Free Access
Issue
A&A
Volume 518, July-August 2010
Herschel: the first science highlights
Article Number A19
Number of page(s) 6
Section Stellar structure and evolution
DOI https://doi.org/10.1051/0004-6361/201013991
Published online 24 August 2010
A&A 518, A19 (2010)

A diagnosis of torque reversals in 4U 1626-67

Z. Zhang1,2 - X.-D. Li1,2

1 - Department of Astronomy, Nanjing University, Nanjing 210093, PR China
2 - Key Laboratory of Modern Astronomy and Astrophysics (Nanjing University), Ministry of Education, PR China

Received 4 January 2010 / Accepted 19 April 2010

Abstract
Several X-ray pulsars have been observed to experience torque reversals, which provide important observational clues to the interaction between the neutron star magnetic field and the accretion disk. We review the current models proposed for the torque reversals and discuss their viability based on the observations of the quasi-periodic oscillations (QPOs) in 4U 1626-67. Most of these models seem to be incompatible with the evolution of the QPO frequencies if they are interpreted in terms of the beat frequency model. We suggest that winds or outflows from the neutron star and the accretion disk may play an important role in accounting for the spin-down in disk-fed neutron stars.

Key words: accretion, accretion disk - stars: neutron - X-rays: binaries - X-rays: individuals: 4U 1626-67 - X-rays: stars

1 Introduction

X-ray pulsars are magnetic neutron stars (NSs) in binary systems that accrete from a normal companion star. They are excellent samples for studying the mass and angular momentum (AM) transfer between an NS and the surrounding accretion flow (Nagase 1989). Mass accretion onto an NS may occur either through an accretion disk fed by Roche-lobe overflow or by capture of the stellar wind from the companion. There has been long-term monitoring of the spin evolution in X-ray pulsars, which is generally thought to result from the interaction between the NS and the accretion flow. Especially, CGRO/BATSE has provided continuous monitoring of X-ray pulsars (Bildsten et al. 1997), and among these 4U 1626-67 and GX 1+4 showed steady spin-up until a sudden torque reversal appeared with the spin-down rate similar to the one in the spin-up stage but with opposite sign, while Cen X-3, OAO 1657-415, and Her X-1 (Klochkov et al. 2009) exhibited a secular spin-up trend with short-time spin variations.

Obviously the torque reversals reflect a dramatic change in the pattern of interaction between the NS magnetic fields and the accretion disks. There have been lots of discussions in the literature on the explanation of these intriguing phenomena. However, a widely accepted model has not emerged. In this work we focus on the torque reversals in 4U 1626-67, a 7.66 s X-ray pulsar. Its optical counterpart was identified as KZ Tra, a faint blue star with little or no reddening (McClintock et al. 1977; Bradt & McClentock 1983). The short (42 min) orbital period (Middleditcht al. 1981) indicates that 4U 1626-67 is in an ultra-compact binary with a hydrogen-depleted, low-mass secondary (Nelson et al. 1986). Observations during 1977-1989 showed that 4U1626-67 was spinning up at a rate of $\dot{\nu}\simeq
8.54\times10^{-13}$ Hz s-1. Chakrabarty et al. (1997a) found that, from April 1991 to June 1996, the NS spun down at a rate of $\dot{\nu}\simeq -7.17\times10^{-13}$ Hz s-1. Though the torque reversal was not observed directly, it was estimated to occur in June 1990. More recent observations with Fermi/GBM and Swift/BAT have shown that 4U 1626-67 experienced a second torque reversal near February 2008 (Camero-Arranz et al. 2010). Since then it has been following a steady spin-up at a mean rate of $\dot{\nu}\simeq
5\times10^{-13}$ Hz s-1.

While the spin changes in X-ray pulsars provide one way to study NS magnetic field-accretion disk interaction, quasi-periodic oscillations (QPOs) offer another clue. QPOs have been detected in eight accreting X-ray pulsars (Bozzo et al. 2009, and references therein), and are usually regarded as the signature of an accretion disk. The measured QPO frequencies are in the range of $\sim$1-200 mHz, consistent with being relevant to the inner radius of the accretion disk around a highly magnetized NS in its bright X-ray state. In the most favored beat frequency model (BFM, Alpar & Shaham 1985; Lamb et al. 1985), the QPO frequency results from the beat between the orbital frequency at the inner edge of the disk and the spin frequency of the NS. Thus the QPO frequency may provide helpful information about the accretion rate in the disk.

After reviewing the current models of torque reversals in Sect. 2, we comment on the feasibility of these models based on the BFM interpretation of the QPOs in 4U 1626-67 (Sect. 3). In Sect. 4 we present a new picture to explain the torque reversals, invoking winds or outflows from the NS and the accretion disk. We summarize our results and discuss their possible implications in Sect. 5.

2 A review of proposed interpretations for torque reversals

There have been four kinds of models proposed to interpret the torque reversals in the literature, which invoke a magnetically threading disk, a retrograde or warping disk, a disk in the propeller phase, and a disk with bi-state, respectively. In following we review the main features of these models.

2.1 Magnetically threaded disk model

The magnetically threaded disk model was first proposed and investigated by Bozzo et al. (2009 for a detailed description and discussion about the model); Ghosh & Lamb (1979a,b). Briefly speaking, in addition to the material torque

\begin{displaymath}N_0=\dot{M}(GMr_0)^{1/2},
\end{displaymath} (1)

where M is the NS mass, $\dot{M}$ the accretion rate, and r0the inner radius of the disk, GL introduced a magnetic torque,

\begin{displaymath}N_{\rm mag}=-\int^{r_{\rm out}}_{r_0}{B_{\phi}B_{\rm z}r^2~{\rm d}r},
\end{displaymath} (2)

