Highlight
Free Access
Issue
A&A
Volume 518, July-August 2010
Herschel: the first science highlights
Article Number A45
Number of page(s) 10
Section Interstellar and circumstellar matter
DOI https://doi.org/10.1051/0004-6361/201014510
Published online 01 September 2010
A&A 518, A45 (2010)

The CO luminosity and CO-H$_{\sf 2}$ conversion factor of diffuse ISM: does CO emission trace dense molecular gas?[*]

H. S. Liszt1 - J. Pety2,3 - R. Lucas4

1 - National Radio Astronomy Observatory, 520 Edgemont Road, VA 22903-2475 Charlottesville, USA
2 - Institut de Radioastronomie Millimétrique, 300 rue de la Piscine, 38406 Saint Martin d'Hères, France
3 - Obs. de Paris, 61 av. de l'Observatoire, 75014 Paris, France
4 - Al-MA, Avda. Apoquindo 3846 Piso 19, Edificio Alsacia, Las Condes, Santiago, Chile

Received 26 March 2010 / Accepted 8 May 2010

Abstract
Aims. We wish to separate and quantify the CO luminosity and CO- \ensuremath{{\rm H_2}} conversion factor applicable to diffuse but partially-molecular ISM when \ensuremath{{\rm H_2}} and CO are present but C+ is the dominant form of gas-phase carbon.
Methods. We discuss galactic lines of sight observed in \ensuremath{{\rm H\mathsc{i}}}, \ensuremath {{\rm HCO^+}}and CO where CO emission is present but the intervening clouds are diffuse (locally $A_{\rm V}$ $\la 1$mag) with relatively small CO column densities $\ensuremath{N_{\rm CO}}\la 2\times10^{16}~{\rm cm}^{-2}$. We separate the atomic and molecular fractions statistically using EB-V as a gauge of the total gas column density and compare \ensuremath{N_{\rm H_2}} to the observed CO brightness.
Results. Although there are \ensuremath{{\rm H_2}}-bearing regions where CO emission is too faint to be detected, the mean ratio of integrated CO brightness to \ensuremath{N_{\rm H_2}} for diffuse ISM does not differ from the usual value of 1 \ensuremath{{\rm ~K~km~s^{-1}}} of integrated CO brightness per $2\times10^{20}$ \ensuremath{{\rm H_2}} $~{\rm cm}^{-2}$. Moreover, the luminosity of diffuse CO viewed perpendicular to the galactic plane is 2/3 that seen at the Solar galactic radius in surveys of CO emission near the galactic plane.
Conclusions. Commonality of the CO- \ensuremath{{\rm H_2}} conversion factors in diffuse and dark clouds can be understood from considerations of radiative transfer and CO chemistry. There is unavoidable confusion between CO emission from diffuse and dark gas and misattribution of CO emission from diffuse to dark or giant molecular clouds. The character of the ISM is different from what has been believed if CO and \ensuremath{{\rm H_2}} that have been attributed to molecular clouds on the verge of star formation are actually in more tenuous, gravitationally-unbound diffuse gas.

Key words: ISM: molecules - ISM: clouds

1 Introduction

It is a truism that sky maps of CO emission are understood as uniquely tracing the Galaxy's molecular clouds, dense, cold strongly-shielded regions where the hydrogen is predominantly molecular and the dominant form of gas phase carbon is CO. Moreover, CO emission plays an especially important role in ISM studies as the tracer of cold molecular hydrogen through the use of the so-called CO- \ensuremath{{\rm H_2}} conversion factor which directly scales the integrated \ensuremath {{\rm ^{12}CO}} J=1-0 brightness \ensuremath{{W}_\ensuremath{{\rm CO}}} to \ensuremath{{\rm H_2}} column density \ensuremath{N_{\rm H_2}}. This deceptively simple conversion is critically important to determining molecular and total gas column densities and so to understanding the most basic properties of star formation (Bothwell et al. 2009; Bigiel et al. 2008; Leroy et al. 2008), the origins of galactic dust emission (Draine et al. 2007), and other such fundamentals.

Yet, it is increasingly recognized that CO emission is present along lines of sight lacking high extinction or large molecular column densities (Liszt & Lucas 1998). It is also the case that some very opaque lines of sight showing CO emission are comprised entirely of diffuse material and \ensuremath{{\rm H_2}}-bearing diffuse clouds (McCall et al. 2002): a discussion of such a line of sight from our own work is described in Appendix A here. Even in canonical dark clouds like Taurus, detailed high-resolution mapping of the CO emission (Goldsmith et al. 2008) reveals that much of it originates in relatively weakly-shielded gas where \ensuremath {{\rm ^{13}CO}} is strongly enhanced through isotopic fractionation, implying that the dominant form of gas phase carbon must be C+ (Watson et al. 1976).

\begin{figure}
\par\includegraphics[height=8cm,clip]{14510f1.eps} \vspace*{-2.5mm}
\end{figure} Figure 1:

Atomic and molecular absorption and emission vs. total reddening. Left: Integrated VLA \ensuremath{{\rm H\mathsc{i}}} optical depth from Dickey et al. (1983) and this work. Middle: integrated PdBI \ensuremath {{\rm HCO^+}} optical depth from Lucas & Liszt (1996) and this work. Right: integrated ARO12m CO J=1-0 brightness at 1$^\prime $ resolution. In each case the horizontal axis is the total line of sight reddening EB-V (Schlegel et al. 1998). For explanation of the symbols used in the plots, see Sect. 3.

Open with DEXTER

Conversely, it is also the case that molecular gas is detected in the local ISM even when CO emission is not. Lines of sight with $\ensuremath{N_{\rm CO}}\ga 10^{12}
~{\rm cm}^{-2}$, $\ensuremath{N_{\rm H_2}}\ga 10^{19} ~{\rm cm}^{-2}$have long been detectable in surveys of uv absorption (Sheffer et al. 2008; Burgh et al. 2007; Sonnentrucker et al. 2007; Sheffer et al. 2007), with expected integrated CO brightnesses as low as $\ensuremath{{W}_\ensuremath{{\rm CO}}} = 0.001\ensuremath{{\rm ~K~km~s^{-1}}} $ (Liszt 2007b). And, as discussed here, mm-wave \ensuremath {{\rm HCO^+}} and CO absorption from clouds with $\ensuremath{N_{\rm H_2}}\ga
10^{20}~~{\rm cm}^{-2}$ are also more common than CO emission along the same lines of sight (see Liszt & Lucas 2000; Lucas & Liszt 1996, and Appendix A).

Thus we are led to ask two questions that are of particular importance to the use of CO emission as a molecular gas tracer. First, where and how does the observed local CO luminosity really originate? Second, how completely is the molecular material represented by CO emission? The approach we take to address these issues is based on radiofrequency surveys of \ensuremath{{\rm H\mathsc{i}}}, \ensuremath {{\rm HCO^+}}and CO absorption and emission along lines of sight through the Galaxy toward extragalactic background sources. By combining 1) measurements of extinction (constraining the total gas column density); 2) measurements of \ensuremath{{\rm H\mathsc{i}}} absorption (to determine the gas column of atomic hydrogen); 3) the strength of \ensuremath {{\rm HCO^+}} absorption (tracing \ensuremath{{\rm H_2}} directly) and 4) the integrated CO J=1-0 brightness \ensuremath{{W}_\ensuremath{{\rm CO}}}, we relate \ensuremath{{W}_\ensuremath{{\rm CO}}} to \ensuremath{N_{\rm H_2}} along sightlines where we have previously shown that the intervening gas is diffuse, neither dark nor dense, and the CO column densities are relatively small. The results are somewhat surprising: although there is much variability, the mean CO brightness per \ensuremath{{\rm H_2}}-molecule \ensuremath{{W}_\ensuremath{{\rm CO}}}/ \ensuremath{N_{\rm H_2}}, i.e. the CO- \ensuremath{{\rm H_2}} conversion factor, does not differ between diffuse and fully molecular clouds. Although this was phenomenologically inferred long ago, the physical basis for it is now better understood in terms of the radiative transfer and chemistry of \ensuremath{{\rm H_2}}- and CO-bearing diffuse and dark gas.

The plan of the present work is as follows. Section 2 describes the observational material that is used here, some of which is new. Section 3 derives the CO- \ensuremath{{\rm H_2}} conversion factor in diffuse gas. Section 4 discusses the fraction of the local galactic CO luminosity (viewed perpendicular to the galactic plane) that can be attributed to diffuse gas. Section 5 discusses the physical processes at play to set the ratio of CO brightness to \ensuremath{{\rm H_2}} column density and explains why the same value may apply to dark and diffuse gas. Section 6 discusses which molecular emission diagnostics might actually be used to distinguish between the CO contributions from diffuse and dark gas. Sections 7 and 8 present a brief summary and discuss how our concept of the ISM might change when a substantial portion of the observed CO emission is ascribed to diffuse rather than dense molecular gas.

2 Observational material

The data used in this work are given in Tables E.1 and E.2 of Appendix E (available online).

2.1 EB-V

Values of the total reddening EB-V along the line of sight are from the work of Schlegel et al. (1998) at a spatial resolution of 6$^\prime $. The claimed rms error of these measurements is a percentage (16%) of the value. To convert to column density we use the equivalence \ensuremath{N_{\rm H}}= N(H I)+ 2 \ensuremath{N_{\rm H_2}} $=5.8\times 10^{21} {\rm H} ~~{\rm cm}^{-2}\mbox{$E_{B-V}$ }$ established by Bohlin et al. (1978) and Rachford et al. (2009). Typically $A_{\rm V}$ = EB-V/3.1 (Spitzer 1978).

