Issue
A&A
Volume 518, July-August 2010
Herschel: the first science highlights
Article Number L25
Number of page(s) 6
Section Letters
DOI https://doi.org/10.1051/0004-6361/201014624
Published online 16 July 2010
A&A 518, L25 (2010)

Herschel: the first science highlights

LETTER TO THE EDITOR

The first Herschel view of the mass-SFR link in high-z galaxies[*],[*]

G. Rodighiero 1 - A. Cimatti2 - C. Gruppioni3 - P. Popesso4 - P. Andreani5,13 - B. Altieri7 - H. Aussel8 - S. Berta4 - A. Bongiovanni9 - D. Brisbin10 - A. Cava9 - J. Cepa9 - E. Daddi8 - H. Dominguez-Sanchez3 - D. Elbaz 8 - A. Fontana6 - N. Förster Schreiber4 - A. Franceschini1 - R. Genzel4 - A. Grazian6 - D. Lutz4 - G. Magdis8 - M. Magliocchetti11 - B. Magnelli4 - R. Maiolino6 - C. Mancini12 - R. Nordon4 - A. M. Perez Garcia - A. Poglitsch4 - P. Santini6 - M. Sanchez-Portal7 - F. Pozzi2 - L. Riguccini8 - A. Saintonge4 - L. Shao4 - E. Sturm4 - L. Tacconi4 - I. Valtchanov7 - M. Wetzstein4 - E. Wieprecht4

1 - Department of Astronomy, University of Padova, Vicolo dell'Osservatorio 3, 35122 Padova, Italy
2 - Dipartimento di Astronomia, Università di Bologna, via Ranzani 1, 40127 Bologna, Italy
3 - INAF-Osservatorio Astronomico di Bologna, via Ranzani 1, 40127 Bologna, Italy
4 - Max-Planck-Institut für extraterrestrische Physik, Postfach 1312, 85741 Garching, Germany
5 - European Southern Observatory, Karl-Schwarzschild-Str. 2, 85748 Garching, Germany
6 - INAF-Osservatorio Astronomico di Roma, via di Frascati 33, 00040 Monte Porzio Catone, Italy
7 - ESAC, Villafranca del Castillo, 28691 Madrid, Spain
8 - Laboratoire AIM, CEA/DSM-CNRS-Université Paris Diderot, IRFU/Service d'Astrophysique, Bât.709, CEA-Saclay, 91191 Gif-sur-Yvette Cedex, France
9 - Instituto de Astrofísica de Canarias, 38205 La Laguna, Spain
10 - Department of Astronomy, 610 Space Sciences Building, Cornell University, Ithaca, NY 14853, USA
11 - INAF-IFSI, Via Fosso del Cavaliere 100, 00133 Roma, Italy
12 - INAF-Osservatorio Astronomico di Padova, Vicolo dell'Osservatorio 2, 35122 Padova, Italy
13 - INAF-Osservatorio Astronomico di Trieste, via Tiepolo 11, 34143 Trieste, Italy

Received 31 March 2010 / Accepted 30 April 2010

Abstract
Aims. We exploit deep observations of the GOODS-N field taken with PACS, the Photodetector Array Camera and Spectrometer, onboard of Herschel, as part of the PACS evolutionary probe guaranteed time (PEP), to study the link between star formation and stellar mass in galaxies to $z\sim 2$.
Methods. Starting from a stellar mass - selected sample of $\sim$4500 galaxies with mag $_{4.5~\mu{\rm m}}<23.0$ (AB), we identify $\sim$350 objects with a PACS detection at 100 or 160 $\mu $m and $\sim1500$ with only Spitzer 24  $\mu $m counterpart. Stellar masses and total IR luminosities ( $L_{\rm IR}$) are estimated by fitting the spectral energy distributions (SEDs).
Results. Consistently with other Herschel results, we find that $L_{\rm IR}$ based only on 24  $\mu $m data is overestimated by a median factor $\sim1.8$ at $z\sim 2$, whereas it is underestimated (with our approach) up to a factor $\sim1.6$ at 0.5<z<1.0. We then exploit this calibration to correct $L_{\rm IR}$ based on the MIPS/Spitzer fluxes. These results clearly show how Herschel is fundamental to constrain $L_{\rm IR}$, and hence the star formation rate (SFR), of high redshift galaxies. Using the galaxies detected with PACS (and/or MIPS), we investigate the existence and evolution of the relations between the SFR, the specific star formation rate (SSFR=SFR/mass) and the stellar mass. Moreover, in order to avoid selection effects, we also repeat this study through a stacking analysis on the PACS images to fully exploit the far-IR information also for the Herschel and Spitzer undetected subsamples. We find that the SSFR-mass relation steepens with redshift, being almost flat at z<1.0 and reaching a slope of $\alpha=-0.50^{+0.13}_{-0.16}$ at $z\sim 2$, at odds with recent works based on radio-stacking analysis at the same redshift. The mean SSFR of galaxies increases with redshift, by a factor $\sim$15 for massive $M>10^{11}~M_{\odot}$ galaxies from z=0 to z=2, and seems to flatten at z>1.5 in this mass range. Moreover, the most massive galaxies have the lowest SSFR at any z, implying that they have formed their stars earlier and more rapidly than their low mass counterparts (downsizing).

