| Issue |
A&A
Volume 517, July 2010
|
|
|---|---|---|
| Article Number | A43 | |
| Number of page(s) | 9 | |
| Section | Cosmology (including clusters of galaxies) | |
| DOI | https://doi.org/10.1051/0004-6361/201014109 | |
| Published online | 30 July 2010 | |
The very steep spectrum radio halo in Abell 697
G. Macario1,2 - T. Venturi1 - G. Brunetti1 - D. Dallacasa1,2 - S. Giacintucci3,1 - R. Cassano1 - S. Bardelli4 - R. Athreya5
1 - INAF-Istituto di Radioastronomia, via Gobetti 101, 40129 Bologna, Italy
2 -
Dipartimento di Astronomia, Universitá di Bologna, via Ranzani 1, 40127
Bologna, Italy
3 -
Harvard-Smithsonian Centre for Astrophysics,
60 Garden Street, Cambridge, MA 02138, USA
4 -
INAF-Osservatorio Astronomico di Bologna, via Ranzani 1, 40127 Bologna,
Italy
5 -
Indian Institute of Science Education and Research, Sutarwadi Road, Pashan,
Pune 411021, INDIA
Received 21 January 2010 / Accepted 31 March 2010
Abstract
Aims. We present a detailed study of the giant radio halo in
the galaxy cluster Abell 697 to constrain its origin and connection
with the cluster dynamics.
Methods. We performed high sensitivity GMRT observations at
325 MHz, which showed that the radio halo is much brighter and
larger at this frequency than in previous 610 MHz observations. To
derive the integrated spectrum in the frequency range
325 MHz-1.4 GHz, we reanalysed archival VLA data at
1.4 GHz and used proprietary GMRT data at 610 MHz.
Results. Our multifrequency analysis shows that the total radio spectrum of the giant radio halo in A 697 is very steep, with
.
Key words: radiation mechanism: non-thermal - galaxies: clusters: general - galaxies: clusters: individual: Abell 697
1 Introduction
Radio halos are diffuse low surface brightness radio sources extended on
Mpc scales,
observed in the central regions of a fraction of X-ray luminous (i.e.,
massive) galaxy clusters. Their synchrotron emission is not associated with
individual galaxies, but originates in the non-thermal component of the
intracluster medium (ICM). They provide the most important piece of
evidence for relativistic (
GeV) electrons and
G magnetic fields in
galaxy clusters (see Ferrari et al. 2008 for a review).
To date radio halos have been found from large sky surveys (such as the
Northern VLA Sky Survey, NVSS, Condon et al. 1998 and the
Westerbork Northern Sky Survey, WENSS, Rengelink et al. 1997;
i.e., Giovannini et al. 1999; Kempner & Sarazin
2001), and from
pointed observations of individual clusters, mostly carried out at
1.4 GHz (Govoni et al. 2001; Bacchi et al. 2003; and
the compilation of Giovannini et al. 2009) and
610 MHz (the GMRT Radio Halo survey, Venturi et al. 2007 and
2008, hereinafter VGB07 and VGD08).
They have steep radio spectra, with
(
)
from integrated flux density measurements.
The origin of radio halos has long been unknown, since the radiative lifetime of the relativistic electrons responsible for their synchrotron emission is much shorter than the particle diffusion time required to cover their Mpc extent (Jaffe 1977). This requires some form of particle re-acceleration. Two main models have been proposed to explain the origin of radio halos: (1) the ``re-acceleration model'', whereby radio halos originate from the in-situ re-acceleration of pre-existing electrons by magneto-hydrodynamic (MHD) turbulence injected into the ICM during cluster mergers (Brunetti et al. 2001; Petrosian 2001; Brunetti & Blasi 2005); (2) ``secondary electron models'', predicting that relativistic electrons are injected into the cluster volume by hadronic collisions between relativistic cosmic rays and the thermal protons of the ICM (e.g. Dennison 1980; Blasi & Colafrancesco 1999).
Radio observations provide indirect evidence of turbulent acceleration in the ICM (e.g. Brunetti et al. 2008). Observational support for the ``re-acceleration scenario'' is also provided by the growing evidence that cluster mergers and radio halos are related, based on high sensitivity radio and X-ray observations (Buote 2001; Govoni et al. 2004; VGD08 and references therein; Giacintucci et al. 2009; Cassano 2009), and by constraints on the evolution of radio halos (Brunetti et al. 2009).
The analysis of the radio spectrum of halos is important to investigating
their origin. The turbulent re-acceleration model provides the unique expectation
of spectra much steeper than those found to date, as a consequence
of less energetic merger events (e.g. Cassano 2009).
The detection of radio halos with very steep spectrum (
)
would
be a major piece of evidence supporting this scenario, and at the same
time would disfavour a secondary origin of the electrons, which requires a
very large proton energy budget (e.g. Brunetti 2004).
The prototype of these sources, which we refer to as ultra steep
spectrum radio halos (hereinafter USSRH),
has been recently discovered in the merging cluster A 521 and has a spectrum
with
(Brunetti et al. 2008; Dallacasa et al. 2009).
In this paper, we present a detailed study of the merging cluster A 697, which hosts a candidate steep spectrum radio halo. Our work is based on proprietary GMRT radio observations at 610 and 325 MHz, and data from the VLA public archive at 1.4 GHz.
A 697 is a rich and massive galaxy cluster located at z=0.282, belonging
to the Abell, Corwin, and Olowin catalogue (ACO catalogue,
Abell et al. 1989).
The cluster is hot and luminous in the X-ray band, and is part of the ROSAT
Brightest Cluster Sample (BCS; Ebeling et al. 1998).
Its general properties are summarized in Table 1
, which provides coordinates,
morphological classification of the cluster and richness, redshift z,
cluster velocity dispersion
(from optical spectroscopy),
X-ray luminosity
(taken from the BCS catalogue),
virial mass
,
and the corresponding virial radius
.
Diffuse cluster-scale radio emission in A 697 was first
suggested by Kempner & Sarazin (2001) after inspection of
the NVSS and the WENSS,
and confirmed by observations at 610 MHz with the Giant Metrewave
Radio Telescope (GMRT) as part of the GMRT Radio Halo Survey (VGB07 and VGD08).
