| Issue |
A&A
Volume 518, July-August 2010
Herschel: the first science highlights
|
|
|---|---|---|
| Article Number | L50 | |
| Number of page(s) | 4 | |
| Section | Letters | |
| DOI | https://doi.org/10.1051/0004-6361/201014533 | |
| Published online | 16 July 2010 | |
Herschel: the first science highlights
LETTER TO THE EDITOR
The Herschel Virgo Cluster Survey
III. A constraint on dust grain lifetime in early-type galaxies![[*]](/icons/foot_motif.png)
M. S. Clemens1 - A. P. Jones2 - A. Bressan1,3 - M. Baes4 - G. J. Bendo5 - S. Bianchi6 - D. J. Bomans7 - A. Boselli8 - E. Corbelli6 - L. Cortese9 - A. Dariush9 - J. I. Davies9 - I. De Looze4 - S. di Serego Alighieri6 - D. Fadda10 - J. Fritz 4 - D. A. Garcia-Appadoo11 - G. Gavazzi12 - C. Giovanardi6 - M. Grossi13 - T. M. Hughes9 - L. K. Hunt6 - S. Madden14 - D. Pierini15 - M. Pohlen9 - S. Sabatini16 - M. W. L. Smith9 - J. Verstappen4 - C. Vlahakis17 - E. M. Xilouris18 - S. Zibetti19
1 - INAF-Osservatorio Astronomico di Padova, Vicolo dell'Osservatorio 5, 35122 Padova, Italy
2 -
Institut d'Astrophysique Spatiale (IAS), Bâtiment 121, Université Paris-Sud 11 and CNRS, 91405 Orsay, France
3 -
SISSA-ISAS, International School for Advanced Studies, via Beirut 4, 34014 Trieste, Italy
4 -
Sterrenkundig Observatorium, Universiteit Gent, Krijgslaan 281 S9, 9000 Gent, Belgium
5 -
Astrophysics Group, Imperial College London, Blackett Laboratory, Prince Consort Road, London SW7 2AZ, UK
6 -
INAF-Osservatorio Astrofisico di Arcetri, Largo Enrico Fermi 5, 50125 Firenze, Italy
7 -
Astronomical Institute, Ruhr-University Bochum, Universitaetsstr. 150, 44780 Bochum, Germany
8 -
Laboratoire d'Astrophysique de Marseille, UMR 6110 CNRS, 38 rue F. Joliot-Curie, 13388 Marseille, France
9 -
Department of Physics and Astronomy, Cardiff University, The Parade, Cardiff, CF24 3AA, UK
10 -
NASA Herschel Science Center, California Institute of Technology, MS 100-22, Pasadena, CA 91125, USA
11 -
ESO, Alonso de Cordova 3107, Vitacura, Santiago, Chile
12 -
Università di Milano-Bicocca, piazza della Scienza 3, 20100, Milano, Italy
13 -
CAAUL, Observatório Astronómico de Lisboa, Universidade de Lisboa,
Tapada da Ajuda, 1349-018, Lisboa, Portugal
14 -
Laboratoire AIM, CEA/DSM - CNRS - Université Paris Diderot, Irfu/Service d'Astrophysique, 91191 Gif sur Yvette, France
15 -
Max-Planck-Institut fuer extraterrestrische Physik, Giessenbachstrasse, Postfach 1312, 85741, Garching, Germany
16 -
INAF-Istituto di Astrofisica Spaziale e Fisica Cosmica, via Fosso del Cavaliere 100, 00133, Roma, Italy
17 -
Leiden Observatory, Leiden University, PO Box 9513, 2300 RA Leiden, The Netherlands
18 -
National Observatory of Athens, I. Metaxa and Vas. Pavlou, P. Penteli, 15236 Athens, Greece
19 -
Max-Planck-Institut fuer Astronomie, Koenigstuhl 17, 69117 Heidelberg, Germany
Received 29 March 2010 / Accepted 30 April 2010
Abstract
Passive early-type galaxies (ETGs) provide an ideal laboratory for
studying the interplay between dust formation around evolved stars
and its subsequent destruction in a hot gas.
