| Issue |
A&A
Volume 518, July-August 2010
Herschel: the first science highlights
|
|
|---|---|---|
| Article Number | L73 | |
| Number of page(s) | 8 | |
| Section | Letters | |
| DOI | https://doi.org/10.1051/0004-6361/201014688 | |
| Published online | 16 July 2010 | |
Herschel: the first science highlights
LETTER TO THE EDITOR
The youngest massive protostars in the
Large Magellanic Cloud
,![[*]](/icons/foot_motif.png)
M. Sewi
o1 -
R. Indebetouw2 -
L. R. Carlson3 -
B. A. Whitney4 -
C.-H. R. Chen2 -
M. Meixner1,
- T. Robitaille5,
- J. Th. van Loon6 -
J. M. Oliveira6 -
E. Churchwell7 -
J. D. Simon8 - S. Hony9
- P. Panuzzo9 - M. Sauvage9
- J. Roman-Duval1 - K. Gordon1
- C. Engelbracht10 - K. Misselt10
- K. Okumura9 - T. Beck1
- J. Hora5 -
P. M. Woods11
1 - Space Telescope Science Institute, 3700 San Martin Drive,
Baltimore, MD 21218, USA
2 - Department of Astronomy, University of Virginia, PO Box 3818,
Charlottesville, VA 22903, USA
3 - Johns Hopkins University, Department of Physics and Astronomy,
Homewood Campus, Baltimore, MD 21218, USA
4 - Space Science Institute, 4750 Walnut St. Suite 205, Boulder, CO
80301, USA
5 - Harvard-Smithsonian Center for Astrophysics, 60 Garden Street,
Cambridge, MA, 02138, USA
6 - School of Physical & Geographical Sciences, Lennard-Jones
Laboratories, Keele University, Staffordshire ST5 5BG, UK
7 - Department of Astronomy, 475 North Charter St., University of
Wisconsin, Madison, WI 53706, USA
8 - Observatories of the Carnegie Institution of Washington, 813 Santa
Barbara St., Pasadena, CA, 91101 USA
9 - CEA, Laboratoire AIM, Irfu/SAp, Orme des Merisiers, 91191
Gif-sur-Yvette, France
10 - Steward Observatory, University of Arizona, 933 North Cherry Ave.,
Tucson, AZ 85721, USA
11 - Jodrell Bank Centre for Astrophysics, Alan Turing Building, School
of Physics & Astronomy, University of Manchester, Oxford Road,
Manchester M13 9PL, UK
Received 31 March 2010 / Accepted 22 April
2010
Abstract
We demonstrate the unique
capabilities of Herschel to study very young
luminous extragalactic young stellar objects (YSOs) by analyzing a
central strip of the Large Magellanic Cloud obtained through the
HERITAGE science demonstration program. We combine PACS 100 and 160,
and SPIRE 250, 350, and 500
m
photometry with 2MASS (1.25-2.17
m) and Spitzer IRAC and MIPS
(3.6-70
m)
to construct complete spectral energy distributions (SEDs) of compact
sources.
From these, we identify 207 candidate embedded YSOs in the observed
region,
40%
never-before identified.
We discuss their position in far-infrared color-magnitude space,
comparing with previously studied, spectroscopically confirmed YSOs and
maser emission. All have red colors indicating massive cool envelopes
and great youth.
We analyze four example YSOs, determining their physical properties by
fitting their SEDs with radiative transfer models. Fitting full SEDs
including the Herschel data requires us to increase
the size and mass of envelopes included in the models. This implies
higher accretion rates (
10-4M
yr-1),
in agreement with previous outflow studies of high-mass protostars.
Our results show that Herschel provides reliable
longwave SEDs of large samples of high-mass YSOs; discovers the
youngest YSOs whose SEDs peak in Herschel bands;
and constrains the physical properties and evolutionary stages of YSOs
more precisely than was previously possible.
