| Issue | 
											A&A
									 Volume 518, July-August 2010				Herschel: the first science highlights | |
|---|---|---|
| Article Number | A8 | |
| Number of page(s) | 14 | |
| Section | Catalogs and data | |
| DOI | https://doi.org/10.1051/0004-6361/200913717 | |
| Published online | 19 August 2010 | |
A search for VHE counterparts of Galactic Fermi bright sources and MeV to TeV spectral characterization
P. H. T. Tam1,![[*]](/icons/foot_motif.png) -
S. J. Wagner1 -
O. Tibolla2 -
R. C. G. Chaves2
 -
S. J. Wagner1 -
O. Tibolla2 -
R. C. G. Chaves2
1 - Landessternwarte, Universität Heidelberg, Königstuhl, 69117
Heidelberg, Germany
2 - Max-Planck-Institut für Kernphysik, PO Box 103980, 69029
Heidelberg, Germany 
Received 23 November 2009 / Accepted 21 March 2010
Abstract
Very high-energy (VHE; E>100 GeV)  -rays have
been detected in a wide range of
astronomical objects, such as pulsar wind nebulae (PWNe), supernova
remnants (SNRs), giant molecular clouds,
-rays have
been detected in a wide range of
astronomical objects, such as pulsar wind nebulae (PWNe), supernova
remnants (SNRs), giant molecular clouds,  -ray binaries, the Galactic
center, active galactic nuclei (AGN), radio galaxies, starburst
galaxies, and possibly star-forming regions. At lower energies,
observations using the Large Area Telescope (LAT) onboard Fermi
provide a rich set of data that can be used to study the behavior of
cosmic accelerators
in the MeV to TeV energy bands. In particular, the improved angular
resolution of current telescopes in both bands compared to previous
instruments significantly reduces source confusion and facilitates
identification of associated counterparts at lower energies. In this
paper, a comprehensive search for VHE
-ray binaries, the Galactic
center, active galactic nuclei (AGN), radio galaxies, starburst
galaxies, and possibly star-forming regions. At lower energies,
observations using the Large Area Telescope (LAT) onboard Fermi
provide a rich set of data that can be used to study the behavior of
cosmic accelerators
in the MeV to TeV energy bands. In particular, the improved angular
resolution of current telescopes in both bands compared to previous
instruments significantly reduces source confusion and facilitates
identification of associated counterparts at lower energies. In this
paper, a comprehensive search for VHE  -ray sources that are
spatially coincident with Galactic Fermi/LAT
bright sources is performed, and the available MeV to TeV spectra of
coincident sources compared. It is found that bright LAT GeV sources
are correlated with TeV sources, in contrast to previous studies using
EGRET data. Moreover, a single spectral component seems unable to
describe the MeV to TeV spectra of many coincident GeV/TeV sources. It
has been suggested that
-ray sources that are
spatially coincident with Galactic Fermi/LAT
bright sources is performed, and the available MeV to TeV spectra of
coincident sources compared. It is found that bright LAT GeV sources
are correlated with TeV sources, in contrast to previous studies using
EGRET data. Moreover, a single spectral component seems unable to
describe the MeV to TeV spectra of many coincident GeV/TeV sources. It
has been suggested that  -ray
pulsars may be accompanied by VHE
-ray
pulsars may be accompanied by VHE  -ray emitting nebulae, a
hypothesis that can be tested with VHE observations of these pulsars.
-ray emitting nebulae, a
hypothesis that can be tested with VHE observations of these pulsars.
Key words: Gamma rays: general - Galaxy: general - pulsars: general - ISM: supernova remnants - X-rays: binaries
1 Introduction
Our understanding of the very high-energy (VHE; E > 100 GeV)
sky has greatly improved during the last few years, thanks to the high
sensitivity of current imaging atmospheric Cherenkov telescopes
(IACTs), e.g., HESS, MAGIC, and VERITAS. They typically cover the
energy range of  100 GeV
up to several tens of TeV, and provide an
angular resolution of
100 GeV
up to several tens of TeV, and provide an
angular resolution of  .
This allows spectral and morphological studies of the various types of
VHE sources: pulsar wind nebulae (PWNe), supernova remnants (SNRs),
giant molecular clouds,
.
This allows spectral and morphological studies of the various types of
VHE sources: pulsar wind nebulae (PWNe), supernova remnants (SNRs),
giant molecular clouds,  -ray
binaries, the Galactic center, active galactic nuclei (AGN), radio
galaxies, starburst galaxies, and possibly star-forming regions.
See Aharonian
et al. (2008e) for a review of the field in 2008,
with more recent updates given
by the HESS (Chaves
et al. 2009a), MAGIC (Zanin et al. 2009),
and VERITAS collaborations (Weinstein et al.
2009; Ong et al. 2009).
However, many of the sources have not yet been identified at other
wavelengths; e.g., nearly a third of the Galactic HESS sources have no
firm identification, and in many cases, there are multiple plausible
counterparts while in others, no viable counterparts have been
identified.
-ray
binaries, the Galactic center, active galactic nuclei (AGN), radio
galaxies, starburst galaxies, and possibly star-forming regions.
See Aharonian
et al. (2008e) for a review of the field in 2008,
with more recent updates given
by the HESS (Chaves
et al. 2009a), MAGIC (Zanin et al. 2009),
and VERITAS collaborations (Weinstein et al.
2009; Ong et al. 2009).
However, many of the sources have not yet been identified at other
wavelengths; e.g., nearly a third of the Galactic HESS sources have no
firm identification, and in many cases, there are multiple plausible
counterparts while in others, no viable counterparts have been
identified.
Gamma-ray observations of Galactic sources can help us solve a
number of important astrophysical questions, including (1) the physics
of pulsars, PWN, and SNR; and (2) the origin of cosmic rays. Our Galaxy
contains several cosmic accelerators, where particles are accelerated
to highly-relativistic energies (up to at least 1014 eV).
The origin of cosmic rays is still not well known, largely because of
the lack of directional information of these particles. These very
energetic particles can be traced within our Galaxy by a combination of
nonthermal X-ray emission and  -ray emission via leptonic
(such as inverse Compton scattering of electrons, Bremsstrahlung and
synchrotron radiation) or hadronic (via the decay of charged and
neutral pions, due to interactions of energetic hadrons) processes.
Therefore, observations of
-ray emission via leptonic
(such as inverse Compton scattering of electrons, Bremsstrahlung and
synchrotron radiation) or hadronic (via the decay of charged and
neutral pions, due to interactions of energetic hadrons) processes.
Therefore, observations of  -rays at energies
-rays at energies  100 MeV
can probe the sources of particle acceleration.
100 MeV
can probe the sources of particle acceleration.
The Large Area Telescope (LAT), onboard the Fermi
Gamma-ray Space Telescope, provides the best information of
the nonthermal sky in the energy range from 20 MeV to
300 GeV. The point-source sensitivity of LAT is  above 100 MeV in one year of survey-mode
observations (Atwood
et al. 2009), which is an order of magnitude better
than that of its predecessor, the Energetic Gamma Ray Experiment
Telescope (EGRET). Its angular resolution is
above 100 MeV in one year of survey-mode
observations (Atwood
et al. 2009), which is an order of magnitude better
than that of its predecessor, the Energetic Gamma Ray Experiment
Telescope (EGRET). Its angular resolution is  above 1 GeV, which is particularly important for identifying
above 1 GeV, which is particularly important for identifying  -ray sources
with multi-wavelength counterparts and revealing their nature (Atwood et al. 2009).
As an important step towards the first source catalog, the LAT
collaboration has published a bright source list (BSL) that includes
205 sources, designated with the prefix 0FGL, using data taken during
the first three months of observations (Abdo
et al. 2009a). Among them, 121 sources are
identified with AGN and one with the Large Magellanic Cloud. Most of
the remaining 83 sources are believed to have originated in our own
Galaxy. It is natural to investigate which of them also have been
detected at energies
-ray sources
with multi-wavelength counterparts and revealing their nature (Atwood et al. 2009).
As an important step towards the first source catalog, the LAT
collaboration has published a bright source list (BSL) that includes
205 sources, designated with the prefix 0FGL, using data taken during
the first three months of observations (Abdo
et al. 2009a). Among them, 121 sources are
identified with AGN and one with the Large Magellanic Cloud. Most of
the remaining 83 sources are believed to have originated in our own
Galaxy. It is natural to investigate which of them also have been
detected at energies  100 GeV.
100 GeV.
The search for VHE counterparts of LAT sources is important for the following reasons:
- 1.
- it aids the identification of the true nature of the LAT sources through their VHE counterparts;
- 2.
- for pulsars, it helps us to identify their VHE-emitting nebulae;
- 3.
- it may provide us with broad-band  -ray spectra, thereby better
constraining the emission mechanisms (e.g. distinguish between hadronic
and leptonic scenarios). -ray spectra, thereby better
constraining the emission mechanisms (e.g. distinguish between hadronic
and leptonic scenarios).
 -ray
sources in the third EGRET (3EG) catalog (Hartman et al. 1999)
and the 22 HESS sources known at the time within the region of l=-30
-ray
sources in the third EGRET (3EG) catalog (Hartman et al. 1999)
and the 22 HESS sources known at the time within the region of l=-30
 to
30
to
30
 ,
b=-3
,
b=-3
 to 3
to 3
 (Aharonian et al. 2006f).
They do not find any spatial correlation between the two populations.
Though some coincidence cases are found, the authors conclude that
these few cases can be explained by coincidence. However, thanks to the
capabilities of EGRET, this study suffers from the following
limitations. (1) The sensitivity of EGRET is lower than that of LAT.
The lack of photon statistics leads to poorly constrained spectral
indices and the spectra terminate
 (Aharonian et al. 2006f).
They do not find any spatial correlation between the two populations.
Though some coincidence cases are found, the authors conclude that
these few cases can be explained by coincidence. However, thanks to the
capabilities of EGRET, this study suffers from the following
limitations. (1) The sensitivity of EGRET is lower than that of LAT.
The lack of photon statistics leads to poorly constrained spectral
indices and the spectra terminate  10 GeV at the upper end for a typical
source. (2) EGRET sources are only localized at degree scales, which is
much greater than the angular resolution of IACTs. The second point is
the instrumental reason, which explains the weak correlation of EGRET
and HESS sources (Funk
et al. 2008). These
shortcomings are now largely overcome by the enhanced performance of
LAT over EGRET. In addition to the above caveats, they do not consider
the extension of the VHE
10 GeV at the upper end for a typical
source. (2) EGRET sources are only localized at degree scales, which is
much greater than the angular resolution of IACTs. The second point is
the instrumental reason, which explains the weak correlation of EGRET
and HESS sources (Funk
et al. 2008). These
shortcomings are now largely overcome by the enhanced performance of
LAT over EGRET. In addition to the above caveats, they do not consider
the extension of the VHE  -ray
sources in their analysis. As such, the full potential of this search
has not been realized for very extended sources like the
SNR RX J1713.7-3946, as pointed out by Tibolla et al.
(2009a). After the launch of LAT, one largely benefits from
the increased LAT angular resolution over previous studies. As noted
in Atwood
et al. (2009), EGRET could not distinguish the GeV
emission of RX J1713.7-3946 from
3EG J1714-3857, while the capabilities of LAT allow
study of individual sources in this region, which contains three VHE
-ray
sources in their analysis. As such, the full potential of this search
has not been realized for very extended sources like the
SNR RX J1713.7-3946, as pointed out by Tibolla et al.