Using Spitzer-IRS and Herschel data we compare the dust production rate
in the envelopes of evolved AGB stars with a constraint on the total dust
mass. Early-type galaxies which appear to be truly passively evolving
are not detected by Herschel. We thus derive a distance independent upper
limit to the dust grain survival time in the hostile environment of ETGs of
Myr for amorphous silicate grains. This implies
that ETGs which are detected at far-infrared wavelengths have acquired
a cool dusty medium via interaction. Given likely time-scales for
ram-pressure stripping, this also implies that only galaxies with dust
in a cool (atomic) medium can release dust into the intra-cluster medium.
Key words: galaxies: elliptical and lenticular, cD - galaxies: ISM - infrared: galaxies
1 Introduction
In this paper we compare the dust outflow rate from the evolved AGB stars in passive ETGs, with the total dust mass, to estimate dust grain lifetimes. Both quantities are derived from observations; the outflow rate from Spitzer-IRS spectra, and the total dust mass from Herschel (Pilbratt et al. 2010) maps of the Herschel Virgo Cluster Survey, HeViCS (Davies et al. 2010, www.hevics.org). We assume that evolved stars are the only source of dust in these passive systems as there is very little evidence that type Ia supernovae produce dust.
IRAS data have been used in the past in a similar way. Soifer et al. (1986) estimated the
mass-loss from evolved stars in the bulge of M 31 from 12 and
fluxes and
the total dust mass from the 60 and
fluxes. They concluded that given
that the observed dust mass could be produced by stellar outflowsin
only 107 yr, there must be some mechanism that depletes the bulge of inter-stellar
matter. Jura et al. (1987)
made similar calculations for a sample of elliptical galaxies. They
estimated dust outflow rates by assuming that half of the
flux came from dusty stellar envelopes. They also found that the stellar mass-loss rate
would be sufficient to produce the observed cool ISM in much less than a Hubble time.
Dust mass production rate and total
dust mass can only reasonably be compared in objects that are truly passively
evolving. Temi et al. (2007) find, that for a given blue luminosity, the 70 and
luminosities vary by 2 orders of magnitude, indicating that many ETGs have a
significant dust component not directly attributable to mass-loss from evolved stars.
For our purposes, these ETGs are not ``passive'' because other processes (mergers?)
have probably contributed to the dust mass.
Recent studies of ETGs with Spitzer (Bressan et al. 2006; Clemens et al. 2009)
have shown that even in samples of ETGs selected to be the most passive objects (i.e. lying
on the colour-magnitude relation) a significant fraction show evidence of either on-going
or recent past star formation. These results indicate that ETGs in which dust features are
seen in the optical (e.g. Sadler & Gerhard 1985) and many that have been detected by
IRAS at 60 and
(Knapp et al. 1989) and Spitzer at 70 and
(Kaneda et al. 2007) may also host low levels of star formation. Intriguigly, of the 7
ellipticals detected at 70 and
by Kaneda et al. (2007) the only object not showing PAH emission features is actually a radio source, so that the far-infrared emission
is probably synchrotron!
Tsai & Mathews (1995) studied dust destruction in ETGs via thermal sputtering in the
hot (
106-107 K), low density (
cm-3) gas, and found that
the destruction time-scale is short compared to any cooling flow or dust transport
time-scale. They therefore concluded that dust is destroyed ``on the spot'' before it has
time to migrate within a galaxy. In a following work, Tsai & Mathews (1996)
found dust-to-gas mass ratios that are orders of magnitude less than that in typical stellar
ejecta or in the ISM of the Milky Way. Their interpretation of the IRAS data was, at that time,
hampered by the resolution of the existing observations; they were therefore not able to tie
down the origin and distribution of the observed dust emission.
As part of the Herschel science demonstration phase (SDP), a
field,
centred approximately on M 87, has been observed as part of the HeViCS with both the PACS
(Poglitsch et al. 2010) and SPIRE (Griffin et al. 2010) instruments. See Davies et al. (2010)
for details.
