Issue |
A&A
Volume 516, June-July 2010
|
|
---|---|---|
Article Number | L14 | |
Number of page(s) | 4 | |
Section | Letters | |
DOI | https://doi.org/10.1051/0004-6361/201014893 | |
Published online | 19 July 2010 |
LETTER TO THE EDITOR
Testing the theory of grain growth and fragmentation by millimeter observations of protoplanetary disks
T. Birnstiel1 - L. Ricci2 - F. Trotta2,3 - C. P. Dullemond1 - A. Natta3 - L. Testi2,3 - C. Dominik4,5 - T. Henning1 - C. W. Ormel1 - A. Zsom1
1 -
Max-Planck-Institut für Astronomie, Königstuhl 17, 69117 Heidelberg, Germany
2 -
European Southern Observatory, Karl-Schwarzschild-Strasse 2, 85748 Garching, Germany
3 -
Osservatorio Astrofsico di Arcetri, INAF, Largo E. Fermi 5, 50125 Firenze, Italy
4 -
Astronomical Institute ``Anton Pannekoek'', University of Amsterdam, PO Box 94249, 1090 GE Amsterdam, The Netherlands
5 -
Afdeling Sterrenkunde, Radboud Universiteit Nijmegen, Postbus 9010, 6500 GL Nijmegen, The Netherlands
Received 20 April 2010 / Accepted 4 June 2010
Abstract
Context. Observations at sub-millimeter and mm wavelengths
will in the near future be able to resolve the radial dependence of the
mm spectral slope in circumstellar disks with a resolution of around a
few AU at the distance of the closest star-forming regions.
Aims. We aim to constrain physical models of grain growth and
fragmentation by a large sample of (sub-)mm observations of disks
around pre-main sequence stars in the Taurus-Auriga and Ophiuchus
star-forming regions.
Methods. State-of-the-art coagulation/fragmentation and
disk-structure codes are coupled to produce steady-state grain size
distributions and to predict the spectral slopes at (sub-)mm
wavelengths.
Results. This work presents the first calculations predicting
the mm spectral slope based on a physical model of grain growth. Our
models can quite naturally reproduce the observed mm-slopes, but a
simultaneous match to the observed range of flux levels can only be
reached by a reduction of the dust mass by a factor of a few up to
about 30 while keeping the gas mass of the disk the same. This dust
reduction can either be caused by radial drift at a reduced rate or
during an earlier evolutionary time (otherwise the predicted fluxes
would become too low) or due to efficient conversion of dust into
larger, unseen bodies.
Key words: accretion, accretion disks - circumstellar matter - stars: pre-main-sequence - protoplanetary disks - planets and satellites: formation - submillimeter: stars
1 Introduction
Circumstellar disks play a fundamental role in the formation of stars as most of the stellar material is believed to be transported through the disk before being accreted onto the star (Lynden-Bell & Pringle 1974). At the same time circumstellar disks are thought to be the birth places of planets. Understanding the physics of circumstellar disks is therefore the key to some of the most active fields of astrophysical research today.
However, observing these disks in order to learn about the physical processes taking place in their interior is a challenging task. Strom et al. (1989) and Beckwith et al. (1990) were the first to use observations at mm-wavelengths to confirm that many of the observed pre-main sequence (PMS) stars showed excess radiation above the spectrum of a T Tauri star. While these single dish observations provided valuable insight into dust masses (because mm observations probe not only the thin surface layers, but the bulk of the dust mass in the mid-plane), recent developments in the field of (sub-)mm interferometry allow one to constrain models of disk structure and evolution of protoplanetary disks by fitting parametric models to the observed radial profiles (e.g., Andrews et al. 2009; Isella et al. 2009). Spatially resolving the disks is important because it ensures that low millimeter spectral slopes are not just an artifact of high optical depth.
Today, mm spectral slopes are known for quite a number of disks, and spatially resolved observations indicate that the low values measured in these samples are related to grain growth (e.g., Rodmann et al. 2006; Testi et al. 2003; Natta et al. 2004). Grains are believed to collide and stick together by van der Waals forces, thus forming larger and larger aggregates (Poppe et al. 2000; Blum & Wurm 2008; Dominik & Tielens 1997). Due to this loose binding, collisions with velocities in excess of a few m s-1 may lead to fragmentation of the aggregates.