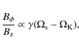
where $B_{\rm z}$ and $B_{\phi}$ are the vertical and toroidal components of the magnetic field at the surfaces of the disk, respectively, and $r_{\rm out}$ is the outer radius of the disk. The magnetic torque is produced by the twist of the magnetic field lines threading the disk. Thus, the pattern of the twisted magnetic lines decides the scale of the magnetic torque. Assuming that the shear amplification of $B_{\phi}$ occurs on a similar timescale to the reconnection of the slipped field lines, GL, and late investigations (e.g. Wang 1995) show that,

\begin{displaymath}\frac{B_{\phi}}{B_{\rm z}}\propto \gamma(\Omega_{\rm s}-\Omega_{\rm K}),
\end{displaymath} (3)

where $\gamma$ is the azimuthal pitch of the field lines, $\Omega_{\rm s}$ and $\Omega_{\rm K}$ are the angular velocity of the NS and the Keplerian angular velocity in the accretion disk, respectively. Defining the corotation radius $r_{\rm c}$ as the radius where the Keplerian angular velocity of the material in the disk is the same as that of the NS, GL show that the inner disk with $r<r_{\rm c}~$spins the NS up, since $B_{\phi}B_{\rm z}<0$ and $N_{\rm mag}>0$, while the part outside $r_{\rm c}$ draws the NS to spin down. The total torque exerted on the NS is the sum of the magnetic torque and the accretion torque, which can be described as

\begin{displaymath}N_{\rm GL}=\dot{M}(GMr_0)^{1/2}n(\omega_{\rm s}),
\end{displaymath} (4)

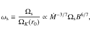
where $n(\omega_{\rm s})$ is a dimensionless function of the fastness parameter $\omega_s$,

\begin{displaymath}\omega_{\rm s}\equiv\frac{\Omega_{\rm s}}{\Omega_K(r_0)}
\propto{\dot{M}^{-3/7}\Omega_{\rm s}B^{6/7}},
\end{displaymath} (5)

where B is the dipolar field strength on the surface of the NS. The value of $n(\omega_s)$ can be either positive or negative, and there is a critical value of $\omega_{\rm c}$, at which $n(\omega_{\rm
c})=0$, corresponding to an equilibrium state. If the NS is a slow rotator, $\omega_{\rm s}<\omega_{\rm c}$, then $n(\omega_{\rm s})>0$, and the NS experiences a spin-up torque; when $\omega_{\rm
c}<\omega_{\rm s}<1$, $n(\omega_{\rm s})$ becomes negative.

In the GL-type model, if $\dot{M}$ does not change much, given a long enough evolution, the NS will always reach the equilibrium state. The most straightforward explanation for the torque reversals in X-ray pulsars is the change in $\dot{M}$. However, this explanation has met several difficulties: (1) for Cen X-3, a fine-tuned change in $\dot{M}$ is required (Bildsten et al. 1997), while observations have indicated that the mass accretion rate did not vary considerably during the torque reversals (Raichur & Paul 2008); (2) for GX 1+4, the X-ray luminosity seems to increase during the spin-down episode (Chakrabarty et al. 1997b), which contrasts with the prediction of the original GL model.

In a modified version of the magnetically threaded disk model, Torkelsson (1998) suggests that, in addition to the GL-type torque, there is a torque coming from the interaction between the stellar magnetic field and the disk's own dynamo-generated magnetic field. The azimuthal field strength $B_{\phi}$ is shown to be $\propto
r^{-3/4}$, decreasing with increasing r more slowly than the formalism $B_{\phi}\propto r^{-3}$ supposed by GL. Therefore, the latter form of the magnetic torque dominate at large radii. The total torque is then

\begin{displaymath}N_{\rm tot}=N_{\rm GL}\pm N_{\rm mag,dyn}.
\end{displaymath} (6)

Whether the dynamo-generated magnetic torque is positive or negative cannot be decided, since the direction of the disk field is arbitrary and is not determined by the difference in angular velocity between the star and the disk as in GL, but a transition between them is reflected as the torque reversal, if the magnetic field in the disk reverses. Without invoking any definite relation between $\dot{M}$ and the spin state, Torkelsson (1998) indicates that the timescale for an NS staying in one stable spin state is uncertain, but the timescale for reversing the torque is the same as the one for reversing the magnetic field via diffusion, or the viscous timescale. This might explain the short timescale for the reversals compared with the long timescale over which the torque remains the same as the difference between the diffusive (viscous) timescales for the inner region of the disk and the entire accretion disk. The complication of the model lies in numerous parameters, among which quite a lot are unclear, so it is not certain how important the dynamo-generated part is in the whole expression. Besides, this model fails to explain the stability of the torque (on a timescale of several years) in 4U 1626-67.

2.2 Retrograde or warping disk model

If a prograde disk provides the NS with positive torque, a retrograde disk should spin the NS down. In the simplest situation, the torque the star receives comes from the accreted material, so that

\begin{displaymath}N=\pm{\dot{M}(GMr_0)^{1/2}},
\end{displaymath} (7)

corresponding to a progarde and retrograde disk, respectively. A transition between prograde and retrograde rotation of the disks presents naturally as the torque reversal. Moreover, from Eq. (7), a similar spin-up and spin-down rate is anticipated, coincident with the observations of the spin evolutions of GX 1+4 and 4U 1626-67.

Nelson et al. (1997) refreshed the idea of the retrograde disk for GX 1+4 (Makishima et al. 1988), to account for its torque reversal and the fact that the X-ray luminosity increases during the spin-down episode. As described above, with the help of the retrograde disk, the X-ray luminosity can increase in both the spin-up and spin-down episodes, which successfully avoids the problem faced by the GL-type model.

While retrograde disks may exist in wind-fed systems like GX 1+4 (Kryukov et al. 2005; Börner & Anzer 1994; Ruffert 1999; Matsuda et al. 1991,1987), for Roche-lobe overflow systems like 4U1626-67, the specific AM initially carried by the accretion stream is comparable to the specific orbital AM of the companion star, and should circularize in the prograde sense well before reaching the NS magnetosphere (Lubow & Shu 1975). This problem might be solved by disk warping induced by X-ray irradiation from the central source (Pringle 1996) or by the magnetic torque (Lai 1999). If the inner part of the accretion disk flips over by more than $90\hbox{$^\circ$ }$ and rotates in the opposite direction (Wijers & Pringle 1999; van Kerkwijk et al. 1998), this would lead to a torque reversal. However, it is highly uncertain whether irradiation can cause such warping and whether the warped disk can last long enough. More recent theoretical work and three-dimensional simulations have shown only slight ($\sim$10-20%) warping of the disk around misaligned magnetic stars (Terquem & Papaloizou 2000; Romanova et al. 2003).

