| Issue |
A&A
Volume 519, September 2010
|
|
|---|---|---|
| Article Number | A1 | |
| Number of page(s) | 10 | |
| Section | Celestial mechanics and astrometry | |
| DOI | https://doi.org/10.1051/0004-6361/200913880 | |
| Published online | 06 September 2010 | |
First-order rotation solution of an oblate rigid body under the torque of a perturber in circular orbit
M. Lara - T. Fukushima - S. Ferrer
1 - Real Observatorio de la Armada, 11 110 San Fernando, Spain
2 - National Astronomical Observatory, Mitaka, 181-8588 Tokyo, Japan
3 - Departamento de Matemática Aplicada, Universidad de Murcia,
30 100 Murcia, Spain
Received 15 December 2009 / Accepted 17 May 2010
Abstract
Aims. We discuss the rotational motion of an
axisymmetric rigid body under the torque exerted by a massive point
orbiting in a circular Keplerian orbit. The perturbation of the
torque-free motion is modelled by applying MacCullagh's approximation.
Methods. Through successive approximations we use
the unperturbed motion solution to get a first order solution for the
Hamilton equations, which we apply to the complete problem.
Results. The solution of the perturbed problem is
computed in closed form without the usual series expansions, and shows
the main effects on the dynamics of the rigid body that are introduced
by the perturbation. Remarkably, special configurations are discovered,
for which the perturbation only introduces periodic oscillations in the
torque-free motion. An application to the dwarf-planet Ceres shows the
reliability of the analytical solution.
Key words: celestial mechanics - methods: analytical - minor planets, asteroids: individual: Ceres
1 Introduction
The description of the rotational motion of celestial bodies may require high precision theories as for the rotation of the Earth (Souchay et al. 1999; Mathews et al. 2002; Shirai & Fukushima 2000; Escapa et al. 2002; Getino & Ferrandiz 2001) or the physical librations of the Moon (Moons 1982). However, as high-precision measurements are not yet available for other celestial bodies, and given the uncertainties on several physical parameters, the rotation may be described with simpler theories. It is commonly assumed that the rotating body is rigid and that the perturbing body is a mass point or an oblate body (Henrard 2005). The consideration of simple nonrigid models may show however that new frequencies may appear in the motion, which can introduce long period contributions to the rigid case (Barkin & Ferrándiz 2005).
Rotational theories for specific bodies include numerical values of physical parameters. On the contrary, generic rotational motion theories aim to retain frequencies and amplitudes as formal functions of the parameters like, for instance, the moments of inertia of the perturbed body. Therefore, the models used should be definitely simpler, so they can provide the required insight on the dynamics (Kinoshita 1972). We aim to follow this way.
Perturbations of the rotational state of celestial bodies of the solar system produced by direct or indirect effects due to the gravitational attraction of other bodies are normally small compared with their torque-free evolution. That is why the rotation of solar system bodies is commonly studied only up to first order effects in the perturbation. In addition, in many cases the rotation occurs very close to the principal axis of inertia, which justifies performing series expansions of the quantities involved in the study (Kinoshita 1977,1972). Here we proceed differently, and find a first order solution to the perturbed rigid body motion that avoids series expansions.
We study the rotation of an oblate spheroid perturbed by a massive distant point. The assumption of axisymmetry is very close to the real situation of many bodies of the solar system. Besides, it has a zero order, torque-free motion solution that is free from elliptic integrals. We consider a perturbing body moving in a circular orbit, and refer the attitude of the rigid body to the inertial plane where the orbit lies. Referring the solution to a different inertial plane requires only performing the rotations defined by the inclination of the orbital plane and its argument of the node. With these simplifying assumptions of axisymmetry and a perturber on a circular orbit, the arguments of the solution depend on frequencies that only involve the orbital mean motion and the torque-free rotation rate, and reveal the main characteristics of the perturbed motion.
The rotational dynamics of celestial bodies has a long history associated to the different models considered. Among them is the d'Alambert problem, a planet modelled by a oblate ellipsoid revolving on a Keplerian orbit of small eccentricity around a fixed star, under the only influence of gravitational forces. It still challenges mathematical studies of long-term dynamics and stability, and it is only recently that partial results have been obtained for some conditions of the parameters involved (see Mastropietro 2001; Chierchia & Gallavotti 1994, and references therein).
