| Issue |
A&A
Volume 517, July 2010
|
|
|---|---|---|
| Article Number | A92 | |
| Number of page(s) | 20 | |
| Section | Cosmology (including clusters of galaxies) | |
| DOI | https://doi.org/10.1051/0004-6361/200913416 | |
| Published online | 17 August 2010 | |
The universal galaxy cluster pressure profile from a representative sample of nearby systems (REXCESS) and the Y
- M500 relation
M. Arnaud1 - G. W. Pratt1,2 - R. Piffaretti1 - H. Böhringer2 - J. H. Croston3 - E. Pointecouteau4
1 - Laboratoire AIM, IRFU/Service d'Astrophysique -
CEA/DSM - CNRS - Université Paris Diderot, Bât. 709, CEA-Saclay, 91191
Gif-sur-Yvette Cedex, France
2 - Max-Planck-Institut für extraterrestriche Physik, Giessenbachstraße, 85748 Garching, Germany
3 - School of Physics and Astronomy, University of Southampton, Southampton, SO17 1BJ, UK
4 - Université de Toulouse, CNRS, CESR, 9 Av. du colonel Roche, BP 44346, 31028 Toulouse Cedex 04, France
Received 7 October 2009 / Accepted 10 April 2010
Abstract
We investigate the regularity of cluster pressure profiles with REXCESS, a representative sample of 33 local (z < 0.2) clusters drawn from the REFLEX catalogue and observed with XMM-Newton. The sample spans a mass range of
,
where
is
the mass corresponding to a density contrast of 500. We derive an
average profile from observations scaled by mass and redshift according
to the standard self-similar model, and find that the dispersion about
the mean is remarkably low, at less than 30 per cent beyond
0.2 R500, but
increases towards the center. Deviations about the mean are related to
both the mass and the thermo-dynamical state of the cluster.
Morphologically disturbed systems have systematically shallower
profiles while cooling core systems are more concentrated. The scaled
profiles exhibit a residual mass dependence with a slope of
,
consistent with that expected from the empirically-derived slope of the
relation; however, the departure from standard scaling decreases with radius and is consistent with zero at R500.
The scatter in the core and departure from self-similar mass scaling is
smaller compared to that of the entropy profiles, showing that the
pressure is the quantity least affected by dynamical history and
non-gravitational physics. Comparison with scaled data from several
state of the art numerical simulations shows good agreement outside the
core. Combining the observational data in the radial range
[0.03-1] R500 with simulation data in the radial range
[1-4] R500, we
derive a robust measure of the universal pressure profile, that,
in an analytical form, defines the physical pressure profile of
clusters as a function of mass and redshift up to the cluster
``boundary''. Using this profile and direct spherical integration of
the observed pressure profiles, we estimate the integrated Compton
parameter Y and investigate its scaling with
and
,
the soft band X-ray luminosity. We consider both the spherically integrated quantity,
,
proportional to the gas thermal energy, and the cylindrically integrated quantity,
,
which is directly related to the Sunyaev-Zel'dovich (SZ) effect signal. From the low scatter of the observed
relation we show that variations in pressure profile shape do not introduce extra scatter into the
relation as compared to that from the
relation. The
and
relations
derived from the data are in excellent agreement with those expected
from the universal profile. This profile is used to derive the expected
and
relations for any aperture.
Key words: cosmology: observations - dark matter - galaxies: clusters: general - intergalactic medium - X-rays: galaxies: clusters
1 Introduction
Galaxy clusters provide valuable information on cosmology, from the
nature of dark energy to the physics driving galaxy and structure
formation. Clusters are filled with a hot ionised gas that can be
studied both in X-ray and through the thermal Sunyaev-Zel'dovich (SZ)
effect, a spectral distortion of the cosmic microwave background (CMB)
generated via inverse Compton scattering of CMB photons by the free
electrons. Its magnitude is proportional to the Compton parameter y, a measure of the gas pressure integrated along the line-of-sight,
,
where
is the Thomson cross-section, c the speed of light,
the electron rest mass and
is the product of the electron number density and temperature. The
total SZ signal, integrated over the cluster extent, is
proportional to the integrated Compton parameter
,
,
where
is the angular distance to the system.
As the gas pressure is directly related to the depth of the gravitational potential,
is expected to be closely related to the mass. Numerical simulations (e.g., da Silva et al. 2004; Bonaldi et al. 2007; Motl et al. 2005; Nagai 2006) and analytical models (Reid & Spergel 2006) of cluster formation indicate that the intrinsic scatter of the
relation is low, regardless of the cluster dynamical state (see also Wik et al. 2008) or the exact details of the gas physics. However, the normalisation of the relation does depend on the gas physics (Bonaldi et al. 2007; Nagai 2006), as does the exact amount of scatter, the details of which are still under debate (Shaw et al. 2008).
Given that this relation, and the underlying pressure profile, are key
ingredients for the use of on-going or future SZ cluster surveys
for cosmology, and provide invaluable information on the physics of the
intra-cluster medium (ICM), it is important to calibrate these
quantities from observations.
In recent years, SZ observational capability has made spectacular progress, from the first spatially resolved (single-dish) observations of individual objects (Komatsu et al. 1999; Pointecouteau et al. 2001; Komatsu et al. 2001; Pointecouteau et al. 1999) to the first discovery of new clusters with a blind SZ survey (Staniszewski et al. 2009). Spatially resolved SZE observations directly probe the mass weighted temperature along the line of sight. By contrast, temperatures derived from X-ray spectra, by fitting an isothermal model to a multi-temperature plasma emission along the line of sight, are likely to be biased (Mathiesen & Evrard 2001). Although schemes to correct for this effect have been defined (Vikhlinin 2006; Mazzotta et al. 2004), it remains a potential source of systematics.
Stacking analysis of WMAP data around known X-ray clusters has allowed statistical detection of a scaled pressure profile (Afshordi et al. 2007) or a spatially resolved decrement (Atrio-Barandela et al. 2008; Diego & Partridge 2010; Lieu et al. 2006), showing clear discrepancies with the prediction of a simple isothermal
-model.
Pressure or temperature profiles of individual clusters have started to
be derived from combined analysis of X-ray and SZE imaging data, using
non-parametric deprojection methods (Nord et al. 2009) or more realistic models than the
-model (Kitayama et al. 2004; Mroczkowski et al. 2009). Interestingly, the profiles are found to be consistent with profiles derived using X-ray spectroscopic data (see also Halverson et al. 2009; Jia et al. 2008). However, such studies are still restricted to a few test cases, particularly hot clusters.
The
relation has been recently derived by Bonamente et al. (2008),
an important step forward as compared to previous work based on
central decrement measurements using heterogenous data sets (Morandi et al. 2007; McCarthy et al. 2003); however, quantities were estimated within
![]()
and assuming an isothermal
-model, which may provide a biased estimate (Hallman et al. 2007).
In addition, the first scaling relation using weak lensing
masses, rather than X-ray hydrostatic masses, has now appeared (Marrone et al. 2009), although constraints from these data are currently weak.
In this context, statistically more precise, albeit indirect,
information can be obtained from X-ray observations. A key
physical parameter is
,
the X-ray analogue of the integrated Compton parameter, introduced by Kravtsov et al. (2006).
is defined as the product of
,
the gas mass within R500 and
,
the spectroscopic temperature outside the core. The local
relation for relaxed clusters has recently been calibrated (Maughan 2007; Nagai et al. 2007; Arnaud et al. 2007; Vikhlinin et al. 2009), with excellent agreement achieved between various observations (e.g., see Arnaud et al. 2007). However, the link between
and
depends on cluster structure through
where the angle brackets denote volume averaged quantities. From Eq. (1), it is clear that an understanding of the radial pressure distribution and its scaling is important not only as a probe of the ICM physics, but also for exploitation of these data. High resolution measurements of the radial density and temperature distribution are now routinely available from X-ray observations but the pressure profile structure and scaling have been relatively little studied. The pressure profiles of groups have been studied by Finoguenov et al. (2006) and Johnson et al. (2009). In the cluster regime, Finoguenov et al. (2005) analysed the 2D pressure distribution in a flux-limited sample of 6 hot (
In this paper we do this by investigating the regularity of cluster pressure profiles with REXCESS (Böhringer et al. 2007), a representative sample of 33 local (z < 0.2) clusters drawn from the REFLEX catalogue (Böhringer et al. 2004) and observed with XMM-Newton.
We derive an average profile from observations scaled by mass and
redshift according to the self-similar model and relate the deviations
about the mean to both the mass and the thermo-dynamical state of the
cluster (Sect. 3). Comparison with data from several state of the art numerical simulations (Sect. 4) shows good agreement outside the central regions, which is the most relevant aspect for the
estimate. Combining the observational data in the radial range
[0.03-1] R500 with simulation data in the radial range
[1-4] R500 allows us to derive a robust measure of the universal pressure profile up to the cluster ``boundary'' (Sect. 5).
Using this profile or direct spherical integration of the observed
pressure profiles, we estimate the spherically and cylindrically
integrated Compton parameter and investigate its scaling with
,
and
,
the soft band X-ray luminosity (Sect. 6).
