| Issue |
A&A
Volume 518, July-August 2010
Herschel: the first science highlights
|
|
|---|---|---|
| Article Number | A28 | |
| Number of page(s) | 9 | |
| Section | Extragalactic astronomy | |
| DOI | https://doi.org/10.1051/0004-6361/201014712 | |
| Published online | 26 August 2010 | |
XMM-Newton long-look observation of the narrow-line Seyfert 1 galaxy PKS 0558-504
II. Timing analysis
I. E. Papadakis1,2 - W. Brinkmann3 - M. Gliozzi4 - C. Raeth3
1 - Physics Department, University of Crete, PO Box 2208,
710 03 Heraklion, Crete, Greece
2 - IESL, Foundation for Research and Technology, 711 10, Heraklion, Crete,
Greece
3 - Max-Planck-Institut für extraterrestrische Physik,
Giessenbachstrasse, 85740 Garching, Germany
4 - George Mason University,
Department of Physics and Astronomy, MS 3F3, 4400 University Dr.,
Fairfax, VA 22030-4444, USA
Received 1 April 2010 / Accepted 25 May 2010
Abstract
Context. PKS 0558-504 has been observed repeatedly by XMM-Newton
as a calibration and performance verification target. In this work, we
present results from the power spectral analysis using data from a long
XMM-Newton observation and archival RXTE data.
Aims. To search for periodic and/or quasi-periodic signals, to
estimate the power spectrum over a broad range which covers almost six
decades in frequency, and to compare the variability in the ultraviolet
(UV), soft and hard X-ray bands.
Methods. We used the XMM-pn soft and hard band light curves to
compute the high frequency power spectrum (PSD) and search for
periodicities. We also used an archival, long RXTE light curve
to constrain the power spectrum at low frequencies, and the
XMM-OM light curve to estimate the UV PSD. We also used the
results from the time-resolved spectral studies we presented in a
recent paper to compare in more detail the X-ray, ``soft-excess'' and
UV variations.
Results. We did not detect any significant periodic or
quasi-periodic signals. The soft band power spectral slope is steeper
than the hard band PSD slope, but consistent within the 1-
uncertainties. The broad frequency band, 2-10 keV PSD follows a power-law like shape of an index
0.5 up to a break frequency at
Hz (which corresponds to a time scale of 1.7 days). At higher frequencies, the PSD steepens to a slope of
2.2. The OM power spectrum has a significantly smaller amplitude than the X-ray and the soft-excess PSDs.
Conclusions. The similarity between the PSD shape of
PKS 0558-504 and other radio-quiet Seyferts 1 suggests a common
variability (and emission) mechanism. Consequently any jet emission in
the X-ray band should be unimportant in this source. Using the scaling
relations between PSD break time scales and black hole mass/bolometric
luminosity, we estimated a black hole mass of
.
Power spectral analysis of the light curves which resulted from the
time-resolved spectroscopic study of the same data set indicates that
the intrinsic power spectrum may steepen with increasing energy,
contrary to what is currently believed for typical Seyferts. When
scaled appropriately, the OM and soft-excess light curves show similar
variability patterns. They may originate from the accretion disc, at a
distance of
20
and 5 Schwarzschild radii, respectively, and their variations could be
due to accretion rate variations, which operate on the local viscosity
time scale and propagate inwards.
Key words: galaxies: active - galaxies: Seyfert - X-rays: galaxies - galaxies: individual: PKS 0558-504
1 Introduction
Narrow-line Seyfert 1 galaxies (NLS1) have been rarely found to be radio loud.
Recent studies (Komossa et al. 2006) have shown that the radio loud fraction
of the NLS1 population is less than
7%. PKS 0558-504 (
)
belongs to this group of rare objects. It is one of the best studied
radio-loud NLS1 galaxies and it has repeatedly shown large amplitude X-ray flux
variations in the past.
GINGA observations (Remillard et al. 1991) detected an increase in the X-ray flux
by 67% in 3 min, implying that the apparent luminosity must be enhanced by
relativistic beaming. The six days long ROSAT All Sky Survey light curve of
September 1990, and a series of pointed HRI observations in April 1998, showed
count rate variations by a factor of 2 in less than one day (Gliozzi et al. 2000). The most extreme value of the luminosity variations found during the
observations,
,
implied a lower limit of
,
where
is the efficiency with
which matter is converted to energy. This limit exceeds even the theoretical
maximum for accretion onto a maximally rotating Kerr black hole. Dramatic flux
variations by a factor of 2 in 33 min and, perhaps, by 40% on a time scale as
short as 2 min, were reported by Wang et al. (2001) from ASCA observations on
January 31, 2000. These values implied an even higher value of
.
PKS 0558-504 has been monitored regularly with RXTE since 2005. Gliozzi
et al. (2007) presented the results from the timing analysis of the first year
of this monitoring campaign. They found that the X-ray flux typically changes
by a factor of 1.5-2 on time scales of 10-30 days. A few extreme events, where
the flux increases by a factor of
4 in 3 days, were also observed.
The source has also been observed repeatedly by XMM-Newton as a calibration and
performance verification (PV) target. Gliozzi et al. (2001) published the
results from the timing analysis of some of the preliminary data of the
commissioning/CalPV phase. The light curve showed persistent variability. Short
term variations, characterized by smooth modulations with a typical time scale
of
2.2 h, were observed. The most extreme count rate variations found
implied again a radiative efficiency slightly higher than the theoretical
maximum for accretion onto a Schwarzschild black hole. An analysis of all PV
phase and calibration observations performed by XMM-Newton up to orbit 341 with
various instrumental settings was presented by Brinkmann et al. (2004). The
authors noticed the presence of X-ray flares which seemed to be recurrent with
a time scale of
24 ks. However, the statistical significance of the
signal could not be assessed reliably due to the extreme sparsity of the data.
In September 2008, PKS 0558-504 was observed with XMM-Newton for five consecutive
orbits. The results from the spectral analysis of these data have been
presented in Papadakis et al. (2010) (Paper I, hereafter). The main objective
of this long observation was to study its X-ray flux variability, and in
particular, to investigate whether it exhibits any quasi-periodic signals. In
this work, we present our main results based on the power spectrum (PSD)
analysis of the XMM-Newton PN and OM light curves. In addition, we used propriety
RXTE data from the ongoing monitoring campaign of the source, to extend the
PSD analysis to frequencies as low as
(1/year). We also used some of the
results from the time resolved spectral analysis presented in Paper I to
investigate the variability properties of the X-ray power-law continuum in the
soft and hard X-ray bands.