Apart from the astronomical interest in theories related to the long-term proper and precessional motions, the roto-translatory dynamics of artificial satellites has renewed the interest in this field since the beginning of the space era. New models were proposed, including other perturbations (the third body in particular), and the new research included the search for special solutions related to relative equilibria (Lagrangian and Eulerian points) and their stability. Without aiming at reviewing the vast literature on the topic, we just mention the pioneering work of Belestkii (see Beletskii 1966, and references therein), soon after followed by Chernous'ko (1963), and others (Bois 1986; Barkin 1980; Markeev 1985; Kinoshita 1972; Holland & Sperling 1969, and others). At present the roto-translatory dynamics of binaries systems is another area of research, in which classical models do require a full revision, because the orbit can no longer be taken as a Keplerian ellipse (see Scheeres 2009, and references therein).
Of special relevance to the present research is the work of Crenshaw & Fitzpatrick (1968) who, apparently unaware of previous works of astronomers, compute a Hamilton-Jacobi solution to the torque-free motion that introduces the Andoyer angles (Andoyer 1923) as auxiliary variables in the derivation procedure. They finally find these auxiliary angles to be a suitable set of variables for describing the perturbed motion when combined with Euler-type inclination angles and the energy. For the particular case of a non-precessing orbital plane, their secular solution matches the secular terms of ours.
To compute our theory we used Andoyer variables and Hamiltonian formalism (Deprit 1967; Andoyer 1923). The zero order of the Hamiltonian is the torque-free motion, and the perturbation is considered in the MacCullagh's approximation. The Hamiltonian of the torque-free motion in Andoyer variables is Liouville-integrable in the axisymmetric case. It depends only on two momenta, and consequently shows evidence of the linear motion of the two conjugate angles. This zero order solution is introduced on the right side of the Hamilton equations of the perturbed problem and integrated by quadrature. Constructing our theory this way introduces resonant terms in the solution that, specifically, prevent its application to the spin-orbit 1:1 resonance. Dealing with resonant cases requires the use of specific variables (Bouquillon et al. 2003) and is out of the scope of the present paper.
Despite the rough assumptions of our model it may fit the dwarf-planet Ceres, whose shape is well described by an oblate spheroid to the limit of measurement, or to a lesser extent to the asteroid 16 Psyche or even to 4 Vesta (Drummond & Christou 2008; Thomas et al. 2005; Carry et al. 2008), all of them orbiting the sun with relatively low eccentricities. Besides, the perturbation of the torque-free motion is of the order of 10-7 for Ceres and 4 Vesta - targets of actual interest since the approval of the NASA Dawn mission (Russell et al. 2003) - and less than that for 16 Psyche. Therefore, the first order approach seems to be justified.
The application of our theory to Ceres reveals secular variations in all angles at a precessional rate of a few radians per Julian century. Periodic oscillations appear in all variables, the most relevant amplitudes are related to Ceres' semiannual effects except for the modulus of the angular momentum, for which only higher order, low-period effects related to the free rotation of Ceres are apparent. Because of the symmetries of our model, the solution is free from the usual middle-term effects associated to the rigid body polar motion.
2 Unperturbed motion in Andoyer's variables: axisymmetric case
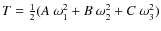
The kinetic energy of rotation of a rigid body about its centre of mass
is
,
where
denote the principal moment of inertia and
are the components of the instantaneous rotation vector in the frame of
the principal axis of the body. Alternatively, it may be expressed as
,
where
,
and (g1,g2,g3)
are the components of the angular momentum vector in the body frame.
The angular momentum vector is preserved in the inertial frame for the
torque-free motion and, therefore, its modulus
is constant.
The Hamiltonian of the torque-free rotation is obtained from
the kinetic energy by expressing either the angular velocity or the
angular momentum in a convenient set of canonical variables like, for
instance, Euler angles and their canonical extension. Specifically, the
Hamiltonian is reduced to one degree of freedom when using Andoyer
variables
that link the body and inertial frames through an intermediate frame
with the z-axis defined by the direction of the
angular momentum vector, the x-axis defined by the
intersection of the plane perpendicular to the angular momentum vector
and the inertial x-y plane, and
the y axis defining a direct frame (Andoyer 1923). Then the
position of the intermediate plane with respect to the inertial frame
is defined by its argument of the node
and inclination
,
where
is the projection of the angular momentum vector on the z-axis
of the inertial frame, and M=G.
