Free Access
Issue
A&A
Volume 518, July-August 2010
Herschel: the first science highlights
Article Number A10
Number of page(s) 8
Section Catalogs and data
DOI https://doi.org/10.1051/0004-6361/201014188
Published online 20 August 2010
A&A 518, A10 (2010)

A catalogue of quasars and active nuclei: 13th edition[*]

M.-P. Véron-Cetty - P. Véron

Observatoire de Haute Provence, CNRS, 04870 Saint-Michel l'Observatoire, France

Received 3 February 2010 / Accepted 29 March 2010

Abstract
Aims. This catalogue is aimed at presenting a compilation of all known AGN in a compact and convenient form, and we hope that it will be useful to all workers in this field.
Methods. Like the twelfth edition, it includes position and redshift, as well as photometry (U, B, V) and 6 cm and 20 cm flux densities, when available.
Results. The present version contains 133 336 quasars, 1 374 BL Lac objects, and 34 231 active galaxies (including 16 517 Seyfert 1s), almost doubling the number listed in the 12th edition. We also give a list of all known lensed and double quasars.

Key words: quasars: general - galaxies: Seyfert - BL Lacertae objects: general

1 Introduction

The first catalogue of quasars was published in 1971 by De Veny et al. It contained 202 objects. The number of known quasars has since steadily increased until the year 2000 (see Table 1). The release of both the 2dF catalogue (Croom et al. 2001, 2004) and the first four data releases (Abazajian et al. 2003, 2004, 2005; Adelman-McCarthy et al. 2006) of the ``Sloan Digital Sky Survey'' (Fan et al. 1999) has dramatically increased the number of known quasars justifying the 10th, 11th, and 12th editions of the present catalogue. The recent publication of the last three data releases (5th, 6th, and 7th) (Adelman-McCarthy et al. 2007, 2008; Abazajian et al. 2009) of the SDSS, which has again almost doubled the number of known quasars, made a new edition timely.

Table 1:   Increase with time of the number of known QSOs, BL Lacs, and Seyfert 1s.

This edition contains quasars with measured redshift known to us prior to July 1, 2009. As in the preceding editions, we do not give any information about absorption lines or X-ray properties. But we give the absolute magnitude for each object and, when available, the 20 and 6 cm flux densities. This catalogue should not be used for any statistical analysis as it is not complete in any sense, except that it is, we hope, a complete survey of the literature.

\begin{figure}
\par\includegraphics[width=18cm,clip]{aa14188-fig1.eps}
\end{figure} Figure 1:

Sample page of the catalogue.

Open with DEXTER

2 Description of the catalogue

We have arbitrarily defined a quasar as a starlike object or as an object with a starlike nucleus with broad emission lines that is brighter than absolute magnitude MB=-22.25[*] (we describe the cosmology used below). The quasars are listed in Table_QSO. A sample page is shown in Fig. 1. Clearly, some objects would move from Table_QSO to Table_AGN and vice versa if other values for H0, q0, and the spectral index were used or if an accurate B apparent magnitude was available for all objects. The variability may have a similar effect, as may the size of the diaphragm used for the measurement, because the contribution of the underlying galaxy for low-z quasars may not be negligible.

In Table_BL, we list all confirmed, probable, or possible BL Lac objects with or without a measured redshift, without consideration of their absolute magnitude. As better spectra are becoming available, broad emission lines have been detected in a number of objects formerly classified as BL Lac, and they were usually moved to Table_QSO.

Table_AGN lists ``active galaxies'': Seyfert 1s, Seyfert 2s, and Liners fainter than MB=-22.25. Several galaxies with a nuclear H II region are also included (167), the reason being that they were called AGN in the past and were later reclassified, so we consider it useful to keep track of these reclassifications to avoid further confusion.

Seyfert 1s have broad Balmer and other permitted lines, and Seyfert 2s have Balmer and forbidden lines of the same width. Osterbrock (1977, 1981) divided the Seyfert 1s into five subgroups: Seyfert 1.0, 1.2, 1.5, 1.8, and 1.9 on the basis of the appearance of the Balmer lines. Seyfert 1.0s are ``typical'' members of the class, as described by Khachikian & Weedman (1971, 1974), while Seyfert 1.5s are objects intermediate between typical Seyfert 1s and Seyfert 2s, with an easily apparent narrow H$\beta$ profile superimposed on broad wings. The classes Seyfert 1.2 and 1.8 are used to describe objects with relatively weaker and stronger narrow H$\beta$ components, intermediate between Seyfert 1.0 and 1.5 and Seyfert 1.5 and 2 respectively. In Seyfert 1.9, broad H$\beta$ cannot be detected with certainty by mere visual inspection of the spectra although the broad H$\alpha$ emission is clearly seen. We have adopted the more quantitative classification introduced by Winkler (1992):