From those observations, the extended radio emission at the cluster centre was
unambiguously classified as a
giant
radio halo.
Table 1: General properties of the galaxy cluster A 697.
The paper is organized as follows. In Sect. 2, we present the new 325 MHz GMRT data; in Sects. 3 and 4, we derive the integrated spectrum and discuss the sources of uncertainty in the flux density measurements; in Sect. 5, we discuss the origin of the A 697 radio halo in the framework of the turbulent re-acceleration model. Summary and conclusions are given in Sect. 6.
2 GMRT radio data at 325 MHz
2.1 Radio observations and data reduction
The main characteristics of the 325 MHz observations are summarised in Table 2, which reports
observing date, frequency, total bandwidth, total time on source,
synthesized half power
beamwidth (HPBW), rms level (1
)
at full resolution, and u-v range
of the full dataset.
The observations were carried out using simultaneously the upper and lower side bands (USB and LSB, respectively), for a total observing bandwidth of 32 MHz. The default spectral-line observing mode was performed, with 128 channels for each band and a spectral resolution of 125 kHz/channel. The USB and LSB datasets were calibrated and analysed separately using the NRAO Astronomical Image Processing System package (AIPS). We used 3C 147 and 3C 286 as primary calibrators, which were observed respectively at the beginning and the end of the observing run. The point source 0735+331 was used as a phase calibrator.
Owing to the considerably lower quality of the LSB data (strong RFI residuals), only the USB data were used to produce the final images presented and analysed in this paper.
The very large field of view of the GMRT at 325 MHz (primary beam
)
required the implementation of the wide-field imaging
technique in each step of the self-calibration process, to
account for the non-planar nature of the sky.
We covered a field of view as large as
square degrees
with 25 facets, to include possible strong sources located beyond the primary
lobe, conventionally cut at 5%.
We initially self-calibrated the longest baselines using only the point
sources in the field, then we progressively included short baselines and
resolved radio sources. We finally included also the emission from the
radio halo. We note that only phase self-calibration was applied.
Even though only half of the full dataset was usable, the quality of the final
image is very good: the rms ranges from
45
Jy b-1
to
55
Jy b-1. Despite the relatively low frequency,
confusion in this image is negligible, due to the arcsecond resolution.
|
Figure 1:
GMRT 325 MHz radio contours of the inner
|
| Open with DEXTER | |
The residual amplitude errors for each individual antenna are
5%.
On the basis of this result, we can conservatively assume that the absolute
flux density calibration is within 5%. This value also accounts for the
uncertainty in the calibrator flux density scale.
Table 2: Summary of the GMRT radio observations.
2.2 The field
In Fig. 1, we report the 325 MHz GMRT full resolution
contours of the central
(
Mpc2) portion of the A 697 field. The region corresponds to half the
cluster virial radius (
Mpc, Table 1).
The most prominent features at this resolution are the two extended radio
galaxies, labelled as S1 and S2 in Fig. 1, located south of
the cluster centre.
In addition, the diffuse radio emission
associated with the radio halo is clearly visible around the cluster centre.
2.3 The radio halo
|
Figure 2:
Left - Full resolution GMRT 325 MHz contours of the
central region of A 697, superimposed on the Second Palomar Sky Survey
(POSS-2) optical image. The image is the same as in Fig. 1
(
|
| Open with DEXTER | |
Figure 2 zooms into the central cluster region.
The left panel shows the full resolution 325 MHz contours (starting from
), overlaid on the red optical frame from the Digitized Palomar
Sky Survey (DSS-2). In addition to the individual radio sources with optical
counterparts, diffuse emission is clearly visible at the cluster centre.
Three discrete radio sources embedded in the halo
emission are optically identified with cluster members (Girardi et al.
2006, hereinafter G06). We labelled them A, D, and G, following the
same notation used for the corresponding sources identified in the GMRT 610 MHz
full resolution image (left panel of Fig. 2, see also VGD08). In Table 3, we report their radio position and flux density at 325 MHz (obtained from Gaussian fits to the full resolution
image), and their optical identification and redshift (from G06).
Source A is identified with the central cD galaxy.
To properly image the diffuse emission of the radio halo, the
three sources A, D, and G, whose total flux density is
mJy, were subtracted from the u-v data.
The final ``subtracted'' dataset was used to produce images of the radio halo
at various angular resolutions, tapering the u-v data by means of the
parameters robust and uvtaper in the task IMAGR.
In the right panel of Fig. 2, we report the 325 MHz
contours of the radio halo at the resolution of
,
overlaid on a GMRT 610 MHz
image of similar resolution and obtained with a comparable weighting
scheme (
;
grey scale, see also
VGD08). The first contour corresponds to the
significance level.
The radio halo of A 697 is very extended at 325 MHz, its largest angular size
(LAS) being
,
corresponding to a largest linear size (LLS)
of
1.3 Mpc h
.
Its overall morphology is regular
and symmetric, and more extended than when imaged at 610 MHz.
The central
is similar at both
frequencies, and the bright feature clearly visible at 610 MHz in the western
part of the halo is almost coincident with a similar structure at 325 MHz.
The total integration time of the 610 MHz observations is
much shorter than that at 325 MHz (see Sect. 2.1), and the
u-v coverage of the short spacings is poorer.
In Fig. 3, we compare the inner portions of the u-v
plane at 325 and 610 MHz (left and right panel, respectively);
visibilities relative to baselines shorter than 1 k
are
shown
.
For this reason, a detailed spectral index imaging was not carried out.
The total flux density of the radio halo at 325 MHz is
mJy (see Sect. 4 for a detailed discussion of the
uncertainties associated with this value); it was obtained by integrating
the low resolution image (Fig. 2, right panel) over
the region covered by the
contour. The corresponding total radio
power is
(W/Hz) = 25.07.
|
Figure 3:
Comparison between the inner portion of the u-v plane sampled by the GMRT observations at 325 MHz ( left panel) and at 610 MHz
( right) from which the flux density measurements of the halo have been
taken. Only baselines shorter than 1 k |
| Open with DEXTER | |
Table 3: Individual radio galaxies at the center of A 697.