The position of the equatorial plane of the rigid body with respect to
the intermediate plane is defined by its argument of the node
,
and inclination
,
where N is the projection of the angular momentum
vector over the z-axis of the body frame. Finally,
the x-axis of the body frame is located on the
equatorial plane of the body through the angle
.
The transformation from Euler to Andoyer variables is
canonical (Deprit 1967),
and the Hamiltonian of the torque-free motion is
where
For those bodies with axisymmetry with respect to the axis of
maximum inertia a1=a2,
a reasonable approximation to many celestial bodies, and the
Hamiltonian reduces to
of trivial integration. Thus,
are constant, and the rotation angles evolve linearly with time
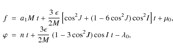
3 Perturbed motion: first order approach
Now we consider the perturbed motion of the oblate rigid body above, of
mass m, under the gravitational pull of distant
point of mass m1. The
Hamiltonian is
,
where H0 is the zero order
Hamiltonian given by Eq. (2)
and the perturbing term H1
is taken in MacCullag's (1840)
approximation

where
If we assume that the perturbing body is orbiting in a
circular Keplerian orbit of a radius r, we find for
the axisymmetric case
with
Besides, if we further require that the perturbing body's orbit lies in the x-y plane of the inertial frame, the orbital reference frame is related to the body frame through the direction cosines by means of the rotations

where
Then

and
Because of the symmetries of our model, the angle
The equations of motion of the perturbed problem are obtained from
Hamilton equations

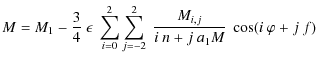
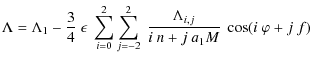
Then
where M*i,j,
Table 1: Non-zero values of the coefficients in Eqs. (8)-(12).
3.1 First order solution
The perturbed problem is likely non-integrable, but assuming that the
perturbation is small, we try a first order solution in the small
parameter
by the straightforward method of successive approximations as follows.
First we replace Andoyer variables into the right side of
Hamilton equations, Eqs. (8)-(11), by its the zero
order solution. Thus, for initial conditions
,
we introduce the first order solution Eqs. (3) and (4) into the right side
of Eqs. (8)-(12). Then,
Eqs. (8)-(12) only depend on time
and can be trivially integrated by quadratures to give
where Mi,j,
and, in the right side of the equations, M=M0, N=N0,
Table 2: Non-zero values of the coefficients in Eqs. (13)-(16).
Table 3: Non-zero values of the coefficients in Eqs. (17) and (20).
We remark, however, that the solution given by Eqs. (13)-(17) and (18) does not include
first order terms. A first order solution in
requires a new approximation. The variables M,
,
,
,
,
in the right members of Eqs. (8)-(12), are now replaced
by the values given by Eqs. (13)-(17) and (18). After the
replacement, Eqs. (8)-(12) depend only on time
and can be integrated by quadrature.
Except for
,
up to the first order in
the new solution is formally equal to that of Eqs. (13)-(16), but to avoid
the introduction of mixed terms in higher orders that will be produced
by a naive series expansion, we hold linear arguments of time of the
order of
in circular functions, in the style of the Lindstedt-Poincaré approach.
Hence, now
and M=M1, N=N0,
With respect to
,
the zero order term a1M
in the right side of Eq. (12)
causes the new approximation of M, Eq. (13), not only to change
the zero order frequency a1M=a1M1,
but also introduces new first order periodic terms in the solution for
.