S1.0    5.0  < R                      
S1.2 2.0 < R < 5.0  
S1.5 0.33 < R < 2.0  
S1.8     R < 0.33 broad component visible
      in H$\alpha$ and H$\beta$
S1.9     broad component visible
      in H$\alpha$ but not in H$\beta$
S2     no broad component visible
where R is the ratio of the total H$\beta$ to the [OIII]$\lambda$5007 fluxes. Several objects have been found to show extreme spectral variability, changing from Seyfert 1.8 or 1.9 to Seyfert 1.0. In some cases these changes are consistent with changes in the reddening towards the BLR, while in others they are probably caused by real changes in ionizing flux (Goodrich 1989a, 1995; Tran et al. 1992b). In some Seyfert 2s, a broad Pa$\beta$ line has been detected, indicating a highly reddened broad line region (Goodrich et al. 1994). We call these objects S1i. Several Seyfert 2s have the spectra of Seyfert 1s in polarized light (Antonucci & Miller 1985; Miller & Goodrich 1990; Tran et al. 1992a). We call them S1h. Typical full widths at half-maximum of the Balmer lines in Seyfert 1s lie in the range 2000-6000 km s-1; however, there is a group of active galactic nuclei with all the properties of Seyfert 1s, but with unusually narrow Balmer lines (Osterbrock & Pogge 1985; Goodrich 1989b). They are defined as having the broad component of the Balmer lines narrower than 2000 km s-1 FWHM (Osterbrock 1987) and we call them S1n. Liners (as defined by Heckman 1980) are called S3. If broad Balmer lines are observed, they are called S3b. If these broad Balmer lines are only seen in polarized light, they are called S3h.

When viewed through the absorbing dusty torus, Seyfert 1 galaxies and QSOs have the same optical appearance; however, they differ by their hard X-ray luminosity. It has become customary to call type 2 QSOs (or Q2s) the high luminosity narrow line objects rather than Seyfert 2. Treister et al. (2005) call QSO2s narrow line objects with $L_{0.5{-}10~{\rm keV}}>10^{42}$ erg s-1 (H0=70 km s-1 Mpc-1) or >1042.3 erg s-1 if H0=50 km s-1 Mpc-1, while Derry et al. (2003) have more conservatively defined QSO2s as having an intrinsic, hard (2-10 keV) X-ray luminosity higher than 1044.3 erg s-1(for H0=50 km s-1 Mpc-1).

In Table_AGN, 9 887 objects have no classification. Most of them were originally classified as QSOs but turned out to be fainter than MB=-22.25 and were therefore moved to this table. They should be called S1s. Table_reject lists the objects that once were believed to be AGN and are now known to be either stars or normal galaxies.

Table_QSO contains 133 336 objects, Table_BL, 1 374, Table_AGN, 34 231, and Table_reject, 178. The catalogue is believed to contain all known quasars, BL Lac objects, and Seyfert 1s. It should also contain all objects that have been unambiguously classified as Seyfert 2s, but the distinction between Seyfert 2s, Liners, starburst galaxies, and objects with composite spectra is sometimes difficult, and so some of these objects may have been omitted.

Description of Table_QSO, Table_BL and Table_AGN:

1) Columns 1 and 2 give the most common name of the object. For the meaning and the sources of the designations see Hewitt & Burbidge (1987), Fernandez et al. (1983), and Kesteven & Bridle (1977). For the sources discovered by the ROSAT X-ray satellite, we used the following acronyms: RXS for the sources appearing in the All-Sky Bright Source Catalogue (Voges et al. 1999), 1WGA for the sources published in the WGACAT catalogue (White et al. 1994), and RX for the others. When the name is preceded by an *, the object has not been explicitly associated with a radio source.

2) Columns 3 to 10 give the best available J2000 optical or radio coordinates. The J2000 positions have been converted from the B1950 positions using the matrix given by Aoki et al. (1983). An O or an R following the coordinates means that the position is either an optical or a radio position measured with an accuracy better than one arcsec. An A means that it is only an approximate position that may be wrong by several arc minutes. No reference is given for the source of the positions.

3) Colums 11 to 14 give the 6 and 20 cm flux densities (in Jy) with references to the literature. When several measurements are available, we took one of them arbitrarily. When a reference is given for the 6 cm flux density but the value of the flux density itself is left blank and there is an * in Col. 1, only an upper limit is available, and this upper limit is not much greater than 1 mJy. When there is no * in Col. 1, the reference refers to a detection but at a wavelength other than 6 cm.