(2009a). After the launch of LAT, one largely benefits from
the increased LAT angular resolution over previous studies. As noted
in Atwood
et al. (2009), EGRET could not distinguish the GeV
emission of RX J1713.7-3946 from
3EG J1714-3857, while the capabilities of LAT allow
study of individual sources in this region, which contains three VHE  -ray
sources (see Fig. 1 in Aharonian
et al. 2008b).
-ray
sources (see Fig. 1 in Aharonian
et al. 2008b).
The water Cherenkov detector MILAGRO covers the energies above
 1 TeV,
and its angular resolution can reach
1 TeV,
and its angular resolution can reach  .
Using MILAGRO, a search for
.
Using MILAGRO, a search for  -rays from the Galactic
LAT BSL was performed by Abdo
et al. (2009g). They find that 14 sources
(of the selected 34) show evidence of multi-TeV
-rays from the Galactic
LAT BSL was performed by Abdo
et al. (2009g). They find that 14 sources
(of the selected 34) show evidence of multi-TeV  -ray emission at a
significance of
-ray emission at a
significance of  ,
although most of the source candidates cannot be established as firm
detection on an individual basis (Abdo
et al. 2009g).
,
although most of the source candidates cannot be established as firm
detection on an individual basis (Abdo
et al. 2009g).
In this paper, a search for VHE counterparts of all the
presumed Galactic sources in Abdo
et al. (2009a) and Abdo
et al. (2010) is performed, with spatial coincidence
as the primary criterium for association. The extensions of the VHE  -ray sources
are taken into account, and the search is not limited to the HESS
Galactic plane survey region. The broad-band MeV to TeV spectra of
coincident sources are then presented.
-ray sources
are taken into account, and the search is not limited to the HESS
Galactic plane survey region. The broad-band MeV to TeV spectra of
coincident sources are then presented.
2 Search of spatial coincidence
2.1 The Fermi and VHE catalogs
Abdo et al. (2009a)
present 205 point-like sources that were detected at or above the 10- level in the 0.2-100 GeV band, based on three months of observations
(August 4, 2008-October 30, 2008). The list is not
flux-limited, and so is not uniform. The following information is given
for each source: its position, positional uncertainty (95% confidence
level, C.L.), significance, flux in two energy bands
(100 MeV-1 GeV and 1-100 GeV), and any
evidence of variability over the above-mentioned period. In addition, Abdo et al. (2009a)
assign the source class for each source, as well as
level in the 0.2-100 GeV band, based on three months of observations
(August 4, 2008-October 30, 2008). The list is not
flux-limited, and so is not uniform. The following information is given
for each source: its position, positional uncertainty (95% confidence
level, C.L.), significance, flux in two energy bands
(100 MeV-1 GeV and 1-100 GeV), and any
evidence of variability over the above-mentioned period. In addition, Abdo et al. (2009a)
assign the source class for each source, as well as  -ray and
lower energy association (if any). Those sources that are classified as
extragalactic (all AGN and the Large Magellanic Cloud) are
not considered in this work.
-ray and
lower energy association (if any). Those sources that are classified as
extragalactic (all AGN and the Large Magellanic Cloud) are
not considered in this work.
The remaining source list contains 83 sources, comprising 15
radio/X-ray pulsars, 15 pulsars newly discovered by the LAT, two
high-mass X-ray binaries (HMXBs), one globular cluster
(47 Tucanae), 13 SNR/PWN candidates![[*]](/icons/foot_motif.png) , and 37 sources without
obvious counterparts at lower energies (among them the Galactic center;
Abdo et al. 2009a). Abdo et al. (2010)
presents the first LAT pulsar catalog. Those 16 pulsars that are not
present in the above BSL are also included in this study. Therefore,
most of the LAT bright sources considered in this work should be
Galactic in origin.
, and 37 sources without
obvious counterparts at lower energies (among them the Galactic center;
Abdo et al. 2009a). Abdo et al. (2010)
presents the first LAT pulsar catalog. Those 16 pulsars that are not
present in the above BSL are also included in this study. Therefore,
most of the LAT bright sources considered in this work should be
Galactic in origin.
There are more than 50 VHE  -ray sources as of Fall
2009 (Weinstein et al.
2009; Chaves
et al. 2009a; Zanin et al. 2009;
Aharonian
et al. 2008e; Ong et al. 2009).
Galactic sources summarized in the above publications are used in the
search for coincidence in this work. Therefore, our comparison is only
based on published sources. The VHE
-ray sources as of Fall
2009 (Weinstein et al.
2009; Chaves
et al. 2009a; Zanin et al. 2009;
Aharonian
et al. 2008e; Ong et al. 2009).
Galactic sources summarized in the above publications are used in the
search for coincidence in this work. Therefore, our comparison is only
based on published sources. The VHE  -ray source positions and
source extensions in this work have been taken from the corresponding
publications shown in Tables 1, 2, and
3.
At higher energies, the MILAGRO collaboration reported evidence of
multi-TeV
-ray source positions and
source extensions in this work have been taken from the corresponding
publications shown in Tables 1, 2, and
3.
At higher energies, the MILAGRO collaboration reported evidence of
multi-TeV  -ray
emission from several LAT source positions (Abdo et al. 2009g).
Only those source candidates with a significance greater than 5
-ray
emission from several LAT source positions (Abdo et al. 2009g).
Only those source candidates with a significance greater than 5 are regarded as TeV sources here and are included in this study
are regarded as TeV sources here and are included in this study![[*]](/icons/foot_motif.png) . With several tens of
known sources in both the GeV and TeV bands, a systematic
cross-correlation study can be conducted.
. With several tens of
known sources in both the GeV and TeV bands, a systematic
cross-correlation study can be conducted.
Table 1: 0FGL sources and LAT pulsars with spatially coincident VHE counterpart.
Table 2:  
0FGL sources with coincident MILAGRO source, but without plausible
coincident reported VHE  -ray
sources. See Table 1 for
the nomenclature.
-ray
sources. See Table 1 for
the nomenclature.
Table 3:  
0FGL sources with a possibly coincident VHE  -ray source. See
Table 1
for the nomenclature.
-ray source. See
Table 1
for the nomenclature.
2.2 Level of spatial coincidence
To quantify the level of spatial coincidence, the following scheme is
employed. Let d be the distance between a centroid
position best fit by LAT and the best-fit centroid of a nearby VHE  -ray source.
The radius of the 95% confidence region for the LAT source is the
uncertainty on the centroid position of the given LAT source, which is
typically
-ray source.
The radius of the 95% confidence region for the LAT source is the
uncertainty on the centroid position of the given LAT source, which is
typically  .
Most VHE
.
Most VHE  -ray
sources are extended, with a typical size of
-ray
sources are extended, with a typical size of  .
Let e be the sum of the radius of the 95%
confidence region and the size of the VHE
.
Let e be the sum of the radius of the 95%
confidence region and the size of the VHE  -ray source.
-ray source.
For each LAT source, if a VHE  -ray source was found where d
- e < 0, the source pair is classified as a
spatially coincident case (i.e. category Y -
yes). Given the possible extended nature of many LAT bright sources, a
category P (for possible) is defined for pairs
where
-ray source was found where d
- e < 0, the source pair is classified as a
spatially coincident case (i.e. category Y -
yes). Given the possible extended nature of many LAT bright sources, a
category P (for possible) is defined for pairs
where  ,
so that the sources seen by LAT and the VHE instruments may actually
overlap, and are possibly coincident cases. If no reported VHE
,
so that the sources seen by LAT and the VHE instruments may actually
overlap, and are possibly coincident cases. If no reported VHE  -ray source
was found with
-ray source
was found with  ,
the LAT source falls into the coincidence level N
(for no), i.e., no coincidence with any VHE
,
the LAT source falls into the coincidence level N
(for no), i.e., no coincidence with any VHE  -ray source. If there are
several nearby VHE
-ray source. If there are
several nearby VHE  -ray
sources, only the closest VHE
-ray
sources, only the closest VHE  -ray source would be
considered.
-ray source would be
considered.
2.3 Spatial coincidence GeV/TeV pairs
In the search, 24 coincident cases (Y, among them
two are coincident with MILAGRO source only) and 7 possibly-coincident
cases (P) are found. The results are presented in
Tables 1-3. No
reported VHE  -ray
sources are found in the remaining 68 sources.
-ray
sources are found in the remaining 68 sources.
According to the nature of the LAT sources, the results are summarized as follows:
- 1.
- Eight LAT pulsars are spatially coincident with a source detected using IACTs, which may be the VHE-emitting PWN. There are two additional pulsars that are possibly coincident with an IACT source. Two others have a MILAGRO counterpart, but have not yet been detected by IACTs.
- 2.
- Among the 13 SNR/PWN candidates in the Fermi
BSL, more than half (7) are spatially coincident with a VHE  -ray source,
and another one is a possibly coincident case. The seemingly high
fraction of coincidence is partly due to better coverage of the inner
Galaxy region, where most SNR/PWN candidates are located. This results
in a generally better sensitivity for this class of sources than for
other classes. -ray source,
and another one is a possibly coincident case. The seemingly high
fraction of coincidence is partly due to better coverage of the inner
Galaxy region, where most SNR/PWN candidates are located. This results
in a generally better sensitivity for this class of sources than for
other classes.
- 3.
- The two HMXBs listed in the BSL
(0FGL J0240.3+6113/
LS I +61 303 and
0FGL J1826.3-1451/LS 5039) are
both found to be spatially coincident with a VHE  -ray source, identified with
the same corresponding binary. -ray source, identified with
the same corresponding binary.
- 4.
- Five of the 37 unidentified 0FGL sources are
spatially coincident with a VHE  -ray source. The number
increases to nine if possibly coincident cases are included. -ray source. The number
increases to nine if possibly coincident cases are included.
![[*]](/icons/foot_motif.png) , but it has not been
published with any written reference to our knowledge. Given that the
best-fit centroid and extension were not given, we do not treat it as
an entry in our sample
, but it has not been
published with any written reference to our knowledge. Given that the
best-fit centroid and extension were not given, we do not treat it as
an entry in our sample![[*]](/icons/foot_motif.png) .
.
With such a large number of coincident cases, the relationship between
the GeV and TeV sources is explored. In the next section, the  -ray
spectral energy distributions (SEDs) are constructed for those
coincident and possibly coincident GeV/TeV source pairs with published
VHE spectrum.
-ray
spectral energy distributions (SEDs) are constructed for those
coincident and possibly coincident GeV/TeV source pairs with published
VHE spectrum.
| ![\begin{figure}
\par\includegraphics[width=15.8cm,clip]{13717fg01.eps}
\end{figure}](/articles/aa/full_html/2010/10/aa13717-09/Timg19.png)  | Figure 1: MeV to TeV spectra of four EGRET pulsars and their proposed nebulae. Upper left: Crab (0FGL J0534.6+2201). The pulsar (dotted line) and nebula (dashed-dotted line) spectral components are those reported in Grondin et al. (2009). The VHE spectra are taken from Aharonian et al. (2006d), and the MILAGRO measurement at 20 TeV is shown (Abdo et al. 2007). Upper right: Geminga (0FGL J0634.0+1745). The pulsar spectrum (dotted line) is the one reported in Celik et al. (2009). The triangle denotes the upper limit reported in Finnegan et al. (2009), and the MILAGRO measurement at 20 TeV is also indicated (Abdo et al. 2007). Lower left: Vela (0FGL J0835.4-4510). The dotted line represents the Vela spectrum as shown in Abdo et al. (2009c), while the nebula component is constrained by the two triangles joined by the dashed-dotted line. The curved VHE spectrum is taken from Aharonian et al. (2006b). Lower right: PSR B1706-44 (0FGL J1709.7-4428). The dashed-dotted line denotes the two power-law model spectra derived in Gargano et al. (2009). Both LAT energy spectra (though different above 3 GeV) are consistent with the photon flux in the 1-100 GeV band of this source (Abdo et al. 2009a). The VHE spectrum is taken from Hoppe et al. (2009). | 
| Open with DEXTER | |
| ![\begin{figure}
\par\includegraphics[width=16cm,clip]{13717fg02-new.eps}
\end{figure}](/articles/aa/full_html/2010/10/aa13717-09/Timg20.png)  | Figure 2: 
MeV to TeV spectra of the four radio pulsars first detected in  | 
| Open with DEXTER | |
3 The  -ray
spectral energy distributions
-ray
spectral energy distributions
3.1 Construction of power-law spectrum in the LAT energy range
Abdo et al. (2009a) provide photon fluxes and respective errors in two energy bands: low energy (100 MeV-1 GeV) and high energy (1-100 GeV). Since photon spectra are not given in the BSL, we attempt to estimate the spectra of individual sources.
