present the kinematics of the dynamic models (see details in Sect. 5.2). The long dashed lines indicate the instrumental dispersion. |
Open with DEXTER | |
In the text |
![]() |
Figure 4: The comparisons between the values for the lines strength indices derived in this work and the standard Lick/IDS indices. The dashed line presents the 1:1 relation, the solid lines indicate the linear relation fit to the data. |
Open with DEXTER | |
In the text |
![]() |
Figure 5: The lines-strength indices along the major ( left) and minor axis ( right). The name of the indices are labeled and the galaxies' names are also noted. The dotted lines show the size of the systematic errors due to sky subtraction. The solid lines show the models (TMB03) predicted lines strength profiles along the axes. The blue open triangles are measurement of Sánchez-Blázquez et al. (2007). |
Open with DEXTER | |
In the text |
![]() |
Figure 5: continued. |
Open with DEXTER | |
In the text |
![]() |
Figure 5: continued. The blue open triangles showing the data taken from Fisher et al. (1995a). |
Open with DEXTER | |
In the text |
![]() |
Figure 6:
The gas kinematics both along major and minor axes of
NGC 4125 are shown on the left; open and filled symbols
show different sides of the galaxy. The emission lines (in logarithmic
units) along the major and minor axes of NGC 4125 are
show on the right. From the first row to the third row, we show the H |
Open with DEXTER | |
In the text |
![]() |
Figure 7:
The best fitting SSP equivalent age, metallicity and
element abundance ratio are showed in the left in each
plot. The right top of each plot shows the Johnson
broad band U-B, B-V, V-I colors profiles, the blue and red
solid lines stand for U-B and B-V color respectively;
the black solid lines indicate the V-I color. For
NGC 4125 and NGC 7619 the measured V-I color of
Bender et al. (1989) are shown as dots. In the case of
NGC 1600, the aperture B-V color taken from
(Sandage 1973) are indicated. The M/LBVI are shown in the mid of the right columns,the blue, green and red solid
lines indicate the M/L in the B, V and I band respectively; the red dashed line shows the best-fit dynamical M/L in the I band for NGC 4125 and NGC 7619
and in the R band for NGC 1600; the
minimized |
Open with DEXTER | |
In the text |
![]() |
Figure 7: continued. |
Open with DEXTER | |
In the text |
![]() |
Figure 8:
The
|
Open with DEXTER | |
In the text |
![]() |
Figure 9:
The upper panel and bottom panel show the correlation between |
Open with DEXTER | |
In the text |
![]() |
Figure 10: The total density profile derived for NGC 1600 for the self-consistent model (dot-dashed line), the LOG dark matter halo cut at 60 kpc (full line), the LOG dark matter halo without cutoff (dotted line), and the NFW dark matter halo (dashed line). |
Open with DEXTER | |
In the text |
![]() |
Figure 11:
Fitted cut-off radius
|
Open with DEXTER | |
In the text |
![]() |
Figure 12:
Reconstructed halo cut-off radii (assuming an outer halo-slope |
Open with DEXTER | |
In the text |
Copyright ESO 2010
Current usage metrics show cumulative count of Article Views (full-text article views including HTML views, PDF and ePub downloads, according to the available data) and Abstracts Views on Vision4Press platform.
Data correspond to usage on the plateform after 2015. The current usage metrics is available 48-96 hours after online publication and is updated daily on week days.
Initial download of the metrics may take a while.