Issue
A&A
Volume 518, July-August 2010
Herschel: the first science highlights
Article Number L79
Number of page(s) 5
Section Letters
DOI https://doi.org/10.1051/0004-6361/201014579
Published online 16 July 2010
A&A 518, L79 (2010)

Herschel: the first science highlights

LETTER TO THE EDITOR

HIFI observations of warm gas in DR21: Shock versus radiative heating[*]

V. Ossenkopf1,2 -  M. Röllig1 -  R. Simon1 -  N. Schneider3 -  Y. Okada1 -  J. Stutzki1 -  M. Gerin4 -  M. Akyilmaz1 -  D. Beintema2 - A. O. Benz5 - O. Berne6 - F. Boulanger7 - B. Bumble8 - O. Coeur-Joly9,10 - C. Dedes5 - M. C. Diez-Gonzalez11 - K. France12 - A. Fuente13 - J. D. Gallego11 - J. R. Goicoechea14 - R. Güsten15 - A. Harris16 - R. Higgins17,1 - B. Jackson2 - C. Jarchow18 - C. Joblin9,10 - T. Klein15 - C. Kramer19 - S. Lord20 - P. Martin12 - J. Martin-Pintado14 - B. Mookerjea21 - D. A. Neufeld22 - T. Phillips23 - J. R. Rizzo14 - F. F. S. van der Tak2,24 - D. Teyssier25 - H. Yorke8

1 - I. Physikalisches Institut der Universität zu Köln, Zülpicher Straße 77, 50937 Köln, Germany
2 - SRON Netherlands Institute for Space Research, PO Box 800, 9700 AV Groningen, The Netherlands
3 - Laboratoire AIM, CEA/DSM - INSU/CNRS - Université Paris Diderot, IRFU/SAp CEA-Saclay, 91191 Gif-sur-Yvette, France
4 - LERMA & UMR 8112 du CNRS, Observatoire de Paris and École Normale Supérieure, 24 Rue Lhomond, 75231 Paris Cedex 05, France
5 - Institute for Astronomy, ETH Zürich, 8093 Zürich, Switzerland
6 - Leiden Observatory, Universiteit Leiden, PO Box 9513, 2300 RA Leiden, The Netherlands
7 - Institut d'Astrophysique Spatiale, Université Paris-Sud, Bât. 121, 91405 Orsay Cedex, France
8 - Jet Propulsion Laboratory, 4800 Oak Grove Drive, MC 302-231, Pasadena, CA 91109, USA
9 - Université de Toulouse, UPS, CESR, 9 avenue du colonel Roche, 31028 Toulouse Cedex 4, France
10 - CNRS, UMR 5187, 31028 Toulouse, France
11 - Observatorio Astronómico Nacional (IGN), Centro Astronómico de Yebes, Apartado 148, 19080 Guadalajara, Spain
12 - Department of Astronomy and Astrophysics, University of Toronto, 60 St. George Street, Toronto, ON M5S 3H8, Canada
13 - Observatorio Astronómico Nacional (OAN), Apdo. 112, 28803 Alcalá de Henares (Madrid), Spain
14 - Centro de Astrobiología, CSIC-INTA, 28850 Madrid, Spain
15 - Max-Planck-Institut für Radioastronomie, Auf dem Hügel 69, 53121 Bonn, Germany
16 - Astronomy Department, University of Maryland, College Park, MD 20742, USA
17 - Experimental Physics Dept., National University of Ireland: Maynooth, Co. Kildare, Ireland
18 - MPI für Sonnensystemforschung, 37191 Katlenburg-Lindau, Germany
19 - Instituto de Radio Astronomía Milimétrica (IRAM), Avenida Divina Pastora 7, Local 20, 18012 Granada, Spain
20 - IPAC/Caltech, MS 100-22, Pasadena, CA 91125, USA
21 - Tata Institute of Fundamental Research (TIFR), Homi Bhabha Road, Mumbai 400005, India
22 - Department of Physics and Astronomy, Johns Hopkins University, 3400 North Charles Street, Baltimore, MD 21218, USA
23 - California Institute of Technology, 320-47, Pasadena, CA 91125-4700, USA
24 - Kapteyn Astronomical Institute, University of Groningen, PO Box 800, 9700 AV Groningen, The Netherlands
25 - European Space Astronomy Centre, Urb. Villafranca del Castillo, PO Box 50727, Madrid 28080, Spain