Assuming that a single pure power law represents the spectrum
in the LAT energy range, the photon flux in the low (102-103 MeV)
and high energy (103-105 MeV)
bands, respectively, are given by  and
and  ,
where E is measured in GeV,
,
where E is measured in GeV,  is the photon index, and k the normalization at
1 GeV. Both k and
is the photon index, and k the normalization at
1 GeV. Both k and  can be calculated from these two expressions. Using the available flux
errors (
can be calculated from these two expressions. Using the available flux
errors (
 and
and  ), uncertainties in k
and
), uncertainties in k
and  (
( and
and  )
are obtained by error propagation. The spectra are then constructed in
the form of ``bowties''. For those where F23
is given as a 2-
)
are obtained by error propagation. The spectra are then constructed in
the form of ``bowties''. For those where F23
is given as a 2- upper limit, the calculated
upper limit, the calculated  can be treated as an upper limit, and the reconstructed spectra can be
seen as the ``softest possible'' power-law spectra. The power-law
spectra are plotted from 100 MeV up to a certain maximum
energy,
can be treated as an upper limit, and the reconstructed spectra can be
seen as the ``softest possible'' power-law spectra. The power-law
spectra are plotted from 100 MeV up to a certain maximum
energy,  (
( 100 GeV),
which is defined by requiring that the photon spectrum above
100 GeV),
which is defined by requiring that the photon spectrum above  contains 10 photons over the three months of observations
contains 10 photons over the three months of observations![[*]](/icons/foot_motif.png) . This results in a range
of values for
. This results in a range
of values for  from
from  3 GeV
to 100 GeV. The single power-law assumption does not hold in
general. Given the limited information available in the BSL, such an
assumption should be seen as a very rough estimation of the source
spectra and it is used in this work for a visual GeV/TeV spectral
comparison. A cut-off between the GeV and TeV bands has been measured
for several sources including pulsars. Therefore, we also plot the
best-fit spectra when a detailed LAT spectrum is available in the
literature (Vela, Crab, Geminga,
PSR J1706-44, and
LS I +61 303). For the cases of
0FGL J0617.4+2234 and
0FGL J1746.0-2900, the double power-law spectra
derived for 3EG J0617+2238 and
3EG J1746-2851, respectively, by Bertsch et al. (2000)
are also shown for comparison.
3 GeV
to 100 GeV. The single power-law assumption does not hold in
general. Given the limited information available in the BSL, such an
assumption should be seen as a very rough estimation of the source
spectra and it is used in this work for a visual GeV/TeV spectral
comparison. A cut-off between the GeV and TeV bands has been measured
for several sources including pulsars. Therefore, we also plot the
best-fit spectra when a detailed LAT spectrum is available in the
literature (Vela, Crab, Geminga,
PSR J1706-44, and
LS I +61 303). For the cases of
0FGL J0617.4+2234 and
0FGL J1746.0-2900, the double power-law spectra
derived for 3EG J0617+2238 and
3EG J1746-2851, respectively, by Bertsch et al. (2000)
are also shown for comparison.
3.2 The MeV-TeV SEDs
The sources considered here are those 0FGL/VHE pairs with spatial
coincidence levels Y and P and
with VHE spectral information available in the literature. For
HESS J1923+141 where only a VHE flux is given, a
typical spectral index is assumed. In addition, there are two pulsars
for which a MILAGRO candidate counterpart is reported but there is no
VHE  -ray
detection using IACTs (see Table 2).
-ray
detection using IACTs (see Table 2).
The SEDs of the 28 cases in the energy range from
100 MeV to >1 TeV are depicted in
Figs. 1
to 9. Systematic
errors in spectral indices and normalization are not shown, which for
TeV spectra are  20%
for most sources and for GeV spectra are
20%
for most sources and for GeV spectra are  20-30% (the latter inferred from flux estimation
systematics in Abdo et al.
2009a). An overall inspection of the SEDs immediately shows
that single power laws from 200 MeV to
20-30% (the latter inferred from flux estimation
systematics in Abdo et al.
2009a). An overall inspection of the SEDs immediately shows
that single power laws from 200 MeV to  10 TeV cannot describe most GeV-TeV
10 TeV cannot describe most GeV-TeV  -ray
spectra. This is not surprising given the large range in photon energy
(i.e. five orders of magnitude), as no photon spectrum from any
emission mechanism is expected to be unbroken for such a broad energy
span. The only example for which a pure power law may still work is
0FGL J1836.1-0727/HESS J1837-069,
which is a possibly coincident pair (P). The most
common board-band behaviors are a cut-off at energies below
-ray
spectra. This is not surprising given the large range in photon energy
(i.e. five orders of magnitude), as no photon spectrum from any
emission mechanism is expected to be unbroken for such a broad energy
span. The only example for which a pure power law may still work is
0FGL J1836.1-0727/HESS J1837-069,
which is a possibly coincident pair (P). The most
common board-band behaviors are a cut-off at energies below  100 GeV
(dominating in the pulsar class) and a spectral break between the LAT
and the VHE bands (dominating in the unidentified LAT sources).
100 GeV
(dominating in the pulsar class) and a spectral break between the LAT
and the VHE bands (dominating in the unidentified LAT sources).
| ![\begin{figure}
\par\includegraphics[width=16.3cm,clip]{13717fg03.eps}
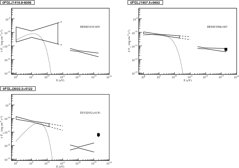
\vspace*{2.5mm}\end{figure}](/articles/aa/full_html/2010/10/aa13717-09/Timg30.png)  | Figure 3: MeV to TeV spectra of the three new pulsars discovered in a blind search for pulsation in the LAT data. The spectra below 300 GeV are taken from Abdo et al. (2010). Upper left: The VHE spectrum is taken from Aharonian et al. (2006g). Upper right: The VHE spectrum presented in Djannati-Atai et al. (2008a) is shown, together with the coincident MILAGRO source flux at 20 TeV (Abdo et al. 2007). Lower left: The VHE spectrum is the one presented in Aharonian et al. (2005b), while the MILAGRO flux at 20 TeV is also shown (Abdo et al. 2007). | 
| Open with DEXTER | |
| ![\begin{figure}
\par\includegraphics[width=16cm,clip]{13717fg04.eps}
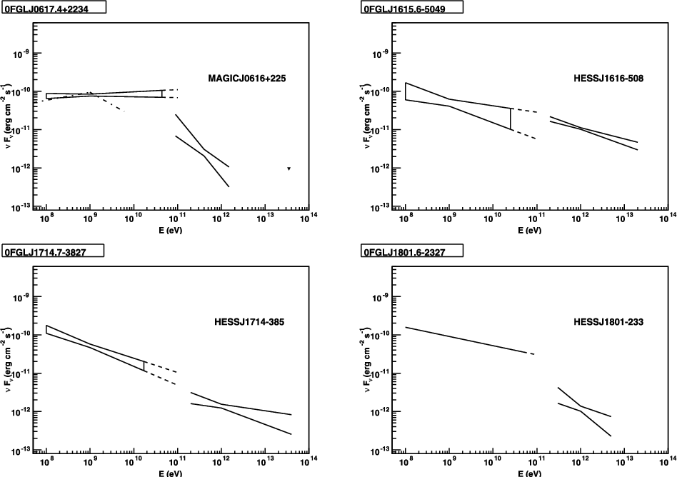
\vspace*{-1.5mm}\end{figure}](/articles/aa/full_html/2010/10/aa13717-09/Timg31.png)  | Figure 4: MeV to TeV spectra of four SNR/PWN candidate 0FGL sources. Spectra at >100 GeV energies are taken from Albert et al. (2007) (MAGIC J0616+225), Aharonian et al. (2006f) (HESS J1616-508), Aharonian et al. (2008b) (HESS J1714-385), and Aharonian et al. (2008c) (HESS J1801-233). The broken power-law spectrum (dashed-dotted line) derived for 3EG J0617+2238 is taken from Bertsch et al. (2000). The flux at 35 TeV at the position of 0FGL J0617.4+2234 is that given in Abdo et al. (2009g). | 
| Open with DEXTER | |
| ![\begin{figure}
\par\includegraphics[width=16cm,clip]{13717fg05.eps}\vspace*{2mm}
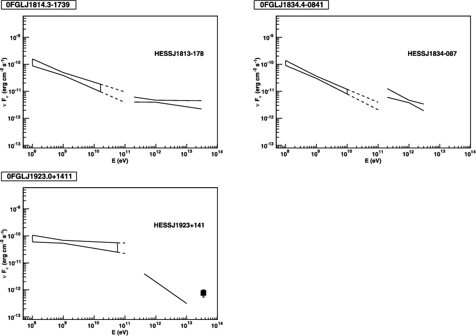
\end{figure}](/articles/aa/full_html/2010/10/aa13717-09/Timg32.png)  | Figure 5: MeV to TeV spectra of three SNR/PWN candidate 0FGL sources. Spectra at >100 GeV energies are taken from Aharonian et al. (2006f) (HESS J1813-178 and HESS J1834-087). For HESS J1923+141, an assumed photon index of 2.8 is used in deriving the spectrum using the flux given in Fiasson et al. (2009), and the flux at 35 TeV is that given in Abdo et al. (2009g). There is evidence of a steepening above several GeV (Abdo et al. 2009e). | 
| Open with DEXTER | |
| ![\begin{figure}
\par\includegraphics[width=16cm,clip]{13717fg06.eps}\vspace*{3.2mm}
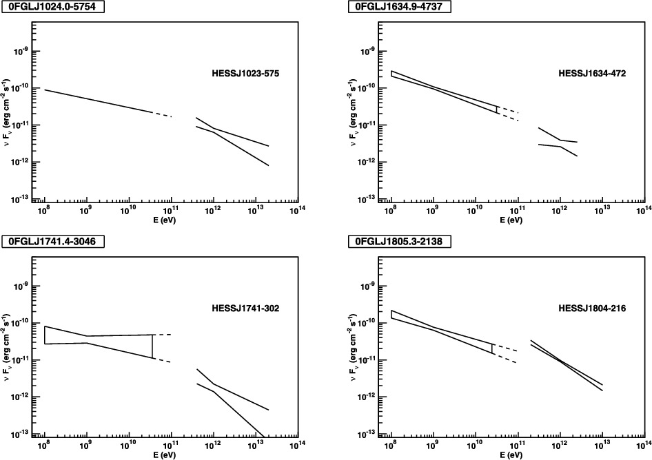
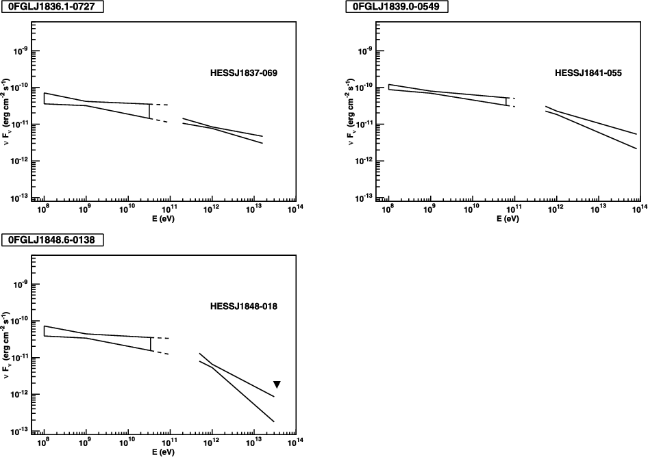
\end{figure}](/articles/aa/full_html/2010/10/aa13717-09/Timg33.png)  | Figure 6: MeV to TeV spectra of four unidentified 0FGL sources. Spectra at >100 GeV energies are taken from Aharonian et al. (2007a) (HESS J1023-575), Aharonian et al. (2006f) (HESS J1634-472 and HESS J1804-216), and Tibolla et al. (2009b) (HESS J1741-302). | 
| Open with DEXTER | |
| ![\begin{figure}
\par\includegraphics[width=16cm,clip]{13717fg07.eps}
\end{figure}](/articles/aa/full_html/2010/10/aa13717-09/Timg34.png)  | Figure 7: MeV to TeV spectra of three unidentified 0FGL sources. Spectra at >100 GeV energies are taken from Aharonian et al. (2006f) (HESS J1837-069), Aharonian et al. (2008d) (HESS J1841-055), and Chaves et al. (2009b) (HESS J1848-018). The flux at 35 TeV at the position of 0FGL J1848.6-0138 is the one given in Abdo et al. (2009g). | 
| Open with DEXTER | |
| ![\begin{figure}
\par\includegraphics[width=16cm,height=55mm,clip]{13717fg08.eps}
\end{figure}](/articles/aa/full_html/2010/10/aa13717-09/Timg35.png)  | Figure 8: MeV to TeV spectra of the two X-ray binaries in the 0FGL catalog. The phase-averaged exponential cut-off spectrum in the GeV range of LS I +61 303 (left) is taken from Abdo et al. (2009d). That of LS 5039 is taken from Abdo et al. (2009f). Spectra at >100 GeV energies are taken from Albert et al. (2009) (for a partial phase of LS I +61 303 during which VHE emission is detected) and Aharonian et al. (2006e) (for two phases of LS 5039). The flux at 35 TeV for LS I +61 303 is that given in Abdo et al. (2009g). | 
| Open with DEXTER | |
The SEDs of the LAT source classes including pulsars, SNR/PWN
candidates, and unidentified  -ray sources are presented in
this section. LS I +61 303 and the
Galactic center region are discussed in Sects. 4.5 and 4.6, respectively.
