| Issue |
A&A
Volume 518, July-August 2010
Herschel: the first science highlights
|
|
|---|---|---|
| Article Number | L27 | |
| Number of page(s) | 8 | |
| Section | Letters | |
| DOI | https://doi.org/10.1051/0004-6361/201014608 | |
| Published online | 16 July 2010 | |
Herschel: the first science highlights
LETTER TO THE EDITOR
PEP: First Herschel probe of dusty galaxy evolution up to

,![[*]](/icons/foot_motif.png)
C. Gruppioni1 - F. Pozzi2 - P. Andreani3,4 - G. Rodighiero5 - A. Cimatti2 - B. Altieri6 - H. Aussel7 - S. Berta8 - A. Bongiovanni9,10 - D. Brisbin11 - A. Cava9,10 - J. Cepa9,10 - E. Daddi7 - H. Dominguez-Sanchez1 - D. Elbaz7 - N. Förster Schreiber8 - R. Genzel8 - E. Le Floc'h7 - D. Lutz8 - G. Magdis7 - M. Magliocchetti12 - B. Magnelli8 - R. Maiolino13 - R. Nordon8 - A. M. Peréz-García9,10 - A. Poglitsch8 - P. Popesso8 - L. Riguccini7 - A. Saintonge8 - M. Sanchez-Portal6 - P. Santini13 - L. Shao8 - E. Sturm8 - L. Tacconi8 - I. Valtchanov6
1 -
INAF - Osservatorio Astronomico di Bologna, via Ranzani 1, 40127 Bologna, Italy
2 -
Dipartimento di Astronomia, Università di Bologna, via Ranzani 1, 40127 Bologna, Italy
3 -
ESO, Karl-Schwarzschild-Strasse 2, 85748, Garching, Germany
4 -
INAF - Osservatorio Astronomico di Trieste, via Tiepolo 11, 34143 Trieste, Italy
5 -
Dipartimento di Astronomia, Università di Padova, Vicolo dell'Osservatorio 3, 35122 Padova, Italy
6 -
ESAC, Villafranca del Castillo, 28692 Madrid, Spain
7 -
CEA-Saclay, Service d'Astrophysique, 91191 Gif-sur-Yvette, France
8 -
Max-Planck-Institut für Extraterrestrische Physik (MPE), Postfach 1312, 85741 Garching, Germany
9 -
Instituto de Astrofísica de Canarias, 38205, La Laguna, Spain
10 -
Departamento de Astrofísica, Universidad de La Laguna, Spain
11 -
Department of Astronomy, 610 Space Sciences Building, Cornell University, Ithaca, NY 14853, USA
12 -
INAF - IFSI, Via Fosso del Cavaliere 100, 00133 Roma, Italy
13 -
INAF - Osservatorio Astronomico di Roma, via di Frascati 33, 00040 Monte Porzio Catone, Italy
Received 31 March 2010 / Accepted 28 April 2010
Abstract
Aims. We exploit the deepest existing far-infrared (FIR) data obtained so far by Herschel at 100 and 160
m
in the GOODS-N, as part of the PACS evolutionary probe (PEP) survey, to
derive for the first time the evolution of the rest-frame 60-
m, 90-
m, and total IR luminosity functions (LFs) of galaxies and AGNs from z=0 to unprecedented high redshifts (
-3).
Methods. The PEP LFs were computed using the 1/
method. The FIR sources were classified by means of a detailed
broad-band SED-fitting analysis and spectral characterisation. Based on
the best-fit model results, k-correction and total IR (8-1000
m)
luminosity were obtained for each source. LFs (monochromatic and total)
were then derived for various IR populations separately in different
redshift bins and compared to backward evolution model predictions.
Results. We detect strong evolution in the LF to at least
.
Objects with SEDs similar to local spiral galaxies are the major contributors to the star formation density (SFD) at
,
then, as redshift increases, moderate SF galaxies - most likely containing a low-luminosity AGN - start dominating up to
.
At
the SFD is dominated by the contributions of starburst galaxies. In
agreement with previous findings, the comoving IR LD derived from our
data evolves approximately as
up to
,
there being some evidence of flattening up to
.