Larger samples of radially resolved mm spectral slopes are expected in the near future, but so far no study interpreted mm observations using simulated grain size distributions. Instead simple parametric power-law distributions were used with an upper size cut-off. In this work, we use a state of the art dust grain evolution code (similar to Birnstiel et al. 2010; Brauer et al. 2008a) to derive steady-state grain distributions where grain growth and fragmentation effects balance each other. We self-consistently solve for the grain size distributions and the disk structure to predict fluxes at mm wavelengths and the radial dependence of the mm spectral index. Comparing these results with observed values in the Taurus and Ophiuchus star-forming regions allows us to test the predictions of the theory of grain growth/fragmentation and to infer constraints on grain properties such as the critical collision velocity and the distribution of fragments produced in collision events.
Grains orbiting at the Keplerian velocity in a laminar gas disk
feel a constant head wind (caused by the gas rotating slightly
sub-keplerian), which forces them to spiral inwards (Weidenschilling 1977).
If this drag is as efficient as the laminar theory predicts, all dust
particles that are necessary to explain the observed spectral indices
would quickly be removed (see Brauer et al. 2007).
We therefore assume that the radial drift is halted by an unknown
mechanism. Under this assumption, we find that the low values of the mm
spectral index can be explained by the theory. We show that in order to
explain the observed flux levels, the amount of observable
dust needs to be reduced by either reducing the dust-to-gas ratio
(perhaps by radial drift at a intermediate efficiency or during an
earlier evolutionary epoch) or by dust particle growth beyond
centimeter sizes.
2 Model description
2.1 Disk model
We consider disks around a PMS star with a mass of 0.5





2.2 Dust model
We use a coagulation/fragmentation code as described in Brauer et al. (2008a) and Birnstiel et al. (2010) to simulate the growth of dust particles. Particles grow through mutual collisions (induced by Brownian motion and by turbulence, see Ormel & Cuzzi 2007) and subsequent sticking by van der Waals forces. We assume the dust particles to be spheres of internal density

With increasing collision velocity ,
the probability of sticking decreases and fragmentation events start to
become important. Here, we use the same recipe for the fragmentation
probability as in Birnstiel et al. (2010): particles above a fragmentation probability
are assumed to fragment while particles below 0.8
are assumed to stick. In between, we linearly interpolate between sticking and fragmentation.
Recent studies of collision experiments (Güttler et al. 2010) and numerical simulations (Zsom et al. 2010)
indicate that there is also a regime in which particles may bounce.
However, because this topic is still not well understood, we will omit
these effects here.
Radial drift is an as yet unsolved problem (Birnstiel et al. 2009; Brauer et al. 2007). Still there are several effects such as spiral wave structure (e.g., Cossins et al. 2009), density sinks (e.g., Brauer et al. 2008b), or zonal flows (e.g., Johansen et al. 2009) which may reduce the effectiveness of radial drift. We assume that radial drift is ineffective because we focus on the question whether observations can be explained through the physics of grain growth and fragmentation. The question to answer in this case is not how to retain particles at these radii, but rather how to create them there in the first place.
To investigate this problem, we simulate the physics of
particle growth and fragmentation until a steady state between both
processes develops. Because the relative velocities for particles
typically increase with grain radius, we can relate the fragmentation
velocity to a certain grain size (which defines the ``fragmentation
barrier'', see Birnstiel et al. 2009)
above which particles fragment (with







Table 1: Parameters of the model grid.
Particles will need a certain time to grow to the fragmentation
barrier. The time to reach the steady state will therefore be several
of these growth time scales. Depending on the distance to the central
star, the steady state is typically reached after a few thousand years
at 1 AU up to about 1 Myr at 100 AU. The mean ages of
the sources in our sample are 2 Myr and
0.5-1 Myr
for the Taurus and Ophiuchus PMS stars, respectively. Since radii
around 40-80 AU dominate the observed emission at (sub-)mm
wavelengths, we expect most of the samples to be in or at least close
to a steady state.
If the highest collision velocity that turbulent motion induces (depending on
and
)
is lower than the critical collision velocity
,
then (at least some) particles do not fragment (i.e. the break through
the fragmentation barrier) and a steady state is never reached. Owing
to this scenario, some of the possible combinations of the parameter
values (see Table 1) do not reach a steady state and are therefore not included in the results.
The shape of the steady-state grain size distributions is influenced mainly by five parameters: the previously mentioned
,
,
,
the temperature T (through the sound speed
),
and by the prescription of fragmentation. In our models, we assume the
distribution of fragments to follow a power-law number density
distribution,
with an upper end at
.
We consider fragmentation and cratering, as described in Birnstiel et al. (2010).
Recent experiments suggest
values between 1.07 and 1.37 (see Güttler et al. 2010). In this work, we consider
values between 1.0 and 1.8.