Key words: galaxies: evolution - galaxies: active - galaxies: starburst - cosmology: observations - infrared: galaxies

1 Introduction

The link between galaxy stellar mass and star formation rate (SFR), and its cosmic evolution is crucial to shed light on the processes of galaxy formation. The specific SFR (SSFR = SFR/mass) plays an important role as it measures the star formation efficiency of a galaxy and the fraction of a galaxy mass can be converted into stars per unit time (see e.g. da Cunha et al. 2010). Several studies at 0<z<3 report similar findings: (1) the SSFR increases with redshift at all masses; (2) the SSFR of massive galaxies is lower at all z (e.g. Dunne et al. 2009; Erb et al. 2006; Pérez-González et al. 2008; Feulner et al. 2005; Damen et al. 2009). However, the scatter and the exact slopes of these relations are still not clear. In particular, the dependence of SSFR on mass is one of the most debated open questions. On the one hand, radio-stacking analysis of galaxies at z=1.5-2.0 selected in the K-band found a weak (or even absent) SSFR-mass correlation, with an indication of steepening at higher redshift (Dunne et al. 2009; Pannella et al. 2009). On the other hand, other results based on UV to mid-IR SFR tracers indicate a clear decrease of the SSFR with increasing mass (e.g. Feulner et al. 2005; Erb et al. 2006; Noeske et al. 2007b; Cowie & Barger 2008). Some of these discrepancies could be due on one hand to the effects of dust extinction corrections for the SFR estimates based on UV-optical indicators, and on the other hand to the assumptions and large extrapolations on the infrared SED shape and luminosity adopted for the SFR estimates based on 24  $\mu $m data.

The advent of the Herschel Space Observatory (Pilbratt et al. 2010) finally allows us to robustly derive the total infrared (IR) luminosity ( $L_{\rm IR}$) of galaxies, by directly sampling the peak of the thermal emission of dusty galaxies up to $z\sim3$. In order to place new and stringent constraints on the SSFR evolution, in this work we exploit the PACS evolutionary probe (PEP) guaranteed time data collected in the GOODS-North field with the PACS (Poglitsch et al. 2010) instrument. The PEP observations are described in Berta et al. (2010, Appendix A). Ancillary data, both photometric and spectroscopic, including UV (GALEX), optical (HST), near-IR (FLAMINGOS, IRAC/Spitzer) and mid-IR (MIPS/Spitzer) data, have been collected to build up a reliable multiwavelength catalog and photometric redshifts. We adopt h = 0.7, $\Omega_{\Lambda}=0.73$ and $\Omega_{\rm m}= 0.27$.

2 Sample selection

Our aim is to investigate the evolutionary link between stellar mass and star formation avoiding strong biases and selection effects. Thus, the main galaxy sample was selected at 4.5 $\mu $m with IRAC (mag $_{4.5~\mu{\rm m}}<23.0$, AB) in order to ensure sensitivity to stellar mass up to $z\sim 2{-}3$. At this limiting magnitude, the IRAC sample is $\sim$80% flux complete (Mancini et al. 2009), it is not strongly affected by confusion (see Rodighiero et al. 2007) and it includes 4459 sources. On the IRAC positions we fitted PSFs to the MIPS and PACS images (however, for detections in the PACS maps we used only IRAC positions with a 24 $\mu $m detection). Out of the 4459 IRAC sources, 1887 (351) sources have MIPS (PACS) fluxes with signal-to-noise ratio (SNR) greater than 3. The typical 24 $\mu $m, 100 $\mu $m and 160 $\mu $m fluxes in this catalog reach the 3-$\sigma $ limit, that is $\sim$20 $\mu $Jy (Magnelli et al. 2009), $\sim$3 mJy and $\sim$5.7 mJy, respectively. With this selection we miss only 2 PACS-detected objects with low signal-to-noise ratio ( ${\rm SNR}\sim3$). About 40%, $\sim$$52\%$ and $\sim$$70\%$ of the IRAC, MIPS and PACS subsamples have an optical spectroscopic redshift (mainly from Barger et al. 2008), respectively.