Key words: stars: formation - stars: protostars - Magellanic Clouds
1 Introduction
The proximity of the Magellanic Clouds offers a unique opportunity to analyze the complete inventory of luminous YSOs over an entire galaxy. With known YSO distances, luminosities, masses, and mass accretion rates can all be well-defined. Comparison of the properties of YSOs in the Magellanic Clouds and in the Milky Way can reveal differences in star formation physics due to metallicity and environment.
Using the Spitzer SAGE (Surveying the
Agents of Galaxy Evolution) survey of the Large Magellanic Cloud (LMC; Meixner et al. 2006),
Whitney et al. (2008; W08) and Gruendl & Chu (2009; GC09)
discovered
1800
massive YSO candidates in the LMC (a 90-fold increase over previous
work). Spitzer studies selected sources using
colors and SEDs at wavelengths
24
m
(where Spitzer can resolve individual YSOs),
requiring a detection at 4.5
m
or shorter in most cases. These surveys thus missed the youngest, most
embedded YSOs that can only be detected at longer wavelengths.
The Herschel Space Observatory (Pilbratt et al. 2010) has the
spatial resolution required to study individual sources at
m
(from
1.3
pc at 70
m
to
8.7 pc
at 500
m
for a distance of 50 kpc, Schaefer 2008).
The least-evolved massive protostars are characterized by cold dust
temperatures probed at far-infrared (far-IR) wavelengths, and are
expected to be
times
brighter at 100
m
than at 5
m
(Whitney
et al. 2004; Molinari et al. 2008),
making Herschel extremely effective at detecting
those youngest YSOs.
With Herschel, we not only discover new
objects but also better characterize Spitzer-identified
YSO candidates. The Herschel data constrain the
models of these sources and improve estimates of such physical
parameters as total luminosity, stellar mass, and total dust mass.
We demonstrate these capabilities by studying a strip across the LMC
observed as part of the science demonstration program (SDP) - the
first part of the Herschel key program HERschel
Inventory of
the Agents of Galaxy Evolution (HERITAGE; Meixner
et al. 2010) in the
Magellanic Clouds. The strip was mapped in the PACS 100 and
160
m bands (Poglitsch et al. 2010) and
SPIRE 250, 350, and
500
m bands (Griffin et al. 2010).
2 Source selection and photometry
An initial list of 640 sources was compiled by hand, choosing
apparent point sources in Herschel images.
Astrometry was refined using the SAGE-LMC MIPS 24
m image.
We performed aperture photometry on 2MASS, Spitzer,
and Herschel images using apertures scaled to the
instrumental resolution: 4'' radius for 2MASS, 3'' for IRAC, 6'' and
12'' for MIPS 24 and 70
m,
8'' and 12'' for PACS 100 and 160, and 13'', 17'', and 23'' for SPIRE
250, 350, and 500, respectively. The aperture size relative to PSF was
chosen after examination of the multi-wavelength images, to most
consistently measure a single YSO as distinct from its environment.
Aperture corrections are 1.4, 1.5, 1.7, and 1.7 for IRAC, 1.8 for MIPS,
1.4 for PACS, and 1.3, 1.25, and 1.2 for SPIRE, which not only account
for the portion of the PSF extending outside the aperture, but also
flux contamination from the low-level PSF wing in the background
annulus. Background emission was calculated as the sigma-clipped mean
of an annulus spanning 1.75 to 2 times the source radius. Flux
uncertainties were increased where large gradients existed across the
background annulus and in regions of crowding and confusion. Photometry
was verified quantitatively through comparison to SAGE PSF-fit
photometry and by manually measuring
20 sources (including
those whose SEDs are highlighted below). No significant systematic
offsets were found, and random offsets are consistent with the quoted
uncertainties. We find that in these early data we can reliably extract
point sources
as faint as (200, 300, 150, 70, 40) mJy at (100, 160, 250, 350,
500)
m.
Greater
integration time and improved artifact mitigation will result in
fainter
values for the complete HERITAGE survey. The uncertainty in the
absolute flux calibration is 20% for PACS (Poglitsch
et al. 2010) and 15% for SPIRE (Swinyard
et al. 2010).