To calculate the dust opacity of a given grain size distribution we adopted the same dust grain model as in R10, i.e. porous composite spherical grains made of astronomical silicates, carbonaceous materials and water ices (see R10 for the references to the optical constants). The ratio between the fractional abundance of each species comes from Semenov et al. (2003), and models with three different porosities have been considered in this Letter (see Table 1). We used the Bruggeman mixing theory to combine the refractive indices of the different materials and to calculate the dust opacity of the composite grains. The opacity induces probably the largest uncertainties in our calculations because grain composition, grain structure and temperature effects may lead to largely different opacities (see, for example Henning & Stognienko 1996).
2.3 Comparison to observations
We compare the (sub-)mm SED generated by our models with observational data of R10 and Ricci et al. (in prep.), more specifically the flux at 1 mm (



The influence of the different parameters on the calculated
values can mostly be understood by a simple model for a dust distribution, as used in R10 (cf. Fig. 3 in R10):
for maximum grain sizes much smaller than the observed wavelengths, the spectral index of the dust opacity
(
)
is constant, while it decreases for maximum particle sizes larger than
sub-mm. In between (at a few tenth of a mm), there is a peak which is
caused by an increased opacity of grains with sizes similar to the
observed wavelength. The relation between
and
depends on the emitting spectrum and the optical depth. For a completely optically thin disk in the Rayleigh-Jeans regime
.
However, if the emitted spectrum deviates from the Rayleigh-Jeans limit, then
.
In our models,
turns out to be typically between 1.4 and 1.7 if
is outside of the peak of opacity.
3 Results
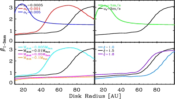
3.1 Sub-mm fluxes and spectral indices
For all combinations of the parameters shown in Table 1, we solved for the steady-state grain size distributions and derived

The top left panel of Fig. 1 shows the influence of
.
According to Eq. (1), the maximum grain size increases if
decreases. Depending on where
lies with respect to the opacity peak (see R10, Fig. 3),
can increase or decrease with increasing
.
In the simulations presented here,
is typically so large that increasing
predicts steeper spectral slopes.
![]() |
Figure 1:
Influence of the parameters
|
Open with DEXTER |
is more sensitive to
(cf. top right panel in Fig. 1): the maximum grain size
is proportional to
,
therefore a change of
by a factor of about 3 significantly changes
by increasing the grain size by about one order of magnitude.
However many models with a fragmentation velocity of 10 m/s never
reach a steady state. It is therefore not possible to explain lower
values by a further increase of
alone.
The influence of
on
and
is twofold. Firstly, a decrease in
(assuming a constant dust-to-gas ratio and a fixed shape of the disk surface density, i.e. not varying
and
,
see Sect. 2.1) reduces the amount of emitting dust and thus
.
Secondly, such a reduction in gas mass also reduces
(Eq. (1)), which tends to increase
.
This combined trend is seen in Fig. 1. Hence, in order to explain faint sources with low
,
the amount of emitting dust has to be reduced while the disk gas mass
stays large. This effect could be achieved in two ways: the amount of
dust could be reduced by radial drift at a reduced rate (full radial
drift would quickly remove all mm-sized grains, see Brauer et al. 2007)
or only the ``visible'' amount of dust is reduced if some of the dust
is already contained in larger bodies. This latter case is predicted
by our non-steady-state distribution models and will be discussed in
more detail in a forthcoming
paper.
In general, lower values of
translate to shallower grain-size distribution, which results in lower values of
(see Draine 2006).
The lower right panel in Fig. 1 does not seem to indicate a strong dependence on
,
but lower values of
(around 1) seem to be closer to the observations especially at high fluxes.
Figure 2
shows the areas which are covered by our sets of simulations for
different porosities in comparison to the observational samples. It can
be seen that only the brightest sources are covered by the simulations.
The trend of larger
for a larger vacuum fraction seems to be in contradiction with Eq. (1), because smaller grain volume density leads to larger
.
However in this case, the opacity is much more affected by changing the
grain structure: reducing the grains' vacuum fraction increases the
spectral index at sub-mm, while it is reduced for longer wavelengths.
Therefore opacity effects outweigh the smaller changes in
.
A more thorough analysis of opacity effects is beyond the scope of this
letter, but it seems implausible that the large spread in the
observations could be explained by different kinds of grains alone (see
Draine 2006).