3 The integrated radio spectrum of the halo
To derive the spectrum of the giant radio halo in A 697 with at least three data points, we complemented the GMRT flux density values at 610 MHz and 325 MHz with archival 1.4 GHz VLA-C public data.
3.1 VLA archive data at 1.4 GHz
We reanalysed archival VLA-C observations at 1.4 GHz
(Obs. Id. AJ0252). These are short observations centered on
A 697, of total integration time
50 min and u-v range
0.3-15 k
.
After the usual a-priori calibration, the final images were obtaind after a
few iterations of phase-only self-calibration.
We successfully detected diffuse emission at the cluster centre.
To account for the contribution of the point sources in the halo
region, we produced an image using only baselines longer than
3 k
,
to exclude the contribution of the halo emission
(resolution
).
The
rms is
Jy b-1.
In the central halo region, we identified 7 point sources, with peak flux
density exceeding 5 times the rms level; two of them had already been found
at 610 MHz, and labelled A (the central cD) and F in VGD08. We fitted all sources
with individual Gaussians, and obtained a total contribution to the
integrated flux density of
mJy.
In Fig. 4, we show a low resolution image of the radio
halo at 1.4 GHz (restoring beam of
)
for comparison with the 325 MHz and 610 MHz images. The crosses mark the
position of the embedded radio point sources. We note that the field shown
is the same as the right panel of Fig. 2.
At 1.4 GHz, the radio halo appears considerably smaller than in the GMRT images.
It is elongated in the east-west direction, in agreement with the brightest
part of the 610 MHz emission.
The LAS is
,
corresponding
to a LLS
kpc h
.
Its total flux density is
mJy,
corresponding to a radio power
(W/Hz) = 23.95.
This value was obtained by integrating this image over the same area covered
by the radio halo at 325 MHz, and after subtraction of the total contribution
of the embedded point sources.
Hints of diffuse emission at the centre of A 697 are visible in the NVSS
1.4 GHz image (Fig. 5, left panel). However, after an
accurate inspection we concluded that this image is affected by
fringe residuals (see Giacintucci 2007).
For this reason, the NVSS pointing containing the A 697 field was imaged
after a new calibration. We found out that one IF was
affected by strong interference, and it was necessary to remove it from the
self-calibration and imaging process. The new image is reported in the
central panel of Fig. 5: no extended emission is indeed
detected at the cluster centre at the noise level of
0.3 mJy b-1.
Our reanalysis confirmed that the extended structure visible in the public
NVSS image is coincident with a peak of a residual fringe, which crosses
the image along the NW-SE direction, i.e., the same direction as that of
the structure itself. Some residual patterns are still visible in the
recalibrated image at the 1
level. The right panel of
Fig. 5 reports the recalibrated NVSS image (contours)
overlaid on the 1.4 GHz VLA-C image (grey scale). The non-detection
on the recalibrated NVSS image is consistent with the VLA-C image,
given the rms, peak, and restoring beams in the two images (see figure
caption). We integrated the flux density on the recalibrated NVSS image
over the same sky portion covered by the radio halo at 1.4 GHz, and
measured 2.4 mJy. Considering that the contribution of point sources in
this region is 0.97 mJy (see above), we can conclude that the flux density
of the radio halo on the NVSS is equal to
1.4 mJy.
|
Figure 4:
Low resolution VLA-C 1.4 GHz image of the radio halo in A 697.
The 1 |
| Open with DEXTER | |
|
Figure 5:
Left panel: radio contours of the
A 697 field from the public 1.4 GHz NVSS image (grey scale).
The 1 |
| Open with DEXTER | |
3.2 Integrated radio spectrum
The observed integrated spectrum of radio halos may be affected by two main factors: (1) the contribution to the flux density of embedded individual radio sources, and (2) the u-v coverage at short spacings. Embedded individual sources are probably of AGN origin, whose spectrum is flatter than radio halos. An inaccurate or inefficient subtraction of these sources may introduce a scatter of the flux density measurements at the various frequencies. On the other hand, the u-v coverage at short spacings may affect the detection of large-scale structure.
We dealt with factor (1) in Sects. 2.3 and 3.1. Factor (2) is the focus of Sect. 4.
All the available flux density measurements of the radio halo are reported in Table 4, along with the angular resolution of the images used for the measurements. The source is undetected in the Very Low-Frequency Sky Survey (VLSS), most likely due to the very poor sensitivity of the A 697 field.
The sources of uncertainty in the radio halo flux densities at 325 MHz and
1.4 GHz are the calibration errors and the procedure of point source
subtraction, which we estimate equal
5%.
The flux density value at 610 MHz is affected by a higher
uncertainty. We performed an accurate check on flux density at 325 MHz,
610 MHz, and 1.4 GHz for a number of discrete sources in the central field
(see Fig. 1), using three images with the same angular
resolution as the full resolution at 1.4 GHz
(
), after correction for the
corresponding primary beam. We found that the 610 MHz measurements are
systematically underestimated by
12%;
after inspection of the data, we concluded that this is caused by
a sistematic error in the amplitude. We note that
large residual calibration errors at 610 MHz were also reported for the
cluster A 3562 in Giacintucci et al. (2005).
Taking all this into consideration, the 610 MHz flux density value of the
radio halo in A 697 given in VGD08 was
corrected to account for this error (Table 4 reports the new corrected value).
The integrated radio spectrum of the halo is shown in Fig. 6. The red solid line is the linear fit to the data
(filled triangles) weighted for the uncertainties.
A single power-law fit to the data provides a spectral index
![]()
.
Table 4: Flux densites of the radio halo in A 697.
4 Uncertainties in the spectral slope
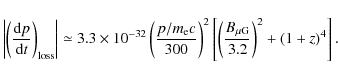
The combination of very low brightness emission and large angular size makes the imaging of faint radio halos a challenging process. The sampling of the u-v coverage at short spacings is essential for a reliable imaging of extended and diffuse radio sources, and this is particularly relevant for faint radio halos, as is the case of A 697. The most serious effect of an inadequate u-v coverage at short baselines is the loss of a fraction of the radio halo flux density, which may affect not only the imaging at an individual frequency, but also the integrated spectral index of the source. This effect becomes even more severe when only a few data points over a small frequency range are available.
