Free Access
Issue
A&A
Volume 517, July 2010
Article Number A7
Number of page(s) 4
Section Stellar structure and evolution
DOI https://doi.org/10.1051/0004-6361/200913817
Published online 23 July 2010
A&A 517, A7 (2010)

On the shape of rapidly rotating stars

J.-P. Zahn1 - C. Ranc1 - P. Morel2

1 - LUTH, Observatoire de Paris, CNRS UMR 8102, Université Paris Diderot, 5 place Jules Janssen, 92195 Meudon, France
2 - Université de Nice-Sophia Antipolis, CNRS UMR 6202, Laboratoire Cassiopée, Observatoire de la Côte d'Azur, BP 4229, 06304 Nice Cedex 04, France

Received 7 December 2009 / Accepted 17 April 2010

Abstract
Aims. The critical surface of a rapidly rotating star is determined, assuming that the rotation is either uniform or shellular (angular velocity constant on level surfaces, but increasing with depth).
Methods. A step beyond the classical Roche model, where the entire mass is assumed to be gathered at the center of the star, here the quadrupolar moment of the mass distribution is taken into account through a linear perturbation method.
Results. The flattening (defined here as the ratio between the equatorial and the polar radius) can somewhat exceed the 3/2 value of the Roche model, depending on the strength of the interior rotation. The result is applied to a star of 7 solar masses, which is the mass of Achernar, the star with the largest flattening detected so far through optical interferometry.

Key words: stars: imaging - stars: rotation - stars: individual: Achernar ($\alpha$ Eri)

1 Introduction

The recent development of long baseline optical interferometry makes it now possible to directly evaluate the flattening of stars (i.e. van Belle et al. 2001; Domiciano de Souza et al. 2003, 2004). Because that flattening is due to the centrifugal force, one may then ask whether its measure can constrain the interior rotation, and specifically the type and amount of differential rotation.

The question was raised in particular when Domiciano de Souza et al. (2003) announced that the Be star Achernar ($\alpha$ Eri) had an oblate shape: projected to the sky, the ratio between the major and the minor axes of the stellar disk amounted to 1.56. This meant that the ratio between the equatorial and the polar radius was even higher, thus substantially exceeding the value of 3/2 predicted for an ideal star whose entire mass is gathered at the center and which rotates uniformly at break-up speed. But these high flattening ratios are easily achieved when the star is rotating differentially, with the angular velocity decreasing outward, as it was demonstrated by Jackson et al. (2004).

Afterwards Achernar was found to emit a jet, and the ratio between the major and minor axes of the projected star was reduced to 1.41 (Kervella & Domiciano de Souza 2006). This value - the highest measured so far in any star - is compatible with a uniformly rotating star, even considering that the rotation axis is inclined with respect to the line of sight. One may thus be tempted to conclude that the question is settled. However other stars will be analyzed in the future, and we should be prepared to confront their flattening values with those predicted by models.

For this reason we wish to determine here which is the highest flattening allowed for a realistic star that is in uniform rotation or, more generally, in shellular rotation (where the angular velocity is constant on level surfaces, but varies with depth). By ``realistic'' we mean that we take into account the mass distribution distorted by the centrifugal force, which contributes a quadrupolar moment to the gravitational field exerted by the star.

2 Generalities

Let us first recall some well-known properties of rotating stars. Neglecting convective motions, these stars are in hydrostatic equilibrium between the pressure gradient, gravity and the centrifugal force:

\begin{displaymath}{1 \over \rho} \nabla P = \vec{g}_{\rm eff} \equiv - \nabla \Phi + \Omega^2 \vec{s} .
\end{displaymath} (1)

Here $\rho$ designates the density, $\Phi$ the gravitational potential, $\Omega$ the angular velocity, and $\vec{s}$ the (vector) distance from the rotation axis; the effective gravity $\vec{g}_{\rm eff} $is the sum of the gravity and of the centrifugal force. The isobars coincide with the level surfaces, which by definition are orthogonal to the effective gravity.

