Issue
A&A
Volume 518, July-August 2010
Herschel: the first science highlights
Article Number L150
Number of page(s) 5
Section Letters
DOI https://doi.org/10.1051/0004-6361/201014665
Published online 16 July 2010
A&A 518, L150 (2010)

Herschel: the first science highlights

LETTER TO THE EDITOR

HIFI observations of water in the atmosphere of comet C/2008 Q3 (Garradd)[*],[*]

P. Hartogh1 - J. Crovisier2 - M. de Val-Borro1 - D. Bockelée-Morvan2 - N. Biver2 - D. C. Lis3 - R. Moreno2 - C. Jarchow1 - M. Rengel1 - M. Emprechtinger3 - S. Szutowicz4 - M. Banaszkiewicz4 - F. Bensch5 - M. I. Blecka4 - T. Cavalié1 - T. Encrenaz2 - E. Jehin6 - M. Küppers7 - L.-M. Lara8 - E. Lellouch2 - B. M. Swinyard9 - B. Vandenbussche10 - E. A. Bergin11 - G. A. Blake3 - J. A. D. L. Blommaert10 - J. Cernicharo12 - L. Decin10,13 - P. Encrenaz14 - T. de Graauw15,16,17 - D. Hutsemekers6 - M. Kidger18 - J. Manfroid6 - A. S. Medvedev1 - D. A. Naylor19 - R. Schieder20 - N. Thomas21 - C. Waelkens10 - P. R. Roelfsema15 - P. Dieleman15 - R. Güsten22 - T. Klein22 - C. Kasemann22 - M. Caris22 - M. Olberg23,15 - A. O. Benz 24

1 - Max-Planck-Institut für Sonnensystemforschung, 37191 Katlenburg-Lindau, Germany
2 - LESIA, Observatoire de Paris, 5 place Jules Janssen, 92195 Meudon, France
3 - California Institute of Technology, Pasadena, CA 91125, USA
4 - Space Research Centre, Polish Academy of Sciences, Warsaw, Poland
5 - DLR, German Aerospace Centre, Bonn-Oberkassel, Germany
6 - Institute d'Astrophysique et de Geophysique, Université de Liège, Belgium
7 - Rosetta Science Operations Centre, European Space Astronomy Centre, European Space Agency, Spain
8 - Instituto de Astrofísica de Andalucía (CSIC), Spain
9 - Space Science & Technology Department, Rutherford Appleton Laboratory, UK
10 - Instituut voor Sterrenkunde, Katholieke Universiteit Leuven, Belgium
11 - Astronomy Department, University of Michigan, USA
12 - Laboratory of Molecular Astrophysics, CAB-CSIC, INTA, Spain
13 - Sterrenkundig Instituut Anton Pannekoek, University of Amsterdam, Science Park 904, 1098 Amsterdam, The Netherlands
14 - LERMA, Observatoire de Paris, France
15 - SRON Netherlands Institute for Space Research, Landleven 12, 9747 AD, Groningen, The Netherlands
16 - Leiden Observatory, University of Leiden, The Netherlands
17 - Joint ALMA Observatory, Chile
18 - Herschel Science Centre, European Space Astronomy Centre, European Space Agency, Spain
19 - Department of Physics and Astronomy, University of Lethbridge, Canada
20 - 1st Physics Institute, University of Cologne, Germany
21 - Physikalisches Institut, University of Bern, Switzerland
22 - Max-Planck-Institut für Radioastronomie, Auf dem Hügel 69, 53121 Bonn, Germany
23 - Chalmers University of Technology, 412 96 Göteborg, Sweden
24 - Institute of Astronomy, ETH Zürich, 8093 Zürich, Switzerland

Received 31 March 2010 / Accepted 13 May 2010

Abstract
High-resolution far-infrared and sub-millimetre spectroscopy of water lines is an important tool to understand the physical and chemical properties of cometary atmospheres. We present observations of several rotational ortho- and para-water transitions in comet C/2008 Q3 (Garradd) performed with HIFI on Herschel. These observations have provided the first detection of the 212-101 (1669 GHz) ortho and 111-000 (1113 GHz) para transitions of water in a cometary spectrum. In addition, the ground-state transition  110-101 at 557 GHz is detected and mapped. By detecting several water lines quasi-simultaneously and mapping their emission we can constrain the excitation parameters in the coma. Synthetic line profiles are computed using excitation models which include excitation by collisions, solar infrared radiation, and radiation trapping. We obtain the gas kinetic temperature, constrain the electron density profile, and estimate the coma expansion velocity by analyzing the map and line shapes. We derive water production rates of 1.7-2.8 $\times $ $10^{28}~{\rm s}^{-1}$ over the range $r_{\rm h}=1.83{-}1.85$ AU.