-ray sources are presented in
this section. LS I +61 303 and the
Galactic center region are discussed in Sects. 4.5 and 4.6, respectively.
3.2.1 Pulsars
Figure 1
shows the four  -ray
pulsars known in the EGRET era, Fig. 2 shows the four
radio pulsars first detected in
-ray
pulsars known in the EGRET era, Fig. 2 shows the four
radio pulsars first detected in  -rays by LAT, and
Fig. 3
shows the three new pulsars after a blind search for pulsations in the
LAT data (Abdo
et al. 2009b). Besides the Crab, no off-pulse
emission is found in the LAT data of the other 10 pulsars, suggesting
that most of the emission from pulsars seen with LAT is pulsed and
comes from the pulsars themselves. On the other hand, extended regions
are seen at energies above 100 GeV in these 10 cases (except
for the Crab, which appears point-like to all IACTs). Their VHE
emission (>100 GeV) is unpulsed, and for many of them
(e.g. Vela X) this emission have been attributed to PWNe,
although in some cases other possibilities exist to explain the VHE
-rays by LAT, and
Fig. 3
shows the three new pulsars after a blind search for pulsations in the
LAT data (Abdo
et al. 2009b). Besides the Crab, no off-pulse
emission is found in the LAT data of the other 10 pulsars, suggesting
that most of the emission from pulsars seen with LAT is pulsed and
comes from the pulsars themselves. On the other hand, extended regions
are seen at energies above 100 GeV in these 10 cases (except
for the Crab, which appears point-like to all IACTs). Their VHE
emission (>100 GeV) is unpulsed, and for many of them
(e.g. Vela X) this emission have been attributed to PWNe,
although in some cases other possibilities exist to explain the VHE  -ray source
(e.g. a spatially coincident SNR).
-ray source
(e.g. a spatially coincident SNR).
The SEDs of the pulsars mainly depict the pulsed component in
the LAT energy band and the unpulsed component in the VHE band.
Previous observations suggest that the emission below and above  100 GeV
mainly comes from two different emission regions, e.g. pulsed emission
from the pulsar magnetosphere and unpulsed emission from the PWN. It
can be seen that (1) a cut-off must exist between the LAT ``bowties''
and the corresponding VHE spectra (with the notable exception of the
Crab), which is demonstrated with a detailed spectral study of pulsars
(e.g., Abdo et al. 2010);
(2) the energy output at GeV energies is at least an order of magnitude
higher than in the VHE band. This indicates that, for the pulsar
population presented in this section, the PWNe radiate less energy than
the
100 GeV
mainly comes from two different emission regions, e.g. pulsed emission
from the pulsar magnetosphere and unpulsed emission from the PWN. It
can be seen that (1) a cut-off must exist between the LAT ``bowties''
and the corresponding VHE spectra (with the notable exception of the
Crab), which is demonstrated with a detailed spectral study of pulsars
(e.g., Abdo et al. 2010);
(2) the energy output at GeV energies is at least an order of magnitude
higher than in the VHE band. This indicates that, for the pulsar
population presented in this section, the PWNe radiate less energy than
the  -ray pulse
emitting regions.
-ray pulse
emitting regions.
However, the power-law derived LAT spectra are not always good representations of the reported spectra for individual sources. This is demonstrated in Fig. 1 where both the ``bowtie'' spectra and the derived spectra in Abdo et al. (2010) are shown. In all the other cases, only the spectra as presented in Abdo et al. (2010) are depicted.
3.2.2 SNR/PWN candidates
The SEDs of those 0FGL sources classified as SNR/PWN candidates are
shown in Figs. 4
and 5. The
GeV-TeV spectral connection varies among the sources in this class. The
TeV spectra are not simply the power-law tails of the GeV spectra.
There are cases where the extrapolation of the LAT ``bowtie'' to TeV
energies is at least an order of magnitude higher than the measured VHE
flux level (e.g. the spatially coincident case
0FGL J1801.6-2327/HESS J1801-233,
a cut-off occurs between the two energy bands), while for another
coincident case
(0FGL J1834.4-0841/HESS J1834-087),
the power-law extrapolation to the VHE band is below the measured VHE
level and a second spectral component above  200 GeV is needed to explain the TeV
excess.
200 GeV is needed to explain the TeV
excess.
There is only one case (0FGL J0617.4+2234)
where a broken power law describes the LAT spectrum better than a
single power law. The ``bowties'', which are derived a priori
from power laws, may be closer to the real spectra compared to the case
of pulsars. If that is the case for
0FGL J1801.6-2327/HESS J1801-233
and
0FGL J1923.0+1411/HESS J1923+141,
a spectral break may occur at energies in the largely unexplored energy
range of 10-100 GeV for these two sources![[*]](/icons/foot_motif.png) .
.
3.2.3 Unidentified LAT sources
The SEDs of those 0FGL sources without obvious counterparts
are shown in Figs. 6
and 7. There is
so far no published spectra of this LAT source class. For the case of
0FGL J1839.0-0549/HESS J1841-055,
the spectrum may span from  100 MeV
to
100 MeV
to   80 TeV,
with a possible break within or close to the ``energy gap'' at
80 TeV,
with a possible break within or close to the ``energy gap'' at  60-500 GeV.
If the GeV and TeV sources are indeed associated, they might represent
a group of ``dark accelerators'' which have a broad
60-500 GeV.
If the GeV and TeV sources are indeed associated, they might represent
a group of ``dark accelerators'' which have a broad  -ray
spectrum. All SEDs are consistent with the assumption that a spectral
break exists between the two energy bands, except for the case of
0FGL J1805.3-2138/HESS J1804-216,
a spatially coincident case (Y).
-ray
spectrum. All SEDs are consistent with the assumption that a spectral
break exists between the two energy bands, except for the case of
0FGL J1805.3-2138/HESS J1804-216,
a spatially coincident case (Y).
3.3 Comparison of the flux and photon indices in the GeV and TeV energy bands
A comparison of the flux levels in the GeV and TeV energy
bands for coincident GeV/TeV sources (category Y)
is depicted. Figure 10
shows the photon flux in the 100 MeV-1 GeV band
plotted against the one in the 1-10 TeV band (derived
according to Sect. 3.1).
For most sources, the photon flux in the 1-10 TeV band,  ,
is about 10-5 to 10-6 the
flux in the 0.1-1 GeV band. Figure 11 shows the photon
flux in the 1-100 GeV band plotted against that in the
1-10 TeV band. For most sources, photon flux in the
1-10 TeV band,
,
is about 10-5 to 10-6 the
flux in the 0.1-1 GeV band. Figure 11 shows the photon
flux in the 1-100 GeV band plotted against that in the
1-10 TeV band. For most sources, photon flux in the
1-10 TeV band,  ,
is about 10-4 to 10-5 of
that in the 1-100 GeV band.
,
is about 10-4 to 10-5 of
that in the 1-100 GeV band.
Figure 12
depicts the photon indices in the 0.1-100 GeV band derived
according to Sect. 3.1
against the photon index in the 1-10 TeV band. It can be seen
that the TeV spectra are similar to or harder than the GeV spectra for
most sources, i.e.  .
.
4 Notes on selected sources
Although detailed analysis of the LAT data for each individual source is beyond the scope of this paper, some comments on the following sources are given.
4.1 Crab pulsar and nebula
The Crab pulsar and nebula are among the best-studied nonthermal
objects in the sky. The pulsed emission above 100 MeV and up
to  10 GeV
is clearly detected with LAT. Two strong peaks are seen in the phase
histogram. A spectral fit of the pulsed emission using a power law with
an exponential cut-off gives a cut-off energy of
10 GeV
is clearly detected with LAT. Two strong peaks are seen in the phase
histogram. A spectral fit of the pulsed emission using a power law with
an exponential cut-off gives a cut-off energy of  8.8 GeV (Grondin
et al. 2009). There is evidence of pulsed emission
up to
8.8 GeV (Grondin
et al. 2009). There is evidence of pulsed emission
up to  25 GeV,
as measured using the MAGIC telescope (see Fig. 1, Aliu et al. 2008).
The flux reported by MAGIC is consistent with the exponential cut-off
in the spectrum measured by LAT.
25 GeV,
as measured using the MAGIC telescope (see Fig. 1, Aliu et al. 2008).
The flux reported by MAGIC is consistent with the exponential cut-off
in the spectrum measured by LAT.
Evidence of unpulsed emission was already present in the EGRET
data (de Jager
et al. 1996). The LAT measurement of this component
can be well fit by a single power law with  up to
up to  300 GeV.