Key words: Galaxy: evolution - galaxies: active - galaxies: starburst - cosmology: observations - infrared: galaxies
1 Introduction
Extragalactic surveys in the infrared (IR) represent a key tool for understanding galaxy formation and evolution, the luminosity function (LF) computed at different redshifts being the most direct method for exploring the evolution of a galaxy population. Deep surveys with IRAS and ISO allowed the first studies of the IR-galaxy LF atIn the present paper, we discuss observations performed with the PACS instrument (Poglitsch et al. 2010) onboard the Herschel Space
Observatory (Pilbratt et al. 2010). Herschel is the first telescope allowing us to detect the FIR population to high redshifts (
-4)
and to derive its rate of evolution by a detailed LF analysis. The PACS
Evolutionary Probe (PEP, PI D. Lutz) Surveys are designed specifically
to this purpose. With the observations dedicated to the GOODS-N by the
PEP science demonstration program (SDP), we first address the main
goal of determining the evolution with redshift of the galaxy and AGN
LF in the FIR domain. The availability of a deep multiwavelength
catalogue in the GOODS-N is crucial for analysing the SEDs, obtaining
k-corrections and total IR luminosities, and studying the LF and its
evolution separately for the different IR populations. The measure of
the total IR luminosity allows us to derive for the first time the
total IR LF and its evolution directly from FIR data (see e.g. Nordon
et al. (2010), this issue, for descriptions of the failure, at least at z > 1.5, of previous total IR luminosity extrapolations from the MIR).
Throughout this paper, we assume a
CDM cosmology with H0 =71 km s-1 Mpc-1,
,
and
.
2 Multiwavelength source characterisation
Our reference samples were the PEP SDP blind catalogues at 100 and 160 We used of all the available data to derive the SEDs of our PEP
sources, which we interpreted and classified by performing a fit (using
the Le PHARE software; Ilbert et al. 2006) with a semi-empirical template library (Polletta et al. 2007)
representative of different classes of IR galaxies and AGNs
(spirals, starbursts (SB), QSOs, Seyfert2/1.8, and composite
AGN+SB objects). Three main SED classes are found to reproduce most of
our sources: spiral, SB, and AGN2 (Seyfert2/1.8). The spiral SEDs show
no clear signs of enhanced SF or nuclear activity (see the online
Fig. 5), the FIR bump being characterised by relatively cold dust (
K). On the other hand, SB templates are characterised by warmer (
-45 K),
more pronounced FIR bumps and significant UV extinction,
indicative of intense SF activity. Templates of moderately luminous
AGNs (representing Seyfert2/1.8 galaxies) are characterised by a
``flattening'' in the 3-10
m
spectrum (suggesting detection of an AGN in the wavelength range where
the host galaxy SED has a minimum) and a FIR bump dominated by SF and
intermediate (in terms of both energy and
)
between spirals and SBs. Although they can be considered as
SF galaxies at the wavelengths relevant to this work, we prefer to
refer to them as ``AGN2'' throughout the paper, to keep in mind that
they probably contain an AGN, whose presence, though not dominant in
the FIR, might be very important for analysis in other bands (i.e., in
the X-rays or the MIR). In general, the considered templates provide
very good fits to the SEDs of our PEP sources. However, in
10-12%
of cases the observed SEDs are very well reproduced by the templates
over the entire UV/optical/NIR/IRAC range, while they are
systematically underestimated in the MIPS/PACS range. In these cases,
the PEP 100- and 160-
m data in flux density are always higher by up to a factor of
4 than the template at the same
's.
This happens mainly for the Seyfert2/1.8 templates (for about 40%
of the PEP sources fitted by these SEDs) and in less frequent cases
also for the spiral ones. We therefore constructed three new templates
with a rest-frame 0.1-15
m spectrum similar to that of Polletta et al. (2007), but with a higher FIR bump, by averaging together (in
-bins) the observed rest-frame SEDs (normalised to
band) exhibiting an excess in the FIR and fitted by the same template (Seyfert2/1.8/Sdm; see an example in Fig. 6
of the online edition). We also added to the library three new SB
templates obtained by interpolating between the Sdm and the
SB SED NGC6090 (to fill the large gap existing in the library
between spirals and SBs). The final results of the SED-fitting are
reported in the online Table 1.