We selected a subset of reliable Herschel
sources, most likely YSO candidates, from the more complete source list
using the following criteria. We carefully examined the environment of
all candidates at all wavelengths, simultaneously with their SEDs,
aperture photometry, and existing W08 and GC09 catalog photometry.
Sources were removed that could not be unambiguously identified in
images over a wide wavelength range due to multiplicity or complex
diffuse emission. We also required reliable photometry spanning at
least 5.8-100
m.
This examination is subjective but consistent with
the goals of assessing how Herschel changes our
understanding of star
formation. Analysis with quantitative completeness limits will be
performed when the higher quality HERITAGE survey data are available.
We removed known non-YSOs from our list. At Herschel wavelengths, background galaxies are the main contaminant as their far-IR emission arises from star-forming regions. We excluded 2 AGN candidates from Kozowski & Kochanek (2009), as well as 7 probable galaxies based on spatial morphology in high resolution IRAC images. Evolved stellar envelopes lack cold dust, peak in the mid-IR, and are few among Herschel sources. We removed one from Boyer et al. (2010), leaving 207 sources in our very conservative list.
|
Figure 1:
Color-magnitude diagram showing
|
| Open with DEXTER | |
3 Far-IR photometric properties of LMC YSOs
Figure 1
shows a color-magnitude diagram of our 207 YSO candidates, combining Spitzer
(70
m)
with Herschel (160 and 250
m) bands.
Other color combinations show similar source distributions
and lead to similar conclusions.
YSO candidates selected based on photometric data alone require
spectroscopic confirmation. The presence of ice absorption is quite
definitive; silicate absorption and aromatic emission are at least
strongly suggestive (in the parsec-sized beam). To date,
300 sources
in the LMC have been spectroscopically confirmed or supported (van Loon
et al. 2010; Shimonishi et al. 2008;
Oliveira
et al. 2009; Seale et al. 2009).
Of these, 126 lie in the HERITAGE SDP area; our list includes 58 (the
remainder are too faint or or too confused). We label these as
``confirmed YSOs''. Photometric YSO candidates may also be confirmed
through maser identification. In the HERITAGE SDP area, maser emission
has been detected in the N 113 (H2O and
OH; Oliveira
et al. 2006; Brooks & Whiteoak 1997; Lazendic
et al. 2002; Whiteoak & Gardner 1986,
see Fig. 2)
and N 105 (H2O, OH and methanol; Oliveira
et al. 2006; Sinclair et al.
1992; Lazendic
et al. 2002) star formation regions. Each of these
regions has two clumps of masers, and all four sites are associated
with mid-IR sources identified as YSO candidates. Three of these
sources have been spectroscopically observed (Seale et al. 2009).
We fit the SED of each source with a large grid of dust radiative transfer models of individual massive YSOs (Robitaille et al. 2007,2006, hereafter R06, R07), constraining the circumstellar dust distribution and other physical parameters (Sect. 5). Comparison between observed far-IR fluxes and those predicted by the R06 YSO model grid confirms the youthful nature of these sources. All Herschel sources, and all models to the right (redward) of the dashed line in Fig. 1 are consistent with Stage 0/I , i.e. the circumstellar mass exceeds that of the central source. In fact, many measured fluxes are redder and brighter than the R06 grid. We model example sources in detail below, and in general this color difference is resolved by adding a larger outer envelope of cool dust.
We also estimate the mass of cool circumstellar dust using
simple greybody emission from optically thin dust at a single
temperature. A temperature - mass grid is overplotted on Fig. 1. We use the same
opacity curve as the YSO radiative transfer models, i.e. the opacity
power-law index
is interstellar (
with
2)
for wavelengths
m (Whitney et al. 2003b).
|
Figure 2:
Three-color composite image of the H II
region N 113 combining SPIRE 250 |
| Open with DEXTER | |
4 Herschel view of YSOs and their environments
We highlight four YSOs, showing the different ways that Herschel
can impact star formation studies (SEDs are modeled in
Sect. 5).
