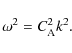
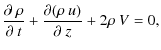
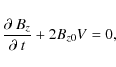
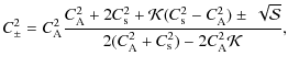
| Issue |
A&A
Volume 517, July 2010
|
|
|---|---|---|
| Article Number | A29 | |
| Number of page(s) | 7 | |
| Section | The Sun | |
| DOI | https://doi.org/10.1051/0004-6361/201014502 | |
| Published online | 28 July 2010 | |
Long-wavelength torsional modes of solar coronal plasma structures
S. Vasheghani Farahani - V. M. Nakariakov - T. Van Doorsselaere
Centre for Fusion, Space, and Astrophysics, Physics Department, University of Warwick, Coventry CV4 7AL, UK
Received 24 March 2010 / Accepted 20 April 2010
Abstract
Aims. We consider the effects of the magnetic twist and plasma rotation on the propagation of torsional m=0
perturbations of cylindrical plasma structures (straight magnetic flux
tubes) in the case when the wavelength is much longer than the cylinder
diameter.
Methods. The second order thin flux tube approximation is used
to derive dispersion relations and phase relations in linear
long-wavelength axisymmetric magnetohydrodynamic waves in uniformly
twisted and rotating plasma structures.
Results. Asymptotic dispersion relations linking phase speeds
with the plasma parameters are derived. When twist and rotation are
both present, the phase speed of torsional waves depends upon the
direction of the wave propagation, and also the waves are compressible.
The phase relations show that in a torsional wave the density and
azimuthal magnetic field perturbations are in phase with the axial
magnetic field perturbations and anti-phase with tube cross-section
perturbations. In a zero-
non-rotating plasma cylinder confined by the equilibrium twist, the density perturbation is found to be about
of the amplitude of the twist perturbation in torsional waves.
Key words: magnetohydrodynamics (MHD) - waves - Sun: corona - Sun: activity
1 Introduction
A cylindrical plasma structure embedded in a plasma of different
properties is a popular model for several astrophysical objects, in
particular coronal loops, plumes and jets in the solar corona. Such a
structure is known to support a number of magnetohydrodynamic (MHD)
modes of oscillation, which can be divided into several classes
according to their observational manifestation. In low-
plasmas,
typical for the solar corona, the modes of plasma cylinders are kink,
sausage, longitudinal, ballooning and torsional (e.g. Nakariakov & Verwichte 2005; Edwin & Roberts 1983). In the most refined form the properties of these modes are seen in the case of the straight magnetic field, parallel to
the axis of the cylinder. The first four modes are compressible (modified slow or fast magnetoacoustic waves),
while torsional modes (also known as rotational modes) are the only truly incompressible perturbations of the plasma (e.g., Van Doorsselaere et al. 2008)
and propagate at the Alfvén speed, and hence should be considered as
Alfvén waves. Torsional modes are propagating azimuthal (rotational)
motions of the plasma, accompanied by the perturbations of the
azimuthal component of the magnetic field. Also, torsional modes can be
considered as an alternating electric current aligned with the axis of
the cylinder.
Strictly speaking, in a plasma cylinder with a straight magnetic field,
torsional waves are not modes, as perturbations of neighbouring
magnetic surfaces are independent of each other and hence do not
constitute a collective phenomenon. However, if the Alfvén speed is
sufficiently uniform across the plasma structure and if the
perturbations of the neighbouring magnetic surfaces are excited in
phase, torsional perturbations
manifest themselves in observations as a quasi-collective mode-like
perturbation. Thus, from the point of view of the interpretation of
observed phenomena the term ``torsional modes'' is in our opinion
sufficiently justified.