3 Stellar masses and IR luminosities

Following the approach of Rodighiero et al. (2007), stellar masses were estimated by setting the redshift (photometric or spectroscopic) of each IRAC-selected object and using the Hyperz code (Bolzonella et al. 2000) applied to the photometric SEDs in the optical-to-5.8 $\mu $m range. For an easier comparison with literature data, we used the stellar-population synthesis models of Bruzual & Charlot (2003, hereafter BC03) with a Salpeter IMF, exponentially declining $\tau$ models for the SFR, and solar metallicity. We estimated the stellar mass completeness as a function of redshift as described in Mancini et al. (2009) (see online Fig. A.1).

\begin{figure}
\par\includegraphics[width=7.5cm,height=6.7cm,clip]{14624fg1.eps} \vspace{-3mm}\end{figure} Figure 1:

Top panel: comparison of $L_{\rm IR}$ derived from the UV-to-PACS $\mu $m data with the Polletta templates and the Chary & Elbaz (2001) libraries, by fitting one single point (100 $\mu $m). Bottom panel: comparison of $L_{\rm IR}$ derived from the UV-to-24 $\mu $m and the UV-to-PACS SED fitting procedures. Different colors refer to various redshift intervals (see legend in the figure). The thick cross symbols represent the median value in the corresponding luminosity bins. We also report with dotted lines the $\pm $1$\sigma $ limits around the median. In both panels only sources from the 4.5 $\mu $m catalog that were detected with ${\it SNR}>3$ at all 24, 100 and/or 160 $\mu $m are reported.

Open with DEXTER

For the objects detected with PACS and MIPS, the IR luminosities $L_{\rm IR}$ were estimated with a best fitting procedure by comparing the optical-to-IR SEDs with a library of template SEDs of local objects from Polletta et al. (2007) and adding a few modified templates (see Gruppioni et al. 2010). We followed the same approach that we applied to 24 $\mu $m GOODS-South and SWIRE-VVDS sources in Rodighiero et al. (2010) and in Gruppioni et al. (2010). The inclusion of the whole SED in the fitting procedure allowed us to fully exploit the photometric information and determine the K-correction in the most reliable way. As described in Rodighiero et al. (2010), we forced the spectral fit to reproduce the far-IR Spitzer-Herschel datapoints by reducing their photometric errors. To minimize the contribution from AGN emission to the $L_{\rm IR}$, we removed from our sample X-ray detected sources with $L_{\rm X}>10^{42}$ erg/s and those objects classified by the SED fitting analysis as type 1 quasars. A few examples of our best-fits are presented in the online Appendix B, Fig. A.1.

\begin{figure}
\par\includegraphics[width=17cm,height=5.5cm,clip]{14624fg2.eps}
\vspace{-2mm}\end{figure} Figure 2:

Relation of the stellar mass as a function of SFR ( top panels) and SSFR ( bottom panels). Green points represent PACS detected sources for which the $L_{\rm IR}$ has been computed including all data points. Black points are MIPS 24 $\mu $m sources undetected by PACS: in this case the $L_{\rm IR}$ has been derived from our SED fitting procedure limited at 24 $\mu $m. Open symbols are passive sources with color mag[24]-mag[3.6]<0.5. We also report with red lines the average of the relations and the $\pm $1$\sigma $ limits. The red dot-dashed lines correspond to literature observed relations between mass and SFR: at $z\sim 1$ the GOODS relation by Elbaz et al. (2007); at $z\sim 2$ the relation for star-forming BzK by Daddi et al. (2007). Vertical dashed lines mark the mass completeness limit as a function of z, and the horizontal dotted lines indicate the inverse of the age of the universe at the mean redshift of each bin. The dashed blue lines in the bottom panels show the relations derived from our stacking analysis on PACS maps. Open circles mark sources classified as passive on a color basis (mag[24]-mag[3.6]<0.5), and generally populate a separate sequence (this bimodality has already been detected by Santini et al. 2009).

Open with DEXTER

4 The estimate of SFR

For the galaxies detected with PACS or at 24 $\mu $m, the instantaneous SFR was estimated using the combination of IR and UV luminosity as in Papovich et al. (2007) and Santini et al. (2009): ${\it SFR}_{\rm IR+UV}/M_{\odot}{\rm yr}^{-1}=1.8
\times 10^{-10} \times L_{\rm bol}/L_{\odot}$ with $L_{\rm bol}=2.2 \times
L_{\rm UV}+L_{\rm IR}$, where $L_{\rm IR}$ was derived by integrating the best-fit SEDs in the [8-1000] $\mu $m rest-frame range. The rest-frame UV luminosity (which accounts for for the contribution for young unobscured stars), uncorrected for extinction, derived from the SED fitting with BC03 model, is $L_{\rm UV} = 1.5 \times L(2700~\AA)$. The contribution from $L_{\rm UV}$ is marginal, and its exclusion does not change the results presented here. In the rest of the paper, we will then discuss the main evolutionary trends linking mass and SFR by considering only $\lambda \geq 24$ $\mu $m detections, and we will discuss the contribution of the remaining far-IR undetected IRAC sources through a stacking analysis.

