Issue |
A&A
Volume 516, June-July 2010
|
|
---|---|---|
Article Number | A90 | |
Number of page(s) | 6 | |
Section | Astronomical instrumentation | |
DOI | https://doi.org/10.1051/0004-6361/201014413 | |
Published online | 20 July 2010 |
Atmospheric image blur with finite outer scale or partial adaptive correction
P. Martinez1 - J. Kolb1 - A. Tokovinin2 - M. Sarazin1
1 - European Southern Observatory, Karl-Schwarzschild-Strasse 2, 85748 Garching, Germany
2 - Cerro-Tololo Inter American Observatory, Casilla 603, La Serena, Chile
Received 12 March 2010 / Accepted 22 March 2010
Abstract
Context. Seeing-limited resolution in large telescopes
operating over wide wavelength ranges depends substantially on the
turbulence outer scale and cannot be adequately described by one seeing
value.
Aims. This study attempts to clarify frequent confusions between
seeing and the full-width at half-maximum of long-exposure images in
large telescopes, also often called delivered image quality.
Methods. We study the effects at the focus of a telescope of
finite turbulence outer scale and partial adaptive corrections, both
corresponding to a reduction in the low-frequency content of the phase
perturbation spectrum, by means of analytical calculations and
numerical simulations.
Results. If a von Kàrmàn turbulence model is adopted, a simple
approximate formula predicts the dependence of atmospheric
long-exposure resolution on the outer scale over the entire practically
interesting range of telescope diameters and wavelengths. In the
infrared (IR), the difference from the standard Kolmogorov seeing
formula can exceed a factor of two. We find that a low-order adaptive
turbulence correction produces residual wavefronts effectively of small
outer scale, so even a very low compensation order leads to a
substantial improvement in resolution over seeing, compared to the
standard theory.
Conclusions. Seeing-limited resolution of large telescopes,
especially in the IR, is currently under estimated by not accounting
for the outer scale. On the other hand, adaptive-optics systems
optimized for diffraction-limited imaging in the IR can improve the
resolution in the visible by as much as a factor of two.
Key words: techniques: high angular resolution - instrumentation: high angular resolution - telescopes
1 Introduction
Image blur of astronomical objects caused by terrestrial atmosphere is
traditionally called ``seeing''. In the 2nd half of the 20th century
this phenomenon was understood and quantified (Young 1974). This
understanding was based on considering the distorted wavefronts as a
random stationary process with a power-law spectrum - the
Kolmogorov-Obukhov model (Roddier 1981; Tatarskii 1961). This theory describes the shape of
the atmospheric long-exposure point spread function (PSF) and many
other phenomena by a single parameter, e.g; the Fried's coherence
radius r0 (Fried 1966). The theory predicts the dependence of the PSF
full-width at half maximum (FWHM)
on wavelength
and r0 to be
In this paper, we assume that r0 and




The success of this theory led most people to believe that the atmospheric
parameters r0 or
actually exist and can be measured
to high accuracy, given adequate means. The match between
real physical quantities such as PSF or various statistical estimates of
distorted wavefronts to the Kolmogorov-Obukhov theory varies from
very good to poor, but it is never perfect. The concept of seeing
becomes questionable if we push it too far.
The physics of turbulence implies that the spatial power spectral
density (PSD) of phase distortions
(
is
the spatial frequency in m-1) deviates from the pure power law at
low frequencies. A popular von Kàrmàn (vK) turbulence model
(Ziad et al. 2000; Conan 2000; Tatarskii 1961) introduces an additional
parameter, the outer scale L0
Equation (2) is the definition of L0. The Kolmogorov model corresponds to

It remains an open question whether wavefront statistics actually correspond to Eq. (2). Proving the vK model experimentally would be a difficult and eventually futile goal because large-scale wavefront perturbations are anything but stationary. However, it is firmly established that the phase spectrum does deviate from a power law (Ziad et al. 2000; Tokovinin et al. 2007). Equation (2) with an additional parameter L0 provides a useful first-order description of this behavior. Existing experimental data on L0 are interpreted here in this sense.