Two sources are in the N 113 H II
region,
one of the brightest regions in the HERITAGE SDP strip. Figure 2 is a three-color
composite image of N 113 combining SPIRE 250
m, PACS
160
m,
and MIPS 24
m
images. We detect 9 reliable Herschel sources in
N 113, including 4 not previously identified as YSO
candidates. N 113 presents a clear example of star formation
triggered by the winds from massive stars (Oliveira
et al. 2006). Current star formation activity is
concentrated in the central lane of remnant molecular gas and dust,
compressed by a complex structure of ionized gas bubbles, created by
massive stars in several young clusters (<10 Myr).
Ongoing star formation in the lane is pinpointed in its earliest stages
by maser emission and by continuum emission as massive YSOs evolve (Brooks &
Whiteoak 1997; Wong
et al. 2006).
Two bright Herschel sources associated with masers
and a third,
fainter source between them are all confirmed YSOs. We model the full
SED (1.25-500
m)
of the westernmost of these (YSO-1), to show
Herschel's impact on parameters of a known YSO. We
also model a newly
identified Herschel source YSO-2 that lies in a
filament
4'to
the north (Fig. 3,
online only).
We present detailed analysis of two other sources, YSO-3 and
YSO-4. YSO-3, which appears to lie in a dense knot at the rim of a
cavity in the molecular cloud of N 105, is associated with
6.67 GHz and 12.2 GHz methanol maser emission (Fig. 4, online only; Ellingsen
et al. 2010; Sinclair et al.
1992). Methanol masers are closely associated with the
earliest stages of massive star formation and are powerful probes of
young massive stars and protostars. We expect the SED shape of YSO-3 to
be representative of SEDs of the youngest sources. YSO-4 is a new Herschel
YSO candidate. It lies approximately 2
from the nearest Spitzer
YSO candidates on the edge
of an evacuated supershell in the LMC bar. The source is very faint
shortward of IRAC 5.8
m
and then brightens in a pillar of creation morphology, indicative of a
highly embedded YSO (Fig. 5, online only).
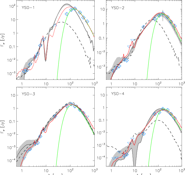
5 Modeled physical properties
Far-IR measurements are critical for deriving the total mass of
circum(proto)stellar dust associated with a YSO, and inferring its
evolutionary state. Figure 6
shows typical sources that illustrate our key findings (photometric
data are listed in Table 1,
online only). We fit each source with the R06 YSO model grid, first
using only pre-Herschel photometry (
50
m), and
again using all data (
500
m). Physical
parameters derived from these fits are listed in Table 2. The addition of
Herschel data provides a much tighter constraint on
SED fits, and the range of well-fit models and uncertainties of derived
parameters (as listed in the table) are thus significantly reduced.
Nearly all sources detected by Herschel
are Stage 0/I, i.e., very young. A protostar's evolutionary
state is often quantified by the ratio of circumstellar to stellar
mass. In our single-source YSO models, the accreting flattened envelope
has an analytic mass distribution (derived by Terebey
et al. 1984), and infall rates are proportional to
envelope mass within an enclosed radius. One caveat is that we do not
know if all mass enclosed by the Herschel beam will
fall on to the central source, so the derived infall rates may be upper
limits. We find that the accretion rate relative to the central mass,
is
a good measure of evolutionary state (e.g.,Whitney
et al. 2003a; Indebetouw
et al. 2007; R06; R07).
Without Herschel data,
of
our sources is (2,5,1,
yr-1for
(YSO-1,YSO-2,YSO-3, YSO-4). When
Herschel photometry is included,
increases
to (2,3,2,
yr-1.
The higher infall rates are in agreement with previous outflow studies
of massive protostars (Churchwell
1999).
The implied ages of <104 yr further
strengthen the assertion that Herschel probes the
very youngest sources.
|
Figure 6:
SEDs of four typical YSOs. Cyan diamonds are the flux values from
Table 1.