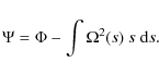
If the angular velocity depends only on s (i.e. if $\Omega$ is constant on cylinders), the centrifugal force derives from a potential, and the total potential (gravitational + centrifugal) is given by

\begin{displaymath}\Psi = \Phi - \int \Omega^2(s)~ s ~ {\rm d}s .
\end{displaymath} (2)

Then the isobars coincide with the equipotentials of the total field $\Psi$, as do the surfaces of constant density; therefore the pressure is a function of density only: $P=P(\rho)$ - the star has a barotropic structure. In the particular case of uniform rotation, we retrieve the familiar expression

\begin{displaymath}\Psi = \Phi - {1 \over 2} \Omega^2 ~ s^2.
\end{displaymath} (3)

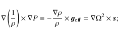
In the general case, $\Omega$ is a function also of the coordinate z along the rotation axis; then the density is no longer constant on isobars, but varies with latitude, as can be seen by taking the curl of Eq. (1):

\begin{displaymath}\nabla \left({1 \over \rho}\right) \times \nabla P \equiv - {...
...ho} \times \vec{g}_{\rm eff} = \nabla \Omega^2 \times \vec{s};
\end{displaymath} (4)

the star is said to be in a baroclinic state.

Here we are mainly interested in the ``surface'' of the rotating star. In all rigor, it should be defined as the surface on which the optical thickness (for a given wavelength or some average of it) is unity (or 2/3, or $\sqrt{3}$, depending on the treatment of radiative transfer). For most purposes, however, one may simply assume that this ``surface'' coincides with a level surface of suitably chosen (low) pressure.

The outermost level surface a rotating star can fill is that on which the effective gravity vanishes in the equatorial plane; there the centrifugal force is thus in exact balance with the gravity.

3 Shellular rotation

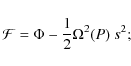
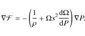
A particular rotation regime we shall examine here is that where the angular velocity is constant on level surfaces: i.e. $\Omega = \Omega(P)$. This ``shellular'' rotation was introduced partly to simplify the treatment of rotational mixing (Zahn 1992), but also on more physical grounds, because differential rotation tends to be smoothed out in latitude through shear turbulence.

One can then still define a generating function inspired by Eq. (3)

\begin{displaymath}{\cal F} = \Phi - {1 \over 2} \Omega^2(P)~ s^2 ;
\end{displaymath} (5)

here ${\cal F} $ is no longer a potential, but because

\begin{displaymath}\nabla {\cal F} = \nabla \Phi - \Omega^2 \vec{s} - \Omega s^2 {{\rm d} \Omega \over {\rm d}P} ~ \nabla P ,
\end{displaymath} (6)

the surfaces of constant ${\cal F} $ coincide with the isobars, as we can check by comparing with Eq. (1):

\begin{displaymath}\nabla {\cal F}=-\left({1\over\rho} + \Omega s^2 { {\rm d} \Omega \over {\rm d} P}\right) \nabla P .
\end{displaymath} (7)

The level surfaces of shellular rotation thus have the same shape as for uniform rotation, and this is true in particular for the ``surface''. That property was first pointed out by Meynet & Maeder (1997)[*].

The expression in factor of $\nabla P$ is constant on an isobar, and we can thus write

\begin{displaymath}{1 \over \rho} + \Omega s^2 {{\rm d} \Omega \over {\rm d} P} ...
..._{\rm P})} \quad \hbox{at constant $P$\space or ${\cal F}$ } ,
\end{displaymath} (8)

where $z=R_{\rm P}$ is the coordinate of that isobar on the polar axis; note that this expression is just another form of the baroclinic relation (4).

4 First approximation: the Roche model

To first approximation, the surface of a star rotating at critical speed can be described by assuming that all the mass is concentrated at the origin r=0: it is the so-called Roche model. This greatly simplifies the expression of the gravitational force, because the effective gravity is then just

\begin{displaymath}\vec{g}_{\rm eff} = -{G M \over r^3} \vec{r} + \Omega^2 {\vec s};
\end{displaymath} (9)

here r2 = s2 + z2, M is the mass of the star, and G is the gravitational constant.

The generating function (5) is then

\begin{displaymath}{\cal F}=-{GM \over r} -{1 \over 2} \Omega^2 s^2 ,
\end{displaymath} (10)

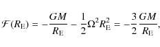
and it allows us to calculate the flattening of the critical surface. At the equator of that surface, where $r=R_{\rm E}$ and $g_{\rm eff}=0$, it takes the value

\begin{displaymath}{\cal F}(R_{\rm E})=-{GM \over R_{\rm E}} -{1 \over 2} \Omega^2 R_{\rm E}^2
= -{3 \over 2} {GM \over R_{\rm E}} ,
\end{displaymath} (11)

and at its poles

\begin{displaymath}{\cal F}(R_{\rm P})=-{GM \over R_{\rm P}} ;
\end{displaymath} (12)

hence, because ${\cal F} $ is constant on an isobar,

\begin{displaymath}{ R_{\rm E} \over R_{\rm P}} = {3 \over 2} \;\; \hbox{for the Roche model},
\end{displaymath} (13)

a value that applies both to uniform and to shellular rotation.