In this paper, we study the modifications of Eq. (1) implied by the finite outer scale. Our analytical calculations are confirmed by extensive numerical simulations. We show that for finite L0 the atmospheric FWHM becomes smaller than predicted by Eq. (1), and that this difference can be substantial. The practical consequences for operation of large telescopes are discussed. The lack of low-frequency power is typical not only for the vK turbulence, but also for partially corrected wave-fronts resulting, e.g., from tip-tilt compensation (fast guiding) or low-order adaptive-optics (AO) correction. This correction leads to a small effective L0. We apply the same analytical treatment to this case and study the shrinking of the PSF halo under partial AO compensation.
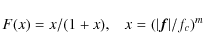
2 Analytical treatment
The calculation of the long-exposure PSF is performed by multiplying the
telescope optical transfer function (OTF) by an additional term, the
atmospheric OTF
where




The analytic expression for the phase structure function in the von
Kàrmàn model can be found in Conan (2000), Consortini et al. (1972), and Tokovinin (2002).
For infinite L0, it transforms into
.
Figure 1 (top) plots the SFs for Kolmogorov and vK models with the same r0. In the latter case, the SF saturates at r > L0, reaching asymptotically the level 0.17 (L0/r0)5/3. It reaches half-saturation at r = 0.17 L0. The Kolmogorov SF with the same r0 crosses the vK saturation level at r = 0.109 L0. This tells us that the effect of a finite outer scale is strong at distances much shorter than L0, and that it would be misleading to compare L0directly with the telescope diameter.
Putting the vK SF into Eq. (3), we find that for finite
L0,
does not go to zero at large arguments,
therefore its inverse Fourier transform (the PSF) formally does not
exist. However, when
this level is small and
can be neglected. In Fig. 1 (bottom), we compare the PSF profiles
for different values of L0/r0, including
.
A first-order approximation of the FWHM of atmospheric PSFs (
) under vK turbulence was
proposed by Tokovinin (2002) to be
This formula is valid for L0/r0 > 20 to an accuracy of

A formula for the FWHE, full-width at half-energy (
), can be derived with the same accuracy (Tokovinin 2002)
![]() |
Figure 1: Top panel: comparison of the von Kàrmàn (full line) and Kolmogorov (dashed line) phase structure functions with the same r0. Bottom panel: normalized atmospheric PSFs for different L0/r0 ratios. |
Open with DEXTER |


The following section gathers results obtained with extensive numerical simulations to confirm the reliability and validity domain of Eq. (4), and thereby Eq. (5).
3 Numerical simulations
3.1 Random wavefronts
The atmospheric turbulence was generated with 1000 uncorrelated phase
screens on a
array equivalent to a 100 m width
physical size (pixel size 12.2 mm). The principle of the generation
of a phase screen is based on the Fourier approach
(McGlamery 1976): randomized white noise maps are colored in the
Fourier space by the turbulence PSD (Eq. (2)), and the inverse Fourier
transform of an outcome corresponds to a phase screen realization.
The large size of the simulated phase screens is mandatory for
correctly sampling the L0 and computing PSF for large telescopes.
The simulations considered several L0 cases (10, 22, 32.5, 50, 65
m, and
).
Several investigations were carried out on the phase screens to
ascertain that their statistics indeed correspond to the input
parameters r0 and L0. For example, we compared the phase
variance, and the variances in the first 100 Zernike coefficients for
D = 42 m (r0=12.12 cm and L0=65 m) with their expected
values given by Conan (2000) and found good agreement. The phase
variance matches expectations to within 1.7,
while the variance in the
tip and tilt components agrees with their theoretical values to within 1.3 and
0.7
,
respectively. The case of
is particular:
the variance in the tip and tilt coefficients does not fit their
theoretical values, corresponding instead to a finite outer scale in
the range of 200 m to 500 m. This is a consequence of the finite
size of the simulated phase screens.
![]() |
Figure 2:
The atmospheric FWHM of simulated long-exposure PSFs
|
Open with DEXTER |
Several telescope diameters were considered ranging from 10 cm to
42 m. The wavelength domain ranges from the U-band to M-band, while
the seeing ranges from 0.1
to 1.8
.