We start with the observational details and the data analysis in the next section. Section 3 presents our results from the PSD analysis of the XMM-Newton, and RXTE light curves. In Sect. 4 we summarize our results and discuss their implications.
2 Observations and data analysis
2.1 The XMM-Newton observations
PKS 0558-504 was observed with all instruments on board XMM-Newton for five consecutive orbits starting from September 09, 2008, 1:19 UT, and ending on September 16, 2008, 12:02 UT. The observation identifiers range from 0555170201 (XMM revolution 1602) to 0555170601 (XMM revolution 1606). In the following we will identify the individual observations by the last 3 digits (i.e. ``obs-201'', ``obs-301'', etc.).
In this work we will use data from the PN camera only (Strüder et al. 2001),
due to its superior statistical quality. The PN was operated in Small Window
mode (SW) with thin filter. The data were processed using XMMSAS
version 8.0. Source counts were accumulated from a rectangular box of
RAW pixels (1 RAW pixel
4.1
)
around the position of the source. Background data were extracted from a
similar, source free, region on the chip. We selected single and double events
( PATTERN
4, FLAG=0).
We produced light curves in the 0.4-2 keV and 2-10 keV energy bands in
100 s bins (the ``soft'' and ``hard'' band light curves, hereafter). The data were
screened for high background in both bands, and we excluded periods when the
hard band background rate exceeded 0.25 counts s-1. High background
activity affected the first 12.4 and 2.9 ks of obs-201 and 301, and the data
after 105, 110, 93.1, and 123 ks since the start of obs-201, 301, 401 and 501,
respectively. Background flaring activity affected obs-601 for two short periods
during 22.5-27 ks and 86-88 ks after the start of the observation. The
duration of the XMM-Newton light curves for each observation after the rejection of
those times which were affected by high background, the sampling time
,
their mean count rates, and fractional root mean square variability
amplitude,
,
are listed in Table 1. The first and second number
listed in the third and fourth columns correspond to the soft and hard band
light curves, respectively.
The
values are corrected for the experimental noise, and their
errors are 0.04% and 0.02% for the hard and soft band light curves,
respectively. This estimate accounts for the measurement errors of the light
curve points only, and has been calculated according to the prescription of
Vaughan et al. (2003). On average, the soft band variability amplitude
(
%), is smaller than the variability
amplitude of the hard band light curves (
%), as is often the case with Seyfert galaxies.
The XMM-Newton soft and hard band light curves are plotted in
Fig. 1. They look very similar, and the X-ray flux, in both
bands, is highly variable. We observe substantial and continuous variability in
all of them. However, the fast and very large amplitude events that were
observed in the past are absent in the present XMM-Newton observations. To quantify
the maximum
variation in the hard band light curves (which
exhibit the largest variability amplitude), we used the results from the time
resolved spectroscopy reported in Paper I. In that paper, we slit the PN data in
2000 s long segments and fitted them with a power-law model. Using the best
fit, 2-10 keV flux measurements from these fits, we found that
erg s-2 during the XMM-Newton observations. Following Fabian (1979), this value leads to a lower limit of
,
which is not especially large, even for a non-rotating black
hole.
There are just 6, 1, 2 and 5 points missing in the light curves of obs-201, 301, 401 and 501, caused by telemetry problems which reduced the ``live time'' of the detector to be less than 100 s. The number of missing points in the obs-601 is higher, due to these telemetry problems and the presence of the two short-lived, background mini flares mentioned above. But even in this case, they account no more than 3% of the total number of points in the respective light curve. Since power spectrum analysis requires the use of evenly sampled light curves, we accounted for all missing points by linear interpolation between the bins adjacent to the gaps. We also added the appropriate Poisson noise in the interpolated values.
|
Figure 1: The PN soft and hard band light curves ( left and right panel, respectively) of PKS 0558-504 for all five observations with a binning of 100 s. Time counts from the beginning of each observation. The points plotted with crosses at the bottom of the hard band plots indicate the background count rate in the same energy range. |
| Open with DEXTER | |
2.2 The RXTE observations
Table 1: Light curve sampling parameters and variability amplitudes.
Since March 4, 2005, PKS 0558-504 has been observed with RXTE approximately once
every 2 days, for
1000-2000 s each time. In this work, we used data
obtained until July 13, 2009. The observations were carried out with the
Proportional Counter Array (PCA; Jahoda et al. 1996) and the High-Energy X-Ray
Timing Experiment (HEXTE; Rothschild et al. 1998) on RXTE. We used PCA data
only, because the signal-to-noise ratio of the HEXTE data is too low for our
purposes.
The PCA data were screened according to the following criteria: the satellite
had to be out of the South Atlantic Anomaly (SAA) for at least 30 min, the
Earth elevation angle was
,
the offset from the nominal optical
position was
,
and the parameter ELECTRON-2 was
0.1. The
last criterion removes data with high particle background rates in the
Proportional Counter Units (PCUs). The PCA background light curves were
determined using the
model, which is appropriate for faint sources, and we used the rex script
(v.0.3) which runs the FTOOLS program pcabackest. We used PCA,
STANDARD-2 mode, 2-10 keV, Layer 1 data, because that is where the PCA is best
calibrated and most sensitive. Data were initially extracted with 16 s time
resolution and subsequently re-binned at 5760 s bins, which is roughly equal to
the orbital period of RXTE. PCUs 0 and 2 were turned on throughout the
monitoring campaign. However, since the propane layer on PCU0 was damaged in
May 2000, causing a systematic increase of the background, we conservatively
used only PCU2 for our analysis. All quoted count rates are therefore for one
PCU.
|
Figure 2: The long term, 2-10 keV RXTE light curve of PKS 0558-504, with a binning of 5760 s. Time counts in days from the beginning of the first observation. |
| Open with DEXTER | |
The duration and sampling interval of the RXTE light curve (in days), its
mean count rate and fractional root mean square variability amplitude, are also
listed in Table 1. The error on
is 0.3%. The long term
variability amplitude of the source is larger than the average amplitude of the
XMM-Newton hard band light curves, but this is expected given the much longer
duration of the RXTE light curve.