Received 30 March 2010 / Accepted 20 April 2010

Abstract
Context. The molecular gas in the DR21 massive star formation region is known to be affected by the strong UV field from the central star cluster and by a fast outflow creating a bright shock. The relative contribution of both heating mechanisms is the matter of a long debate.
Aims. By better sampling the excitation ladder of various tracers we provide a quantitative distinction between the different heating mechanisms.
Methods. HIFI observations of mid-J transitions of CO and HCO+ isotopes allow us to bridge the gap in excitation energies between observations from the ground, characterizing the cooler gas, and existing ISO LWS spectra, constraining the properties of the hot gas. Comparing the detailed line profiles allows to identify the physical structure of the different components.
Results. In spite of the known shock-excitation of H2 and the clearly visible strong outflow, we find that the emission of all lines up to $\ga$2 THz can be explained by purely radiative heating of the material. However, the new Herschel/HIFI observations reveal two types of excitation conditions. We find hot and dense clumps close to the central cluster, probably dynamically affected by the outflow, and a more widespread distribution of cooler, but nevertheless dense, molecular clumps.

Key words: ISM: structure - ISM: kinematics and dynamics - ISM: molecules - HII regions - submillimeter: ISM

1 Introduction

DR21 is a deeply embedded H  II region created by the radiation from at least six OB stars (Roelfsema et al. 1989). It sits within a ridge of dense molecular material that obscures the H  II-region at optical wavelengths. The embedded cluster drives a violent bipolar outflow in north-east to south-west direction. It is prominent in the 2 $\mu$m emission of vibrationally excited H2, tracing hot, shocked gas and in the Spitzer 4.5 $\mu$m channel (Davis et al. 2007; Garden et al. 1986). As the cluster is located close to the eastern edge of the molecular ridge, the eastern, blue-shifted outflow expands in a blister-like fountain, while the western, red-shifted outflow is highly collimated (Lane et al. 1990).

Spitzer$\mu$m images reveal spots of bright PAH emission with a size below 10'' (Marston et al. 2004). They represent the surfaces of high-density, UV irradiated clumps, forming photon-dominated (or photo-dissociation) regions (PDRs), transition zones from ionized and atomic gas to dense molecular gas where physics and chemistry are dominated by UV radiation from young stars (Ossenkopf et al. 2007; Hollenbach & Tielens 1999). These hot and dense regions give rise to the emission of PDR tracers, such as HCO+, high-J CO, atomic and ionized carbon, and atomic oxygen.

An overview on the numerous existing observations in DR21 is given by Schneider et al. (2006) and Jakob et al. (2007). In spite of the wealth of data, the heating of the molecular gas is still debated. The bright H2 emission indicates shock heating in the outflow and the wings of the molecular lines prove its dynamical impact, but excitation models of the observed emission of CO, [C  I], [C  II], and [O  I] by Lane et al. (1990) and Jakob et al. (2007) have shown that the emission of those tracers cannot be explained by shocks, but is consistent with a pure UV heating, i.e., PDR physics.

To quantify the heating of the gas, we analyze spectra taken with the HIFI instrument (de Graauw et al. 2010) on board the Herschel Space Observatory (Pilbratt et al. 2010) during the performance verification campaign. Observations of high-J HCO+ transitions trace hot material, ionized by UV radiation or X-rays (Sternberg & Dalgarno 1995). Hot water lines are produced in shocked gas (Snell et al. 2005), and observations of CO isotopes around J=10 close the gap in the excitation ladder between ground-based observations and existing ISO data, allowing to obtain a full picture of the temperature distribution.

In Sect. 2 we present the observational data. Section 3 compares the measured line profiles to distinguish different components based on their velocity distribution. In Sect. 4 we provide a model for the emission, supporting the PDR character of the source, and discuss the results in Sect. 5.