2.2 \ensuremath{{\rm H\mathsc{i}}} absorption

This is mostly taken from the VLA results of Dickey et al. (1983) but a line profile for B2251+158 (3C 454.3) was made available on the website of John Dickey and we took new \ensuremath{{\rm H\mathsc{i}}} absorption profiles toward J0008+686, J0102+584,B0528+134, B0736+017, J2007+404, J2023+318 and B2145+067 at the VLA in 2005 May and July.

2.3 HCO$^{\sf +}$ absorption

We used results from the PdBI's \ensuremath {{\rm HCO^+}} survey of Lucas & Liszt (1996) along with the slightly more recent results of Liszt & Lucas (2000) and a few additional profiles that were taken at the PdBI in 2001-2004.

The rotational excitation of \ensuremath {{\rm HCO^+}} above the cosmic microwave background is very weak in diffuse gas (Liszt & Lucas 1996) so that $\ensuremath{N_{\ensuremath{{\rm HCO^+}}}} = 1.12\times10^{12} ~{\rm cm}^{-2}
\e...
...math{{\rm\ensuremath{{\rm HCO^+}}}})~{\rm d}v}/1~\mbox{km~s$^{-1}$ } \right) } $ for an assumed \ensuremath {{\rm HCO^+}} permanent dipole moment of 3.889 Debye. This dipole moment is slightly smaller than the value used in most of our previous work (4.07 D), increasing the inferred \ensuremath {{\rm HCO^+}} column densities by 10%.

2.4 J = 1-0 CO emission

All the results quoted here are from the ARO12m antenna at 1$^\prime $ resolution, placed on a main-beam scale by dividing the native ${T}_{\rm r}^*$ values by 0.85. Most of these profiles were used on the ${T}_{\rm r}^*$ scale in our earlier work (Liszt & Lucas 1996,2000,1998) but profiles toward sources with \ensuremath{{\rm H\mathsc{i}}} absorption and lacking \ensuremath {{\rm HCO^+}} absorption data (noted in Fig. 1) and toward sources with J-names in Tables C.1 and C.2 are new. The velocity resolution was typically 0.1 km s-1 and all spectra were taken in frequency-switching mode and deconvolved (folded) using the EKHL algorithm (Liszt 1997a). Where upper limits on CO emission are shown, they are plotted symbolically at very conservative values taken over much wider ranges than are occupied by \ensuremath {{\rm HCO^+}} emission. The contributions of such sightline to ensemble averages of \ensuremath{{W}_\ensuremath{{\rm CO}}} was taken as zero in each case.

3 The mean N $_{\sf H_2}$/W$_{\sf CO}$ ratio of diffuse gas

3.1 Considering whole lines of sight

Because the target background sources are extragalactic, the lines of sight considered here traverse the entire galactic gas layer, crossing the entire possible gamut of gas phases. However, they either have low extinction (at $\vert b\vert \ga 15$-20$^\circ$) or, more often, can be decomposed into components whose individual molecular column densities are relatively small according to our previous studies of absorption and emission in these directions (see Appendix A for an example). For instance, the highest CO column densities observed for individual components are \ensuremath{N_{\rm CO}}  $\la 2\times 10^{16}~{\rm cm}^{-2}$(Liszt & Lucas 1998), representing about 7% of the free carbon column density expected for diffuse ISM at $A_{\rm V}$ = 1 mag (Sofia et al. 2004). \ensuremath {{\rm ^{13}CO}} is increasingly strongly fractionated in diffuse clouds having higher \ensuremath{N_{\rm CO}} (Liszt 2007a; Liszt & Lucas 1998), requiring that carbon must be predominantly in the form of C+.

3.2 Separating the atomic and molecular gas fractions

In order to derive the $\ensuremath{N_{\rm H_2}} /\ensuremath{{W}_\ensuremath{{\rm CO}}} $ conversion factor, we need to estimate \ensuremath{N_{\rm H_2}} independent of the CO emission tracer. To do this, we could use previous estimates of the mean fraction of \ensuremath{{\rm H_2}} in the diffuse ISM, which range from $\ga $$25\%$ (Savage et al. 1977) in uv absorption to 40-45% using a chemically-based approach founded on the observed constancy of $\ensuremath{X_\ensuremath{{\rm CH}}} =
\ensuremath{N_{\rm CH}} /\ensuremath{N_{\rm H_2}} $ (Sheffer et al. 2008; Liszt & Lucas 2002; Weselak et al. 2010). However, as this is the core of our argument, we take two other and more detailed approaches to separating the atomic and molecular column densities along the actual ensemble of lines of sight we have studied. Both methods depend on knowing the total column density \ensuremath{N_{\rm H}} from the measured reddening and both are detailed in the following subsections.

3.3 Estimating the atomic gas fraction via H I absorption

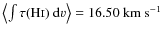
In Fig. 1 at left we show the integrated \ensuremath{{\rm H\mathsc{i}}} absorption plotted against reddening. This diagram is comprised of the entire sample of Dickey et al. (1983) along with a handful of other sightlines observed in \ensuremath{{\rm H\mathsc{i}}} by us at the VLA and in \ensuremath {{\rm HCO^+}} at the PdBI (see Sect. 2). Symbols differentiate 1) those portions of the sample for which \ensuremath {{\rm HCO^+}} and CO were observed (all sightlines observed in \ensuremath {{\rm HCO^+}} were also observed in CO emission and most in CO absorption); 2) a few for which we only have \ensuremath{{\rm H\mathsc{i}}} absorption and CO emission data; and 3) those which lack any molecular data. Strictly speaking, only those lines of sight for which we have molecular absorption line data can be proven to be composed wholly of diffuse gas but the sample appears to be very homogeneous in terms of its absorbing properties and many of the lines of sight lacking molecular absorption data show CO emission well beyond the galactic extent of the dense gas layer.

The surprisingly tight, nearly linear correlation between the integrated \ensuremath{{\rm H\mathsc{i}}} optical depth and reddening (correlation coefficient 0.90, power-law slope 1.02) establishes the applicability of the comparison of reddening values (which are measured on a rather coarse 6$^\prime $ spatial scale) with \ensuremath{{\rm H\mathsc{i}}} absorption measurements against the extragalactic continuum sources, sampling sub-arcsecond beams. This excellent correlation between fan and pencil-beam quantities testifies to the high degree to which \ensuremath{{\rm H\mathsc{i}}} absorbing gas is mixed in the interstellar gas. The sample mean reddening in Fig. 1 at left is $\ensuremath{ \left< \mbox{$E_{B-V}$ } \right> } = 1.14$ mag and the sample mean integrated \ensuremath{{\rm H\mathsc{i}}} opacity is $\ensuremath{ \left< \ensuremath{\int \tau(\ensuremath{{\rm\ensuremath{{\rm H\mathsc{i}}}}})~{\rm d}v} \right> } = 16.50~\mbox{km~s$^{-1}$ }$ so that $\ensuremath{ \left< \ensuremath{\int \tau(\ensuremath{{\rm\ensuremath{{\rm H\ma...
...})~{\rm d}v} \right> } /\ensuremath{ \left< \mbox{$E_{B-V}$ } \right> } = 1.45 $ km s-1/mag for the sample as a whole.

Estimating the \ensuremath{{\rm H\mathsc{i}}} column density from the \ensuremath{{\rm H\mathsc{i}}} absorption must be done with care because the atomic gas is divided between warm and cold phases having widely differing optical depth. Separation of the warm and cold, absorbing and non-absorbing phases was recently considered in great detail by Heiles & Troland (2003) in a new \ensuremath{{\rm H\mathsc{i}}} emission-absorption survey along many lines of sight. From their tabulated results, it was possible to form the ratio of \ensuremath{N_{\ensuremath{{\rm H\mathsc{i}}}}} to \ensuremath{\int \tau(\ensuremath{{\rm\ensuremath{{\rm H\mathsc{i}}}}})~{\rm d}v} (a small portion of which actually arises in warmer gas) as shown in Fig. B.1 of the appendices and briefly discussed in Sect. B1 there. The sample mean ratio over all lines of sight in the Heiles & Troland (2003) survey is $\ensuremath{N_{\ensuremath{{\rm H\mathsc{i}}}}} /\ensuremath{\int \tau(\ensurem...
...}}}}})~{\rm d}v} = 2.6\pm0.2 \times 10^{20}~~{\rm cm}^{-2}
/\mbox{km~s$^{-1}$ }$ where the error estimate (which is a range, not a standard deviation) reflects the extent to which the ratio can be affected by sample selection criteria based on reddening, galactic latitude, etc. This mean value shows very little variation when computed on sub-samples selected on different criteria.

It is then possible to derive the atomic gas fraction, if we assume that our absorption sample has similar properties. Writing

\begin{displaymath}\ensuremath{f_\ensuremath{{\rm\ensuremath{{\rm H\mathsc{i}}}}...
...hsc{i}}}}})~{\rm d}v} }{5.8\times 10^{21}~\mbox{$E_{B-V}$ }}),
\end{displaymath} (1)

taking the first term from our analysis of the results of Heiles & Troland (2003) and the second from the mean for the data shown in Fig. 1. The result is that $\ensuremath{f_\ensuremath{{\rm\ensuremath{{\rm H\mathsc{i}}}}}} = 0.65$, so that \ensuremath {f_\ensuremath {{\rm\ensuremath {{\rm H_2}}}}} = 2 N( \ensuremath{{\rm H_2}})/N(H) = 0.35.