In solar coronal studies, torsional modes have attracted great attention for several important reasons. Tapping (1983) considered this mode for the interpretation of high quality oscillations of the microwave emission generated in flaring loops by the gyrosynchrotron mechanism. The modulation of the emission can be produced by the change of the angle between the magnetic field and the line of sight. Another possible interpretation of quasi-periodic pulsations in solar flares, in terms of the oscillations in an equivalent LCR-circuit (e.g. Khodachenko et al. 2009, and references therein), links the pulsations with the alternating electric current in a flaring loop. The alternating field-aligned current can be described in terms of torsional waves. Hence, the development of the LCR-circuit model requires the understanding of the torsional wave dynamics. Another popular research avenue is the role of torsional modes in coronal heating and solar wind acceleration, based upon the ability of torsional waves to penetrate easily into the corona (e.g. Copil et al. 2008; Ruderman 1999). In particular, Moriyasu et al. (2004) and Antolin et al. (2008) paid special attention to nonlinear effects and shock formation. It was demonstrated numerically that the observed spiky intensity profiles due to impulsive energy releases could be obtained from nonlinear torsional waves. Recently, Fletcher & Hudson (2008) proposed that a flare-generated large-scale torsional wave could be responsible for the bulk acceleration of electrons to high energies. Copil et al. (2008) suggested that propagating torsional waves could produce localised heating in coronal plasma threads. Also, torsional modes have been intensively studied in the context of the astrophysical jet collimation (e.g. Bisnovatyi-Kogan 2007), where the periodic alternate magnetic twist provides the force that counteracts the total pressure and the centrifugal forces.
Despite the huge interest in torsional modes, unequivocal observational evidence of their presence in solar coronal plasma structures is absent due to intrinsic difficulties in their detection. Promising methods of their detection are based upon the Doppler shift of coronal emission lines and the modulation of the gyrosynchrotron emission. Unfortunately, the lack of spatial resolution in solar coronal observations does not allow one to resolve simultaneously the periodically varying red and blue Doppler shifts in different parts of a plasma structure. Spatially unresolved torsional modes manifest themselves as periodic non-thermal broadening. Zaqarashvili (2003) interpreted the variation of non-thermal broadening of the coronal ``green'' line along a coronal loop, with the period about 6 min, as the global (standing) torsional mode. Grechnev et al. (2003) suggested that 6-s oscillations of the hard X-ray and microwave emission in a solar flare could be produced by a torsional oscillation of the flaring loop. In the chromosphere, possible detection of torsional perturbations with the periods between 126 s and 700 s and an amplitude of 23 km s-1 was recently reported by Jess et al. (2009).
Theoretical investigation of torsional modes of magnetic plasma structures has been concentrated on various aspects of the wave propagation. In a non-rotating plasma cylinder with a straight magnetic field, torsional perturbations which are independent of the azimuthal angle (m=0, where m is the azimuthal wave number) propagate at the Alfvén speed inside the cylinder and are incompressible and dispersionless (e.g. Edwin & Roberts 1983). Transverse non-uniformity of the Alfvén speed and/or field-aligned steady flow profile leads to phase mixing of torsional perturbations (e.g. Ryutova & Habbal 1995). The effects of longitudinal variation of the Alfvén speed on the resonant frequencies of standing torsional modes of corona loops has been investigated by Zaqarashvili & Murawski (2007). However, effects of the magnetic field twisting and the plasma rotation on the torsional modes are still not understood. There is still no direct observational evidence of the magnetic twisting of coronal plasma structures. On the other hand, this is often seen in numerical simulations of magnetic flux emergence (e.g., see Hood et al. 2009, for a recent discussion). In addition, rotation of coronal plasma structures has been seen, e.g., in macrospicules (Pike & Mason 1998) also known as solar tornados, and one can expect solar coronal hot jets to be rotating.
A useful tool for the analytical study of long-wavelength axisymmetric (torsional and longitudinal, and, perhaps, sausage) perturbations of magnetic flux tubes is the second order thin flux tube approximation derived by Zhugzhda (1996). This approximation generalises the classical thin flux tube theory of Roberts & Webb (1978), accounting for the flux tube rotation and twist, and also the variation of its cross-section. In particular, it allows to consider the effects of the long-wavelength dispersion, connected with the presence of the characteristic spatial scale, the tube diameter, on the wave propagation (Zhugzhda 1996). It has been pointed out that in twisted magnetic flux tubes, the torsional modes become compressible. Soliton solutions appearing because of the combination of weakly dispersive and weakly nonlinear corrections to the sausage wave propagation were found in Zhugzhda & Nakariakov (1999). An intensive following-up discussion (Ruderman 2005; Zhugzhda 2005; Zhugzhda & Goossens 2001; Zhugzhda 2002) revealed the necessity to pay attention to the induced perturbations in the external medium. However, this is of course not necessary if the external medium is a vacuum, and the plasma confinement is fulfilled by the internal magnetic twist.