2 Results
Bressan et al. (2006) observed a sample of ETGs in the Virgo cluster with Spitzer-IRS. The objects were selected to lie on the optical colour-magnitude relation and were expected to be passively evolving objects. The mid-infrared spectra for this sample showed that only 76% were actually passive objects, with the remainder showing signs of either on-going or recent past star formation (PAH features) or AGN activity (atomic lines). Of this sample of 17 galaxies, 9 lie in the HeViCS SDP field. 6 of these show IRS spectra consistent with passively evolving stellar populations (with the possible exception of NGC 4371), and it is these 6 objects, listed in Table 1, on which we base our study.2.1 Dust mass detection limit
Of the 6 passive ETGs in the HeViCS SDP field, none are detected at any wavelength
(100, 160, 250, 350 and
)
.
Because of the sensitivity of the emission at the shorter PACS
wavelengths to small masses of relatively warm dust, we consider only the SPIRE images at 250,
350 and
to determine the dust mass detection limit.
Our mass detection limit depends on whether we consider the detection of an extended or
point source. For passive galaxies, the dust should follow the stellar distribution, and
thus be strongly centrally peaked.
As the core radius of an elliptical galaxy at the distance of the Virgo cluster
is typically less than the resolution of the SPIRE images (respectively
,
and
)
the most likely detection
would take the form of a point source.
Unless the dust is very cold (
K) the tightest limit on the dust emission
comes from the
map. This has a point source detection limit of
mJy. We calculate the dust mass detection limit as (Hildebrand 1983):
|
(1) |
where D is the distance to the Virgo cluster (16.5 Mpc, Mei et al. 2007) and
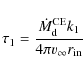
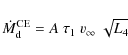
2.2 Dust production rate from AGB stars
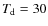
Assuming a spherically symmetric, stationary stellar wind of velocity
,
and
dust mass-loss rate
the circumstellar dust density is,
The optical depth of the circumstellar envelope,
where
where L4 is the bolometric luminosity in units of
|
Figure 1: Spitzer-IRS spectrum of NGC 4473. The fitted model components are the stellar photosphere, and dusty circumstellar envelope (CE). The spectrum of NGC 4371 is shifted by 0.2 dex. |
| Open with DEXTER | |
Table 1:
Dust mass loss rates and grain lifetimes,
.
To determine the dust mass-loss rate from the MIR spectrum we fit a combination of
a pure photospheric atmosphere, a MARCS model (Gustafsson et al. 2008)
of 4000 K, plus the emission from a dusty envelope
selected from the library of Bressan et al. (1998), as described in Bressan et al. (2007).
We thus obtain the fraction of flux, say at 10
m,
(10
m), due to dusty circumstellar envelopes, and,
from the distance of the galaxy, the corresponding ``dust'' luminosity
sampled by the slit,
(10
m).
Surprisingly, though ETGs contain a mixture of evolved stars of different metallicity and age, a single dusty envelope is typically enough for a good fit to the MIR spectrum.
The shape of the broad feature near 10
m in general requires
-4, and so the envelopes are optically thin at 10
m.
From the shape of the 10
m feature we thus derive
the optical depth of the ``average'' AGB star. To compute its
dust mass-loss rate through Eq. (4) we need
to assume a bolometric luminosity and wind velocity.
Typical values for evolved, old stars are
-0.4
and
km s-1.
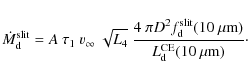
The total dust mass-loss sampled by the slit is finally obtained by multiplying the
value for the ``average'' AGB star by the number of dusty AGB stars sampled by the
slit. This is given by the ratio of the dust luminosity of the galaxy to that of the
``average'' AGB star,
(10
m). Thus, the total dust mass-loss sampled by
the slit is,
Summarizing, the spectral fit provides
We finally note that recent work (Boyer et al. 2010) has shown dust to be released into the ISM only by AGB stars, contrary to some claims that RGB stars also contribute.
2.3 Dust grain lifetimes
Dust mass-loss rates were derived from Spitzer-IRS spectra that were taken through a slit
of dimensions
3
6 centred on the galaxy. In order to
compare these values with the dust masses within one
beam we assume that
the light distribution in the mid and far-infrared are similar, and that both are similar to
that at K-band. For each galaxy, we use the 2MASS K-band image, smoothed to the Spitzer-IRS
spatial resolution, to determine the flux within the IRS slit. We then smooth the K-band image
to the Herschel
resolution and calculate the flux within one beam. We use the ratio of
these two fluxes to derive the mass-loss rate from the area of one Herschel beam.