We adopt a
CDM cosmology with
H0 = 70 km s-1 Mpc-1,
and
.
h(z) is the ratio of the Hubble constant at redshift z to its present value, H0.
is the temperature measured in the
[0.15-0.75] R500 aperture. All scaling relations are derived using the BCES orthogonal regression method with bootstrap resampling (Akritas & Bershady 1996), and uncertainties are quoted throughout at the 68 per cent confidence level.
2 The REXCESS data set
A description of the REXCESS sample, including XMM-Newton observation details, can be found in Böhringer et al. (2007).
The two clusters RXC J0956.4-1004 (the Abell 901/902
supercluster) and J2157.4-0747 (a bimodal cluster) are excluded
from the present analysis. Cluster subsample classification follows the
definitions described in Pratt et al. (2009): objects with center shift parameter
are classified as morphologically disturbed, and those with central density
as cool core systems.
|
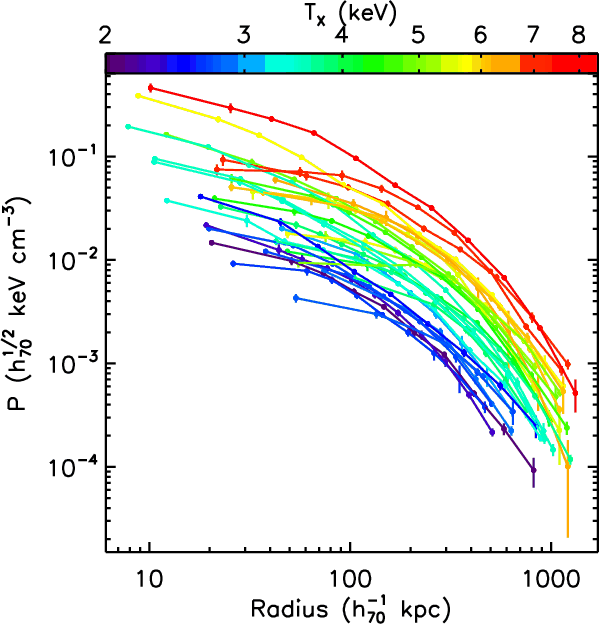
Figure 1:
The pressure profiles of the REXCESS sample. Pressures are estimated at
the effective radii of the temperature profile (points with errors
bars). A line connects the data points for each cluster to guide
the eye. The data are colour coded according to the spectroscopic
temperature, |
| Open with DEXTER | |
The gas density profiles,
,
were derived by Croston et al. (2008) from the surface brightness profiles using the non-parametric deprojection and PSF-deconvolution technique introduced by Croston et al. (2006). The density at any radius of interest is estimated by interpolation in the
plane. The procedure to extract the 2D temperature profiles is detailed in Pratt et al. (2009). The 3D profiles, T(r), were derived by fitting convolved parametric models (Vikhlinin et al. 2006) to these data, taking into account projection and PSF effects (Pointecouteau et al. 2004) and weighting the contribution of temperature components to each ring as proposed by Vikhlinin (2006)
to correct for the spectroscopic bias mentioned above.
A Monte Carlo procedure is used to compute the errors, which
are then corrected to take into account the fact that parametric models
over-constrain the 3D profile. Full details will be given in a
forthcoming paper. As the temperature profiles are measured on a
lower resolution radial grid than the density profiles,
the pressure profiles,
,
are estimated at the weighted effective radii (Lewis et al. 2003) of each annular bin of the 2D temperature profiles. They are presented in Fig. 1.
Since the sample contains systems in a variety of dynamical states, we choose to use
as a mass proxy rather than the hydrostatic mass. Extensive discussion
of how this could affect our results is presented in Sect. 3.4. For each cluster,
is estimated iteratively from the
relation, as described in Kravtsov et al. (2006). We used the updated calibration of the
relation, obtained by combining the Arnaud et al. (2007) data on nearby relaxed clusters observed with XMM-Newton with new REXCESS data (Arnaud et al., in prep). The sample comprises 20 clusters: 8 clusters from Arnaud et al. (2007), excluding the two lowest mass clusters whose
estimate requires extrapolation, and the 12 relaxed REXCESS clusters with mass profiles measured at least down to
.
The derived
relation
is consistent with the relation derived by Arnaud et al. (2007) but with improved accuracy on slope and normalization.
The slope differs from that expected in the standard self-similar model (
)
by only
.
We will thus also consider the
relation obtained by fixing the slope to its standard value:
|
Figure 2:
The scaled pressure profiles of the REXCESS sample, colour coded
according to the (thermo)dynamical state (see labels and
Sect. 2). Black profiles denote clusters that are neither cool core nor morphologically disturbed. The radii are scaled to R500 and the pressure to P500 as defined in Eq. (5), with
|
| Open with DEXTER | |
3 Scaled pressure profiles
3.1 Scaled profiles
The scaled pressure profiles
|
(4) |
are presented in Fig. 2. The pressure is normalised to the characteristic pressure P500, reflecting the mass variation expected in the standard self-similar model, purely based on gravitation (Nagai et al. 2007, and Appendix A).
|
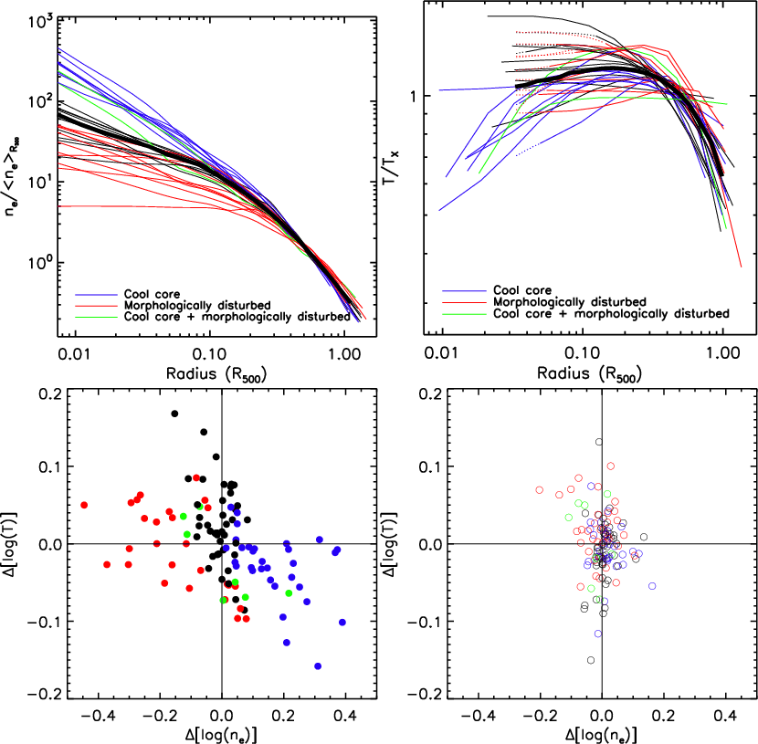
Figure 3:
The scaled density (top left panel) and temperature (top right panel)
profiles of the REXCESS sample. Each profile is colour coded according
to the cluster (thermo)dynamical state (see labels and Sect. 2). The radii are scaled to R500, estimated from the
|
| Open with DEXTER | |
For comparison we also plot in Fig. 3 the scaled temperature profiles,
as well as the scaled density profiles,
.
Note that the density profiles have been normalised to the mean density within R500, so that the dispersion is only due to variations in shape
.
The resolution in the center and radial extent of the pressure profiles are determined by that of the temperature profiles, in practice the effective radius of the inner and outer annular temperature profile bins, which varies from cluster to cluster (see Fig. 2). In particular, the peaked emission of cool core clusters allows us to measure the profiles deeper into the core than for disturbed clusters, which have more diffuse emission (see also Sect. 3.3).
3.2 Average scaled pressure profile
We computed an average scaled pressure profile,
,
from the median value of the scaled pressure in the radial range where
data are available for at least 15 clusters without extrapolation
(about
[0.03-1] R500).
However, to avoid a biased estimate of the average profile in the
core, where the dispersion is large and more peaked clusters are
measured to lower radii (Fig. 2),
it is important to include all clusters in the computation.
For this purpose, we extrapolated the pressure profiles in the
core using the best fitting temperature model used in the deprojection
of the temperature profile. The extrapolated part of the profiles are
plotted as dotted lines in Figs. 2 and 3. This extrapolation is only weakly model dependent since it essentially concerns disturbed clusters (Fig. 2), which are observed to have rather flat central temperature profiles (Fig. 3). The average profile is plotted as a thick line in Fig. 2. The dispersion around it is defined as the plus or minus standard deviation from the average profile, computed in the
plane.