The aim of this paper is to study long-wavelength (in comparison with the transverse size of the plasma cylinder) axisymmetric torsional modes in twisted and rotating plasma structures surrounded by vacuum, developing the work of Zhugzhda (1996) and Zhugzhda & Nakariakov (1999). The paper is organised as follows. In the next section we discuss the model and the equilibrium. In Sect. 3 we consider the general dispersion relation in several asymptotic cases. In Sect. 4 we derive phase relations between the perturbed physical quantities and study the compressibility of torsional waves. The results obtained are summarised in Conclusions.
2 Model and equilibrium conditions
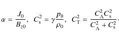
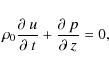
In this work, we consider a rotating straight cylinder of a uniform plasma (a straight
magnetic flux tube) with a twisted magnetic field (see Fig. 1). A similar (while non-rotating) model was used in the study of Erdélyi & Fedun (2007). Our governing set of equations is
in terms of the second order thin flux tube approximation of Zhugzhda (1996).
In its derivation, the Taylor expansion of the physical variables with respect to the radial coordinate
r was used
where Br,
where
|
Figure 1: The sketch of the model geometry. |
| Open with DEXTER | |
As it was stressed in Zhugzhda (1996), in the case of a twisted and rotating magnetic flux tube the second order term p2 in the radial Taylor expansion (1) needs to be taken into account because it depends on the first order magnetic twist J, and could not then be neglected. This is also why we need to take into account the second order approximation of the pressure balance at the tube boundary mentioned in Eq. (24) of Ferriz-Mas et al. (1989).
The equilibrium pressure balance condition is
where J0,
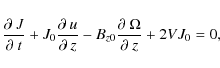
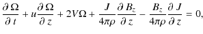
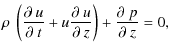
where the last expression comes from the conservation of angular momentum. Linearising the thin flux tube equations with respect to the equilibrium we obtain:
|
(6) |
|
(7) |
|
(9) |
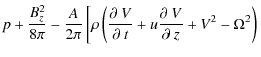
In general, the set of Eqs. (5) should be supplemented by an equation describing the perturbation of the external total pressure
3 Dispersion relations
Considering linear perturbations which are proportional to
,
one gets the dispersion relation:
where
|
(13) |
The axial Alfvén speed is determined by the longitudinal component of the magnetic field,
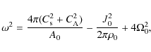
3.1 Case J0=0,

In the case of an untwisted (J0=0) and non-rotating
tube, the dispersion relation Eq. (12) reduces to
| (14) |
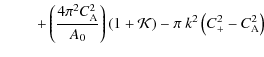
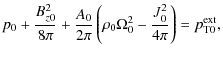
which describes three MHD modes. The familiar dispersion relation of the torsional modes readily separates,
The remaining biquadratic equation describes longitudinal and sausage modes,
where the terms proportional to the tube cross-section A0 are weak dispersion corrections, and in the long-wavelength limit the longitudinal scale of MHD perturbations is much bigger than its transverse scale,
Equation (17) coincides with Eq. (77) of Zhugzhda (1996) in case of an untwisted and non rotating flux tube. In the zero-order thin flux tube approximation (Roberts & Webb 1978), this expression simplifies to the familiar dispersion relation for slow magnetoacoustic modes in the long-wavelength limit,
|
(18) |
Equation (17) describes the dispersive corrections connected with the finite tube radius effects. In addition, in a general case it is necessary to account for the dispersive effects connected with the external medium (see Ruderman 2005; Zhugzhda 2005; Zhugzhda & Goossens 2001; Zhugzhda 2002).