Key words: comets: individual: C/2008 Q3 - radio lines: general - submillimeter: general - techniques: spectroscopic

1 Introduction

Comets spend most of their lifetime in the outer Solar System and therefore have not undergone considerable thermal processing. Line emission is useful to study the physical and chemical conditions of cometary atmospheres, and their relation to other bodies in the Solar System (Bockelée-Morvan et al. 2004; Biver et al. 2002).

Water molecules in cometary atmospheres are excited due to collisions with other molecules and radiative pumping of the fundamental vibrational levels by the solar infrared flux. The 1 10-101 ortho-water transition at 557 GHz is one of the strongest lines in cometary comae, but it cannot be detected directly from the ground due to absorption in the Earth's atmosphere (Bockelée-Morvan 1987). Water vapour production has been estimated previously from the ground through measurements of its photodissociation product, the OH radical (see e.g. A'Hearn 1982), and water high vibrational bands (Bockelée-Morvan et al. 2004). The 110-101 rotational transition of ortho-water at 557 GHz has been observed using heterodyne techniques by the Submillimeter Wave Astronomical Satellite (SWAS) (Neufeld et al. 2000; Chiu et al. 2001), and later with Odin (Lecacheux et al. 2003; Biver et al. 2007,2009).

Table 1:   Summary of HIFI observations of comet C/2008 Q3 (Garradd) and retrieved water production rates.

ESA's Herschel Space Observatory was successfully launched on May 14, 2009 and entered a Lissajous orbit around the L2 Lagrangian point (Pillbratt et al. 2010). The Heterodyne Instrument for the Far-Infrared (HIFI) onboard Herschel has continuous coverage in five frequency bands in the 480-1150 GHz range, and an additional dual frequency band covering the 1410-1910 GHz range that are not observable from the ground (de Graauw et al. 2010). HIFI's submillimetre frequency coverage is of great importance to observe water vapour in Solar System objects such as cometary comae with unique sensitivity and the required high spectral resolution to resolve the emission lines.

Comet C/2008 Q3 (Garradd) is a long-period comet (P = 1.9 $\times $ 105) with a highly eccentric orbit (e=0.99969). It passed perihelion on June 23, 2009 at a distance of 1.7982 AU from the Sun and was observed with HIFI in July 2009 as part of the Herschel guaranteed time key project ``Water and related chemistry in the Solar System'' (Hartogh et al. 2009). In this letter, we describe the observations of water and the analysis of part of the data set. Water production rates derived from our radiative transfer models are presented.

2 Herschel HIFI observations

Comet C/2008 Q3 (Garradd) was observed with HIFI about one month post-perihelion in the period July 20-27 2009, when the comet was at $r_{\rm h}\simeq 1.8$ AU from the Sun and $\Delta \simeq 1.9$ AU from Herschel (Table 1). HIFI's submillimetre high-resolution heterodyne spectrometer is designed to have noise levels close to the quantum limit (de Graauw et al. 2010). The spectral resolution is 1.1 MHz and 140 KHz provided by the wide band spectrometer (WBS) and the high-resolution spectrometer (HRS), enabling HIFI to resolve spectrally cometary line shapes.

We present a summary of the HIFI observations in Table 1. These HIFI observations constitute the first detection of the 212-101 transition of ortho-water at 1669.9 GHz, and the 111-000 transition of para-water at 1113.3 GHz in cometary coma. In addition, the ground-state transition 110-101 at 557 GHz is detected. Multi-line observations can provide more reliable water production rates using molecular excitation codes.