This unpulsed spectrum agrees well with the VHE spectra measured by the
IACTs MAGIC, HESS, and VERITAS (Grondin
et al. 2009). In particular, there appears to be a
deviation from a pure power law in the MAGIC spectrum below
300 GeV.
This unpulsed spectrum agrees well with the VHE spectra measured by the
IACTs MAGIC, HESS, and VERITAS (Grondin
et al. 2009). In particular, there appears to be a
deviation from a pure power law in the MAGIC spectrum below  100 GeV (Albert et al. 2008).
100 GeV (Albert et al. 2008).
4.2 Vela pulsar and Vela X
The Vela pulsar is the strongest persistent GeV source and
was the first target of LAT observations. The complex pulse profile is
dominated by two peaks with a pronounced ``bridge'' between them. The
phase-averaged spectrum, which is essentially the pulsed emission, can
be described well by a power law with an exponential cut-off at  2.9 GeV.
The off-pulse emission is much weaker, and a 95% C.L. upper limit of
the photon flux of
2.9 GeV.
The off-pulse emission is much weaker, and a 95% C.L. upper limit of
the photon flux of  cm-2 s-1
is derived at the pulsar position in the 0.1-10 GeV band
(shown in Fig. 1,
Abdo et al. 2009c).
 cm-2 s-1
is derived at the pulsar position in the 0.1-10 GeV band
(shown in Fig. 1,
Abdo et al. 2009c).
To the south of the pulsar, an extended VHE  -ray source
spatially coincident with the Vela X region,
HESS J0835-455, has been detected. The observations
represent the first measurement of an SED peak in a VHE
-ray source
spatially coincident with the Vela X region,
HESS J0835-455, has been detected. The observations
represent the first measurement of an SED peak in a VHE  -ray
source (Aharonian
et al. 2006b). The power law with exponential
cut-off fit of this PWN is reproduced in Fig. 1. An analysis of
the Vela X region does not establish a nebula component based
on the first three months of LAT observations (Lemoine-Goumard et al. 2009).
-ray
source (Aharonian
et al. 2006b). The power law with exponential
cut-off fit of this PWN is reproduced in Fig. 1. An analysis of
the Vela X region does not establish a nebula component based
on the first three months of LAT observations (Lemoine-Goumard et al. 2009).
4.3 Geminga
The Geminga pulsar is the first known radio-quiet  -ray pulsar
in the sky (Bertsch
et al. 1992). See Fig. 1 for its SED.
While EGRET data are well fit by a single power law up to
2 GeV (but shows evidence of a cut-off above 2 GeV; Mayer-Hasselwander et al. 1994),
the cut-off energy is determined to be
-ray pulsar
in the sky (Bertsch
et al. 1992). See Fig. 1 for its SED.
While EGRET data are well fit by a single power law up to
2 GeV (but shows evidence of a cut-off above 2 GeV; Mayer-Hasselwander et al. 1994),
the cut-off energy is determined to be  2.6 GeV using the first seven months of
LAT data (Celik
et al. 2009). There appears to be an excess at
2.6 GeV using the first seven months of
LAT data (Celik
et al. 2009). There appears to be an excess at  20 GeV
when compared to the fit with a power law with exponential cut-off. The
reason may be the low statistics or effects of the fitting method, but
it might also indicate a separate and harder spectral
component (Celik
et al. 2009). There is as yet no evidence of
unpulsed emission.
20 GeV
when compared to the fit with a power law with exponential cut-off. The
reason may be the low statistics or effects of the fitting method, but
it might also indicate a separate and harder spectral
component (Celik
et al. 2009). There is as yet no evidence of
unpulsed emission.
Evidence of multi-TeV emission around the pulsar was reported
in the MILAGRO survey of the Galactic plane (Abdo et al. 2007) and
in the search for MILAGRO counterparts of Fermi
sources (Abdo
et al. 2009g), using a point source analysis at  3
3 (post-trial) significance levels. Assuming that the emission is
extended, the significance increases to 6.3
(post-trial) significance levels. Assuming that the emission is
extended, the significance increases to 6.3 at the position of the pulsar. If the detection is real, the
size of the MILAGRO emission is
at the position of the pulsar. If the detection is real, the
size of the MILAGRO emission is  2
2
 6.
At a distance of only
6.
At a distance of only  250
pc, this extent is similar to more distant PWN (Abdo et al. 2009g).
On the other hand, VERITAS observations resulted in no detection but
rather a 99% C.L. flux upper limit (above 300 GeV) of
250
pc, this extent is similar to more distant PWN (Abdo et al. 2009g).
On the other hand, VERITAS observations resulted in no detection but
rather a 99% C.L. flux upper limit (above 300 GeV) of  cm-2 s-1,
assuming point source emission from the pulsar (Finnegan et al. 2009).
Although IACTs suffer from reduced sensitivity when observing very
extended source (which scales as
 cm-2 s-1,
assuming point source emission from the pulsar (Finnegan et al. 2009).
Although IACTs suffer from reduced sensitivity when observing very
extended source (which scales as  with
with  being the extension), observations of Geminga with IACTs are crucial
for verifying the MILAGRO claim and helping us to understand the
being the extension), observations of Geminga with IACTs are crucial
for verifying the MILAGRO claim and helping us to understand the  -ray
emission from Geminga.
-ray
emission from Geminga.
4.4 PSR B1706-44
Gamma-ray pulsations from PSR B1706-44 were
discovered by EGRET; the
observations revealed a triple-peaked pulse profilebut no evidence of
unpulsed emission (Thompson
et al. 1996). More recently, the pulsar
was also detected by Fermi/LAT as the bright
source
0FGL J1709.7-4428. The phase-averaged spectra
measured by EGRET and
LAT are both described well by a broken power law (up to
30 GeV, in
the case of the LAT spectrum). The break energy measured by LAT is
3 GeV, while in deriving the EGRET spectrum, it is fixed at
1 GeV (Thompson et al. 1996;
Bertsch
et al. 2000). The LAT power-law index steepens
from a value of  1.9
(below 3 GeV) to
1.9
(below 3 GeV) to  3.3
(above 3 GeV), as shown in
Fig. 1.
This spectrum and the power-law spectrum derived
using the method described in Sect. 3.1
are
both consistent with the photon flux in the 1-100 GeV band
reported
in Abdo et al. (2009a).
3.3
(above 3 GeV), as shown in
Fig. 1.
This spectrum and the power-law spectrum derived
using the method described in Sect. 3.1
are
both consistent with the photon flux in the 1-100 GeV band
reported
in Abdo et al. (2009a).
The discovery of an extended source of VHE emission in the
vicinity of
PSR B1706-44 was recently reported by HESS (Hoppe et al. 2009).
The TeV source is quite hard (
 ), more so than the
high-energy part of the pulsar spectrum. The VHE
), more so than the
high-energy part of the pulsar spectrum. The VHE  -ray
emission might be related to a relic PWN of
PSR B1706-44 and/or to the
SNR G343.1-2.3 (Hoppe
et al. 2009).
-ray
emission might be related to a relic PWN of
PSR B1706-44 and/or to the
SNR G343.1-2.3 (Hoppe
et al. 2009).
4.5 LS I +61 303
LS I +61 303 is the first X-ray binary where
periodic  -ray
emission has been detected at both GeV (Abdo
et al. 2009d) and TeV energies (Acciari
et al. 2009a; Albert et al. 2009).
Its SED is shown in Fig. 8.
The ``bowtie'' looks nicely connected to the measured VHE spectrum, but
a cut-off energy at
-ray
emission has been detected at both GeV (Abdo
et al. 2009d) and TeV energies (Acciari
et al. 2009a; Albert et al. 2009).
Its SED is shown in Fig. 8.
The ``bowtie'' looks nicely connected to the measured VHE spectrum, but
a cut-off energy at  6 GeV
is reported (Abdo et al.
2009d). Furthermore, the timing measurements in both the GeV
and TeV bands show that the maximum emission occurs at different
orbital phases, namely, close to periastron for
<100 GeV emission and close to apastron for VHE
emission. This suggests different emission mechanisms in the two bands,
as noted in Abdo et al.
(2009d).
6 GeV
is reported (Abdo et al.
2009d). Furthermore, the timing measurements in both the GeV
and TeV bands show that the maximum emission occurs at different
orbital phases, namely, close to periastron for
<100 GeV emission and close to apastron for VHE
emission. This suggests different emission mechanisms in the two bands,
as noted in Abdo et al.
(2009d).
4.6 Galactic center region
The Galactic center is among the richest and most complex regions in
the Galaxy, owing to the large number of possible sources and the
difficulty of correctly modeling the diffuse emission due to cosmic-ray
interaction with the local molecular clouds. This problem is extremely
relevant at GeV energies, as demonstrated by EGRET measurements. The
discovery of new VHE  -ray
sources close to the Galactic center is important for studying the role
of diffuse Galactic emission versus the emission from resolved sources
in this region (Tibolla
et al. 2009a).
-ray
sources close to the Galactic center is important for studying the role
of diffuse Galactic emission versus the emission from resolved sources
in this region (Tibolla
et al. 2009a).
One GeV source, 0FGL J1746.0-2900, is
detected with a significance of 36 in the neighborhood of the Galactic center. The best-fit position for
0FGL J1746.0-2900 is RA
in the neighborhood of the Galactic center. The best-fit position for
0FGL J1746.0-2900 is RA  ,
Dec
,
Dec  (J2000) with a 95% C.L. error radius of 4
(J2000) with a 95% C.L. error radius of 4 (Abdo
et al. 2009a). The HESS Collaboration also reports a
detection of a source towards the Galactic center, localized at RA
(Abdo
et al. 2009a). The HESS Collaboration also reports a
detection of a source towards the Galactic center, localized at RA  ,
Dec
,
Dec  (J2000; Acero et al. 2010).
Based on the procedure described in Sect. 2.2, the
0FGL J1746.0-2900/HESS J1745-290
pair falls into the category of possibly coincident cases. With better
photon statistics, one of the fundamental questions that the LAT can
hopefully address is whether the GeV and TeV sources are indeed
spatially coincident.
(J2000; Acero et al. 2010).
Based on the procedure described in Sect. 2.2, the
0FGL J1746.0-2900/HESS J1745-290
pair falls into the category of possibly coincident cases. With better
photon statistics, one of the fundamental questions that the LAT can
hopefully address is whether the GeV and TeV sources are indeed
spatially coincident.
The spectra of 0FGL J1746.0-2900 and
HESS J1745-290 are shown in Fig. 9. The spectra in the
two bands do not appear to be described by a single power law, and
there seems to be an order-of-magnitude drop-off in the energy range  10-100GeV.
Although detailed analysis of the LAT data is beyond the scope of this
paper, this simple inspection does not indicate that they are from the
same emission component (although large uncertainties due to
systematics in this region do not permit stronger conclusions at this
time). For reference, the broken power-law fit of
3EG J1746-2851 (Bertsch
et al. 2000) is also shown in Fig. 9.
10-100GeV.
Although detailed analysis of the LAT data is beyond the scope of this
paper, this simple inspection does not indicate that they are from the
same emission component (although large uncertainties due to
systematics in this region do not permit stronger conclusions at this
time). For reference, the broken power-law fit of
3EG J1746-2851 (Bertsch
et al. 2000) is also shown in Fig. 9.