5 Results

5.1 Spitzer vs. Herschel IR luminosities

The reliability of our IR luminosities was assessed by comparing them with alternative approaches. For PACS detections, we compare in Fig. 1 (top panel) our $L_{\rm IR}$ derived from SED fitting to the UV-PACS range with Polletta templates, with those computed by using the Chary & Elbaz (2001, hereafter CE01) library and fitting only the 100 $\mu $m fluxes. This shows a very tight correspondence, confirming the value of far-IR information to constrain the bolometric energy budget of high-z galaxies, independently of the models assumed. For sources with 24 $\mu $m detection and no PACS, we have to rely on large extrapolations, that can be strongly influenced by the adopted models. As an internal check, we then compare in Fig. 1 (bottom panel) the IR luminosity derived from our UV-to-24 $\mu $m and the UV-to-160 $\mu $m SED fitting procedures. Different colors refer to various redshift intervals. As already discussed by Elbaz et al. (2010) and Nordon et al. (2010), at z>1.5 $L_{\rm IR}$ based on 24 $\mu $m data are overestimated, by a median factor $\sim$1.8 in our analysis: this factor is larger for the CE01 models and when including PACS upper limits in the analysis (e.g. up to a factor $\sim$4, see Nordon et al. 2010, showing that the observed trend is not induced by any PACS incompleteness). At z<1.5, the 24 $\mu $m based $L_{\rm IR}$ are underestimated, up to a factor $\sim$1.6 around $z\sim0.5{-}1.0$. This result highlights the key role of Herschel and have strong implications on previous Spitzer works on the SFR of $z\sim 2$ galaxies. In the following analysis and figures we have corrected the 24 $\mu $m based $L_{\rm IR}$, according to the new Herschel calibration that we have just discussed.

5.2 The mass versus SFR relation of star-forming galaxies

The existence of a strong correlation between galaxy SFR and mass at different redshifts (0<z<3) has been extensively discussed in the recent literature (Erb et al. 2006; Noeske et al. 2007a; Daddi et al. 2007; Elbaz et al. 2007; Pérez-González et al. 2008; Pannella et al. 2009, among the others), but there is not yet agreement on the general validity and properties of this relation. The main results of our analysis are shown in Fig. 2 where we combine the subsamples of the star-forming galaxies detected with PACS and/or MIPS. The upper panels indicate the existence of a (rather scattered) positive correlations between the SFR and stellar mass at all redshifts. The Spearman test indicates that the probability of not having correlation is 2e-23, 7e-23, 9e-41, 1e-28, 2e-14, 2e-17, 4e-08, and 1e-10 in the eight redshift intervals, respectively. The SFR-mass relation looks more robust at z<1. However we should remind that in this case we are considering also sources below the mass completeness (vertical lines), and that we are sampling only the most star-forming population, as MIPS or PACS undetected sources are not included in these plots. The comparison with Elbaz et al. (2007) at $z\sim 1$ and Daddi et al. (2007) at $z\sim 2$ (see caption of Fig. 2 for details) shows that their observed slope of the SFR-mass relation is not inconsistent with our results, but even much flatter relations would be allowed by our data above the completeness limit. The lower panels of Fig. 2 show the relation between SSFR and stellar mass for the same sources plotted in the upper panels. A negative trend of SSFR with mass is evident at all redshifts, although the scatter is quite large. The bulk of PACS and/or MIPS sources is located above the horizontal dotted line (the inverse of the age of the Universe), indicating that these systems are experiencing a major episode of star formation, forming stars more actively than in their recent past and building up a substantial fraction of their final stellar mass.

\begin{figure}
\par\includegraphics[width=6.5cm,clip]{14624fg3.eps}
\vspace{-2mm}\end{figure} Figure 3:

Relation of the stellar mass as a function of the SSFR for PACS detected sources in various redshift bins: the SFR for red points has been computed from PACS fluxes, while for black points it has been extrapolated from the SED fitting from the 24 $\mu $m data.

Open with DEXTER
The key role of Herschel for high-z galaxies is highlighted in Fig. 3 showing that when PACS data are used, the scatter of the SSFR - mass relations decreases by factors of 1.0, 1.3, 2.3 and 3.7 for increasing redshift bins, compared to the case of SSFRs estimated with MIPS data only. We have to warn that PACS detects only the brightest objects and we cannot than verify that the scatter is intrinsically lower. However, the fact that at least at high luminosities, at $z\sim 2$, PACS produces a smaller scatter (because it provides a more accurate SFR), might suggest that a similar trend should happen also at low luminosities.