The data were acquired using the standard frequency switching and position switching observing modes. In the latter mode, a reference cold sky position separated from the comet by  $0.5\hbox{$^\circ$ }$was observed for the same amount of time and subtracted from the on-source observations. Three additional on-the-fly (OTF) maps were obtained at 557 GHz with the standard observational modes (the OTF mode was not released at that time). The Herschel telescope has a diameter of 3.5 m, with a corresponding HIFI Half Power Beam Width (HPBW) of  $12.7\hbox{$^{\prime\prime}$ }$, $19.2\hbox{$^{\prime\prime}$ }$, and  $38.1\hbox{$^{\prime\prime}$ }$ at 1669, 1113, and 557 GHz, respectively. This represents projected distances of 1.7-5.1 $\times $ 104 km at the comet. The JPL's HORIZONS system[*] is used to calculate the ephemerides and the relative motion of the comet with respect to the satellite.

The data were reduced to a level 2 product using the standard Herschel interactive processing environment (HIPE) routines for HIFI (de Graauw et al. 2010). The frequency scale of the observed spectra was corrected for the geocentric velocity of the comet and the spacecraft orbital velocity. We scaled the main beam brightness temperature using the beam efficiency of the Herschel telescope, ranging between 0.65-0.75 at different frequencies. Integrated line intensities and velocity offsets in the comet rest frame are given in Table 1.

3 Data analysis

3.1 Water line emission

Figure 1 shows the spectrum of the 110-101 ortho-water line, corresponding to a long integration in frequency switching mode with a throw of 18 MHz. Here the signal-to-noise ratio is very high. This line is optically thick and slightly asymmetric due to self-absorption effects in the coma. From the width of the non-self-absorbed redshifted side of the line we obtain an estimate of 0.55 km s-1 for the coma expansion velocity. Values in the range $v_{\rm exp} = 0.5{-}0.8~\mbox{km~s$^{-1}$ }$ are typical for relatively weak comets with total water production rate $Q_{\rm H_2O}{} < 10^{29}~{\rm s}^{-1}$ at  $r_{\rm h} > 1.2~{\rm AU}$.

\begin{figure}
\par\includegraphics[width=8.3cm,clip]{14665fg1.eps}
\vspace{-2mm}
\end{figure} Figure 1:

Spectrum of the 110-101 ortho-water line at 556.936 GHz in comet C/2008 Q3 (Garradd) obtained by the HRS on July 20.94 UT in FSw mode. The velocity scale is given with respect to the comet rest frame. The dashed line shows a synthetic profile computed with the Monte Carlo model for isotropic outgassing at $v_{\rm exp}$ = 0.55 km s-1, T = 15 K, and $x_{n_{\rm e}}= 0.2$.

Open with DEXTER

\begin{figure}
\par\includegraphics[width=8.3cm,clip]{14665fg2.eps}
\vspace{-2mm}
\end{figure} Figure 2:

Average of the HRS frequency-switched observations of the 111-000 para-water line at 1113.343 GHz in comet C/2008 Q3 (Garradd) obtained on July 22.34 and 27.78 UT.

Open with DEXTER

Figure 2 shows the water spectrum of the 111-000 para-water line at 1113.3 GHz observed in frequency switching mode. We averaged over two dates to increase the signal-to-noise ratio. The 2 12-101 ortho-water line at 1669.9 GHz is detected in the HRS and WBS data (Fig. 3). There are standing waves in the spectrum due to the frequency switching observing mode. The line intensity is strongly baseline-dependent. Figure 4 shows the on-the-fly integrated intensity map of water emission at 557 GHz. The outer regions beyond  ${\sim}10\hbox{$^{\prime\prime}$ }$ (13 000 km) from the nucleus are dominated by infrared fluorescence.

\begin{figure}
\par\includegraphics[width=8.3cm,clip]{14665fg3.eps}
\vspace{-2mm}
\end{figure} Figure 3:

WBS frequency-switched observation of the 212-101ortho-water line at 1669.905 GHz towards comet C/2008 Q3 (Garradd) obtained on July 27.73 UT.

Open with DEXTER

\begin{figure}
\par\includegraphics[width=8.3cm,clip]{14665fg4}
\vspace{-2mm}
\end{figure} Figure 4:

On-the-fly map of the 557 GHz ortho line obtained by HRS on July 20.95 UT. The contour step is 0.2 K km s-1 in brightness temperature, from 0 to 1.8 K km s-1. The map width is 3 $\times $ 105 km projected at the comet. The direction towards the Sun is indicated by the arrow in the upper right corner.