All simulations adopt fast Fourier transforms (FFT) of
arrays to generate the long-exposure PSFs (over 1000
realizations). The same set of phase screens is used for all
telescope diameters. As a result of the very large arrays involved in
handling both phase screen statistics and aliasing effect
(e.g., large-aperture cases), small telescope diameters (<1 m)
may be affected by coarse pupil sampling. The effect of speckle
structure is
also stronger for small D, causing a larger random scatter in the
results.
3.2 Measurement of the FWHM
We determined the FWHM of the simulated long-exposure PSFs
in the following way. The PSFs were first
azimuthally averaged.
The 10th order polynomial was then fitted to this curve, and the radius
where it crosses the 1/2 of the maximum intensity was determined. The
results of this routine were then compared with those of another algorithm
(Kolb 2005) applied to the same set of PSFs, and both gave
similar values (e.g.,
1 pixel for D = 8 m and
L0 = 22 m; i.e., 0.006
).
The simulated PSFs are broadened by diffraction and are thus not
directly comparable to Eq. (4). We approximately account for
this by subtracting quadratically the diffraction FWHM
evaluating the true width to be
![]() |
(6) |
This provides a good approximation of


3.3 Outer scale and telescope diameter
The first series of simulations aims at defining the general trend of atmospheric FWHM
in large telescopes in the presence of finite outer scale. We compare
to Eq. (4) and to the seeing
,
fixed to
in this case. Some results are presented in Fig. 2.
From Fig. 2, it is straightforward to see that
in all cases, even for
because all simulated wave-fronts have finite outer scale. As expected, the validity of Eq. (4) is confirmed, except for the small D where our treatment of diffraction is too crude. All these cases correspond to
L0/r0 > 80 where the effect of the finite L0 is still mild.
![]() |
Figure 3:
Dependence of |
Open with DEXTER |
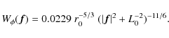
3.4 Wavelength and seeing dependence
For the second series of simulations, we considered an 8-m
telescope, a fixed outer scale L0 = 22 m, and 0.83
seeing
at 0.5
m, while the imaging wavelength was allowed to vary from the U-band to the
M-band (from 0.365 to 4.67
m).
The results are presented in the top panel of Fig. 3. We note the stronger dependence of
on wavelength, compared to the Kolmogorov case. The third
series of simulation considered the same L0 and D, as the
seeing conditions were allowed to vary (Fig. 3, bottom). The
agreement with Eq. (4) is demonstrated for both wavelength
(
L0/r0 > 10) and seeing dependence (
L0/r0 > 20).
3.5 Discussion
The previous subsections have provided general results about the atmospheric FWHM
in the presence of a finite outer scale. To relate these
results to true situations, we discuss the particular case of the 8-m
Very Large Telescope at Paranal (Chile) assuming standard seeing
conditions (0.83
at 0.5
m), and median outer scale
value (L0=22 m, i.e.
L0/r0 = 180). Results shown in
Fig. 3 indicate that the FWHM of the von Kármán
PSF is lower by
than for standard theory (
)
in the visible. This difference is even more dramatic in the near-IR, where the
FWHM (
)
is lower by 29.7
(H-band) and 36.3
(K-band).
![]() |
Figure 4:
Top: ratio of seeing
|
Open with DEXTER |
In the same way, Fig. 4 (top) quantifies the ratio of
to
(i.e., Eq. (1) to
(4)) but for several L0 values ranging from the Paranal
median value (including the 1-
outer scale values, 13 and 37 m) to 150 m. The difference
with the standard Kolmogorov seeing formula is substantial and can
exceed a factor of two in the IR. Likewise, Fig. 4 (bottom) compares the ratio of
to
.
4 Resolution under partial compensation
In analogy with the finite outer scale impact, we discuss here the consequences of a reduction in the low-frequency content of the phase perturbation spectrum generated by AO partial correction or tip-tilt compensation.
The purpose of adaptive optics (AO) systems is to compensate for the effect of atmospheric wavefront distortions and to reach a diffraction-limited resolution. To do this, the actuator spacing d (or an equivalent measure of AO compensation order) must be on the order of 2 r0 or smaller (Roddier 1998). However, AO systems that do not fulfill this condition may still improve the resolution. A good example is the use of the low-order AO system PUEO for observations at visible wavelengths (Rigaut et al. 1998). A resolution gain of up to a factor of two has been reported. To our knowledge, the reduction of the atmospheric PSF under partial compensation has not been explored in a systematic way.