Our SED-fitting results show a clear trend with z, with the sources becoming ``warmer'', ``more active'', and ``more IR luminous'' with increasing z (see the online Fig. 7, where the 160-
m/100-
m flux ratio versus z is plotted for the PEP 160-
m selected sources). In particular, spiral galaxies are found exclusively at low-z (<1), dominating at z <0.4 and coexisting with AGN2 and SB galaxies at
0.4 < z < 1. The AGN2 are observed up to
-2, with a strong concentration at
0.4 < z <1. The SB galaxies are found at any redshift in the range
-3.0 and dominate between
and
.
The composite objects and the QSOs are found exclusively at high-z (>1.5 and >3, respectively). Although sample selection effects may also play a role in the observed trend with z, we conclude that sources with enhanced SF activity dominate at higher-z,
gradually becoming ``colder'',``less active'', and ``less
IR luminous'' as we move towards lower redshift. Similar results
were found by Gruppioni et al. (2008), who performed the same
SED-fitting study presented here, but for a MIR-selected sample. The
results of Gruppioni et al. (2008) were then used by Gruppioni
& Pozzi (2010, in prep, hereafter GP2010) to construct a backward
evolution model of IR sources, assuming separate evolutionary paths for
the five populations described above.
|
Figure 1:
Rest-frame LF at 60 |
| Open with DEXTER | |
3 Luminosity functions
The sizes of the PEP samples are sufficiently large to allow a direct determination of the FIR LF to
,
and provide constraints on evolution to
-4. For the median redshift of the 100- and 160-
m PEP samples (
0.68 and 0.82 respectively), we computed the rest-frame LFs at 60 and 90
m, using the
method (Schmidt 1968).
We divided the two samples into six redshift bins (slightly different
for the two wavelengths) selected to be almost equally populated (
50 sources) at least up to
.
In the two higher, less populated, redshift bins, the characteristic luminosity
is not constrained by data, but some hints of evolution can be detected (note that at z > 3 most of the objects do have power-law SEDs and only photo-z's, which are very uncertain due to the SED shape).
The completeness and spurious correction factors given by Berta et al. (2010) were applied to our PEP data. The redshift incompleteness does not affect our conclusions, since
95% of our sources have a redshift.
The results of the computation of our 60- and 90-
m LFs are shown in Fig. 1 and reported in Tables 2 and 3 of the online edition of this paper. The vertical dashed lines in each z-bin
are the luminosities below which we expect our samples to be
incomplete, given that at fainter luminosities not all galaxy types are
observable (depending on their SED; Ilbert et al. 2004). For comparison, we overplot the LLFs at 60
m and 90
m from Saunders (1990) and Serjeant et al. (2004),
respectively, and the predictions of the GP2010 backward evolution
model. Strong luminosity evolution is necessary to explain the observed
LF, even in the lower z-bin (z <0.4-0.5).
To investigate the different evolutionary paths of the various IR populations,
we computed the 1/
LF separately for the five classes defined by the SED-fitting analysis. In Fig. 2, we show the 90-
m LFs derived from the 160-
m sample for the different SED classes, plotted in the most representative z-bins
for each of them. For comparison, we also show the single population
LFs of the GP2010 model. The close agreement between data and model
implies that both the evolution and the template SEDs (modified in the
FIR as described in Sect. 2) assumed by the model (based on MIR results at
)
to represent the different IR classes can also be considered a fair representation of the FIR populations, at least up to
-4.
|
Figure 2:
Rest-frame 90- |
| Open with DEXTER | |
In agreement with the change in population with z implied by the SED-fitting analysis and discussed in Sect. 2, we observe that at lower redshifts (z <0.5) the LF is dominated by galaxies with spiral SEDs, while at
0.5 < z < 0.8 Seyfert2/1.8-SED sources appear to be more important than the normal galaxy population, becoming dominant around
(10
)
at
0.5 < z < 1.2. The SB population prevails at the higher luminosities (
)
at any redshifts, dominating also the
regime at
.