Cyan triangles indicate flux upper limits. The range of well-fitting
models from the R06 YSO grid are shown in grey with a black line for
the single best-fitting model. The best-fitting R06 model without
Herschel (
|
| Open with DEXTER | |
Table 2:
Modeled YSO parameters, fitting each source
using the R06 YSO grid and only pre- Herschel data (
50
m),
the R06 grid and all data (
500
m), and
optically thin single-temperature dust emission using data
100
m (greybody).
Observationally, the ratio of far-IR/submm luminosity to
bolometric luminosity is often used as a proxy for the circumstellar to
total mass ratio. Andre
et al. (1993) define Class 0 as having
.
We calculate a similarly simple evolutionary measure, fitting an
optically thin greybody to the data
100
m, and find that it agrees reasonably with the
YSO model fit results (Model greybody in Table 2 and green line
in Fig. 6).
Resultant dust mass and far-IR/submm luminosity depend on the dust
opacity power-law index. We use
= 2; a different choice does not change the conclusion that these
sources are highly embedded. We find
for our
four examples, very high and consistent with the Andre
et al. (1993)
Class 0 definition. We also find
K,
consistent with the far-IR colors (Fig. 1) and expectations
for the least evolved YSOs.
Even the best-fitting R06 models (dashed line in Fig. 6) often fall well
below the data at longer wavelengths (also apparent in Fig. 1). The R06 models
were designed for analysis of Spitzer data at
shorter wavelengths; models have outer envelope radius
pc,
K
for luminous sources. The envelope of cooler dust and gas farther from
the source emits little at
m
but can contribute significantly in the Herschel
bands.
We created new dust radiative transfer models (red line on
Fig. 6)
and find that implied accretion rate and other critical
evolutionary parameters do not change significantly from the
R06 best fits. The new models have larger envelope radii, heating by
external radiation, and PAH emission.
We used the R06 best-fit models as starting points.
was varied
between the R06 maximum of 0.5 pc and 5 pc, with
best-fitting values of (3.4,1,1,1) pc. The importance of external
heating was assessed by comparing models with
none to models with a Mathis
et al. (1983) diffuse interstellar radiation
field extincted by AV=1.
In all cases the latter improved the fits.
Any increase in the outer envelope radius also increases dust
absorption
at short wavelengths, the effect of which was balanced by varying the
density
in the outflow cavity between 0.1 and 1 times the R06 best-fit value.
Reduced values of (1,0.1,2,
g cm-3
provided
the best fits to the data.
The envelope infall rates and source luminosities remained the same,
showing that the R06 grid
can still be used to interpret the Herschel data
points.
Adding PAH emission to our models results in better fits to bands
effected by aromatic emission (predominantly IRAC 5.8 and 8.0
m).
Additional work must also be done to account for blending of multiple
sources at Magellanic distances, as YSOs are frequently part of
multiple systems and small unresolved clusters.
Optimal analysis of Magellanic YSOs observed by Herschel and Spitzer will benefit from improvements to the R06 model grid. However, it is the inclusion of Herschel data, even with the older models, that is most significant: if these 4 embedded YSOs are typical, as we expect, the statistics of YSO physical parameters in the Magellanic System will be significantly clarified.
6 Conclusions
We show that Herschel far-IR photometry is very effective in identifying YSOs in the LMC. Adding Herschel data to existing Spitzer and near-IR observations results in significantly improved analysis of YSOs, as summarized in these key findings:

- Nearly all sources detected by Herschel are Stage 0/I, very young, with a high ratio of circumstellar to stellar mass.

- Previously studied warm sources such as YSO-1 require more circumstellar dust to fit the Herschel data, implying a less evolved state than would be inferred from Spitzer data alone.

- Herschel photometry significantly constrains our SED fits, decreasing the range of circumstellar dust masses and evolutionary states consistent with the measurements.

- Many sources require even more cold circumstellar dust than is present in our original model grid, motivating improvements to our models.