6 Stacking analysis on PACS images

To test if the results in Fig. 2 might have been affected by selection biases and to verify their reliability, we performed a stacking analysis (Bethermin et al. 2010) including all sources of the original IRAC [4.5]<23.0 sample. We splitted the sample in bins of mass and redshift, and stacked on a residual 160 $\mu $m map (created by removing all PACS 160 $\mu $m detections included in our catalog with ${\it SNR}>3$) at the positions of all IRAC sources undetected by PACS (stacking at 100 $\mu $m does not change our results). With this procedure, we derived a typical flux for each mass-redshift bin. Using the formalism introduced by Magnelli et al. (2009), that accounts both for detections and no-detections, we then converted these fluxes into luminosities by adopting an average K-correction for each redshift (derived from the more common SED template adopted by our best-fitting procedure in that interval). An empirical relation between rest-frame $\nu L_{\nu}(160~\mu{\rm m})$ and $L_{\rm IR}$ was used to first convert the stacked luminosities into bolometric luminosities, and then into SFR through a standard Kennicutt law (Kennicutt 1998). In this analysis we have included only star-forming galaxies. To exclude passive sources we applied an empirical color selection of $(U-B)_{\rm rf}<1.1$, calibrated from our data, and, to recover massive dusty sources that might fall into the red sequence, we included in the stacking analysis also sources with $(U-B)_{\rm rf}>1.1$ and mag[24]-mag[3.6]>0.5.

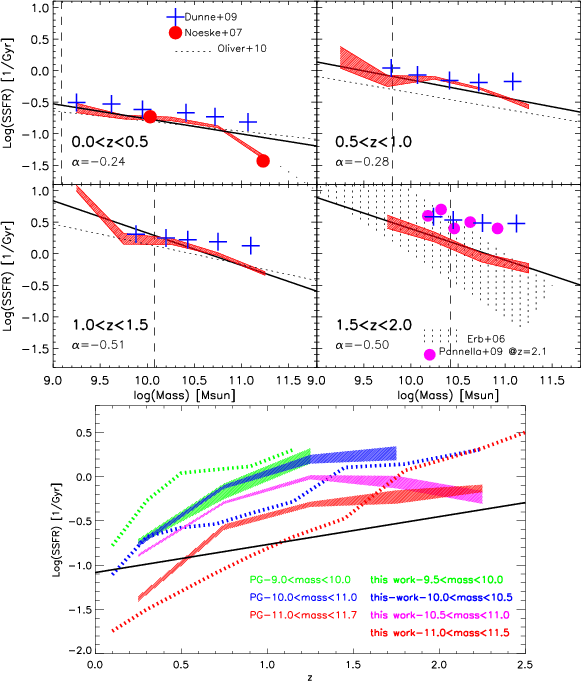
\begin{figure}
\par\includegraphics[width=8.2cm,clip]{14624fg4.eps}\par {\hspace*{7mm}\includegraphics[width=6.8cm,clip]{14624fg5.eps}\hspace*{7mm}}\end{figure} Figure 4:

Upper figure: SSFR-mass relation based on a stacking analysis on PACS images for a sample of IRAC mag[4.5]<23.00 star-forming sources in various redshift bins. Our data are shown as a red shaded region, where the upper and lower envelops of each curve represent the statistical errors derived from a bootstrapping procedure on the stacking analysis. The black solid lines mark linear fits to our distribution. Literature data are reported with different symbols (see legend in the figure). Vertical lines mark the mass completeness. Lower figure: SSFR-z relation, in various mass bins. Our data (shaded regions) are compared to Pérez-González et al. (2008, dotted lines). The black line is the inverse of time since Bing Bang at any redshift.

Open with DEXTER

The results of the PACS stacking analysis are presented in Fig. 4 (upper panel) and compared with literature data based on star-forming samples (with the exception of Dunne et al. 2009 that includes all K-band selected objects). The slope of our SSFR-mass relation becomes steeper with redshift, being quite flat at z<1 with $\alpha=-0.25^{+0.11}_{-0.14}$ (all the slopes have been computed in a mass complete range). Intringuingly, the slopes are consistent with those observed for the 24, 100 and160 $\mu $m detections at 0.5<z<2 (blue, long-dashed lines in Fig. 3). At z<1, our results are in broad agreement with those based on radio-stacking that found almost flat relations up to $z\sim 2$ (Dunne et al. 2009; Pannella et al. 2009), while at z>1 our relation evolves toward stronger dependencies ( $\alpha=-0.50^{+0.13}_{-0.16}$). We note that the rejection of passive and massive sources in the Dunne et al. sample would produce even flatter relations, increasing the discrepancy with our results at high-z. At low z, the study by Noeske et al. (2007) based on the UV-optical luminosities is steeper then our results, while at $z\sim 2$ the work by Erb et al. (2006) is more consistent with our observed SSFR-mass relation (however, within a very huge scatter). A recent work by Oliver et al. (2010), based on MIPS 70 and 160 $\mu $m stacking, seems instead to be in general agreement with us up to z<1.5, where they have enough statistics.