The composite and quasar populations are never dominant in the FIR, contributing to the 60- and 90-
m LFs mainly at z > 2.
3.1 The total IR luminosity function
We integrate the best-fit SED of each source at
|
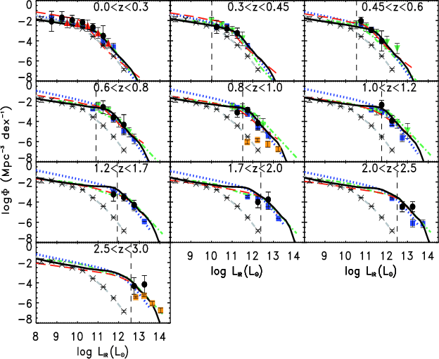
Figure 3: Total IR LF from our PEP data (black filled circles). Other results from the literature are plotted for comparison (diagonal crosses: LLF of Sanders et al. 2002; red filled triangles: Vaccari et al. 2010; green filled triangles: Le Floc'h et al. 2005; blue filled squares: Rodighiero et al. 2010; orange filled squares: Chapman et al. 2005). The black solid, green dot-dashed, blue dotted, and red long-dashed lines represent the expectations from the GP2010, Lagache et al. (2004), Valiante et al. (2009), and Le Borgne et al. (2009) models, respectively. |
| Open with DEXTER | |
The total IR LF up to
was computed (values reported in the online Table 4) and compared with other derivations available in the literature, as shown in Fig. 3. The total IR LF of Sanders et al. (2002) is plotted as a local reference, in addition to the predictions of four backward evolution models
as references of evolution. Globally, data and model expectations seem to agree well over the whole z-range. The agreement between the PEP total IR LF and those computed from 24-
m (ECDFS
:
Le Floc'h et al. 2005; VVDS+GOODS
:
Rodighiero et al. 2010) and SPIRE surveys (Hermes SDP:
;
Vaccari et al. 2010) is very good in the z-bins where the latter are available.
The total IR LF of sub-mm galaxies from Chapman et al. (2005) at
represents very well the bright end of the total IR LF, but seems to be affected by significant incompleteness at
.
The sub-mm surveys clearly provide the most reliable probe of the
evolution of the more distant and more luminous dusty galaxies, but are
not sensitive enough to sample the low-intermediate redshift Universe.
Our PEP total IR LF evolves in luminosity as
(1+z)4.1+0.3-0.2 up to
(though considerable degeneracy is found between strict luminosity
evolution and a combination of both density and luminosity). At
-3, the evolution rate appears to remain almost constant.
|
Figure 4:
Evolution of the total IR LD (or SFD) with z. The results of integrating our observed total IR LF in each z-bin are shown as black filled circles. The
3 |
| Open with DEXTER | |
3.2 The comoving IR luminosity density
One of the main reasons for computing the total IR LF is that it allows
a direct estimate to be made of the total comoving IR luminosity
density (LD) and the star formation density (SFD) as a function of z, which are crucial tools for understanding galaxy formation and evolution.
We convert
into star formation rate (SFR) by using the relation (for a Salpeter IMF) SFR [
yr
]
(Kennicutt 1998),
then compute the SFD directly from our observed PEP LF, as well as from
the GP2010 model.
Since the model provides a fair representation of the data, the
predicted SFD can be interpreted as what we could expect from an
``ideal'' FIR survey (or collection of FIR surveys) covering the whole
range of luminosities in each redshift bin. Our data are able to give a
robust estimate of the LD only at
-1.2, providing just lower limits at higher-z,
given that with increasing redshift our total IR LF starts to become
incomplete at the lower luminosities, the completeness limit moving
towards the bright end of the luminosity distribution (at z > 1, we sample just
). The IR LD (or SFD) estimates from either data or model are shown in Fig. 4. To model the luminosity incompleteness of our data, we integrated the GP2010 total IR LF in each z-bin down to the completeness limit shown in Fig. 3, obtaining a SFD prediction (grey solid line of Fig. 4) that is totally consistent with our data estimates.