We acknowledge financial support from the NASA Herschel Science Center, JPL contracts # 1381522 & 1381650. We thank the contributions and support from the European Space Agency (ESA), the PACS and SPIRE teams, the Herschel Science Center and the NASA Herschel Science Center (esp. A. Barbar and K. Xu) and the PACS and SPIRE instrument control center at CEA-Saclay, without which none of this work would be possible.
References
- Andre, P., Ward-Thompson, D., & Barsony, M. 1993, ApJ, 406, 122 Boyer, M. L., et al. 2010, A&A, 518, L142 [NASA ADS] [CrossRef] [EDP Sciences] [Google Scholar]
- Brooks, K. J., & Whiteoak, J. B. 1997, MNRAS, 291, 395 [NASA ADS] [CrossRef] [Google Scholar]
- Churchwell, E. 1999, in The Origin of Stars and Planetary Systems, ed. C. J. Lada & N. D. Kylafis, NATO ASIC Proc. 540, 515 [Google Scholar]
- Ellingsen, S. P., Breen, S. L., Caswell, J. L., Quinn, L. J., & Fuller, G. A. 2010, MNRAS, 429 [Google Scholar]
- Green, J. A., Caswell, J. L., Fuller, G. A., et al. 2008, MNRAS, 385, 948 [NASA ADS] [CrossRef] [Google Scholar]
- Griffin, M. J., et al. 2010, A&A, 518, L3 [Google Scholar]
- Gruendl, R. A., & Chu, Y. 2009, ApJS, 184, 172 [Google Scholar]
- Indebetouw, R., Robitaille, T. P., Whitney, B. A., et al. 2007, ApJ, 666, 321 [NASA ADS] [CrossRef] [Google Scholar]
- Kozłowski, S., & Kochanek, C. S. 2009, ApJ, 701, 508 [NASA ADS] [CrossRef] [Google Scholar]
- Lazendic, J. S., Whiteoak, J. B., Klamer, I., Harbison, P. D., & Kuiper, T. B. H. 2002, MNRAS, 331, 969 [NASA ADS] [CrossRef] [Google Scholar]
- Mathis, J. S., Mezger, P. G., & Panagia, N. 1983, A&A, 128, 212 [NASA ADS] [Google Scholar]
- Meixner, M., Gordon, K. D., Indebetouw, R., et al. 2006, AJ, 132, 2268 [NASA ADS] [CrossRef] [Google Scholar]
- Meixner, M., Galliano, F., Hony, S., et al. 2010, A&A, 518, L71 [NASA ADS] [CrossRef] [EDP Sciences] [Google Scholar]
- Molinari, S., Pezzuto, S., Cesaroni, R., et al. 2008, A&A, 481, 345 [NASA ADS] [CrossRef] [EDP Sciences] [Google Scholar]
- Oliveira, J. M., van Loon, J. T., Chen, C., et al. 2009, ApJ, 707, 1269 [NASA ADS] [CrossRef] [Google Scholar]
- Oliveira, J. M., van Loon, J. T., Stanimirovic, S., & Zijlstra, A. A. 2006, MNRAS, 372, 1509 [NASA ADS] [CrossRef] [Google Scholar]
- Pilbratt, G. L., et al. 2010, A&A, 518, L1 [CrossRef] [EDP Sciences] [Google Scholar]
- Poglitsch, A., et al. 2010, A&A, 518, L2 [NASA ADS] [CrossRef] [EDP Sciences] [Google Scholar]
- Robitaille, T., Whitney, B., Indebetouw, R., & Wood, K. 2007, ApJS, 169, 328 [NASA ADS] [CrossRef] [Google Scholar]
- Robitaille, T. P., Whitney, B. A., Indebetouw, R., Wood, K., & Denzmore, P. 2006, ApJS, 167, 256 [NASA ADS] [CrossRef] [Google Scholar]
- Schaefer, B. E. 2008, AJ, 135, 112 [NASA ADS] [CrossRef] [Google Scholar]
- Seale, J. P., Looney, L. W., Chu, Y., et al. 2009, ApJ, 699, 150 [NASA ADS] [CrossRef] [Google Scholar]
- Shimonishi, T., Onaka, T., Kato, D., et al. 2008, ApJ, 686, L99 [NASA ADS] [CrossRef] [Google Scholar]