This estimate of the molecular gas fraction for our sample of sightlines falls in the middle of the range of current general estimates for diffuse gas as noted in the beginning of this Section, i.e. $\ensuremath{f_\ensuremath{{\rm\ensuremath{{\rm H_2}}}}}\ \ga 0.25$ from Copernicus corrected for sampling biases (Bohlin et al. 1978) and $\ensuremath{f_\ensuremath{{\rm\ensuremath{{\rm H_2}}}}}\approx 0.40{-}0.45$from a sample of lines of sight observed toward bright stars in optical absorption lines observed in CH (Liszt & Lucas 2002), given that $\ensuremath{X_\ensuremath{{\rm CH}}} =
\ensuremath{N_{\rm CH}} /\ensuremath{N_{\rm H_2}} $ is nearly constant at $4.5 \times 10^{-8}$(Sheffer et al. 2008; Weselak et al. 2010).

3.4 Checking the molecular gas fraction via molecular chemistry

Shown in the middle panel is the integrated \ensuremath {{\rm HCO^+}} absorption. As noted in Sect. 2.3 the integrated optical depth is directly translatable into \ensuremath {{\rm HCO^+}} column density given the near-absence of rotational excitation in the relatively low density diffuse gas: $\ensuremath{N_{\ensuremath{{\rm HCO^+}}}} = 1.12\times10^{12} ~{\rm cm}^{-2}
\e...
...math{{\rm\ensuremath{{\rm HCO^+}}}})~{\rm d}v}/1~\mbox{km~s$^{-1}$ } \right) } $. The relative abundance of \ensuremath {{\rm HCO^+}} is known to be nearly constant at $\ensuremath{X_\ensuremath{{\rm\ensuremath{{\rm HCO^+}}}}}\simeq 2{-}3 \times 10^{-9}$ from its fixed ratio with respect to OH in individual clouds (Liszt & Lucas 1996,2000) and the near-constancy of \ensuremath{X_\ensuremath{{\rm OH}}}  $\approx 10^{-7}$(Weselak et al. 2010).

Figure 1 shows that \ensuremath {{\rm HCO^+}} becomes readily detectable at $\mbox{$E_{B-V}$ }\ga 0.1$ mag, which is just where \ensuremath{{\rm H_2}} itself becomes abundant in the diffuse ISM (Savage et al. 1977). When detected, \ensuremath{N_{\ensuremath{{\rm HCO^+}}}} shows a correlation with EB-V (correlation coefficient 0.66 and power law slope 0.7 for the points with detected \ensuremath {{\rm HCO^+}}) but the larger scatter in the middle panel, compared to that at left, suggests that the molecular portion of the gas is less well mixed than the absorbing \ensuremath{{\rm H\mathsc{i}}}.

If \ensuremath{X_\ensuremath{{\rm\ensuremath{{\rm HCO^+}}}}} is assumed, a value for \ensuremath {f_\ensuremath {{\rm\ensuremath {{\rm H_2}}}}} could be derived from the data in the middle panel of Fig. 1. Conversely, if \ensuremath {f_\ensuremath {{\rm\ensuremath {{\rm H_2}}}}} = 0.35 is assumed and sample means are used, then $\ensuremath{ \left< \ensuremath{N_{\ensuremath{{\rm HCO^+}}}} \right> } /(5.8\t...
...m}^{-2}
\ensuremath{ \left< \mbox{$E_{B-V}$ } \right> } ) = 5.46\times 10^{-10}$ and $\ensuremath{X_\ensuremath{{\rm\ensuremath{{\rm HCO^+}}}}} = \ensuremath{N_{\ensuremath{{\rm HCO^+}}}} /\ensuremath{N_{\rm H_2}} = 3.1 \times
10^{-9}$, consistent with the previously established value (Liszt & Lucas 1996,2000). Therefore the decomposition of the ensemble of lines of sight appears to yield consistent results between several independent measures of both the atomic and molecular components.

3.5 The ensemble-averaged CO luminosity and N $_{\sf H_2}$/W$_{\sf CO}$ conversion factor

Shown at the right in Fig. 1 is the integrated \ensuremath {{\rm ^{12}CO}} J=1-0 intensity \ensuremath{{W}_\ensuremath{{\rm CO}}} plotted against EB-V. CO emission is not reliably detected except at $\mbox{$E_{B-V}$ }> 0.3$ mag (i.e. $A_{\rm V}$ $\ga $ 1 mag). In discussing this data, it is important to note that values of \ensuremath{N_{\rm CO}} have been measured in the diffuse gas (Liszt & Lucas 1998) and they are quite small compared to the column of free gas phase carbon expected at $A_{\rm V}$ = 1 mag (i.e. $3\times10^{17}~{\rm cm}^{-2}$, see Sofia et al. 2004). Moreover, the lines of sight having the largest values of \ensuremath{{W}_\ensuremath{{\rm CO}}} are composed of several emission components (see Appendix A for an example). The CO emission along these lines of sight orginates in diffuse gas where C+ is the dominant form of carbon.

If it is accepted that \ensuremath {f_\ensuremath {{\rm\ensuremath {{\rm H_2}}}}} = 0.35, the bulk CO- \ensuremath{{\rm H_2}} conversion factor may be inferred immediately from the data shown in Fig. 1. The sample means are \ensuremath{ \left< \ensuremath{{W}_\ensuremath{{\rm CO}}} \right> } = 4.42 \ensuremath{{\rm ~K~km~s^{-1}}} and \ensuremath{ \left< \mbox{$E_{B-V}$ } \right> } = 0.888 mag or ( $\ensuremath{ \left< \ensuremath{N_{\rm H_2}} \right> } = 9.01 \times 10^{20} \ensuremath{{\rm H_2}} ~{\rm cm}^{-2}$), implying \ensuremath{{W}_\ensuremath{{\rm CO}}} = 1 \ensuremath{{\rm ~K~km~s^{-1}}}per $2.04 \times 10^{20} ~\ensuremath{{\rm H_2}} ~{\rm cm}^{-2}$. Rather strikingly, there is apparently no difference in the mean CO luminosity per \ensuremath{{\rm H_2}} in diffuse and fully molecular gas. For insight into the scatter present in the ensemble of sightlines, the right-hand panel of Fig. 1 shows a line corresponding to the ensemble mean conversion factor and $\ensuremath{f_\ensuremath{{\rm\ensuremath{{\rm H_2}}}}} = 1/3$. The range in \ensuremath {f_\ensuremath {{\rm\ensuremath {{\rm H_2}}}}} determined for the diffuse gas, roughly 0.25-0.45 or $0.35~\pm~0.1$, implies a 30% margin of error for the method as a whole.

An alternative approach to this determination based on molecular chemistry, comparing \ensuremath{{W}_\ensuremath{{\rm CO}}} with \ensuremath{N_{\ensuremath{{\rm HCO^+}}}}as a surrogate for \ensuremath{N_{\rm H_2}} and giving similar results, is discussed in Appendix C.

\begin{figure}
\par\includegraphics[height=7.3cm,clip]{14510f2.eps} \vspace*{-2.5mm}
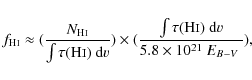
\end{figure} Figure 2:

Integrated CO brightness plotted against 1/sin(|b|). For comparison, a line is shown for the case of a plane-parallel Gaussian layer with vertical dispersion ${\sigma }_{z}$, when ${\sigma }_{z}$ \ensuremath {f_\ensuremath {{\rm\ensuremath {{\rm H_2}}}}} = 30 pc and $\ensuremath{N_{\rm H_2}} /\ensuremath{{W}_\ensuremath{{\rm CO}}} = 2 \times 10^{20} ~\ensuremath{{\rm H_2}} ~{\rm cm}^{-2}/(\ensuremath{{\rm ~K~km~s^{-1}}} )$.

Open with DEXTER

4 The proportion of CO emission arising from diffuse gas

The similarity of the CO- \ensuremath{{\rm H_2}} conversion factors in diffuse and fully molecular gas must have led to confusion whereby CO emission arising in diffuse gas has been attributed to ``molecular clouds'', i.e. the truism noted in the Introduction. To quantify this phenomenon we derive the mean luminosity of diffuse molecular gas viewed perpendicular to the galactic plane $\ensuremath{{W}_\ensuremath{{\rm CO}}} (b) \sin{\ensuremath{\left\vert b \right\vert } }$ for a plane-parallel stratified gas layer and we compare that to the equivalent luminosity perpendicular to the galactic plane inferred from surveys of CO emission near the galactic equator.

Shown in Fig. 2 is the distribution of \ensuremath{{W}_\ensuremath{{\rm CO}}} with $1/\sin\ensuremath{\left\vert b \right\vert } $. For reference a line is shown corresponding to the canonical CO- \ensuremath{{\rm H_2}} conversion factor and the combination $\ensuremath{f_\ensuremath{{\rm\ensuremath{{\rm H_2}}}}}\times~ \sigma_{z} = 30$ pc, in the simplistic case that the galactic gas layer can be described by a single Gaussian vertical component with dispersion ${\sigma }_{z}$. For convenience the diffuse gas is usually described by several components having a range of vertical scale heights (Cox 2005) but the neutral gas components of the nearby ISM are not well-described by simple plane-parallel layers (see also Heiles & Troland 2003) owing to local geometry (the local bubble) combined with the scatter induced by the comparatively long mean free paths between kinematic components.