We derive dust grain lifetimes simply as the ratio of dust mass detection limit to dust
mass-loss rate,
.
Our dust mass detection limit of
for silicate grains results in grain
lifetimes as given in Table 1. The tightest constraint, of
Myr,
is provided by NGC 4473. The error reflects the uncertainties in
and L4. In
Table 2 we provide the values used to arrive at
this grain lifetime and their dependencies. For dust temperatures in the range 20-40 K,
for example, the grain lifetime lies in the range 69-31 Myr.
Table 2: Parameter values for calculation of grain lifetime and the power of their dependence on the derived lifetime.
If dust grains are destroyed via sputtering in the
106-107 K gas in ETGs then the
theoretically, expected dust grain lifetime in years is
(e.g., Tielens et al. 1994), where
is the grain radius in nm,
is the gas density in cm-3 and
for silicate dust (210 for amorphous carbon, 1500 for graphite) so
the grain lifetime should be longer in galaxies with a lower density hot ISM.
Of our sample, NGC 4371 and NGC 4474 both lie in the least X-ray luminous category
as defined by Irwin & Sarazin (1998). NGC 4564 has been observed by Chandra, and the central
hot gas density estimated to be
by Soria et al. (2006). These
authors analyzed a sample of ``quiescent'' galaxies and found central gas densities in the range
0.011-
.
These values overlap with the low end of estimates from Chandra
data of more general ETG samples (Pellegrini 2005). We thus assume a hot gas
density of
for all our ETGs. The expected dust grain lifetime, for
``typical'' 100 nm silicate grains is 1.55 Myr (1.05 for amorphous hydrocarbon,
7.5 for graphite) and thus consistent with our non-detections.
3 Discussion and conclusions
We interpret the ratio of dust mass to dust production rate as a measure of grain lifetime. In principle, however, dust could be removed from the galaxy rather than destroyed.
A wind of hot gas produced by type Ia supernovae probably cannot drive dust (or gas) out of the potential well of massive ETGs (Mathews & Loewenstein 1986). However, good evidence of ram-pressure stripping of the hot ISM in elliptical galaxies has been found in the form of X-ray tails (Randall et al. 2008; Machacek et al. 2006). If dust is found in this hot gas then it too may be removed. However, the timescale for such stripping is estimated to be of the order a few 108 yr (Takeda et al. 1984; Murakami & Babel 1999, Eq. (12)) which is an order of magnitude longer than our upper limit to the grain lifetime. The observation that the X-ray emission of most ETGs is not displaced from the stellar distribution, in fact, suggestes that either the stripping time-scale is longer than the hot gas production time-scale or that the ram-pressure is typically insufficient to remove the hot medium. It is now clear that if dust is isolated from the hot medium in denser, cooler clouds, than ram-pressure does have time to strip dust (Cortese et al. 2010) but the passive ETGs in our study do not show any evidence of accumulating dust in such clouds. Passive ETGs do not directly pollute the intra-cluster medium with dust.
Grain lifetimes of <46 Myr have immediate implications for ETGs that
are detected in the FIR. Either they produce dust at rates
much higher than those given in Table 1 or their dust is shielded from the hot gas in
cool clouds. For example, the dust mass of NGC 4435 of
would
require a total dust production rate of
yr-1, more than an order of
magnitude greater than any value in Table 1. This object is known to host star
formation (Panuzzo et al. 2007) and so dust is likely to be in cool clouds more typical of
late-type galaxies; grain lifetimes in this case may be much longer. Dust may have been
acquired from an interaction, but in any case it probably arrived as part of a cooler
medium.
In a passive ETG, the ISM, and the dust within it, come mainly from mass-loss from evolved
stars. Unless the dust-to-gas ratio in this released material is very variable, one would
expect dust and gas production to follow one another. If the X-ray luminosity,
one would naively expect a relation
.
However, if the grain lifetime,
,
then we would expect only a linear correlation between
and
.