The frequencies of these first order terms are improved with a new
iteration of the procedure, which leaves everything unaltered except
for the first order correction to
:
to which Eq. (19) applies. Therefore, the first order solution to
In this way we obtain a first-order solution, Eqs. (13)-(17) and (19)-(20), of the perturbed
problem Eqs. (8)-(12), which has a
zero-order part
that is the torque-free motion of the axisymmetric body for the initial conditions
Euler angles
,
,
and
,
for precession, rotation, and nutation, respectively, are recovered
from Andoyer variables with standard identities of spherical
trigonometry. Then,

the series developments of which would produce time explicit expressions of Euler angles up to the first order of
Note that, alternatively to the straightforward method of successive approximations, the first order solution of Eqs. (8)-(12) may be computed with the perturbation theory. Specifically, the Lie-series approach (Campbell & Jefferys 1970; Hori 1966; Deprit 1969) has been profusely used in the literature when dealing with Hamiltonian problems (see Getino & Ferrándiz 1991; Morbidelli et al. 1994, for instance).
In our case, up to the first order in
,
the Lie-series approach gives the secular Hamiltonian
in new (prime) variables
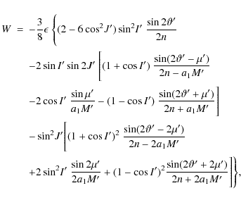
and the generating function
![\begin{eqnarray*}W &=& -\frac{3}{8} \epsilon~\Bigg\{(2-6\cos^2\!J')\sin^2\!I'~\f...
...s{I}')^2\frac{\sin(2\vartheta'+2\mu')}{2n+2a_1M'}
\Bigg]\Bigg\},
\end{eqnarray*}](/articles/aa/full_html/2010/11/aa13880-09/img165.png)
where
The evolution equations
with M'=M'0, N'=N'0 and
Then, the solution of Eqs. (8)-(12) for a given set of initial conditions is computed by applying the transformation
to the values obtained from the evolution equations.
It is easily checked that the direct substitution of
Eq. (23)
onto the right side of Eq. (24) results
up to the first order of
in the successive approximation solution given by Eqs. (13)-(17) and (19)-(20) - which in turn
provides a strong test on the reliability of the solution. Therefore,
the use of either the successive approximations solution or the first
order solution by Lie-transforms is fully equivalent for the first
order computations of this paper.
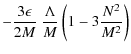
3.2 Notable cases
From the simple inspection of the first-order solution above,
specifically Eqs. (15)-(17), one can note that
there is a critical inclination at which the body evolves, on average,
as in the free rotation given by Eq. (21). This remarkable
result occurs for
,
or
and
,
giving rise to the four combinations
,
,
and
,
and
and
,
where the first order secular effects in Eqs. (15)-(17) vanish, and the zero
order solution Eq. (21)
of the perturbed problem Eqs. (13)-(17) is only affected by
periodic perturbations. This result was previously obtained by Chernous'ko (1963), who
studied a similar problem using the Krylov-Bogoliuvov averaging method.
Besides, another critical inclination is easily found for
.
On the other hand, these critical inclinations may be derived from the evolution equations, Eq. (23), by imposing that there are no secular perturbations to the rigid body motion.
Note that Andoyer variables are singular for zero inclination of the intermediate plane with respect to either the inertial or the equatorial plane of the body, or both. The case I=0 is not of major concern, and the virtual singularity J=0 may be avoided by using other sets of variables in the literaure (Fukushima 1994). In addition, the theory does not apply to synchronous orbiting and rotating satellites because of the resonant term 2n-2a1M0 in the denominators of Eqs. (13)-(17). A solution valid for spin-orbit resonance would require the introduction of specific resonant variables (Bouquillon et al. 2003).
4 Numerical comparisons: the Ceres case
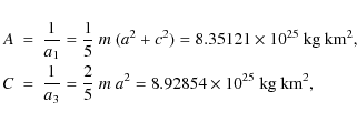
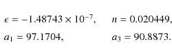
Even though the assumptions above made for the computation of the analytical theory may seem very rough, they fit the dwarf-planet Ceres except perhaps for the non-negligible eccentricity of its orbit around the sun e=0.08. Accepted values of Ceres' orbital and physical parameters of interest are summarized in Table 4. Slight modifications os these values are also found in the literature (Michalak 2000; Carry et al. 2008).
Table 4: Physical and orbital parameters of Ceres (http://ssd.jpl.nasa.gov/).