We discuss the role of the u-v coverage in the GMRT observations of A 697 and the implications on the spectral steepness of its giant radio halo. We show that part of the total flux density of the radio halo could not be accounted for by the GMRT observations. This effect is more severe at 610 MHz, since Fig. 3 clearly shows that the inner portion of the u-v coverage is much more finely sampled in the 325 MHz observations. Given that an underestimate of the 610 MHz flux density would produce a steeper spectrum, it is crucial that we test the reliability of the spectral index derived in the present work.
To constrain the spectral steepness of the radio halo, we estimated the flux density losses expected in both the 325 and 610 MHz GMRT data following the ``fake'' radio halo procedure, described in detail in VGD08. A ``fake radio halo'' is a model of the radio halo brightness profile, which consists of a set of optically thin concentric spheres of different radius and flux density. Here we briefly describe the main steps of this procedure and the results obtained.
4.1 The 325 MHz data
To evaluate the flux density loss in the halo at 325 MHz,
families of fake radio halos were injected into the u-v data. We chose
different sets of values for the total flux density and largest angular scale,
and injected the fake halos into a region of the field free of point sources,
and close enough to the cluster centre to avoid attenuation from the
primary beam.
We thus obtained a new dataset, which we refer to as (u-v)
.
The LAS of the injected fake radio halos (i.e., the diameter of the
largest sphere of the model) ranges from 240
to
330
,
corresponding to a linear scale in the range
1 to 1.4 Mpc at the redshift of A 697.
The total flux density values injected,
,
range from 50 to 70 mJy.
We then imaged each new dataset (u-v)
with the same parameters
that we used to produce the
final low resolution image of the radio halo (see Fig. 2),
and measured the flux density and LAS in each fake radio halo imaged.
We note that both the fake and the true radio halos are imaged
simultaneously, allowing a direct comparison between the two sources.
In general, we found that the component of the largest angular size (i.e., the one of lowest surface brightness) is partially lost in the imaging process. In contrast, the central highest surface brightness regions are well imaged. These general results are in agreement with what is found in VGD08.
An injected fake halo with
mJy and
LAS = 330
most closely reproduces the emission
observed at the cluster centre, i.e.,
mJy and
LAS
(see Sect. 2.3). Based on
these tests, we concluded that the expected flux density loss
of the radio halo at 325 MHz is at most
20%.
Most of this flux density is lost in the largest and lowest surface brightness
component.
The LAS of the true halo is
10% smaller than that injected.
|
Figure 6: Integrated radio spectrum of the halo. The red solid line is the linear fit to the data (filled triangles), weighted for uncertainties. The dashed line connects the two values of flux density including the estimated losses at 325 and 610 MHz (stars). The open square is the estimated flux density of the radio halo in the NVSS. |
| Open with DEXTER | |
4.2 The 610 MHz data and the ``revised'' spectrum
Following the same procedure, we estimated the
flux density loss
at 610 MHz. A fake halo with LAS = 330
(same choice as for
the injection at 325 MHz) and
mJy most accurately
reproduces the radio
halo observed at 610 MHz. The resulting differential flux density loss
between 325 MHz and 610 MHz is
20%.
Based on these results, we estimated that the intrinsic flux density of the
radio halo in A 697 is
57 mJy at 325 MHz and
20 mJy at
610 MHz (accounting for the 12% flux density correction derived in Sect. 3.2).
In Fig. 6, we present the integrated spectrum of the halo
between 325 and 610 MHz taking into account the losses in flux density (the
dashed line connects the two values indicated by the star symbols). The
resulting spectral index is
.
We conclude that A 697 hosts a very steep spectrum radio halo.
The flux density we measured at 1.4 GHz can be considered a lower limit, the
upper one being the extrapolation of the ``revised'' spectrum between 325 MHz
and 610 MHz. This leads to an ``expected'' flux density value
mJy over the same region considered in this paper.
Future high sensitivity observations at this frequency may allow us to
constrain the high frequency end of the radio halo spectrum.
5 Discussion
We have presented observational evidence that A 697 hosts a very steep spectrum giant radio halo.
This source has observational properties similar to those of A 521, which
we consider the prototypical example of ultra-steep-spectrum radio halos.
In particular,
it is barely detectable at 1.4 GHz with the current instruments, and
with the observed values
(W/Hz) = 23.95 and
erg s-1, it lies
below the well-known
-
correlation for giant
radio halos (see Brunetti et al. 2009 for a review).
The source becomes stronger and considerably more extended at lower frequencies.
This is different from what is observed for radio halos of
spectral index
,
whose overall morphology
and size do not change appreciably towards lower frequencies
(see for instance A 2744 and A 2219, Orrú et al. 2007;
A 2319, Feretti et al. 2001;
MACS J 0717.5+3745, van Weeren et al. 2009 and Bonafede et al.
2009; RXCJ2003.5-2323; Giacintucci et al. 2009).
Based on literature data, Giovannini et al. (2009) reported
on four more halos with
very steep integrated spectra; however, the different resolutions and u-v
coverages, and the lack of accurate subtraction of individual embedded radio
sources in the heterogenous datasets, may have affected the shape and spectral
index of the integrated spectra.
The observational connection between major cluster mergers and radio halos is a
fairly well established result, both on the basis of individual studies
(examples of multiband analysis may be found in
Govoni et al. 2004; van Weeren et al. 2009;
Bonafede et al. 2009; Giacintucci et al. 2009)
and on statistical properties of large samples (see for instance
Buote 2001 and VGB08).
On the other hand, it has been suggested that the majority of
radio halos should be generated during more common but less energetic mergers,
for example between a massive cluster and a much smaller subcluster
(of mass ratio
5), or between two similar clusters of mass
,
which would trigger the formation of radio
halos observable only up to few hundred MHz (Cassano et al. 2006
and Cassano 2009).