2.3 Propeller model

A general requirement for stable accretion from a disk to an NS is that the velocity of the NS magnetosphere must be lower than the local Keplerian velocity at the inner edge of the disk, otherwise the propeller mechanism will prohibit further accretion by ejecting the accreted material away (Illarionov & Sunyaev 1975). The propeller motion occurs at the boundary of the magnetosphere, so the ejected material carries the AM away from the NS, and spins the NS down. One problem related to the propeller model for the torque reversals in 4U1626-67 might be that X-ray pulsations were detected during the spin-down stage, indicating that accretion was still going on even when $r_0>r_{\rm c}$, though in simulations by Ustyugova et al. (2006) and Romanova et al. (2004,2005) both accretion and spin-down were observed at the propeller stage. Perna et al. (2006) suggest a model for simultaneous accretion and ejection around magnetized NSs. When the spin axis of an NS is not aligned with the magnetic axis, the inner radius of the disk relies on the tilt angle $\theta$ between the two axes and the longitude $\phi$, so that the inner edge of the disk is not circular. For certain values of $\theta$, the inner disk radius in some certain regions is larger than $r_{\rm c}$ where the propeller mechanism starts up. Meanwhile, the NS accretes in the regions where the inner disk radius is smaller than $r_{\rm c}$. In other words, the system can undergo the propeller and accretion phases at the same time. Moreover, a fraction of the ejected material does not receive enough energy to be completely unbound, so it falls back into the disk. Thus it is possible that, for a given accretion rate of the NS, there are multiple solutions of the mass flow rate through the disk. The spin evolution is determined by the AM transferred from the disk to the NS through accretion and the one given by the NS to the ejected matter. When $\theta$ is larger than a critical value, the system may settle into a limit-cycle of spin-up/spin-down transitions for a constant value of the mass accretion rate.

2.4 Bi-state model

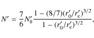
The general idea of the bi-state model is that two stable states of the accretion disk may exist corresponding to the spin-up and spin-down of the NS. If the system is triggered to jump from one state to the other, it appears as the torque reversal. How to establish the two states is the essential problem for this kind of model. In the model suggested by Yi et al. (1997), the torque reversals are caused by alternation between a Keplerian, thin disk and a sub-Keplerian, advection-dominated accretion flow (ADAF) with small changes in the accretion rate. When $\dot{M}$ becomes less than a critical value $\dot{M}_{\rm cr}$, the inner part of the accretion disk may make a transition from a Keplerian, thin disk to a sub-Keplerian ADAF, in which the angular velocity in the disk $\Omega (r)=A \Omega_{\rm K} (r)$ with A < 1 (Narayan & Yi 1995). In this case the corotation radius becomes $r'_{\rm c} = A^{2/3}r_{\rm
c}<r_{\rm c}$. (Here we use the prime to denote quantities in ADAF.) The torques exerted on the NS by a Keplerian and sub-Keplerian disk can be estimated as

\begin{displaymath}N=\frac{7}{6}N_0\frac{1-(8/7)(r_0/r_{\rm c})^{3/2}}{1-(r_0/r_{\rm
c})^{3/2}},
\end{displaymath} (8)

and

\begin{displaymath}N'=\frac{7}{6}N'_0\frac{1-(8/7)(r'_0/r'_{\rm
c})^{3/2}}{1-(r'_0/r'_{\rm c})^{3/2}},
\end{displaymath} (9)

respectively, where $N'_0=\dot{M}(GMr'_0)^{1/2}$. Since the inner radius of the disk does not change much ( $r_0\simeq r'_0$), the dynamical changes in the disk structure may lead to the slow ( $\omega_{\rm s}<\omega_{\rm c}$, spin-up) and rapid ( $\omega'_{\rm s}>\omega_{\rm c}$, spin-down) rotator stage alternatively when $\dot{M}$ varies around $\dot{M}_{\rm cr}$.

Lovelace et al. (1999) have developed a model for magnetic, propeller-driven outflows that cause a rapidly rotating magnetized NS accreting from a disk to spin down. An important feature of their results is that the effective Alfven radius $r_{\rm A}$ depends not only on $\dot{M}$ and B, but also on $\Omega_{\rm s}$. Because $r_{\rm A}$decreases as $\Omega_{\rm s}$ decreases, a minimum value of $\Omega_{\rm s}$ exists for stable accretion disks, and for a given $\Omega_{\rm s}$, there could be two values of $r_{\rm A}$, one greater than $r_{\rm c}$ and the other lower than $r_{\rm c}$. This points to a mechanism for the propeller from being ``on" to being ``off", when there is a change between the two possible equilibrium configurations, leading to transitions between spin-down and spin-up with roughly similar rates for nearly constant $\dot{M}$. Since the transitions may be stochastic, and triggered by small variations in the accretion flow or in the magnetic field configuration, this model, similar to Torkelsson (1998), could be responsible for the torque reversals in Cen X-3 rather 4U 1626-67, provided that $r_{\rm A}\sim r_{\rm co}$.

Locsei & Melatos (2004) presented a disk-magnetosphere interaction model where the extent of the magnetosphere is determined by balancing the outward diffusion and inward advection of the stellar magnetic field at the inner edge of the disk. They show that the disk-magnetosphere system has two stable torque states for certain combinations of the magnetic Prandtl numbers and the fastness parameter. If the star is initially spinning up, the spin-up equilibrium eventually vanishes and the star subsequently spins down in the absence of extraneous perturbations. In its current form, the model does not exhibit repeated torque reversals as observed.