Figure 4 (bottom panel) also shows that the mean SSFR of star-forming sources rises with redshift, up to a factor $\sim$15 for the most massive galaxies ( $M>10^{11}~M_{\odot}$), implying that galaxies tend to form their stars more actively at higher redshifts. The mean SSFR seems also to flatten at z>1.5 for ( $M>10^{10.5}~M_{\odot}$). Moreover, the most massive galaxies have the lowest SSFR at any redshifts. As shown in bottom Fig. 4, they have already so large stellar masses at z=0.7 to 2.5 that they would require steady SFR at the PACS observed level during the whole Hubble time at that redshift to form.

Acknowledgements
G.R. acknowledges support from the University of Padova from ASI (Herschel Science Contract I/005/07/0). PACS has been developed by a consortium of institutes led by MPE (Germany) and including UVIE (Austria); KU Leuven, CSL, IMEC (Belgium); CEA, LAM (France); MPIA (Germany); INAF- IFSI/OAA/OAP/OAT, LENS, SISSA (Italy); IAC (Spain). This development has been supported by the funding agencies BMVIT (Austria), ESA-PRODEX (Belgium), CEA/CNES (France), DLR (Germany), ASI/INAF (Italy), and CICYT/MCYT (Spain).

References

  1. Barger, A. J., Cowie, L. L., & Wang, W.-H. 2008, ApJ, 689, 687 Berta, S., et al. 2010, 518, L30 [NASA ADS] [CrossRef] [Google Scholar]
  2. Béthermin, M., Dole, H., Beelen, A., & Aussel, H. 2010, A&A, 512, A78 [NASA ADS] [CrossRef] [EDP Sciences] [Google Scholar]
  3. Bolzonella, M., Miralles, J.-M., & Pelló, R. 2000, A&A, 363, 476 [NASA ADS] [Google Scholar]
  4. Bruzual, G., & Charlot, S. 2003, MNRAS, 344, 1000 [NASA ADS] [CrossRef] [Google Scholar]
  5. Chary, R., & Elbaz, D. 2001, ApJ, 556, 562 [NASA ADS] [CrossRef] [Google Scholar]
  6. Cowie, L. L., & Barger, A. J. 2008, ApJ, 686, 72 [NASA ADS] [CrossRef] [Google Scholar]
  7. Daddi, E., Dickinson, M., Morrison, G., et al. 2007, ApJ, 670, 156 [NASA ADS] [CrossRef] [Google Scholar]
  8. da Cunha, E., Eminian, C., Charlot, S., & Blaizot, J. 2010, MNRAS, 403, 1894 [NASA ADS] [CrossRef] [Google Scholar]
  9. Damen, M., Labbé, I., Franx, M., et al. 2009, ApJ, 690, 937 [NASA ADS] [CrossRef] [Google Scholar]
  10. Dunne, L., Ivison, R. J., Maddox, S., et al. 2009, MNRAS, 394, 3 [NASA ADS] [CrossRef] [Google Scholar]
  11. Elbaz, D., Daddi, E., Le Borgne, D., et al. 2007, A&A, 468, 33 [NASA ADS] [CrossRef] [EDP Sciences] [Google Scholar]
  12. Elbaz, D., et al. 2010, A&A, 518, L29 [NASA ADS] [CrossRef] [EDP Sciences] [Google Scholar]
  13. Erb, D. K., Steidel, C. C., Shapley, A. E., et al. 2006, ApJ, 647, 128 [NASA ADS] [CrossRef] [Google Scholar]
  14. Feulner, G., Gabasch, A., Salvato, M., et al. 2005, ApJ, 633, L9 [NASA ADS] [CrossRef] [Google Scholar]
  15. Gruppioni, C., et al. 2010, A&A, 518, L27 [NASA ADS] [CrossRef] [EDP Sciences] [Google Scholar]
  16. Kennicutt, R. C., Jr. 1998, ApJ, 498, 541 [NASA ADS] [CrossRef] [Google Scholar]
  17. Magnelli, B., Elbaz, D., Chary, R. R., et al. 2009, A&A, 496, 57 [NASA ADS] [CrossRef] [EDP Sciences] [Google Scholar]
  18. Mancini, C., Matute, I., Cimatti, A., et al. 2009, A&A, 500, 705 [NASA ADS] [CrossRef] [EDP Sciences] [Google Scholar]
  19. Noeske, K. G., Weiner, B. J., Faber, S. M., et al. 2007, ApJ, 660, L43 [Google Scholar]
  20. Nordon, R., et al. 2010, A&A, 518, L24 [NASA ADS] [CrossRef] [EDP Sciences] [Google Scholar]
  21. Oliver, S., Frost, M., Farrah, D., et al. 2010, MNRAS [arXiv:1003.2446] [Google Scholar]
  22. Pannella, M., Carilli, C. L., Daddi, E., et al. 2009, ApJ, 698, L116 [Google Scholar]
  23. Papovich, C., Rudnick, G., Le Floc'h, E., et al. 2007, ApJ, 668, 45 [NASA ADS] [CrossRef] [Google Scholar]
  24. Pérez-González, P. G., Trujillo, I., Barro, G., et al. 2008, ApJ, 687, 50 [NASA ADS] [CrossRef] [Google Scholar]
  25. Pilbratt, G. L., et al. 2010, A&A, 518, L1 [CrossRef] [EDP Sciences] [Google Scholar]
  26. Poglitsch, A., et al. 2010, A&A, 518, L2 [NASA ADS] [CrossRef] [EDP Sciences] [Google Scholar]
  27. Polletta, M., Tajer, M., Maraschi, L., et al. 2007, ApJ, 663, 81 [NASA ADS] [CrossRef] [Google Scholar]
  28. Rodighiero, G., Cimatti, A., Franceschini, A., et al. M. 2007, A&A, 470, 21 [NASA ADS] [CrossRef] [EDP Sciences] [Google Scholar]
  29. Rodighiero, G., Vaccari, M., Franceschini, A., et al. 2010, A&A, 515, A8 [NASA ADS] [CrossRef] [EDP Sciences] [Google Scholar]
  30. Santini, P., Fontana, A., Grazian, A., et al. 2009, A&A, 504, 751 [NASA ADS] [CrossRef] [EDP Sciences] [Google Scholar]