3.3 Dispersion, radial structure and dynamical state
For a perfectly self-similar cluster population, the scaled profiles
should coincide. The dispersion around the average scaled profile is
less than
beyond the core (
r>0.2 R500) and increases towards the center (Fig. 2,
bottom panel). This dispersion reflects a variation of shape with
cluster (thermo)dynamical state, as clearly seen in Fig. 2:
shallower profiles, at all radii, are observed for morphologically
disturbed clusters while the cooling core clusters have the most
concentrated profiles. The typical difference between the average
profiles of these two populations is
in the outskirts and as high as a factor of four at
0.03 R500 (Fig. 2, middle panel).
When compared to the density profiles (Fig. 3,
top-left panel) the pressure profiles are distinctly more regular and
present less dispersion in the core. For instance,
the dispersion at
0.04 R500 is
0.28 dex and 0.24 dex for the scaled density and pressure,
respectively. The reason lies in the anti-correlation between the
deviation of scaled temperatures and densities from their respective
average scaled profiles,
and
,
as shown Fig. 3 (bottom-left panel). For data interior to
r<0.2 R500, a Spearman rank test finds a probability of 10-7 that the anti-correlation between
and
occurs by chance. The correlation disappears at large radii with a probability of 0.6 for
r>0.2 R500 (Fig. 3,
bottom-right panel). Qualitatively, this is the result of the
well-known fact that cool core clusters have peaked density profiles
(e.g., Jones & Forman 1984), with a
temperature drop in the center, while unrelaxed objects have flatter
density cores and constant or increasing temperature toward the center
(Fig. 3, top panels).
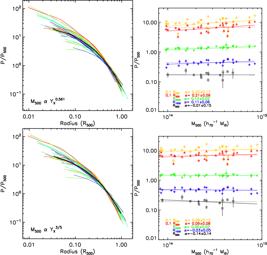
3.4 Dependence on mass and mass-proxy relation
|
Figure 4:
The scaled pressure profiles of the REXCESS sample, colour coded according to spectroscopic temperature measured in the
[0.15-0.75] R500 aperture (left panels, same coding as in Fig. 1). Right panels:
corresponding scaled pressure estimated at different values of scaled
radii plotted as a function of cluster mass. Full lines: power law
fit at each scaled radius, with the best fitting slope given in the
labels. Dotted line: value for the average scaled profile at that
radius. The cluster masses,
|
| Open with DEXTER | |
Since we derived
from the
relation, the scaling quantities R500 and P500
and the pressure profiles are not independent, as they are both related
to the product of the gas density and temperature. We first examine how
this may affect our results. From the definition of the pressure P(r) =
,
and noting that
and that
,
where the angle brackets denote a volume average within R500, the scaled pressure
p(x) = P(xR500)/P500 is proportional to
This equation makes explicit the link between the scaled pressure profiles and the
Using
values derived from the
relation, rather than the ``true''
value, is equivalent to assuming a perfect correlation between
and
,
i.e. with no scatter. Provided that the correct
relation is used and that
does not depend on mass or dynamical state, use of the
relation
will not introduce a systematic bias into the scaled profiles, but
their dispersion will be underestimated. Let us define the
intrinsic scatter of the
relation,
,
as the standard deviation of
from the value from the best fitting relation at a given
.
We can estimate the additional dispersion due to
from the effect on the average scaled profile of a variation of
by
.
Since
and
,
the profile is translated in the
plane by
and
along the x and y axis, respectively. Assuming
(about
,
Kravtsov et al. 2006; Arnaud et al. 2007),
the additional dispersion (in dex units), computed from the
difference between the translated profiles at a given scaled radius,
is plotted in the bottom panel of Fig. 2.
It is non-negligible beyond the core, but the total dispersion,
estimated by summing quadratically this additional contribution, is
expected to remain below
.
It is negligible in the core, where the dispersion is dominated by structural variations.
Finally, the
relation being derived from mass estimated using the hydrostatic
equilibrium, we expect an offset between that relation and the ``true''
relation. The
used in this study are thus likely to be underestimated. The effect of
such a bias is to translate all the scaled profiles together (provided
that it is a simple factor independent of mass). This will not affect
any shape or dispersion analysis but the normalisation of the mean
scaled profile will be biased high. This is further discussed in
Sects. 4.3 and 7.3.
We now turn to the question of the variation of the pressure profiles with mass. From the definition of P500, any deviation from the standard self-similar scaling will appear as a variation of the scaled profiles p (x) with mass,
.
It will also translate into a non-standard slope
for the
relation. From Eq. (6), and assuming that the shape does not vary with mass, we expect that the normalisation of p (x) increases slightly with mass as
,
i.e. as
with:
for the best fitting slope
We show in the left-top panel of Fig. 4 the scaled profiles colour coded as a function of
.
There is some indication that hotter (thus more massive) clusters lie
above cooler systems. To better quantify this, the right-top panel
of the figure shows the variation with
of the scaled pressure, p(x), for different scaled radii,
x=r/R500. At each radius, we fitted the data with a power law
.
The pivot of the power law, where the pressure equals the average scaled value,
,
is about
.
Although the slopes at various radii are consistent within the errors (Fig. 4, right top panel), we note a systematic decrease with radius from
0.16 at
r= 0.1 R500 to
0.16 at R500. This variation can be adequately represented by the analytical expression,
, with:
yielding to scaled profiles varying with mass as:
This corresponds to a break of self-similarity in shape: the departure from standard mass scaling, likely to be due to the effects of non-gravitational processes, becomes less pronounced as we move towards the cluster outskirts and is consistent with zero at R500. Such a behaviour was also noticed in the entropy profiles (Pratt et al. 2010; Nagai et al. 2007).
Note, however, that the mass dependence is weaker for the pressure than
for the entropy: the pressure slopes are about two times smaller
than those of the entropy (Fig. 4 and Pratt et al. 2010, their Fig. 3)
and the break of self-similarity has a low significance. The comparison
with a constant slope model gives a F-test probablility of 0.2.
The mean slope (0.10
0.02) and the slope
at all radii are consistent with the expected 0.12 value.
In a good approximation, the mass dependence of the scaled
profiles can then be modelled by a simple variation in normalisation:
where
We then compared to the results obtained using
derived from the self-similar
relation with slope 3/5 (Eq. (3)). The scaled profiles are plotted in the bottom panel of Fig. 4. In this case, we do not expect any dependence of p (x) with
,
and this is indeed the case: the slopes
are
consistent with zero at all radii (right bottom panel). The dispersion
in scaled profiles is also smaller (see Fig. 2
bottom panel). In that case, the dispersion is only due to
structural variations, while in the non-standard case, the mass
dependence of p(x) also contributes to the dispersion.
|
Figure 5: The scaled pressure profiles (green lines) derived from Vikhlinin et al. (2006) Chandra data on relaxed clusters compared to the scaled profiles of the REXCESS sample excluding morphologically disturbed clusters (same colour code as in Fig. 2). The thick green dotted line is the average Chandra profile. Bottom panel: ratio of that average Chandra profile to that of REXCESS for all morphologically undisturbed objects (dotted line) or only cool core clusters (full line). |
| Open with DEXTER | |
3.5 Comparison to Chandra results for relaxed clusters
In Fig. 5, we plot the pressure profiles presented in Nagai et al. (2007), derived from Chandra data analyzed by Vikhlinin et al. (2006). We only consider clusters with measured
values, excluding MKW4 (
)
and A2390 (z=0.23) which fall outside the
and z range of REXCESS, respectively. We used the published
values,
derived from the hydrostatic equilibrium (HSE) equation, and computed
the pressure from the best fitting parametric models of the density and
temperature profile given in Vikhlinin et al. (2006), in the radial range of the observed temperature profile. Since the Chandra
data set only contains relaxed clusters, they are compared to the
REXCESS profiles excluding morphologically disturbed objects.
All Chandra profiles, except one
, lie within the range of the REXCESS profiles. The bottom panel of Fig. 5 shows the ratio of the average Chandra
profile to the average REXCESS profile. The agreement between the
average profiles, both in shape and normalisation, is nearly
perfect beyond the core, where the dispersion of the scaled profiles is
lower. However, on average, the Chandra profiles are slightly more peaked towards the center (dotted line in bottom panel of Fig. 5)
and have a smaller dispersion than the ``relaxed'' REXCESS clusters.
Better agreement is found with the average REXCESS profile for cool
core clusters (full line in bottom panel of Fig. 5). This is not surprising, since all clusters in the Chandra data set present the central temperature drop characteristic of cool core clusters.
This good agreement is an indication of the robustness of scaled pressure profile measurements with current X-ray satellites. The comparison also illustrates the importance of considering a representative cluster sample to measure the average profile and dispersion in the core.
4 Comparison with numerical simulations
4.1 The data set
We consider three large samples of simulated clusters at redshift zero extracted from
CDM cosmological N-body/hydrodynamical simulations (
,
). The data set includes the samples from Borgani et al. (2004, hereafter BO), Piffaretti & Valdarnini (2008, PV) and Nagai et al. (2007, NA).
All simulations include treatment of radiative cooling, star formation,
and energy feedback from supernova explosions. The three simulated data
sets are fully independent and derived using different numerical
schemes and implementations of the gas physics (see references
above for full description). This allows us to check the robustness of
the theoretical predictions of the pressure profiles by comparing the
three simulated data sets. The fact that the NA simulation was
undertaken on a mesh-based Eulerian code, while the PV and
BO simulations were derived from particle-based Lagrangian codes
is particularly relevant, considering some well known cluster-scale
discrepancies between the numerical approaches, such as is seen in
the entropy profiles (see, e.g., Voit et al. 2005; Mitchell et al. 2009,
and references therein). The star formation algorithm and the
SN feedback model are also quite different both in implementation
and in feedback efficiency.