5 Discussion
In this work, the first comparison of the GeV and VHE  -ray sources
after the launch of LAT is presented, which takes the advantage of the
significantly improved LAT angular resolution and sensitivity compared
to EGRET. Below are a list of preliminary results drawn from this work:
-ray sources
after the launch of LAT is presented, which takes the advantage of the
significantly improved LAT angular resolution and sensitivity compared
to EGRET. Below are a list of preliminary results drawn from this work:
- 1.
- With the better localization and morphological information
of VHE  -ray
sources compared with 0FGL sources, the nature of the LAT sources may
be better revealed through their VHE counterparts. Table 1
lists the potential counterparts of some VHE -ray
sources compared with 0FGL sources, the nature of the LAT sources may
be better revealed through their VHE counterparts. Table 1
lists the potential counterparts of some VHE -ray sources that are
coincident with 0FGL sources. For example,
HESS J1804-216 may be related to
W 30, which may help in understanding the nature of
the unidentified source 0FGL J1805.3-2138. -ray sources that are
coincident with 0FGL sources. For example,
HESS J1804-216 may be related to
W 30, which may help in understanding the nature of
the unidentified source 0FGL J1805.3-2138.
- 2.
- Results of several LAT-detected pulsars show cut-offs at
energies  1-10 GeV,
similar to the assessment of Funk
et al. (2008) for EGRET-detected pulsar systems.
Therefore, a VHE counterpart ( 1-10 GeV,
similar to the assessment of Funk
et al. (2008) for EGRET-detected pulsar systems.
Therefore, a VHE counterpart ( 0.1-10 TeV)
of a LAT pulsar most likely represents the associated PWN, with a
shell-type supernova as a viable alternative. This is particularly
important for those new pulsars discovered by LAT. The VHE counterparts
coincident with the six LAT pulsars may be the associated PWN, although
other explanations (e.g. shell-type SNR) are also possible. The
question of whether typical 0.1-10 TeV)
of a LAT pulsar most likely represents the associated PWN, with a
shell-type supernova as a viable alternative. This is particularly
important for those new pulsars discovered by LAT. The VHE counterparts
coincident with the six LAT pulsars may be the associated PWN, although
other explanations (e.g. shell-type SNR) are also possible. The
question of whether typical -ray pulsars are accompanied
by VHE-emitting nebulae can be tested by observing them in the VHE
domain. -ray pulsars are accompanied
by VHE-emitting nebulae can be tested by observing them in the VHE
domain.![\begin{figure}
\par\includegraphics[width=8cm,clip]{13717fg09.eps}
\vspace*{3.8mm}
\end{figure}](/articles/aa/full_html/2010/10/aa13717-09/Timg51.png)  Figure 9: MeV to TeV spectrum of the Galactic center. The VHE spectrum is taken from Aharonian et al. (2006h) while the broken power-law spectrum (dashed-dotted line) derived for 3EG J1746-2851 is taken from Bertsch et al. (2000). Open with DEXTER ![\begin{figure}
\par\includegraphics[width=8.5cm,clip]{13717fg10-new.eps}\vspace*{3.8mm}
\end{figure}](/articles/aa/full_html/2010/10/aa13717-09/Timg52.png)  Figure 10: Photon flux in the 100 MeV-1 GeV band versus flux in the 1-10 TeV band for coincident GeV/TeV sources. ![\begin{figure}
\par\includegraphics[width=8.5cm,clip]{13717fg11-new.eps}
\end{figure}](/articles/aa/full_html/2010/10/aa13717-09/Timg53.png)  Figure 11: Photon flux in the 1-100 GeV band versus flux in the 1-10 TeV band for coincident GeV/TeV sources. ![\begin{figure}
\par\includegraphics[width=8.5cm,clip]{13717fg12-new.eps}\vspace*{2mm}
\end{figure}](/articles/aa/full_html/2010/10/aa13717-09/Timg54.png)  Figure 12: Photon index in the 0.1-100 GeV band (derived according to Sect. 3.1) versus photon index in the 1-10 TeV band, for coincident GeV/TeV sources. 0FGL J1923.0+1411/HESS J1923+141 is not included since its VHE photon index is not known. 
- 3.
- Through broad-band  -ray spectra of SNRs, one may
in principle distinguish between hadronic and leptonic scenarios. A
study of RX J1713.7-3946 using five years of
simulated LAT observations (Atwood
et al. 2009) shows that the energy flux level for
the hadronic scenario differs by around a factor of two from that for
the leptonic scenario and that a spectral break may be more prominent
for the latter. The SNR sample shown in Figs. 4 and 5 do not seem to
support either scenario, although it is too early to draw any
conclusion based on the three-month 0FGL dataset. If a hadronic
scenario is found to be more viable, this would support the current
hypothesis that shell-type SNRs are cosmic-ray sources. -ray spectra of SNRs, one may
in principle distinguish between hadronic and leptonic scenarios. A
study of RX J1713.7-3946 using five years of
simulated LAT observations (Atwood
et al. 2009) shows that the energy flux level for
the hadronic scenario differs by around a factor of two from that for
the leptonic scenario and that a spectral break may be more prominent
for the latter. The SNR sample shown in Figs. 4 and 5 do not seem to
support either scenario, although it is too early to draw any
conclusion based on the three-month 0FGL dataset. If a hadronic
scenario is found to be more viable, this would support the current
hypothesis that shell-type SNRs are cosmic-ray sources.
- 4.
- Previous studies did not reveal a strong correlation between the GeV/TeV populations. Reimer et al. (2008) list 16 HESS sources without counterparts from the 3EG catalog. Among them, new associations are found in the present study and are presented in Table 4, thanks mostly to the discovery of new GeV sources with LAT. Reimer et al. (2008) also present 11 sources in the 3EG catalog without HESS counterpart. Among them, 0FGL J1709.7-4428 (the 0FGL counterpart of 3EG J1710-4439; Abdo et al. 2009a) is now found to be associated with HESS J1708-443, a source discovery reported in Hoppe et al. (2009).
- 5.
- All spatially coincident GeV and TeV pairs during the EGRET
era are essentially consistent with one single spectral component (see
Figs. 4-6 in Funk et al. 2008).
With the significantly enhanced sensitivity of LAT, new relations
between the GeV and TeV spectra are apparent in the SEDs. The SNR
candidate 0FGL J1834.4-0841 and the unidentified
0FGL J1805.3-2138 (and their likely VHE
counterparts) represent the first examples for which the GeV/TeV
spectrum cannot be treated as a single emission component. A similar
conclusion is reached by Abdo
et al. (2009d) for an HMXB
(LS I +61 303), based on the light
curves and spectral incompatibility of this source in the two bands.
Table 4: HESS sources which have a coincident 0FGL source but do not have a 3EG counterpart as in Reimer et al. (2008). 
- 6.
- Abdo et al. (2009g) consider a probability that many unidentified LAT sources are extragalactic, so as to explain the low rate of finding coincident MILAGRO emission among the unidentified LAT sources. This idea might also explain the nondetection of VHE counterparts of a majority of the unidentified LAT sources. On the other hand, the extended nature of all the five spatially coincident cases (HESS J1023-575, HESS J1804-216, HESS J1841-055, HESS J1843-033, HESS J1848-018; if proved to be real association) would exclude an extragalactic origin of the corresponding LAT sources.
- 7.
- Although VHE observations only cover a small part of the
whole sky, they do cover the majority of the inner Galaxy, e.g., the
HESS telescopes have surveyed the region of l=-85
 to 60 to 60 ,
b=-3 ,
b=-3 to 3 to 3 (Chaves et al. 2009a).
In this region, there are 41 Fermi bright
sources. Among them, 16 are found to be coincident with a VHE
counterpart. This fraction ( (Chaves et al. 2009a).
In this region, there are 41 Fermi bright
sources. Among them, 16 are found to be coincident with a VHE
counterpart. This fraction ( 2/5)
is higher than for EGRET where about 1/4 of the EGRET sources (in a
smaller region) are found to have a coincident VHE
counterpart (Funk
et al. 2008). Moreover, the number rises to 21 (out
of 41) if possibly coincident cases are included and the fraction
becomes 50%. The LAT radii of the 95% confidence region are in general
much smaller than the EGRET error boxes, which further strengthens the
case of a higher fraction for LAT. Even though the VHE extension is
taken into account in this study (but not inFunk
et al. 2008), the typical extension is of the same
order as the LAT positional uncertainties. A breakdown of the number of
coincidence cases for each source population in the above-defined
region of the HESS Galactic Plane Survey is shown in Table 5. 2/5)
is higher than for EGRET where about 1/4 of the EGRET sources (in a
smaller region) are found to have a coincident VHE
counterpart (Funk
et al. 2008). Moreover, the number rises to 21 (out
of 41) if possibly coincident cases are included and the fraction
becomes 50%. The LAT radii of the 95% confidence region are in general
much smaller than the EGRET error boxes, which further strengthens the
case of a higher fraction for LAT. Even though the VHE extension is
taken into account in this study (but not inFunk
et al. 2008), the typical extension is of the same
order as the LAT positional uncertainties. A breakdown of the number of
coincidence cases for each source population in the above-defined
region of the HESS Galactic Plane Survey is shown in Table 5.
Table 5:  
Number of coincidence cases for each source population (excluding
extragalactic sources) in the region l=-85
 to 60
to 60
 ,
b=-3
,
b=-3
 to 3
to 3
 .
.
6 Conclusion
In this work, we searched for VHE counterparts of each Galactic GeV source in the 0FGL catalog (Abdo et al. 2009a), based on spatial coincidence. This study benefits significantly from the increased LAT angular resolution and its better sensitivity over previous instruments.
Compared to the EGRET era, not only are there more coincident sources (improvement in quantity), but improvements in quality also start to emerge. With the much better sensitivity of LAT, weaker sources are detected that were unknown in the EGRET era. New relations between the GeV and TeV spectra are revealed. A single spectral component is unable to describe some sources detected at both GeV and TeV energies. Two spectral components may be needed in these cases to accommodate the SEDs, where the VHE flux is higher than a power-law extrapolation from GeV energies.
A high fraction of Fermi bright sources
are found to be spatially coincident with a VHE  -ray source. This shows that a
common GeV/TeV source population exists, a conclusion that is in stark
disagreement with Funk
et al. (2008) in which EGRET data are used.
-ray source. This shows that a
common GeV/TeV source population exists, a conclusion that is in stark
disagreement with Funk
et al. (2008) in which EGRET data are used.
We thank Emma Oña-Wilhelmi and Werner Hofmann for useful discussions.