For comparison, we have also shown the SFD obtained from different surveys by Hopkins & Beacom (2006) and the results of 24-
m surveys by Le Floc'h et al. (2005) and Rodighiero et al. (2010) and sub-mm surveys by Chapman et al. (2005).
We find very close agreement with both previous results, based on
either IR data or data at different wavelengths, and the GP2010 model
predictions up to
.
From PEP data, we find that the comoving IR LD evolves as
up to
.
The model predicts a predominance of normal spiral galaxies only at very low redshifts (
), when sources with Seyfert2/1.8 SEDs begin to dominate the SFD up to
.
The SB galaxies then become the prevalent population up to the highest
redshifts. We note that we have not subtracted the AGN populations from
our SFD calculation, since the FIR part of the spectrum of all the
templates (but the very few AGN1) is probably dominated by SF activity.
Even in the Seyfert2/1.8 templates, the AGN activity dominates over the
stellar emission only at
-10
m.
Given the power-law shape of their spectra, it is less clear at which
the AGN should dominate the light of the composite SEDs, and
consequently what fraction of the total IR luminosity is related to
accretion activity rather than SF in these objects. However, these
populations are neverpredominant in our FIR survey and even a small
fraction of contamination related to accretion activity occurring in
these objects (mainly at high-z) will not significantly affect our results.
4 Conclusions
We have used of the deepest Herschel 100- and 160-
m
data from the PEP SDP survey in the GOODS-N to characterise the
evolution of the galaxy and AGN FIR LF and LD across the redshift range
.
To summarise, in the present work we have:
- 1.
- Completely characterised the multiwavelength SEDs of the PEP sources by performing a detailed SED-fitting analysis, tightly constraining (and in some cases opportunely modifying) the templates at long wavelengths.
- 2.
- Computed the first rest-frame LFs at 60 and 90
m up to
,
finding that a significant amount of evolution is required to reproduce the LF at least up to
,
the different SED-classes exhibiting different evolutionary behaviours.
- 3.
- Integrated the SEDs at
-1000
m and computed the Total IR LF up to
,
finding luminosity evolution
(1+z)4.1+0.3-0.2 up to
,
then an almost constant evolution rate to
-3.
- 4.
- Derived the evolution of the comoving total IR LD (and SFD), which was found to increase as
up to
.
Spiral galaxies are the main contributors to the SFD at
,
moderate SF galaxies (which most likely harbour a low luminosity AGN) becoming increasingly important up to
.
At this redshift, the SFD is representative of SB galaxies.
PACS has been developed by a consortium of institutes led by MPE (Germany) and including UVIE (Austria); KU Leuven, CSL, IMEC (Belgium); CEA, LAM (France); MPIA (Germany); INAF-IFSI/ OAA/OAP/OAT, LENS, SISSA (Italy); IAC (Spain). This development has been supported by the funding agencies BMVIT (Austria), ESA-PRODEX (Belgium), CEA/CNES (France), DLR (Germany), ASI/INAF (Italy), and CICYT/MCYT (Spain). We thank an anonymous referee for a helpful report and L. Pozzetti and G. Zamorani for useful comments and for kindly reading the manuscript.