These elusive radio halos have so far been missed by large surveys mainly
due to their steep
spectrum, which requires very sensitive observations at
frequencies
GHz. The discovery of the ultra-steep-spectrum radio
halo in A 521 (Brunetti et al. 2008)
provides observational support in favour of this idea.
The very steep spectrum radio halo found in A 697 offers a chance to
test the hypothesis of a connection between ``low frequency radio halos''
and less energetic cluster mergers.
5.1 The merger in the cluster A 697
Optical and X-ray observations are crucial tools for investigating cluster
dynamics.
A detailed optical analysis of A 697 was carried out in G06, who found
that the cluster is significantly far from dynamical
relaxation. In particular, the observed complex dynamical state of A 697
might be explained either as an ongoing process of multiple accretion of small
(
0.2 Mpc) clumps by a very massive cluster, or as the result of a
past merger event. The scenario may be even more complicated (major merger
followed by multiple accretion), as suggested by the absence of a cool core
in this cluster (Bauer et al. 2005). G06 concluded that it is
difficult to obtain more details about the type of merger in A 697, since we
are probably viewing the system at a small angle to the line of sight.
Analysis of archival Chandra X-ray observations (G06) detected
significant substructure in the core region, with three
clumps of emission within
200 kpc from the centre, confirming the
cluster complex dynamical state.
We reanalysed the public archive Chandra ACIS-I observation of A 697 (19.8 ks, OBSID 4271, presented also in G06). In Fig. 7, we report our wavelet-reconstructed Chandra image of A 697, with 325 MHz contours of the radio halo superimposed (same image as right panel of Fig. 2). The X-ray image was obtained by applying the wavelet decomposition tool (Vikhlinin et al. 1997) to the cluster image in the 0.5-9 keV energy band, divided for the exposure map and background subtracted (see Giacintucci 2007, and references therein).
As is clear from Fig. 7, the overall X-ray morphology
of the
cluster is elliptical, and elongated along the north-north west/south-south
east (NNW/SSE) direction.
The extent and shape of the radio emission are in agreement with both
the size of the X-ray emitting region and the slight elongation
along the NNW/SSE axis. The peak of the radio emission also covers the
inner
200 kpc of the core region, where the three X-ray subclumps are
located.
The cluster temperature and hardness ratio distributions were derived in
Giacintucci (2007), with the calibration files available at the
time. Gradients between the inner
200 kpc core region and the
surrounding areas were found in both the temperature and hardness
ratio, in agreement with the proposed overall picture that A 697 is
dynamically unrelaxed. Our analysis favours the multiple merger scenario,
but unfortunately the short exposure time of the Chandra observations
does not allow a more quantitative analysis.
|
Figure 7: Wavelet-reconstructed Chandra image of A 697, in the 0.5-9 keV band. The image is corrected for the exposure and background subtracted. Overlaid are the 325 MHz contours of the radio halo. The radio image is the same as right panel of Fig. 2. |
| Open with DEXTER | |
5.2 Origin of the radio halo
Theoretically, cosmic ray protons are expected to be the dominant non-thermal particle component in the ICM, due to their long lifetime (see Blasi et al. 2007, for a recent review). However, current observations in different bands constrain the energy density of the non-thermal component to be <10% of the thermal gas in the central Mpc region of galaxy clusters (e.g. Brunetti et al. 2007; Churazov et al. 2008; Aharonian et al. 2009a,b; Laganá et al. 2010).
As mentioned in the introduction, the two main physical processes producing the extended diffuse synchrotron emission in giant radio halos are probably the injection of secondary electrons by means of proton-proton collisions (hadronic models, e.g. Dennison 1980; Blasi & Colafrancesco 1999; Pfrommer & Ensslin 2004), and the in situ reacceleration of relativistic electrons by MHD turbulence generated in the ICM during cluster-cluster mergers (reacceleration models, Brunetti et al. 2001, 2004; Petrosian 2001; Fujita et al. 2003; Cassano & Brunetti 2005).
Radio halos with very steep spectrum, i.e.,
,
are suitable
targets for constraining these models and are more easily explained by a
turbulent re-acceleration scenario (Brunetti et al. 2008).
In the context of the hadronic scenario, clusters
hosting these radio halos must contain a very large population of cosmic
ray protons.
The observations presented in this paper suggest that Abell 697 hosts
a very steep spectrum giant halo and this allows a prompt test of the
hadronic model.
We assume that the giant radio halo in A 697 is of hadronic
origin and discuss the consequences of this hypothesis on the physical
properties of the ICM.
The decay chain that we consider for the injection
of secondary particles in the ICM produced by p-p
collisions is (Blasi & Colafrancesco 1999)
which is a threshold reaction that requires protons of kinetic energy higher than
Based on the assumption that secondary electrons are not accelerated by other
mechanisms, their spectrum approaches a stationary distribution due to
the competition between injection and energy losses
(Dolag & Ensslin 2000)
where
We follow standard formulae to calculate the injection rate of secondary electrons (Moskalenko & Strong 1998; Blasi & Colafrancesco 1999; Brunetti & Blasi 2005) and use Dermer's fitting formulae for the inclusive p-p cross section (Dermer 1986), which allow us to describe separately the rates of generation of
We assume a power law distribution of relativistic
protons,
,
in which case
the spectrum of secondaries at high energies,
,
is
,
where
accounts for the log-scaling
of the p-p cross section at high energies and makes the spectral shape
slightly flatter than
p-(s+1) (Brunetti & Blasi 2005; Brunetti 2009).
The synchrotron emissivity from secondary e
is also obtained via
the standard formulae (Rybicki & Lightman 1979; see also
Dolag & Ensslin 2000)
where
|
(4) |
is the energy density of cosmic ray protons (
The diffuse emission of the radio halo is centered on the cluster
core region and grossly resembles the X-ray morphology both in terms of
extension and elongation (Fig. 7).
The radio profile at 325 MHz, however, is flatter than the X-ray
profile, and drops by only a factor 5-6 over a distance range of 2.5-3
core radii
(
500 kpc), suggesting a broad spatial distribution of the
relativistic particles.