Open with DEXTER

3.2 Modelling

We adopted the publicly available Accelerated Monte Carlo radiative transfer code ratran (Hogerheijde & van der Tak 2000) to calculate water line emission in cometary coma. We used the one-dimensional version of the code following the work of Bensch & Bergin (2004). A water excitation model based on the Sobolev escape probability method was also considered (Biver 1997; Bockelée-Morvan 1987). These two approaches provide very similar results (Zakharov et al. 2007).

The radial gas density profile for water was obtained using the standard spherically symmetric Haser distribution (Haser 1957). The expansion velocity is assumed to be constant in the coma. We use a constant neutral gas kinetic temperature throughout the coma and the electron temperature profile given by Biver (1997) (see also Bensch & Bergin 2004). We assume an ortho-to-para water abundance ratio of 3 (see e.g., Crovisier et al. 1997). The few number of observed water lines, their non-simultaneity, and the different beam sizes for each line prevented us to derive useful constraints on the ortho-to-para ratio. Molecular data for ortho- and para-water have been obtained from the current version of the LAMDA database[*] (Schöier et al. 2005).

The electron density profile is derived from the 1P/Halley in situ measurements scaled to the water production rate and heliocentric distance of comet C/2008 Q3 (Garradd) (Bensch & Bergin 2004; Biver 1997). A scaling factor to this electron density profile,  $x_{n_{\rm e}}$, is introduced as a free parameter to the model (Biver 1997). Observations of the 557 GHz line in comets with Odin have shown that the radial profiles of the line brightness are best explained with $x_{n_{\rm e}}= 0.2$ (Biver et al. 2007). For the Monte Carlo code, the water-electron collision rates from Faure et al. (2004) are used.

Infrared pumping of vibrational bands by solar radiation contributes to the excitation in the outer coma where the gas and electron densities are low (Bockelée-Morvan 1987). We use the effective pumping rates for the lowest rotational levels of the ground vibrational state of ortho-water from Zakharov et al. (2007). Effective pumping rates for para-water were computed as described in Zakharov et al. (2007).

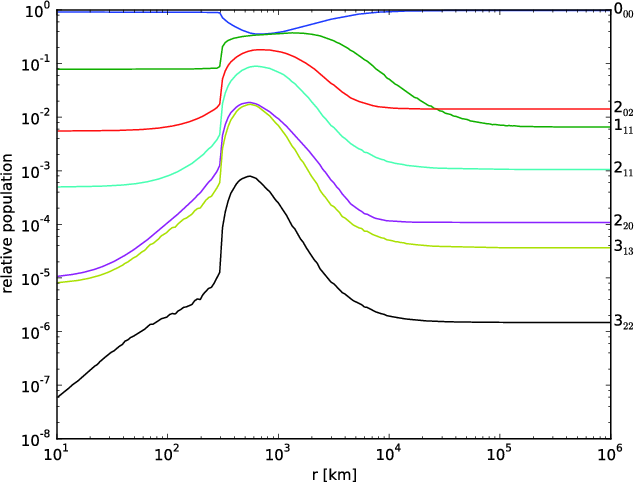
The relative level population of the lowest levels of para-water is shown in online Fig. 5. In the inner coma, frequent collisions between water molecules lead to a thermal equilibrium distribution, and electrons are cooled down close to the neutral gas temperature (e.g. Bensch & Bergin 2004). Given the beam sizes (between 17 000 and 51 000 km projected on the comet), molecules from the outer coma contribute to the detected emission. The line excitation in this region is dominated by water-electron collisions and infrared fluorescence.

Once the level populations are calculated, we solve the radiative transfer equation along different lines of sight through the comet atmosphere covering 2.5 $\times $  ${\it HPBW}$, and compute the beam averaged emission at the distance of the comet. By comparing to the observed line emission, we deduce the water production rate.