Another solution of Eq. (16) corresponds to sausage fast magnetoacoustic
perturbations. It can be easily seen in the zero-beta limit, in which the dispersion relation
reduces to
The last term of this equation is proportional to the reciprocal transverse wavelength in the situation when the rigid wall boundary conditions are applied. Hence in this case we have the dispersion relation that describes fast magnetoacoustic sausage waves in a plasma cylinder with a rigid wall. In the case of the soft boundary given by the balance of the total pressures inside and outside the tube, which is more typical for astrophysical applications, behaviour of the long-wavelength sausage mode is determined by the external medium (see, e.g. Pascoe et al. 2007).
3.2 Case
,

The case of a non-rotating twisted tube has been discussed in detail in Zhugzhda (1996); Zhugzhda & Nakariakov (1999). The dispersion relation is
where
and
| |
= | ||
| = |
|
(22) |
The second term on the right hand side of Eq. (20) is the dispersive correction term. Equation (21) indicates the modification of the propagation speeds of the longitudinal (with the negative sign) and torsional (with the positive sign) waves by the equilibrium magnetic twist. Note that Eq. (20) indicates that the equilibrium twist modifies the wave speeds even in the limit k=0. Also, mind a misprint in Eq. (19) of Zhugzhda & Nakariakov (1999).
3.3 Case
,
,
zero-
limit
Consider the equilibrium with both twist and rotation to be non-zero
.
A useful simplification can be obtained in the zero-
limit.
In this case, dispersion relation (12) reduces to
|
(23) |
where
|
(24) |
|
(25) |
and
|
(26) |
Taking that the dispersion is weak, we obtain
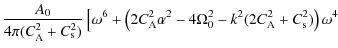
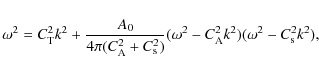
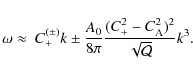
Equation (27) generalises Eq. (81) of Zhugzhda (1996) (corrected for a misprint). Thus, the equilibrium twist and rotation modify the propagation speeds in the k=0 limit.
Equation (27) shows that the torsional waves propagate in opposite directions
along the tube at different speeds. The difference in the speeds is governed by the term
.
This is similar to the case of untwisted non-rotating tubes with
equilibrium field-aligned steady flows, when the asymmetry is caused by the Doppler shift (e.g. Nakariakov et al. 1996; Vasheghani Farahani et al. 2009). In Eq. (27)
the equilibrium steady flow is in the direction perpendicular to the
direction of the wave propagation, but locally the Alfvénic
perturbations propagate along the twisted magnetic field either
downstream or upstream the flow. Hence, in the considered case, the
speed asymmetry is caused by the Doppler shift, too.
3.3.1 Standing oscillations of an infinite tube
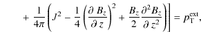
Consider the k=0 limit. In this case, dispersion relation (12) has two solutions,
one is
,
which corresponds to the longitudinal and torsional perturbations,
and the other is
which is the sausage oscillation of a twisted and rotating magnetic cylinder in a vacuum. The frequency of the sausage oscillations depends upon the ratio of the fast magnetoacoustic speed to the radius of the tube, as well as upon the twist and the rotation.
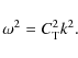
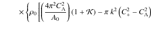
A sufficiently twisted magnetic flux tube is subject to instability. Equation (28) describes the threshold of the sausage (m=0) instability,
.
In particular,
in the zero-
non-rotating plasma we readily get that the stability condition is
,
which coincides with the expression obtained by other
methods (e.g. Miyamoto 2005).
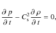
4 Compressibility of the torsional mode
In an untwisted, non-rotating tube, the equations describing linear perturbations of the twist and rotation, Eqs. (5, 8) and governing the torsional mode,
are decoupled from the rest of the linearised MHD equations. Thus, the torsional modes
are incompressible and can be considered as true Alfvén waves in contrast with other modes.
In the case of a twisted
and rotating
tube,
Eqs. (5) and (8) are not independent of the other linear perturbations anymore. Thus, in this case, torsional
perturbations become compressible: they perturb the plasma density and the absolute
value of the magnetic field, induce longitudinal flows
and perturb the tube cross-sectional area. The latter leads to the coupling of the
torsional motions with the external medium, if it is not a vacuum.