Assuming that Ceres is an spheroid of homogeneous density, we
compute

where m is Ceres' mass, and a and c are Ceres' equatorial and polar radius, respectively. In addition,
In addition, we take as the initial value for I the
accepted value of the tilt I0=3 deg
(Thomas et al. 2005),
and for J we take a speculative value of J0=10-4
rad (
20 arcsec),
thus assuming a small difference between the figure and angular
momentum axes that with the actual precision of observations is usually
assumed to match (Drummond
& Christou 2008).
For the given values of the parameters and initial conditions,
the amplitudes of the unperturbed secular terms for
and
in Eqs. (15)
and (17)
are
radians per century, respectivelly. The amplitudes of the perturbed secular terms for
rad/century, respectivelly. Finally, Table 5 shows the period of the different angular frequencies involved in the analytical solution of Ceres, Eqs. (13)-(17) and (20), and the amplitudes of the respective coefficients in each variable M,


of corresponding periodic terms, where xi,j and Xi,j are given in Tables 2 and 3. Note that
Table 5: Coefficients of the periodic terms in the analytical solution for Ceres.
As it is apparent from Table 5, the
periodic terms with the frequencies 2a1 M
and 2n+2a1 M
are negligible. Besides, the angular frequency 2n is
the unique non-negligeble in the solution for
.
Therefore, for the specific case of Ceres, Eqs. (13)-(17) and (20) can be further
simplified.
Now we check that the frequencies predicted by the theory are apparent from the direct numerical integration of the equations of motion of the perturbed model, Eqs. (8)-(12).
Note the efficient integration of general rotational motion is not a trivial matter and continuously motivates new research (see, for instance, Fukushima 2008, and references therein). In order to get an accurate solution, we decided to implement the chain of recurrences required by the Taylor method. We worked in quadruple precision and compute the Taylor series up to the order 33 to guarantee that the attained precision of numerical integration is far more than necessary for the comparison purpose with the predictions by our first-order analytical theory. The computation code was written in Fortran 77, compiled with the Pro Fortran Absoft compiler, and executed under Mac OS X. All the computations are conducted in a MacPro with two 3 GHz dual-core Intel processors.
We found it convenient to use internal units in our
computations. Thus, we took a mass unit of
kg,
a length unit of one km, and a time unit of
472 545.4 s, which amounts to one Eulerian period of
Ceres. In these units,

We choose initial conditions t=0, M0=M(0)=1,
|
Figure 1: Sample of Ceres' short-term propagation by the direct numerical integration of the equations of motion. The time scale is in units of the rotational period of the unperturbed motion. |
| Open with DEXTER | |
Long-term features predicted by the analytical solution appear after a
much longer propagation. Results are presented in Fig. 2, where the time
evolution of M shows that both short- and
long-period effects have very low amplitudes. The plot in the second
row of Fig. 2
shows that the short-period oscillations in
are affected by a semiannual oscillation caused by the orbital motion
of Ceres about the sun. Besides, we clearly note the secular drift,
whose value agrees with the amplitude predicted in Eq. (29) because six Ceres'
orbital periods amount to
0.276 centuries.
|
Figure 2: Sample Ceres' long-term propagation by the direct numerical integration of the equations of motion. The time scale is in units of the orbital period of the perturber. |
| Open with DEXTER | |
Long-term features of
are presented in the plot in the third row of Fig. 2. Even though the
terms on the frequency 2n are negligible in the
analytical solution for
,
the semiannual effect remains, although it is difficult to appreciate.
It is a result of the almost equal amplitudes of terms in (0,1) and
(2,-1), according to the values in Table 5, that
cancel each other every
.
Besides, the secular effects agree with the secular rate predicted by
the theory as given in Eq. (27).
The last plots of Fig. 2 show that
,
bottom plot, is free from secular terms, as predicted by the theory,
and that the secular evolution of
,
plot in the fourth row agrees with the amplitude provided in
Eq. (28).