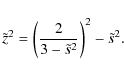
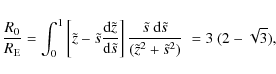
From the generating function (10) we can deduce the equation of the critical surface: scaling the coordinates by the equatorial radius, i.e. $\tilde s = s /R_{\rm E}$, $\tilde z = z /R_{\rm E}$ and $\tilde r = r /R_{\rm E}$, we get

\begin{displaymath}\tilde z^2= \left( {2 \over 3 - \tilde s^2} \right)^2 - \tilde s^2 .
\end{displaymath} (14)

Finally, we may define the mean critical radius R0 as the average of r over the solid angle seen from the center:

\begin{displaymath}4 \pi R_0 = R_{\rm E} \int\!\!\!\!\int \tilde{r} ~ {\rm d} \Omega .
\end{displaymath} (15)

Replacing the integrant in terms of $\tilde s$ and $\tilde z$, we obtain

\begin{displaymath}{R_0 \over R_{\rm E}} = \int_0^1 \left[\tilde z- \tilde s {{\...
...e s \over (\tilde z^2 + \tilde s^2)} \; = 3 ~ (2 - \sqrt{3}) ,
\end{displaymath} (16)

and thus ${ R_0 / R_{\rm P} }=9~ (2 - \sqrt{3})/2$.

5 The quadrupolar correction

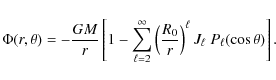
We now take into account that the mass distribution is actually oblate, due to the centrifugal force; this generates a gravitational potential outside the star which may be expanded in a succession of multipoles as

\begin{displaymath}\Phi (r, \theta)= - {GM \over r} \left[1- \sum_{\ell=2}^\inft...
..._0 \over r}\right)^\ell J_\ell ~ P_\ell (\cos \theta) \right].
\end{displaymath} (17)

Here $\theta$ is the colatitude, $P_\ell$ the Legendre polynomial of order $\ell$ (an even number for obvious symmetry reason), and $J_\ell$ is a non-dimensional constant which measures the strength of that multipole. R0 designates the radius of the spherically symmetric reference model, in which the horizontal average $2 \Omega^2 r/3$of the vertical component of the centrifugal force has been subtracted from the radial gravity force (cf. Kippenhahn et al. 1970); as is well known, this has the effect of increasing the radius.

To lowest order, we keep only the quadrupolar term ($\ell=2$), and the generating function is then

\begin{displaymath}{\cal F}=-{GM \over r} \left[ 1 - J_2 \left({R_0 \over r}\right)^2 ~ P_2 (\cos \theta)\right] - {1 \over 2} \Omega^2 s^2 .
\end{displaymath} (18)

As before, we evaluate it at the equator

\begin{displaymath}{\cal F}(R_{\rm E})=-{GM \over R_{\rm E}} \left[ 1 + {1 \over...
...R_{\rm E}}\right)^2 \right] - {1 \over 2} \Omega^2 R_{\rm E}^2
\end{displaymath} (19)

and at the poles

\begin{displaymath}{\cal F}(R_{\rm P})=-{GM \over R_{\rm P}} \left[ 1 - J_2 \left({R_0 \over R_{\rm P}}\right)^2 \right] \; ;
\end{displaymath} (20)

therefore

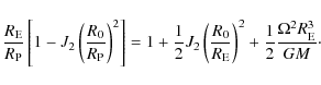
\begin{displaymath}{R_{\rm E} \over R_{\rm P}} \left[1-J_2 \left({R_0 \over R_{\...
...}\right)^2 + {1 \over 2} {\Omega^2 R_{\rm E}^3 \over GM} \cdot
\end{displaymath} (21)

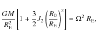
Next we replace the last term above by its expression drawn from the hydrostatic balance at the equator

\begin{displaymath}{G M \over R_{\rm E}^2} \left[ 1 + {3 \over 2} J_2 \left({R_0 \over R_{\rm E}}\right)^2 \right] = \Omega^2 ~ R_{\rm E} ,
\end{displaymath} (22)

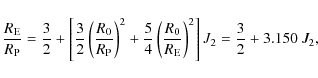
to obtain the flattening ratio to lowest order in J2:

\begin{displaymath}{R_{\rm E} \over R_{\rm P}} = {3 \over 2} +\left[ {3 \over 2}...
...R_{\rm E}}\right)^2 \right] J_2 = {3 \over 2} +
3.150 ~ J_2 ,
\end{displaymath} (23)

where we have approximated ${R_0/ R_{\rm P}}$ and ${R_0 / R_{\rm E}}$ by their values given in Eq. (16) for the critical Roche surface. Again, this result applies to stars that are either in uniform or in shellular rotation. As expected, the value of the critical flattening is increased beyond 3/2 when the quadrupolar moment is taken into account.