3.3 Water production rates

Mapping observations shown in Fig. 4 can be used to constrain the neutral gas kinetic temperature and the electron density scaling factor  $x_{n_{\rm e}}$. We constrained these model parameters by minimizing the radial variation of the water production rate deduced from the intensity at different offset positions. Hence, deviations from the Haser law due, e.g., to sublimating grains or structures induced by the rotation of the nucleus are not considered. We used the HRS data with the two orthogonal polarisations. We averaged radially the line intensity using bins of  $10\hbox{$^{\prime\prime}$ }$ to 20 $^{\prime\prime}$. In Fig. 6, we show the retrieved water production rate as a function of offset for an isotropic model with an expansion velocity $v_{\rm exp}$ = 0.55 km s-1, $T = 15~{\rm K}$, and $x_{n_{\rm e}}= 0.2$ and 1. We found that a constant production rate is obtained for excitation parameters in the range $T = 15{-}25~{\rm K}$ and $x_{n_{\rm e}}=0.1{-}0.2$. The best-fit synthetic line profile computed using the Monte Carlo code with $v_{\rm exp} = 0.55~\mbox{km~s$^{-1}$ }$, $T = 15~{\rm K}$, and $x_{n_{\rm e}}= 0.2$ is shown in Fig. 1. This model explains satisfactorily the observed line shape. A similar spectrum is obtained with the escape probability method. Both models differ by less than 5% in the calculated line intensities.

We also investigated an anisotropic model with the outgassing restricted to a  ${\pm }130\hbox {$^\circ $ }$ cone centered in the direction towards the Sun and expansion velocity of 0.60 km s-1. The anisotropic model provides a better fit to the evolution of the line mean Doppler shift (Fig. 7). This suggests a day/night asymmetry in the comet outgassing which may affect production rate determinations.

The water production rates derived from different lines are in the range 1.7-2.8 $\times $ $10^{28}~{\rm s}^{-1}$. Those derived from the 1113 and 1669 GHz lines observed on the same day are consistent. A decrease of the comet activity from July 20.9 to 27.8 UT is suggested. However, this needs to be confirmed from a proper consideration of the outgassing asymmetry and possible pointing offsets related to the comet ephemeris.

\begin{figure}
\par\includegraphics[width=8.3cm,clip]{14665fg6}
\vspace{-2mm}
\end{figure} Figure 6:

Apparent water production rates as a function of offset deduced from the 557 GHz map shown in Fig. 4. Isotropic outgassing at $v_{\rm exp}$ = 0.55 km s-1 is assumed. Results for $x_{n_{\rm e}}$ = 0.2 and 1 are shown with black and red symbols, respectively. The dashed horizontal line shows the mean water production rate.

Open with DEXTER
\begin{figure}
\par\includegraphics[width=8.3cm,clip]{14665fg7}
\vspace{-2mm}
\end{figure} Figure 7:

557-GHz line Doppler shift as a function of position offset for models considering isotropic outgassing (black line) and anisotropic outgassing concentrated in a  ${\pm }130\hbox {$^\circ $ }$ cone (red line). The blue squares indicate the observed line Doppler shift.

Open with DEXTER

4 Conclusions

The Herschel Space Observatory provides unique new capabilities for the detection of water in the Solar System. HIFI's spectral range and high resolution allowed for the direct detection of several water lines almost simultaneously. High spectral resolution is crucial to resolve the line shape and asymmetries due to self-absorption.

On 20-27 July 2009, comet C/2008 Q3 (Garradd) was observed with HIFI. The high-resolution spectra of HIFI allows us to detect for the first time several rotational water lines in cometary spectra. A water production rate of ${\sim}2$ $\times $ $10^{28}~{\rm s}^{-1}$ was derived at heliocentric distance of 1.8 AU using radiative transfer numerical codes which include collisional effects and infrared fluorescence by solar radiation.

In future studies, HIFI will be able to detect water isotopes, and determine the D/H ratio in active comets.