3 QPOs in 4U 1626-67 and constraints on previous models

The mHz QPOs in 4U 1626-67 have been detected with Ginga (Shinoda et al. 1990), ASCA (Angelini et al. 1995), BeppoSAX (Owens et al. 1997), RXTE (Chakrabarty 1998; Kommers et al. 1998) and XMM-Newton (Krauss et al. 2007). More recently, Kaur et al. (2008) investigated the evolution of the QPO frequency in 4U 1626-67 over a long period. It was shown that the QPO frequency in 4U 1626-67 during the past 22 years evolved from a positive to a negative trend: in the earlier spin-up era, the QPO central frequency increased from $\sim$36 mHz in1983 to $\sim$49 mHz in 1993, while in the subsequent spin-down era, it gradually decreased at a rate $\sim$ $(0.2\pm 0.05)$ mHz yr-1. However, the lack of observations around 1990 does not allow an exact time to be defined when the evolutionary trend of the QPO frequency changed. It seems to be somewhat coincident with the torque reversal.

In accretion-powered X-ray pulsars, the QPO frequency is usually regarded as directly related to the inner radius r0 of the accretion disk. The widely adopted QPO theories are the Keplerian frequency model (KFM) and the BFM, which consider the QPO frequency as the Keplerian frequency $\nu_{\rm K}$ at r0 and the beat between $\nu_{\rm K}$ at r0 and the spin frequency $\nu_{\rm s}
(=\Omega_{\rm s}/2\pi)$of the NS, respectively. In the case of 4U 1626-67, we adopt BFM rather than KFM as the proper interpretation, since the spin frequency is higher than the QPO frequency, which means the system is in the propeller phase if we consider the QPO frequency to be the Keplerian frequency at r0.

According to BFM, the frequency at r0 is

\begin{displaymath}\nu_{\rm K}=\nu_{\rm QPO}+\nu_{\rm s},
\end{displaymath} (10)

and the fastness parameter is

\begin{displaymath}\omega_{\rm s}\equiv\frac{\nu_{\rm s}}{\nu_{\rm K}}
=\frac{\nu_{\rm s}}{\nu_{\rm QPO}+\nu_{\rm s}}.
\end{displaymath} (11)

If the BFM correctly explains the QPOs in 4U 1626-67, we can infer that $\nu_{\rm K}$ increased during the spin-up era and then slightly decreased during the spin-down era. Since the the X-ray luminosity $L_{\rm X}$ originating from disk accretion positively correlates with $\nu_{\rm K}$, one would expect a similar evolutionary trend in $L_{\rm X}$. This is opposite the fact that X-ray luminosity of 4U 1626-67 has been decreasing since 1977 (Krauss et al. 2007). One intermediate implication is that the observed change in the X-ray luminosity is not caused by a change in the mass accretion rate by the same factor (Kaur et al. 2008). For example, the accretion flow in 4U1626-67 might be composed of multi-components (e.g. disk and coronal streams), and disk accretion accounts for only a fraction of the X-ray luminosity, but influences the evolution of the QPO frequency. Alternatively, the X-ray luminosity variation could stem from a change in obscuration by an aperiodically precessing warped accretion disk, as suggested for Cen X-3 (Raichur & Paul 2008). A line of evidence in favor of the latter suggestion is that, since the discovery of this X-ray source over two decades ago, the optical flux from the accretion disk has essentially remained constant though its overall X-ray flux has declined (Chakrabarty 1998).

Now we use the above results to constrain current accretion torque models proposed for the torque reversals. The magnetically threaded disk model always expects that $\omega_{\rm s}$ gradually increases when the NS evolves from spin-up to spin-down, opposite to what we learned from the QPO observations. In the modified-propeller model (Perna et al. 2006) and the bi-state model of Locsei & Melatos (2004), the inner radius of the disk is expected to change between a relatively low and a high value, corresponding to spin-up and spin-down, respectively. If the QPOs are related to the behavior in the inner edge of the accretion disk, a transition of the QPO frequency is expected. In the model of Yi et al. (1997), the inner radius of the disk might not change, but the dynamical change in the disk causes the angular velocity at the inner edge to change from $\nu_{\rm K}$ to $A\nu_{\rm K}$. Similarly, the retrograde disk model suggests that the QPO frequencies should vary between $\nu_{\rm K}-\nu_{\rm s}$and $\nu_{\rm K}+\nu_{\rm s}$. All these models predict a jump of $\nu_{\rm QPO}$ before and after the torque reversal, which seems to contradict observations, if BFM really works for the QPOs in 4U1626-67.

4 An alternative explanation

The above arguments suggest that the torque exerted by the accretion disk itself may not play the only role in accounting for the torque reversals, and an extra spin-down mechanism seems to be required. The latter needs to have the following properties: (1) it occurs without requiring a large decrease in the mass accretion rate (i.e., not the propeller-driven AM loss for rapid rotators), (2) it may last for long episodes (up to several years), and (3) its spin-down torque increases with the mass accretion rate. Potential candidates are the stellar and disk winds (or outflows), which have not been considered seriously in previous works.

A wind-driven spin-down mechanism for disk-accreting magnetic stars has been widely adopted for the classical T Tauri stars (CTTS). A large fraction of CTTS are observed to rotate at approximately 10% of the break-up speed, although they have been actively accreting material from their surrounding Keplerian disks for $\sim$ 106-107 yr (Bertout 1989). Königl (1991) applied the GL model to CTTSs to explain their slow rotation. However, it was pointed out that, when the differentially twisting angle between the star and the disk monotonically increases, the torque exerted by the field lines first reaches a maximum value, then decreases. This occurs because the azimuthal twisting of the dipole field lines generates an azimuthal component to the field, and the magnetic pressure associated with this component acts to inflate the field, causally disconnecting the star from the disk (e.g., Uzdensky et al. 2002; Aly 1985). Thus the size of the disk region that is magnetically connected to the star is smaller, and the magnetic spin-down torque on the star is significantly less than in the original GL model (Matt & Pudritz 2005a). Matt & Pudritz (2005b) have further explored the idea of powerful stellar winds as a solution to the AM problem and shown that stellar winds are capable of carrying off the accreted AM, provided that the ratio of the outflow rate and the accretion rate is $\sim$0.1. In this model a significant part of the disk matter is launched as the stellar winds, although the mechanism is unknown. If it comes from the impact of plasma on the stellar surface from magnetospheric accretion streams, the work by Cranmer (2008,2009) suggests that it could produce T Tauri-like mass-loss rates of at least 0.01 times the accretion rate.