We quote the ensemble average brightness $\ensuremath{ \left< \ensuremath{{W}_\ensuremath{{\rm CO}}} \right> } = 4.64$  \ensuremath{{\rm ~K~km~s^{-1}}}and number of equivalent half-thicknesses \ensuremath{ \left< 1/\sin\ensuremath{\left\vert b \right\vert } \right> } = 19.75, implying a mean integrated brightness 0.235  \ensuremath{{\rm ~K~km~s^{-1}}} per galactic half width[*]. Looking down on the Milky Way vertically from afar the integrated CO brightness of diffuse gas would be twice this, $\ensuremath{{W}_\ensuremath{{\rm CO_\perp}}} = 0.47~\ensuremath{{\rm ~K~km~s^{-1}}} $.

Galactic surveys of CO emission, on the other hand, calculate a mean CO brightness per kpc of 5 \ensuremath{{\rm ~K~km~s^{-1}}}/kpc at z = 0 pc in the galactic disk at a galactocentric distance $\ensuremath{R_\odot} = 8~$kpc. Note that this value is scaled from the result of Burton & Gordon (1978) which assumed $\ensuremath{R_\odot} =
10~$kpc. If the molecular gas layer sampled in these surveys is described by a Gaussian vertical distribution having a dispersion ${\sigma }_{z}$= 60 pc (Cox 2005) and z-integral $\sqrt{2\pi\mbox{${\sigma}_{z}$ }^2} = 0.150$ kpc, the galactic survey result translates into an integrated CO brightness $\ensuremath{{W}_\ensuremath{{\rm CO_\perp}}} = 5~\ensuremath{{\rm ~K~km~s^{-1}}} /{\rm kpc} \times 0.150$ kpc = 0.75 \ensuremath{{\rm ~K~km~s^{-1}}} when viewed vertically across the galactic disk as described in Appendix D. This is only 50% higher than that of the diffuse CO alone.

The question then is whether the CO emission and \ensuremath{{\rm H_2}} attributable to diffuse gas exist in addition to that sampled in the CO surveys near the galactic plane, or whether the galactic CO surveys incorporate a significant proportion of diffuse CO emission. If the former - if, for instance the diffuse CO like the diffuse ISM has a larger scale height and is a distinguishable component of the local CO emission - the local \ensuremath{{\rm H_2}} surface density could be higher than previously believed.

The total density of gas near the Sun is usually quoted as 1.2 H-nuclei $~{\rm cm}^{-3}$ from Spitzer (1978) and this is often decomposed into ``molecular'' and ``diffuse'' components with roughly 50% attributed to each (for instance see Cox 2005). The CO emissivity measured in galactic plane surveys (5 \ensuremath{{\rm ~K~km~s^{-1}}}/kpc) conveniently converts to a local mean \ensuremath{{\rm H_2}} density of about $0.33~\ensuremath{{\rm H_2}} ~{\rm cm}^{-3}$, about half of Spitzer's total. However, recall that the quoted total mean density is based on the statistics of reddening toward A-stars within a few hundred pc of the Sun (Münch 1952) which were very unlikely to have sampled dark cloud lines of sight. GAIA photometry should settle this matter, but the issue of the total mean density of the ISM locally and relative proportions of atomic and molecular material are not as clearly defined as is generally assumed.

5 Rationale for a common CO-H$_{\sf 2}$ conversion

The very first discussions of the applicability of a common $\ensuremath{N_{\rm H_2}} /\ensuremath{{W}_\ensuremath{{\rm CO}}} $conversion factor (Liszt 1982; Young & Scoville 1982) noted that diffuse and dense gas at 60-100 K, or dark dense gas at 12 K, all had similar ratios \ensuremath{{W}_\ensuremath{{\rm CO}}}/ \ensuremath{N_{\rm H_2}}. For instance $\ensuremath{{W}_\ensuremath{{\rm CO}}}\approx 1.5~\ensuremath{{\rm ~K~km~s^{-1}}} $, $\ensuremath{N_{\rm H_2}} {} = 5\times 10^{20}~\mbox{km~s$^{-1}$ }$toward $\zeta$Oph (a typical diffuse line of sight) and $\ensuremath{{W}_\ensuremath{{\rm CO}}} = 450~\ensuremath{{\rm ~K~km~s^{-1}}} $, $\ensuremath{N_{\rm H_2}} {} = 2\times 10^{23}\ensuremath{{\rm H_2}} ~{\rm cm}^{-2}$toward Ori A. By comparison, a dark cloud like L204, near $\zeta$ Oph, with $A_{\rm V}$ = 5 mag has $\ensuremath{N_{\rm H_2}}\approx 5\times 10^{21}~{\rm cm}^{-2}$, $\ensuremath{N_{\rm CO}}\approx 8\times
10^{17}~{\rm cm}^{-2}$and an integrated brightness $\ensuremath{{W}_\ensuremath{{\rm CO}}}\approx 15~\ensuremath{{\rm ~K~km~s^{-1}}} $(Tachihara et al. 2000) or $\ensuremath{N_{\rm H_2}} /\ensuremath{{W}_\ensuremath{{\rm CO}}}\approx 3 \times 10^{20}\ensuremath{{\rm H_2}} ~{\rm cm}^{-2}$ (K km s)-1. Comparing the two gas phases sampled in CO near $\zeta$ Oph it is apparent that the higher CO column density in the dark cloud is more than compensated by the diminished brightness per CO molecule. The result is a nearly constant ratio of \ensuremath{{W}_\ensuremath{{\rm CO}}} to \ensuremath{N_{\rm H_2}} across phases while the brightness per CO molecule $\ensuremath{{W}_\ensuremath{{\rm CO}}} /\ensuremath{N_{\rm CO}} $ varies widely.

The physical basis for this behavior has become more apparent recently with closer study of CO in diffuse gas (Pety et al. 2008; Liszt et al. 2009). To begin the discussion we rewrite the CO- \ensuremath{{\rm H_2}} conversion factor \ensuremath{\chi_\ensuremath{{\rm CO}}} as

\begin{displaymath}\frac{1}{\ensuremath{\chi_\ensuremath{{\rm CO}}} } = \left(\f...
...th{N_{\rm CO}} }\right)\ensuremath{X_\ensuremath{{\rm CO}}} ,
\end{displaymath} (2)

separating the coupled and competing effects of cloud structure or radiative transfer $(\ensuremath{{W}_\ensuremath{{\rm CO}}} /\ensuremath{N_{\rm CO}} )$ and CO chemistry ( \ensuremath{N_{\rm CO}}/ \ensuremath{N_{\rm H_2}}= \ensuremath{X_\ensuremath{{\rm CO}}}). Simply put, the specific brightness $\ensuremath{{W}_\ensuremath{{\rm CO}}} /\ensuremath{N_{\rm CO}} $ can be shown to be higher in warmer, subthermally-excited diffuse gas by about the same amount (a factor 30-50) that \ensuremath{X_\ensuremath{{\rm CO}}} is lower: $\ensuremath{ \left< \ensuremath{X_\ensuremath{{\rm CO}}}{} \right> } = 3\times 10^{-6}$ for the diffuse gas (Burgh et al. 2007) compared to $\approx $10-4 in dark gas where the carbon is very nearly all in CO.

As noted by Goldreich & Kwan (1974) in the original exposition of the LVG model for radiative transfer, \ensuremath{{W}_\ensuremath{{\rm CO}}}/ \ensuremath{N_{\rm CO}}will be much greater when the excitation of CO is weak - when the kinetic temperature is much greater than the J=1-0 excitation temperature. Moreover when CO is excited somewhat above the cosmic microwave background but well below the kinetic temperature, the brightness of the CO J=1-0 line will be linearly proportional to \ensuremath{N_{\rm CO}} even when the line is quite optically thick (again, see Goldreich & Kwan 1974). As Michel Guelin pointedly reminded us, this occurs because weak excitation means that there is also little collisional de-excitation so that the gas merely scatters emitted photons until they eventually escape. As Goldreich & Kwan (1974) showed, this proportionality between brightness and column density persists until the opacity is so very large that the transition approaches thermalization through radiative trapping.

The discussion of the previous paragraph also applies to other molecules, but because CO has such a small dipole moment the proportionality between CO brightness and column density is only weakly dependent on ambient physical conditions: a nearly universal ratio $\ensuremath{N_{\rm CO}} /\ensuremath{{W}_\ensuremath{{\rm CO}}} = 10^{15} \ensuremath{{\rm ~CO~cm^{-2}/(K~km~s^{-1})}} $ can be calculated for diffuse gas using recent excitation cross-sections (Liszt 2007b). This is in excellent agreement with measured values of \ensuremath{N_{\rm CO}} and CO J= 1-0 excitation temperatures in the diffuse gas seen toward stars in uv absorption (Sheffer et al. 2008; Burgh et al. 2007; Sonnentrucker et al. 2007) or at mm-wavelengths in absorption against distant quasars (Liszt & Lucas 1998). For the observed value $\ensuremath{ \left< \ensuremath{X_\ensuremath{{\rm CO}}}{} \right> } = 3\times 10^{-6}$(Burgh et al. 2007) the \ensuremath{N_{\rm H_2}}/ \ensuremath{{W}_\ensuremath{{\rm CO}}}conversion ratio in diffuse clouds is \ensuremath{N_{\rm H_2}}/ \ensuremath{{W}_\ensuremath{{\rm CO}}} $= 10^{15}/3\times 10^{-6} =~3.3~\times 10^{20}\ensuremath{{\rm ~\ensuremath{{\rm H_2}}~cm^{-2}/(K~km~s^{-1})}} $.