In order to avoid comparison with inappropriately low mass objects we impose the REXCESS lower mass limit
,
leading to a final number of simulated clusters of 93, 88,
and 14 for the BO, PV, and NA samples, respectively. We
computed the pressure profile for each cluster using the mass-weighted
gas temperature, since the deprojection of the observed profile takes
into account the spectroscopic bias (Sect. 2). The assumed baryon densities are
for the BO, PV, and NA samples, respectively. The assumed baryon fraction,
has a direct impact on the gas density and thus pressure profile at a
given total mass. We thus corrected the gas profiles by the ratio
between the assumed
value and the WMAP5 value (Dunkley et al. 2009) for each sample. To scale each individual pressure profile we consider both the ``true''
and
values and the hydrostatic values
and
.
The former are derived from the total mass distribution in the
simulation. The latter was derived from the gas density and temperature
profiles and the hydrostatic equilibrium equation, using the same
procedure for all clusters. As in previous work (e.g., Piffaretti & Valdarnini 2008, and references therein), we find that
underestimates the true mass. We find a mean bias for the whole sample of -13 per cent with a dispersion of
per cent; the average bias estimated for the different simulations
agrees within a few percent at all radii larger than
0.1 R500.
4.2 Comparison of numerical simulations
|
Figure 6: The scaled pressure profiles derived from numerical simulations of Borgani et al. (2004) (pink), Nagai et al. (2007) (blue) and Piffaretti & Valdarnini (2008) (green). Black line: overall average profile (see text). coloured lines: average profile for each simulation with the coloured area corresponding to the dispersion around it. Bottom panel: ratio of each simulation average profile to the overall average profile. |
| Open with DEXTER | |
We derive the average scaled profile for each simulation, and the dispersion around it, from the median value and 16 and 84 percentiles of the scaled pressure distribution at a given scaled radius. We also compute an average simulation profile. Since the average profile computed from the total sample would be biased by the number of objects in the largest data set, we average the three mean profiles from each simulation data set, and calculate the dispersion from all available profiles. The results derived using the true mass are shown in Fig. 6.
|
Figure 7: Comparison of the REXCESS scaled profiles with the prediction of numerical simulations. Black lines: REXCESS data (as in Fig. 2). Thick black line: average REXCESS scaled profile. Red line: average simulation profile and dispersion around it (orange area) using the hydrostatic mass. Dotted red line: same using the true mass. Bottom panel: ratio of these average simulation profiles to the REXCESS average profile. |
| Open with DEXTER | |
Taking into account that the profiles vary by more than 5 orders
of magnitude from the cluster center to the outskirts, the agreement
between the three simulations is exceptionally good. The profiles agree
within
between
and
(Fig. 6
lower panel). As expected, larger differences are found in the
core, where non-gravitational processes are more important and where
the differences in their implementation in the codes will become more
evident. The BO profiles are available only up to the ``virial''
radius,
but the PV and NA profiles are traced up to
,
where they deviate significantly, but still agree within the
dispersion. However, the differences are sytematic with the PV profiles
lying below the NA profiles. This may hint at a difference in the
way in which Lagrangian and Eulerian codes behave in the IGM-WHIM
regime. Note also the flattening of the pressure profile in the
outskirts, around
,
which is likely to define the actual boundary of the cluster, where it
meets the intergalactic medium. In the following we will use this
boundary to compute the total integrated SZ signal,
.
In spite of the difference in the pressure in the outskirt, there is good agreement on
between the simulations: the SZ signal within 5 R500 computed from the average PV and NA profiles differ by
,
and
,
respectively, from the value computed using the average simulation profile.
4.3 Comparison of REXCESS profiles with simulations
Figure 7 compares
the observed scaled profiles with the prediction of the simulations. We
first consider the simulated profiles scaled using the hydrostatic
quantities
and
,
since the observations rely on hydrostatic mass estimates. Note that we used the
relation calibrated from a sample of relaxed clusters, while for the simulations we used
and
for the whole sample. However we checked that, when considering only relaxed clusters, the median bias on
changes by only
,
the main effect being a factor of 2 decrease in its dispersion.
The simulation prediction and the REXCESS data agree well in the external part (
), with the observed profiles lying within the dispersion around the average simulation profile (Fig. 7). Remarkably, the observed and simulated average profiles are parallel above
0.4 R500 (i.e. they have the same shape), with a normalisation offset of only
(Fig. 7, bottom panel). The slight underestimate of the pressure in the simulations is similar to the offset observed for the
relation
and may be due, at least in part, to over-condensation of hot gas
in the cold dense phase (see discussion in Arnaud et al. 2007).
As we move towards the center, the agreement progressively
degrades, the simulations predicting more peaked profiles than those
observed (Fig. 7 bottom panel). This behaviour was also noticed by Nagai et al. (2007) when comparing their simulations with Chandra relaxed clusters, and it is also observed for the temperature profiles (see Pratt et al. 2007).
As mentioned above, the core properties are most sensitive to
non-gravitational processes and these discrepancies are again likely to
reflect the fact that modelling of the processes is still inadequate.
The average simulation profile derived using the true mass for each
simulated cluster is also shown in the figure (dotted lines).
As compared to the scaling based on
and
,
the scaled profile of each cluster is translated to the left and to the bottom in the
plane.
The average profile lies below the profile based on the hydrostatic
values, as expected from the mean bias between
and
.
The offset with the observed profile in the outer region becomes more significant, about
.
In conclusion, there is an excellent agreement in shape between
the simulated and observed profiles for the cluster outer regions,
which is the most relevant aspect for the
estimate. The better agreement in normalisation with the simulations
when using the hydrostatic mass suggests that the hydrostatic X-ray
masses used to scale the observed profiles are indeed underestimated.
5 The universal pressure profile
As pointed out by Nagai et al. (2007), an analytic cluster pressure profile model is useful both for analysis of SZ observations and for theoretical studies. Of prime interest is a model for the average scaled profile of the entire cluster population. For nearby clusters it can be derived from the present data, the REXCESS sample being a representative sample.
We considered the generalized NFW (GNFW) model proposed by Nagai et al. (2007):
The parameters
Taking advantage of the good agreement between observations and
simulations in the outer cluster regions, we thus defined an hybrid
average profile, combining the profiles from observations and
simulations. It is defined by the observed average scaled profile
in the radial range
[0.03-1] R500 derived in Sect. 3.2 and the average simulation profile in the
[1-4] R500 region. For the simulations, we used the profile based on the hydrostatic quantities and renormalised it by
to correct for the observed offset with the observations at
r>0.4 R500. We fitted this hybrid profile with the GNFW model in the
plane, weighting the ``data'' points according to the dispersion. The best fitting model is plotted in Fig. 8, with parameters:
Using the dimensionless ``universal'' profile,
with x=r/R500,
|
Figure 8: GNFW model of the universal pressure profile (green line). It is derived by fitting the observed average scaled profile in the radial range [0.03-1] R500, combined with the average simulation profile beyond R500 (red line). Black lines: REXCESS profiles. Orange area: dispersion around the average simulation profile. |
| Open with DEXTER | |
We also fitted each individual observed cluster profile with the GNFW model, fixing the
value to that derived above (Eq. (12)),
as well as the average scaled profile of the cool core and
morphologically disturbed clusters. The best fitting parameters are
listed in Appendix C, where we also provide plots of each individual cluster profile with its best fitting model.
6 Integrated Compton parameter scaling relations
6.1 Definitions and method
In this section we discuss scaling relations directly relevant for SZE
studies. We will consider the volume integrated Compton parameter Y, for both cylindrical and spherical volumes of integration. The spherically integrated quantity,
,
proportional to the gas thermal energy, is defined as:
and the cylindrically integrated quantity,
where
For each cluster, the spherically integrated Compton parameter can be readily computed from the observed pressure profile. The
scaling relations can then be directly derived from the data for integration radii up to R500, the observed radial range. They are presented below in Sect. 6.2. Such a derivation is not possible for
(or the total
signal): it involves integration along the line of sight up to
,
i.e., beyond the observed radial range. However, using the
universal pressure profile, we can compute the volume integrated
Compton parameter, Y, for any region of interest, and derive the corresponding scaling relations (presented below in Sect. 6.3). The two approaches give fully consistent results, as shown below.
Finally, for convenience, we also define a characteristic Compton parameter, Y500, corresponding to the characteristic pressure P500 (see Appendix A):
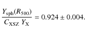
6.2 Observed Ysph - YX and Ysph - M500 relations
The values for
and
,
derived from the observed pressure profiles, are given in Table C.1. R2500 is defined as
R2500=0.44 R500 from the scaling relations presented in Arnaud et al. (2005).