6 The quadrupolar moment for shellular rotation

Provided they are small enough compared to unity, which is the case for massive MS stars, the multipolar moments $J_\ell$ of a rotating star may be calculated by the linear perturbation method that was described by Sweet (1950). We expand the centrifugal acceleration in spherical functions
                                 fr = $\displaystyle \Omega^2 r \sin^2 \theta = \sum a_\ell(r) P_\ell(\cos \theta) ,$  
$\displaystyle f_\theta$ = $\displaystyle \Omega^2 r \sin \theta \cos \theta = - \sum b_\ell(r) {{\rm d} P_\ell (\cos \theta) \over {\rm d} \theta} ,$ (24)

and proceed likewise for the perturbations of the pressure p', of the density $\rho'$ and of the gravitational potential $\Phi'$, so that

\begin{displaymath}\Phi'(r, \theta) = \sum \Phi_\ell(r) P_l(\cos \theta).
\end{displaymath} (25)

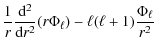
Next we introduce these expressions in the hydrostatic equation Eq. (1) and expand it in $\ell$:
                    $\displaystyle {{\rm d}p_\ell \over {\rm d}r}$ = $\displaystyle - \rho_0 {{\rm d} \Phi_\ell \over {\rm d}r} - g_0 \rho_\ell + \rho_0 a_\ell ,$  
$\displaystyle p_\ell$ = $\displaystyle -\rho_0 \Phi_\ell ~ -\vec{ r} ~ \rho_0 b_\ell ,$ (26)

where $\rho_0(r)$ and g0(r) are the local density and gravity of the unperturbed star. Through the elimination of $p_\ell$ we obtain an expression for the density perturbation $\rho_\ell$, which is introduced in the Poisson equation $\nabla \Phi_\ell = 4 \pi ~ \vec{G}~ \rho_\ell$ to yield
  $\displaystyle {1 \over r}{{\rm d}^2 \over {\rm d}r^2} (r \Phi _\ell) - \ell (\ell+1) {\Phi_\ell \over r^2}$ - $\displaystyle {4 \pi G \over g_0} {{\rm d} \rho_0 \over {\rm d}r} \Phi_\ell =$  
    $\displaystyle {4 \pi G \over g_0} \left[{{\rm d} \over {\rm d}r}(r \rho_0 b_\ell) + \rho_0 a_\ell \right].$ (27)

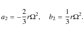
Here we are interested in the special case of shellular rotation, where $\Omega$ depends only on r, to first approximation. Then, for $\ell=2$,

\begin{displaymath}a_2= -{2 \over 3} r \Omega^2,
\quad b_2= {1 \over 3} r \Omega^2 .
\end{displaymath} (28)

Rescaling the radial coordinate by the radius, x= r/R0, the angular velocity profile by its surface value, $h(x)=\Omega^2(x)/\Omega^2_{\rm s}$, and the potential perturbation as $\phi_2 = \Phi_2/ \Omega_{\rm s}^2 R_0^2$, we obtain the following Poisson equation (cf. Mathis & Zahn 2004):

\begin{displaymath}{1 \over x}{{\rm d}^2 (x~ \phi_2)\over {\rm d}x^2} - {6 ~ \ph...
...pi G R_0 \over 3 g_0} x^2 {{\rm d} \over {\rm d}x}(\rho_0 h) .
\end{displaymath} (29)

To ensure regularity at x=0 and $\infty$, the solution of this second order o.d.e. must satisfy the boundary values

\begin{displaymath}\phi_2=0 \quad \hbox{at} \; x=0 , \;\;\hbox{and}
\;\; \phi_2+3 {{\rm d}\phi_2 \over {\rm d}x}=0 \quad \hbox{at} \; x=1 .
\end{displaymath} (30)

The quadrupolar moment is given by the surface value of $\phi_2$:

\begin{displaymath}J_2=\left[ {\Omega_{\rm S}^2 R^3_0 \over GM}\right] ~ \phi_2(1);
\end{displaymath} (31)

thus $J_2=(R_0/R_{\rm E})^3\phi_2(1)$ when the star rotates at critical speed.