2.3 The OM observations
The OM is a 30 cm optical/UV telescope co-aligned with the X-ray telescopes on
board XMM-Newton, which is sensitive in the 1600-6000 Å wavelength range. For our
observations the OM was operated in imaging mode using the UVW1 filter with an
effective wavelength of 291 nanometers. The point spread function in the UVW1 band has a full width at half maximum of 1.7
.
The data consist of a sequence of 140 snapshot exposures, each 4000 s long, and
typically separated by time gaps of 320 s. The source appears point-like on the
images. We determined the monochromatic fluxes (erg cm-2
s-1 Å-1) for each of the exposures from the pipeline processing results,
using the corrected count rates from the ``SWSRLI'' files according to the recipe
given in the corresponding XMM SAS web-site
.
The OM light curve is plotted in Fig. 3. Its duration (since the
start of the XMM-Newton observations), mean and variability amplitude are listed in
Table 1 (the error on
is 0.3%). The UV source emission is clearly
variable. However, the UV variability amplitude is significantly smaller than
the variability amplitude of the XMM-Newton single-orbit light curves, despite the
fact that the OM light curve plotted in Fig. 3 is 7-8 times longer
than the individual XMM-Newton light curves.
|
Figure 3: The 2910 Å, OM light curve of PKS 0558-504 with a binning of 4.3 ks. The time counts from the beginning of the XMM-Newton observation. |
| Open with DEXTER | |
3 Power spectrum analysis
3.1 The high frequency power spectrum
To estimate the high frequency PSD we used the XMM-Newton soft and hard band light
curves of each observation. Following Papadakis & Lawrence (1993), we
calculated the ``periodogram'' of each light curve (normalized to its mean).
Within each energy band, the Poisson noise power level of the light curves is
comparable. For this reason, we combined all the soft and all the hard band
periodograms in two separate files (one for each band), and sorted them in
order of decreasing frequency. We then binned the two ``combined periodograms''
in log-log space. In order to extend the estimation of the PSD at the lowest
possible frequencies, and to increase the frequency ``resolution'' in the low
frequency part of the spectrum, we used bins of size 10 for the 10 lowest
frequency points, and bins of size
20 at higher frequencies.
The soft and hard band PSDs are plotted in Fig. 4 (left and right panel, respectively). They show the familiar ``red-noise'' shape, similar to what has been observed in other type-1, radio-quiet Seyferts. At high frequencies, the PSDs flatten due to the presence of the experimental Poisson noise. The amplitude of this component is larger in the hard band PSD, due to the smaller count rate in this band.
We fitted both PSDs with a power-law model (PL) of the form:
,
taking into account aliasing effects (as in
Papadakis et al. 2003). The constants A and C are the PL
normalization (equal to the PSD value at 10-4 Hz) and the Poisson noise
level, respectively. The best fit results are listed in Table 2. The model fits
well both spectra. The best-fit, soft-band PSD slope is slighter steeper than
the hard-band slope. A similar effect (which is significant is some cases) has
been observed in other Seyferts as well.
Table 2: PSD model fitting results.
We followed Papadakis & Lawrence (1995) to investigate the presence of any
significant peaks in the power spectra. We divided the combined, soft and hard
band periodograms by the respective best-fit PL models. If a PL model represents
well the intrinsic PSD of the source (the ``null hypothesis''), the resulting
``normalized periodogram estimates'', multiplied by 2, should be distributed as
variables. Figure 5 shows the soft and hard band
``normalized periodogram estimates'' plotted for the whole frequency range. The
horizontal solid line indicates the expected value of these estimates which,
under the null hypothesis, should be equal to 2. The dashed horizontal line
indicates the 95 per cent confidence level (i.e. there is a 5 per cent
probability that one of the 2600 normalized periodogram estimates will have a
value larger than the value indicated by the dashed lines). No significant peaks
are apparent in any part of the spectrum. We therefore conclude that there are
no strictly periodic signals in either the soft or hard band XMM-Newton light
curves.
|
Figure 4: The soft and hard band power spectra of PKS 0558-504 ( left and right panel, respectively). The PSDs have been estimated using the light curves plotted in Fig. 1. The continuous lines indicate the best-fit ``PL + Poisson noise'' model (dashed lines indicate the PL component of the model). Best-fit residuals are plotted in the bottom panels. |
| Open with DEXTER | |
|
Figure 5:
Plot of the soft and hard band periodograms divided by the respective
best-fit PL models ( top and bottom panel, respectively). The solid lines
indicate the mean value of a
|
| Open with DEXTER | |
3.2 The case for a QPO in the soft band PSD
The best-fit soft band PSD residuals in Fig. 4 suggests the
presence of a broad excess of power around
10-4 Hz, indicative of the
presence of a low-amplitude quasi-periodic oscillation (QPO). No excess of power
appears in the hard band PSD at similar frequencies. Gliozzi et al. (2001) and
Brinkmann et al. (2004) reported the possible presence of ``characteristic'' time
scales in the source. The first authors relied on the turnover in the structure
function to identify a characteristic time scale, but structure functions can
show spurious turnovers (due to sampling artifacts for example) even when there
are no characteristic time scales in the system (see e.g. Emmanoulopoulos et al. 2010). On the other hand, Brinkmann et al. used
several short XMM-Newton observations to identify X-ray flares which seemed to be
recurrent with a time scale of
24 ks but, due to sparse sampling, it was
difficult to demonstrate that this signal was indeed significant. Nevertheless,
given these reports, and the fact that the search for such time scales was the
major aim of the present XMM-Newton observations, we investigate below the
possibility that there exists a QPO in the soft band power spectrum.