The integration was performed using the MC deconvolved density and
model temperature profiles, allowing us to propagate the statistical
errors, including that on R500. We checked that
using instead the best fitting GNFW model for each profile gives
consistent results within the statistical errors. Note that the errors
on
take into account the statistical errors on the relevant X-ray data, but not the uncertainties on the
relation
itself. The latter are therefore not included in the statistical errors
on the slope and normalisation of the relations.
|
Figure 9:
The
|
| Open with DEXTER | |
Figure 9 shows the
relations with
,
together with the best fitting power law. We normalised
by:
for
As mentioned in the introduction, the
relation depends on the internal cluster structure (Eq. (1)). For
,
we obtained:
|
(18) |
The best fitting slope is slightly greater than one (a
Note that this ratio is nothing more than the ratio,
Figure 10 shows the
data together with the best fitting relation:
Since
6.3 Scaling relations from the universal pressure profile
|
Figure 10:
The
|
| Open with DEXTER | |
6.3.1 Y
- M500 and Y
D
- M500 relations
Let us first consider
derived from the universal pressure profile. Combining Eqs. (14), (13) and (16):
with
In that case, and combining Eqs. (21), (7) and (16), the
relation for an integration radius of x R500 can be written as:
where
with
Similarly, the relation for the SZ signal within an aperture of x R500 is obtained from Eqs. (15), (13) and (16):
with
for a cluster extent of 5 R500. For an aperture of R500, J(1)=0.7398 or
Uncertainties on the above relations, that are established combining
observational and theoretical data, cannot be assessed rigourously.
Rough estimates of the statistical errors can be derived by combining
the errors on the
and
relations, with the latter largely dominant. This gives
0.06 or
0.08, further adding quadratically the systematic effect of the
pressure self-similarity break discussed above. The logarithmic error
on the normalisation at the pivot is
(
).
|
Figure 11:
Spherically integrated Compton parameter,
|
| Open with DEXTER | |
6.3.2 Behavior of Y
(R) and comparison with the isothermal
-model
It is instructive to study in more detail the radial dependence of
.
varies with radius as I(x) (Eq. (24) with
from Eqs. (11) and (12)). By construction its normalisation scales with mass as
.
Figure 11 shows the variation of
with scaled integration radius, normalised to
,
so that we are effectively probing
at fixed mass.
At large radii, the integrand in I(x) varies as
for an outer pressure profile slope of
.
As a result,
converges rapidly beyond R500 and the total SZ signal is not very sensitive to the assumption on cluster extent. Assuming a cluster extent of 4 R500, 6 R500 or even
100 R500, rather than 5 R500, changes the total signal by only
,
and
,
respectively. On the other hand, the figure shows the dominant contribution of the external regions to
:
of the contribution to
comes from
while the region within
0.1 R500 and
0.2 R500 contributes by only
and
respectively. This will be even more pronounced for the
signal (integration within a cylindrical volume).
We also plot
for the GNFW model obtained by Nagai et al. (2007) from Chandra data (for the corrected parameters,
[ 12.2,1.3,0.4, 0,9, 5.0], published by Mroczkowski et al. 2009). It is slightly larger in the center, as expected from the more peaked nature of the scaled Chandra profiles (Sect. 3.5). The agreement
is very good in the outskirts, as it is for the profiles (Fig. 5), with a slightly higher asymptotic value due the slightly smaller value of
.
We also compare with the result obtained with an isothermal
-model, with
and a core radius of
(Arnaud et al. 2002). The difference is only
at R500 but the model diverges at high radii. This clearly shows that the total
signal derived assuming an isothermal
-model
is very sensitive to the assumed extent of the cluster. It will
also be always overestimated by such a model, as emphasized by Hallman et al. (2007). As an illustration, assuming a cluster extent of
2.03 R500, the top-hat virial radius often used in the litterature, the
-model gives a total
signal 1.7 higher than the universal pressure profile. This over-estimate depends on the choice of the
-model shape parameters. It decreases with decreasing core radius and increasing
value. It is still a factor of 1.4 for
and
and reaches a factor of 2.1 for
and
.
6.4 The Y - LX relations
The scaling between the SZ signal and the X-ray luminosity,
is an important relation for comparing X-ray surveys such as the ROSAT All Sky Survey and future or on going SZE surveys, such as the Planck survey. The luminosity within R500 and in the soft-band
[0.1-2.4] keV, most relevant for X-ray Surveys, has been estimated for REXCESS clusters by Pratt et al. (2009); here we used the values both corrected and uncorrected for Malmquist bias. Figure 12 shows the corresponding
relations.
|
Figure 12:
The
|
| Open with DEXTER | |
We fitted the REXCESS data with a power law:
The best fitting parameters are given in Table 1. The intrinsic scatter around the relation is important, more than
Table 1:
and updated
relations (see text).
For practical purposes, the scaling of
or that of the total SZ signal with
is of more direct interest than the
relation. In view of the good agreement of the latter with the universal profile model, the
relation, for any integration region of interest, can be safely derived by correcting the normalisation in Eq. (28) by the model ratio of Y to
.
This ratio is simply I(x)/I(1) for the spherically integrated Compton parameter, e.g.,
I(5)/I(1)=1.796 for the total SZ signal, and J(x)/I(1) for the
signal.
6.5 Comparison with standard self-similar relations
The
relations derived above do not seem to deviate much from standard self-similarity (Fig. 10). A fully consistent standard (ST) model, with standard slope
relations, is obtained when using the standard slope
relation (Eq. (3)), as shown in Appendix B.
The universal profile and scaling relations obtained in that case are
given in the Appendix, together with a detailed comparison of the
presently derived scaling relations with the ST relations.
In summary, the difference for the
relations mirrors that for the
relation. As compared to values derived from the ST relation, Y is lower at low mass and higher at high mass. Typically, the difference for the total
signal ranges from
to
in the
mass range. On the other hand, the
relations,
which only depend on cluster internal structure, are essentially the
same in the two models: the difference is less than
in the
[0.1-10] 1044 ergs/s luminosity range.
7 Discussion
7.1 Departure from standard self-similarity
The present work is based on a representative sample of nearby clusters. The sample, REXCESS, was chosen by X-ray luminosity alone, without regard to morphology or dynamical state. As for the entropy (Pratt et al. 2010), the depth of the observations allowed us to probe the scaling behavior of the pressure profiles out to R500. Both points are essential for a complete picture of the modification of the standard self-similarity due to non-gravitational processes, including its radial behavior.
The behaviour of the pressure profiles, with respect to
standard self-similarity with zero dispersion, resembles that generally
found for other quantities such as the entropy or density:
1) regularity in shape outside the core 2) increased
dispersion inside the core linked to cooling effects and dynamical
state and 3) departure from standard mass scaling that becomes
less pronounced towards the cluster outskirts. However, the latter two
deviations are less pronounced than for the entropy and/or density,
showing that the pressure is the quantity least affected by dynamical
history and non-gravitational physics. This further supports the view
that
is indeed a good mass-proxy.
7.2 Robustness of the universal profile
We combined observational and simulation data to derive the universal pressure profile. The convergence of various approaches to determine scaled cluster profiles supports the robustness of our determination of the universal profile, particularly of its shape. This includes the agreement between independent simulations, between these simulations and the present observed data based on a representative cluster sample, and also the agreement between the present XMM-Newton data and published Chandra data for clusters of similar thermo-dynamical state. As a result, we believe that quantities which purely depend on the universal profile shape are particularly robust and well converged. This includes the typical SZ decrement profile or relations between the Compton parameter estimated in various apertures.
However, the universal profile beyond R500 is purely based on simulations and thus less secure than within R500.
While the standard non-gravitational processes currently implemented in
numerical simulations are known to introduce small modifications of the
profiles at large radii with respect to the adiabatic case (Nagai et al. 2007), other less explored processes may affect the profiles.
In particular, the electron-proton equilibration time is larger than the Hubble time in the outskirts (Fox & Loeb 1997)
and if the electron temperature is indeed smaller than the ion
temperature, this will affect the pressure profile and lead to a
decrease in the total
signal (Rudd & Nagai 2009). The pressure profile interior to R500
is directly based on observations but derived from temperatures
estimated using azimuthally averaged spectra. These have been corrected
for the spectroscopic bias due to projection but not for azimuthal
variations. High resolution SZ data with improved sensitivity are
needed to probe any remaining systematic effects due to the
spectroscopic bias, and to directly observe the shape of the pressure
profile beyond R500, which is out of reach of current X-ray observatories.
7.3 Y - M500 relations
The cluster masses have been estimated using the mass-proxy
.
The absolute normalisation and slope of the
relations, derived using the universal profile, thus rely on the underlying observationally defined
relation. Initial comparison with
data for 3 high mass systems, measured with SZA by Mroczkowski et al. (2009)
and analysed with a realistic analytic pressure profile, indicates good
agreement. A key point is to extend this type of analysis to
larger samples and to include lower mass systems.
We further emphasize that the
relation was calibrated from hydrostatic mass estimates using relaxed objects. The
relation we derive is technically a Y-X-ray mass relation and is expected to differ from the ``true''
relation by the offset between the ``true'' mass and the hydrostatic mass for relaxed objects.
With the present study based on a mass proxy, we cannot assess the intrinsic scatter of the ``true''
relation. However, an upper limit is the quadratic sum of the scatter of the
relation and that of the
relation. Note that the latter is purely due to variations in pressure profile shapes. Our measure of the
relation, using
directly derived from spherically integration of the pressure profiles, exhibits dispersion consistent with the
statistical
scatter. Our study thus does show that variations in pressure profile
shapes do not introduce an extra scatter into the
relation as compared to that of the
relation. Actually, the scatter of the
relation might even be smaller than that of the
relation:
the tightness of these relations seems to arise from the empirical
evidence that density and temperature are anti-correlated and
depends on their local products as opposed to a global product for
.