Thus, we used a
-model for the spatial distribution of the
cluster thermal gas (with parameters taken from Bonamente et al.
2006:
,
cm-3,
,
i.e.,
180 kpc, and
gas temperature kT = 10 keV)
and adopt a model
(Model 1) of the distribution of relativistic components in
Abell 697 where the energy density of both cosmic ray protons and
magnetic field are constant with radius out to a distance =
,
and scale with that of the thermal gas at larger distances.
This model gives a very good representation of the observed halo radial profile
out to a distance of about 2.5
and, within the uncertainties, it is also
in line with the observed profile at large distance (regardless of the
strength of the magnetic field at
distance).
|
Figure 8:
The ratios of the energy densities of relativistic protons
to those of the thermal ICM (dashed lines) and of the
non-thermal (relativistic protons and magnetic field) and to the
thermal ICM (solid lines) are shown as a function of magnetic field.
All energy densities are calculated within a distance
|
| Open with DEXTER | |
In Fig. 8, we show the ratio of the energy density
of non-thermal (relativistic protons and magnetic field) and thermal
components in Abell 697 corresponding to a hadronic origin of
the radio halo.
For
G, we find that relativistic protons are required
to store an energy comparable to (or higher than) that of the thermal ICM.
The non-thermal energy content reaches a minimum for
G,
,
implying
an important dynamical contribution of the non-thermal components
in the cluster.
In addition, we point out that Model 1 provides only a lower limit
to the energy of the non-thermal components for two main reasons:
- As soon as we also
include the
contribution from the tail of the
proton energy distribution at sub-relativistic energies (E< 1 GeV),
the required energy budget is much higher than that in
Fig. 8 due to the steep proton spectrum,
.
- The rather unphysical assumption in Model 1 that
the energy density of the
non-thermal components is constant with radius (up
)
yields a lower limit to the energy density of the cosmic ray protons
required by the hadronic scenario.
As soon as the magnetic field strength in Abell 697 is allowed to
decrease with distance from the cluster centre, the energy density of
relativistic protons must increase with radius and their total energy budget
increases (Fig. 8).
6 Summary and conclusions
We have presented 325 GMRT high sensitivity observations of the giant radio halo in A 697, and performed an accurate study of its integrated spectrum.
The largest extent of the radio halo at 325 MHz is
(corresponding to 1.3 Mpc h
), which is considerably
larger than at higher frequencies.
The radio spectrum, determined with three data points in
the frequency range 325 MHz-1.4 GHz, has a spectral index
.
An accurate analysis of the fraction of flux density that might be
missed in our observations beacuse of the limited the u-v coverage at
short spacings, inferred a spectral index
.
We thus conclude that A 697 hosts a very steep spectrum radio halo.
A qualitative analysis of the X-ray emission from the ICM suggests that this cluster is unrelaxed. A comparison with the 325 MHz emission from the radio halo shows that the non-thermal and thermal emissions have similar morphologies. Though at a qualitative level, the observations are in agreement with the idea that A 697 is the result of a multiple merger.
As in the case of A 521, we have demonstrated that the very steep spectrum of the halo appears to exclude a hadronic origin, which would require an unplausibly high energy budget. On the other hand, models that produce radio halos by means of turbulent acceleration predict that a large number of halos in the Universe have a very steep spectrum. This will be tested as soon as LOFAR and LWA become operational.
AcknowledgementsWe thank the staff of the GMRT for their help during the observations. GMRT is run by the National Centre for Radio Astrophysics of the Tata Institute of Fundamental Research. This research is partially funded by INAF and ASI through grants PRIN-INAF 2007, PRIN-INAF 2008 and ASI-INAF I/088/06/0. This research has made use of the NASA/IPAC Extragalactic Database (NED) which is operated by the Jet Propulsion Laboratory, California Institute of Technology, under contract with the National Aeronautics and Space Administration.
References
- Abell, G. O., Corwin, H. G. Jr., & Olowin, R. P. 1989, ApJS, 70, 1 [NASA ADS] [CrossRef] [EDP Sciences] [Google Scholar]
- Aharonian, F., Akhperjanian, A. G., Anton, G., et al. 2009a, A&A, 495, 27 [NASA ADS] [CrossRef] [EDP Sciences] [Google Scholar]
- Aharonian, F., Akhperjanian, A. G., Anton, G., et al. 2009b, A&A, 502, 437 [NASA ADS] [CrossRef] [EDP Sciences] [Google Scholar]
- Bauer, F. E., Fabian, A. C., Sanders, J. S., et al. 2005, MNRAS, 359, 1481 [NASA ADS] [CrossRef] [Google Scholar]
- Bacchi, M., Feretti, L., Giovannini, G., et al. 2003, A&A, 400, 465 [NASA ADS] [CrossRef] [EDP Sciences] [Google Scholar]
- Blasi, P., & Colafrancesco, S. 1999, APh, 12, 169 [NASA ADS] [Google Scholar]
- Blasi, P., Gabici, S., & Brunetti, G. 2007, Int. J. Mod. Phys. A, 22, 681 [Google Scholar]
- Bonafede, A., Feretti, L., Giovannini, G., et al. 2009, A&A, 503, 707 [NASA ADS] [CrossRef] [EDP Sciences] [Google Scholar]
- Bonamente, M., Joy, M. K., LaRoque, S. J., et al. 2006, ApJ, 647, 25 [NASA ADS] [CrossRef] [Google Scholar]