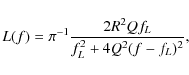
It is customary to model QPOs in the PSD of Galactic black hole binaries (GBHs)
with Lorentzian profiles:
|
(1) |
where fL is the centroid frequency,
The PL+L model has two more parameters than the PL model, and results in a
reduction of 8.7. According to the F-test, the improvement on
the fit when we added the Lorentzian component is significant at 98.8%
confidence. Using a simple likelihood ratio test (e.g. Mushotzky 1982) we
reached a similar conclusion: the reduction of the
in the case of
the PL+L model is significant at 98.2% confidence. These results imply that
the PL+L model provides a better description of the soft band PSD. However, this
does not necessarily ``prove'' that the peak at
Hz is
significant as well.
One way to investigate this issue is by noticing that, if the QPO is real,
Fig. 4 suggests that the excess of power is ``spread'' over
30 periodogram estimates. Although Fig. 5 does not support
such a claim, we used the best-fit PL model to normalize the combined soft band
periodogram estimates, and we binned neighbouring points in groups of 30,
starting from the normalized estimate at the lowest frequency. There are 86
30-binned normalized periodogram estimates, and, due to the additive properties
of the
distribution, they should be distributed as
variables under the null hypothesis. The 95 per cent confidence level for these
estimates is 102, while the value of the second 30-binned estimate (the one that
corresponds to the best fit Lorentzian shown in Fig. 6) is 85.1.
We therefore conclude that the ``QPO'' is not statistically significant.
Its presence is suggestive, and consistent with the soft band PSD, however it is
not required by the data.
|
Figure 6: The soft band power spectrum of PKS 0558-504, plotted together with the best-fit PL+L model (solid line). The long-dashed line indicates the best-fit PL component, and the short-dashed line the best-fit Lorentzian. The best-fit residuals are plotted in the bottom panel. |
| Open with DEXTER | |
3.3 The broad band power spectrum
We used the 1-orbit binned RXTE light curve (with the missing points replaced by using linear interpolation, as explained in Sect. 2.3) to estimate the long-term power spectrum of the source. We binned the resulting periodogram using bins of size 10 for the 3 lowest frequency points, and bins of size 40at higher frequencies. The resulting low-frequency power spectrum is plotted in Fig. 7 (frequencies below 10-5 Hz). In the same figure we also plot the hard band XMM-Newton PSD (frequencies higher than 10-5 Hz). The two PSDs combined together can be considered as representative of the 2-10 keV power spectrum of the source over a broad range which covers almost six decades of frequency.
This is correct to the extent that X-ray variability mechanism of the source is stationary (at least over the period of the RXTE observations). In addition, the PSD shape may be a function of photon energy in GBHs and AGN. However, significant PSD shape differences are usually detected between the 0.5-2 keV and 2-10 keV energy band, when the difference between the median photon energy in each band is more than 3-4 keV. In our case, the median photon energy of the 2-10 keV RXTE and XMM-Newton light curves are 4.9 keV and 3.7 keV, respectively. Any PSD shape differences between the two PSDs should therefore be rather small.
Figure 7 clearly shows that the low-frequency power spectrum is
significantly flatter than the high-frequency power spectrum. In fact, the
combined PSD is reminiscent of the X-ray power spectra of a few type 1 Seyferts
which show a ``-1 to -2'' frequency ``break''. The PSD of these sources is well
described by a ``bending power-law'' model (BPL, hereafter), of the form:
|
(2) |
where A is the PSD normalization, and
Note that our PSD fitting does not account for ``red-noise leakage'' that should be present in the estimated power spectra shown in Figs. 4 and 7. However, the amount of red noise leaked power added to the RXTE portion of the combined power spectrum should be small due to the flat spectral slope at low frequencies. As for the high temporal frequency PSDs, the presence of the break just below the minimum sampled temporal frequency means that red noise leaked power should also be small.
|
Figure 7: The combined, 2-10 keV RXTE and XMM-Newton PSDs covering almost 6 decades of frequency. The dashed line indicates the best-fit BPL model to the combined power spectrum. The best-fit residuals are plotted in the bottom panel. |
| Open with DEXTER | |
3.4 The OM power spectrum
The power spectrum analysis of the OM light curve is not straightforward, due to the small number of OM observations within each individual XMM-Newton observation. For that reason, we considered the OM light curve shown in Fig. 3 as a whole, and we used linear interpolation between the last and the first point of successive observations to fill in the gaps between the five XMM-Newton observations. In this way we created a long, continuous OM light curve from the beginning to the end of the overall XMM-Newton observation. Note that we did not simply add the appropriate Poisson noise in the interpolated values, but the added ``noise'' was equal to the square root of the total variance of the light curve. The number of missing points in resulting OM light curve is quite large, and corresponds to 24% of the total number of points.
We binned the OM periodogram using bins of size equal to 13. The OM PSD is
plotted Fig. 8 (open diamonds in the lower part of the figure).
The OM power spectrum spans a frequency range which is significantly smaller
than the frequency range covered by the combined X-ray PSD. Furthermore, given
the large number of interpolated data, the OM PSD shape should be somewhat
unreliable. For these reasons we did not attempt to fit any models to it. What
is important though is that the amplitude of the OM PSD is at least
1000times smaller than the amplitude of the X-ray power spectrum, plotted in
Fig. 7.
|
Figure 8: The OM power spectrum (open diamonds), plotted together with the power spectra of the soft and hard band flux of the power-law component in the source's spectrum (filled circles and filled squares, respectively). Open squares indicate the power spectrum of the ``soft-excess'' flux light curve (as determined in Paper I). The dashed, dot-dashed and dotted curves indicate the best-fit models to the power spectra (see Sect. 4.3 for details). The solid lines labelled ``PSD-1'' and ``PSD-2'' indicate ``theoretical'' power spectra, as explained in detail in Sect. 4.4. |
| Open with DEXTER | |
4 Summary and discussion
We present the results from a detailed power spectral analysis of a long XMM-Newton observation (5 orbits in total) of PKS 0558-504. We also considered the long RXTE observations of the source (
4.3 years long) to constrain the power
spectrum at low frequencies. Our main results can be summarized as follows:
- The high frequency PSDs, in the 0.5-2 keV and 2-10 keV band, have a
power-law shape, with a slope of
-2.2. We did not find any significant
periodic or quasi-periodic signals in the XMM-Newton PSDs.
- The hard band power spectrum has a somewhat flatter slope than the soft
band PSD (
as opposed to
).