2 Observations

2.1 HIFI observations

All spectra presented here were obtained in performance verification observations for the HIFI instrument. As their main goal was to demonstrate the functionality and performance of the different observing modes, the spectra were taken with a large variety of observing modes and strategies. Consequently, every spectrum was taken in a slightly different manner. All observational parameters are summarized in Table 1.

Table 1:   Summary of the used HIFI observational data.

Most observations where single-point observations towards the central position of the DR21 H  II region at RA = 20h39m01.1s, Dec = 42$^\circ$19'43.0'' (J2000). Fully sampled maps were only obtained in the [C II] line. Data were taken with the wideband spectrometer (WBS) at a resolution of 1.1 MHz, corresponding to 0.2 km s-1 (at 1900 GHz) - 0.7 km s-1 (at 500 GHz). The [C II] data were rebinned to a velocity resolution of 0.45 km s-1 to improve the signal to noise.

2.2 Complementary data

ISO long wavelength spectrometer 43-197 $\mu$m grating scans were obtained for the DR21 central position from the ISO Data Archive (TDT 15200786). Integrated line intensities were extracted for [O  I] at 63 and 145 $\mu$m and the CO 14-13 to 17-16 transitions. Mid-J CO lines of the DR21 region were mapped with the KOSMA 3 m submm telescope (Jakob et al. 2007). We use the lines of CO and 13CO from J=3-2 to 7-6, which have been observed at native angular resolutions from 80'' to 40''. The HCO+ 1-0, H13CO+ 1-0, and HCO+ 3-2 observations were taken with the IRAM 30 m telescope (Schneider et al. 2010). Native angular resolutions at the 1-0 and 3-2 transition frequencies are 28'' and 9'', respectively.

2.3 Beam size effects

For a direct comparison of the different data sets we smoothed the available data to the coarsest common angular resolution of 80'', matching that of the CO 3-2 KOSMA beam and the lowest frequency ISO observations. This is impossible for the single-point HIFI observations. Moreover, the Herschel beam varies between 40'' HPBW for the HCO+ line at 535 GHz and 20'' for 13CO at 1100 GHz. Those data were corrected for the different beam filling by estimating the source size from the HCO+ 3-2 line as a PDR tracer (Sternberg & Dalgarno 1995) with quite compact emission (20'' to 30'' in diameter). Successively convolving from the native angular resolution of 9'' to the angular resolution of the Herschel data, and further to the final, smoothed spectra at 80'', we obtained scaling factors for the HIFI spectra, being 0.5 when going from 40'' to 80'' and 0.33 when going from 20'' to 80''. The maps obtained in [C II] allow a direct smoothing to a resolution of 40'' (see Table 1). Beyond that size, the same scaling factor as above was applied.

3 Line profiles

The molecular ridge including the DR21 H  II region has an intrinsic LSR velocity of -3 km s-1. The quiescent material is visible in narrow absorption lines of NH3 (Matsakis et al. 1977) and H2CO (Bieging et al. 1982). A second velocity component at 8-10 km s-1 is known to be associated with the W75N complex. It appears in emission in CO and [C  I] (Jakob et al. 2007), as a narrow absorption feature in HCO+ 1-0 (Nyman 1983), and has a very broad velocity distribution in the H  I 21 cm absorption (Roberts et al. 1997; Thompson et al. 1969). The wings of the low-J CO lines trace outflow velocities down to about -20 km s-1 for the eastern, blister outflow and up to $\approx$10 km s-1 for the western outflow.

\begin{figure}
\par\includegraphics[angle=90.0,width=8.5cm,clip]{14579fig1.eps}\vspace{-3mm}
\end{figure} Figure 1:

HIFI spectra of the lines used in the fit of the PDR properties. The [C  II] data are convolved either to the resolution of the HCO+ 6-5 line or to that of the CO 10-9 lines. The negative features in the HCO+ 12-11 line are artifacts from the frequency-switch observing mode.