Finally, note that even if the ratio \ensuremath{{W}_\ensuremath{{\rm CO}}}/ \ensuremath{N_{\rm CO}}is not constant between gas phases, it is still the case that $ \ensuremath{{W}_\ensuremath{{\rm CO}}}\propto \ensuremath{N_{\rm CO}} $ separately in either the dense or diffuse gas. For the diffuse gas the proportionality is based in the microphysics of CO radiative transfer a la Goldreich & Kwan (1974). For the dark cloud case, note that there is a fixed ratio of \ensuremath{N_{\rm CO}}/ \ensuremath{N_{\rm H_2}}when the gas-phase carbon is in CO and the hydrogen is in \ensuremath{{\rm H_2}} so that a \ensuremath{{W}_\ensuremath{{\rm CO}}}- \ensuremath{N_{\rm H_2}}conversion is fully equivalent to a \ensuremath{{W}_\ensuremath{{\rm CO}}}- \ensuremath{N_{\rm CO}}conversion.

6 Discriminating between emission from diffuse and dense gas

There are ways in which mm-wave molecular emission differs between dense and diffuse gas, even if not in \ensuremath {{\rm ^{12}CO}}. Emission from molecules like CS, HCN and \ensuremath {{\rm HCO^+}} having higher dipole moments is generally thought to single out denser gas than does CO, especially in extreme environments (Wu et al. 2005). Note, however, that surveys of the Milky Way galactic plane find widely-distributed emission in \ensuremath {{\rm HCO^+}}, CS, HCN, etc. with intensity ratios of 1-2% relative to \ensuremath{{W}_\ensuremath{{\rm CO}}} from essentially all features detected in CO (Helfer & Blitz 1997; Liszt 1995).

Relatively little is known of the emission from mm-wave species in diffuse gas beyond that from CO. Most common is emission from \ensuremath {{\rm HCO^+}} because it is chemically ubiquitous and somewhat more easily excited owing to its positive charge and high dipole moment. Although \ensuremath {{\rm HCO^+}} emission is weak in the example shown here in Appendix A it appears at levels $\ga $1% of \ensuremath{{W}_\ensuremath{{\rm CO}}} in portions of the diffuse cloud around $\zeta$ Oph or in the Polaris flare (Liszt 1997; Liszt & Lucas 1994; Falgarone et al. 2006). Therefore \ensuremath {{\rm HCO^+}} emission is probably not a good discriminator but CS and HCN appear with high abundance only when \ensuremath{N_{\ensuremath{{\rm HCO^+}}}}  $\ga~ 10^{12}~{\rm cm}^{-2}$or $\ensuremath{N_{\rm H_2}} > 5\times 10^{20} ~{\rm cm}^{-2}$ and should be much more weakly excited in low density gas. In any case, searching for emission that is 100 times weaker than \ensuremath{{W}_\ensuremath{{\rm CO}}} may not be an effective use of observing time and only in very dense, warmer gas like that found in massive, OB star-forming regions like Ori A are the higher dipole moment molecules substantially brighter than 1-2% relative to \ensuremath{{W}_\ensuremath{{\rm CO}}}.

A more effective method of discriminating between CO emission from diffuse and dark or dense gas is afforded by \ensuremath {{\rm ^{13}CO}}. Although the abundance of \ensuremath {{\rm ^{13}CO}} is enhanced by fractionation (see the example in Appendix A) lowering the observed \ensuremath {{\rm ^{12}CO}}/ \ensuremath {{\rm ^{13}CO}}brightness temperature ratios (Liszt 2007b; Liszt & Lucas 1998; Goldsmith et al. 2008), those ratios are still noticeably higher in diffuse gas. Typically they are $\ga $10-15 instead of $\la $3-5 as seen in dark clouds or in surveys of the inner-Galaxy gas in the galactic plane (Burton & Gordon 1978). Recall that the mean \ensuremath {{\rm ^{12}CO}}/ \ensuremath {{\rm ^{13}CO}}brightness ratio nearly doubles across the galactic disk (Liszt et al. 1981), which was another, earlier indication that molecular gas near the Solar Circle has a high proportion of diffuse material.

To summarize, we suggest that the most efficient way to ascertain the origin of CO emission is to compare \ensuremath {{\rm ^{12}CO}} and \ensuremath {{\rm ^{13}CO}} brightnesses because emission from \ensuremath {{\rm ^{13}CO}} is much stronger than emission from \ensuremath {{\rm HCO^+}}, CS, HCN etc., and because there is actually less ambiguity in the brightness ratios relative to \ensuremath{{W}_\ensuremath{{\rm CO}}}.

7 Summary

In Sects. 2 and 3 we described and considered a sample of lines of sight studied in \ensuremath{{\rm H\mathsc{i}}} and molecular absorption and known to be comprised of diffuse gas. Their molecular component shows features whose CO, \ensuremath {{\rm HCO^+}} and other molecular column densities are small compared to those of dark clouds (in the case of CO, at least 30 times smaller). There is often quite substantial fractionation of \ensuremath {{\rm ^{13}CO}} (indicating that the dominant form of carbon is C+) and the rotational excitation of CO is sub-thermal with implied cloud temperatures typical of those determined directly for diffuse \ensuremath{{\rm H_2}} in optical/uv surveys, i.e. 30 K or more.

Using an externally-determined value for the ratio of total \ensuremath{{\rm H\mathsc{i}}} column density to integrated \ensuremath{{\rm H\mathsc{i}}} absorption and the standard equivalence between reddening and \ensuremath{N_{\rm H}} we derived the molecular gas fraction for this sample to be \ensuremath {f_\ensuremath {{\rm\ensuremath {{\rm H_2}}}}} = 0.35, in the middle of the range of other estimates for the diffuse ISM as a whole based on optical (mainly CH) and uv ( \ensuremath{{\rm H\mathsc{i}}} and \ensuremath{{\rm H_2}}) absorption studies.

We showed that this estimate for \ensuremath {f_\ensuremath {{\rm\ensuremath {{\rm H_2}}}}} implies the same value $\ensuremath{X_\ensuremath{{\rm\ensuremath{{\rm HCO^+}}}}} ~=
3\times 10^{-9}$ that was previously determined from comparisons of OH and \ensuremath {{\rm HCO^+}} column densities in individual clouds. We then compared measured CO brightnesses with the inferred molecular gas column densities to derive the ensemble mean $\ensuremath{N_{\rm H_2}} /\ensuremath{{W}_\ensuremath{{\rm CO}}} $ conversion factor. Surprisingly, We found this mean to be just equal to the locally-accepted value $2.0\times
10^{20} \ensuremath{{\rm H_2}} $/( \ensuremath{{\rm ~K~km~s^{-1}}}) for ``molecular'' gas believed to reside in dense dark fully-molecular clouds near the galactic equator.

Such exact agreement is probably something of an accident of sampling, but the fact that diffuse and dark gas would have very similar $\ensuremath{N_{\rm H_2}} /\ensuremath{{W}_\ensuremath{{\rm CO}}} $conversion factors, which had been inferred empirically long ago, now has a firmer physical basis. In Sect. 5 we explained it as the result of the brightening of CO J=1-0 emission per CO molecule that was theoretically predicted for warmer more diffuse gas by Goldreich & Kwan (1974), which compensates for the lower relative abundance \ensuremath{X_\ensuremath{{\rm CO}}} there. The mean CO abundance observed in optical absorption in diffuse clouds $\ensuremath{ \left< \ensuremath{X_\ensuremath{{\rm CO}}}{} \right> } = 3\times 10^{-6}$, combined with the observed and expected brightness per CO molecule, \ensuremath{{W}_\ensuremath{{\rm CO}}}/ \ensuremath{N_{\rm CO}}= 1 \ensuremath{{\rm ~K~km~s^{-1}}}/ $10^{15} {\rm CO}~{\rm cm}^{-2}$, can be be combined to form an CO- \ensuremath{{\rm H_2}} conversion factor of \ensuremath{N_{\rm H_2}}/ \ensuremath{{W}_\ensuremath{{\rm CO}}}  $= 10^{15}/3\times 10^{-6} = 3.3 \times 10^{20}\ensuremath{{\rm ~\ensuremath{{\rm H_2}}~cm^{-2}/(K~km~s^{-1})}} $.

In Sect. 4 we derived the expected brightness of diffuse gas viewed perpendicular to the galactic plane from afar, 0.47 \ensuremath{{\rm ~K~km~s^{-1}}}, and compared that to the value expected from surveys of CO emission in the galactic plane, combined with a narrow (60 pc dispersion) Gaussian vertical distribution; that is 0.75 \ensuremath{{\rm ~K~km~s^{-1}}}. This suggests that there has been confusion in the general attribution of CO emission to ``molecular clouds'' when in fact much of it arises in the diffuse ISM. This view is consistent with the motivations discussed in the Introduction, whereby CO emission is increasingly being found along lines of sight lacking high extinction and whereby CO emission seen along dark lines of sight is found (through molecular absorption studies and in other ways) to originate in components having the relatively small molecular number and column densities typical of diffuse gas. An example of such a line of sight is given in Appendix A here.

We briefly discussed in Sect. 4 the decomposition of the total mean density of neutral gas in the nearby ISM, 1.2 H  $~{\rm cm}^{-3}$ (Spitzer 1978), into its atomic and molecular constituents. We noted that although the balance is generally believed to be roughly 50-50 (Cox 2005), some emission might shift to the diffuse side of the balance sheet if CO emission is reinterpreted. Moreover, we pointed out that the molecular contribution to the true local mean density from large-scale galactic CO surveys in the galactic plane should be questioned more generally because it is unclear to what extent Spitzer's estimate, based on the earlier optical work of Münch, incorporates the contribution of optically-opaque gas.