References
- Berta, S., Magnelli, B., Lutz, D., et al. 2010, A&A, 518, L30 Caputi, K. I., Lagache, G., Yan, L., et al. 2007, ApJ, 660, 97 [NASA ADS] [CrossRef] [Google Scholar]
- Chapman, S. C., Blain, A. W., Smail, I., et al. 2005, ApJ, 622, 772 [NASA ADS] [CrossRef] [Google Scholar]
- Elbaz, D., Cesarsky, C. J., Fadda, D., et al. 1999, A&A, 351, L37 [NASA ADS] [Google Scholar]
- Gruppioni, C., Pozzi, F., Polletta, M., et al. 2008, ApJ, 684, 136 [NASA ADS] [CrossRef] [Google Scholar]
- Hopkins, A. M., & Beacom, J. F. 2006, ApJ, 651, 142 [NASA ADS] [CrossRef] [MathSciNet] [Google Scholar]
- Ilbert, O., Tresse, L., Arnouts, S., et al. 2004, MNRAS, 351, 541 [NASA ADS] [CrossRef] [Google Scholar]
- Ilbert, O., Arnouts, S., McCracken, H. J., et al. 2006, A&A, 457, 841 [NASA ADS] [CrossRef] [EDP Sciences] [Google Scholar]
- Kennicutt, R. C. 1998, ApJ, 498, 541 [NASA ADS] [CrossRef] [Google Scholar]
- Lagache, G., Dole, H., Puget, J.-L., et al. 2004, ApJS, 154, 112 [NASA ADS] [CrossRef] [Google Scholar]
- Le Floc'h, E., Papovich, C., Dole, H., et al. 2005, ApJ, 632, 169 [NASA ADS] [CrossRef] [Google Scholar]
- Le Borgne, D., Elbaz, D., Ocvirk, P., et al. 2009, A&A, 504, 727 [NASA ADS] [CrossRef] [EDP Sciences] [Google Scholar]
- Magnelli, B., Elbaz, D., Chary, R. R., et al. 2009, A&A, 496, 57 [NASA ADS] [CrossRef] [EDP Sciences] [Google Scholar]
- Nordon, R., Lutz, D., Shao, L., et al. 2010, A&A, 518, L24 [NASA ADS] [CrossRef] [EDP Sciences] [Google Scholar]
- Papovich, C., Dole, H., Egami, E., et al. 2004, ApJS, 154, 70 [NASA ADS] [CrossRef] [Google Scholar]
- Pilbratt, G. L., et al. 2010, A&A, 518, L1 [CrossRef] [EDP Sciences] [Google Scholar]
- Polletta, M., Tajer, M., Maraschi, L., et al. 2007, ApJ, 663, 81 [NASA ADS] [CrossRef] [Google Scholar]
- Pozzi, F., Gruppioni, C., Oliver, S., et al. 2004, ApJ, 609, 122 [NASA ADS] [CrossRef] [Google Scholar]
- Poglitsch, A. et al. 2010, A&A, 518, L2 [NASA ADS] [CrossRef] [EDP Sciences] [Google Scholar]
- Rodighiero, G., Vaccari, M., Franceschini, A., et al. 2010, A&A, 515, A8 [NASA ADS] [CrossRef] [EDP Sciences] [Google Scholar]
- Sanders, D. B., Mazzarella, J. M., Kim, D.-C., et al. 2003, AJ, 126, 1607 [Google Scholar]
- Saunders, W., Rowan-Robinson, M., Lawrence, A., et al. 1990, MNRAS, 242, 318 [NASA ADS] [CrossRef] [Google Scholar]
- Schmidt, M. 1968, ApJ, 151, 393 [NASA ADS] [CrossRef] [Google Scholar]
- Serjeant, S., Carramiñana, A., Gonzáles-Solares, E., et al. 2004, MNRAS, 355, 813 [NASA ADS] [CrossRef] [Google Scholar]
- Sutherland, W., & Saunders, W. 1992, MNRAS, 259, 413 [NASA ADS] [CrossRef] [Google Scholar]
- Valiante, E., Lutz, D., Sturm, E., et al. 2009, ApJ, 701, 1814 [NASA ADS] [CrossRef] [Google Scholar]
- Vaccari, M., et al. 2010, A&A, 518, L20 [NASA ADS] [CrossRef] [EDP Sciences] [Google Scholar]
Online Material
Table 1: SED-fitting results.
Table 2:
Rest-frame 60
m luminosity function in the GOODS-N.
Table 3:
Rest-frame 90
m luminosity function in the GOODS-N.
Table 4: Total IR luminosity function in the GOODS-N.
|
Figure 5: Template SEDs of a Starburst (M 82: cyan dot-dashed line), a Seyfert 2 (red dot-dot-dot-dashed) and a Sdm galaxy (green dashed) from the Polletta et al. (2007) library, normalised to the B-band flux. |
| Open with DEXTER | |
|
Figure 6:
Rest-frame observed SEDs of the PEP 100- and 160- |
| Open with DEXTER | |
|
Figure 7:
160- |
| Open with DEXTER | |
Footnotes
- ...