Outflows from the disk-magnetosphere boundary were investigated by many authors, both theoretically and numerically, and episodes of field inflation and outflows have been observed (e.g. Goodson et al. 1999; Ustyugova et al. 2006; Romanova et al. 2009; Goodson et al. 1997). The maximum velocities in the outflows are usually close to the Keplerian velocity of the inner region of the disk. This favors the models where the outflows originate in the inner region of the disk or in the disk-magnetosphere boundary. In the most recent simulations, Romanova et al. (2009) report that, in the case of slowly rotating stars, the magnetic flux of the star can be bunched up by the disk into an X-type configuration, leading to a conical wind[*], when the turbulent magnetic Prandtl number (the ratio of viscosity to diffusivity) >1 and when the viscosity is sufficiently high, $\alpha \ga 0.03$. The amount of matter flowing into the conical wind was found to be $\sim$10-30% of the disk accretion rate.

Observationally possible evidence also exists for winds from 4U1626-67. With Chandra observation Schulz et al. (2002) have resolved the Ne/O emission line complex near 1 keV into Doppler pairs of broadened ($\sim$2500 km s-1 FWHM) lines from highly ionized Ne and O, and suggested that they might originate in a disk wind driven from the pulsar's magnetopause. The wind mass loss rate $\sim$ $ 10^{-10}~M_{\hbox{$\odot$ }}$ yr-1 was shown to be close to the observed mass accretion rate onto the NS. The structure of the emission lines and the helium-like Ne IX and O VII triplets support the hypothesis that they are formed in the high-density environment of an accretion disk (Krauss et al. 2007).

In an evolutionary view, winds (or outflows) may be inevitably required for 4U1626-67. It is related to the puzzle that the observationally inferred mass transfer rate of $\dot{M}\sim
~2\times10^{-10}~M_{\hbox{$\odot$ }}$ yr-1 is much higher than theoretical expectations $\dot{M}\sim ~3\times10^{-11}~M_{\hbox{$\odot$ }}$ yr-1 for mass transfer from a $\sim$ $0.02~M_{\hbox{$\odot$ }}$ donor in a 42-min binary driven by AM loss via gravitational radiation (Chakrabarty 1998). The discrepancy between the measured and predicted mass transfer rates indicates that there must be other driving mechanisms besides gravitational radiation, and wind mass loss is one of the most suitable choices.

We now propose a model for the torque reversals based on the wind/outflow-assisted spin-down mechanism. When there is no (or weak) wind from the star and the disk, the total torque exerted on the NS comes from the accreting material and the magnetic field-disk interaction. The latter, however, may not contribute significantly to the torque for slow rotators, according to Matt & Pudritz (2005a), so the NS experiences a spin-up torque,

\begin{displaymath}N_{\rm su} \simeq N_0=\dot{M}(GMr_0)^{1/2}.
\end{displaymath} (12)

During the spin-up stage, the increase in the mass transfer rate (observed as the increase in the QPO frequency) can lead to the bunching of the field lines if the inward flow is faster than outward diffusion of the field lines (Romanova et al. 2009). When the field topology around the magnetosphere becomes open, strong stellar +disk winds are launched, and the NS enters the spin-down stage. The total torque becomes

\begin{displaymath}N_{\rm sd}= N_0+N_{\rm dw}+N_{\rm sw},
\end{displaymath} (13)

where $N_{\rm dw}$ and $N_{\rm sw}$ are the torques from the disk wind and the stellar wind, respectively. Calculations by Romanova et al. (2009) show that, close to the inner boundary of the accretion disk, a significant part of the AM within the disk matter is carried away by the conical wind. Here we assume $N_{\rm dw}= -\chi N_0$with $\chi$ lying between 0 and 1. The torque from the stellar winds is

\begin{displaymath}N_{\rm sw}=-\kappa\dot{M}_{\rm w}r_{\rm A}^2\Omega_{\rm s},
\end{displaymath} (14)

where $r_{\rm A}$ is the Alfvén radius, at which the poloidal wind velocity equals the poloidal Alfvén speed. The dimensionless factor $\kappa$ takes the geometry of the wind into account and is on the order of unity ( $\kappa=2/3$ for a spherically symmetric wind). The magnitude of $r_{\rm A}$ depends on the the magnetic field strength and geometry, mass loss rate, and wind speeds. A semi-analytic, fitted formulation was suggested by Matt & Pudritz (2008) from two-dimensional (axisymmetric) MHD simulations,

\begin{displaymath}\frac{r_{\rm A}}{R}=K\left(\frac{B^2R^2}{\dot{M}_{\rm w}v_{\rm esc}}\right)^m,
\end{displaymath} (15)

where $K\simeq 2.11$, $m\simeq 0.223$, R is the stellar radius, B is the surface magnetic field strength, and $v_{\rm esc}=
(2GM/R)^{1/2}$ is the escape speed from the stellar surface. If the wind is launched at the boundary of the magnetosphere, then R should be replaced by the magnetospheric radius. By adopting typical values of the parameters of 4U1626-67, i.e., $M=1.4~M_{\hbox{$\odot$ }}$, R=106 cm, $B=3\times 10^{12}$ G, $\dot{M}_{\rm w}
\sim 0.1~\dot{M}\sim 10^{15}$ g s-1, one can obtain $r_0\simeq
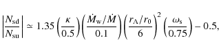
5.5\times 10\times 10^8$ cm and $r_{\rm A}/r_0\sim 1.5{-}6$. Assume $\chi\sim 0.5$, the ratio of the spin-down and spin-up torques can be estimated as

\begin{displaymath}\left\vert\frac{N_{\rm sd}}{N_{\rm su}}\right\vert\simeq 1.35...
...r_0}{6}\right)^2
\left(\frac{\omega_{\rm s}}{0.75}\right)-0.5,
\end{displaymath} (16)

and we get $N_{\rm su}\sim -N_{\rm sd}\sim 1\times 10^{33}$ g cm2s-2, corresponding to a spin-up/down rate of $\sim$ $ (\pm) 8\times 10^{-13}$ Hz s-1, compatible with the observed values. In the current model, the mass transfer rate during the spin-down stage can maintain a higher value than during the spin-up stage, as shown by the QPO frequency evolution. Additionally, Eqs. (13) and (14) indicate that the spin-down rate can increase with mass transfer rate, if a roughly constant fraction of the transferred mass goes into the winds.