Although the ability to discriminate between the separate contributions to \ensuremath{{W}_\ensuremath{{\rm CO}}} from diffuse and darker, denser gas is limited when only \ensuremath {{\rm ^{12}CO}} is considered, it should be possible to infer the nature of the host gas using other emission diagnostics (see Sect. 6). The most efficient of these is probably the brightness of \ensuremath {{\rm ^{13}CO}}, which, although enhanced by fractionation, is still substantially weaker, relative to \ensuremath{{W}_\ensuremath{{\rm CO}}}, in diffuse gas. Searching for emission from species having higher dipole moments such as CS J=2-1 and HCN (and probably not \ensuremath {{\rm HCO^+}} because it is chemically so ubiquitous and more easily excited) are alternatives that might require somewhat longer integration times.

8 Discussion: Interpreting a sky occupied by CO emission from diffuse gas

The usual interpretation of CO sky maps, galactic surveys, etc, is that CO emission mostly traces dark and or ``giant'' molecular clouds (GMC) composed of dense cold gas occupying a very small fraction of the interstellar volume at high thermal pressure within an ISM that may confine them via its ram or turbulent pressure if they are not gravitationally bound. The balance between GMC and diffuse atomic material may be controlled by quasi-equilibrium between local dynamics and the overlying weight of the gas layer but the molecular material inferred from CO emission is generally believed to be that which is most nearly on the verge of forming stars, for instance through the Schmidt-Kenicutt power-law relation between star formation rate and gas surface density[*] (Bigiel et al. 2008; Leroy et al. 2008).

By contrast, CO emission from diffuse molecular gas originates within a warmer, lower-pressure medium that occupies a much larger fraction of the volume and contributes more substantially to mid-IR dust or PAH emission but only has the requisite density and chemistry to produce CO molecules and CO emission (since $ \ensuremath{{W}_\ensuremath{{\rm CO}}}\propto \ensuremath{N_{\rm CO}} $) over a very limited portion of that volume. In this case a map of CO emission is a map of CO abundance and CO chemistry first, and only secondarily a map of the mass even if the mean CO- \ensuremath{{\rm H_2}} conversion ratio is (as we have shown) ``standard''. Moreover, although CO emission traces the molecular column density \ensuremath{N_{\rm H_2}} quite decently where \ensuremath{{W}_\ensuremath{{\rm CO}}} is at detectable levels, it arises in regions that are not gravitationally bound or about to form stars. The CO sky is mostly an image of the CO chemistry.

Acknowledgements
The National Radio Astronomy Observatory is operated by Associated Universites, Inc. under a cooperative agreement with the US National Science Foundation. The Kitt Peak 12-m millimetre wave telescope is operated by the Arizona Radio Observatory (ARO), Steward Observatory, University of Arizona. IRAM is operated by CNRS (France), the MPG (Germany) and the IGN (Spain). This work has been partially funded by the grant ANR-09-BLAN-0231-01 from the French Agence Nationale de la Recherche as part of the SCHISM project. We thank Bob Garwood for providing the H I profiles of Dickey et al. (1983) in digital form.

Appendix A: NRAO150: an example of a dark line of sight comprised of diffuse gas

\begin{figure}
\par\includegraphics[height=14cm,clip]{14510f3.eps}\vspace*{-3mm}
\end{figure} Figure A.1:

Line profiles toward and near B0355+508 = NRAO150. Bottom: absorption line profiles of H I, \ensuremath {{\rm HCO^+}}, \ensuremath {{\rm ^{12}CO}}, \ensuremath {{\rm ^{13}CO}}(multiplied by 2) and HNC; \ensuremath{{\rm H\mathsc{i}}} absorption and emission are present over a much broader velocity range than shown here. Top: Emission from \ensuremath {{\rm ^{12}CO}}, \ensuremath {{\rm ^{13}CO}}(scaled upward by a factor 3) and \ensuremath {{\rm HCO^+}} (scaled upward by a factor 100). The \ensuremath {{\rm HCO^+}} profile is an average over a 3.5$^\prime $ region around the continuum (to avoid absorption). See Appendix A.

Open with DEXTER

The estimated total extinction along this comparatively low-latitude line of sight at l=150.4$^\circ$, b=-1.6$^\circ$ (see Table E.2) is EB-V = 1.5 mag or $A_{\rm V}$  $\approx~ 5$ mag but it would be quite opaque even if only the atomic gas were present. A lower limit on \ensuremath{N_{\ensuremath{{\rm H\mathsc{i}}}}} from the integrated 21 cm emission of the nearest profile in the Leiden-Dwingeloo Survey (Hartmann & Burton 1997) in the optically thin limit is $\ensuremath{N_{\ensuremath{{\rm H\mathsc{i}}}}}\ga 7.4
\times 10^{21} ~{\rm cm}^{-2}$, implying EB-V $\ga 1.27$ mag. The H I column density derived by taking the ratio of \ensuremath{N_{\ensuremath{{\rm H\mathsc{i}}}}} to \ensuremath{{\rm H\mathsc{i}}} absorption as discussed in Sect. 3 here is, understandably, slightly larger, $\ensuremath{N_{\ensuremath{{\rm H\mathsc{i}}}}} = 1.1\times10^{22}~{\rm cm}^{-2}$.

We show in Fig. A.1 various absorption and emission profiles along and around the line of sight to NRAO150 aka B0355+508. We have published various analyses of this line of sight in the references noted below, and most recently we synthesized the CO emission in a 90 $^{\prime\prime}$ region around NRAO150 at 6 $^{\prime\prime}$ resolution (Pety et al. 2008). \ensuremath{{\rm H\mathsc{i}}}absorption and emission extend well outside the narrow kinematic interval shown here. The weak \ensuremath {{\rm HCO^+}} absorption at -35 km s-1 is real, as is the broad wing extending up to -25 km s-1.

CO emission is fairly strong in this direction, \ensuremath{{W}_\ensuremath{{\rm CO}}} = 17 K km s-1, nominally implying 2 \ensuremath{N_{\rm H_2}}  $\approx 7 \times 10^{21}$, comparable to \ensuremath{N_{\ensuremath{{\rm H\mathsc{i}}}}}, but molecular absorption spectra of \ensuremath {{\rm HCO^+}} and CO are much richer than the CO emission. The \ensuremath {{\rm HCO^+}} absorption spectrum (Liszt & Lucas 2000; Lucas & Liszt 1996) shows five prominent components each having \ensuremath{N_{\ensuremath{{\rm HCO^+}}}} $\approx 1.3 \times 10^{12}~{\rm cm}^{-2}$ (Lucas & Liszt 1996) or 2 \ensuremath{N_{\rm H_2}} $\approx 9\times10^{20} ~{\rm cm}^{-2}$ implying EB-V = 0.15 mag per component associated with \ensuremath{{\rm H_2}} if $\ensuremath{X_\ensuremath{{\rm\ensuremath{{\rm HCO^+}}}}} = 3 \times 10^{-9}$ as discussed in Sect. 3. The \ensuremath{{\rm H_2}}, \ensuremath {{\rm HCO^+}}and OH column densities of these components are each nearly equal to what is seen locally along the line of sight to $\zeta$ Oph at $A_{\rm V}$ = 1 mag (Liszt 1997; Morton 1975; Van Dishoeck & Black 1986).

Further evidence of the diffuse nature of the gas is given by the fractionation of \ensuremath {{\rm ^{13}CO}} in CO; $\ensuremath{N_{\ensuremath{{\rm ^{12}CO}}}} /\ensuremath{N_{\ensuremath{{\rm ^{13}CO}}}} = 15\pm 2$, $25~\pm~4$and $32~\pm~ 13$ in the components at -17, -11 and -4 km s-1, respectively and $\ensuremath{N_{\ensuremath{{\rm ^{13}CO}}}} /\ensuremath{N_{\ensuremath{{\rm C^{18}O}}}} > 36$, >54 and >25 at the $2\sigma$ level in these components (Liszt & Lucas 1998).

In emission, the \ensuremath {{\rm ^{12}CO}}/ \ensuremath {{\rm ^{13}CO}}brightness ratios are 12 and 30 for the two strong kinematic components, reflecting both the fractionation and the fact that $ \ensuremath{{W}_\ensuremath{{\rm CO}}}\propto \ensuremath{N_{\rm CO}} $ in the diffuse gas regime as discussed in the text here.

\ensuremath {{\rm HCO^+}}emission is weak in Fig. A.1. The profile shown (from Lucas & Liszt 1996) is an average of positions around the continuum source to avoid contamination from absorption. The low levels of \ensuremath {{\rm HCO^+}} emission seen toward our sample of background continuum sources can be understood as arising from relatively low density gas ( $n_\ensuremath{{\rm H_2}}\la 100
~{\rm cm}^{-3}$) when the electron fraction is as high as expected for diffuse gas, i.e. $2\times10^{-4}$ (Lucas & Liszt 1994,1996).

Appendix B: The ratio of total to absorbing H I

\begin{figure}
\par\includegraphics[height=6.5cm,clip]{14510f4.eps}
\end{figure} Figure B.1:

Total hydrogen column density vs. integrated \ensuremath{{\rm H\mathsc{i}}} optical depth for the sources studied by Heiles & Troland (2003). Lines of sight with EB-V < 0.09 mag were not included in the regression fit, to point out the upturn at low \ensuremath{\int \tau(\ensuremath{{\rm\ensuremath{{\rm H\mathsc{i}}}}})~{\rm d}v}. See Appendix B.