- Herschel is an ESA space observatory with science instruments provided by European-led Principal Investigator consortia and with important participation from NASA.
- ...
- Tables 1-4 and Figures 5-7 are only available in electronic form at http://www.aanda.org
All Tables
Table 1: SED-fitting results.
Table 2:
Rest-frame 60
m luminosity function in the GOODS-N.
Table 3:
Rest-frame 90
m luminosity function in the GOODS-N.
Table 4: Total IR luminosity function in the GOODS-N.
All Figures
|
Figure 1:
Rest-frame LF at 60 |
| Open with DEXTER | |
| In the text | |
|
Figure 2:
Rest-frame 90- |
| Open with DEXTER | |
| In the text | |
|
Figure 3: Total IR LF from our PEP data (black filled circles). Other results from the literature are plotted for comparison (diagonal crosses: LLF of Sanders et al. 2002; red filled triangles: Vaccari et al. 2010; green filled triangles: Le Floc'h et al. 2005; blue filled squares: Rodighiero et al. 2010; orange filled squares: Chapman et al. 2005). The black solid, green dot-dashed, blue dotted, and red long-dashed lines represent the expectations from the GP2010, Lagache et al. (2004), Valiante et al. (2009), and Le Borgne et al. (2009) models, respectively. |
| Open with DEXTER | |
| In the text | |
|
Figure 4:
Evolution of the total IR LD (or SFD) with z. The results of integrating our observed total IR LF in each z-bin are shown as black filled circles. The
3 |
| Open with DEXTER | |
| In the text | |
|
Figure 5: Template SEDs of a Starburst (M 82: cyan dot-dashed line), a Seyfert 2 (red dot-dot-dot-dashed) and a Sdm galaxy (green dashed) from the Polletta et al. (2007) library, normalised to the B-band flux. |
| Open with DEXTER | |
| In the text | |
|
Figure 6:
Rest-frame observed SEDs of the PEP 100- and 160- |
| Open with DEXTER | |
| In the text | |
|
Figure 7:
160- |
| Open with DEXTER | |
| In the text | |
Copyright ESO 2010
Current usage metrics show cumulative count of Article Views (full-text article views including HTML views, PDF and ePub downloads, according to the available data) and Abstracts Views on Vision4Press platform.
Data correspond to usage on the plateform after 2015. The current usage metrics is available 48-96 hours after online publication and is updated daily on week days.
Initial download of the metrics may take a while.
![\begin{figure}
\par\includegraphics[width=8.8cm,height=4.5cm]{14608fg1a} %
\incl...
...dth=8.8cm,height=4.5cm]{14608fg1b} %
\vspace{-2mm}
\vspace*{-2mm}
\end{figure}](/articles/aa/full_html/2010/10/aa14608-10/Timg29.png)
![\begin{figure}
\par\includegraphics[width=8.85cm,height=6.8cm]{14608fg2} \vspace{-1mm}\vspace*{-4mm}
\end{figure}](/articles/aa/full_html/2010/10/aa14608-10/Timg33.png)
![\begin{figure}
\par\includegraphics[width=8.8cm,height=7.2cm]{14608fg3} \vspace{-1mm}\vspace*{-4mm}
\end{figure}](/articles/aa/full_html/2010/10/aa14608-10/Timg38.png)
![\begin{figure}
\par\includegraphics[width=8.5cm]{14608fg4} \vspace{-2mm}
\vspace*{-4.5mm}
\end{figure}](/articles/aa/full_html/2010/10/aa14608-10/Timg45.png)
![\begin{figure}
\par\includegraphics[width=10.1cm,height=5.6cm]{14608fg5.eps}
\end{figure}](/articles/aa/full_html/2010/10/aa14608-10/Timg147.png)
![\begin{figure}
\par\includegraphics[width=9.5cm,height=6cm,clip]{14608fg6.eps}
\end{figure}](/articles/aa/full_html/2010/10/aa14608-10/Timg148.png)
![\begin{figure}
\par\includegraphics[width=10.4cm,height=6.5cm]{14608fg7.eps}
\end{figure}](/articles/aa/full_html/2010/10/aa14608-10/Timg149.png)