Open with DEXTER

Figure 1 shows the profiles of the HIFI spectra of CO isotopes, HCO+ and [C  II]. All lines peak at about -4 km s-1. The CO and HCO+ lines have a similar shape, but the [C  II] line shows an additional broad blue wing extending down to -30 km s-1. This indicates that the warm molecular material is slightly blue-shifted relative to the cold gas and that the [C  II] emission is not only originating from that warm gas, but also from the ionized wind in the blister outflow.

\begin{figure}
\par\includegraphics[angle=90.0,width=8.5cm,clip]{14579fig2a.eps}...
...graphics[angle=90.0,width=8.6cm,clip]{14579fig2b.eps}
\vspace{-2mm}
\end{figure} Figure 2:

Selected profiles of CO isotope lines ( upper plot) and HCO+ isotope lines towards the DR21 central position. All lines are convolved or scaled to the coarsest common resolution (see Sect. 2.3).

Open with DEXTER

Figure 2 compares the shapes of the CO and HCO+isotope lines with complementary ground-based measurements towards the same positions. We show only a few selected transitions as, e.g., the data for the CO 7-6 or 4-3 lines provide no additional information. All CO isotopic lines up to 7-6 are roughly symmetric, centered at the ridge velocity of -3 km s-1. The lines of the main isotope are heavily self-absorbed with the absorption dip marking line center. The 10-9 lines, tracing hotter material, are slightly asymmetric and shifted to -4 km s-1. All HCO+ lines, except H13CO+ 1-0, have a profile very similar to the 10-9 lines of the CO isotopes indicating that HCO+ is mainly abundant in the heated layer and less in the overall molecular material. The H13CO+ 1-0 line has a deviating profile centered at -2 km s-1 tracing global infall (Kirby 2009). CO 3-2 and HCO+ 1-0 show an additional feature at the W75N complex velocity.

\begin{figure}
\par\includegraphics[angle=90.0,width=8.5cm,clip]{14579fig3.eps}
\vspace{-2mm}
\end{figure} Figure 3:

Auxiliary lines measured by HIFI towards the same position. They can be used to estimate the contribution of the foreground material. The 13CO 10-9 profile is also displayed for comparison.

Open with DEXTER

To better understand the exact velocity distribution in the source, we plot some additional HIFI lines towards the same position (see van der Tak et al. 2010; Falgarone et al. 2010; Ossenkopf et al. 2010) in Fig. 3. The 1097 GHz line of hot water matches the rest of the PDR tracers. The foreground at -3 km s-1 is visible in absorption in the ground state transitions of water, but in emission in a nearby OFF position for [C  II]. At velocities of about +2 km s-1, we find the warm gas facing the redshifted western outflow, apparent as a secondary peak in the ground state water and CH+ lines and as a shoulder in 13CO and the hot water line. Finally, we can clearly identify the cold W75N component at $\approx$-9 km s-1.

For the warm gas we can distinguish two velocity components - a blue shifted one related to the blister outflow at -4 km s-1 and a second one, at 2 km s-1, related to the western outflow. This is consistent with the clumpy PDR geometry proposed by Lane et al. (1990). In terms of line modelling, it is, however, impossible to separate the two outflow directions as their emission is overlapping to a large degree. We simply add their intensities. The [C  II] emission requires a special treatment because of the additional emission from the ionized outflow. To take this into account, we have obtained an integrated [C  II] intensity by scaling the 13CO 10-9 line profile to match the peak and the red wing of the [C  II] profile and ignoring the remaining blue-wing emission.

4 Modelling

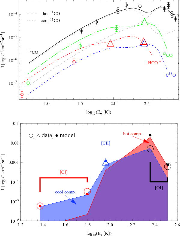
We use the KOSMA-$\tau$ PDR code (Röllig et al. 2006) to model the emission of PDR ensembles, representing a distribution of spherical clumps with ${\rm d}N/{\rm d}M \propto M^{-1.8}$ (Cubick et al. 2008). For DR21 two ensembles with different properties had to be superimposed, a hot component, close to the inner H  II region with strong FUV illumination, but only a small fraction of the total mass, and a cooler component that fills a larger solid angle and provides the bulk of the material. Each clumpy PDR ensemble has five free parameters: the average ensemble density, $n_{\rm ens}$, the ensemble mass, $M_{\rm ens}$, the UV field strength, $\chi$ given in units of the Draine field, and the minimum and maximum mass of the clump ensemble, $[M_{\rm min},M_{\rm max}]$. In contrast to most other PDR models, we fit absolute line intensities, using the available ground-based observations, complementary ISO data, and the HIFI lines of the CO isotopes, HCO+, atomic and ionized carbon, and atomic oxygen. The chemical network that has been applied in these calculations includes 13C but not 18O. The C18O lines were scaled from the 13CO intensities with a conversion of 1:8. Simulated annealing was used to find the optimum parameter combination.