Residual wavefronts after AO compensation contain high-frequency
ripple, whereas the perturbations at spatial frequencies lower than
fc = 1/(2 d) are corrected. This can be modeled by performing high-pass
filtering of the atmospheric PSD. The form of this filter varies,
depending on the AO system. The calculations here only illustrate the
principle and should be adapted to each AO system if an exact result
is sought. We model the AO compensation with a multiplicative factor
F
where m = 6. The PSD (Eq. (2)) is multiplied by F, the SF is calculated and used to compute the residual PSF in the same way as for the vK spectrum. The SF saturates at




Once the SF saturates at
,
the atmospheric OTF
reaches a constant level
.
We can
represent such an OTF as a sum of the constant term and a decreasing
part. This corresponds to the sum of a diffraction-limited PSF scaled
by
and a wide residual halo. The shape of the
halo can therefore be calculated by replacing the atmospheric OTF with
out to the distance where the
minimum
is reached, and setting it to zero for higher
frequencies. We note that we renormalize the halo OTF to one at the
coordinate origin.
The FWHM
and the diameter of a circle containing half
the energy (FWHE) were computed for the halo of partially
compensated PSFs. We compare these parameters to the non-compensated
(Kolmogorov) PSFs in Fig. 5. Even when the actuator spacing
d is much larger than r0 and the AO system does not perform well
in the classical sense (
), the gains in FWHM and FWHE are
already substantial. Maximum resolution gain
is reached at
,
when the coherent PSF core is still
very weak. As the compensation order increases further, an increasing
fraction of energy goes into the core, and the PSF halo becomes
weaker and wider. At small d and high S, the halo becomes even
wider than the uncompensated atmospheric PSF, being produced by
residual phase errors on spatial scales smaller than r0.
Tip-tilt correction is a particular case of low-order AO compensation.
It is well known that maximum resolution gain is achieved at
(Fried 1966). The gain studied here does not depend on the
telescope diameter D, but rather on the dimensionless parameter
d/r0, in full analogy with the effect of the outer scale.
All three effects - outer scale, partial AO correction and tip-tilt compensation - reduce the low-frequency content of the phase perturbation spectrum. When they act together, the gain in resolution over Kolmogorov turbulence is not cumulative. For example, at finite outer scale the tip-tilt fluctuations become smaller and their correction achieves a smaller resolution gain. The resolution gain from partial AO correction (Fig. 5) is also smaller because of the finite L0.
![]() |
Figure 5: Gain in the FWHM (full line) and FWHE (dotted line) diameter of the PSF halo (compared to the Kolmogorov PSF) resulting from partial AO compensation (outer scale not included). The dotted line shows the coherent energy S. |
Open with DEXTER |
5 Conclusions and discussion
This study has been largely motivated by the confusion between seeing and
the FWHM of long-exposure images in large telescopes, also often
called delivered image quality (DIQ). In an ideal large telescope
(no aberrations, internal turbulence, and wind shake), the DIQ is
always lower than predicted by the standard theory, owing
to the finite turbulence outer scale.
The seeing is usually measured by the Differential Image Motion
Monitors (Martin 1987; Sarazin & Roddier 1990, DIMMs). This method is
sensitive to small-scale wavefront distortions and provides estimates
of r0 that are almost independent of L0(Ziad et al. 1994). Using the standard theory, we overestimate
the FWHM expected for a large telescope. As the PSF is broadened by
non-atmospheric factors, this mismatch can hide telescope defects.
This is particularly a problem in the IR, where the difference from
the standard theory is large. Therefore, before achieving a truly
seeing-limited telescope performance in the IR, we must take
account of the finite L0. Stated in other words, our telescopes could
perform better than we predict them to based on the standard theory
and DIMM measurements.
On the other hand, If we wish to deduce atmospheric seeing from the width of the long-exposure PSF, the situation is reversed. The true seeing is poorer than we predict. The effect of finite L0 is apparent for all telescope diameters. A simultaneous measurement of L0 is thus required to be accurate. Estimating seeing from the width of the spots in active-optics Shack-Hartmann sensor (long exposures) should be performed with these considerations in mind.