Note that this quadrupolar moment is closely related to the apsidal motion constant k2, when the star is in uniform rotation. The reason is that the centrifugal potential then has the same functional behavior as the tidal potential in a binary star component: both scale as $r^2 P^m_2(\cos \theta) \cos(m\varphi)$ (cf. Zahn 1966). One easily finds that in this case J2 = 2 k2/3.

7 Application to Achernar

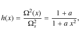
To illustrate the impact of including the quadrupolar moment, we numerically solved this o.d.e. (29) for a 7 $M_\odot $ star, which according to its spectral type should be about the mass of Achernar, the star with the highest flattening detected so far. We adopted the following interior rotation profile:

\begin{displaymath}h(x)={\Omega^2(x)\over \Omega^2_s} = {1+a \over 1+a~ x^2} ,
\end{displaymath} (32)

x=r/R0 being the radial coordinate scaled by the mean radius. For the present purpose, this bell-shaped profile sufficiently resembles those predicted by models including the transport of angular momentum through rotational mixing (cf. Talon et al. 1997; Meynet & Maeder 2000); it imposes a contrast of $\sqrt{1+a}$ between the central and surface values of $\Omega$.

The spherical reference models were built with the stellar evolution code CESAM (Morel 1997) for a standard initial composition (X=0.70, Z=0.02). These models define the mean radius R0 and provide the density and mass distribution that enter in the perturbed Poisson Eq. (29). The hydrostatic equation was modified to include the horizontal average $2 \Omega^2 r/3$ of the vertical component of the centrifugal force, as was done by Kippenhahn et al. (1970). We used two rotation profiles (32): one uniform (a=0), and the other with a center-to-surface ratio of 4 in angular velocity (a=15). Three stages of evolution were considered: one at the ZAMS (defined as the location in the HR diagram where half of the luminosity originates from nuclear reactions and half from the star's contraction), the other at mid-MS (where the central hydrogen concentration has been reduced to $X_{\rm c}=0.30$), and the third at the end of the MS ( $X_{\rm c}=0.02$).

The results are given in Table 1, which shows how the quadrupolar moment J2 increases with the interior rotation at given age, when the surface rotates at critical speed. For uniform rotation, our values agree with the apsidal motion constants calculated by Claret (1995). From Eq. (23) we then deduce the maximum flattening that such a star can achieve and, combining this with the value of ${R_0 / R_{\rm E}}$ given in Eq. (16), we derive the equatorial and polar radii.

For simplicity, one could be tempted to take as reference model that of the non-rotating star, but at critical speed the swelling and mass redistribution due to the centrifugal force cannot be treated as a mere perturbation. This can be seen in Table 1 by comparing the radius of the non-rotating models with that of the models including the effect of rotation. The discrepancy is even more pronounced for the quadrupolar moments J2, which would be underestimated by a factor $\approx$2.5 when using the non-rotating model.

Table 1:   Characteristics of a 7 $M_\odot $ star rotating at critical speed.

8 Discussion and conclusion

The main goal of this paper was to investigate how much the flattening of a star rotating at critical speed can exceed the classical value of 3/2 that characterizes the Roche model. Our resultswere obtained by a linear perturbation method treating the quadrupolar moment as a small quantity, which is justified for massive MS stars, because these are sufficiently centrally condensed. Nevertheless, it would be worthwhile to refine our results through genuine two-dimensional calculations, like those described by Clement (1978) or by Rieutord (2006).

Although their analysis applies strictly only to conservative laws of rotation, Jackson et al. (2004) have convincingly shown that the flattening may assume rather high values when the star is rotating differentially, with the angular velocity decreasing outward. Here we instead considered a star rotating uniformly at critical speed, but we improved upon the Roche model by taking into account the quadrupolar moment of the mass distribution, due the centrifugal force. We found that the flattening of the critical surface is then slightly increased from 1.50 to about 1.52, for a 7 $M_\odot $ star which was chosen to represent Achernar. This increase would be more pronounced for lesser central condensation, i.e. for MS stars of lower mass.