- The broad band, 2-10 keV PSD shows a spectral slope break at a frequency
of
Hz, which corresponds to a break time scale,
,
of
1.7 days. Best-fit PSD slopes above and below the break are
2 and 0.5, respectively.
- The UV PSD of the source has a significantly smaller amplitude than the X-ray power spectra.
4.1 The ``QPO'' in the high frequency power spectra
We found that a Lorentzian-like QPO feature is consistent with the soft band
XMM-Newton PSD, but it is not required by the data. The best-fit centroid
frequency corresponds to a time scale of
12 000 s, which is half of the
``repetition time scale'' of flux ``peaks'' that were detected by Brinkmann
et al. (2004) in several XMM-Newton observations of PKS 0558-504. If characteristic
frequencies scale in GBHs and AGN with black hole mass, then this QPO, if real,
would correspond to a QPO at a frequency of
800 Hz for a 10 solar mass
BH (if we assume
in the case of PKS 0558-504; see
below). This would correspond to the so-called ``high frequency QPOs'' (HFQPOs)
which have been detected in the range between 40 and 450 Hz in a few GBHs. Some
of these sources have exhibited single oscillations while others display pairs
of HFQPOs with frequencies that scale in a 3:2 ratio (Remillard & McClintock
2006). Although these oscillations are transient, their centroid frequency does
not shift freely in frequency in response to sizeable luminosity changes.
Overall, they appear to be stable features that may depend only on the mass and
spin of the BH. In fact, their fundamental frequency,
,
appears to
scale inversely with mass according to the relation
(Remillard & McClintock 2006). This frequency is
expected to be
Hz in the case of a BH with a mass of
(see below). If the QPO-like feature in the soft band
PSD corresponds to the stronger QPO (which is usually the one at
)
then the frequency of the QPO that should appear in the PSD should be
Hz, which is rather low when compared with the the
best-fit centroid frequency listed in Table 2. On the other hand, HFQPOs usually
have small amplitudes of
%. This fact could explain the fact why,
although a QPO-like feature is suggestive in the soft band PSD, its presence is
not statistically significant: a larger number of individual XMM-Newton observations
are necessary to detect such a signal with high significance in the PSD of the
source.
However, the scaling between the detected HFQPOs in GBHs and the suggestive
signal in the soft band PSD of PKS 0558-504 may be coincidental. XMM-Newton light curves
allow the PSD estimation for bright AGN in the frequency range between
10-5-10-3 Hz. For AGN with
,
any
non-significant ``signal'' that will appear by chance in this frequency range,
will anyway appear to be related with the HFQPOs in GBHs. We therefore conclude
that the evidence for the presence of a intrinsic ``QPO-like'' feature in the
high frequency power spectrum of PKS 0558-504 is not significant.
4.2 The break frequency in the broad-band PSD
The shape of the broad-band power spectrum of PKS 0558-504 is similar to the power
spectral shape of several bright, radio-quiet type 1 Seyferts. Their broad-band
PSDs have yielded significant evidence for breaks where the PSD slope flattens
from
-2 above the break to
-1 at frequencies below the break (e.g.
M
Hardy et al. 2006). This suggests that the same variability mechanism
operates in this source well, and is at odds with the hypothesis of a jet origin
for the bulk of the X-ray emission from this object, in agreement with the
results of Paper I.
There is no indication of a second PSD break (to a flat slope of
0) in
the broad-band PSD of PKS 0558-504. Ark 564 is the only AGN so far where a second break
frequency has been clearly detected in its PSD (Papadakis et al. 2002; M
Hardy et al. 2007). Ark 564 is a high accretion rate source, with a strong
``soft-excess'' emission in its energy spectrum at energies below 2 keV, just like
PKS 0558-504. The ratio between the two break frequencies in Ark 564 is
100.
There is not enough temporal frequency coverage below the break frequency in the
PSD of PKS 0558-504 to determine whether there is a second break at frequencies lower
than
10-7 Hz or so. Monitoring covering time scales as long as
10 years at least would be needed to determine accurately the low-frequency PSD
shape of PKS 0558-504.
M
Hardy et al. (2006) have demonstrated that the break time scale
in Seyferts scales with
,
and for a given BH mass,
decreases with increasing bolometric luminosity,
:
erg s
-1)-2.32. The average 2-10 keV luminosity,
,
of the source is
erg/s (Paper I).
Assuming a (
ratio of at least 20 (appropriate
for sources with accretion rate larger than 0.1 of the Eddington limit; e.g.
Lusso et al. 2010), then
erg/s. Therefore,
the M
Hardy et al. (2006) relationship predicts a BH mass of
for PKS 0558-504. This is probably a lower limit on
,
as this source is likely accreting close to the Eddington
limit
. This
estimate is
3.5 times larger than the BH mass estimate we presented in
Paper I (based on the virial relationship between
,
radius and
velocity dispersion of the broad line region).
4.3 The slope of the high-frequency PSD in the soft and hard bands
Our results indicate that the hard band PSD slope is slightly flatter than the
soft band slope. Although the best-fit values are consistent within the
uncertainties (hence their difference is not statistically
significant). This trend of flatter PSD slopes with increasing energy has been
observed in other AGN as well. Papadakis & Lawrence (1995) were the first to
indicate that the soft band (<2 keV) PSD slope was steeper than the hard band
(>2 keV) slope in an AGN (namely NGC 4051). This result for NGC 4051 was later
confirmed by M
Hardy et al. (2004). A similar trend was also observed
in a few more Seyferts (like e.g. Ark 564, Papadakis et al. 2002; MCG -6-30-15,
M
Hardy et al. 2006; Mrk 766, Markowitz et al. 2007).
However, in most cases, a prominent soft-excess emission appears in the energy
spectrum of these AGN at energies below
2 keV. This is also the case with
PKS 0558-504 (see Paper I). The presence of this component, which could be
significantly less variable than the X-ray continuum at energies below 2 keV,
may dilute the observed variations in the soft band. This effect could explain
the steeper power spectrum slope at energies below 2 keV. To investigate this
issue in more detail, we used the results from the time resolved spectroscopy
that we presented in Paper I to study the intrinsic evolution of the PSD
slope with energy. The results from this study can be of more general interest
as they may apply to Seyferts where the difference between the soft and hard
band PSD slopes is significant and which also show a strong, and possibly less
variable, soft-excess component at low energies.