Kaneda et al. (2007)
find evidence of an anti-correlation for a small sample of elliptical galaxies
detected by Spitzer-MIPS, but this may be expected if the dust were of external origin.
Only NGC 4371 is detected by MIPS at
(marginally at
). The detection is consistent with our Herschel detection limits.
This object actually shows extremely weak PAH features in its Spitzer-IRS
spectrum, and is therefore probably not totally passive. The object is included for comparison, and
its IRS spectrum included in Fig. 1.
We have assumed that AGB stars are the only source of dust. Were type Ia supernovae able to
produce dust from the metals they produce, we estimate that the contribution to the dust
production rate would be, at most, similar to that of AGB stars. Our limit on grain lifetime
would be a factor of
2 lower in this case.
Although dust grains are rather short-lived in ETGs, the prospects for survival in the intra-cluster medium are rather better because the gas densities are typically at least 2 orders of magnitude lower than in ETGs (Böhringer et al. 1994). Therefore, if dust can be removed from cluster galaxies, or form in the intra-cluster medium, there is a good chance that such dust will be detected by the HeViCS, especially at larger cluster radii where gas densities are lower.
AcknowledgementsM.C. and A.B. acknowledge support from contract ASI/INAF I/016/07/0.
References
- Böhringer, H., Briel, U. G., Schwarz, R. A., et al. 1994, Nature, 368, 828 Boyer, M. L., van Loon, J. Th., McDonald, I., et al. 2010, ApJ, 711, L99 [NASA ADS] [CrossRef] [Google Scholar]
- Bressan, A., Granato, G. L., & Silva, L. 1998, A&A, 332, 135 [NASA ADS] [Google Scholar]
- Bressan, A., Panuzzo, P., Buson, L., et al. 2006, ApJ, 639, L55 [NASA ADS] [CrossRef] [Google Scholar]
- Bressan, A., Panuzzo, P., Silva, L., et al., 2007, ASPC, 374, 333 [NASA ADS] [Google Scholar]
- Clemens, M. S., Bressan, A., Panuzzo, P., et al. 2009, MNRAS, 392, 982 [NASA ADS] [CrossRef] [Google Scholar]
- Cortese, L., et al. 2010, A&A, 518, L49 [NASA ADS] [CrossRef] [EDP Sciences] [Google Scholar]
- Davies, J. I., et al. 2010, A&A, 518, L48 [NASA ADS] [CrossRef] [EDP Sciences] [Google Scholar]
- Draine, B. T., & Lee, H. M. 1984, ApJ, 285, 89 [Google Scholar]
- Granato, G. L., & Danese, L. 1994, MNRAS, 268, 235 [NASA ADS] [CrossRef] [Google Scholar]
- Griffin, M. J., et al. 2010, A&A, 518, L3 [Google Scholar]
- Gustafsson, B., Edvardsson, B., Eriksson, K., et al. 2008, A&A, 486, 951 [NASA ADS] [CrossRef] [EDP Sciences] [Google Scholar]
- Hildebrand, R. H. 1983, QJRAS, 24, 267 [NASA ADS] [Google Scholar]
- Irwin, J. A., & Sarazin, C. L. 1998, ApJ, 499, 650 [NASA ADS] [CrossRef] [Google Scholar]
- Jura, M., Kim, D. W., Knapp, G. R., & Guhathakurta, P. 1987, ApJ, 312, L11 [NASA ADS] [CrossRef] [Google Scholar]
- Kaneda, H., Onaka, T., Kitayama, T., Okada, Y., & Sakon, I. 2007, PASJ, 59, 107 [NASA ADS] [Google Scholar]
- Knapp, G. R., Guhathakurta, P., Kim, D.-W., & Jura, M. A. 1989, ApJS, 70, 329 [NASA ADS] [CrossRef] [Google Scholar]
- Machacek, M., Jones, C., Forman, W. R., & Nulsen, P. 2006, ApJ, 644, 155 [NASA ADS] [CrossRef] [Google Scholar]
- Mathews, W. G., & Loewenstein, M. 1986, ApJ, 306, L7 [NASA ADS] [CrossRef] [Google Scholar]