The 20 cm flux densities were taken mainly from the NRAO VLA Sky Survey (NVSS) (Condon et al. 1998) and the FIRST survey (Becker et al. 1995; White et al. 1997). The NVSS covers the sky north of $\delta$(J2000.0) =  $-40^{\circ}$. It contains 1 814 748 discrete sources stronger than $S\sim 2.5$ mJy. The resolution was 45 $\hbox{$^{\prime\prime}$ }$ FWHM. The rms uncertainties in $\alpha$ and $\delta$ vary from $\le$1 $\hbox{$^{\prime\prime}$ }$ for the sources stronger than 15 mJy to 7 $\hbox{$^{\prime\prime}$ }$ at the survey limit. The FIRST survey was carried out with the VLA. It covers an area of 9033 deg2 to a sensitivity limit of $\sim$1 mJy. It contains 811 118 sources. Source positions are good to better than 1 $\hbox{$^{\prime\prime}$ }$. The beam size was 5 $\hbox{$.\!\!^{\prime\prime}$ }$4.

4) Columns 15 and 16 give the redshift as published. An * in front of the redshift means that it has been estimated from a low dispersion slitless spectrum and is less accurate or even plainly wrong, since the emission lines may have been misidentified easily. We have given only those values described as probable in the original sources and not the possible values.

5) In Col. 17 an attempt has been made to classify the objects as Q, Q2, Q?, S1, S1.0, S1.2, S1.5, S1.8, S1.9, S1i, S1h, S1n, S2, S3, S3b, S3h, S, S?, or H2. Q is for quasars, while Q? indicates an object that has been classified as a quasar in one of the SDSS data release but whose nature appears quite uncertain upon visual inspection of the SDSS spectrum. Low-redshift quasars are classified as S1 when a good spectrum shows that they are similar to Seyfert 1 galaxies.

In Table_BL, we find in this column:

BL        for a confirmed BL Lac object.
BL? for a probable BL Lac
blank for a possible BL Lac.
? for a questionable BL Lac
HP for a highly polarized object.

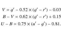
6) Columns 18 to 21 show the V, B-V and U-B photoelectric or photographic magnitude and colours when available (an * in front of the magnitude indicates that the colours and the magnitude are photographic). The column labelled ``V'' gives the V magnitude when B-V is also given; if this is not the case, this column usually gives the B magnitude unless it is preceded by a V, an R, or an I, indicating a visible, a red, or an infrared magnitude, respectively. For a few objects, the O magnitude, measured on the blue Palomar Sky Survey plates or the UK Science Research Council SRC-J Survey plates, believed to be accurate within $\pm$0.2 mag., has been extracted from the APS database (Pennington et al. 1993). For some other objects, we give the O magnitude, extracted from the USNO-A2 catalogue (Monet et al. 1996) or the Cambridge Automated Plate Measuring Machine (APM) catalogue (Irwin et al. 1994), recalibrated by E. Flesch (private communication), and these magnitudes are flagged with an O. The O and Johnson B magnitudes are related by $B-O=-(0.27\pm0.06)\times(B-V)$ (Evans 1989).

For the SDSS objects we give V, B-V, and U-B computed from u', g', and r' by the following equations[*] (Jester et al. 2005):

\begin{eqnarray*}V=g'-0.52\times(g'-r')-0.03
\\
B-V=0.62\times(g'-r')+0.15
\\
U-B=0.75\times(u'-g')-0.81.
\end{eqnarray*}


In the other cases, the magnitude given is an estimate as found in the original publications. These magnitudes are generally quite inaccurate and inhomogeneous; they are most often $m_{\rm pg}$ or B magnitudes instead of the Johnson V magnitude. Much care should be taken when using them for any purpose. Even when a photoelectric V magnitude is given, it is not very meaningful since most quasars are variable. On the other hand, the colours of quasars vary little, so the listed colours should be accurate[*]. Again, it should be noted that some of the listed colours are photographic, hence less accurate; moreover, in each catalogue of photoelectric measurements, the faintest objects measured are affected by relatively large errors. This too should not be overlooked. For bright galaxies in Table_AGN, when photoelectric UBV photometry is available, we chose the magnitudes and colours measured in the smallest possible diaphragm (preferentially 16 arcsec), as we are interested in the nucleus rather than in the galaxy itself.

\begin{figure}
\par\includegraphics[width=16.5cm,clip]{aa14188-fig2.eps}
\end{figure} Figure 2:

Plot of B-V and U-B vs. z for 104 328 QSOs, most of them from the SDSS catalogue.