To this end, we considered the 0.4-1 keV and 2-10 keV (un-absorbed) flux light
curves of the power-law component in the energy spectrum of the source, and the
0.4-1 keV flux of the bremsstrahlung spectral component, which can be considered
as as representative of the soft-excess flux in this object (i.e. of the flux
of the excess emission on top of the power-law continuum). These light curves
have a ``bin-size'' of 2000 s (see Paper I, for a detailed description for these
light curves). Using the same method that we also used to estimate the soft and
hard band XMM-Newton PSDs we estimated the hard and soft band power -law flux PSDs
(PSD
and PSD
), as well as the soft-excess PSD
(PSD
).
These power spectra are plotted in Fig. 8. The dashed,
dot-dashed, and dotted lines indicate the best-fit power-law model to
PSD
,
PSD
,
and PSD
respectively (the
constant Poisson noise is also included in the best-fit models plotted in this
figure). The best-fit PSD normalization (at 10-4 Hz) is largest in
PSD
:
Hz-1, as compared to
Hz-1and
Hz-1 for the PSD
and PSD
,
respectively. Furthermore, the best-fit PSD
,
PSD
,
and PSD
slopes are
,
,
and
.
Although the power spectrum slopes of the power-law continuum in the hard
and soft energy bands are consistent within the best-fit uncertainties, the soft
band PSD appears now to be flatter than the hard band PSD, and of a higher
amplitude. Furthermore, although it is not possible to constrain well the slope
of the the soft-excess PSD, its amplitude is clearly significantly smaller than
the amplitude of both PSD
and PSD
.
This exercise indicates that the apparent power spectral ``steepness'' of the observed light curve in the soft band is due to the fact that at energies below 2 keV, this light curve is the sum of the intrinsic X-ray continuum flux plus the soft-excess flux, which is significantly less variable. As a result, the soft band PSD appears to be steeper (and of lower normalization) when compared with the hard band PSD, while in reality, the PSDs may become steeper, and their normalization may decrease, with increasing energy, in agreement (qualitatively at least) to what is expected if the basic physical mechanism of producing X-rays in PKS 0558-504 involves thermal Comptonisation of soft photons. Although the difference between soft and hard-band power spectrum slopes is not significant in this source, the results we presented above suggest that, even in sources where the PSD slope difference is more pronounced, it may be due to the presence of a less-variable soft-excess component at low energies.
4.4 The low amplitude OM PSD
Finally, we comment on the small amplitude of the observed OM variability.
As we mentioned above, it is quite likely that PKS 0558-504 operates at a
super-Eddington rate. It is also possible that most of the UV emission from
AGN which accrete at high rates is dominated by emission from radii between
10-100 Schwarzschild radii (
,
e.g. Kawaguchi 2003).
It has been suggested in the past (e.g. Lyubarskii 1997) that the emission from
a disc region of radius R can follow variations which happen at larger radii,
if the time scale of these variations is of the order of, or larger, than
at these radii. For example, if the viscosity fluctuates
independently and with the same amplitude, we expect the power spectrum of the
disc emission at radius R to have a power-law shape with a slope close to
unity over a broad frequency range up to the frequency
.
Different power spectrum indices can be obtained if the amplitude of the
viscosity variations change with radius.
According to the results from Paper I, the soft-excess emission in PKS 0558-504 below
2 keV is best explained by a low-temperature Comptonisation component
(other alternatives like reflection of the X-ray continuum from an ionized disc
are less probable). The Comptonising medium responsible for the soft-excess
could be a hot layer on top of the disc, which appears in its innermost region
due to the fact that PKS 0558-504 has a large accretion rate which approaches (or even
exceeds) the Eddington limit. If both the soft-excess and the OM variations are
affected by accretion rate fluctuations which happen at
and
,
respectively (where
and
are the
radii of the disc regions which contribute most to the soft-excess and OM
emission), then their power spectra should have a PL shape up to
and
.
The solid curves labelled ``PSD-1'' and ``PSD-2'' in Fig. 8
indicate two such PSDs in the case when
and
,
respectively. At frequencies higher than 1/
and 1/
![]()
, we have assumed that the PSD decreases exponentially with increasing
frequency, like the Cyg X-1 PSD in its high-state (Axelsson et al. 2006), when
X-rays are thought to be dominated by emission from the inner disc region. Both
the PSD-1 and PSD-2 curves are consistent with the observed OM and soft-excess
power spectra, respectively, although this ``agreement'' is hard to judge, given
the fact that the determination of PSD
and PSD
is poor,
even at the lowest observed frequencies.
If indeed the OM and the soft-excess emission originate from the disc at
and
,
respectively, and their power spectra are
like the PSD-1 and PSD-2 curves in Fig. 8, then it is
straightforward to show
that the ratio of the excess variance of the soft-excess light
curve over the excess variance of the OM light curve should be
100. If
true, we would expect that
.
The
variability amplitude of the soft-excess light curve is
20% (see Paper I), which implies that the observed ratio of the variability amplitudes (
20), i.e. larger than expected. Nevertheless, a comparison between the
soft-excess light curve and the OM light curve, when its amplitude has been
multiplied by a factor of 10, is interesting.
|
Figure 9: The OM and soft-excess light curves of the source (crosses and filled squares, respectively). The OM light curve scatter around its mean has been increased by a factor of 10, as explained in Sect. 4.4. |
| Open with DEXTER | |
Open squares and crosses in Fig. 9 indicate the soft-excess and OM light curves plotted over the entire period of the XMM-Newton observations. We have multiplied the difference of each point in the OM light curve from its mean by 10, so that the excess variance of the OM light curve increases by a factor of 100. In order to compare the resulting OM light curve with the soft-excess light curve, we divided both of them with their mean.
We note that the soft-excess light curve shows the 0.4-1 keV flux of the bremsstrahlung component that we used in Paper I to parametrise the soft-excess of the source. That is, the points of the soft excess light curve are the result of the time-resolved spectroscopy study we presented in Paper I. The agreement between the observed OM light curve, when scaled by an appropriate factor, and the ``calculated'' soft-excess light curve is rather good. The soft excess light curve still has a larger variability amplitude, but this is understandable, given the rough estimation of the ratio between the variability amplitude of the two light curves. What is interesting though is that both light curves show the same overall variability patterns during the first 4 XMM-Newton observations.