Open with DEXTER

Shown in Fig. B.1 is a plot of the data from the tables of Heiles & Troland (2003) that were used in Sect. 3 to convert the \ensuremath{\int \tau(\ensuremath{{\rm\ensuremath{{\rm H\mathsc{i}}}}})~{\rm d}v} measurements in Fig. 1 to a total quantity of \ensuremath{{\rm H\mathsc{i}}}. The plot shows a regression line (power-law slope 0.84) fit to data points with EB-V > 0.09 mag (the range occupied by the \ensuremath {{\rm HCO^+}} detections in Fig. 1) to point out a slight upturn at low \ensuremath{\int \tau(\ensuremath{{\rm\ensuremath{{\rm H\mathsc{i}}}}})~{\rm d}v}. The sample means are largely unaffected by setting various sample selection criteria.

Appendix C: A chemistry-based determination of N $_{\sf H_2}$/W$_{\sf CO}$

\begin{figure}
\par\includegraphics[height=7cm,clip]{14510f5.eps}
\end{figure} Figure C.1:

Integrated CO J=1-0 brightness plotted against the integrated \ensuremath {{\rm HCO^+}} J=1-0 optical depth. $\ensuremath{N_{\ensuremath{{\rm HCO^+}}}} = 1.12\times10^{12} ~{\rm cm}^{-2}
\e...
...math{{\rm\ensuremath{{\rm HCO^+}}}})~{\rm d}v}/1~\mbox{km~s$^{-1}$ } \right) } $. See Appendix D.

Open with DEXTER

It is also possible to determine \ensuremath{{W}_\ensuremath{{\rm CO}}}/ \ensuremath{N_{\rm H_2}}without the H I measure or formally estimating \ensuremath {f_\ensuremath {{\rm\ensuremath {{\rm H_2}}}}}, although we preferred not to do this in the main discussion. In Fig. C.1 we show the variation of \ensuremath{{W}_\ensuremath{{\rm CO}}} with \ensuremath{\int \tau(\ensuremath{{\rm\ensuremath{{\rm HCO^+}}}})~{\rm d}v}. CO appears reliably at detectable levels $\ensuremath{{W}_\ensuremath{{\rm CO}}}\ga 0.3\ensuremath{{\rm ~K~km~s^{-1}}} $, $\ensuremath{N_{\rm CO}}\ga
3\times 10^{14} ~{\rm cm}^{-2}$when $\ensuremath{N_{\ensuremath{{\rm HCO^+}}}}\ga 3\times 10^{11} ~{\rm cm}^{-2}$ or $\ensuremath{N_{\rm H_2}}\ga
\ensuremath{N_{\ensuremath{{\rm HCO^+}}}} {}/3\times 10^{-9} = 10^{20}~~{\rm cm}^{-2}$. If $\ensuremath{X_\ensuremath{{\rm\ensuremath{{\rm HCO^+}}}}} = 3 \times 10^{-9}$the ensemble mean values $\ensuremath{ \left< \ensuremath{{W}_\ensuremath{{\rm CO}}} \right> } = 3.45\ensuremath{{\rm ~K~km~s^{-1}}} $, $\ensuremath{ \left< \ensuremath{\int \tau(\ensuremath{{\rm\ensuremath{{\rm HCO^+}}}})~{\rm d}v} \right> } =
2.38~\mbox{km~s$^{-1}$ }$imply $\ensuremath{{W}_\ensuremath{{\rm CO}}} = 1~\ensuremath{{\rm ~K~km~s^{-1}}} $ per $2.6\times\ 10^{20}~\ensuremath{{\rm H_2}} ~{\rm cm}^{-2}$, just 30% above that derived in Sect. 3.5.

The near linearity of the \ensuremath{N_{\rm CO}}- \ensuremath{N_{\ensuremath{{\rm HCO^+}}}}relationship in Fig. C.1 results from bulk averaging over whole lines of sight: given the same general mix of conditions, an ensemble of richer and poorer or shorter and longer sightlines will show proportionalities between almost any two quantities in this way. As shown in Fig. A.1 there is no such proportionality on a per-component basis. In detail, and with much scatter, the overall chemical variation is approximately $\ensuremath{N_{\rm CO}}\propto (\ensuremath{N_{\rm H_2}} )^2$ (Sheffer et al. 2008; Liszt 2007b).

Appendix D: Calculating the CO brightness from galactic survey results

The statistics of observing the clumpy galactic molecular cloud distribution are Poisson (Gordon & Burton 1976; Burton & Gordon 1978) so the integrated CO brightness \ensuremath{{W}_\ensuremath{{\rm CO}}}(r) accumulated when traversing a path of length r in the galactic plane is

\begin{displaymath}\ensuremath{{W}_\ensuremath{{\rm CO}}} (r) = \ensuremath{{W}_\ensuremath{{\rm CO_0}}} (1-\exp{(-r/\lambda)})
\end{displaymath} (3)

where \ensuremath{{W}_\ensuremath{{\rm CO_0}}} is the characteristic brightness of a clump (GMC) and $\lambda$is the geometric mean free path between clumps. Although it is possible to derive \ensuremath{{W}_\ensuremath{{\rm CO_0}}} and $\lambda$ separately, galactic survey results are given in terms of a hybrid quantity $A_{\rm CO}$ whose units are \ensuremath{{\rm ~K~km~s^{-1}}} per kpc corresponding to evaluating \ensuremath{{W}_\ensuremath{{\rm CO}}}(r) when $r \ll \lambda$, i.e. \ensuremath{{W}_\ensuremath{{\rm CO}}}(r) = ( \ensuremath{{W}_\ensuremath{{\rm CO_0}}}/$\lambda$) $r
= A_{\rm CO}~r$. The coefficient $A_{\rm CO}$ is closely related to the mean density: just convert \ensuremath{{W}_\ensuremath{{\rm CO}}} to \ensuremath{N_{\rm H_2}}. For H I the integrated brightness per unit distance is directly converted into a mean density n(H I), if it is assumed that the gas is optically thin.

The brightness of the CO cloud ensemble viewed vertically through the galactic disk is then just $A_{\rm CO}~\Delta z$, where $\Delta z$is the equivalent thickness of the disk. For a Gaussian vertical distribution with dispersion ${\sigma }_{z}$, $\Delta {z} = (2\pi)^{1/2} \mbox{${\sigma}_{z}$ }$.