- Mei, S., Blakeslee, J. P., Côté, P., et al. 2007, ApJ, 655, 144 [NASA ADS] [CrossRef] [Google Scholar]
- Murakami, I., & Babul, A. 1999, MNRAS, 309, 161 [NASA ADS] [CrossRef] [Google Scholar]
- Panuzzo, P., Vega, O., Bressan, A., et al. 2007, ApJ, 656, 206 [NASA ADS] [CrossRef] [Google Scholar]
- Pellegrini, S. 2005, ApJ, 624, 155 [NASA ADS] [CrossRef] [Google Scholar]
- Pilbratt, G. L., et al. 2010, A&A, 518, L1 [CrossRef] [EDP Sciences] [Google Scholar]
- Poglitsch, A., et al. 2010, A&A, 518, L2 [NASA ADS] [CrossRef] [EDP Sciences] [Google Scholar]
- Randall, S., Nulsen, P., Forman, W. R., et al. 2008, ApJ, 688, 208 [NASA ADS] [CrossRef] [Google Scholar]
- Rouleau, F., & Martin, P. G. 1991, ApJ, 377, 526 [NASA ADS] [CrossRef] [Google Scholar]
- Sadler, E. M., & Gerhard, O. E. 1985, MNRAS, 214, 177 [NASA ADS] [Google Scholar]
- Serra Díaz-Cano, L., & Jones, A. P. 2008, A&A, 492, 127 [NASA ADS] [CrossRef] [EDP Sciences] [Google Scholar]
- Soifer, B. T., Rice, W. L., Mould, J. R., et al. 1986, ApJ, 304, 651 [NASA ADS] [CrossRef] [Google Scholar]
- Soria, R., Fabbiano, G., Graham, A. W., et al. 2006, ApJ, 640, 126 [NASA ADS] [CrossRef] [Google Scholar]
- Takeda, H., Nulsen, P. E. J., & Fabian, A. C. 1984, MNRAS, 208, 261 [NASA ADS] [Google Scholar]
- Temi, P., Brighenti, F., & Mathews, W. G. 2007, ApJ, 660, 1215 [NASA ADS] [CrossRef] [Google Scholar]
- Tielens, A. G. G. M., McKee, C. F., Seab, C. G., & Hollenbach, D. J. 1994, ApJ, 431, 321 [NASA ADS] [CrossRef] [Google Scholar]
- Tsai, J. C., & Mathews, W. G. 1995, ApJ, 448, 84 [NASA ADS] [CrossRef] [Google Scholar]
- Tsai, J. C., & Mathews, W. G. 1996, ApJ, 468, 571 [NASA ADS] [CrossRef] [Google Scholar]
Footnotes
- ... galaxies
- Herschel is an ESA space observatory with science instruments provided by European-led Principal Investigator consortia and with important participation from NASA.
- ...
)
- We note that several ETGs are detected in the SDP field, including M 87, M 84, M 86, NGC 4459, NGC 4435 and NGC 4550, but none of these are truly passively evolving.
- ...

- Were the
dust composed of amorphous carbon (Serra Diaz-Caño & Jones 2008) then
(Rouleau & Martin 1991) and the mass
detection limit
.
All Tables
Table 1:
Dust mass loss rates and grain lifetimes,
.
Table 2: Parameter values for calculation of grain lifetime and the power of their dependence on the derived lifetime.
All Figures
|
Figure 1: Spitzer-IRS spectrum of NGC 4473. The fitted model components are the stellar photosphere, and dusty circumstellar envelope (CE). The spectrum of NGC 4371 is shifted by 0.2 dex. |
| Open with DEXTER | |
| In the text | |
Copyright ESO 2010
Current usage metrics show cumulative count of Article Views (full-text article views including HTML views, PDF and ePub downloads, according to the available data) and Abstracts Views on Vision4Press platform.
Data correspond to usage on the plateform after 2015. The current usage metrics is available 48-96 hours after online publication and is updated daily on week days.
Initial download of the metrics may take a while.
![\begin{figure}
\par\includegraphics[width=6cm,angle=90,clip]{14533_fig1.eps}
\end{figure}](/articles/aa/full_html/2010/10/aa14533-10/Timg39.png)