- Sinclair, M. W., Carrad, G. J., Caswell, J. L., Norris, R. P., & Whiteoak, J. B. 1992, MNRAS, 256, 33P [NASA ADS] [CrossRef] [Google Scholar]
- Swinyard, B. M., Ade, P., Baluteau, J.-P., et al. 2010, A&A, 518, L4 [Google Scholar]
- Terebey, S., Shu, F. H., & Cassen, P. 1984, ApJ, 286, 529 [NASA ADS] [CrossRef] [Google Scholar]
- van Loon, J. T., Oliveira, J. M., Gordon, K. D., et al. 2010, AJ, 139, 68 [NASA ADS] [CrossRef] [Google Scholar]
- Whiteoak, J. B., & Gardner, F. F. 1986, MNRAS, 222, 513 [NASA ADS] [CrossRef] [Google Scholar]
- Whitney, B., Indebetouw, R., Bjorkman, J., & Wood, K. 2004, ApJ, 617, 1177 [NASA ADS] [CrossRef] [Google Scholar]
- Whitney, B., Wood, K., Bjorkman, J., & Wolff, M. 2003a, ApJ, 591, 1049 [Google Scholar]
- Whitney, B. A., Wood, K., Bjorkman, J. E., & Cohen, M. 2003b, ApJ, 598, 1079 [NASA ADS] [CrossRef] [Google Scholar]
- Wong, T., Whiteoak, J. B., Ott, J., Chin, Y., & Cunningham, M. R. 2006, ApJ, 649, 224 [NASA ADS] [CrossRef] [Google Scholar]
Online Material
|
Figure 3:
Three-color composite images showing the environment of sources YSO-1
and YSO-2 in the N 113 massive star formation region based on
the Spitzer and Herschel
observations. The left-hand image combines IRAC
and MIPS, showing emission from MIPS 24 |
| Open with DEXTER | |
|
Figure 4: Three-color composite images showing the environment of YSO-3 in the LMC N 105 massive star formation region based on the Spitzer and Herschel observations. Coloring and scaling are the same as in Fig. 3. YSO-3 was identified as a YSO candidate by Gruendl & Chu (2009, 050958.52-685435.5) based on the Spitzer data. This source is associated with 6.7 GHz and 12.2 GHz methanol masers (Ellingsen et al. 2010; Sinclair et al. 1992). |
| Open with DEXTER | |
|
Figure 5:
Three-color composite images showing the environment of YSO-4 based on
the Spitzer and Herschel
observations. Coloring and scaling are the same as in Fig. 3. YSO-4 is
located at the edge of an evacuated supershell in the LMC bar, between
N 105 and N 113. It does not appear as a resolved
source in 2MASS imaging and is faint in IRAC bands, excluding it from
Spitzer YSO lists requiring shorter wavelengths. The SED of
this evident Herschel source is quite steep from
24 |
| Open with DEXTER | |
Table 1: Spitzer and Herschel fluxes for YSOs discussed in Sect. 5.
Footnotes
- ... Cloud
- Herschel is an ESA space observatory with science instruments provided by European-led Principal Investigator consortia and with important participation from NASA.
- ...
- Table 1 and Figs. 3-5 are only available in electronic form at http://www.aanda.org
- ...
- Visiting Scientist at Smithsonian Astrophysical Observatory, Harvard-CfA, 60 Garden St., Cambridge, MA, 02138, USA.
- ...
- Spitzer Postdoctoral Fellow.
All Tables
Table 1: Spitzer and Herschel fluxes for YSOs discussed in Sect. 5.
Table 2:
Modeled YSO parameters, fitting each source
using the R06 YSO grid and only pre- Herschel data (
50
m),
the R06 grid and all data (
500
m), and
optically thin single-temperature dust emission using data
100
m (greybody).