- Brunetti, G. 2004, JKAS, 37, 493 [NASA ADS] [CrossRef] [Google Scholar]
- Brunetti, G. 2009, Rev. Mex. Astron. Astrophys., 36, 201 [Google Scholar]
- Brunetti, G. 2009, A&A, 508, 599 [NASA ADS] [CrossRef] [EDP Sciences] [Google Scholar]
- Brunetti, G., & Blasi, P. 2005, MNRAS, 363, 1173 [NASA ADS] [CrossRef] [Google Scholar]
- Brunetti, G., Setti, G., Feretti, L., et al. 2001, MNRAS, 320, 365 [NASA ADS] [CrossRef] [Google Scholar]
- Brunetti, G., Venturi, T., Dallacasa, D., et al. 2007, ApJ, 670, L5 [NASA ADS] [CrossRef] [Google Scholar]
- Brunetti, G., Giacintucci, S., Cassano, R., et al. 2008, Nature, 455, 944 [NASA ADS] [CrossRef] [Google Scholar]
- Brunetti, G., Cassano, R., Dolag, K., et al. 2009, A&A, 507, 661 [NASA ADS] [CrossRef] [EDP Sciences] [Google Scholar]
- Buote, D. A. 2001, ApJ, 553, L15 [NASA ADS] [CrossRef] [Google Scholar]
- Cassano, R. 2009, in The Low Frequency Radio Universe, ed. D. J. Saikia, D. A. Green, Y. Gupta, & T. Venturi, ASP Conf. Ser., 407, 223 [Google Scholar]
- Cassano, R., & Brunetti, G. 2005, MNRAS, 357, 1313 [NASA ADS] [CrossRef] [Google Scholar]
- Cassano, R., Brunetti, G., & Setti, G. 2006, MNRAS, 369, 1577 [NASA ADS] [CrossRef] [Google Scholar]
- Churazov, E., Forman, W., & Vikhlinin, A. 2008, MNRAS, 388, 1062 [NASA ADS] [CrossRef] [Google Scholar]
- Condon, J. J., Cotton, W. D., Greisen, et al. 1998, AJ, 115, 1693 [NASA ADS] [CrossRef] [Google Scholar]
- Dahle, H., Kaiser, N., Irgens, R. J., et al. 2002, ApJS, 139, 313 [NASA ADS] [CrossRef] [Google Scholar]
- Dallacasa, D., Brunetti, G., Giacintucci, S., et al. 2009, ApJ, 699, 1288 [NASA ADS] [CrossRef] [Google Scholar]
- De Filippis, E., Sereno, M., Bautz, M. W., et al. 2005, ApJ, 625, 108 [NASA ADS] [CrossRef] [Google Scholar]
- Dennison, B. 1980, ApJ, 239, L93 [NASA ADS] [CrossRef] [Google Scholar]
- Dermer, C. D. 1986, A&A, 157, 223 [NASA ADS] [Google Scholar]
- Dolag, K., & Ensslin, T. A. 2000, A&A, 362, 151 [NASA ADS] [Google Scholar]
- Ebeling, H., Edge, A. C., Bohringer, H., et al. 1998, MNRAS, 301, 881 [NASA ADS] [CrossRef] [Google Scholar]
- Feretti, L., Fusco-Femiano, R., Giovannini, G., et al. 2001, A&A, 373, 106 [NASA ADS] [CrossRef] [EDP Sciences] [Google Scholar]
- Ferrari, C., Govoni, F., Schindler, S., et al. 2008, Space Sci. Rev., 134, 93 [NASA ADS] [CrossRef] [Google Scholar]
- Fujita, Y., Takizawa, M., & Sarazin, C. L. 2003, ApJ, 584, 190 [NASA ADS] [CrossRef] [Google Scholar]
- Giacintucci, S., PhD Thesis Multiwavelength study of cluster mergers and consequences for the radio emission properties of galaxy clusters, University of Bologna, http://amsdottorato.cib.unibo.it/353/ [Google Scholar]
- Giacintucci, S., Venturi, T., Brunetti, G., et al. 2005, A&A, 440, 867 [NASA ADS] [CrossRef] [EDP Sciences] [Google Scholar]
- Giacintucci, S., Venturi, T., Brunetti, G., et al. 2009, A&A, 505, 45 [NASA ADS] [CrossRef] [EDP Sciences] [Google Scholar]
- Giovannini, G., Tordi, M., & Feretti, L. 1999, New Astron., 4, 141 [NASA ADS] [CrossRef] [Google Scholar]
- Giovannini, G., Bonafede, A., Feretti, L., et al. 2009, A&A, 507, 1257 [NASA ADS] [CrossRef] [EDP Sciences] [Google Scholar]
- Girardi, M., Boschin, W., & Barrena, R. 2006, A&A, 455, 45 (G06) [NASA ADS] [CrossRef] [EDP Sciences] [Google Scholar]
- Govoni, F., & Feretti, G. 2004, Int. J. Mod. Phys. D., V. 13, 8, 1549 [Google Scholar]
- Govoni, F., Feretti, L., Giovannini, G., et al. 2001, A&A, 376, 803 [NASA ADS] [CrossRef] [EDP Sciences] [Google Scholar]
- Govoni, F., Markevitch, M., Vikhlinin, A., et al. 2004, ApJ, 605, 695 [NASA ADS] [CrossRef] [Google Scholar]
- Jaffe, W. J. 1977, ApJ, 212, 1 [NASA ADS] [CrossRef] [Google Scholar]
- Kempner, J. C., & Sarazin, C. L. 2001, ApJ, 548, 639 [NASA ADS] [CrossRef] [Google Scholar]
- Laganá, T. F., de Souza, R. S., & Keller, G. R. 2010, A&A, 510, 76 [Google Scholar]
- Metzger, M. R., & Ma, C. P. 2000, AJ, 120, 2879 [NASA ADS] [CrossRef] [Google Scholar]
- Moskalenko, I. V., & Strong, A. W. 1998, ApJ, 493, 694 [NASA ADS] [CrossRef] [EDP Sciences] [Google Scholar]
- Orrú, E., Murgia, M., Feretti, L., et al. 2007, A&A, 467, 943 [NASA ADS] [CrossRef] [EDP Sciences] [Google Scholar]
- Ota, N., & Mitsuda, K. 2004, A&A, 428, 757 [NASA ADS] [CrossRef] [EDP Sciences] [Google Scholar]
- Petrosian, V. 2001, ApJ, 557, 560 [NASA ADS] [CrossRef] [Google Scholar]
- Pfrommer, C., & Enßlin, T. A. 2004, JKAS, 37, 455 [NASA ADS] [CrossRef] [Google Scholar]
- Rengelink, R. B., Tang, Y., de Bruyn, A. G., et al. 1997, A&AS, 124, 259 [Google Scholar]
- Rybichi, G. B., & Lightman, A. P. 1979, Astron. Q., 3, 199, 1980 [NASA ADS] [CrossRef] [Google Scholar]
- Sarazin, C. L. 1999, ApJ, 520, 529 [NASA ADS] [CrossRef] [Google Scholar]
- van Weeren, R. J., Rottgering, H. J. A., Brüggen, M., et al. 2009, A&A, 505, 991 [NASA ADS] [CrossRef] [EDP Sciences] [Google Scholar]
- Venturi, T., Giacintucci, S., Brunetti, G., et al. 2007, A&A, 463, 937 (VGB07) [NASA ADS] [CrossRef] [EDP Sciences] [Google Scholar]
- Venturi, T., Giacintucci, S., Dallacasa, D., et al. 2008, A&A, 484, 327 (VGD08) [NASA ADS] [CrossRef] [EDP Sciences] [Google Scholar]
- Venturi, T., Giacintucci, S., Cassano, R., et al. 2009, in The low frequency Universe, ed. D. J. Saikia, D. A. Green, Y. Gupta, & T. Venturi, ASPC 407, 232 [Google Scholar]
- Vikhlinin, A., Forman, W., & Jones, C. 1997, ApJ, 474, L7 [NASA ADS] [CrossRef] [Google Scholar]
Footnotes
- ...