8 Conclusions
The present work is the first examination of the properties of the ICM pressure for a representative sample of nearby clusters covering the mass range
.
Scaling the individual pressure profiles by mass and redshift according
to the standard self-similar model, we derived an average scaled
pressure profile for the cluster population and relate the deviations
about the mean to both the mass and the thermo-dynamical state of the
cluster:
- Cool core systems exhibit more peaked pressure profiles, while morphologically disturbed systems have shallower profiles.
- As a result, the dispersion is large in the core region, reaching approximately 80 per cent at 0.03 R500. However, as compared to the density, the pressure exhibits less scatter, a result of the anticorrelation of the density and temperature profiles interior to 0.2 R500. Outside the core regions, the dispersion about the average profile is remarkably low, at less than 30 per cent beyond 0.2 R500.
- We find a residual mass dependence of the scaled profiles, with a slope of
,
consistent with that expected from the empirical non-standard slope of the
relation.
However, there is some evidence that the departure from standard
scaling decreases with radius and is consistent with zero at R500. We provide an analytical correction to the mean slope that accounts for this second order effect.
- Simulated scaled profiles from three independent sets of state of
the art numerical simulations show excellent agreement, within
,
between 0.1 and 3 R500, for pressures varying by 4 orders of magnitude in that radial range.
- Comparison with observed scaled data shows good agreement outside the core regions, which is the most relevant aspect for the
estimate. The average simulation profile lies parallel to the observed data, with only a slight offset (
per cent) when the simulated profiles are scaled using the hydrostatic mass.
- This motivates us to combine the average observed scaled profile in the [0.03-1] R500 radial range with the average simulated profile in the [1-4] R500 range. This hybrid profile is fitted by a generalised NFW model, which allows us to define a dimensionless universal ICM pressure profile. Combined with the empirical mass scaling of the profiles, this universal profile defines the physical pressure profile of clusters, up to the cluster boundary, as a function of mass and redshift, assuming self-similar evolution.
- The expected
or
relations are derived for any aperture. The slope is the inverse of the empirical slope of the
relation.
The normalisation is given by the dimensionless integral of the
universal profile within the region of interest expressed in scaled
radius. The corresponding
relations can be derived by combining the relevant
relation with the empirical
relation.
- The
and
relations
derived directly from the individual profiles are in excellent
agreement with those expected from the universal profile.
- We confirm that the isothermal
-model over-estimates the Y signal
at given mass. This overestimate depends strongly on the assumption on
cluster extent and reaches a factor of nearly two at 2 R500.
A major open issue is the pressure evolution. With the present study
based on a local cluster sample, we could only assume standard
self-similar evolution. Because the SZ signal is not subject to
redshift dimming, on going SZ surveys are expected to detect many
new clusters at high z. Of particular interest is the Planck
survey, which, thanks to its All-Sky coverage, will detect massive,
thus rare, clusters, the best objects for precise cosmology with
clusters. SZ follow-up, at the best possible resolution, and
sensitive X-ray follow-up (particularly with XMM-Newton) will be crucial to assess possible evolution of pressure profile shape and measure the evolution of the
and
relations. Further progress, in particular on the mass bias and on the intrinsic scatter of the Y - M relation,
is expected from the wealth of high quality multi-wavelength data
that will be available in the coming years.
We would like to thank Stefano Borgani, Daisuke Nagai, and Riccardo Valdarnini for providing us with the simulated data and for helpful discussions and useful comments on the manuscript. We thank J. B. Melin for enlightening discussions related to SZ observations. The present work is based on observations obtained with XMM-Newton, an ESA science mission with instruments and contributions directly funded by ESA Member States and the USA (NASA). E.P. acknowledges the support of grant ANR-06-JCJC-0141.
References
- Afshordi, N., Lin, Y.-T., Nagai, D., & Sanderson, A. J. 2007, MNRAS, 378, 293 [NASA ADS] [CrossRef] [Google Scholar]
- Akritas, M. G., & Bershady, M. A. 1996, ApJ, 470, 706 [NASA ADS] [CrossRef] [Google Scholar]
- Arnaud, M., Aghanim, N., & Neumann, D. 2002, A&A, 389, 1 [NASA ADS] [CrossRef] [EDP Sciences] [Google Scholar]
- Arnaud, M., Pointecouteau, E., & Pratt, G. W. 2005, A&A, 441, 893 [NASA ADS] [CrossRef] [EDP Sciences] [Google Scholar]
- Arnaud, M., Pointecouteau, E., & Pratt, G. W. 2007, A&A, 474, L37 [NASA ADS] [CrossRef] [EDP Sciences] [Google Scholar]
- Atrio-Barandela, F., Kashlinsky, A., Kocevski, D., & Ebeling, H. 2008, ApJ, 675, L57 [NASA ADS] [CrossRef] [Google Scholar]
- Bonaldi, A., Tormen, G., Dolag, K., & Moscardini, L. 2007, MNRAS, 278, 1248 [Google Scholar]
- Bonamente, M., Joy, M., LaRoque, S., et al. 2008, ApJ, 675, 106 [NASA ADS] [CrossRef] [Google Scholar]
- Böhringer, H., Schuecker, P., Guzzo, L., et al. 2004, A&A, 425, 367 [NASA ADS] [CrossRef] [EDP Sciences] [Google Scholar]
- Böhringer, H., Schuecker, P., Pratt, G. W., et al. 2007, A&A, 469, 363 [NASA ADS] [CrossRef] [EDP Sciences] [Google Scholar]
- Borgani, S., Murante, G., Springel, V., et al. 2004, MNRAS, 348, 1078 [NASA ADS] [CrossRef] [Google Scholar]
- Croston, J. H., Arnaud, M., Pointecouteau, E., & Pratt, G. W. 2006, A&A, 459, 1007 [NASA ADS] [CrossRef] [EDP Sciences] [Google Scholar]
- Croston, J. H., Pratt, G. W., Böhringer, H., et al. 2008, A&A, 487, 431 [NASA ADS] [CrossRef] [EDP Sciences] [Google Scholar]
- da Silva, A. C., Kay, S. T., Liddle, A. R., & Thomas, P. 2004, MNRAS, 348, 1401 [NASA ADS] [CrossRef] [Google Scholar]
- Diego, J. M., & Partridge, B. 2010, MNRAS, 402, 1179 [NASA ADS] [CrossRef] [Google Scholar]
- Dunkley, J., Komatsu, E., Nolta, M. R., et al. 2009, ApJS, 180, 306 [NASA ADS] [CrossRef] [Google Scholar]
- Finoguenov, A., Böhringer, H., & Zhang, Y.-Y. 2005, A&A, 442, 827 [NASA ADS] [CrossRef] [EDP Sciences] [Google Scholar]
- Finoguenov, A., Davis, D. S., Zimer, M., & Mulchaey, J. 2006, ApJ, 646, 143 [NASA ADS] [CrossRef] [Google Scholar]
- Fox, D., & Loeb, A. 1997 ApJ, 491, 459 [Google Scholar]
- Hallman, E. J., Burns, J. O., Motl, P. M., & Norman, M. L. 2007, ApJ, 665, 911 [NASA ADS] [CrossRef] [Google Scholar]
- Halverson, N., Lanting, T., Ade, P., et al. 2009, ApJ, 701, 42 [NASA ADS] [CrossRef] [Google Scholar]
- Jia, S., Böhringer, H., Pointecouteau, E., Chen, Y., & Zhang, Y. 2008, A&A, 489, 1 [NASA ADS] [CrossRef] [EDP Sciences] [Google Scholar]
- Johnson, S., Ponman, T., & Finoguenov, A. 2009, MNRAS, 395, 1287 [NASA ADS] [CrossRef] [Google Scholar]
- Jones, C., & Forman, W. 1984, ApJ, 276, 38 [NASA ADS] [CrossRef] [Google Scholar]
- Kitayama, T., Komatsu, E., Ota, N., et al. 2004, PASJ, 56, 17 [NASA ADS] [Google Scholar]
- Komatsu, E., Kitayama, T., Suto, Y., et al. 1999, ApJ, 516, L1 [NASA ADS] [CrossRef] [Google Scholar]
- Komatsu, E., Matsuo, H., Kitayama, T., et al. 2001, PASJ, 53, 57 [NASA ADS] [CrossRef] [Google Scholar]
- Kravtsov, A. V., Vikhlinin, A., & Nagai, D. 2006, ApJ, 650, 128 [NASA ADS] [CrossRef] [Google Scholar]
- Lewis, A. D., Buote, D. A., & Stocke, J. T. 2003, ApJ, 586, 135 [NASA ADS] [CrossRef] [Google Scholar]
- Lieu, R., Mittaz, J., & Zhang, S.-N. 2006, ApJ, 648, 176 [NASA ADS] [CrossRef] [Google Scholar]
- Mathiesen, B. F., & Evrard, A. E. 2001, ApJ, 546, 100 [CrossRef] [Google Scholar]
- Maughan, B. J. 2007, ApJ, 668, 772 [NASA ADS] [CrossRef] [Google Scholar]
- Marrone, D., Smith, G. P., Richard, J., et al. 2009, ApJ, 701, L114 [NASA ADS] [CrossRef] [Google Scholar]