5 Discussion and conclusions

Based on the measurements of QPOs in 4U1626-67 and the beat frequency interpretation, we have proposed a model for the torque reversals in this source. The essential idea is that the spin-down is induced by stellar and disk winds (or outflows) that take away the AM of the NS. Thus a significant decrease in the mass transfer rate and possible propeller effect are not required. Because of wind mass loss, the accretion rate of the NS is not simply the mass transfer rate through the accretion disk. Since the latter determines the QPO frequencies, a straightforward, positive correlation is not expected between the QPO frequency and the X-ray luminosity (or the spin changing rate; Bozzo et al. 2009).

The model seems to be in line with observations of other X-ray pulsars besides 4U 1626-67. For example, 4U 1907+09 was found to switch from spin-down to spin-up without considerably changing in luminosity (Fritz et al. 2006). Furthermore, in't Zand et al. (1998) point out that, during the spin-down stage, the magnetospheric radius from the cyclotron line measurements is $r_0 \sim 2400$ km, less than the corotation radius  $r_{\rm c}\sim 12~000$ km, which rules out the possibility of the propeller effect being the spin-down mechanism. Continuous monitoring of Her X-1 showed that its pulse period evolution resembles a sawtooth composed of spin-up and spin-down episodes, and extremely large spin-down torques occurred that were up to 5 times as strong as the spin-up ones, which are very likely related to episodic ejection of matter in Her X-1 (Klochkov et al. 2009). Signatures of ouflowing gas was also found in the UV spectrum of this source (Boroson al. 2001; Vrtilek et al. 2001).

The main limitation of our model is the mechanism for wind occurring, which needs to be explored in more detail. In Romanova et al. (2009), strong outflows from the inner region of the disk are expected to result from field bunching when the mass transfer rate is enhanced, and when the magnetic Prandtl number of the turbulence is more than unity. The condition for the bunching of the field lines is, however, not understood clearly. It requires that the speed of the inward flow of matter in the disk should be higher than the speed of outward diffusion of the stellar field lines. If the accretion rate is determined not only by the viscosity but by any other mechanisms of outward AM transport, such as by the spiral waves, then this condition will be satisfied and the bunching of field lines is expected. The stellar winds might be driven by some fraction of the accretion power through accretion shocks and/or magnetic reconnection events (e.g. Cranmer 2008; Matt & Pudritz 2005b). We also note that there could be outflows caused by heating of hard X-ray emission of the NS, although this is more likely in the case of spherical accretion (Illarionov & Kompaneets 1990). These authors suggest that, if the X-ray luminosity falls in the region of $\sim$ $2\times 10^{34}$ erg s $^{-1} < L_{\rm X}<\sim 3\times 10^{36}$ erg s-1, Compton scattering heats the accreted matter anisotropically, and some of the heated matter with a low density can flow up and form outflows to take the AM away. It is interesting that the luminosity of 4U 1626-67 at torque reversals fulfills the criterion if its distance is $\sim$5 kpc.

The occurrence and disappearance of the stellar and disk winds may be accompanied by possible change in the structure of the magnetosphere and the accretion disk, leading to variation in the radiation features of the NS and the disk. Observations with Chandra and XMM-Newton have shown that the pulse profile of 4U 1626-67 has changed significantly from what was found prior to the torque reversal in 1990, in turn suggesting a change in the geometry of the accretion column (Krauss et al. 2007). The X-ray continuum spectrum was also shown to be closely correlated with the torque state. During the 1977-1990 spin-up phase, the spectrum was described by an absorbed blackbody, a power law, and a high energy cutoff (Kii et al. 1986; Pravdo et al. 1979). After the torque reversal in 1990, the time-averaged X-ray spectrum was found to be relatively harder (Krauss et al. 2007; Owens et al. 1997; Yi et al. 1997), which is often regarded as an indication of outflows. The spectrum was also found to be harder during the new torque transition in 2008 than before or after. These results imply that the torque reversal is not a simple case of change in the mass accretion rate, but there is also a change in the accretion geometry in the vicinity of the NS.

When the inner disk comes closer to the star, there is a greater difference in angular velocity between inner disk and magnetosphere, and inflation of the field lines is more efficient. The difference between the angular velocities can lead to cyclic evolution of the field lines - development of the toroidal field component, field line opening, and reconnection, which were suggested to be accompanied by energy release or flaring activities (e.g. Aly 1985). 4U 1626-67 was indeed seen to flare dramatically in both X-ray and optical on timescales of $\sim$1000 s before 1990 (Joss et al. 1978; Li et al. 1980; McClintock et al. 1980). However, there were no flaring events seen in any of the observations by Krauss et al. (2007). The cessation of flaring activity may have occurred at the same time as the torque reversal. As the NS has entered the spin-up phase since 2008, it is interesting to see whether flaring will appear again.

Acknowledgements
We are grateful to the referee, Dr. Marina Romanova for comments and suggestions that greatly helped improve the manuscript. This work was supported by the Natural Science Foundation of China (under grant number 10873008) and the National Basic Research Program of China (973 Program 2009CB824800).