All Figures
|
Figure 1:
Color-magnitude diagram showing
|
| Open with DEXTER | |
| In the text | |
|
Figure 2:
Three-color composite image of the H II
region N 113 combining SPIRE 250 |
| Open with DEXTER | |
| In the text | |
|
Figure 6:
SEDs of four typical YSOs. Cyan diamonds are the flux values from
Table 1.
Cyan triangles indicate flux upper limits. The range of well-fitting
models from the R06 YSO grid are shown in grey with a black line for
the single best-fitting model. The best-fitting R06 model without
Herschel (
|
| Open with DEXTER | |
| In the text | |
|
Figure 3:
Three-color composite images showing the environment of sources YSO-1
and YSO-2 in the N 113 massive star formation region based on
the Spitzer and Herschel
observations. The left-hand image combines IRAC
and MIPS, showing emission from MIPS 24 |
| Open with DEXTER | |
| In the text | |
|
Figure 4: Three-color composite images showing the environment of YSO-3 in the LMC N 105 massive star formation region based on the Spitzer and Herschel observations. Coloring and scaling are the same as in Fig. 3. YSO-3 was identified as a YSO candidate by Gruendl & Chu (2009, 050958.52-685435.5) based on the Spitzer data. This source is associated with 6.7 GHz and 12.2 GHz methanol masers (Ellingsen et al. 2010; Sinclair et al. 1992). |
| Open with DEXTER | |
| In the text | |
|
Figure 5:
Three-color composite images showing the environment of YSO-4 based on
the Spitzer and Herschel
observations. Coloring and scaling are the same as in Fig. 3. YSO-4 is
located at the edge of an evacuated supershell in the LMC bar, between
N 105 and N 113. It does not appear as a resolved
source in 2MASS imaging and is faint in IRAC bands, excluding it from
Spitzer YSO lists requiring shorter wavelengths. The SED of
this evident Herschel source is quite steep from
24 |
| Open with DEXTER | |
| In the text | |
Copyright ESO 2010
Current usage metrics show cumulative count of Article Views (full-text article views including HTML views, PDF and ePub downloads, according to the available data) and Abstracts Views on Vision4Press platform.
Data correspond to usage on the plateform after 2015. The current usage metrics is available 48-96 hours after online publication and is updated daily on week days.
Initial download of the metrics may take a while.
![\begin{figure}
\par\includegraphics[width=8.5cm,clip]{f1_14688.eps} \vspace{-2mm}\vspace*{-2mm}
\vspace{-2mm}\end{figure}](/articles/aa/full_html/2010/10/aa14688-10/Timg21.png)
![\begin{figure}
\par\includegraphics[width=8.5cm,clip]{f2_14688.eps} \vspace*{-1mm}
\vspace{-2mm}\end{figure}](/articles/aa/full_html/2010/10/aa14688-10/Timg26.png)
![\begin{figure}
\par\includegraphics[width=8.5cm,clip]{f6_14688.eps}\vspace{-2mm}\vspace{-2mm}
\vspace*{-4.5mm}\end{figure}](/articles/aa/full_html/2010/10/aa14688-10/Timg32.png)
![\begin{figure}
\par\mbox{\includegraphics[width=9cm,clip]{f3a_14688.eps}\hfill
\includegraphics[width=9cm,clip]{f3b_14688.eps} }\end{figure}](/articles/aa/full_html/2010/10/aa14688-10/Timg54.png)
![\begin{figure}
\par\mbox{\includegraphics[width=9cm,clip]{f4a_14688.eps}\hfill
\includegraphics[width=9cm,clip]{f4b_14688.eps} }
\end{figure}](/articles/aa/full_html/2010/10/aa14688-10/Timg55.png)
![\begin{figure}
\par\mbox{\includegraphics[width=9cm,clip]{f5a_14688.eps}\hfill
\includegraphics[width=9cm,clip]{f5b_14688.eps} }\end{figure}](/articles/aa/full_html/2010/10/aa14688-10/Timg56.png)