Online Material

Appendix A: Mass completeness

\begin{figure}
\par\includegraphics[width=8cm,clip]{14624fg6.eps}
\end{figure} Figure A.1:

Mass-completeness thresholds as a function of redshift for our IRAC 4.5 $\mu $m-selected sample (mag $_{4.5~\mu{\rm m}}<23.0$, AB), derived from synthetic stellar population models as described in Mancini et al. (2009). Here we used the constant SFR templates of Bruzual & Charlot (2003), with a Salpeter IMF, and different ages, and dust extinction parameters (EB-V). For each specific age, we considered three possible values of dust extinction: EB-V=0.3 (solid lines), EB-V=0.5 (dashed lines), and EB-V=0.8 (dot-dashed lines). In our analysis we adopted the most conservative mass-completeness limit (dot-dashed magenta line), above which even the oldest (2 Gyr) and highly extincted ( EB-V=0.8) star-forming galaxy population would be entirely recovered.

Open with DEXTER

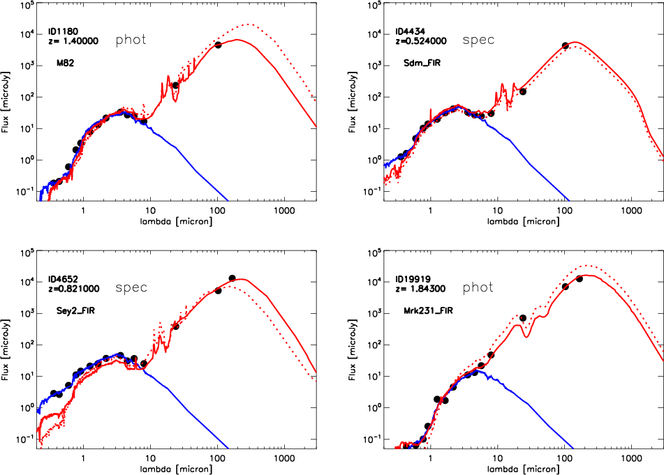
Appendix B: SED fitting examples

\begin{figure}
\par\includegraphics[width=16cm,clip]{14624fg7.ps}
\par\end{figure} Figure B.1:

The observed spectral energy distributions (filled circles) of four PACS sources from our sample, representative of the various spectral classes considered in this work. We also show the best-fit spectra obtained with Hyperz based on the spectral library by Polletta et al. (2007) and the updated version of Gruppioni et al. (2010): the red solid lines represent the best-fit obtained with Herschel data, while red dotted lines are the fit limited to the 24 $\mu $m Spitzer data points. The blue lines show the fit to the optical-5.8  $\mu $m bands with Bruzual & Charlot (2003) models.

Open with DEXTER

Footnotes

... galaxies[*]
Herschel is an ESA space observatory with science instruments provided by European-led Principal Investigator consortia and with important participation from NASA.
...[*]
Appendices are only available in electronic form at http://www.aanda.org

All Figures

   \begin{figure}
\par\includegraphics[width=7.5cm,height=6.7cm,clip]{14624fg1.eps} \vspace{-3mm}\end{figure} Figure 1:

Top panel: comparison of $L_{\rm IR}$ derived from the UV-to-PACS $\mu $m data with the Polletta templates and the Chary & Elbaz (2001) libraries, by fitting one single point (100 $\mu $m). Bottom panel: comparison of $L_{\rm IR}$ derived from the UV-to-24 $\mu $m and the UV-to-PACS SED fitting procedures. Different colors refer to various redshift intervals (see legend in the figure). The thick cross symbols represent the median value in the corresponding luminosity bins. We also report with dotted lines the $\pm $1$\sigma $ limits around the median. In both panels only sources from the 4.5 $\mu $m catalog that were detected with ${\it SNR}>3$ at all 24, 100 and/or 160 $\mu $m are reported.