References

  1. Alpar, M. A., & Shaham, J. 1985, Nature, 316, 239 [NASA ADS] [CrossRef] [Google Scholar]
  2. Aly, J. J. 1985, A&A, 143, 19 [NASA ADS] [Google Scholar]
  3. Angelini, L., White, N. E., Nagase, F., et al. 1995, ApJ, 449, L41 [NASA ADS] [CrossRef] [Google Scholar]
  4. Bertout, C. 1989, ARA&A, 27, 351 [NASA ADS] [CrossRef] [Google Scholar]
  5. Bildsten, L., Chakrabarty, D., Chiu, J., et al. 1997, ApJS, 113, 367 [NASA ADS] [CrossRef] [Google Scholar]
  6. Börner, H. M. J., & Anzer, U. 1994, A&A, 284, 1026 [NASA ADS] [Google Scholar]
  7. Boroson, B., Kallman, T., & Vrtilek, S. D. 2001, ApJ, 562, 925 [NASA ADS] [CrossRef] [Google Scholar]
  8. Bozzo, E., Stella, L., Vietri, M., & Ghosh, P. 2009, A&A, 493, 809 [NASA ADS] [CrossRef] [EDP Sciences] [Google Scholar]
  9. Bradt, H. V. D., & McClintock, J. E. 1983, ARA&A, 21, 13 [NASA ADS] [CrossRef] [Google Scholar]
  10. Camero-Arranz, A., Finger, M. H., Ikhsanov, N. R., Wilson-Hodge, C. A., & Beklen, E. 2010, ApJ, 708, 1500 [NASA ADS] [CrossRef] [Google Scholar]
  11. Canizares, C. R., & Hiltner, W. A. 1977, Nature, 207, 320 [Google Scholar]
  12. Chakrabarty D. 1998, ApJ, 492, 342 [NASA ADS] [CrossRef] [Google Scholar]
  13. Chakrabarty, D., Bildsten, L., Grunsfeld, J. M. 1997a, ApJ, 474, 414 [NASA ADS] [CrossRef] [Google Scholar]
  14. Chakrabarty, D., Bildsten, L., Finger, M. H., et al. 1997b, ApJ, 481, L101 [NASA ADS] [CrossRef] [Google Scholar]
  15. Cranmer, S. R. 2008, ApJ, 689, 316 [NASA ADS] [CrossRef] [Google Scholar]
  16. Cranmer, S. R. 2009, ApJ, 706, 824 [NASA ADS] [CrossRef] [Google Scholar]
  17. Fritz, S., Kreykenbohm, I., Wilms, J., et al. 2006, A&A, 458, 885 [NASA ADS] [CrossRef] [EDP Sciences] [Google Scholar]
  18. Ghosh, P., & Lamb, F. K. 1979a, ApJ, 232, 259 [NASA ADS] [CrossRef] [Google Scholar]
  19. Ghosh, P., & Lamb, F. K. 1979b, ApJ, 234, 296 [NASA ADS] [CrossRef] [Google Scholar]
  20. Goodson, A. P., Winglee, R. M., & Böhm, K. H. 1997, ApJ, 489, 199 [NASA ADS] [CrossRef] [Google Scholar]
  21. Goodson, A. P., Böhm, K. H., & Winglee, R. M. 1999, ApJ, 524, 142 [NASA ADS] [CrossRef] [Google Scholar]
  22. Illarionov, A. F., & Kompaneets, D. 1990, MNRAS, 247, 219 [NASA ADS] [Google Scholar]
  23. Illarionov, A. F., & Sunyaev, R. A. 1975, A&A, 39, 185 [NASA ADS] [Google Scholar]
  24. in't Zand, J. J. M., Baykal, A., & Strohmayer, T. E. 1998, ApJ, 496, 386 [NASA ADS] [CrossRef] [Google Scholar]
  25. Joss, P. C., Avni, Y., & Rappaport, S. 1978, ApJ, 221, 645 [NASA ADS] [CrossRef] [Google Scholar]
  26. Kaur, R., Paul, B., & Sagar, R. 2008 ApJ, 676, 1184 [Google Scholar]
  27. Kii, T., Hayakawa, S,. Nagase, F, et al. 1986, PASJ, 38, 751 [NASA ADS] [Google Scholar]
  28. Klochkov, D., Staubert, R., Postnov, K., Shakura, N., & Santangelo, A. 2009, A&A, 506, 1261 [NASA ADS] [CrossRef] [EDP Sciences] [Google Scholar]
  29. Kommers, J. M., Chakrabarty, D., & Lewin, W. H. G. 1998, ApJ, 497, L33 [NASA ADS] [CrossRef] [Google Scholar]
  30. Königl, A. 1991, ApJ, 370, L39 [NASA ADS] [CrossRef] [Google Scholar]
  31. Krauss, M. I., Schulz, N. S., Chakrabarty, D., Juett, A. M., & Cottam, J., 2007, ApJ, 660, 605 [NASA ADS] [CrossRef] [Google Scholar]
  32. Kryukov, I., Pogorelov, N., Anzer, U., et al. 2005, A&A, 441, 863 [NASA ADS] [CrossRef] [EDP Sciences] [Google Scholar]
  33. Lai, D. 1999, ApJ, 524, 1030 [NASA ADS] [CrossRef] [Google Scholar]
  34. Lamb, F. K., Shibazaki, N., Alpar, M. A., & Shaham, J. 1985, Nature, 317, 681 [NASA ADS] [CrossRef] [Google Scholar]
  35. Li, F. K., McClintock, J. E., Rappaport, S., et al. 1980, ApJ, 240, 628 [NASA ADS] [CrossRef] [Google Scholar]
  36. Locsei, J. T., & Melatos, A. 2004, MNRAS, 354, 591 [NASA ADS] [CrossRef] [Google Scholar]
  37. Lovelace, R. V. E., Romanova, M. M., & Bisnovatyi-Kogan, G. S. 1999, ApJ, 514, 368 [NASA ADS] [CrossRef] [Google Scholar]
  38. Makishima, K., Ohashi, T., Sakao, T., et al. 1988, Nature, 333, 746 [NASA ADS] [CrossRef] [Google Scholar]
  39. Matsuda, T., Inoue, M., & Sawada, K. 1987, MNRAS, 226, 785 [NASA ADS] [CrossRef] [Google Scholar]