- Mazzzotta, P., Rasia, E., Moscardini, L., & Rormen, G. 2004, MNRAS, 354, 10 [NASA ADS] [CrossRef] [Google Scholar]
- McCarthy, I., Holder, G., Babul, A., & Balogh, M. 2003, ApJ, 591, 526 [NASA ADS] [CrossRef] [Google Scholar]
- Mitchell, N. L., McCarthy, I. G., Bower, R. G., Theuns, T., & Crain, R. A. 2009, MNRAS, 395, 180 [NASA ADS] [CrossRef] [Google Scholar]
- Motl, P. M., Hallman, E. J., Burns, J. O., & Norman, M. L. 2005, ApJ, 623, L63 [NASA ADS] [CrossRef] [Google Scholar]
- Morandi, A., Ettori, S., & Moscardini, L. 2007, MNRAS, 379, 518 [NASA ADS] [CrossRef] [Google Scholar]
- Mroczkowski, T., Bonamente, M., Carlstrom, J., et al. 2009, ApJ, 694, 1034 [NASA ADS] [CrossRef] [Google Scholar]
- Nagai, D. 2006, ApJ, 650, 538 [NASA ADS] [CrossRef] [Google Scholar]
- Nagai, D., Kravtsov, A. V., & Vikhlinin, A. 2007, ApJ, 668, 1 [NASA ADS] [CrossRef] [Google Scholar]
- Nord, M., Basu, K., Pacaud, F., et al.2009, A&A, 506, 623 [Google Scholar]
- Piffaretti, R., & Valdarnini, R. 2008, A&A, 491, 71 [NASA ADS] [CrossRef] [EDP Sciences] [Google Scholar]
- Pointecouteau, E., Giard, M., Benoit, A., et al. 1999, ApJ, 519, L115 [NASA ADS] [CrossRef] [Google Scholar]
- Pointecouteau, E., Giard, M., Benoit, A., et al. 2001, ApJ, 552, 42 [NASA ADS] [CrossRef] [Google Scholar]
- Pointecouteau, E., Arnaud, M., Kaastra, J., & de Plaa, J. 2004, A&A, 423, 33 [NASA ADS] [CrossRef] [EDP Sciences] [Google Scholar]
- Pointecouteau, E., Arnaud, M., & Pratt, G. W. 2005, A&A, 435, 1 [NASA ADS] [CrossRef] [EDP Sciences] [Google Scholar]
- Pratt, G. W., Böhringer, H., Croston, J. H., et al. 2007, A&A, 461, 71 [NASA ADS] [CrossRef] [EDP Sciences] [Google Scholar]
- Pratt, G. W., Croston, J. H., Arnaud, M., & Böhringer, H. 2009, A&A, 498, 361 [NASA ADS] [CrossRef] [EDP Sciences] [Google Scholar]
- Pratt, G. W., Arnaud, M., Piffaretti, R., et al. 2010, A&A, 511, A85 [NASA ADS] [CrossRef] [EDP Sciences] [Google Scholar]
- Rudd, D., & Nagai, D. 2009, ApJ, 701, L16 [NASA ADS] [CrossRef] [Google Scholar]
- Reid, B., & Spergel, D. 2006, ApJ, 651, 643 [NASA ADS] [CrossRef] [Google Scholar]
- Shaw, L., Holder, G., & Bode, P. 2008, ApJ, 686, 206 [Google Scholar]
- Staniszewski, Z., Ade, P. A., Aird, K. A., et al. 2009, ApJ, 701, 32 [CrossRef] [Google Scholar]
- Vikhlinin, A. 2006, ApJ, 640, 710 [NASA ADS] [CrossRef] [Google Scholar]
- Vikhlinin, A., Markevitch, M., Murray, S. S., et al. 2005, ApJ, 628, 655 [NASA ADS] [CrossRef] [Google Scholar]
- Vikhlinin, A., Kravtsov, A., Forman, W., et al.2006, ApJ, 640, 691 [Google Scholar]
- Vikhlinin, A., Burenin, R., Ebeling, H., et al. 2009, ApJ, 692, 1033 [NASA ADS] [CrossRef] [Google Scholar]
- Voit, G. M. 2005, Rev. Mod. Phys., 77, 207 [NASA ADS] [CrossRef] [Google Scholar]
- Voit, M., Kay, S., & Bryan, G. 2005, MNRAS, 364, 909 [NASA ADS] [CrossRef] [Google Scholar]
- Wik, D. R., Sarazin, C. L., Ricker, P. M., & Randall, S. W. 2008, ApJ, 680, 17 [NASA ADS] [CrossRef] [Google Scholar]
Appendix A: Characteristic self-similar quantities
Following Nagai et al. (2007) and Voit (2005) the characteristic quantities, P500 and Y500, used in the present work, are defined from a simple self-similar model. The characteristic temperature is
,
the temperature of a singular isothermal sphere with mass
.
Here,
is the mean molecular weight and
,
the proton mass. We recall that
is defined as the mass within the radius R500 at which the
mean mass density is 500 times the critical density,
,
of the universe at the
cluster redshift:
with
.
H(z) is the Hubble constant,
and G is the Newtonian constant of gravitation. The characteristic gas density is
,
i.e., the ratio of the gas density to the dark matter density is that of the Universe baryon fraction
.
The electron density is
where
is the mean molecular weight per free electron.
The characteristic pressure, P500, is then defined as:
| P500 | = | (A.1) | |
| = |
|
(A.2) |
and the corresponding characteristic integrated Compton parameter is:
| Y500 | = | (A.3) | |
| = |
|
(A.4) |
Numerical coefficients given in the corresponding Eqs. (5) and (16) are obtained for
Appendix B: The standard self-similar case
In this Appendix, we summarise results (hereafter ST results) obtained when
is estimated for each REXCESS clusters using the
relation with a standard slope (Eq. (3)). The other physical parameters are consistently estimated, R500,
and
simultaneously in the iteration process used to derive
(Sect. 2), and
from integration of the pressure profiles up to R500. For practical purposes, the baseline parameters obtained using the best fitting empirical
relation (Eq. (2)) can be converted to the ST values using the power law relations given in Table B.1. The luminosity
is kept unchanged, the difference in R500 values (at most
), having a negligible impact due to the steep drop of emission with radius.
Table B.1:
Power law relations to convert physical parameters of REXCESS clusters from those derived using the empirical
relation (Eq. (2)) to those derived using the standard slope relation (Eq. (3))*.
Table B.2:
and
relations for
estimated using the standard slope
relation (Eq. (3))*.
|
Figure B.1:
Ratio of the scaling relations derived using the empirical
|
| Open with DEXTER | |
In the ST case, the scaled pressure profiles do not show any significant dependence on mass, as shown in Sect. 3.4. In other words, the pressure profiles follow a standard self-similar mass scaling:
with P500 defined by Eq. (5). The GNFW parameters of the universal profile
As a result, the integrated Compton parameters also follow standard self-similarity,
with Y500 given by Eq. (16) and I(x) or J(x) defined by Eqs. (24) and (27), respectively. For the GNFW parameters given by Eq. (B.2), the numerical values of I(1), I(5) and J(1) are 0.6552, 1.1885 and 0.7913, respectively. The
We also derived the observed
relation, as well as the
corresponding to the modified
values. The best fitting power law parameters are given in Table B.2. The former is consistent with the relation expected from combining the
relation with the
relation derived from the universal pressure profile (Eq. (B.3)). The
relation, for any integration region of interest, can be derived by correcting the normalisation of the
given in Table B.2 by the model ratio of Y to
,
as described in Sect. 6.4.
Figure B.1 compares
the scaling relations derived in the paper with the ST relations
derived in this section. The empirical slope of the
relation being smaller than the standard value,
at a given
is higher at low
and smaller at high
(top panel). Equivalently,
at given mass is smaller at low mass, by
at
,
and higher at high mass, by
at
(second panel). The behavior of
closely follows that of
(same panel) simply because the ratio of the two purely depends on the
shape of the universal profile. This shape is barely affected by the
small difference in R500 values used to scale the physical pressure profiles. Similarly, the
relation only depends on cluster internal structure and is essentially the same in the two models (bottom panel).
is slightly higher/lower at low/high
following the change of R500 at given
.
As the
is shallower than the ST relation, the
is also shallower (thus higher R500 at low
)
or equivalently the
is steeper (third panel).
Appendix C: Pressure profiles and best fitting model
Here we list the physical cluster properties and the parameters of the GNFW model best fitting each profile (Table C.1). Individual profiles and their best fitting model are plotted in Figs. C.1-C.1. We also provide the GNFW parameters for the average scaled profile of the cool core and morphologically disturbed clusters in Table C.2.
Table C.1: Cluster physical parameters.
Table C.2: Best fitting GNFW parameters for the average pressure profile of the REXCESS sub-samples of cool core and morphologically disturbed clusters (Eq. (11)).
|
Figure C.1: Pressure profiles for the entire REXCESS sample with the best fitting GNFW model (red line). The dotted vertical line indicates R500 for each cluster. |
| Open with DEXTER | |
|
Figure C.1: continued. |
| Open with DEXTER | |
|
Figure C.1: continued. |
| Open with DEXTER | |
Footnotes
- ...