Open with DEXTER

Figure 2 is a plot of B-V and U-B vs. z for 104 328 QSOs, most of them from the SDSS catalogue. There is a good correlation between these quantities. However there are a number of discrepant points, many of which due to errors in the SDSS redshift or photometry. For example, the small cluster of points near z=3.3 and U-B=-0.5 comes from the misidentification of Mg II $\lambda$2800 for Ly$\alpha$.

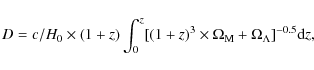
7) Column 22. To compute the absolute magnitudes MB, we used a flat cosmology with H0=71 km s-1 Mpc-1, $\Omega_{\rm M}=0.29$ and $\Omega_{\Lambda}=0.71$ (see for instance Perlmutter et al. 1999; or Riess et al. 2004), assuming an optical spectral index $\alpha$ (defined as $S\propto \nu^{-\alpha}$) equal to 0.3 (Francis et al. 1991)[*], as:

\begin{displaymath}M_{B} =B + 5 - 5\times \log {D} - k + \Delta m(z),
\end{displaymath}

where D is the luminosity distance as defined by Riess et al. (2004):

\begin{displaymath}D=c/H_{0}\times(1+z) \int_{0}^{z}[(1+z)^{3}\times \Omega_{\rm M} + \Omega_{\Lambda}]^{-0.5} {\rm d}z,
\end{displaymath}

z is the redshift, $k=-2.5\times \log(1+z)^{1-\alpha}$ the k correction, $\Delta m(z)$ is a correction to k considering that the spectrum of quasars is not strictly a power law of the form $S\propto \nu^{-\alpha}$, but is affected by emission lines and by the Ly $\alpha$ forest depleting the continuum to the blue of Ly $\alpha$ (see Table 2 for the values of $\Delta m(z)$ for z<5.0. For higher values of z, we arbitrarily used $\Delta m(z)=3.60$). These corrections were computed in a similar way to Wisotzky (2000) using the mean emission line strengths available at the time (1986). These values are in reasonable agreement with those of this last author who gives these corrections for z<2.2.

Table 2:   Values of $\Delta m(z)$ vs. z used for z=0.0 to 5.0.

The O, V, R, and I magnitudes were transformed into the B system by using $\langle B-O\rangle =-0.11$, $\langle B-V\rangle =0.40$, $\langle B-R\rangle =0.57$, and $\langle B-I\rangle =1.1$, respectively for low z QSOs.

8) The next three columns (23 to 25) give the reference for the finding chart, the photometry, and the redshift, respectively. In many cases, the last reference in Table_AGN is that of the classification of the object (as a Seyfert or otherwise); in these cases, the redshift can usually be found in Palumbo et al. (1983).

9) The B1950 position (Cols. 26 to 32).

Since the discovery in 1979 by Walsh et al. of the first gravitationally lensed quasar, Q 0957+561, many such objects (88) and physical pairs with separation less than 10'' (47) have been found. They are listed in Tables 3 and 4, respectively. Mortlock et al. (1999) stress the difficulty sometimes encountered in distinguishing lensed quasars from physical pairs.

Table 3:   Gravitationally lensed quasars.

Table 4:   Quasar pairs (for the references in Col. 5, see Table 2).

3 The large quasar astrometric catalogue (LQAC)

Souchay et al. (2009) have recently published a catalogue of 113 666 ``quasars'' by compiling a number of published optical and radio catalogues. As a result this is not, stricktly speaking, a quasar catalogue because several of the included objects (2921) have no optical identification or measured redshift. The optical catalogues used are the first five data releases of the SDSS catalogue (Adelman-McCarthy et al. 2007) and the 2dF (Croom et al. 2004) and two compilations: HB (Hewitt & Burbidge 1993) and VV06 (Véron-Cetty & Véron 2006). The VV06 catalogue includes all HB quasars with, however, for many objects a more accurate optical position than those quoted in the much older HB. We cross-correlated two subsamples of the LQAC catalogue, one containing the objects included in HB, the other one those not appearing in this catalogue, looking for pairs separated by less than 300 $^{\prime\prime}$. We found 1 011 such pairs with a redshift difference over 0.05, and 533 with a redshift difference smaller than or equal to this value. The plot of the $\Delta\alpha$, $\Delta\delta$ values for the 1011 pairs shows an almost uniform distribution, suggesting that these pairs are mostly made of two distinct objects. On the other hand, a similar plot for the 533 pairs having nearly the same redshift shows a strong concentration toward the centre of the plot, indicating that most of them are in fact duplications of the same object at two different positions.

Acknowledgements
This research has made use of the APS catalogue of POSS I database which is supported by the National Science Foundation, the National Aeronautics and Space Administration, and the University of Minnesota. We are very grateful to E. Flesch and F. Ochsenbein for checking and improving the catalogue.