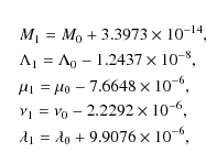
After checking the qualitative agreement between the direct numerical integration and the analytical results, we investigate the quality of the analytical solution in quantitative terms. First of all, we compute the arbitrary integration constants of the theory for the initial conditions above. They are

which are the values that must be replaced in Eqs. (13)-(17) and (20). Then, we evaluate these equations in a large set of points and compare their values with those obtained from the numerical integration of the Hamilton equations, Eqs. (8)-(12). Results are presented in Fig. 3, where the symbol
|
Figure 3:
Absolute errors of the analytical solution to the rotational motion of
Ceres when compared with the numerical integration. The error evolution
of |
| Open with DEXTER | |
In order to illustrate the case of the critical inclinations we provide
one more example, using Ceres' physical parameters above. It
corresponds to the critical inclination of 54.7356 deg, for
which we numerically integrate the equations of motion Eqs. (8)-(12) for the initial
conditions: t=0 and
As shown in Fig. 5, Andoyer variables evolve according to the pattern predicted by the first-order solution, with no secular perturbation effects in the rate of change of Andoyer angles except for a negligible drift in
|
Figure 4: Relative errors of the analytical solution to the rotational motion of Ceres when compared to the direct numerical integration. |
| Open with DEXTER | |
|
Figure 5:
Sample of the long-term propagation for the critical inclination of
54.7356 deg using Ceres' physical parameters. The evolution of |
| Open with DEXTER | |
We also check the accuracy of the first order solution for this case. Now we get for the initial conditions in Eq. (30)

The absolute errors in the propagation of the first-order solution are presented in Fig. 6. Errors in
We note in Fig. 6
that the error in
seems to grow in a quadratic way - although, as shown in Fig. 7, the accuracy
of analytical propagation is very good, remaining with more than 13
exact digits throughout this long period. Anyway, the magnitude of the
error is consistent with the secular drift observed in the numerical
propagation. A higher order theory should demonstrate that the higher
order terms in the solution prevent rigid bodies at this inclination
from evolving as unperturbed in the long term.
|
Figure 6:
Accuracy of the first-order solution for the critical inclination of
54.7356 deg using Ceres' physical parameters when compared to
the direct numerical integration. The error in M
evolves similarly to that of |
| Open with DEXTER | |
| Figure 7:
Relative error of the first-order solution for |
|
| Open with DEXTER | |
Similar results with respect to either the numerical integration or the accuracy of the first order solution have been found for the other special configurations.
5 Conclusions
Simple assumptions in perturbed rigid body motion are enough to reveal the main characteristics of the rotational dynamics of a variety of celestial bodies. Without need of resorting to series developments, the perturbed motion is represented in closed form with convenient equations in which first-order effects are clearly identified. The relevant frequencies introduced by the perturbation are related to semiannual, diurnal and semidiurnal effects.
The computation of the theory was facilitated by using Andoyer variables, which show that the model considered evolves as unperturbed, in the long term, at five special configurations related to critical inclinations of the equatorial plane of the body and the orbital plane of the perturber with respect to Andoyer's plane. Andoyer variables suffer from known singularities. However, for singular Andoyer variables one may adopt alternative variables, as found in the literature.
The first-order solution is general, under the rough assumptions of this paper, but it is specifically well suited for the dwarf-planet Ceres, where the solution may be further simplified and provides an accuracy of the order of few milli-arc seconds that seems sufficient for the actual observational accuracy. However, in view of the ongoing NASA DAWN mission, which will visit Vesta and Ceres in the near future, a specific theory for ephemeris computation of the rotational motion of Ceres and Vesta is desirable. It would require increasing the precision of the theory by computing a higher order, and also by considering the eccentricity of the orbit about the sun.
We acknowledge comments of A. Escapa, University of Alicante, on an early version of the manuscript. Comments of the referee drew our attention to relevant literature and motivated us to improve the periodic terms of the solution in this paper. Support is acknowledged from a grant ``Fundación Séneca'' of the autonomous region of Murcia, and projects ESP 2007-64068 and AYA 2009-11896 (M.L.), and MTM 2009-10767 (S.F.) of the Goverment of Spain.