  40. Matsuda, T., Sekino, N., Sawada, K., et al. 1991, A&A, 248, 301 [NASA ADS] [Google Scholar]
  41. Matt, S., & Pudritz, R. E. 2004, ApJ, 607, L43 [NASA ADS] [CrossRef] [Google Scholar]
  42. Matt, S., & Pudritz, R. E. 2005a, MNRAS, 356, 167 [NASA ADS] [CrossRef] [Google Scholar]
  43. Matt, S., & Pudritz. R. E. 2005b, ApJ, 632, L135 [NASA ADS] [CrossRef] [Google Scholar]
  44. Matt, S., & Pudritz. R. E. 2008, ApJ, 678, 1109 [Google Scholar]
  45. McClintock, J. E., Bradt, H. V., Doxsey, R. E., et al. 1977, Nature, 270, 320 [Google Scholar]
  46. McClintock, J. E., Li, F. K., Canizares, C. R., & Grindlay, J. E. 1980, ApJ, 235, L81 [NASA ADS] [CrossRef] [Google Scholar]
  47. Middledithe, J., Mason, K. O., Nelson, J. E., & White, N. E. 1981, ApJ, 244, 1001 [NASA ADS] [CrossRef] [Google Scholar]
  48. Nagase, F. 1989, PASJ, 41, 1 [NASA ADS] [Google Scholar]
  49. Narayan, R., & Yi, I. 1995, ApJ, 452, 710 [NASA ADS] [CrossRef] [Google Scholar]
  50. Nelson, L. A., Rappaport, S. A., & Joss, P. C. 1986, ApJ, 311, 226 [NASA ADS] [CrossRef] [Google Scholar]
  51. Nelson, R. W., Bildsten, L., Chakrabarty, D., et al. 1997, ApJ, 488, L117 [NASA ADS] [CrossRef] [Google Scholar]
  52. Owens, A., Oosterbroek, T., & Parmar, A. N. 1997, A&A, 324, L9 [NASA ADS] [Google Scholar]
  53. Perna, R., Bozzo, E., & Stella, L. 2006, ApJ, 639, 363 [NASA ADS] [CrossRef] [Google Scholar]
  54. Pravdo, S. H., White, N. E., Boldt, E. A., et al. 1979, ApJ, 231, 912 [NASA ADS] [CrossRef] [Google Scholar]
  55. Pringle, J. E. 1996, MNRAS, 281, 357 [NASA ADS] [Google Scholar]
  56. Raichur, H., & Paul, B. 2008, MNRAS, 387, 439 [NASA ADS] [CrossRef] [Google Scholar]
  57. Ruffert, M. 1999, A&A, 346, 861 [NASA ADS] [Google Scholar]
  58. Romanova, M. M., Ustyugova, G. V., Koleoba, A. V., Wicl, J. V., & Lovelace, R. V. E., 2003, ApJ, 595, 1009R [NASA ADS] [CrossRef] [Google Scholar]
  59. Romanova, M. M., Ustyugova, G. V. Koleoba, A. V., & Lovelace, R. V. E. 2004, ApJ, 616, L151 [NASA ADS] [CrossRef] [Google Scholar]
  60. Romanova, M. M., Ustyugova, G. V. Koleoba, A. V., & Lovelace, R. V. E., 2005, ApJ, 635, L165 [NASA ADS] [CrossRef] [Google Scholar]
  61. Romanova, M. M., Ustyugova, G. V., Koldoba, A. V., & Lovelace, R. V. E. 2009, MNRAS, 399, 1802 [NASA ADS] [CrossRef] [Google Scholar]
  62. Schulz, N. S., Chakrabarty, D., Marshall, H. L., et al. 2001, ApJ, 563, 941 [NASA ADS] [CrossRef] [Google Scholar]
  63. Shinoda, K., Kii, T., Mitsuda, K., et al. 1990, PASJ, 42, L27 [NASA ADS] [Google Scholar]
  64. Terquem, C., & Papaloizou, J. C. B. 2000, ApJ, 509, 819 [Google Scholar]
  65. Torkelsson, U. 1998, MNRAS, 298, L55 [NASA ADS] [CrossRef] [Google Scholar]
  66. Uzdensky, D. A., Konigl, A., & Litwin. C. 2002, ApJ, 565, 1191 [NASA ADS] [CrossRef] [Google Scholar]
  67. Ustyugova, G. V., Koleoba, A. V., Romanova, M. M., & Lovelace, R. V. E. 2006, ApJ, 646, 304 [NASA ADS] [CrossRef] [Google Scholar]
  68. van Kerkwijk, W. H., Chakrabarty, D., Pringle, J. E., & Wijers, R. A. M. J. 1998, ApJ, 499, L27 [NASA ADS] [CrossRef] [Google Scholar]
  69. Vrtilek, S. D., Quaintrell, H., Boroson, B., et al. 2001, ApJ, 549, 522 [NASA ADS] [CrossRef] [Google Scholar]
  70. Wang, Y. M. 1995, ApJ, 449, L153 [NASA ADS] [Google Scholar]
  71. Wijers, R. A. M. J., & Pringle, J. E. 1999, MNRAS, 308, 207 [NASA ADS] [CrossRef] [Google Scholar]
  72. Yi, I., Wheeler, J. C., & Vishniac, E. T. 1997, ApJ, 481, L51 [NASA ADS] [CrossRef] [Google Scholar]

Footnotes

... wind[*]
In their simulations Romanova et al. (2009) did not consider a possible stellar wind.

Copyright ESO 2010

Current usage metrics show cumulative count of Article Views (full-text article views including HTML views, PDF and ePub downloads, according to the available data) and Abstracts Views on Vision4Press platform.

Data correspond to usage on the plateform after 2015. The current usage metrics is available 48-96 hours after online publication and is updated daily on week days.

Initial download of the metrics may take a while.