References

  1. Abazajian, K., Adelman-McCarthy, J. K., Agüeros, M. A., et al. 2003, AJ, 126, 2081 [Google Scholar]
  2. Abazajian, K., Adelman-McCarthy, J. K., Agüeros, M. A., et al. 2004, AJ, 128, 502 [Google Scholar]
  3. Abazajian, K., Adelman-McCarthy, J. K., Agüeros, M. A., et al. 2005, AJ, 129, 1755 [Google Scholar]
  4. Abazajian, K., Adelman-McCarthy, J. K., Agüeros, M. A., et al. 2009, ApJS, 182, 543 [NASA ADS] [CrossRef] [Google Scholar]
  5. Adelman-McCarthy, J. K., Agüeros, M. A., Allam, S. S., et al. 2006, ApJS, 162, 38 [NASA ADS] [CrossRef] [Google Scholar]
  6. Adelman-McCarthy, J. K., Agüeros, M. A., Allam, S. S., et al. 2007, ApJS, 172, 634 [NASA ADS] [CrossRef] [Google Scholar]
  7. Adelman-McCarthy, J. K., Agüeros, M. A., Allam, S. S., et al. 2008, ApJS, 175, 297 [NASA ADS] [CrossRef] [Google Scholar]
  8. Antonucci, R. R. J., & Miller, J. S. 1985, ApJ, 297, 621 [NASA ADS] [CrossRef] [Google Scholar]
  9. Aoki, S., Sôma, M., Kinoshita, H., & Inoue, K. 1983, A&A, 128, 263 [NASA ADS] [Google Scholar]
  10. Becker, R. H., White, R. L., & Helphand, D. J. 1995, ApJ, 450, 559 [NASA ADS] [CrossRef] [Google Scholar]
  11. Blackburne, J. A., Wisotzki, L., & Schechter, P. L. 2008, AJ, 135, 374 [NASA ADS] [CrossRef] [Google Scholar]
  12. Condon, J. J., Cotton, W. D., Greisen, E. W., et al. 1998, AJ, 115, 1693 [NASA ADS] [CrossRef] [Google Scholar]
  13. Croom, S. M., Smith, R. J., Boyle, B. J., et al. 2001, MNRAS, 322, L29 [NASA ADS] [CrossRef] [Google Scholar]
  14. Croom, S. M., Smith, R. J., Boyle, B. J., et al. 2004, MNRAS, 349, 1397 [NASA ADS] [CrossRef] [Google Scholar]
  15. Crotts, A. P. S., Bechtold, J., Fang, Y., & Duncan, R. C. 1994, ApJ, 437, L79 [NASA ADS] [CrossRef] [Google Scholar]
  16. De Veny, J. B., Osborn, W. H., & Janes, K. 1971, PASP, 83, 611 [NASA ADS] [CrossRef] [Google Scholar]
  17. Derry, P. M., O'Brien, P. T., Reeves, J. N., et al. 2003, MNRAS, 342, L53 [NASA ADS] [CrossRef] [Google Scholar]
  18. Eigenbrod, A., Courbin, F., Dye, S., et al. 2006, A&A, 451, 747 [NASA ADS] [CrossRef] [EDP Sciences] [Google Scholar]
  19. Ellison, S. L., Hennawi, J. F., Martin, C. L., & Sommer-Larsen, J. 2007, MNRAS, 378, 801 [NASA ADS] [CrossRef] [Google Scholar]
  20. Evans, D. W. 1989, A&AS, 78, 249 [Google Scholar]
  21. Fan, X., Strauss, M. A., Schneider, D. P., et al. 1999, AJ, 118, 1 [NASA ADS] [CrossRef] [Google Scholar]
  22. Faure, C., Alloin, D., Gras, S., et al. 2003, A&A, 405, 415 [NASA ADS] [CrossRef] [EDP Sciences] [Google Scholar]
  23. Faure, C., Anguita, T., Eigenbrod, A., et al. 2009, A&A, 496, 361 [NASA ADS] [CrossRef] [EDP Sciences] [Google Scholar]
  24. Fernandez, A., Lortet, M.-C., & Spite, F. 1983, A&AS, 52, 4 [Google Scholar]
  25. Francis, P. J., Hewett, P. C., Foltz, C. B., et al. 1991, ApJ, 373, 465 [NASA ADS] [CrossRef] [Google Scholar]
  26. Garrett, M. A., Walsh, D., & Carswell, R. F. 1992, MNRAS, 254, P27 [NASA ADS] [CrossRef] [Google Scholar]
  27. Goodrich, R. W. 1989a, ApJ, 340, 190 [NASA ADS] [CrossRef] [Google Scholar]
  28. Goodrich, R. W. 1989b, ApJ, 342, 224 [NASA ADS] [CrossRef] [Google Scholar]
  29. Goodrich, R. W. 1995, ApJ, 440, 141 [NASA ADS] [CrossRef] [Google Scholar]
  30. Goodrich, R. W., Veilleux, S., & Hill, G. J. 1994, ApJ, 422, 521 [NASA ADS] [CrossRef] [Google Scholar]
  31. Green, P. J., Kochanek, C., Sieginowska, A., et al. 2002, ApJ, 571, 721 [NASA ADS] [CrossRef] [Google Scholar]
  32. Grundahl, F., & Hjorth, J. 1995, MNRAS, 275, L67 [NASA ADS] [CrossRef] [Google Scholar]