In fact, this similarity in the variability patterns is somewhat surprising,
because the soft excess light curve should be affected by fluctuations in the
inner disc, which should not affect the OM light curve. Consequently, we should
observe differences not only in the variability amplitudes, but also in the
pattern of the observed variations in the two light curves as well. Perhaps a
manifestation of this effect is the disagreement of the two light curves during
the last XMM-Newton orbit, where the pronounced soft-excess flare at the beginning of
the observations is absent in the OM light curve (we note in passing that this
flare is also present in the X-ray light curves of the source, and a delay of
20 ks may exist between the flare in the soft excess and in the soft and
hard-band PL flux light curves; see Paper I for details).
I.E. and W.P.B. acknowledge support by the EU ToK grant 39965 and FP7-REGPOT 206469. M.G. acknowledges support by the XMM-Newton Guest Investigator Program under NASA grant 201593. This work is based on observations with XMM-Newton, an ESA science mission with instruments and contributions directly funded by ESA Member States and the USA (NASA). This research has made use of the NASA/IPAC Extragalactic Database (NED) which is operated by the Jet Propulsion Laboratory, California Institute of Technology, under contract with the National Aeronautics and Space Administration.
References
- Axelsson, M., Borgonovo, A., & Larsson, S. 2006, A&A, 452, 975 [NASA ADS] [CrossRef] [EDP Sciences] [Google Scholar]
- Brinkmann, W., Arévalo, P., Gliozzi, M., & Ferrero, E. 2004, A&A, 415, 959 [NASA ADS] [CrossRef] [EDP Sciences] [Google Scholar]
- Czerny, B. 2006, in AGN Variability from X-Rays to Radio Waves, ed. C. M. Gaskell, I. M. M Hardy, B. M. Peterson, & S. G. Sergeev, ASP Conf. Ser., 360, 265 [Google Scholar]
- Emmanoulopoulos, D., M Hardy, I. M., & Uttley, P. 2010, MNRAS, 404, 931 [NASA ADS] [CrossRef] [Google Scholar]
- Fabian, A. C. 1979, Proc. R. Soc. London, Ser. A, 366, 449 [Google Scholar]
- Gliozzi, M., Boller, Th., Brinkmann, W., Brandt, W. A. 2000, A&A, 356, L17 [NASA ADS] [Google Scholar]
- Gliozzi, M., Brinkmann, W., O'Brien, P. T., et al. 2001, A&A, 365, L128 [NASA ADS] [CrossRef] [EDP Sciences] [Google Scholar]
- Gliozzi, M., Papadakis, I. E., & Brinkmann, W. 2007, ApJ, 656, 691 [NASA ADS] [CrossRef] [Google Scholar]
- Jahoda, K., Swank, J., Giles, A. B., et al. 1996, Proc. SPIE, 2808, 59 [NASA ADS] [CrossRef] [Google Scholar]
- Kawaguchi, T. 2003, ApJ, 593, 69 [NASA ADS] [CrossRef] [Google Scholar]
- Komossa, S., Voges, W., Xu, D., et al. 2006, AJ, 132, 531 [NASA ADS] [CrossRef] [Google Scholar]
- Lampton, M., Margon, B., & Boyer, S. 1976, ApJ, 208, 177 [NASA ADS] [CrossRef] [Google Scholar]
- Lusso, E., Comastri, A., Vignali, C., et al. 2010, A&A, 512, A34 [NASA ADS] [CrossRef] [EDP Sciences] [Google Scholar]
- Lyubarskii, Y. E. 1997, MNRAS, 292, 679 [NASA ADS] [CrossRef] [Google Scholar]
- M Hardy, I. M., Papadakis, I. E., Uttley, P., Page, M. J., & Mason, K. O. 2004, MNRAS, 348, 783 [NASA ADS] [CrossRef] [Google Scholar]
- M Hardy, I. M., Körding, C., Uttley, P., & Fender, P. P. 2006, Nature, 444, 730 [NASA ADS] [CrossRef] [PubMed] [Google Scholar]
- M Hardy, I. M., Arévalo, P., Uttley, P., et al. 2007, MNRAS, 382, 985 [NASA ADS] [CrossRef] [Google Scholar]
- Markowitz, M., Papadakis, I. E., Arévalo, P., et al. 2007, ApJ, 656, 116 [NASA ADS] [CrossRef] [Google Scholar]
- Mushotzky, R. 1982, ApJ, 256, 92 [NASA ADS] [CrossRef] [Google Scholar]
- Papadakis, I. E., & Lawrence, A. 1993, MNRAS, 261, 612 [NASA ADS] [CrossRef] [Google Scholar]
- Papadakis, I. E., & Lawrence, A. 1995, MNRAS, 272, 161 [NASA ADS] [CrossRef] [Google Scholar]
- Papadakis, I. E., Brinkmann, W., Negoro, H., & Gliozzi, M. 2002, A&A, 382, L1 [NASA ADS] [CrossRef] [EDP Sciences] [Google Scholar]
- Papadakis, I. E., Reig, P., & Nandra, K. 2003, MNRAS, 344, 993 [NASA ADS] [CrossRef] [Google Scholar]
- Papadakis, I. E., Brinkmann, W., Gliozzi, M., et al. 2010, A&A, 510, A65 [NASA ADS] [CrossRef] [EDP Sciences] [Google Scholar]
- Remillard, R. A., & McClintock, J. E. 2006, ARAA, 44, 49 [Google Scholar]
- Remillard, R. A., Grossan, B., Bradt, H. V., et al. 1991, Nature, 350, 589 [NASA ADS] [CrossRef] [Google Scholar]
- Rothschild, R. E., Blanco, P. R., Gruber, D. E., et al. 1998, ApJ, 496, 538 [NASA ADS] [CrossRef] [Google Scholar]
- Strüder, L., Briel, U. G., Dennerl, K., et al. 2001, A&A, 365, L18 [NASA ADS] [CrossRef] [EDP Sciences] [Google Scholar]
- Vaughan, S., Fabian, A. C., & Nandra, K. 2003, MNRAS, 339, 1273 [Google Scholar]
- Wang, T., Matsuoka, M., Kubo, H., Mihara, T., & Negoro, H. 2001, ApJ, 554, 233 [NASA ADS] [CrossRef] [Google Scholar]
Footnotes
- ... web-site
- xmm.esac.esa.int/sas/current/watchout/Evergreen-tips-and-tricks/uvflux.shtml
- ...
limit
- This issue is discussed in detail by Gliozzi et al., submitted to ApJ. The authors used simultaneous XMM-Newton and Swift, as well as radio observations, to get an accurate estimate of its broad-band luminosity.