The significance of the model is limited by the fact that the clump superposition ignores mutual line shading between different clumps, i.e., optical depth effects are only considered within individual clumps. This is usually justified by the virialised velocity dispersion between different clumps, but for optically very thick and broad lines some correction is needed. To estimate the effect we have computed the optical depth for the bulk of the individual clumps. This is of the order of unity or below for the majority of the observed transitions, reaches values up to ten for 13CO and HCO+ transitions up to J=4, but exceeds ten for the CO main isotope lines up to J=6 and the [O  I] 63 $\mu$m line. For the CO lines showing clear self-absorption dips, we performed a Gaussian fit to the line wings and used the integrated intensity of that Gaussian to compute the total emission including the blocked radiation from the inner clumps close to the H  II-region. As we have no spectral information for the [O  I] line, we have no estimate for the blocked radiation in this case, so that we excluded that data point from the fit.

\begin{figure}
\par\includegraphics[angle=0.0,width=8.5cm,clip]{14579fig4a.eps}\...
...le=0.0,width=8.5cm,clip]{14579fig4b.eps}\vspace{-1mm}
\vspace{-3mm}
\end{figure} Figure 4:

Two-ensemble PDR model fit to the observed CO, HCO+, and fine structure line intensities, shown as function of the upper level energy. HIFI measurements are depicted as open triangles, complementary data points as open circles. The dotted line and the shaded areas indicate the contributions from the two ensembles to the CO and the fine structure lines, respectively.

Open with DEXTER

The best fit result is shown in Fig. 4. The corresponding model parameters are:

Ensemble 1:
$\chi=1.0\times 10^{5}$, $n_{\rm ens}=1.3\times 10^{6}$ cm-3,
$M_{\rm ens}=150~M_\odot$, $[M_{\rm min},M_{\rm max}]=[10^{-2},8\times 10^1]~M_\odot$
Ensemble 2:
$\chi=3.2\times 10^{2}$, $n_{\rm ens}=1.1\times 10^{6}$ cm-3,
$M_{\rm ens}=830~M_\odot$, $[M_{\rm min},M_{\rm max}]=[10^{-3},10^1]~M_\odot$.
The two-ensemble model provides a reasonable fit to all 22 data points. The model slightly overestimates the emission for the optically thick rotational lines of 13CO and HCO+ which showed no clear self-absorption dip, so that we have insufficient optical depth corrections. The reduced $\chi^2$ value of the fit amounts to 11.1, where a contribution of 9.5 results from the three optically thick low-Jdata points of 13CO and HCO+. For the remaining 19 data points we would obtain an excellent reduced $\chi^2$ value of 1.6. The topology of the $\chi^2$ function shows several side minima, but they are worse by at least a factor two. As expected, the model predicts a too high [O  I] intensity, as it ignores that the outer clumps of the cooler ensemble block the contribution from the hot inner component.

5 Discussion

The double-peak structure of the predicted CO intensities across the excitation ladder reflects the two different UV fields leading to different excitation conditions. No single-parameter ensemble can fit all data, but distinct low temperature and high temperature components are needed. The parameters of the model are in agreement with independent estimates. A UV flux of 105 Draine fields corresponds to a geometrical distance of 0.06 pc, i.e. 7'', from the central cluster, matching the size of the PAH emission (Marston et al. 2004). Our clump densities match those determined by Jakob et al. (2007) for the extended cool gas, but are slightly higher than their hot-gas density ( $4\times 10^5$ cm-3). In contrast, van der Tak et al. (2010); Jones et al. (1994) find still somewhat higher densities for the hot gas, up to 107 cm-3. The hot ensemble mass is close to the 170 $M_\odot$ derived from early CO 7-6 observations by Jaffe et al. (1989). The total mass of the PDR ensembles falls between the mass limits derived by Jakob et al. (2007) from dust observations and from line radiative transfer fits.