Acknowledgements
HIFI has been designed and built by a consortium of institutes and university departments from across Europe, Canada and the United States under the leadership of SRON Netherlands Institute for Space Research, Groningen, The Netherlands and with major contributions from Germany, France and the US. Consortium members are: Canada: CSA, U.Waterloo; France: CESR, LAB, LERMA, IRAM; Germany: KOSMA, MPIfR, MPS; Ireland, NUI Maynooth; Italy: ASI, IFSI-INAF, Osservatorio Astrofisico di Arcetri-INAF; Netherlands: SRON, TUD; Poland: CAMK, CBK; Spain: Observatorio Astronómico Nacional (IGN), Centro de Astrobiología (CSIC-INTA). Sweden: Chalmers University of Technology - MC2, RSS & GARD; Onsala Space Observatory; Swedish National Space Board, Stockholm University - Stockholm Observatory; Switzerland: ETH Zurich, FHNW; USA: Caltech, JPL, NHSC. HIPE is a joint development by the Herschel Science Ground Segment Consortium, consisting of ESA, the NASA Herschel Science Center, and the HIFI, PACS and SPIRE consortia. This development has been supported by national funding agencies: CEA, CNES, CNRS (France); ASI (Italy); DLR (Germany). Additional funding support for some instrument activities has been provided by ESA. Support for this work was provided by NASA through an award issued by JPL/Caltech. L.D. acknowledges financial support from the Fund for Scientific Research - Flanders (FWO). J.B., L.D., B.V., C.W. acknowledge support from the Belgian Federal Science Policy Office via the PRODEX Programme of ESA. D.C.L. is supported by the NSF, award AST-0540882 to the Caltech Submillimeter Observatory. S.S. and M.B. are supported by the Polish Ministry of Education and Science (MNiSW). L.M.L. thanks the Spanish MICIT through the project AyA 2009-08011-E.



References

  • A'Hearn, M. F. 1982, in Comet Discoveries, Statistics, and Observational Selection, ed. L. L. Wilkening, IAU Colloq., 61, 433
  • Bensch, F., & Bergin, E. A. 2004, ApJ, 615, 531
  • Biver, N. 1997, Ph.D. Thesis, Univ. Paris 7-Diderot
  • Biver, N., Bockelée-Morvan, D., Crovisier, J., et al. 2002, Earth Moon and Planets, 90, 323
  • Biver, N., Bockelée-Morvan, D., Crovisier, J., et al. 2007, Planet. Space Sci., 55, 1058
  • Biver, N., Bockelée-Morvan, D., Colom, P., et al. 2009, A&A, 501, 359
  • Bockelée-Morvan, D. 1987, A&A, 181, 169
  • Bockelée-Morvan, D., Crovisier, J., Mumma, M. J., & Weaver, H. A. 2004, The composition of cometary volatiles, ed. M. C. Festou, H. U. Keller, & H. A. Weaver, 391
  • Chiu, K., Neufeld, D. A., Bergin, E. A., et al. 2001, Icarus, 154, 345
  • Crovisier, J., Leech, K., Bockelée-Morvan, D., et al. 1997, Science, 275, 1904
  • de Graauw, Th., et al. 2010, A&A, 518, L6
  • Faure, A., Gorfinkiel, J. D., & Tennyson, J. 2004, MNRAS, 347, 323
  • Hartogh, P., Lellouch, E., Crovisier, J., et al. 2009, Planet. Space Sci., 57, 1596
  • Haser, L. 1957, Bull. Soc. R. Sci. Liege, 43, 740
  • Hogerheijde, M. R., & van der Tak, F. F. S. 2000, A&A, 362, 697
  • Lecacheux, A., Biver, N., Crovisier, J., et al. 2003, A&A, 402, L55
  • Neufeld, D. A., Stauffer, J. R., Bergin, E. A., et al. 2000, ApJ, 539, L151
  • Pillbratt, G. L., et al. 2010, A&A, 518, L1
  • Schöier, F. L., van der Tak, F. F. S., van Dishoeck, E. F., & Black, J. H. 2005, A&A, 432, 369
  • Zakharov, V., Bockelée-Morvan, D., Biver, N., Crovisier, J., & Lecacheux, A. 2007, A&A, 473, 303

Online Material

\begin{figure}
\par\includegraphics[width=9cm,clip]{14665fg5}
\end{figure} Figure 5:

Level population of para-water as a function of distance to the nucleus for $Q_{\rm H_2O}= 1.7$ $\times $ $10^{28}~{\rm s}^{-1}$, $r_{\rm h}= 1.83$ AU, $T = 15~{\rm K}$, and $x_{n_{\rm e}}= 0.2$.