  33. Hall, P. B., Richards, G. T., York, D. G., et al. 2002, ApJ, 575, L51 [NASA ADS] [CrossRef] [Google Scholar]
  34. Heckman, T. M. 1980, A&A, 87, 152 [NASA ADS] [Google Scholar]
  35. Hewett, P. C., Webster, R. L., Harding, M. E., et al. 1989, ApJ, 326, L61 [NASA ADS] [CrossRef] [Google Scholar]
  36. Hewitt, A., & Burbidge, G. 1987, ApJS, 63, 1 [NASA ADS] [CrossRef] [Google Scholar]
  37. Hewitt, A., & Burbidge, G. 1993, ApJS, 87, 451 [NASA ADS] [CrossRef] [Google Scholar]
  38. Inada, N., Oguri, M., Falco, E. E., et al. 2008, PASJ, 60, L27 [NASA ADS] [Google Scholar]
  39. Inada, N., Oguri, M., Shin, M.-S., et al. 2009, AJ, 137, 4118 [NASA ADS] [CrossRef] [Google Scholar]
  40. Irwin, M., Maddox, S., & McMahon, R. 1994, Spectrum, 2, 14 [NASA ADS] [Google Scholar]
  41. Jackson, N., Ofek, E. O., & Oguri, M. 2008, MNRAS, 387, 741 [NASA ADS] [CrossRef] [Google Scholar]
  42. Jackson, N., Ofek, E. O., & Oguri, M. 2009, MNRAS, 398, 1423 [NASA ADS] [CrossRef] [Google Scholar]
  43. Jester, S., Schneider, D. P., Richards, G. I., et al. 2005, AJ, 430, 873 [NASA ADS] [CrossRef] [Google Scholar]
  44. Kayo, I., Inada, N., Oguri, M., et al. 2007, AJ, 134, 1515 [NASA ADS] [CrossRef] [Google Scholar]
  45. Kesteven, M. J. L., & Bridle, A. H. 1977, J. Roy. Astron. Soc. Canada, 71, 21 [NASA ADS] [Google Scholar]
  46. Khachikian, E. E., & Weedman, D. W. 1971, Astrophysics, 7, 231 [NASA ADS] [CrossRef] [Google Scholar]
  47. Khachikian, E. E., & Weedman, D. W. 1974, ApJ, 192, 581 [NASA ADS] [CrossRef] [Google Scholar]
  48. Ledoux, C., Theodore, B., Petitjean, P., et al. 1998, A&A, 339, L77 [NASA ADS] [Google Scholar]
  49. Lidman, C., Courbin, F., Kneib, J.-P., et al. 2000, A&A, 364, L62 [NASA ADS] [Google Scholar]
  50. Lovell, J. E. J., Jauncey, D. L., Reynolds, J. E., et al. 1998, ApJ, 508, L51 [Google Scholar]
  51. Lubin, L. M., Fassnacht, C. D., Reahead, A. C. S., Blandford, R. D., & Kundic, T. 2000, AJ, 119, 451 [NASA ADS] [CrossRef] [Google Scholar]
  52. McMahon, R., Irwin, M., & Hazard, C. 1992, Gemini, 36, 1 [NASA ADS] [Google Scholar]
  53. Magain, P., Surdej, J., Swings, J.-P., Borgeest, U., & Kayser, R. 1988, Nature, 334, 325 [NASA ADS] [CrossRef] [Google Scholar]
  54. Magain, P., Surdej, J., Vanderriest, C., Pirenne, B., & Hutsemekers, D. 1992, A&A, 253, L13 [NASA ADS] [Google Scholar]
  55. Meylan, G., & Djorgovski, S. 1989, ApJ, 338, L1 [NASA ADS] [CrossRef] [Google Scholar]
  56. Meylan, G., Djorgovski, S., Weir, N., & Shaver, P. 1990, The Messenger, 59, 47 [NASA ADS] [Google Scholar]
  57. Miller, J. S., & Goodrich, R. W. 1990, ApJ, 355, 456 [NASA ADS] [CrossRef] [Google Scholar]
  58. Monet, D., Bird, A., Canzian, B., et al. 1996, USNO-A2.0, US Naval Observatory, Washington D. C. [Google Scholar]
  59. Mortlock, D. J., Webster, R. L., & Francis, P. J. 1999, MNRAS, 309, 836 [NASA ADS] [CrossRef] [Google Scholar]
  60. Myers, A. D., Richards, G. T., Brunner, R. J., et al. 2008, ApJ, 678, 635 [NASA ADS] [CrossRef] [Google Scholar]
  61. Ofek, E. O., Maoz, D., Rix, H.-W., Kochanek, C. S., & Falco, E. E. 2006, ApJ, 641, 70 [Google Scholar]
  62. Ofek, E. A., Oguri, M., Jackson, N., Inada, N., & Kayo, I. 2007, MNRAS, 382, 412 [NASA ADS] [CrossRef] [Google Scholar]
  63. Oguri, M., Inada, N., Castander, F. J., et al. 2004, PASJ, 56, 399 [NASA ADS] [Google Scholar]
  64. Oguri, M., Inada, N., Clocchiatti, A., et al. 2008, AJ, 135, 520 [NASA ADS] [CrossRef] [Google Scholar]
  65. Osterbrock, D. E. 1977, ApJ, 215, 733 [NASA ADS] [CrossRef] [Google Scholar]
  66. Osterbrock, D. E. 1981, ApJ, 249, 462 [NASA ADS] [CrossRef] [Google Scholar]