References
- Abdo, A. A., Allen, B., Berley, D., et al. (MILAGRO Collaboration) 2007, ApJ, 664, L91 [Google Scholar]
- Abdo, A. A., Ackermann, M., Ajello, M., et al. (Fermi/LAT Collaboration) 2009a, ApJS, 183, 46 [Google Scholar]
- Abdo, A. A., Ackermann, M., Ajello, M., et al. (Fermi/LAT Collaboration) 2009b, Science, 325, 840 [Google Scholar]
- Abdo, A. A., Ackermann, M., Atwood, W. B., et al. (Fermi/LAT Collaboration) 2009c, ApJ, 696, 1084 [Google Scholar]
- Abdo, A. A., Ackermann, M., Ajello, M., et al. (Fermi/LAT Collaboration) 2009d, ApJ, 701, L123 [Google Scholar]
- Abdo, A. A., Ackermann, M., Ajello, M., et al. (Fermi/LAT Collaboration) 2009e, ApJ, 706, L1 [Google Scholar]
- Abdo, A. A., Ackermann, M., Ajello, M., et al. (Fermi/LAT Collaboration) 2009f, ApJ, 706, L56 [Google Scholar]
- Abdo, A. A., Allen, B. T., Aune, T., et al. (MILAGRO Collaboration) 2009g, ApJ, 700, L127 [Google Scholar]
- Abdo, A. A., Ackermann, M., Ajello, M., et al. (Fermi/LAT Collaboration) 2010, ApJS, 187, 460 [Google Scholar]
- Acciari, V. A., Aliu, E., Arlen, T., et al. (VERITAS Collaboration) 2009a, ApJ, 700, 1034 [Google Scholar]
- Acciari, V. A., Aliu, E., Arlen, T., et al. (VERITAS Collaboration) 2009b, ApJ, 698, L133 [Google Scholar]
- Acciari, V. A., Aliu, E., Arlen, T., et al. (VERITAS Collaboration) 2009c, ApJ, 703, L6 [Google Scholar]
- Acero, F., Aharonian, F. A., Akhperjanian, A. G., et al. (HESS Collaboration) 2010, MNRAS, 402, 1877 [Google Scholar]
- Aharonian, F. A., Akhperjanian, A. G., Aye, K.-M., et al. (HESS Collaboration) 2005a, A&A, 436, L17 [Google Scholar]
- Aharonian, F. A., Akhperjanian, A. G., Beilicke, M., et al. (HEGRA Collaboration) 2005b, A&A, 431, 197 [Google Scholar]
- Aharonian, F. A., Akhperjanian, A. G., Bazer-Bachi, A. R., et al. (HESS Collaboration) 2006a, A&A, 448, L19 [Google Scholar]
- Aharonian, F. A., Akhperjanian, A. G., Bazer-Bachi, A. R., et al. (HESS Collaboration) 2006b, A&A, 448, L43 [Google Scholar]
- Aharonian, F. A., Akhperjanian, A. G., Bazer-Bachi, A. R., et al. (HESS Collaboration) 2006c, Nature, 440, 1018 [Google Scholar]
- Aharonian, F. A., Akhperjanian, A. G., Bazer-Bachi, A. R., et al. (HESS Collaboration) 2006d, A&A, 457, 899 [Google Scholar]
- Aharonian, F. A., Akhperjanian, A. G., Bazer-Bachi, A. R., et al. (HESS Collaboration) 2006e, A&A, 460, 743 [Google Scholar]
- Aharonian, F. A., Akhperjanian, A. G., Bazer-Bachi, A. R., et al. (HESS Collaboration) 2006f, ApJ, 636, 777 [Google Scholar]
- Aharonian, F. A., Akhperjanian, A. G., Bazer-Bachi, A. R., et al. (HESS Collaboration) 2006g, A&A, 456, 245 [Google Scholar]
- Aharonian, F. A., Akhperjanian, A. G., Bazer-Bachi, A. R., et al. (HESS Collaboration) 2006h, , 97, 221102 [Google Scholar]
- Aharonian, F. A., Akhperjanian, A. G., Bazer-Bachi, A. R., et al. (HESS Collaboration) 2007a, A&A, 467, 1075 [Google Scholar]
- Aharonian, F. A., Akhperjanian, A. G., Bazer-Bachi, A. R., et al. (HESS Collaboration) 2007b, A&A, 472, 489 [Google Scholar]
- Aharonian, F. A., Akhperjanian, A. G., Barres de Almeida, U., et al. (HESS Collaboration) 2008a, A&A, 477, 481 [Google Scholar]
- Aharonian, F. A., Akhperjanian, A. G., Barres de Almeida, U., et al. (HESS Collaboration) 2008b, A&A, 490, 685 [Google Scholar]
- Aharonian, F. A., Akhperjanian, A. G., Barres de Almeida, U., et al. (HESS Collaboration) 2008c, A&A, 481, 401 [Google Scholar]
- Aharonian, F. A., Akhperjanian, A. G., Barres de Almeida, U., et al. (HESS Collaboration) 2008d, A&A, 477, 353 [Google Scholar]
- Aharonian, F., Buckley, J., Kifune, T., & Sinnis, G. 2008e, Rep. Prog. Phys., 71, 096901 [Google Scholar]
- Aharonian, F. A., Akhperjanian, A. G., Anton, G., et al. (HESS Collaboration) 2009, A&A, 499, 723 [Google Scholar]
- Albert, J., Aliu, E., Anderhub, H., et al. (MAGIC Collaboration) 2007, ApJ, 664, L87 [Google Scholar]
- Albert, J., Aliu, E., Anderhub, H., et al. (MAGIC Collaboration) 2008, ApJ, 674, 1037 [Google Scholar]
- Albert, J., Aliu, E., Anderhub, H., et al. (MAGIC Collaboration) 2009, ApJ, 693, 303 [Google Scholar]
- Aliu, E., Anderhub, H., Antonelli, L. A., et al. (MAGIC Collaboration) 2008, Science, 322, 1221 [Google Scholar]
- Aliu, E., for the VERITAS Collaboration 2009, AIP Conf. Proc., 1085, 324 [NASA ADS] [Google Scholar]
- Atwood, W. B., Abdo, A. A., Ackermann, M., et al. (Fermi/LAT Collaboration) 2009, ApJ, 697, 1071 [Google Scholar]
- Berge, D., Funk, S., & Hinton, J. A. 2007, A&A, 466, 1219 [Google Scholar]
- Bertsch, D. L., Brazier, K. T. S., Fichtel, C. E., et al. 1992, Nature, 357, 306 [NASA ADS] [CrossRef] [Google Scholar]
- Bertsch, D. L., Hartman, R. C., Hunter, S. D., et al. 2000, AIP Conf. Ser., 510, 504 [NASA ADS] [CrossRef] [Google Scholar]
- Celik, O., on behalf of the Fermi-LAT Collaboration 2009, Proc. 31st International Cosmic Ray Conference, in press [Google Scholar]
- Chaves, R. C. G., on behalf of the HESS Collaboration 2009a, Proc. 31st International Cosmic Ray Conference, in press [Google Scholar]
- Chaves, R. C. G., de Oña Wilhemi, E., & Hoppe, S., for the HESS Collaboration 2009b, AIP Conf. Proc., 1085, 372 [Google Scholar]
- Djannati-Atai, A., de Jager, O. C., Terrier, R., Gallant, Y. A., Hoppe, S., for the HESS Collaboration 2008a, Proc. 30th International Cosmic Ray Conference; Universidad Nacional Autónoma de México, Mexico City, Mexico, 2, 823 [Google Scholar]
- Djannati-Atai, A., Oña-Wilhelmi, E., Renaud, M., Hoppe, S., for the HESS Collaboration 2008b, Proc. 30th International Cosmic Ray Conference; Universidad Nacional Autónoma de México, Mexico City, Mexico, 2, 863 [Google Scholar]
- Dubois, F., Glück, B., de Jager, O. C., et al. 2009, Proc. 31st ICRC, ▯ódz, Poland [Google Scholar]
- Feldman, G. J., & Cousins, R. D. 1998, Phys. Rev. D., 57, 3873 [NASA ADS] [CrossRef] [Google Scholar]
- Fiasson, A., Marandon, V., Chaves, R. C. G., Tibolla, O., for the HESS Collaboration 2009, Proc. 31st International Cosmic Ray Conference, in press [Google Scholar]
- Finnegan, G., on behalf of the VERITAS Collaboration 2009, Proc. 31st International Cosmic Ray Conference, in press [Google Scholar]
- Funk, S., Hermann, G., Hinton, J. A. et al. 2004, Astropart. Phys., 22, 285 [NASA ADS] [CrossRef] [Google Scholar]
- Funk, S., Reimer, O., Torres, D. F., & Hinton, J. A. 2008, ApJ, 679, 1299 [NASA ADS] [CrossRef] [Google Scholar]
- Gargano, F. for the Fermi/LAT Collaboration 2009, Proc. 31st International Cosmic Ray Conference, in press [Google Scholar]
- Grondin, M.-H., on behalf of the Fermi-LAT Collaboration 2009, Proceedings of the 31st International Cosmic Ray Conference, in press [Google Scholar]
- Halpern, J. P., Camilo, F., Gotthelf, E. V., et al. 2001, ApJ, 552, L125 [NASA ADS] [CrossRef] [Google Scholar]
- Hartman, R. C., Bertsch, D. L., Bloom, S. D., et al. 1999, ApJS, 123, 79 [NASA ADS] [CrossRef] [Google Scholar]
- Hillas, A. M. 1996, Space Sci. Rev., 75, 17 [NASA ADS] [CrossRef] [Google Scholar]
- Hoppe, S., for the HESS Collaboration, 2008, Proc. 30th International Cosmic Ray Conference; Universidad Nacional Autónoma de México, Mexico City, Mexico, 2, 579, [arXiv:0710.3528] [Google Scholar]
- Hoppe, S., de Oña Wilhemi, E., Khélifi, B., et al. for the HESS Collaboration 2009, Proc. 31st International Cosmic Ray Conference, in press [arXiv:0906.5574] [Google Scholar]
- Hinton, J. 2009, New J. Phys., 11, 055005 [NASA ADS] [CrossRef] [Google Scholar]
- de Jager, O. C., Harding, A. K., Michelson, P. F., et al. 1996, ApJ, 457, 253 [NASA ADS] [CrossRef] [Google Scholar]
- Lamb, R. C., & Macomb, D. J. 1997, ApJ, 488, 872 [NASA ADS] [CrossRef] [Google Scholar]
- Lemoine-Goumard, M., & Grondin, M.-H., on behalf of the Fermi-LAT Collaboration and the Pulsar Timing Consortium, 2009, Proc. 31st International Cosmic Ray Conference, in press [Google Scholar]
- Li, T.-P., & Ma, Y.-Q. 1983, ApJ, 272, 317 [NASA ADS] [CrossRef] [Google Scholar]
- Mayer-Hasselwander, H. A., Bertsch, D. L., Brazier, K. T. S., et al. 1994, ApJ, 421, 276 [NASA ADS] [CrossRef] [Google Scholar]
- Ng, C.-Y., Roberts, M. S. E., & Romani, R. W. 2005, ApJ, 627, 904 [NASA ADS] [CrossRef] [Google Scholar]
- Ohm, S., Horns, D., Reimer, O., et al., for the HESS Collaboration 2009, HEPIMS Workshop (Jaen 2009), Publications of the AS, in press [arXiv:0906.2637] [Google Scholar]
- Ong, R. A., Acciari, V. A., Arlen, T., for the VERITAS collaboration 2009, Proc. 2009 Fermi Symposium, in press [arXiv:0912.5355] [Google Scholar]
- Reimer, O., Funk, S., Torres, D. F., & Hinton, J. 2008, Proc. 30th International Cosmic Ray Conference; Universidad Nacional Autónoma de México, Mexico City, Mexico, 2, 613 [Google Scholar]
- de los Reyes, R., Bednarek, W., Camara, M., & Lopez, M., for the MAGIC Collaboration 2009, Proc. 31st International Cosmic Ray Conference, in press [Google Scholar]
- Thompson, D. J., Bailes, M., Bertsch, D. L., et al. 1996, ApJ, 465, 385 [NASA ADS] [CrossRef] [Google Scholar]
- Tibolla, O., on behalf of the HESS Collaboration 2009a, AIP Conf. Proceed., 1112, 211 [NASA ADS] [CrossRef] [Google Scholar]
- Tibolla, O., Komin, N., Kosack, K., & Naumann-Godo, M., on behalf of the HESS Collaboration 2009b, AIP Conf. Proceed., 1085, 249 [Google Scholar]
- Weinstein, A., for the VERITAS collaboration 2009, Proc. 2009 Fermi Symposium, in press [arXiv:0912.5355] [Google Scholar]
- Zanin, R., for the MAGIC collaboration 2009, Proc. 2009 Fermi Symposium, in press [arXiv:0912.3671] [Google Scholar]
- Zepka, A., Cordes, J. M., Wasserman, I., & Lundgren, S. C. 1996, ApJ, 456, 305 [NASA ADS] [CrossRef] [Google Scholar]
Footnotes
- ...![[*]](/icons/foot_motif.png)  
- Now at Institute of Astronomy and Department of Physics, National Tsing Hua University, Hsinchu 30013, Taiwan.