3.2 Radial profiles of the dust opacity index
The presented models also compute










![]() |
Figure 2: Observed fluxes at mm-wavelengths of the Taurus (black dots) and the Ophiuchus (blue dots) star-forming regions (see R10 and Ricci et al. 2010, in prep.) and the areas covered by the simulation results for different vacuum fractions of the grains (varying all other parameters according to Table 1). |
Open with DEXTER |
![]() |
Figure 3: Predicted profiles of the dust opacity index at mm-wavelengths for different variations of the fiducial model. The colors correspond to the parameters shown in Fig. 1. |
Open with DEXTER |
4 Discussion and conclusions
We present the first comparison of simulated grain size distributions and observed mm spectral indices of YSOs in the Taurus and the Ophiuchus star-forming regions. Additionally we present the first predictions of the radial profile of the dust opacity index at mm wavelength that are consistent with the limits set by Isella et al. (2010).Low values of the observed mm-slopes are quite naturally reproduced by our models, favoring low values of
and
as well as fragmentation threshold velocities above 1 m s-1.
However, a simultaneous match to the observed range of flux levels
requires a reduction of the dust mass by a factor of a few up to about
30. This over-prediction of fluxes cannot be fixed by simply reducing
the disk mass because the predicted
would be too large for smaller disk masses.
Opacities induce a large uncertainty in the flux levels. However, considering the results of Draine (2006), it seems implausible that the large spread in observed fluxes for different disks with similar
(which is probably even larger as very faint disks are not contained in
the sample) can be explained by different grain mineralogy alone.
The aforementioned reduction of observable dust could be due to
radial drift at a reduced rate or during an earlier epoch (drift has
been artificially suppressed in this work in order to explain the low
values of
by
1 mm
sized grains). Another possible explanation is grain growth to even
larger sizes, as these bodies have a small opacity coefficient per
unit mass.
Finally, a different dependence between
and the observed flux
might
also originate from disk surface densities profiles that differ from
what we have assumed in this work. This possibility, as well as the
effect of a different dust composition, will be considered in a future
work.
We thank Henrik Beuther and Jürgen Blum for useful discussions. L.R. and A.Z. acknowledge support of IMPRS. C.W.O. is supported by a grant from the Alexander von Humboldt foundation. We also thank Andrea Isella for a helpful referee report.
References
- Andrews, S. M., Wilner, D. J., Hughes, A. M., Qi, C., & Dullemond, C. P. 2009, ApJ, 700, 1502 [NASA ADS] [CrossRef] [Google Scholar]
- Beckwith, S. V. W., Sargent, A. I., Chini, R. S., & Guesten, R. 1990, AJ, 99, 924 [NASA ADS] [CrossRef] [Google Scholar]
- Birnstiel, T., Dullemond, C. P., & Brauer, F. 2009, A&A, 503, L5 [NASA ADS] [CrossRef] [EDP Sciences] [Google Scholar]
- Birnstiel, T., Dullemond, C. P., & Brauer, F. 2010, A&A, 513, 79 [Google Scholar]
- Blum, J., & Wurm, G. 2008, ARA&A, 46, 21 [NASA ADS] [CrossRef] [EDP Sciences] [Google Scholar]
- Brauer, F., Dullemond, C. P., Johansen, A., et al. 2007, A&A, 469, 1169 [NASA ADS] [CrossRef] [EDP Sciences] [Google Scholar]
- Brauer, F., Dullemond, C. P., & Henning, T. 2008a, A&A, 480, 859 [NASA ADS] [CrossRef] [EDP Sciences] [Google Scholar]
- Brauer, F., Henning, T., & Dullemond, C. P. 2008b, A&A, 487, L1 [NASA ADS] [CrossRef] [EDP Sciences] [Google Scholar]
- Chiang, E., & Goldreich, P. 1997, ApJ, 490, 368 [NASA ADS] [CrossRef] [Google Scholar]
- Cossins, P., Lodato, G., & Clarke, C. J. 2009, MNRAS, 393, 1157 [Google Scholar]