Open with DEXTER
In the text

   \begin{figure}
\par\includegraphics[width=17cm,height=5.5cm,clip]{14624fg2.eps}
\vspace{-2mm}\end{figure} Figure 2:

Relation of the stellar mass as a function of SFR ( top panels) and SSFR ( bottom panels). Green points represent PACS detected sources for which the $L_{\rm IR}$ has been computed including all data points. Black points are MIPS 24 $\mu $m sources undetected by PACS: in this case the $L_{\rm IR}$ has been derived from our SED fitting procedure limited at 24 $\mu $m. Open symbols are passive sources with color mag[24]-mag[3.6]<0.5. We also report with red lines the average of the relations and the $\pm $1$\sigma $ limits. The red dot-dashed lines correspond to literature observed relations between mass and SFR: at $z\sim 1$ the GOODS relation by Elbaz et al. (2007); at $z\sim 2$ the relation for star-forming BzK by Daddi et al. (2007). Vertical dashed lines mark the mass completeness limit as a function of z, and the horizontal dotted lines indicate the inverse of the age of the universe at the mean redshift of each bin. The dashed blue lines in the bottom panels show the relations derived from our stacking analysis on PACS maps. Open circles mark sources classified as passive on a color basis (mag[24]-mag[3.6]<0.5), and generally populate a separate sequence (this bimodality has already been detected by Santini et al. 2009).

Open with DEXTER
In the text

   \begin{figure}
\par\includegraphics[width=6.5cm,clip]{14624fg3.eps}
\vspace{-2mm}\end{figure} Figure 3:

Relation of the stellar mass as a function of the SSFR for PACS detected sources in various redshift bins: the SFR for red points has been computed from PACS fluxes, while for black points it has been extrapolated from the SED fitting from the 24 $\mu $m data.

Open with DEXTER
In the text

   \begin{figure}
\par\includegraphics[width=8.2cm,clip]{14624fg4.eps}\par {\hspace*{7mm}\includegraphics[width=6.8cm,clip]{14624fg5.eps}\hspace*{7mm}}\end{figure} Figure 4:

Upper figure: SSFR-mass relation based on a stacking analysis on PACS images for a sample of IRAC mag[4.5]<23.00 star-forming sources in various redshift bins. Our data are shown as a red shaded region, where the upper and lower envelops of each curve represent the statistical errors derived from a bootstrapping procedure on the stacking analysis. The black solid lines mark linear fits to our distribution. Literature data are reported with different symbols (see legend in the figure). Vertical lines mark the mass completeness. Lower figure: SSFR-z relation, in various mass bins. Our data (shaded regions) are compared to Pérez-González et al. (2008, dotted lines). The black line is the inverse of time since Bing Bang at any redshift.

Open with DEXTER
In the text

  \begin{figure}
\par\includegraphics[width=8cm,clip]{14624fg6.eps}
\end{figure} Figure A.1:

Mass-completeness thresholds as a function of redshift for our IRAC 4.5 $\mu $m-selected sample (mag $_{4.5~\mu{\rm m}}<23.0$, AB), derived from synthetic stellar population models as described in Mancini et al. (2009). Here we used the constant SFR templates of Bruzual & Charlot (2003), with a Salpeter IMF, and different ages, and dust extinction parameters (EB-V). For each specific age, we considered three possible values of dust extinction: EB-V=0.3 (solid lines), EB-V=0.5 (dashed lines), and EB-V=0.8 (dot-dashed lines). In our analysis we adopted the most conservative mass-completeness limit (dot-dashed magenta line), above which even the oldest (2 Gyr) and highly extincted ( EB-V=0.8) star-forming galaxy population would be entirely recovered.

Open with DEXTER
In the text

  \begin{figure}
\par\includegraphics[width=16cm,clip]{14624fg7.ps}
\par\end{figure} Figure B.1:

The observed spectral energy distributions (filled circles) of four PACS sources from our sample, representative of the various spectral classes considered in this work. We also show the best-fit spectra obtained with Hyperz based on the spectral library by Polletta et al. (2007) and the updated version of Gruppioni et al. (2010): the red solid lines represent the best-fit obtained with Herschel data, while red dotted lines are the fit limited to the 24 $\mu $m Spitzer data points. The blue lines show the fit to the optical-5.8  $\mu $m bands with Bruzual & Charlot (2003) models.

Open with DEXTER
In the text


Copyright ESO 2010

Current usage metrics show cumulative count of Article Views (full-text article views including HTML views, PDF and ePub downloads, according to the available data) and Abstracts Views on Vision4Press platform.

Data correspond to usage on the plateform after 2015. The current usage metrics is available 48-96 hours after online publication and is updated daily on week days.

Initial download of the metrics may take a while.