References

  1. Bigiel, F., Leroy, A., Walter, F., et al. 2008, AJ., 136, 2846 [NASA ADS] [CrossRef] [Google Scholar]
  2. Bohlin, R. C., Savage, B. D., & Drake, J. F. 1978, ApJ, 224, 132 [NASA ADS] [CrossRef] [Google Scholar]
  3. Bothwell, M. S., Kennicutt, R. C., & Lee, J. C. 2009, MNRAS, 400, 154 [NASA ADS] [CrossRef] [Google Scholar]
  4. Burgh, E. B., France, K., & McCandliss, S. R. 2007, ApJ, 658, 446 [NASA ADS] [CrossRef] [Google Scholar]
  5. Burton, W. B., & Gordon, M. A. 1978, A&A, 63, 7 [NASA ADS] [Google Scholar]
  6. Cox, D. P. 2005, ARA&A, 43, 337 [NASA ADS] [CrossRef] [EDP Sciences] [MathSciNet] [Google Scholar]
  7. Dickey, J. M., Kulkarni, S. R., Heiles, C. E., & Van Gorkom, J. H. 1983, ApJSS, 53, 591 [CrossRef] [Google Scholar]
  8. Draine, B. T., Dale, D. A., Bendo, G., et al. 2007, ApJ, 663, 866 [NASA ADS] [CrossRef] [Google Scholar]
  9. Falgarone, E., Pineau Des Forêts, G., Hily-Blant, P., & Schilke, P. 2006, A&A, 452, 511 [NASA ADS] [CrossRef] [EDP Sciences] [Google Scholar]
  10. Garwood, R. W., & Dickey, J. M. 1989, ApJ, 338, 841 [NASA ADS] [CrossRef] [Google Scholar]
  11. Goldreich, P., & Kwan, J. 1974, ApJ, 189, 441 [NASA ADS] [CrossRef] [Google Scholar]
  12. Goldsmith, P. F., Heyer, M., Narayanan, G., et al. 2008, ApJ, 680, 428 [NASA ADS] [CrossRef] [Google Scholar]
  13. Gordon, M. A., & Burton, W. B. 1976, ApJ, 208, 346 [NASA ADS] [CrossRef] [Google Scholar]
  14. Hartmann, D., & Burton, W. B. 1997, Atlas of galactic neutral hydrogen (Cambridge; New York: Cambridge University Press) [Google Scholar]
  15. Heiles, C., & Troland, T. H. 2003, ApJ, 586, 1067 [NASA ADS] [CrossRef] [Google Scholar]
  16. Helfer, T. T., & Blitz, L. 1997, ApJ, 478, 233 [NASA ADS] [CrossRef] [Google Scholar]
  17. Leroy, A. K., Walter, F., Brinks, E., et al. 2008, AJ, 136, 2782 [NASA ADS] [CrossRef] [Google Scholar]
  18. Liszt, H. 1997a, A&ASS, 124, 183 [NASA ADS] [CrossRef] [EDP Sciences] [Google Scholar]
  19. Liszt, H. S. 1982, ApJ, 262, 198 [NASA ADS] [CrossRef] [Google Scholar]
  20. Liszt, H. S. 1995, ApJ, 442, 163 [NASA ADS] [CrossRef] [Google Scholar]
  21. Liszt, H. S. 1997, A&A, 322, 962 [NASA ADS] [Google Scholar]
  22. Liszt, H. S. 2007a, A&A, 476, 291 [NASA ADS] [CrossRef] [EDP Sciences] [Google Scholar]
  23. Liszt, H. S. 2007b, A&A, 461, 205 [NASA ADS] [CrossRef] [EDP Sciences] [Google Scholar]
  24. Liszt, H., & Lucas, R. 2002, A&A, 391, 693 [NASA ADS] [CrossRef] [EDP Sciences] [Google Scholar]
  25. Liszt, H. S., & Lucas, R. 1994, ApJ, 431, L131 [NASA ADS] [CrossRef] [Google Scholar]
  26. Liszt, H. S., & Lucas, R. 1996, A&A, 314, 917 [NASA ADS] [Google Scholar]
  27. Liszt, H. S., & Lucas, R. 1998, A&A, 339, 561 [NASA ADS] [Google Scholar]
  28. Liszt, H. S., & Lucas, R. 2000, A&A, 355, 333 [NASA ADS] [Google Scholar]
  29. Liszt, H. S., Burton, W. B., & Bania, T. M. 1981, ApJ, 246, 74 [NASA ADS] [CrossRef] [Google Scholar]
  30. Liszt, H. S., Pety, J., & Tachihara, K. 2009, A&A, 499, 503 [NASA ADS] [CrossRef] [EDP Sciences] [Google Scholar]
  31. Lucas, R., & Liszt, H. S. 1994, A&A, 282, L5 [Google Scholar]
  32. Lucas, R., & Liszt, H. S. 1996, A&A, 307, 237 [NASA ADS] [Google Scholar]
  33. McCall, B. J., Hinkle, K. H., Geballe, T. R., et al. 2002, ApJ, 567, 391 [NASA ADS] [CrossRef] [Google Scholar]
  34. Morton, D. C. 1975, ApJ, 197, 85 [NASA ADS] [CrossRef] [Google Scholar]
  35. Münch, I. G. 1952, ApJ, 116, 575 [Google Scholar]
  36. Pety, J., Lucas, R., & Liszt, H. S. 2008, A&A, 489, 217 [NASA ADS] [CrossRef] [EDP Sciences] [Google Scholar]
  37. Rachford, B. L., Snow, T. P., Destree, J. D., et al. 2009, ApJSS, 180, 125 [NASA ADS] [CrossRef] [Google Scholar]
  38. Savage, B. D., Drake, J. F., Budich, W., & Bohlin, R. C. 1977, ApJ, 216, 291 [NASA ADS] [CrossRef] [Google Scholar]
  39. Schlegel, D. J., Finkbeiner, D. P., & Davis, M. 1998, ApJ, 500, 525 [NASA ADS] [CrossRef] [Google Scholar]
  40. Sheffer, Y., Rogers, M., Federman, S. R., et al. 2008, ApJ, 687, 1075 [NASA ADS] [CrossRef] [Google Scholar]
  41. Sheffer, Y., Rogers, M., Federman, S. R., Lambert, D. L., & Gredel, R. 2007, ApJ, 667, 1002 [NASA ADS] [CrossRef] [Google Scholar]
  42. Sofia, U. J., Lauroesch, J. T., Meyer, D. M., & Cartledge, S. I. B. 2004, ApJ, 605, 272 [NASA ADS] [CrossRef] [Google Scholar]
  43. Sonnentrucker, P., Welty, D. E., Thorburn, J. A., & York, D. G. 2007, ApJSS, 168, 58 [NASA ADS] [CrossRef] [Google Scholar]
  44. Spitzer, L. 1978, Physical processes in the interstellar medium (New York: Wiley-Interscience) [Google Scholar]
  45. Tachihara, K., Abe, R., Onishi, T., Mizuno, A., & Fukui, Y. 2000, Publ. Astron. Soc. Jpn., 52, 1147 [Google Scholar]
  46. Van Dishoeck, E. F., & Black, J. H. 1986, ApJSS, 62, 109 [NASA ADS] [CrossRef] [Google Scholar]
  47. Watson, W. D., Anicich, V. G., & Huntress, W. T., J. 1976, ApJ, 205, L165 [NASA ADS] [CrossRef] [Google Scholar]
  48. Weselak, T., Galazutdinov, G. A., Beletsky, Y., & Kre▯owski, J. 2010, Mon. Not. R. Astron. Soc., 402, 1991 [Google Scholar]
  49. Wu, J., Evans, II, N. J., Gao, Y., et al. 2005, ApJ, 635, L173 [NASA ADS] [CrossRef] [Google Scholar]
  50. Young, J. S., & Scoville, N. 1982, ApJ, 258, 467 [NASA ADS] [CrossRef] [Google Scholar]

Online Material

Appendix E: Data

The data shown in Fig. 1 are tabulated in Tables E.1 and E.2. The sources of these data are discussed in Sect. 2.

Table E.1:   Data used in this work.

Table E.2:   Data used in this work (continued).

Footnotes

... gas?[*]
Appendix E is only available in electronic form at http://www.aanda.org
... width[*]
The actual ensemble averaged value of $\ensuremath{ \left< \ensuremath{{W}_\ensuremath{{\rm CO}}}\sin\ensuremath{\left\vert b \right\vert } \right> } $ is substantially larger $0.42\pm0.66$  \ensuremath{{\rm ~K~km~s^{-1}}}.
... density[*]
It is also recognized that more precise tracers of the high-density star-forming material may be needed in extreme environments such as ULIRG (Wu et al. 2005).
Copyright ESO 2010

All Tables

Table E.1:   Data used in this work.

Table E.2:   Data used in this work (continued).

All Figures

  \begin{figure}
\par\includegraphics[height=8cm,clip]{14510f1.eps} \vspace*{-2.5mm}
\end{figure} Figure 1:

Atomic and molecular absorption and emission vs. total reddening. Left: Integrated VLA \ensuremath{{\rm H\mathsc{i}}} optical depth from Dickey et al. (1983) and this work. Middle: integrated PdBI \ensuremath {{\rm HCO^+}} optical depth from Lucas & Liszt (1996) and this work. Right: integrated ARO12m CO J=1-0 brightness at 1$^\prime $ resolution. In each case the horizontal axis is the total line of sight reddening EB-V (Schlegel et al. 1998). For explanation of the symbols used in the plots, see Sect. 3.

Open with DEXTER
In the text

  \begin{figure}
\par\includegraphics[height=7.3cm,clip]{14510f2.eps} \vspace*{-2.5mm}
\end{figure} Figure 2:

Integrated CO brightness plotted against 1/sin(|b|). For comparison, a line is shown for the case of a plane-parallel Gaussian layer with vertical dispersion ${\sigma }_{z}$, when ${\sigma }_{z}$ \ensuremath {f_\ensuremath {{\rm\ensuremath {{\rm H_2}}}}} = 30 pc and $\ensuremath{N_{\rm H_2}} /\ensuremath{{W}_\ensuremath{{\rm CO}}} = 2 \times 10^{20} ~\ensuremath{{\rm H_2}} ~{\rm cm}^{-2}/(\ensuremath{{\rm ~K~km~s^{-1}}} )$.

Open with DEXTER
In the text

  \begin{figure}
\par\includegraphics[height=14cm,clip]{14510f3.eps}\vspace*{-3mm}
\end{figure} Figure A.1:

Line profiles toward and near B0355+508 = NRAO150. Bottom: absorption line profiles of H I, \ensuremath {{\rm HCO^+}}, \ensuremath {{\rm ^{12}CO}}, \ensuremath {{\rm ^{13}CO}}(multiplied by 2) and HNC; \ensuremath{{\rm H\mathsc{i}}} absorption and emission are present over a much broader velocity range than shown here. Top: Emission from \ensuremath {{\rm ^{12}CO}}, \ensuremath {{\rm ^{13}CO}}(scaled upward by a factor 3) and \ensuremath {{\rm HCO^+}} (scaled upward by a factor 100). The \ensuremath {{\rm HCO^+}} profile is an average over a 3.5$^\prime $ region around the continuum (to avoid absorption). See Appendix A.

Open with DEXTER
In the text

  \begin{figure}
\par\includegraphics[height=6.5cm,clip]{14510f4.eps}
\end{figure} Figure B.1:

Total hydrogen column density vs. integrated \ensuremath{{\rm H\mathsc{i}}} optical depth for the sources studied by Heiles & Troland (2003). Lines of sight with EB-V < 0.09 mag were not included in the regression fit, to point out the upturn at low \ensuremath{\int \tau(\ensuremath{{\rm\ensuremath{{\rm H\mathsc{i}}}}})~{\rm d}v}. See Appendix B.

Open with DEXTER
In the text

  \begin{figure}
\par\includegraphics[height=7cm,clip]{14510f5.eps}
\end{figure} Figure C.1:

Integrated CO J=1-0 brightness plotted against the integrated \ensuremath {{\rm HCO^+}} J=1-0 optical depth. $\ensuremath{N_{\ensuremath{{\rm HCO^+}}}} = 1.12\times10^{12} ~{\rm cm}^{-2}
\e...
...math{{\rm\ensuremath{{\rm HCO^+}}}})~{\rm d}v}/1~\mbox{km~s$^{-1}$ } \right) } $. See Appendix D.

Open with DEXTER
In the text


Copyright ESO 2010

Current usage metrics show cumulative count of Article Views (full-text article views including HTML views, PDF and ePub downloads, according to the available data) and Abstracts Views on Vision4Press platform.

Data correspond to usage on the plateform after 2015. The current usage metrics is available 48-96 hours after online publication and is updated daily on week days.

Initial download of the metrics may take a while.