Consider the compressible perturbations in the torsional modes of
a twisted
and rotating
tube.
We assume that the perturbations of the twist in the torsional wave are in the form
where
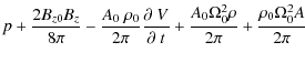
Substituting expression (29) to Eqs. (5)-(10) we obtain the following relations between the compressible variables with the amplitude of the torsional wave:
where
and
|
|||
|
|||
|
|||
|
|||
where
The induced compressibility is associated with the departure of the perturbation from magnetic surfaces, as
is not zero. Hence, in this case the torsional wave cannot be considered
as the true Alfvén wave and is rather a fast magnetoacoustic wave. More rigorously,
in the case of a twisted and/or rotating tube, Alfvén torsional modes are linearly coupled
with essentially compressible sausage and longitudinal modes.
Consider the compressibility of the torsional waves in the zero-beta limit
.
Expressions (30) become
|
|||
|
(31) |
where
|
|||
|
|||
|
(32) | ||
and
| (33) |
with
For a non-rotating tube in the zero-
Also, in this case the phase speed of the torsional mode reduces to the Alfven speed
or
| (37) |
The equilibrium condition (3) in case of zero-
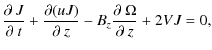
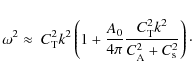
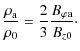
Equation (36) is consistent with the straight magnetic field limit: when the twist J0 goes to zero, the torsional mode becomes incompressible. In Fig. 2 the parameters
According to (30), in the zero-
limit the
torsional oscillations do not induce plasma flows along the tube. The
induced variations of the plasma density are in phase with the
variations of the
twist and the absolute value of the magnetic field, and in anti-phase
with the variations of the loop radius. These phase relations should be
taken into account in the estimation of observational manifestation of
torsional waves in twisted and possibly
rotating plasma structures, e.g. in the gyrosynchrotron emission by the
fashion similar to applied by Tapping (1983)
to torsional modes and Nakariakov & Melnikov (2006)
to longitudinal modes
of straight non-rotating flux tubes. Also, these relations should be
used in forward modelling of torsional waves observed with
spectrometers.
|
Figure 2:
Dependence of the compressibility parameter
|
| Open with DEXTER | |
5 Conclusions
We considered torsional axisymmetric (m=0) long wavelength MHD modes of a cylindrical plasma structure with the use of the second order thin flux tube approximation. The analysis was restricted to the case when the effect of the external medium was ignored. In this case, the equilibrium force balance is fulfilled by the balance of the total pressure and the centrifugal forces and the magnetic tension force. Such a model can describe various plasma structures in the corona of the Sun, e.g. coronal jets and plumes, as well as segments of coronal loops and filaments. A more general consideration accounting for the effect of the external medium, which is definitely more cumbersome and hence excluded from this paper, will be published elsewhere. According to the Kruskal-Shafranov theory, a twisted plasma column is unstable to sufficiently long wavelength kink (m=1) perturbations. However, in the case of jets, development of the instability takes some time and hence it will be seen at some distance downstream from the origin of the jet. Hence, it is possible to consider the propagation of torsional waves in jets which are kink-unstable, provided the waves are excited somewhere near the jet's origin.
The general dispersion relation, linking frequencies of the MHD modes with their wave numbers and parameters of the medium (the Alfvén and sound speeds, rotation and twist) is a sixth order polynomial. It describes all three MHD modes of the m=0 symmetry: the torsional, sausage fast magnetoacoustic and longitudinal (slow magnetoacoustic) modes. In the untwisted non-rotating flux tube, sausage and longitudinal modes are dispersive, with the dispersion proportional to the ratio of the equilibrium radius of the tube to the wavelength. We would like to stress that in the untwisted limit the proper treatment of these waves requires consideration of the external medium, while in the twisted case considered here the equilibrium does not necessarily require the presence of the external plasma. In any case, both sausage and longitudinal modes are compressible and hence magnetoacoustic. In the untwisted non-rotating case, the torsional mode is dispersionless, and hence is the true Alfvén wave.