References
- Andoyer, M. H. 1923, Cours de Mécanique Céleste (Paris: Gauthier-Villars et cie) [Google Scholar]
- Barkin, Yu. V. 1980, Kosm. Issled., 18, 191 (Cosmic Res., 18, 267) [NASA ADS] [Google Scholar]
- Barkin, Yu. V., & Ferrándiz, J. M. 2005, Astron. Astroph. Trans., 24, 61 [NASA ADS] [CrossRef] [Google Scholar]
- Beletskii, V. V. 1966, Motion o fan artificial satellite about the center of mass, Israel Prog. for Scientific Trans., Jerusalem [Google Scholar]
- Bois, E. 1986, Celest. Mech., 39, 309 [NASA ADS] [CrossRef] [Google Scholar]
- Bouquillon, S., Kinoshita, H., & Souchay, J. 2003, Celest. Mech. Dyn. Astron., 86, 29 [Google Scholar]
- Campbell, J. A., & Jefferys, W. H., 1970, Celest. Mech., 2, 467 [NASA ADS] [CrossRef] [Google Scholar]
- Carry, B., Dumas, C., Fulchignoni, M., et al. 2008, A&A, 478, 235 [NASA ADS] [CrossRef] [EDP Sciences] [Google Scholar]
- Chernous'ko, F. L. 1963, PMM, 27, 474 (JAMM 27, 708) [Google Scholar]
- Chierchia, L., & Gallavotti, G. 1994, Annales IHP, 60, 1 [Google Scholar]
- Crenshaw, J. W., & Fitzpatrick, P. M. 1968, AIAA J., 6, 2140 [NASA ADS] [CrossRef] [Google Scholar]
- Deprit, A. 1967, Am. J. Phys., 35, 424 [NASA ADS] [CrossRef] [Google Scholar]
- Deprit, A. 1969, Celest. Mech., 1, 12 [NASA ADS] [CrossRef] [Google Scholar]
- Drummond, J., & Christou, J. 2008, Icarus, 197, 480 [NASA ADS] [CrossRef] [Google Scholar]
- Escapa, A., Getino, J., & Ferrándiz, J. M. 2002, A&A, 389, 1047 [NASA ADS] [CrossRef] [EDP Sciences] [Google Scholar]
- Fukushima, T. 1994, Celest. Mech. Dyn. Astron., 60, 57 [NASA ADS] [CrossRef] [Google Scholar]
- Fukushima, T. 2008, AJ, 135, 2298 [NASA ADS] [CrossRef] [Google Scholar]
- Getino, J., & Ferrándiz, J. M. 1991, Celest. Mech. Dyn. Astron., 51, 35 [Google Scholar]
- Getino, J., & Ferrándiz, J. M. 2001, MNRAS, 322, 785 [NASA ADS] [CrossRef] [Google Scholar]
- Henrard, J. 2005, Icarus, 178, 144 [NASA ADS] [CrossRef] [Google Scholar]
- Holland, R. L., & Sperling, H. J. 1969, AJ, 74, 3 [CrossRef] [Google Scholar]
- Hori, G.-i. 1966, PASJ, 18, 287 [NASA ADS] [Google Scholar]
- Kinoshita, H. 1972, PASJ, 24, 423 [Google Scholar]
- Kinoshita, H. 1977, Celest. Mech., 15, 277 [Google Scholar]
- MacCullagh, J. 1840, Proc. R. Irish Acad., 2, 520 [Google Scholar]
- Markeev, A. P. 1985, Kosm. Issled., 23, 323 (Cosmic Res., 23 267) [NASA ADS] [Google Scholar]
- Mastropietro, V. 2001, Regular Chaotic Dyn., 6, 355 [CrossRef] [Google Scholar]
- Mathews, P. M., Herring, T. A., & Buffett, B. A. 2002, JGR (Solid Earth), 107, 2068 [Google Scholar]
- Michalak, G. 2000, A&A, 360, 363 [NASA ADS] [Google Scholar]
- Moons, M. 1982, Celest. Mech., 26, 131 [NASA ADS] [CrossRef] [Google Scholar]
- Morbidelli, A., Gonczi, R., Froeschlé, Ch., et al. 1994, A&A, 282, 955 [NASA ADS] [Google Scholar]
- Russell, C. T., Coradini, A., Christensen, U., et al. 2003, Planet. Space Sci., 52, 465 [Google Scholar]
- Scheeres, D. J. 2009, Celest. Mech. Dyn. Astron., 104, 103 [NASA ADS] [CrossRef] [Google Scholar]
- Shirai, T., & Fukushima, T. 2000, AJ, 119, 2475 [NASA ADS] [CrossRef] [Google Scholar]
- Souchay, J., Loysel, B., Kinoshita, H., & Folgueira, M. 1999, A&AS, 135, 111 [Google Scholar]
- Thomas, P. C., Parker, J. W., McFadden, L. A., et al. 2005, Nature, 437, 224 [NASA ADS] [CrossRef] [PubMed] [Google Scholar]
All Tables
Table 1: Non-zero values of the coefficients in Eqs. (8)-(12).