  67. Osterbrock, D. E. 1987, Lecture Notes in Physics, 307, 1 [Google Scholar]
  68. Osterbrock, D. E., & Pogge, R. W. 1985, ApJ, 297, 166 [NASA ADS] [CrossRef] [Google Scholar]
  69. Palumbo, C. G. C., Tanzella-Nitti, G., & Vettolani, G. 1983, Catalogue of radial velocities of galaxies (Gordon & Breach) [Google Scholar]
  70. Pelló, R., Miralles, J. M., Le Borgne, J.-F., et al. 1996, A&A, 314, 73 [NASA ADS] [Google Scholar]
  71. Pennington, R. L., Humphreys, R. M., Odewahn, S. C., Zumach, W., & Thurmes, P. M. 1993, PASP, 105, 521 [NASA ADS] [CrossRef] [Google Scholar]
  72. Perlmutter, S., Aldering, G., Knop, R. A., et al. 1999, ApJ, 517, 565 [NASA ADS] [CrossRef] [Google Scholar]
  73. Riess, A. G., Strolger, L.-G., Tonry, J., et al. 2004, ApJ, 607, 665 [NASA ADS] [CrossRef] [Google Scholar]
  74. Serjeant, S., Lacy, M., Rawlings, S., King, L. J., & Clements, D. L. 1995, MNRAS, 276, L31 [NASA ADS] [Google Scholar]
  75. Sluse, D., Courbin, F., Eigenbrod, A., & Meylan, G. 2008, A&A, 492, L39 [NASA ADS] [CrossRef] [EDP Sciences] [Google Scholar]
  76. Souchay, J., Andrei, A. H., Barache, C., et al. 2009, A&A, 494, 799 [NASA ADS] [CrossRef] [EDP Sciences] [Google Scholar]
  77. Surdej, J., Swings, J.-P., Magain, P., Courvoisier, T. J.-L., & Borgeest, U. 1987, Nature, 329, 695 [Google Scholar]
  78. Tonry, J. L. 1998, AJ, 115, 1 [NASA ADS] [CrossRef] [Google Scholar]
  79. Tran, H. D., Miller, J. S., & Kay, L. E. 1992a, ApJ, 397, 452 [NASA ADS] [CrossRef] [Google Scholar]
  80. Tran, H. D., Osterbrock, D. E., & Martel, A. 1992b, AJ, 104, 2072 [NASA ADS] [CrossRef] [Google Scholar]
  81. Treister, E., Castander, F. J., Maccarone, T. J., et al. 2005, ApJ, 621, 104 [NASA ADS] [CrossRef] [Google Scholar]
  82. Véron-Cetty, M.-P., & Véron, P. 1984, ESO Scientific Report, No. 1 [Google Scholar]
  83. Véron-Cetty, M.-P., & Véron, P. 1985, ESO Scientific Report, No. 4 [Google Scholar]
  84. Véron-Cetty, M.-P., & Véron, P. 1987, ESO Scientific Report, No. 5 [Google Scholar]
  85. Véron-Cetty, M.-P., & Véron, P. 1989, ESO Scientific Report, No. 7 [Google Scholar]
  86. Véron-Cetty, M.-P., & Véron, P. 1991, ESO Scientific Report, No. 10 [Google Scholar]
  87. Véron-Cetty, M.-P., & Véron, P. 1993, ESO Scientific Report, No. 13 [Google Scholar]
  88. Véron-Cetty, M.-P., & Véron, P. 1996, ESO Scientific Report, No. 17 [Google Scholar]
  89. Véron-Cetty, M.-P., & Véron, P. 1998, ESO Scientific Report, No. 18 [Google Scholar]
  90. Véron-Cetty, M.-P., & Véron, P. 2000, ESO Scientific Report, No. 19 [Google Scholar]
  91. Véron-Cetty, M.-P., & Véron, P. 2001, A&A, 374, 92 [NASA ADS] [CrossRef] [EDP Sciences] [Google Scholar]
  92. Véron-Cetty, M.-P., & Véron, P. 2003, A&A, 412, 399 [NASA ADS] [CrossRef] [EDP Sciences] [Google Scholar]
  93. Véron-Cetty, M.-P., & Véron, P. 2006, A&A, 455, 773 [NASA ADS] [CrossRef] [EDP Sciences] [Google Scholar]
  94. Voges, W., Aschenbach, B., Boller, T., et al. 1999, A&A, 349, 389 [NASA ADS] [Google Scholar]
  95. Walsh, D., Carswell, R. F., & Weymann, R. J. 1979, Nature, 279, 381 [NASA ADS] [CrossRef] [PubMed] [Google Scholar]
  96. White, N. E., Giommi, P., & Angelini, L. 1994, IAU Circ., 6100 [Google Scholar]
  97. White, R. L., Becker, R. H., Helphand, D. J., & Gregg, M. 1997, ApJ, 475, 479 [NASA ADS] [CrossRef] [Google Scholar]
  98. Winkler, H. 1992, MNRAS, 257, 677 [NASA ADS] [Google Scholar]
  99. Winn, J. N., Lovell, J. E. J., Chen, H.-W., et al. 2002a, ApJ, 564, 143 [Google Scholar]
  100. Wisotzki, L. 2000, A&A, 353, 861 [NASA ADS] [Google Scholar]