Equilibrium twist and rotation of the tube modify the torsional mode making it dispersive. Assuming the dispersion being weak, we derived asymptotic dispersion relations for the phase speeds of the modes. Interestingly, the phase speeds of the torsional waves propagating in the opposite directions along the tube have different absolute values, which is connected with the local Doppler shift.
In twisted magnetic flux tubes torsional waves become compressible, perturbing the plasma density, the absolute value of the magnetic field, and the tube cross-section. The induced variations of the plasma density and the absolute value of the magnetic field are in phase with the variations of the twist in the torsional wave, and in anti-phase with the variations of the loop radius. The compressibility vanishes in the limit when the equilibrium twist goes to zero, as it should be in the familiar case of the straight magnetic field.
Using the observations by Cirtain et al. (2007) for hot coronal jets, one could take the jet density and the magnetic field (along the jet axis) at equilibrium as
and
respectively, which gives the Alfvén speed about 1200 km s-1. Also the sound speed could be estimated as 370 km s-1 at coronal temperatures about
.
Having the values for the Alfvén and the sound speeds,
is 0.16.
Hence, the plasma can be treated as low-
.
According to Eq. (38), a torsional wave of the relative amplitude
will be accompanied by a perturbation of about
.
Our results provide theoretical basis for the search for torsional
waves in coronal plasma structures, and, in particular, for the forward
modelling of the EUV, soft X-ray and microwave observables.
T.V.D. has received funding from the European Community's seventh framework programme (FP7/2007-2013) under grant agreement number 220555.
References
- Antolin, P., Shibata, K., Kudoh, T., Shiota, D., & Brooks, D. 2008, ApJ, 688, 669 [NASA ADS] [CrossRef] [Google Scholar]
- Bisnovatyi-Kogan, G. S. 2007, MNRAS, 376, 457 [NASA ADS] [CrossRef] [Google Scholar]
- Cirtain, J. W., Golub, L., Lundquist, L., et al. 2007, Science, 318, 1580 [NASA ADS] [CrossRef] [PubMed] [Google Scholar]
- Copil, P., Voitenko, Y., & Goossens, M. 2008, A&A, 478, 921 [NASA ADS] [CrossRef] [EDP Sciences] [Google Scholar]
- Edwin, P. M., & Roberts, B. 1983, Sol. Phys., 88, 179 [NASA ADS] [CrossRef] [Google Scholar]
- Erdélyi, R., & Fedun, V. 2007, Sol. Phys., 246, 101 [NASA ADS] [CrossRef] [Google Scholar]
- Ferriz-Mas, A., Schuessler, M., & Anton, V. 1989, A&A, 210, 425 [NASA ADS] [Google Scholar]
- Fletcher, L., & Hudson, H. S. 2008, ApJ, 675, 1645 [NASA ADS] [CrossRef] [Google Scholar]
- Grechnev, V. V., White, S. M., & Kundu, M. R. 2003, ApJ, 588, 1163 [NASA ADS] [CrossRef] [Google Scholar]
- Hood, A. W., Archontis, V., Galsgaard, K., & Moreno-Insertis, F. 2009, A&A, 503, 999 [NASA ADS] [CrossRef] [EDP Sciences] [Google Scholar]
- Jess, D. B., Mathioudakis, M., Erdélyi, R., et al. 2009, Science, 323, 1582 [NASA ADS] [CrossRef] [PubMed] [Google Scholar]
- Khodachenko, M. L., Zaitsev, V. V., Kislyakov, A. G., & Stepanov, A. V. 2009, Space Sci. Rev., 149, 83 [NASA ADS] [CrossRef] [Google Scholar]