- ... candidates![[*]](/icons/foot_motif.png)  
- Possibly associated with SNR or PWN, but the emission may come from unknown pulsars.
- ... study![[*]](/icons/foot_motif.png)  
- For example, HESS J1833-105 (Djannati-Atai et al. 2008b)
with only a significance of 4.0 but included in Abdo
et al. (2010) as a counterpart of LAT pulsar
PSR J1833-1034, is not considered here. but included in Abdo
et al. (2010) as a counterpart of LAT pulsar
PSR J1833-1034, is not considered here.
- ... presentation![[*]](/icons/foot_motif.png)  
- See http://cxc.harvard.edu/cdo/snr09/pres/DjannatiAtai_Arache_v2.pdf
- ... sample![[*]](/icons/foot_motif.png)  
- In the first LAT catalog, that can be found at http://fermi.gsfc.nasa.gov/ssc/data/access/lat/1yr_catalog/, the authors claim that there is an association of the LAT source 1FGL J1119.4-06127 with a VHE source, designated HESS J1119-614, which may be the same VHE source.
- ... observations![[*]](/icons/foot_motif.png)  
- Using the LAT on-axis effective area above 1 GeV
of  8000 cm2
and a mean on-axis exposure of 8000 cm2
and a mean on-axis exposure of 1 Ms (Abdo
et al. 2009a). 1 Ms (Abdo
et al. 2009a).
- ... sources![[*]](/icons/foot_motif.png)  
- The LAT spectrum for 0FGL J1801.6-2327
is the softest possible power law, while the
HESS J1923+141 spectrum is derived assuming a
power-law index  . .
All Tables
Table 1: 0FGL sources and LAT pulsars with spatially coincident VHE counterpart.
Table 2:   
0FGL sources with coincident MILAGRO source, but without plausible
coincident reported VHE  -ray
sources. See Table 1 for
the nomenclature.
-ray
sources. See Table 1 for
the nomenclature.
Table 3:   
0FGL sources with a possibly coincident VHE  -ray source. See
Table 1
for the nomenclature.
-ray source. See
Table 1
for the nomenclature.
Table 4: HESS sources which have a coincident 0FGL source but do not have a 3EG counterpart as in Reimer et al. (2008).
Table 5:   
Number of coincidence cases for each source population (excluding
extragalactic sources) in the region l=-85
 to 60
to 60
 ,
b=-3
,
b=-3
 to 3
to 3
 .
.
All Figures
| ![\begin{figure}
\par\includegraphics[width=15.8cm,clip]{13717fg01.eps}
\end{figure}](/articles/aa/full_html/2010/10/aa13717-09/Timg19.png)  | Figure 1: MeV to TeV spectra of four EGRET pulsars and their proposed nebulae. Upper left: Crab (0FGL J0534.6+2201). The pulsar (dotted line) and nebula (dashed-dotted line) spectral components are those reported in Grondin et al. (2009). The VHE spectra are taken from Aharonian et al. (2006d), and the MILAGRO measurement at 20 TeV is shown (Abdo et al. 2007). Upper right: Geminga (0FGL J0634.0+1745). The pulsar spectrum (dotted line) is the one reported in Celik et al. (2009). The triangle denotes the upper limit reported in Finnegan et al. (2009), and the MILAGRO measurement at 20 TeV is also indicated (Abdo et al. 2007). Lower left: Vela (0FGL J0835.4-4510). The dotted line represents the Vela spectrum as shown in Abdo et al. (2009c), while the nebula component is constrained by the two triangles joined by the dashed-dotted line. The curved VHE spectrum is taken from Aharonian et al. (2006b). Lower right: PSR B1706-44 (0FGL J1709.7-4428). The dashed-dotted line denotes the two power-law model spectra derived in Gargano et al. (2009). Both LAT energy spectra (though different above 3 GeV) are consistent with the photon flux in the 1-100 GeV band of this source (Abdo et al. 2009a). The VHE spectrum is taken from Hoppe et al. (2009). | 
| Open with DEXTER | |
| In the text | |
| ![\begin{figure}
\par\includegraphics[width=16cm,clip]{13717fg02-new.eps}
\end{figure}](/articles/aa/full_html/2010/10/aa13717-09/Timg20.png)  | Figure 2: 
MeV to TeV spectra of the four radio pulsars first detected in  | 
| Open with DEXTER | |
| In the text | |
| ![\begin{figure}
\par\includegraphics[width=16.3cm,clip]{13717fg03.eps}
\vspace*{2.5mm}\end{figure}](/articles/aa/full_html/2010/10/aa13717-09/Timg30.png)  | Figure 3: MeV to TeV spectra of the three new pulsars discovered in a blind search for pulsation in the LAT data. The spectra below 300 GeV are taken from Abdo et al. (2010). Upper left: The VHE spectrum is taken from Aharonian et al. (2006g). Upper right: The VHE spectrum presented in Djannati-Atai et al. (2008a) is shown, together with the coincident MILAGRO source flux at 20 TeV (Abdo et al. 2007). Lower left: The VHE spectrum is the one presented in Aharonian et al. (2005b), while the MILAGRO flux at 20 TeV is also shown (Abdo et al. 2007). | 
| Open with DEXTER | |
| In the text | |
| ![\begin{figure}
\par\includegraphics[width=16cm,clip]{13717fg04.eps}
\vspace*{-1.5mm}\end{figure}](/articles/aa/full_html/2010/10/aa13717-09/Timg31.png)  | Figure 4: MeV to TeV spectra of four SNR/PWN candidate 0FGL sources. Spectra at >100 GeV energies are taken from Albert et al. (2007) (MAGIC J0616+225), Aharonian et al. (2006f) (HESS J1616-508), Aharonian et al. (2008b) (HESS J1714-385), and Aharonian et al. (2008c) (HESS J1801-233). The broken power-law spectrum (dashed-dotted line) derived for 3EG J0617+2238 is taken from Bertsch et al. (2000). The flux at 35 TeV at the position of 0FGL J0617.4+2234 is that given in Abdo et al. (2009g). | 
| Open with DEXTER | |
| In the text | |
| ![\begin{figure}
\par\includegraphics[width=16cm,clip]{13717fg05.eps}\vspace*{2mm}
\end{figure}](/articles/aa/full_html/2010/10/aa13717-09/Timg32.png)  | Figure 5: MeV to TeV spectra of three SNR/PWN candidate 0FGL sources. Spectra at >100 GeV energies are taken from Aharonian et al. (2006f) (HESS J1813-178 and HESS J1834-087). For HESS J1923+141, an assumed photon index of 2.8 is used in deriving the spectrum using the flux given in Fiasson et al. (2009), and the flux at 35 TeV is that given in Abdo et al. (2009g). There is evidence of a steepening above several GeV (Abdo et al. 2009e). | 
| Open with DEXTER | |
| In the text | |
| ![\begin{figure}
\par\includegraphics[width=16cm,clip]{13717fg06.eps}\vspace*{3.2mm}
\end{figure}](/articles/aa/full_html/2010/10/aa13717-09/Timg33.png)  | Figure 6: MeV to TeV spectra of four unidentified 0FGL sources. Spectra at >100 GeV energies are taken from Aharonian et al. (2007a) (HESS J1023-575), Aharonian et al. (2006f) (HESS J1634-472 and HESS J1804-216), and Tibolla et al. (2009b) (HESS J1741-302). | 
| Open with DEXTER | |
| In the text | |
| ![\begin{figure}
\par\includegraphics[width=16cm,clip]{13717fg07.eps}
\end{figure}](/articles/aa/full_html/2010/10/aa13717-09/Timg34.png)  | Figure 7: MeV to TeV spectra of three unidentified 0FGL sources. Spectra at >100 GeV energies are taken from Aharonian et al. (2006f) (HESS J1837-069), Aharonian et al. (2008d) (HESS J1841-055), and Chaves et al. (2009b) (HESS J1848-018). The flux at 35 TeV at the position of 0FGL J1848.6-0138 is the one given in Abdo et al. (2009g). | 
| Open with DEXTER | |
| In the text | |
| ![\begin{figure}
\par\includegraphics[width=16cm,height=55mm,clip]{13717fg08.eps}
\end{figure}](/articles/aa/full_html/2010/10/aa13717-09/Timg35.png)  | Figure 8: MeV to TeV spectra of the two X-ray binaries in the 0FGL catalog. The phase-averaged exponential cut-off spectrum in the GeV range of LS I +61 303 (left) is taken from Abdo et al. (2009d). That of LS 5039 is taken from Abdo et al. (2009f). Spectra at >100 GeV energies are taken from Albert et al. (2009) (for a partial phase of LS I +61 303 during which VHE emission is detected) and Aharonian et al. (2006e) (for two phases of LS 5039). The flux at 35 TeV for LS I +61 303 is that given in Abdo et al. (2009g). | 
| Open with DEXTER | |
| In the text | |
| ![\begin{figure}
\par\includegraphics[width=8cm,clip]{13717fg09.eps}
\vspace*{3.8mm}
\end{figure}](/articles/aa/full_html/2010/10/aa13717-09/Timg51.png)  | Figure 9: MeV to TeV spectrum of the Galactic center. The VHE spectrum is taken from Aharonian et al. (2006h) while the broken power-law spectrum (dashed-dotted line) derived for 3EG J1746-2851 is taken from Bertsch et al. (2000). | 
| Open with DEXTER | |
| In the text | |
| ![\begin{figure}
\par\includegraphics[width=8.5cm,clip]{13717fg10-new.eps}\vspace*{3.8mm}
\end{figure}](/articles/aa/full_html/2010/10/aa13717-09/Timg52.png)  | Figure
10: Photon flux in the 100 MeV-1 GeV band versus flux in the 1-10 TeV band for coincident GeV/TeV sources. | 
| In the text | |
| ![\begin{figure}
\par\includegraphics[width=8.5cm,clip]{13717fg11-new.eps}
\end{figure}](/articles/aa/full_html/2010/10/aa13717-09/Timg53.png)  | Figure
11: Photon flux in the 1-100 GeV band versus flux in the 1-10 TeV band for coincident GeV/TeV sources. | 
| In the text | |
| ![\begin{figure}
\par\includegraphics[width=8.5cm,clip]{13717fg12-new.eps}\vspace*{2mm}
\end{figure}](/articles/aa/full_html/2010/10/aa13717-09/Timg54.png)  | Figure
12: Photon index in the 0.1-100 GeV band (derived according to Sect. 3.1) versus photon index in the 1-10 TeV band, for coincident GeV/TeV sources. 0FGL J1923.0+1411/HESS J1923+141 is not included since its VHE photon index is not known. | 
| In the text | |
Copyright ESO 2010
Current usage metrics show cumulative count of Article Views (full-text article views including HTML views, PDF and ePub downloads, according to the available data) and Abstracts Views on Vision4Press platform.
Data correspond to usage on the plateform after 2015. The current usage metrics is available 48-96 hours after online publication and is updated daily on week days.
Initial download of the metrics may take a while.