- Here and in the following,
and
are the total mass and radius corresponding to a density
contrast,
,
as compared to
,
the critical density of the universe at the cluster redshift:
.
corresponds
roughly to the virialised portion of clusters, and is traditionally
used to define the ``total'' mass.
- ... shape
- The normalisation of the density profiles, scaled according to the standard self-similar model, varies with mass as shown by Croston et al. (2008).
- ... one
- The outlier is A133, a relaxed cooling core
cluster (Vikhlinin et al. 2005).
This cluster appears to present a general deficit of gas.
Its pressure at all radii is low as compared to other
clusters, as well as its gas mass fraction (
0.006 to be compared to a weighted mean for the rest of Chandra sample
of 0.115
0.010[stdev]).
- ... agreement
- Note, however, that (Nagai
et al. 2007) assumed a standard self-similar mass
scaling of the presure profile. The
relations
derived from their profiles would differ from ours in terms of slope.
All Tables
Table 1:
and updated
relations (see text).
Table B.1:
Power law relations to convert physical parameters of REXCESS clusters from those derived using the empirical
relation (Eq. (2)) to those derived using the standard slope relation (Eq. (3))*.
Table B.2:
and
relations for
estimated using the standard slope
relation (Eq. (3))*.
Table C.1: Cluster physical parameters.
Table C.2: Best fitting GNFW parameters for the average pressure profile of the REXCESS sub-samples of cool core and morphologically disturbed clusters (Eq. (11)).
All Figures
|
Figure 1:
The pressure profiles of the REXCESS sample. Pressures are estimated at
the effective radii of the temperature profile (points with errors
bars). A line connects the data points for each cluster to guide
the eye. The data are colour coded according to the spectroscopic
temperature, |
| Open with DEXTER | |
| In the text | |
|
Figure 2:
The scaled pressure profiles of the REXCESS sample, colour coded
according to the (thermo)dynamical state (see labels and
Sect. 2). Black profiles denote clusters that are neither cool core nor morphologically disturbed. The radii are scaled to R500 and the pressure to P500 as defined in Eq. (5), with
|
| Open with DEXTER | |
| In the text | |
|
Figure 3:
The scaled density (top left panel) and temperature (top right panel)
profiles of the REXCESS sample. Each profile is colour coded according
to the cluster (thermo)dynamical state (see labels and Sect. 2). The radii are scaled to R500, estimated from the
|
| Open with DEXTER | |
| In the text | |
|
Figure 4:
The scaled pressure profiles of the REXCESS sample, colour coded according to spectroscopic temperature measured in the
[0.15-0.75] R500 aperture (left panels, same coding as in Fig. 1). Right panels:
corresponding scaled pressure estimated at different values of scaled
radii plotted as a function of cluster mass. Full lines: power law
fit at each scaled radius, with the best fitting slope given in the
labels. Dotted line: value for the average scaled profile at that
radius. The cluster masses,
|
| Open with DEXTER | |
| In the text | |
|
Figure 5: The scaled pressure profiles (green lines) derived from Vikhlinin et al. (2006) Chandra data on relaxed clusters compared to the scaled profiles of the REXCESS sample excluding morphologically disturbed clusters (same colour code as in Fig. 2). The thick green dotted line is the average Chandra profile. Bottom panel: ratio of that average Chandra profile to that of REXCESS for all morphologically undisturbed objects (dotted line) or only cool core clusters (full line). |
| Open with DEXTER | |
| In the text | |
|
Figure 6: The scaled pressure profiles derived from numerical simulations of Borgani et al. (2004) (pink), Nagai et al. (2007) (blue) and Piffaretti & Valdarnini (2008) (green). Black line: overall average profile (see text). coloured lines: average profile for each simulation with the coloured area corresponding to the dispersion around it. Bottom panel: ratio of each simulation average profile to the overall average profile. |
| Open with DEXTER | |
| In the text | |
|
Figure 7: Comparison of the REXCESS scaled profiles with the prediction of numerical simulations. Black lines: REXCESS data (as in Fig. 2). Thick black line: average REXCESS scaled profile. Red line: average simulation profile and dispersion around it (orange area) using the hydrostatic mass. Dotted red line: same using the true mass. Bottom panel: ratio of these average simulation profiles to the REXCESS average profile. |
| Open with DEXTER | |
| In the text | |
|
Figure 8: GNFW model of the universal pressure profile (green line). It is derived by fitting the observed average scaled profile in the radial range [0.03-1] R500, combined with the average simulation profile beyond R500 (red line). Black lines: REXCESS profiles. Orange area: dispersion around the average simulation profile. |
| Open with DEXTER | |
| In the text | |
|
Figure 9:
The
|
| Open with DEXTER | |
| In the text | |
|
Figure 10:
The
|
| Open with DEXTER | |
| In the text | |
|
Figure 11:
Spherically integrated Compton parameter,
|
| Open with DEXTER | |
| In the text | |
|
Figure 12:
The
|
| Open with DEXTER | |
| In the text | |
|
Figure B.1:
Ratio of the scaling relations derived using the empirical
|
| Open with DEXTER | |
| In the text | |
|
Figure C.1: Pressure profiles for the entire REXCESS sample with the best fitting GNFW model (red line). The dotted vertical line indicates R500 for each cluster. |
| Open with DEXTER | |
| In the text | |
|
Figure C.1: continued. |
| Open with DEXTER | |
| In the text | |
|
Figure C.1: continued. |
| Open with DEXTER | |
| In the text | |
Copyright ESO 2010
Current usage metrics show cumulative count of Article Views (full-text article views including HTML views, PDF and ePub downloads, according to the available data) and Abstracts Views on Vision4Press platform.
Data correspond to usage on the plateform after 2015. The current usage metrics is available 48-96 hours after online publication and is updated daily on week days.
Initial download of the metrics may take a while.
![\begin{figure}
\par\includegraphics[width=8.5cm,clip]{13416fg1.eps}
\end{figure}](/articles/aa/full_html/2010/09/aa13416-09/Timg67.png)
![\begin{figure}
\par\includegraphics[width=8.5cm,clip]{13416fg2.eps}
\end{figure}](/articles/aa/full_html/2010/09/aa13416-09/Timg78.png)
![\begin{figure}
\par\mbox{\includegraphics[width=7cm,clip]{13416fg3a.eps}\include...
...]{13416fg3c.eps}\includegraphics[width=7cm,clip]{13416fg3d.eps} }
\end{figure}](/articles/aa/full_html/2010/09/aa13416-09/Timg82.png)
![\begin{figure}
\par\mbox{\includegraphics[width=7.5cm,clip]{13416fg4a.eps}\inclu...
...13416fg4c.eps}\includegraphics[width=7.5cm,clip]{13416fg4d.eps} }
\end{figure}](/articles/aa/full_html/2010/09/aa13416-09/Timg92.png)
![\begin{figure}
\par\includegraphics[width=8.5cm,clip]{13416fg5.eps}
\end{figure}](/articles/aa/full_html/2010/09/aa13416-09/Timg124.png)
![\begin{figure}
\par\includegraphics[width=8.5cm,clip]{13416fg6.eps}
\end{figure}](/articles/aa/full_html/2010/09/aa13416-09/Timg137.png)
![\begin{figure}
\par\includegraphics[width=8.5cm,clip]{13416fg7.eps}
\end{figure}](/articles/aa/full_html/2010/09/aa13416-09/Timg138.png)
![\begin{figure}
\par\includegraphics[width=8.5cm,clip]{13416fg8.eps}
\end{figure}](/articles/aa/full_html/2010/09/aa13416-09/Timg164.png)
![\begin{figure}
\par\includegraphics[width=8.5cm,clip]{13416fg9.eps}
\end{figure}](/articles/aa/full_html/2010/09/aa13416-09/Timg180.png)
![\begin{figure}
\par\includegraphics[width=8.5cm,clip]{13416fg10.eps}
\end{figure}](/articles/aa/full_html/2010/09/aa13416-09/Timg193.png)
![\begin{figure}
\par\includegraphics[width=8.5cm,clip]{13416fg11.eps}
\end{figure}](/articles/aa/full_html/2010/09/aa13416-09/Timg221.png)
![\begin{figure}
\par\includegraphics[width=8.5cm,clip]{13416fg12.eps}
\vspace*{2mm}
\end{figure}](/articles/aa/full_html/2010/09/aa13416-09/Timg237.png)
![\begin{figure}
\par\includegraphics[width=9cm,clip]{13416fgB1.eps}\vspace*{2mm}
\vspace*{2mm}
\end{figure}](/articles/aa/full_html/2010/09/aa13416-09/Timg308.png)
![\begin{figure}
\par\includegraphics[width=17cm,clip]{13416fgC1.eps}
\end{figure}](/articles/aa/full_html/2010/09/aa13416-09/Timg419.png)
![\begin{figure}
\par\includegraphics[width=17cm,clip]{13416fgC2.eps}
\end{figure}](/articles/aa/full_html/2010/09/aa13416-09/Timg420.png)
![\begin{figure}
\par\includegraphics[width=17cm,clip]{13416fgC3.eps}
\end{figure}](/articles/aa/full_html/2010/09/aa13416-09/Timg421.png)