While the existing ground-based observations provide a very good constraint on the properties of the extended cool gas, and the ISO lines show the total amount of hot gas, it is only the set of new HIFI data that puts the hot and cold distributions well apart from each other in terms of the temperature structure. While Jakob et al. (2007) obtained cooling curves with single peaks, the new data for the 10-9 lines of the CO isotopes and the HCO+ transitions force the fit to a bimodal distribution of excitation conditions. When we exclude the Herschel data from the model fit, we obtain a parameter set that shows a UV field that is lower by a factor ten for the hot ensemble, i.e., that would imply molecular clumps farther away from the central cluster. For the cold ensemble, the fitted UV field is also somewhat lower, while all other parameters remain similar to those from the full fit. Only with the Herschel data, we therefore obtain a parameter set that is consistent with the source geometry.

As the two-ensemble PDR model is able to fit all of the observed lines, we find no evidence for a shock heating of the dense gas. This is in agreement with the analysis of Lane et al. (1990), explicitely excluding a shock origin of the fine-structure lines, but seems to be in contradiction with the analysis of the line profiles in Sect. 3 that shows excited outflow material. We conclude that the material visible in the blue line wing, characterizing the blister outflow, is contained in dense clumps that are accelerated by the outflow, but that are chemically and energetically fully dominated by the UV field and not by the associated shock.

Acknowledgements
HIFI has been designed and built by a consortium of institutes and university departments from across Europe, Canada and the United States under the leadership of SRON Netherlands Institute for Space Research, Groningen, The Netherlands and with major contributions from Germany, France and the US. Consortium members are: Canada: CSA, U.Waterloo; France: CESR, LAB, LERMA, IRAM; Germany: KOSMA, MPIfR, MPS; Ireland: NUI Maynooth; Italy: ASI, IFSI-INAF, Osservatorio Astrofisico di Arcetri- INAF; Netherlands: SRON, TUD; Poland: CAMK, CBK; Spain: Observatorio Astronmico Nacional (IGN), Centro de Astrobiología (CSIC-INTA). Sweden: Chalmers University of Technology - MC2, RSS & GARD; Onsala Space Observatory; Swedish National Space Board, Stockholm University - Stockholm Observatory; Switzerland: ETH Zurich, FHNW; USA: Caltech, JPL, NHSC.

This work was supported by the German Deutsche Forschungsgemeinschaft, DFG project number Os 177/1-1. A portion of this research was performed at the Jet Propulsion Laboratory, California Institute of Technology, under contract with the National Aeronautics and Space Administration.