Open with DEXTER

Footnotes

... (Garradd)[*]
Herschel is an ESA space observatory with science instruments provided by European-led Principal Investigator consortia and with important participation from NASA.
...[*]
Figure 5 is only available in electronic form at  http://www.aanda.org
... system[*]
http://ssd.jpl.nasa.gov/?horizons
... database[*]
http://www.strw.leidenuniv.nl/ moldata/

All Tables

Table 1:   Summary of HIFI observations of comet C/2008 Q3 (Garradd) and retrieved water production rates.

All Figures

  \begin{figure}
\par\includegraphics[width=8.3cm,clip]{14665fg1.eps}
\vspace{-2mm}
\end{figure} Figure 1:

Spectrum of the 110-101 ortho-water line at 556.936 GHz in comet C/2008 Q3 (Garradd) obtained by the HRS on July 20.94 UT in FSw mode. The velocity scale is given with respect to the comet rest frame. The dashed line shows a synthetic profile computed with the Monte Carlo model for isotropic outgassing at $v_{\rm exp}$ = 0.55 km s-1, T = 15 K, and $x_{n_{\rm e}}= 0.2$.

Open with DEXTER
In the text

  \begin{figure}
\par\includegraphics[width=8.3cm,clip]{14665fg2.eps}
\vspace{-2mm}
\end{figure} Figure 2:

Average of the HRS frequency-switched observations of the 111-000 para-water line at 1113.343 GHz in comet C/2008 Q3 (Garradd) obtained on July 22.34 and 27.78 UT.

Open with DEXTER
In the text

  \begin{figure}
\par\includegraphics[width=8.3cm,clip]{14665fg3.eps}
\vspace{-2mm}
\end{figure} Figure 3:

WBS frequency-switched observation of the 212-101ortho-water line at 1669.905 GHz towards comet C/2008 Q3 (Garradd) obtained on July 27.73 UT.

Open with DEXTER
In the text

  \begin{figure}
\par\includegraphics[width=8.3cm,clip]{14665fg4}
\vspace{-2mm}
\end{figure} Figure 4:

On-the-fly map of the 557 GHz ortho line obtained by HRS on July 20.95 UT. The contour step is 0.2 K km s-1 in brightness temperature, from 0 to 1.8 K km s-1. The map width is 3 $\times $ 105 km projected at the comet. The direction towards the Sun is indicated by the arrow in the upper right corner.

Open with DEXTER
In the text

  \begin{figure}
\par\includegraphics[width=8.3cm,clip]{14665fg6}
\vspace{-2mm}
\end{figure} Figure 6:

Apparent water production rates as a function of offset deduced from the 557 GHz map shown in Fig. 4. Isotropic outgassing at $v_{\rm exp}$ = 0.55 km s-1 is assumed. Results for $x_{n_{\rm e}}$ = 0.2 and 1 are shown with black and red symbols, respectively. The dashed horizontal line shows the mean water production rate.

Open with DEXTER
In the text

  \begin{figure}
\par\includegraphics[width=8.3cm,clip]{14665fg7}
\vspace{-2mm}
\end{figure} Figure 7:

557-GHz line Doppler shift as a function of position offset for models considering isotropic outgassing (black line) and anisotropic outgassing concentrated in a  ${\pm }130\hbox {$^\circ $ }$ cone (red line). The blue squares indicate the observed line Doppler shift.

Open with DEXTER
In the text

  \begin{figure}
\par\includegraphics[width=9cm,clip]{14665fg5}
\end{figure} Figure 5:

Level population of para-water as a function of distance to the nucleus for $Q_{\rm H_2O}= 1.7$ $\times $ $10^{28}~{\rm s}^{-1}$, $r_{\rm h}= 1.83$ AU, $T = 15~{\rm K}$, and $x_{n_{\rm e}}= 0.2$.

Open with DEXTER
In the text


Copyright ESO 2010

Current usage metrics show cumulative count of Article Views (full-text article views including HTML views, PDF and ePub downloads, according to the available data) and Abstracts Views on Vision4Press platform.

Data correspond to usage on the plateform after 2015. The current usage metrics is available 48-96 hours after online publication and is updated daily on week days.

Initial download of the metrics may take a while.