- Miyamoto, K. 2005, Fundamentals of Plasma Physics and Controlled Fusion (Springer) [Google Scholar]
- Moriyasu, S., Kudoh, T., Yokoyama, T., & Shibata, K. 2004, ApJ, 601, L107 [NASA ADS] [CrossRef] [Google Scholar]
- Nakariakov, V. M., & Melnikov, V. F. 2006, A&A, 446, 1151 [NASA ADS] [CrossRef] [EDP Sciences] [Google Scholar]
- Nakariakov, V. M., & Verwichte, E. 2005, Liv. Rev. Sol. Phys., 2, 3 [Google Scholar]
- Nakariakov, V. M., Roberts, B., & Mann, G. 1996, A&A, 311, 311 [NASA ADS] [Google Scholar]
- Pascoe, D. J., Nakariakov, V. M., & Arber, T. D. 2007, A&A, 461, 1149 [NASA ADS] [CrossRef] [EDP Sciences] [Google Scholar]
- Pike, C. D., & Mason, H. E. 1998, Sol. Phys., 182, 333 [NASA ADS] [CrossRef] [Google Scholar]
- Roberts, B., & Webb, A. R. 1978, Sol. Phys., 56, 5 [NASA ADS] [CrossRef] [Google Scholar]
- Roberts, B., Edwin, P. M., & Benz, A. O. 1984, ApJ, 279, 857 [NASA ADS] [CrossRef] [Google Scholar]
- Ruderman, M. S. 1999, ApJ, 521, 851 [NASA ADS] [CrossRef] [Google Scholar]
- Ruderman, M. S. 2005, Phys. Plasmas, 12, 034701 [NASA ADS] [CrossRef] [Google Scholar]
- Ryutova, M. P., & Habbal, S. R. 1995, ApJ, 451, 381 [NASA ADS] [CrossRef] [Google Scholar]
- Tapping, K. F. 1983, Sol. Phys., 87, 177 [NASA ADS] [CrossRef] [Google Scholar]
- Van Doorsselaere, T., Nakariakov, V. M., & Verwichte, E. 2008, ApJ, 676, L73 [NASA ADS] [CrossRef] [Google Scholar]
- Vasheghani Farahani, S., Van Doorsselaere, T., Verwichte, E., & Nakariakov, V. M. 2009, A&A, 498, L29 [NASA ADS] [CrossRef] [EDP Sciences] [Google Scholar]
- Zaqarashvili, T. V. 2003, A&A, 399, L15 [NASA ADS] [CrossRef] [EDP Sciences] [Google Scholar]
- Zaqarashvili, T. V., & Murawski, K. 2007, A&A, 470, 353 [NASA ADS] [CrossRef] [EDP Sciences] [Google Scholar]
- Zhugzhda, Y. D. 1996, Phys. Plasmas, 3, 10 [NASA ADS] [CrossRef] [Google Scholar]
- Zhugzhda, Y. D. 2002, Phys. Plasmas, 9, 971 [NASA ADS] [CrossRef] [Google Scholar]
- Zhugzhda, Y. D. 2005, Phys. Plasmas, 12, 034702 [NASA ADS] [CrossRef] [Google Scholar]
- Zhugzhda, Y. D., & Goossens, M. 2001, A&A, 377, 330 [NASA ADS] [CrossRef] [EDP Sciences] [Google Scholar]
- Zhugzhda, Y. D., & Nakariakov, V. M. 1999, Phys. Lett. A, 252, 222 [NASA ADS] [CrossRef] [Google Scholar]
All Figures
|
Figure 1: The sketch of the model geometry. |
| Open with DEXTER | |
| In the text | |
|
Figure 2:
Dependence of the compressibility parameter
|
| Open with DEXTER | |
| In the text | |
Copyright ESO 2010
Current usage metrics show cumulative count of Article Views (full-text article views including HTML views, PDF and ePub downloads, according to the available data) and Abstracts Views on Vision4Press platform.
Data correspond to usage on the plateform after 2015. The current usage metrics is available 48-96 hours after online publication and is updated daily on week days.
Initial download of the metrics may take a while.
![\begin{figure}
\par\includegraphics[width=5cm,clip]{14502fg1}\vspace*{2mm}
\end{figure}](/articles/aa/full_html/2010/09/aa14502-10/Timg27.png)
![\begin{figure}
\par\includegraphics[width=7.5cm,clip]{14502fg2}\vspace*{3mm}
\end{figure}](/articles/aa/full_html/2010/09/aa14502-10/Timg119.png)