- We adopt the
CDM cosmology with
H0=70 km s-1 Mpc-1,
,
and
.
At the redshift of A 697 (z=0.282), this cosmology leads to a linear
scale of
kpc.
- ...
giant
- Linear size
1 Mpc h
.
- ...
shown
- The angular size of the halo (
)
is sampled by
visibilities corresponding to baselines shorter than
k
.
- ...

- Giovannini et al.
(2009) estimated a spectral index
using our GMRT 325 MHz flux density
value preliminary presented in Venturi et al. (2009) and the
1.4 GHz value derived from the original NVSS image. However, as shown in
Sect. 3.1, the original NVSS value overestimates the flux density at the
centre of A 697.
All Tables
Table 1: General properties of the galaxy cluster A 697.
Table 2: Summary of the GMRT radio observations.
Table 3: Individual radio galaxies at the center of A 697.
Table 4: Flux densites of the radio halo in A 697.
All Figures
|
Figure 1:
GMRT 325 MHz radio contours of the inner
|
| Open with DEXTER | |
| In the text | |
|
Figure 2:
Left - Full resolution GMRT 325 MHz contours of the
central region of A 697, superimposed on the Second Palomar Sky Survey
(POSS-2) optical image. The image is the same as in Fig. 1
(
|
| Open with DEXTER | |
| In the text | |
|
Figure 3:
Comparison between the inner portion of the u-v plane sampled by the GMRT observations at 325 MHz ( left panel) and at 610 MHz
( right) from which the flux density measurements of the halo have been
taken. Only baselines shorter than 1 k |
| Open with DEXTER | |
| In the text | |
|
Figure 4:
Low resolution VLA-C 1.4 GHz image of the radio halo in A 697.
The 1 |
| Open with DEXTER | |
| In the text | |
|
Figure 5:
Left panel: radio contours of the
A 697 field from the public 1.4 GHz NVSS image (grey scale).
The 1 |
| Open with DEXTER | |
| In the text | |
|
Figure 6: Integrated radio spectrum of the halo. The red solid line is the linear fit to the data (filled triangles), weighted for uncertainties. The dashed line connects the two values of flux density including the estimated losses at 325 and 610 MHz (stars). The open square is the estimated flux density of the radio halo in the NVSS. |
| Open with DEXTER | |
| In the text | |
|
Figure 7: Wavelet-reconstructed Chandra image of A 697, in the 0.5-9 keV band. The image is corrected for the exposure and background subtracted. Overlaid are the 325 MHz contours of the radio halo. The radio image is the same as right panel of Fig. 2. |
| Open with DEXTER | |
| In the text | |
|
Figure 8:
The ratios of the energy densities of relativistic protons
to those of the thermal ICM (dashed lines) and of the
non-thermal (relativistic protons and magnetic field) and to the
thermal ICM (solid lines) are shown as a function of magnetic field.
All energy densities are calculated within a distance
|
| Open with DEXTER | |
| In the text | |
Copyright ESO 2010
Current usage metrics show cumulative count of Article Views (full-text article views including HTML views, PDF and ePub downloads, according to the available data) and Abstracts Views on Vision4Press platform.
Data correspond to usage on the plateform after 2015. The current usage metrics is available 48-96 hours after online publication and is updated daily on week days.
Initial download of the metrics may take a while.
![\begin{figure}
\par\includegraphics[width=12cm,clip]{14109fg1.ps}
\end{figure}](/articles/aa/full_html/2010/09/aa14109-10/Timg46.png)
![\begin{figure}
\par\includegraphics[width=14cm,clip]{14109fg2.eps}
\end{figure}](/articles/aa/full_html/2010/09/aa14109-10/Timg54.png)
![\begin{figure}
\par\includegraphics[width=12cm,clip]{14109fg3.eps}
\end{figure}](/articles/aa/full_html/2010/09/aa14109-10/Timg65.png)
![\begin{figure}
\par\includegraphics[width=7.5cm,clip]{14109fg4.ps}
\end{figure}](/articles/aa/full_html/2010/09/aa14109-10/Timg77.png)
![\begin{figure}
\par\includegraphics[width=17cm,clip]{14109fg5.eps}
\end{figure}](/articles/aa/full_html/2010/09/aa14109-10/Timg78.png)
![\begin{figure}
\par\includegraphics[width=7.5cm,clip]{14109fg6.ps}
\end{figure}](/articles/aa/full_html/2010/09/aa14109-10/Timg91.png)
![\begin{figure}
\par\includegraphics[width=7.4cm,clip]{14109fg7.ps}
\end{figure}](/articles/aa/full_html/2010/09/aa14109-10/Timg99.png)
![\begin{figure}
\par\includegraphics[width=7.8cm,clip]{14109fg8.ps}
\end{figure}](/articles/aa/full_html/2010/09/aa14109-10/Timg133.png)