- ...

- We have used the Czerny (2006) relationships to estimate the viscous time scales, assuming a viscosity parameter of 0.1 and that the disc thickness over the disc radius ratio is be of the order of unity, as expected in the case of super-Eddington flows.
- ... show
- We have assumed that the excess variance of the
light curves is approximately equal to the integral of the PSD from the low
frequency 1/T, where
ks in this case, i.e. equal to whole duration
of the XMM-Newton observations, up to a high frequency
), where
ks and 2 ks, for the OM and soft-excess light curves,
respectively.
All Tables
Table 1: Light curve sampling parameters and variability amplitudes.
Table 2: PSD model fitting results.
All Figures
|
Figure 1: The PN soft and hard band light curves ( left and right panel, respectively) of PKS 0558-504 for all five observations with a binning of 100 s. Time counts from the beginning of each observation. The points plotted with crosses at the bottom of the hard band plots indicate the background count rate in the same energy range. |
| Open with DEXTER | |
| In the text | |
|
Figure 2: The long term, 2-10 keV RXTE light curve of PKS 0558-504, with a binning of 5760 s. Time counts in days from the beginning of the first observation. |
| Open with DEXTER | |
| In the text | |
|
Figure 3: The 2910 Å, OM light curve of PKS 0558-504 with a binning of 4.3 ks. The time counts from the beginning of the XMM-Newton observation. |
| Open with DEXTER | |
| In the text | |
|
Figure 4: The soft and hard band power spectra of PKS 0558-504 ( left and right panel, respectively). The PSDs have been estimated using the light curves plotted in Fig. 1. The continuous lines indicate the best-fit ``PL + Poisson noise'' model (dashed lines indicate the PL component of the model). Best-fit residuals are plotted in the bottom panels. |
| Open with DEXTER | |
| In the text | |
|
Figure 5:
Plot of the soft and hard band periodograms divided by the respective
best-fit PL models ( top and bottom panel, respectively). The solid lines
indicate the mean value of a
|
| Open with DEXTER | |
| In the text | |
|
Figure 6: The soft band power spectrum of PKS 0558-504, plotted together with the best-fit PL+L model (solid line). The long-dashed line indicates the best-fit PL component, and the short-dashed line the best-fit Lorentzian. The best-fit residuals are plotted in the bottom panel. |
| Open with DEXTER | |
| In the text | |
|
Figure 7: The combined, 2-10 keV RXTE and XMM-Newton PSDs covering almost 6 decades of frequency. The dashed line indicates the best-fit BPL model to the combined power spectrum. The best-fit residuals are plotted in the bottom panel. |
| Open with DEXTER | |
| In the text | |
|
Figure 8: The OM power spectrum (open diamonds), plotted together with the power spectra of the soft and hard band flux of the power-law component in the source's spectrum (filled circles and filled squares, respectively). Open squares indicate the power spectrum of the ``soft-excess'' flux light curve (as determined in Paper I). The dashed, dot-dashed and dotted curves indicate the best-fit models to the power spectra (see Sect. 4.3 for details). The solid lines labelled ``PSD-1'' and ``PSD-2'' indicate ``theoretical'' power spectra, as explained in detail in Sect. 4.4. |
| Open with DEXTER | |
| In the text | |
|
Figure 9: The OM and soft-excess light curves of the source (crosses and filled squares, respectively). The OM light curve scatter around its mean has been increased by a factor of 10, as explained in Sect. 4.4. |
| Open with DEXTER | |
| In the text | |
Copyright ESO 2010
Current usage metrics show cumulative count of Article Views (full-text article views including HTML views, PDF and ePub downloads, according to the available data) and Abstracts Views on Vision4Press platform.
Data correspond to usage on the plateform after 2015. The current usage metrics is available 48-96 hours after online publication and is updated daily on week days.
Initial download of the metrics may take a while.
![\begin{figure}
\par\includegraphics[width=16cm,clip]{14712fig1.eps}
\end{figure}](/articles/aa/full_html/2010/10/aa14712-10/Timg21.png)
![\begin{figure}
\par\includegraphics[width=8.5cm,clip]{14712fig2.eps}
\end{figure}](/articles/aa/full_html/2010/10/aa14712-10/Timg29.png)
![\begin{figure}
\par\includegraphics[width=8.5cm,clip]{14712fig3.eps}
\end{figure}](/articles/aa/full_html/2010/10/aa14712-10/Timg30.png)
![\begin{figure}
\par\includegraphics[width=8.5cm,clip]{14712fig4.eps}
\end{figure}](/articles/aa/full_html/2010/10/aa14712-10/Timg54.png)
![\begin{figure}
\par\includegraphics[width=8.5cm,clip]{14712fig5.eps}
\end{figure}](/articles/aa/full_html/2010/10/aa14712-10/Timg55.png)
![\begin{figure}
\par\includegraphics[width=8.5cm,clip]{14712fig6.eps}
\end{figure}](/articles/aa/full_html/2010/10/aa14712-10/Timg63.png)
![\begin{figure}
\par\includegraphics[width=8.5cm,clip]{14712fig7.eps}
\end{figure}](/articles/aa/full_html/2010/10/aa14712-10/Timg67.png)
![\begin{figure}
\par\includegraphics[width=8.5cm,clip]{14712fig8.eps}
\end{figure}](/articles/aa/full_html/2010/10/aa14712-10/Timg68.png)
![\begin{figure}
\par\includegraphics[width=8.5cm,clip]{14712fig9.eps}
\end{figure}](/articles/aa/full_html/2010/10/aa14712-10/Timg117.png)