Table 2: Non-zero values of the coefficients in Eqs. (13)-(16).
Table 3: Non-zero values of the coefficients in Eqs. (17) and (20).
Table 4: Physical and orbital parameters of Ceres (http://ssd.jpl.nasa.gov/).
Table 5: Coefficients of the periodic terms in the analytical solution for Ceres.
All Figures
|
Figure 1: Sample of Ceres' short-term propagation by the direct numerical integration of the equations of motion. The time scale is in units of the rotational period of the unperturbed motion. |
| Open with DEXTER | |
| In the text | |
|
Figure 2: Sample Ceres' long-term propagation by the direct numerical integration of the equations of motion. The time scale is in units of the orbital period of the perturber. |
| Open with DEXTER | |
| In the text | |
|
Figure 3:
Absolute errors of the analytical solution to the rotational motion of
Ceres when compared with the numerical integration. The error evolution
of |
| Open with DEXTER | |
| In the text | |
|
Figure 4: Relative errors of the analytical solution to the rotational motion of Ceres when compared to the direct numerical integration. |
| Open with DEXTER | |
| In the text | |
|
Figure 5:
Sample of the long-term propagation for the critical inclination of
54.7356 deg using Ceres' physical parameters. The evolution of |
| Open with DEXTER | |
| In the text | |
|
Figure 6:
Accuracy of the first-order solution for the critical inclination of
54.7356 deg using Ceres' physical parameters when compared to
the direct numerical integration. The error in M
evolves similarly to that of |
| Open with DEXTER | |
| In the text | |
| |
Figure 7:
Relative error of the first-order solution for |
| Open with DEXTER | |
| In the text | |
Copyright ESO 2010
Current usage metrics show cumulative count of Article Views (full-text article views including HTML views, PDF and ePub downloads, according to the available data) and Abstracts Views on Vision4Press platform.
Data correspond to usage on the plateform after 2015. The current usage metrics is available 48-96 hours after online publication and is updated daily on week days.
Initial download of the metrics may take a while.
![\begin{figure}
\par\includegraphics[width=6.2cm,clip]{plots/13880fig01}\par\vspa...
...r\vspace*{2mm}
\includegraphics[width=6.2cm,clip]{plots/13880fig03}
\end{figure}](/articles/aa/full_html/2010/11/aa13880-09/Timg245.png)
![\begin{figure}
\par\includegraphics[width=6.2cm,clip]{plots/13880fig04}\par\vspa...
...r\vspace*{2mm}
\includegraphics[width=6.2cm,clip]{plots/13880fig08}
\end{figure}](/articles/aa/full_html/2010/11/aa13880-09/Timg246.png)
![\begin{figure}
\par\includegraphics[width=6.2cm,clip]{plots/13880fig09}\par\vspa...
...r\vspace*{2mm}
\includegraphics[width=6.2cm,clip]{plots/13880fig11}
\end{figure}](/articles/aa/full_html/2010/11/aa13880-09/Timg250.png)
![\begin{figure}
\par\includegraphics[width=6cm,clip]{plots/13880fig12}\par\vspace*{2mm}
\includegraphics[width=6cm,clip]{plots/13880fig13}
\end{figure}](/articles/aa/full_html/2010/11/aa13880-09/Timg252.png)
![\begin{figure}
\par\includegraphics[width=6cm,clip]{plots/13880fig14}\par\vspace...
...par\vspace*{2mm}
\includegraphics[width=6cm,clip]{plots/13880fig16}
\end{figure}](/articles/aa/full_html/2010/11/aa13880-09/Timg253.png)
![\begin{figure}
\par\includegraphics[width=6.2cm,clip]{plots/13880fig17}\par\vspa...
...r\vspace*{2mm}
\includegraphics[width=6.2cm,clip]{plots/13880fig19}
\end{figure}](/articles/aa/full_html/2010/11/aa13880-09/Timg255.png)