- Dominik, C., & Tielens, A. G. G. M. 1997, ApJ, 480, 647 [NASA ADS] [CrossRef] [Google Scholar]
- Draine, B. T. 2006, ApJ, 636, 1114 [NASA ADS] [CrossRef] [Google Scholar]
- Dullemond, C. P., Dominik, C., & Natta, A. 2001, ApJ, 560, 957 [NASA ADS] [CrossRef] [Google Scholar]
- Güttler, C., Blum, J., Zsom, A., Ormel, C. W., & Dullemond, C. P. 2010, A&A, 513, 56 [Google Scholar]
- Hartmann, L., Calvet, N., Gullbring, E., & D'Alessio, P. 1998, ApJ, 495, 385 [NASA ADS] [CrossRef] [Google Scholar]
- Henning, T., & Stognienko, R. 1996, A&A, 311, 291 [NASA ADS] [Google Scholar]
- Isella, A., Carpenter, J. M., & Sargent, A. I. 2009, ApJ, 701, 260 [NASA ADS] [CrossRef] [Google Scholar]
- Isella, A., Carpenter, J. M., & Sargent, A. I. 2010, ApJ, 714, 1746 [NASA ADS] [CrossRef] [Google Scholar]
- Johansen, A., & Klahr, H. 2005, ApJ, 634, 1353 [NASA ADS] [CrossRef] [Google Scholar]
- Johansen, A., Youdin, A., & Klahr, H. 2009, ApJ, 697, 1269 [NASA ADS] [CrossRef] [Google Scholar]
- Lynden-Bell, D., & Pringle, J. E. 1974, MNRAS, 168, 603 [NASA ADS] [CrossRef] [Google Scholar]
- Natta, A., Testi, L., Neri, R., Shepherd, D. S., & Wilner, D. J. 2004, A&A, 416, 179 [NASA ADS] [CrossRef] [EDP Sciences] [Google Scholar]
- Ormel, C. W., & Cuzzi, J. N. 2007, A&A, 466, 413 [NASA ADS] [CrossRef] [EDP Sciences] [Google Scholar]
- Ormel, C. W., Spaans, M., & Tielens, A. G. G. M. 2007, A&A, 461, 215 [NASA ADS] [CrossRef] [EDP Sciences] [Google Scholar]
- Poppe, T., Blum, J., & Henning, T. 2000, ApJ, 533, 454 [NASA ADS] [CrossRef] [Google Scholar]
- Ricci, L., Testi, L., Natta, A., et al. 2010, A&A, 512, 15 [Google Scholar]
- Rodmann, J., Henning, T., Chandler, C. J., Mundy, L. G., & Wilner, D. J. 2006, A&A, 446, 211 [NASA ADS] [CrossRef] [EDP Sciences] [Google Scholar]
- Semenov, D., Henning, T., Helling, C., Ilgner, M., & Sedlmayr, E. 2003, A&A, 410, 611 [NASA ADS] [CrossRef] [EDP Sciences] [Google Scholar]
- Strom, K. M., Strom, S. E., Edwards, S., Cabrit, S., & Skrutskie, M. F. 1989, AJ, 97, 1451 [NASA ADS] [CrossRef] [Google Scholar]
- Testi, L., Natta, A., Shepherd, D. S., & Wilner, D. J. 2003, A&A, 403, 323 [NASA ADS] [CrossRef] [EDP Sciences] [Google Scholar]
- Weidenschilling, S. J. 1977, MNRAS, 180, 57 [NASA ADS] [CrossRef] [Google Scholar]
- Zsom, A., & Dullemond, C. P. 2008, A&A, 489, 931 [NASA ADS] [CrossRef] [EDP Sciences] [Google Scholar]
- Zsom, A., Ormel, C. W., Güttler, C., Blum, J., & Dullemond, C. P. 2010, A&A, 513, 57 [Google Scholar]
Footnotes
- ... observable
- by ``visible'' or ``observable'' dust we mean the dust particles which are responsible for most of the thermal continuum emission at (sub-)mm wavelengths, which are typically smaller than a few centimeter in radius.
All Tables
Table 1: Parameters of the model grid.
All Figures
![]() |
Figure 1:
Influence of the parameters
|
Open with DEXTER | |
In the text |
![]() |
Figure 2: Observed fluxes at mm-wavelengths of the Taurus (black dots) and the Ophiuchus (blue dots) star-forming regions (see R10 and Ricci et al. 2010, in prep.) and the areas covered by the simulation results for different vacuum fractions of the grains (varying all other parameters according to Table 1). |
Open with DEXTER | |
In the text |
![]() |
Figure 3: Predicted profiles of the dust opacity index at mm-wavelengths for different variations of the fiducial model. The colors correspond to the parameters shown in Fig. 1. |
Open with DEXTER | |
In the text |
Copyright ESO 2010
Current usage metrics show cumulative count of Article Views (full-text article views including HTML views, PDF and ePub downloads, according to the available data) and Abstracts Views on Vision4Press platform.
Data correspond to usage on the plateform after 2015. The current usage metrics is available 48-96 hours after online publication and is updated daily on week days.
Initial download of the metrics may take a while.