Then we examined the so-called shellular rotation regime, where the angular velocity is constant on level surfaces, but increases with depth. Due to this ``hidden'' rotation, the flattening of the star can increase to substantially higher values: for example to 1.54 or 1.56, depending on the state of evolution, for a contrast of 4 between its angular velocity at center and surface. This differential shellular rotation was first invoked by Zorec et al. (2005) in their analysis of Achernar; they concluded that the observations were compatible with a center-to-surface ratio for the angular velocity of 2.7, and an inclination of $52^\circ$ of the rotation axis with respect to the line of sight. Thus, provided the interoferometric determinations become sufficiently precise, the shape of stars may provide a valuable constraint on their internal rotation, complementary to the powerful asteroseismic diagnostic.

Acknowledgements
We thank P. Kervella for kindly updating us on the current state of optical interferometry and its application to rotating stars. And we express our gratitude to the referee Y. Eriguchi for his pertinent remarks, which incited us to substantially improve our paper.

References

  1. Claret, A. 1995, A&AS, 109, 441 [NASA ADS] [Google Scholar]
  2. Clement, M. J. 1978, ApJ, 222, 967 [NASA ADS] [CrossRef] [Google Scholar]
  3. Domiciano de Souza, A., Kervella, P., Jankov, S., et al. 2003, A&A, 407, 47 [Google Scholar]
  4. Kervella, P., & Domiciano de Souza, A. 2006, A&A, 453, 1059 [NASA ADS] [CrossRef] [EDP Sciences] [Google Scholar]
  5. Kippenhahn, R., Meyer-Hofmeister, E., & Thomas, H. C. 1970, A&A, 5, 155 [NASA ADS] [Google Scholar]
  6. Jackson, S., MacGregor, K. B., & Skumanich, A. 2004, ApJ, 606, 1196 [NASA ADS] [CrossRef] [Google Scholar]
  7. Maeder, A. 1999, A&A, 347, 185 [NASA ADS] [Google Scholar]
  8. Mathis, S., & Zahn, J.-P. 2004, A&A, 425, 242 [NASA ADS] [Google Scholar]
  9. Meynet, G., & Maeder, A. 1997, A&A, 321, 46 [Google Scholar]
  10. Meynet, G., & Maeder, A. 2000, A&A, 361, 101 [NASA ADS] [Google Scholar]
  11. Morel, P. 1997, A&ASS, 124, 597 [NASA ADS] [CrossRef] [EDP Sciences] [MathSciNet] [PubMed] [Google Scholar]
  12. Pijpers, F. P. 1998, MNRAS, 297, L76 [NASA ADS] [CrossRef] [Google Scholar]
  13. Rieutord, M. 2006, in SF2A 2006: Proc. Ann. Meet. French Soc. Astron. Astrophys., 501 [Google Scholar]
  14. Roxburgh, I. W. 2004, A&A, 428, 171 [NASA ADS] [CrossRef] [EDP Sciences] [Google Scholar]
  15. Sweet, P. A. 1950, MNRAS, 110, 548 [NASA ADS] [CrossRef] [MathSciNet] [Google Scholar]
  16. Talon, S., Zahn, J.-P., Maeder, A., & Meynet, G. 1992, A&A, 322, 209 [Google Scholar]
  17. van Belle, G. T., Ciardi, D. R., Thompson, R. R., Akeson, R. L., & Lada, E. A. 2001, ApJ, 559, 1155 [NASA ADS] [CrossRef] [MathSciNet] [Google Scholar]
  18. Zahn, J.-P. 1966, Ann. Astrophys, 29, 313 [Google Scholar]
  19. Zahn, J.-P. 1992, A&A, 265, 115 [NASA ADS] [Google Scholar]
  20. Zorec, J., Domiciano de Souza, A., Frémat, Y., & Vakili, F. 2005, in SF2A 2005, ed. F. Casoli, T. Contini, J.-M. Hameury, & L. Pagani (EDP Sciences), 363 [Google Scholar]

Footnotes

...1997)[*]
In a subsequent paper, Maeder (1999) took a different definition for the shellular rotation, namely that the angular velocity is constant on spheres: $\Omega = \Omega(r)$, and then this property no longer holds.

All Tables

Table 1:   Characteristics of a 7 $M_\odot $ star rotating at critical speed.


Copyright ESO 2010

Current usage metrics show cumulative count of Article Views (full-text article views including HTML views, PDF and ePub downloads, according to the available data) and Abstracts Views on Vision4Press platform.

Data correspond to usage on the plateform after 2015. The current usage metrics is available 48-96 hours after online publication and is updated daily on week days.

Initial download of the metrics may take a while.