Since internal telescope defects and outer scale act in opposite
directions, they can partially compensate for each other. An agreement
between DIMM measurements and DIQ can thus be found where it should
not be (Sarazin & Roddier 1990).
By comparing simultaneous PSFs at visible and mid-IR wavelengths, it is
possible to extract two parameters,
and L0,
assuming that the telescope's contribution to the image degradation
can be neglected (Tokovinin et al. 2007).
References
- Conan, R. 2000, Ph.D. Thesis, Univ. Nice [Google Scholar]
- Consortini, A., Fidanzati, G., Mariani, A., & Ronchi, L. 1972, Appl. Opt., 11, 1229 [NASA ADS] [CrossRef] [PubMed] [Google Scholar]
- Fried, D. L. 1966, J. Opt. Soc. Am. (1917-1983), 56, 1372 [CrossRef] [Google Scholar]
- Goodman, J. W. 1985, Statistical Optics, ed. J. W. Goodman [Google Scholar]
- Kolb, J. 2005, Ph.D. Thesis, Univ. Paris VII [Google Scholar]
- Martin, H. M. 1987, PASP, 99, 1360 [NASA ADS] [CrossRef] [Google Scholar]
- McGlamery, B. L. 1976, Computer simulation of atmospheric turbulence and compensated imaging systems [Google Scholar]
- Rigaut, F., Salmon, D., Arsenault, R., et al. 1998, PASP, 110, 152 [Google Scholar]
- Roddier, F. 1981, in Progress in optics (Amsterdam, North-Holland: Publishing Co.), ed. E. Wolf, 19, 281 [Google Scholar]
- Roddier, F. 1998, Adaptive Optics (Cambridge Univ. Press) [Google Scholar]
- Sarazin, M., & Roddier, F. 1990, A&A, 227, 294 [NASA ADS] [Google Scholar]
- Tatarskii. 1961, Dover Publ., Inc., New York [Google Scholar]
- Tokovinin, A. 2002, PASP, 114, 1156 [NASA ADS] [CrossRef] [Google Scholar]
- Tokovinin, A., Sarazin, M., & Smette, A. 2007, MNRAS, 378, 701 [NASA ADS] [CrossRef] [Google Scholar]
- Young, A. T. 1974, ApJ, 189, 587 [NASA ADS] [CrossRef] [Google Scholar]
- Ziad, A., Bornino, J., Martin, F., & Agabi, A. 1994, A&A, 282, 1021 [NASA ADS] [Google Scholar]
- Ziad, A., Conan, R., Tokovinin, A., Martin, F., & Borgnino, J. 2000, Appl. Opt., 39, 5415 [NASA ADS] [CrossRef] [PubMed] [Google Scholar]
Footnotes
- ...(Ziad et al. 1994)
- Seeing monitors based on the absolute image motion are affected by finite L0, giving biased, larger r0 values.
All Figures
![]() |
Figure 1: Top panel: comparison of the von Kàrmàn (full line) and Kolmogorov (dashed line) phase structure functions with the same r0. Bottom panel: normalized atmospheric PSFs for different L0/r0 ratios. |
Open with DEXTER | |
In the text |
![]() |
Figure 2:
The atmospheric FWHM of simulated long-exposure PSFs
|
Open with DEXTER | |
In the text |
![]() |
Figure 3:
Dependence of |
Open with DEXTER | |
In the text |
![]() |
Figure 4:
Top: ratio of seeing
|
Open with DEXTER | |
In the text |
![]() |
Figure 5: Gain in the FWHM (full line) and FWHE (dotted line) diameter of the PSF halo (compared to the Kolmogorov PSF) resulting from partial AO compensation (outer scale not included). The dotted line shows the coherent energy S. |
Open with DEXTER | |
In the text |
Copyright ESO 2010
Current usage metrics show cumulative count of Article Views (full-text article views including HTML views, PDF and ePub downloads, according to the available data) and Abstracts Views on Vision4Press platform.
Data correspond to usage on the plateform after 2015. The current usage metrics is available 48-96 hours after online publication and is updated daily on week days.
Initial download of the metrics may take a while.