Footnotes

... edition[*]
The catalogue (Table_QSO, Table_BL, Table_AGN and Table_reject) and the list of references are only available in electronic form at the CDS via anonymous ftp to cdsarc.u-strasbg.fr (130.79.128.5) or via http://cdsweb.u-strasbg.fr/cgi-bin/qcat?J/A+A/518/A10 or at the Observatoire de Haute Provence (http://www.obs-hp.fr/catalogues/veron2_13/veron2_13.html).
...=-22.25[*]
We use MB=-22.25 instead of -23.0as in the previous editions of this catalogue to take the change in the value of H0 used into account: 71 vs. 50 km s-1 Mpc-1.
... equations[*]
These relationships were derived for QSOs with z<2.1. For higher redshift objects, the uncertainties on the computed colours are expected to be larger.
... accurate[*]
Indeed this is only true if the measurements in the various colours are simultaneous or quasi simultaneous, but this is almost always the case.
...1991)[*]
Assuming $\alpha=0.3$ may not give the best possible estimate of the k correction (Wisotzki 2000).

All Tables

Table 1:   Increase with time of the number of known QSOs, BL Lacs, and Seyfert 1s.

Table 2:   Values of $\Delta m(z)$ vs. z used for z=0.0 to 5.0.

Table 3:   Gravitationally lensed quasars.

Table 4:   Quasar pairs (for the references in Col. 5, see Table 2).

All Figures

  \begin{figure}
\par\includegraphics[width=18cm,clip]{aa14188-fig1.eps}
\end{figure} Figure 1:

Sample page of the catalogue.

Open with DEXTER
In the text

  \begin{figure}
\par\includegraphics[width=16.5cm,clip]{aa14188-fig2.eps}
\end{figure} Figure 2:

Plot of B-V and U-B vs. z for 104 328 QSOs, most of them from the SDSS catalogue.

Open with DEXTER
In the text


Copyright ESO 2010

Current usage metrics show cumulative count of Article Views (full-text article views including HTML views, PDF and ePub downloads, according to the available data) and Abstracts Views on Vision4Press platform.

Data correspond to usage on the plateform after 2015. The current usage metrics is available 48-96 hours after online publication and is updated daily on week days.

Initial download of the metrics may take a while.