References

  • Bieging, J. H., Wilson, T. L., & Downes, D. 1982, A&AS, 49, 607
  • Cubick, M., Stutzki, J., Ossenkopf, V., et al. 2008, A&A, 488, 623
  • Davis, C. J., Kumar, M. S. N., Sandell, G., et al. 2007, MNRAS, 374, 29
  • Falgarone, E., Ossenkopf, V., Gerin, M., et al. 2010, A&A, 518, L118
  • Garden, R., Geballe, T. R., Gatley, I., & Nadeau, D. 1986, MNRAS, 220, 203
  • de Graauw, Th., et al. 2010, 518, L6
  • Jaffe, D. T., Genzel, R., Harris, A. I., et al. 1989, ApJ, 344, 265
  • Hollenbach, D. J., & Tielens, A. G. G. M. 1999, Rev. Mod. Phys., 71, 173
  • Jakob, H., Kramer, C., Simon, R., et al. 2007, A&A, 461, 999
  • Jones, K. N., Field, D., Gray, M. D., & Walker, R. N. F. 1994, A&A, 288, 581
  • Kirby, L. 2009, ApJ, 694, 1056
  • Lane, A. P., Haas, M. R., Hollenbach, D. J., & Erickson, E. F. 1990, ApJ, 361, 132
  • Marston, A. P., Reach, W. T., Noriega-Crespo, A., et al. 2004, ApJS, 154, 333
  • Matsakis, D. N., Brandshaft, D., Chui, M. F., et al. 1977, ApJ, 214, L67
  • Ossenkopf, V., Röllig, M., Cubick, M., & Stutzki, J. 2007, in Molecules in Space and Laboratory, ed. J. L. Lemaire, & F. Combes, S. Diana publ., 95
  • Ossenkopf, V., Müller, H. S. P., Lis, D., et al. 2010, A&A, 518, L111
  • Nyman, L.-Å. 1983, A&A, 120, 307
  • Pilbratt, G. L., et al. 2010, 518, L1
  • Roberts, D. A., Dickel, H. R., & Goss, W. M. 1997, ApJ, 476, 209
  • Roelfsema, P. R., Goss, W. M., & Geballe, T. R. 1989, A&A, 222, 247
  • Röllig, M., Ossenkopf, V., Jeyakumar, S., et al. 2006, A&A, 451, 917
  • Schneider, N., Bontemps, S., Simon, R., et al. 2006, A&A, 458, 855
  • Schneider, N., Csengeri, T., & Bontemps, S. 2010, A&A, accepted [arXiv:1003.4198]
  • Snell, R. L., Hollenbach, D., Howe, J. E., et al. 2005, ApJ, 620, 758
  • Sternberg, A., & Dalgarno, A. 1995, ApJS, 99, 565
  • Thompson, A. R., Colvin, R. S., & Hughes, M. P. 1969, ApJ, 158, 939
  • van der Tak, F. F. S., Marseille, M. G., Herpin, F., et al. 2010, A&A, 518, L107 

Footnotes

... heating[*]
Herschel is an ESA space observatory with science instruments provided by European-led Principal Investigator consortia and with important participation from NASA.

All Tables

Table 1:   Summary of the used HIFI observational data.

All Figures

  \begin{figure}
\par\includegraphics[angle=90.0,width=8.5cm,clip]{14579fig1.eps}\vspace{-3mm}
\end{figure} Figure 1:

HIFI spectra of the lines used in the fit of the PDR properties. The [C  II] data are convolved either to the resolution of the HCO+ 6-5 line or to that of the CO 10-9 lines. The negative features in the HCO+ 12-11 line are artifacts from the frequency-switch observing mode.

Open with DEXTER
In the text

  \begin{figure}
\par\includegraphics[angle=90.0,width=8.5cm,clip]{14579fig2a.eps}...
...graphics[angle=90.0,width=8.6cm,clip]{14579fig2b.eps}
\vspace{-2mm}
\end{figure} Figure 2:

Selected profiles of CO isotope lines ( upper plot) and HCO+ isotope lines towards the DR21 central position. All lines are convolved or scaled to the coarsest common resolution (see Sect. 2.3).

Open with DEXTER
In the text

  \begin{figure}
\par\includegraphics[angle=90.0,width=8.5cm,clip]{14579fig3.eps}
\vspace{-2mm}
\end{figure} Figure 3:

Auxiliary lines measured by HIFI towards the same position. They can be used to estimate the contribution of the foreground material. The 13CO 10-9 profile is also displayed for comparison.

Open with DEXTER
In the text

  \begin{figure}
\par\includegraphics[angle=0.0,width=8.5cm,clip]{14579fig4a.eps}\...
...le=0.0,width=8.5cm,clip]{14579fig4b.eps}\vspace{-1mm}
\vspace{-3mm}
\end{figure} Figure 4:

Two-ensemble PDR model fit to the observed CO, HCO+, and fine structure line intensities, shown as function of the upper level energy. HIFI measurements are depicted as open triangles, complementary data points as open circles. The dotted line and the shaded areas indicate the contributions from the two ensembles to the CO and the fine structure lines, respectively.

Open with DEXTER
In the text


Copyright ESO 2010

Current usage metrics show cumulative count of Article Views (full-text article views including HTML views, PDF and ePub downloads, according to the available data) and Abstracts Views on Vision4Press platform.

Data correspond to usage on the plateform after 2015. The current usage metrics is available 48-96 hours after online publication and is updated daily on week days.

Initial download of the metrics may take a while.